流程图: 原理:
- 格式:pdf
- 大小:76.00 KB
- 文档页数:6
总结一下质量管理传统7种工具的原理及应用范围质量管理传统的七种工具分别是流程图、直方图、因果图、散点图、控制图、构型图和帕累托图。
这些工具经过多年的发展和实践,已成为质量管理的基础工具,可以帮助企业识别和解决问题,提升产品和服务的质量。
一、流程图1.原理:流程图是通过图形的方式,将一个流程或系统的各个步骤进行可视化的展示。
它可以帮助人们理解和分析流程中的每个环节,从而找到优化的机会。
2.应用范围:流程图适用于各种类型的组织和行业,例如制造业、服务业、项目管理等领域。
它可以用于描述生产流程、销售流程、服务流程以及项目管理流程等。
二、直方图1.原理:直方图通过将连续数据分组,并以柱状图的形式展示数量的分布情况,帮助人们理解和分析数据的分布特征。
通过观察数据的直方图,可以发现数据的偏态、离群值等问题。
2.应用范围:直方图适用于各种类型的数据分析场景,例如产品质量分析、生产过程的稳定性分析、市场调研数据的分析等。
三、因果图1.原理:因果图是通过将问题的可能原因和结果进行因果关系的图示化,帮助人们找到问题背后的根本原因,从而采取相应的改进措施。
2.应用范围:因果图适用于各种类型的问题分析,例如产品质量问题、客户投诉问题、生产效率问题等。
四、散点图1.原理:散点图通过绘制变量之间的二维坐标点,展示它们之间的关系。
通过观察散点图,可以判断变量之间是否存在其中一种关联关系,进而进行相关分析。
2.应用范围:散点图适用于各种类型的数据分析场景,例如变量之间的相关性分析、产品设计和制造过程中的参数优化分析等。
五、控制图1.原理:控制图是一种监控工具,用于检测过程是否处于统计控制状态。
通过将过程数据进行统计分析,并在图上标记出控制线和预警线,可以快速识别出过程是否存在特殊因素的影响。
2.应用范围:控制图适用于各种类型的过程监控场景,例如生产过程的控制、质量控制、项目管理等。
六、构型图1.原理:构型图是通过绘制系统中各个组成部分之间的关系,帮助人们理解系统的结构和相互作用。
最全并购知识整理(含原理模式与流程图)导语:并购的实质是一个企业取得另一个企业的资产、股权、经营权或控制权,使一个企业直接或间接对另一个企业发生支配性的影响。
并购是企业利用自身的各种有利条件,比如品牌、市场、资金、管理、文化等优势,让存量资产变成增量资产,使呆滞的资本运动起来,实现资本的增值。
调查同时显示,在被问及企业进行收购的目的时,中国企业将扩展企业规模(85%)、拓展新市场(79%)和获得新技术或成熟的品牌(75%)分别列在了前三位。
企业家们都明白,当宏观经济和企业财务状况有所改善时,企业将目光从生存问题更多的转向策略性增长,而并购也成为利润增长的重要途径。
中国企业期望拓展新市场、获得新技术和成熟的品牌,因此当企业拥有充裕的现金时,对收购的意愿也大幅增长,这是企业家们迟早必须走出去的一步。
并购原理1概念企业并购即兼并与收购的统称,是一种通过转移公司所有权或控制权的方式实现企业资本扩张和业务发展的经营手段,是企业资本运作的重要方式。
1、并购的实质是一个企业取得另一个企业的资产、股权、经营权或控制权,使一个企业直接或间接对另一个企业发生支配性的影响。
并购是企业利用自身的各种有利条件,比如品牌、市场、资金、管理、文化等优势,让存量资产变成增量资产,使呆滞的资本运动起来,实现资本的增值。
2、兼并通常是指一家企业以现金、证券或其他形式取得其他企业的产权,并使其丧失法人资格或改变法人实体的行为。
3、收购是指企业用现金、债券、股权或者股票购买另一家企业的部分或全部资产或股权,以获得企业的控制权。
4、并购对象有资产、股权与控制权5、并购方式包括兼并、收购、合并、托管、租赁、产权重组、产权交易、企业联合、企业拍卖、企业出售等。
2理论分析1企业外部发展优势论企业发展通过外部兼并收购方式比靠内部积累方式不仅速度快,效率高,而且相对风险较小。
首先,通过兼并方式投资时间短,见效快,可以减少投资风险,降低投资成本;其次,可以有效地冲破行业壁垒进入新的行业;第三,兼并充分利用了被并购企业的资源。
