南京信息工程大学-高等数学(上册)-试卷B(含答案)doc资料
- 格式:doc
- 大小:194.50 KB
- 文档页数:8
高等数学上数学试题及答案一、选择题(每题5分,共20分)1. 极限的定义中,若函数f(x)在点x=a处的极限存在,则对于任意的正数ε,都存在正数δ,使得当0<|x-a|<δ时,|f(x)-L|<ε。
则以下哪个选项是正确的?A. ε和δ可以互换B. δ依赖于ε和函数f(x)C. δ依赖于ε和aD. ε依赖于δ和函数f(x)答案:B2. 函数f(x)=x^2在区间[0,1]上的定积分表示的是?A. 曲线y=x^2与x轴围成的面积B. 曲线y=x^2与y轴围成的面积C. 曲线y=x^2与x轴围成的体积D. 曲线y=x^2与y轴围成的体积答案:A3. 以下哪个函数是偶函数?A. f(x)=x^3B. f(x)=x^2C. f(x)=x^2+1D. f(x)=x^3-1答案:B4. 函数f(x)=sin(x)的导数是?A. cos(x)B. -sin(x)C. tan(x)D. -cos(x)答案:A二、填空题(每题5分,共20分)1. 函数f(x)=x^3-3x+2的导数是_________。
答案:3x^2-32. 函数f(x)=e^x的不定积分是_________。
答案:e^x+C3. 函数f(x)=ln(x)的导数是_________。
答案:1/x4. 函数f(x)=x^2+2x+1的极值点是_________。
答案:x=-1三、解答题(每题15分,共30分)1. 计算定积分∫[0,1] (2x+1)dx,并说明其几何意义。
解:∫[0,1] (2x+1)dx = [x^2+x] | [0,1] = (1^2+1) - (0^2+0) = 2几何意义:表示曲线y=2x+1与x轴在区间[0,1]上的面积。
2. 求函数f(x)=x^3-6x^2+9x+1在区间[0,3]上的单调区间。
解:首先求导数f'(x)=3x^2-12x+9,令f'(x)=0,解得x=1或x=3。
在区间[0,1)上,f'(x)>0,函数单调递增;在区间(1,3]上,f'(x)<0,函数单调递减。
高等数学上册试题及参考答案高等数学上册试题及参考答案第一篇:微积分1.已知函数$f(x)=\ln{(\sqrt{(1+x^2)}+x)}$,求$f'(x)$和$f''(x)$。
参考答案:首先,根据对数函数的导数公式$[\lnf(x)]'=\frac{f'(x)}{f(x)}$,我们可以得到$f'(x)$的计算式为:$$f'(x)=\frac{1}{\sqrt{(1+x^2)}+x}\cdot\frac{\fra c{1}{2}\cdot2x}{\sqrt{(1+x^2)}}+\frac{1}{\sqrt{(1+x^2)}+x}$$ 将上式整理化简,得到:$$f'(x)=\frac{1}{\sqrt{(1+x^2)}\cdot(\sqrt{(1+x^2 )}+x)}+\frac{1}{\sqrt{(1+x^2)}+x}$$接下来,我们需要求$f''(x)$。
由于$f'(x)$是由$f(x)$求导得到的,因此$f''(x)$可以通过对$f'(x)$求导得到,即:$$f''(x)=\frac{d}{dx}\left[\frac{1}{\sqrt{(1+x^2) }\cdot(\sqrt{(1+x^2)}+x)}+\frac{1}{\sqrt{(1+x^2)}+x}\r ight]$$通过链式法则和乘法法则,我们得到:$$f''(x)=\frac{-(1+x^2)^{-\frac{3}{2}}\cdot(\sqrt{(1+x^2)}+x)-\frac{1}{2}(1+x^2)^{-\frac{1}{2}}\cdot\frac{2x}{\sqrt{(1+x^2)}}\cdot(\sqrt{ (1+x^2)}+x)^2}{(\sqrt{(1+x^2)}+x)^2}$$将上式整理化简,得到:$$f''(x)=\frac{-1-2x^2}{(1+x^2)^{\frac{3}{2}}\cdot(\sqrt{(1+x^2)}+x)^2}$ $因此,函数$f(x)=\ln{(\sqrt{(1+x^2)}+x)}$的导数$f'(x)$和二阶导数$f''(x)$分别为:$$f'(x)=\frac{1}{\sqrt{(1+x^2)}\cdot(\sqrt{(1+x^2 )}+x)}+\frac{1}{\sqrt{(1+x^2)}+x}$$$$f''(x)=\frac{-1-2x^2}{(1+x^2)^{\frac{3}{2}}\cdot(\sqrt{(1+x^2)}+x)^2}$ $2.计算二重积分$\iint_D(x^2+y^2)*e^{-x^2-y^2}d\sigma$,其中$D$是圆域$x^2+y^2\leqslant 1$。
高等数学试卷一、 单项选择题(本题共5小题,每小题4分,满分20分)1. 由[,]a b 上连续曲线y = g (x ),直线x a =,x b =()a b <和x 轴围成图形的面积S =( ).(A)dx x g ba⎰)((B)dx x g ba⎰)((C) dx x g ba⎰)((D)2))](()([a b a g b g -+2.下列级数中,绝对收敛的是( )(A )()∑∞=--11321n nn n (B )()∑∞=-+-11)1ln(311n n n(C )()∑∞=-+-12191n n n n (D )3.设),(),,(y x v v v x f z ==其中v f ,具有二阶连续偏导数.则=∂∂22y z( ).(A)222y v v f y v y v f ∂∂⋅∂∂+∂∂⋅∂∂∂ (B)22y v v f ∂∂⋅∂∂(C)22222)(y v v f y v v f ∂∂⋅∂∂+∂∂∂∂ (D)2222yv v f y v v f ∂∂⋅∂∂+∂∂⋅∂∂4.⎰-1121dx x ( )(A )2 (B )-2(C )0 (D )发散5. 求微分方程2x y =''的通解( )(A )21412c x c x y ++= (B)cx x y +=124 (C )c x y +=124 (D )221412c x c x y ++= 二、 填空(本题共5小题,每小题4分,满分20分)1. 若⎰=22sin 3)(x dt t x x f ,则()f x '=2. 设f (x ,y )是连续函数,交换积分次序:⎰⎰⎰⎰+212141410),(),(yy ydx y x f dy dx y x f dy =3.幂级数()()∑∞=--121!21n nn n x 的收敛半径是4. 已知5)2(,3)2(,1)0('===f f f ,则⎰=2'')(dx x xf通解为x ce y x+=的微分方程为三、 计算下列各题(本题共4小题,每小题5分,满分20分)1. x y z cos )(ln =,求。
高数b大一考试题及答案一、选择题(每题4分,共20分)1. 函数f(x)=x^2+3x+2的导数为:A. 2x+3B. 2x+6C. x^2+3D. x^2+3x答案:A2. 极限lim(x→0) (sin(x)/x)的值为:A. 0B. 1C. -1D. 2答案:B3. 以下哪个函数是奇函数?A. f(x) = x^2B. f(x) = x^3C. f(x) = x^4D. f(x) = x答案:B4. 以下哪个级数是收敛的?A. 1 + 1/2 + 1/4 + 1/8 + ...B. 1 - 1/2 + 1/4 - 1/8 + ...C. 1 + 2 + 3 + 4 + ...D. 1/2 + 1/4 + 1/8 + 1/16 + ...答案:B5. 以下哪个积分是正确的?A. ∫x^2 dx = x^3/3 + CB. ∫x^2 dx = x^3 + CC. ∫x^2 dx = 2x^3 + CD. ∫x^2 dx = 3x^3 + C答案:A二、填空题(每题4分,共20分)1. 函数f(x)=e^x的不定积分是______。
答案:e^x + C2. 函数f(x)=cos(x)的不定积分是______。
答案:sin(x) + C3. 函数f(x)=ln(x)的不定积分是______。
答案:x*ln(x) - x + C4. 函数f(x)=x^3的不定积分是______。
答案:x^4/4 + C5. 函数f(x)=1/x的不定积分是______。
答案:ln|x| + C三、计算题(每题10分,共30分)1. 计算极限lim(x→∞) (x^2 - 3x + 2) / (x^3 + 5x^2 - 6x)。
答案:02. 计算定积分∫(0 to 1) x^2 dx。
答案:1/33. 计算定积分∫(-1 to 1) (x^3 - 2x^2 + 3x - 4) dx。
答案:-4四、证明题(每题10分,共20分)1. 证明函数f(x)=x^3在区间(-∞, +∞)上是单调递增的。
《高数》试卷1(上)一.选择题(将答案代号填入括号内,每题3分,共30分).1.下列各组函数中,是相同的函数的是(). (A )()()2ln 2ln f x x g x x == 和 (B )()||f x x =和()g x =(C )()f x x =和()2g x =(D )()||x f x x=和()g x =1 2.函数()()20ln 10x f x x a x ≠⎪=+⎨⎪=⎩在0x =处连续,则a =().(A )0(B )14(C )1(D )2 3.曲线ln y x x =的平行于直线10x y -+=的切线方程为(). (A )1y x =-(B )(1)y x =-+(C )()()ln 11y x x =--(D )y x =4.设函数()||f x x =,则函数在点0x =处().