总结一下质量管理传统7种工具的原理及应用范围。
质量管理传统7种工具是质量管理中经典的工具集合,主要包括流程图、直方图、因果图、控制图、检查表、 Pareto图和散点图,这些工具能够帮助企业识别和解决质量问题,提高产品和服务的质量,保障客户满意度。
1.流程图:它是一种图形化的表示企业工作流程和操作流程的工具,它可用于详细列举流程中每一步骤,以及确定所需时间和资源。
流程图应用范围主要在于了解和改善流程、减少流程浪费、提高效率、降低错误率等。
2.直方图:它是一种图表,用于表示各种数据的分布情况,以便找到数据的中心位置、范围、密度、偏度和峰度等参数,从而评估数据的质量。
直方图适用于对不同数据维度进行比较,发现和分析异常值等。
4.控制图:它是一个跟踪过程或产品的参数变量,以便识别系统的特殊因素和常见因素,并以此加以控制。
控制图的应用范围主要在于检测质量问题、发现和跟踪过程中的变化、实现连续改进等。
5.检查表:它是一个记录产品或流程评估结果的表格,可以用于分析流程中有无缺陷和异常,识别问题所在,以及确定改进措施。
检查表的应用范围主要在于检查产品或工作过程,快速发现错误、标准化流程、验证方案的有效性等。
6. Pareto图:它是一个按降序排列的条形图,将质量问题按照重要性排序,以便确定要优先解决的问题。
Pareto图主要应用于发现主要质量问题、找出影响核心问题的根本原因等。
7.散点图:它是一个统计数据图表,用于确定两个变量之间的关系和相关性,以便预测未来的趋势和发现异常值。
散点图的应用范围主要在于识别变量之间的趋势、发现新的机遇、预测未来的结果等。
总之,以上的7种传统的质量管理工具,都是有其自身的特点和适用范围,企业可以根据实际情况和需要选择合适的工具来帮助识别和解决质量问题,提高产品和服务的质量。
葡萄糖生产原理及工艺流程图1、生产原理:本产品以玉米淀粉为原料,采用全酶法工艺生产葡萄糖,淀粉水解分两步进行,先用α一淀粉酶在一定条件下,通过连续高压液化,二次喷射装置,将淀粉乳糊化,水解成为一定分子量的糊精和低聚糖一类的液化液(DE值达10%—27%左右),再经过冷却,用盐酸调pH值在4.2~4.5范围内,再利用葡萄糖糖化酶将糊精和低聚糖糖化(DE值达94%以上)成葡萄糖,基于反应过程中产生的非糖成份以及随原料带来杂质,须经过一系列的后工序处理精制,目前采用中和脱色,离交,蒸发浓缩,运动结晶,自动分离,气流干燥过筛等过程,最后称量包装经化验合格后入库。
酶法制得的糖化液纯度高,色泽浅,杂质少,由于酶具有专一性,同时糖化在微酸性情况下进行,温度较低,因此水解过程中分解产物与5一羟甲基糠醛等杂质少,但在后期结晶过程中易产生发酵现象,造成产品质量下降,为抑制发酵,在结晶注罐前降低pH 值,对减少损失有明显效果。
2、化学反应式:1)、水解反应式:nC6H10O5 + nH2O 液化酶、糖化酶nC6H12O6n.162.4 n18.02 高温n180.42淀粉水葡萄糖淀粉经液化酶、糖化酶的作用,由淀粉大分子逐渐水解成葡萄糖单元分子,水解顺序如下:淀粉红糊精不变色糊精麦芽糖葡萄糖2)、副反应:a、复合反应:2C6H12O6C12H22O11+ H2O葡萄糖异麦芽糖水b、分解反应:H C CHC6H12O6 C C + 3H2O=CH3CO(CH2)2COOH + HCOOH + H2OHOCH2O CHO葡萄糖是热敏物质,在高温下要发生分解反应,生成5一羟甲基糠醛,进一步分解为乙酰丙酸和有色物质。