(A )连续且可导(B )连续且可微(C )连续不可导(D )不连续不可微5.点0x =是函数4y x =的().(A )驻点但非极值点(B )拐点(C )驻点且是拐点(D )驻点且是极值点6.曲线1||y x =的渐近线情况是(). (A )只有水平渐近线(B )只有垂直渐近线(C )既有水平渐近线又有垂直渐近线(D )既无水平渐近线又无垂直渐近线7.211f dx x x⎛⎫' ⎪⎝⎭⎰的结果是().(A )1f C x ⎛⎫-+ ⎪⎝⎭(B )1fC x ⎛⎫--+ ⎪⎝⎭(C )1f C x ⎛⎫+ ⎪⎝⎭(D )1f C x ⎛⎫-+ ⎪⎝⎭8.x xdxe e -+⎰的结果是().(A )arctan x e C +(B )arctan x e C -+(C )x x e e C --+(D )ln()x x e e C -++9.下列定积分为零的是().(A )424arctan 1x dx x ππ-+⎰(B )44arcsin x x dx ππ-⎰(C )112x xe e dx --+⎰(D )()121sin x x x dx -+⎰ 10.设()f x 为连续函数,则()12f x dx '⎰等于().(A )()()20f f -(B )()()11102f f -⎡⎤⎣⎦(C )()()1202f f -⎡⎤⎣⎦(D )()()10f f - 二.填空题(每题4分,共20分)1.设函数()2100x e x f x x a x -⎧-≠⎪=⎨⎪=⎩在0x =处连续,则a =.2.已知曲线()y f x =在2x =处的切线的倾斜角为56π,则()2f '=.3.21xy x =-的垂直渐近线有条.4.()21ln dxx x =+⎰.5.()422sin cos x x x dx ππ-+=⎰.三.计算(每小题5分,共30分)1.求极限①21lim xx x x →∞+⎛⎫⎪⎝⎭②()20sin 1lim x x x x x e →-- 2.求曲线()ln y x y =+所确定的隐函数的导数x y '.3.求不定积分①()()13dx x x ++⎰②()0a >③x xe dx -⎰四.应用题(每题10分,共20分) 1.作出函数323y x x =-的图像.2.求曲线22y x =和直线4y x =-所围图形的面积.《高数》试卷1参考答案一. 选择题1.B2.B3.A4.C5.D6.C7.D8.A9.A10.C二.填空题 1.2- 2.3-3.2 4.arctanln x c + 5.2 三.计算题1①2e ②162.11xy x y '=+-3.①11ln ||23x C x +++②ln ||x C +③()1x e x C --++四.应用题1.略 2.18S =《高数》试卷2(上)一.选择题(将答案代号填入括号内,每题3分,共30分)1.下列各组函数中,是相同函数的是().(A)()f x x =和()g x =()211x f x x -=-和1y x =+(C)()f x x =和()22(sin cos )g x x x x =+(D)()2ln f x x =和()2ln g x x =2.设函数()()2sin 21112111x x x f x x x x -⎧<⎪-⎪⎪==⎨⎪->⎪⎪⎩,则()1lim x f x →=(). (A)0(B)1(C)2(D)不存在3.设函数()y f x =在点0x 处可导,且()f x '>0,曲线则()y f x =在点()()00,x f x 处的切线的倾斜角为{}.(A)0(B)2π(C)锐角(D)钝角 4.曲线ln y x =上某点的切线平行于直线23y x =-,则该点坐标是().(A)12,ln 2⎛⎫ ⎪⎝⎭(B)12,ln 2⎛⎫- ⎪⎝⎭(C)1,ln 22⎛⎫ ⎪⎝⎭(D)1,ln 22⎛⎫- ⎪⎝⎭5.函数2x y x e -=及图象在()1,2内是().(A)单调减少且是凸的(B)单调增加且是凸的(C)单调减少且是凹的(D)单调增加且是凹的6.以下结论正确的是().(A)若0x 为函数()y f x =的驻点,则0x 必为函数()y f x =的极值点. (B)函数()y f x =导数不存在的点,一定不是函数()y f x =的极值点. (C)若函数()y f x =在0x 处取得极值,且()0f x '存在,则必有()0f x '=0.(D)若函数()y f x =在0x 处连续,则()0f x '一定存在. 7.设函数()y f x =的一个原函数为12xx e ,则()f x =(). (A)()121xx e -(B)12xx e -(C)()121x x e +(D)12xxe 8.若()()f x dx F x c =+⎰,则()sin cos xf x dx =⎰().(A)()sin F x c +(B)()sin F x c -+(C)()cos F x c +(D)()cos F x c -+9.