3、工艺流程图:母液计量罐配料一次喷射器5~10分钟二车间淀粉乳配后淀粉乳维持管加NaCO3调pH5.4~6.2浓度105℃~110℃泵压0.4MPa左右32.5Bx±2.5Bx加液化酶0.25 l/t-0.6l/t 层流罐维持管60-150分钟95℃~100℃二次喷射器高温维持罐闪蒸器层流罐二次喷射后液液化液(关键控制点)温度120℃~135℃泵压0.4MPa 0.2 MPa~0.3MPa维持60~150分钟维持5分钟中和冷却液加酶糖化罐糖化转鼓过滤机灭酶时间30~50分钟中和液糖化液滤后液灭酶后液调pH4.2~4.5 加酶量0.4l/t~1.2l/t干物(关键控制点)自动排液器灭酶温度95℃~103℃冷却温度60℃~65℃糖化时间30~70小时糖化温度61℃±1℃pH4.8~5.0一次板框过滤二次板框过滤交前罐电导率≤100μS/cm 脱色后液滤后液离子交换交后液三效后糖液压力≤0.6MPa 降温至30℃~50℃三效蒸发器冷却器冷却结晶蒸后液冷却糖液糖膏浓度69 Bx~77Bx 温度49℃±3℃pH3.5~4.2色相≤ 4# 放料温度26℃以下时间48~56小时母液去计量干燥(关键控制点)离心机甩母液物料混合温度60℃~85℃化验包装包装间温度18℃~26℃湿糖半成品糖成品糖(入库)热空气温度90℃~140℃包装间湿度45%~65%母液外销4.工艺过程及控制点:1、工艺过程:1)、配料:在有搅拌的情况下,将来料淀粉乳配制成30 Bx~35Bx,加碳酸钠调pH在5.4~6.2范围内按体积浓度计算加酶量,加入淀粉乳计量罐后充分搅拌均匀,通知贮槽打母液按淀粉乳体积的0.1~0.3倍回配母液。
1黄金分割法的优化问题(1)黄金分割法基本思路:黄金分割法适用于[a,b]区间上的任何单股函数求极小值问题,对函数除要求“单谷”外不做其他要求,甚至可以不连续。
因此,这种方法的适应面非常广。
黄金分割法也是建立在区间消去法原理基础上的试探方法,即在搜索区间[a,b]内适当插入两点a1,a2,并计算其函数值。
a1,a2将区间分成三段,应用函数的单谷性质,通过函数值大小的比较,删去其中一段,是搜索区间得以缩小。
然后再在保留下来的区间上作同样的处理,如此迭代下去,是搜索区间无限缩小,从而得到极小点的数值近似解。
(2)黄金分割法的基本原理一维搜索是解函数极小值的方法之一,其解法思想为沿某一已知方向求目标函数的极小值点。
一维搜索的解法很多,这里主要采用黄金分割法(0.618法)。
该方法用不变的区间缩短率0.618代替斐波那契法每次不同的缩短率,从而可以看成是斐波那契法的近似,实现起来比较容易,也易于人们所接受。
黄金分割法是用于一元函数f(x)在给定初始区间[a,b]内搜索极小点α*的一种方法。
它是优化计算中的经典算法,以算法简单、收敛速度均匀、效果较好而著称,是许多优化算法的基础,但它只适用于一维区间上的凸函数[6],即只在单峰区间内才能进行一维寻优,其收敛效率较低。
其基本原理是:依照“去劣存优”原则、对称原则、以及等比收缩原则来逐步缩小搜索区间[7]。
具体步骤是:在区间[a,b]内取点:a1 ,a2 把[a,b]分为三段。
如果f(a1)>f(a2),令a=a1,a1=a2,a2=a+r*(b-a);如果f(a1)<f(a2) ,令b=a2,a2=a1,a1=b-r*(b-a),如果|(b-a)/b|和|(y1-y2)/y2|都大于收敛精度ε重新开始。
因为[a,b]为单峰区间,这样每次可将搜索区间缩小0.618倍或0.382倍,处理后的区间都将包含极小点的区间缩小,然后在保留下来的区间上作同样的处理,如此迭代下去,将使搜索区[a,b]逐步缩小,直到满足预先给定的精度时,即获得一维优化问题的近似最优解。
5 程序原理及系统流程图5.1 主程序图5-1 主程序流程主程序的主要功能是负责浓度和温度的实时显示、读出并处理DS18B20的测量的当前温度值,温度测量每250ms进行一次接收并处理ADC0832的数据。
主程序的第二个功能是查询SET键是否被按下,以实现设置温度上下限的功能。
其程序流程见图5-1所示。
由总的流程图可以分析出,在整个程序中应该包括如下几个部分:读ADC0832子程序、浓度处理子程序、读写DS18B20子程序,温度转换子程序,处理温度数据子程序,数据显示子程序和报警子程序等。
5.2 读出温度子程序读出温度子程序的主要功能是读出RAM中的数据,在读出时需进行CRC校验,校验有错时不进行温度数据的读取。
其程序流程图如图5-2所示。
图5-2 读温度子程序CPU对DS18B20的访问流程是:先对DS18B20初始化,再进行ROM操作命令,最后才能对存储器操作,数据操作。