设()F x 为连续函数,则102x f dx ⎛⎫' ⎪⎝⎭⎰=().(A)()()10f f -(B)()()210f f -⎡⎤⎣⎦(C)()()220f f -⎡⎤⎣⎦(D)()1202f f ⎡⎤⎛⎫- ⎪⎢⎥⎝⎭⎣⎦10.定积分ba dx ⎰()ab <在几何上的表示().(A)线段长b a -(B)线段长a b -(C)矩形面积()1a b -⨯(D)矩形面积()1b a -⨯二.填空题(每题4分,共20分)1.设()()2ln 101cos 0x x f x xa x ⎧-⎪≠=⎨-⎪=⎩,在0x =连续,则a =________.2.设2sin y x =,则dy =_________________sin d x .3.函数211xy x =+-的水平和垂直渐近线共有_______条. 4.不定积分ln x xdx =⎰______________________.5.定积分2121sin 11x x dx x-+=+⎰___________. 三.计算题(每小题5分,共30分)1.求下列极限:①()10lim 12xx x →+②arctan 2lim 1x x xπ→+∞-2.求由方程1y y xe =-所确定的隐函数的导数x y '.3.求下列不定积分:①3tan sec x xdx ⎰②()220dx a x a>+⎰③2x x e dx ⎰ 四.应用题(每题10分,共20分)1.作出函数313y x x =-的图象.(要求列出表格)2.计算由两条抛物线:22,y x y x ==所围成的图形的面积.《高数》试卷2参考答案一.选择题:CDCDBCADDD二填空题:1.-22.2sin x 3.34.2211ln 24x x x c -+ 5.2π三.计算题:1.①2e ②12.2yx e y y '=- 3.①3sec 3xc +②)ln x c +③()222x x x e c -++四.应用题:1.略2.13S =《高数》试卷3(上)一、 填空题(每小题3分,共24分)1.函数y =的定义域为________________________.2.设函数()sin 4,0,0xx f x x a x ⎧≠⎪=⎨⎪=⎩,则当a =_________时,()f x 在0x =处连续.3.函数221()32x f x x x -=-+的无穷型间断点为________________.4.设()f x 可导,()x y f e =,则____________.y '=5.221lim _________________.25x x x x →∞+=+- 6.321421sin 1x xdx x x -+-⎰=______________. 7.20_______________________.x td e dt dx -=⎰ 8.30y y y '''+-=是_______阶微分方程. 二、求下列极限(每小题5分,共15分)1.01lim sin x x e x →-;2.233lim 9x x x →--;3.1lim 1.2xx x -→∞⎛⎫+ ⎪⎝⎭三、求下列导数或微分(每小题5分,共15分)1.2xy x =+,求(0)y '.2.cos x y e =,求dy . 3.设x y xy e +=,求dydx.四、求下列积分(每小题5分,共15分)1.12sin x dx x ⎛⎫+ ⎪⎝⎭⎰.2.ln(1)x x dx +⎰.3.120x e dx ⎰五、(8分)求曲线1cos x t y t=⎧⎨=-⎩在2t π=处的切线与法线方程.六、(8分)求由曲线21,y x =+直线0,0y x ==和1x =所围成的平面图形的面积,以及此图形绕y 轴旋转所得旋转体的体积.七、(8分)求微分方程6130y y y '''++=的通解. 八、(7分)求微分方程x yy e x'+=满足初始条件()10y =的特解. 《高数》试卷3参考答案一.1.3x< 2.4a = 3.2x = 4.'()x x e f e5.126.07.22x xe -8.二阶二.1.原式=0lim 1x xx→= 2.311lim36x x →=+ 3.原式=112221lim[(1)]2x x e x--→∞+= 三.1.221','(0)(2)2y y x ==+2.cos sin x dy xe dx =-3.两边对x 求写:'(1')x y y xy e y +==+ 四.1.原式=lim 2cos x x C -+2.原式=2221lim(1)()lim(1)[lim(1)]22x x x d x x d x x +=+-+⎰⎰=22111lim(1)lim(1)(1)221221x x x x dx x x dx x x +-=+--+++⎰⎰ =221lim(1)[lim(1)]222x x x x x C +--+++ 3.