DS18B20每一步操作都要遵循严格的工作时序和通信协议。
如主机控制DS18B20完成温度转换这一过程,根据DS18B20的通讯协议,须经三个步骤:每一次读写之前都要对DS18B20进行复位,复位成功后发送一条ROM指令,最后发送RAM指令,这样才能对DS18B20进行预定的操作。
程序中将DQ拉低,精确延时,再将DQ拉高,通过判断x的值来确定是否已经初始化完成。
另外,由于DS18B20单线通信功能是分时完成的,它有严格的时隙概念,因此读写时序很重要。
单总线的所有处理均从初始化开始。
初始化过程是主机通过向作为从机的DS18B20芯片发一个有时间宽度要求的初始化脉冲实现的。
初始化后,才可进行读写操作。
ROM操作命令总线主机检测到DS18B20的存在,便可以发出ROM操作命令之一。
对DS18B20操作,先跳过ROM,即是启动DS18B20进行温度变换,之后通过匹配ROM 再逐一地读回每个DS18B20的温度数据。
在DS18B20组成的测温系统中,主机在发出跳过ROM命令之后,再发出统一的温度转换启动码44H,就可以实现所有DS18B20的统一转换,再经过250ms后,就可以用很少的时间去逐一读取。
异步电动机的功率流程图:由异步电动机的运行原理可知:当电动机定子接入三相交流电源后,定子绕组中建立的旋转磁场使转子绕组中感应出电流,两者相互作用产生电磁转矩Te使转子加速,直到稳定于低于同步转速n0的某一转速n0。
由于旋转磁场和转子承受同样的转矩,但具有不同的转速,因此在传到转子上的电磁功率Pm与转子轴上产生的机械功率Pi之间存在功率差Ps,称为转差损耗,它将通过转子导体发热而消耗掉,即Ps=Pcu2。
异步电动机流程图如图。
异步电动机的效率为输出机械功率P2与输入电功率P1之比。
在忽略了电动机定子与转子的一些损耗后,也可以用P2与电磁功率Pm之比来表示,即Ƞ=P2/P1≈P2/Pm=1-s转差功率Ps=sPm=sP2/(1-s)=sKT1n/(1-s)T1=C其中T1——不同性质的负载;C——常数,a=0、1、2分别表示恒转矩负载、转矩与转速成正比的负载以及转矩与转速平方成正比的负载(如离心泵、风机等)可得Ps=s(KC/(1-s)在s=0时,可得电动机最大机械功率输出P2max=KC电动机转差功率损耗系数Ps/P2max=s电动机的转差损耗系数表示转差损耗对调速拖动装置的最大输出机械功率的比值。
比值越大,能耗越大,运行越不经济。
异步电动机交流调速的方法:不论电机的形式怎么变化其工作的原理都是不变的。
任何电机的工作原理都是基于电磁感应定律和电磁力定律的。
三相异步电机同样是基于这两大定律。
当然三相异步电动机基于此,还有自己的特点。
它是感应电机其产生感应电流的方式是定子通入电流,其中一部分磁通在短路环中产生了感应电流。
只有通过电流阻碍磁通,才能使电机产生相位差。
而相位差就是形成旋转磁场的原因。
三相异步电动机有着其固定的转速公式:n=/p(1-s)从上面的公式我们不难看出三相异步电动机的运作原理以及影响因素。
通过其中P、S的不同,从而产生不同的调速方法。
起本质就是改变交流机的同步转速或者不同步转速。
而其中被广泛使用的不改变同步转速方法有许多,其主要有绕线式的多种调速方法,比如转子串电阻调速、串级调速等等。
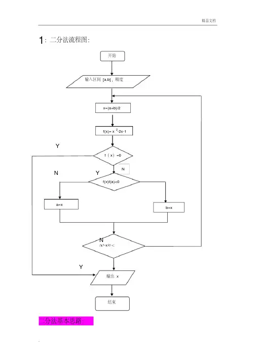
1:二分法流程图:二分法基本思路:一般地,对于函数f(x),如果存在实数c,当x=c 时,若f(c)=0,那么把x=c 叫做函数f(x)的零点。
解方程即要求f(x)的所有零点。
假定f(x)在区间(x ,y )上连续先找到a 、b 属于区间(x ,y ),使f(a),f(b)异号,说明在区间(a,b)内一定有零点,然后求f[(a+b)/2],现在假设f(a)<0,f(b)>0,a<b① 如果f[(a+b)/2]=0,该点就是零点,如果f[(a+b)/2]<0,则在区间((a+b)/2,b)内有零点,(a+b)/2>=a ,从①开始继续使用② 中点函数值判断。
如果f[(a+b)/2]>0,则在区间(a,(a+b)/2)内有零点,(a+b)/2<=b ,从①开始继续使用 中点函数值判断。
这样就可以不断接近零点。
通过每次把f(x)的零点所在小区间收缩一半的方法,使区间的两个端点逐步迫近函数的零点,以求得零点的近似值,这种方法叫做二分法。
从以上可以看出,每次运算后,区间长度减少一半,是线形收敛。
另外,二分法不能计算复根和重根。
二分法步骤:用二分法求方程()0f x =的根*x 的近似值k x 的步骤① 若对于a b <有()()0f a f b <,则在(,)a b 内()0f x =至少有一个根。
② 取,a b 的中点12a b x +=计算1()f x ③ 若1()0f x =则1x 是()0f x =的根,停止计算,运行后输出结果*1x x =若1()()0f a f x <则在1(,)a x 内()0f x =至少有一个根。
取111,a a b x ==;若1()()0f a f x >,则取111,a x b b ==;④ 若12k k b a ε-≤(ε为预先给定的要求精度)退出计算,运行后输出结果*2k ka b x +≈,反之,返回步骤1,重复步骤1,2,3二分法Mtalab 程序syms x;fun=input('(输入函数形式)fx=');a=input('(输入二分法下限)a=');b=input('(输入二分法上限)b=');d=input('输入误差限d=')%二分法求根%f=inline(x^2-4*x+4);%修改需要求解的inline函数的函数体f=inline(fun);%修改需要求解的inline函数的函数体e=b-a; k=0 ;while e>dc=(a+b)/2;if f(a)*f(c)<0b=c;elseif f(a)*f(c)>0a=c;elsea=c;b=cende=e/2; k=k+1;endx=(a+b)/2;x%x为答案k%k为次数2,牛顿法及流程图:方程f(x)=0的根就是曲线y=f(x)与x轴交点的横坐标x*,当初始近似值x0选取后,过( x0,f(x0))作切线,其切线方程为:y- f(x0)=f′(x0)(x-x0)它与x轴交点的横坐标为x一般地,设是x*的第n次近似值,过( x,f(x))作y=f(x)的切线,其切线与x轴交点的横坐标为:x = - 即用切线与x轴交点的横坐标近似代曲线与x轴交点的横坐标,如图牛顿法正因为有此明显的几何意义,所以也叫切线法。
控制系统流程图及流程说明
1.流程图:
2.流程说明:
①工作状态:原水经过控制阀由上布水器进入树脂罐,经树脂层处理
的水通过底部的下布水器,沿着中心升降管向上,再通过控制阀的出水口流出。
②反洗状态:原水进入控制阀后沿中心升降管向下,通过底部的下布
水器经过树脂层向上,最后通过控制阀排污口排出。
其目的是为了松动树脂。
③再生状态:原水经吸盐器产生虹吸,带着再生还原剂(20 以上的
饱和盐水)进入树脂罐,然后经过树脂层进入下布水器和升降管,再通过控制阀排污口排出(实际原水经与20 以上的饱和盐水混合后的盐水浓度为8%左右)。
④慢速清洗状态:原水经控制阀进入树脂罐,经树脂层处理过的水通
过底部的下布水器,然后沿着中心的升降管向上,再通过控制阀排污口流出。
⑤快速清洗状态:原水经控制阀进入树脂罐向下,经过树脂层后进入
下布水器沿升降管向上,最后通过控制阀排污口流出。
⑥盐罐注水状态:原水进入控制阀,经注水器向盐罐注水。
4、软水器的主要技术参数及其工况要求
1.原水硬度:<6mmol/L
2.出水硬度:<0.03mmol/L
3.正常工作水压:0.2-0.6MPa; 试验压力:0.9MPa
4.工作温度: 2-50℃
5.自控电源: 220V/50Hz;
6.设备总压损(管路+控制器+布水器)=0.3kg
7.树脂型号:001×7聚苯乙烯 Na+型强酸性阳离子交换树脂
8.安装要求:地基需水平,并且承重。
设排污沟。
盐罐靠近树脂罐。
9.盐箱内再生液浓度NaCl: >20%
10.用户不可以用加碘盐、加钙盐为再生剂。