原式=1221200111(2)(1)222x x e d x e e ==-⎰五.sin 1,122dy dy tt t y dx dx ππ=====且 切线:1,1022y x y x ππ-=---+=即法线:1(),1022y x y x ππ-=--+--=即六.12210013(1)()22S x dx x x =+=+=⎰七.特征方程:2312613032(cos 2sin 2)x r r r iy e C x C x -++=⇒=-±=+八.11()dxdxxx x y ee edx C -⎰⎰=+⎰由10,0y x C ==⇒=《高数》试卷4(上)一、选择题(每小题3分)1、函数2)1ln(++-=x x y 的定义域是().A []1,2-B [)1,2-C (]1,2-D ()1,2- 2、极限x x e ∞→lim 的值是().A 、∞+B 、0C 、∞-D 、不存在3、=--→211)1sin(lim x x x ().A 、1B 、0C 、21-D 、214、曲线23-+=x x y 在点)0,1(处的切线方程是()A 、)1(2-=x yB 、)1(4-=x yC 、14-=x yD 、)1(3-=x y 5、下列各微分式正确的是(). A 、)(2x d xdx =B 、)2(sin 2cos x d xdx = C 、)5(x d dx --=D 、22)()(dx x d =6、设⎰+=C xdx x f 2cos 2)(,则=)(x f ().A 、2sin xB 、2sin x -C 、C x +2sinD 、2sin 2x-7、⎰=+dx xxln 2(). A 、C x x++-22ln 212B 、C x ++2)ln 2(21C 、C x ++ln 2lnD 、C xx++-2ln 1 8、曲线2x y =,1=x ,0=y 所围成的图形绕y 轴旋转所得旋转体体积=V ().A 、⎰14dx x πB 、⎰1ydy πC 、⎰-10)1(dy y πD 、⎰-14)1(dx x π9、⎰=+101dx e e xx(). A 、21lne +B 、22ln e +C 、31ln e +D 、221ln e+ 10、微分方程x e y y y 22=+'+''的一个特解为(). A 、x e y 273=*B 、x e y 73=*C 、x xe y 272=*D 、x e y 272=* 二、 填空题(每小题4分)1、设函数x xe y =,则=''y ;2、如果322sin 3lim0=→x mx x ,则=m .3、=⎰-113cos xdx x ;4、微分方程044=+'+''y y y 的通解是.5、函数x x x f 2)(+=在区间[]4,0上的最大值是,最小值是;三、计算题(每小题5分)1、求极限x x x x --+→11lim;2、求x x y sin ln cot 212+=的导数;3、求函数1133+-=x x y 的微分;4、求不定积分⎰++11x dx;5、求定积分⎰eedx x 1ln ;6、解方程21xy xdx dy -=; 四、应用题(每小题10分)1、求抛物线2x y =与22x y -=所围成的平面图形的面积.2、利用导数作出函数323x x y -=的图象.参考答案一、1、C ;2、D ;3、C ;4、B ;5、C ;6、B ;7、B ;8、A ;9、A ;10、D ;二、1、x e x )2(+;2、94;3、0;4、x e x C C y 221)(-+=;5、8,0三、1、1;2、x 3cot -;3、dx x x 232)1(6+;4、C x x +++-+)11ln(212;5、)12(2e -;6、C x y =-+2212; 四、1、38;2、图略《高数》试卷5(上)一、选择题(每小题3分)1、函数)1lg(12+++=x x y 的定义域是().A 、()()+∞--,01,2B 、()),0(0,1+∞-C 、),0()0,1(+∞-D 、),1(+∞- 2、下列各式中,极限存在的是().A 、x x cos lim 0→B 、x x arctan lim ∞→C 、x x sin lim ∞→D 、x x 2lim +∞→3、=+∞→xx xx )1(lim ().A 、eB 、2eC 、1D 、e14、曲线x x y ln =的平行于直线01=+-y x 的切线方程是().A 、x y =B 、)1)(1(ln --=x x yC 、1-=x yD 、)1(+-=x y 5、已知x x y 3sin =,则=dy ().A 、dx x x )3sin 33cos (+-B 、dx x x x )3cos 33(sin +C 、dx x x )3sin 3(cos +D 、dx x x x )3cos 3(sin + 6、下列等式成立的是().A 、⎰++=-C x dx x 111αααB 、⎰+=C x