收藏!12种塔器工作原理与流程图,温故知新塔设备是石油化工行业最显著的设备,在塔设备内可进行气液或液液两相间的充分接触,实施相间传质,因此在生产过程中常用塔设备进行精馏、吸收、解吸、气体的增湿及冷却等单元操作过程。
1.填料吸收塔填料吸收塔介绍:填料塔是以塔内的填料作为气液两相间接触构件的传质设备。
填料塔塔身是一直立式圆筒,底部装有填料支承板,填料以乱堆或整砌的方式放置在支撑板上。
填料的上方安装填料压板,以防被上升气流吹动。
液体从塔顶经液体分布器喷淋到填料上,并沿填料表面流下。
气体从塔底送入,经气体分布装置(小直径塔一般不设气体分布装置)分布后,与液体呈逆流连续通过填料层的空隙,在填料表面上,气液两相密切接触进行传质。
填料塔属于连续接触式气液传质设备,两相组成沿塔高连续变化,在正常操作状态下,气相为连续相,液相为分散相。
优点:生产能力大,分离效率高,压降小,持液量小,操作弹性大等。
缺点:填料造价高;当液体负荷较小时不能有效地润湿填料表面,使传质效率降低;不能直接用于有悬浮物或容易聚合的物料;对侧线进料和出料等复杂精馏不太适合等。
2.板式精馏塔板式精馏塔板式精馏塔内部流动情况板式塔为逐级接触式气液传质设备,它主要由圆柱形壳体、塔板、溢流堰、降液管及受液盘等部件构成。
原理:液体依靠重力作用,由上层塔板的降液管流到下层塔板的受液盘,然后横向流过塔板,从另一侧的降液管流至下一层塔板。
溢流堰的作用是使塔板上保持一定厚度的液层。
气体则在压力差的推动下,自下而上穿过各层塔板的气体通道(泡罩、筛孔或浮阀等),分散成小股气流,鼓泡通过各层塔板的液层。
在塔板上,气液两相密切接触,进行热量和质量的交换。
在板式塔中,气液两相逐级接触,两相的组成沿塔高呈阶梯式变化,在正常操作下,液相为连续相,气相为分散相。
3.气体冷却塔气体冷却塔冷却塔作用:工业生产过程中产生的废热,一般要用冷却水来带走。
冷却塔的作用就是将挟带废热的冷却水在塔内与空气进行热交换,使废热传输给空气并散入大气中。
中级工aao工艺流程图及原理下载温馨提示:该文档是我店铺精心编制而成,希望大家下载以后,能够帮助大家解决实际的问题。
文档下载后可定制随意修改,请根据实际需要进行相应的调整和使用,谢谢!并且,本店铺为大家提供各种各样类型的实用资料,如教育随笔、日记赏析、句子摘抄、古诗大全、经典美文、话题作文、工作总结、词语解析、文案摘录、其他资料等等,如想了解不同资料格式和写法,敬请关注!Download tips: This document is carefully compiled by theeditor. I hope that after you download them,they can help yousolve practical problems. The document can be customized andmodified after downloading,please adjust and use it according toactual needs, thank you!In addition, our shop provides you with various types ofpractical materials,such as educational essays, diaryappreciation,sentence excerpts,ancient poems,classic articles,topic composition,work summary,word parsing,copy excerpts,other materials and so on,want to know different data formats andwriting methods,please pay attention!中级工AAO工艺流程图及原理如下:1. 预处理:原水经过粗格栅去除较大的漂浮物和悬浮物,然后流入沉砂池,在沉砂池中,比重较大的固体颗粒在重力作用下自然沉降,通过刮砂机收集并外运。
简易电子琴的设计作者:luwenxi一、设计题目:设计一简易电子琴,要求能够发出1、2、3、4、5、6、7等七个音符。
使用元件:AT89C51、LM324,喇叭,按键等二、设计目的(1)能够对电子电路、电子元器件、印制电路板等方面的知识有进一步的认识,独立对其进行测试与检查。
(2)熟悉8051单片机的内部结构和功能,合理使用其内部寄存器,能够完成相关软件编程设计工作。
(3)为实现预期功能,能够对系统进行快速的调试,并能够对出现的功能故障进行分析,及时修改相关软硬件。
(4)对软件编程、排错调试、焊接技术、相关仪器设备的使用技能等方面得到较全面的锻炼和提高。
三、系统硬件图流程图:原理:(一)音乐产生原理及硬件设计由于一首音乐是许多不同的音阶组成的,而每个音阶对应着不同的频率,这样我们就可以利用不同的频率的组合,即可构成我们所想要的音乐了,当然对于单片机来产生不同的频率非常方便,我们可以利用单片机的定时/计数器T0来产生这样方波频率信号,因此,我们只要把一首歌曲的音阶对应频率关系弄正确即可。
本次设计中单片机晶振为12MHZ,那么定时器的计数周期为1MHZ,假如选择工作方式1,那T值便为T=21 6--5﹡105/相应的频率,那么根据不同的频率计算出应该赋给定时器的计数值,列出不同音符与单片机计数T0相关的计数值如下表所示:音符频率(HZ)简谱码(T值)中1DO52364580中2RE58764684中3M65964777中4FA69864820中5SO78464898中6LA88064968中7SI98865030采用查表程序进行查表时,可以为这个音符建立一个表格,有助于单片机通过查表的方式来获得相应的数据:TABLE DW64580,64684,64777,64820,64898,64968,65030源程序:方案一:产生按键音符ORG0000HLJMP MAINORG000BHLJMP BREAKMAIN:MOV TMOD,#01H;设置定时器0的工作方式SETB EASETB ET0;设置定时器0中断SETB TR0;启动定时器0WAIT1:LCALL KEY;调用KEY子程序,判断有键按下否?第几个键?CLR EA;屏蔽中断CJNE R3,#00H,WAIT1;如果R3=0,表示有键按下MOV A,22H;将22H里存放的按键号送给ARL A;因为查表里都是字,所以得乘2查得数据MOV DPTR,#TABLE;指向表头MOVC A,@A+DPTR;查表MOV TH0,A;将数据高位送TH0MOV21H,A;将高位备份MOV A,22H;将22H里存放的按键号送给ARL A;因为查表里都是字,所以得乘2查得数据INC A;取低位数据MOVC A,@A+DPTRMOV TL0,AMOV20H,AWAIT2:LCALL KEYSETB EACJNE R3,#00H,WAIT1JMP WAIT2KEY:MOV R3,#00H;KEY子程序,判断有键按下否?第几个键?MOV R1,#0FFHMOV R0,#00HMOV A,R1MOV P2,AMOV A,P2CLR CCPL C;利用标志位CY来判断是哪个键按下MOV R2,#08HWAIT3:RLC A;移位判断JNC STOREINC R0DJNZ R2,WAIT3STORE:MOV22H,R0;将按键号存22H,R3=0有键按下MOV R3,#00HRETBREAK:PUSH ACC;中断产生方波,从P1.0口输出PUSH PSWMOV TL0,20HMOV TH0,21HCPL P1.0POP PSWPOP ACCRETITABLE:DW65030,64968,64898,64820,64777,64684,64580;7,6,5,4,3,2,1 END方案二:产生按键音符ORG0000HSJMP STARTORG000BHAJMP INT_0ORG0030HSTART:MOV P1,#00HSETB EASETB ET0;计数器0MOV TMOD,#02HMOV TH1,#09CHMOV TL1,#09CH;定时器初植CLR TR0;定时器不允许SCAN:;键盘扫描MOV A,P2;判断键盘按下,跳到SCAN_1,若未按,继续扫描CJNE A,#0FFH,SCAN_1NOPSJMP SCANSCAN_1:ACALL DELAY;是不是真的要按下?如果是,则跳转SU_KEY查询是哪个按下?MOV A,P2CJNE A,#0FFH,SU_KEYNOPSJMP SCANSU_KEY:JNB P2.1,MU_1;判断是哪个键按下?JNB P2.2,MU_2JNB P2.3,MU_3JNB P2.4,MU_4JNB P2.5,MU_5JNB P2.6,MU_6JNB P2.7,MU_7SJMP SCAN;R1信号周期MU_1:MOV R1,#19;如果第一个按键按下,则R1=19,同时程序转NEXTSJMP NEXTMU_2:MOV R1,#17SJMP NEXTMU_3:MOV R1,#15SJMP NEXTMU_4:MOV R1,#14SJMP NEXTMU_5:MOV R1,#13SJMP NEXTMU_6:MOV R1,#11SJMP NEXTMU_7:MOV R1,#10SJMP NEXTNEXT:MOV A,R1MOV R0,ASETB TR0;启动定时器0NEXT_1:MOV A,P2;没键按下继续执行,有键按下,返回读引脚CJNE A,#0FFH,NEXT_1ACALL DELAYMOV A,P2;真的没键按下?CJNE A,#0FFH,NEXT_1CLR TR0;不响AJMP SCAN;扫描键盘去INT_0:;中断程序DJNZ R0,RE;R0不等于0时,返回CPL P1.0MOV A,R1MOV R0,ARE:RETIDELAY:MOV R7,#100;延长时间等待,键盘消抖D1:MOV R6,#10D2:DJNZ R6,D2DJNZ R7,D1RETEND生日快乐歌:(扩展功能部分程序)ORG0000HJMP MAINORG000BHJMP TT0MAIN:MOV TMOD,#01H;设置定时器0工作方式MOV IE,#82H;设置中断MAIN0:MOV30H,#00HNEXT:MOV A,30HMOV DPTR,#TABLE;查表MOVC A,@A+DPTRMOV R2,AJZ STOPANL A,0FHMOV R5,AMOV A,R2SWAP AANL A,#0FHJNZ SINGCLR TR0JMP W1SING:DEC AMOV22H,ARL AMOV DPTR,#TABLE1;查表MOVC A,@A+DPTRMOV TH0,AMOV21H,AMOV A,22HRL AINC AMOVC A,@A+DPTRMOV TL0,AMOV20H,ASETB TR0W1:CALL DELAYINC30HJMP NEXTSTOP:CLR TR0JMP MAIN0TT0:PUSH ACC;中断服务程序PUSH PSWMOV TL0,20HMOV TH0,21HCPL P1.0POP PSWPOP ACCRETIDELAY:MOV R7,#2;延时187msW2:MOV R4,#187W3:MOV R3,#248DJNZ R3,$DJNZ R4,W3DJNZ R7,W2DJNZ R5,DELAYRETTABLE1:DW64260,64400,64524,64580;音符计数植DW64684,64777,64820,64898DW64968,65030,65058,65110DW65157,65178,65217TABLE:DB82H,01H,81H,94H,84H;节拍表DB0B4H,0A4H,04HDB82H,01H,81H,94H,84HDB0C4H,0B4H,04HDB82H,01H,81H,0F4H,0D4HDB0B4H,0A4H,94HDB0E2H,01H,0E1H,0D4H,0B4HDB0C4H,0B4H,04HDB82H,01H,81H,94H,84HDB0B4H,0A4H,04HDB82H,01H,81H,94H,84HDB0C4H,0B4H,04HDB82H,01H,81H,0F4H,0D4HDB0B4H,0A4H,94HDB0E2H,01H,0E1H,0D4H,0B4HDB0C4H,0B4H,04HDB00HEND。