a dx a x x lnC 、⎰+=C x xdx sin cosD 、⎰++=C x xdx 211tan7、计算⎰xdx x e x cos sin sin 的结果中正确的是().A 、C e x +sinB 、C x e x +cos sin C 、C x e x +sin sinD 、C x e x +-)1(sin sin8、曲线2x y =,1=x ,0=y 所围成的图形绕x 轴旋转所得旋转体体积=V ().A 、⎰104dx x πB 、⎰1ydy πC 、⎰-10)1(dy y πD 、⎰-14)1(dx x π9、设a ﹥0,则=-⎰dx x a a22().A 、2aB 、22a πC 、241a 0D 、241a π 10、方程()是一阶线性微分方程.A 、0ln 2=+'xyy x B 、0=+'y e y xC 、0sin )1(2=-'+y y y xD 、0)6(2=-+'dy x y dx y x二、填空题(每小题4分)1、设⎩⎨⎧+≤+=0,0,1)( x b ax x e x f x ,则有=-→)(lim 0x f x ,=+→)(lim 0x f x ;2、设x xe y =,则=''y ;3、函数)1ln()(2x x f +=在区间[]2,1-的最大值是,最小值是;4、=⎰-113cos xdx x ;5、微分方程023=+'-''y y y 的通解是. 三、计算题(每小题5分)1、求极限)2311(lim 21-+--→x x x x ;2、求x x y arccos 12-=的导数;3、求函数21xx y -=的微分;4、求不定积分⎰+dx xx ln 21;5、求定积分⎰eedx x 1ln ;6、求方程y xy y x =+'2满足初始条件4)21(=y 的特解.四、 应用题(每小题10分)1、求由曲线22x y -=和直线0=+y x 所围成的平面图形的面积.2、利用导数作出函数49623-+-=x x x y 的图象.参考答案(B 卷)一、1、B ;2、A ;3、D ;4、C ;5、B ;6、C ;7、D ;8、A ;9、D ;10、B.二、1、2,b ;2、x e x )2(+;3、5ln ,0;4、0;5、x x e C e C 221+.三、1、31;2、1arccos 12---x x x ;3、dx xx 221)1(1--;4、C x ++ln 22;5、)12(2e -;6、x e x y 122-=; 四、1、29;2、图略。
高等数学期末考试卷课程高等数学(A 、B 类)(A 卷)参考答案2018~2019学年第 1 学期一.填空题(每小题3分,共15分) 1.3sin 0lim 12x x x → += 32e2.设()f x 可导,则极限0(1)(1)lim x f h f h h αβ→+−−=()(1)f αβ′+3.不定积分2ln 2x dx =∫22ln 2xC+4.若连续函数()f x 满足:20()sin x f t dt x x π=∫,则(4)f =2π5.反常积分20x x e dx +∞−=∫ 2 。
二. 选择题(每小题3分,共15分)1.设麦克劳林公式221(),x e x ax o x −−=+则常数a =( B )(A )1 (B )12 (C )13 (D )162.设曲线11x y e =−水平渐近线的条数为a ,铅直渐近线的条数为b ,则( D )(A)0,1a b ==; (B)1,0a b ==; (C)1,1a b ==; (D)2,1a b ==。
3.设()ln 2,y x =则它的微分dy =( D )(A) 12||dx x (B) 12dx x (C)1||dx x (D) 1dxx 4.设定积分32231211ln ,ln ,I xdx I xdx ==∫∫则( C )(A )12I I = (B ) 1223I I = (C ) 12I I > (D ) 12I I <5.从原点()0,0引曲线y =( B )(A )y x = (B )12y x =(C )2y x =(D )23y x=三.计算(每小题8分,共48分)1.求极限x →解:原式=0x →0x x →→012x →=012x →=201cos x x x →−=2. 已知(ln ,y x =求11,x x dy y ==′′。
解:因为 y ′=所以1x dy dx ==y ′′=1x y =′′3、设函数()y f x =由方程x y e e xy −=所确定,求导数0,x y y =′′′ 解:由方程x y e e xy −=的两边对x 求导,得x y e e y y xy ′′−=+,从而可解得x y e y y e x+′=+且当0x = 时得0y =,将0x =,0y =代入上式得(0)1y ′=再由方程x y e e y y xy ′′−=+的两边对x 求导数得 2x y y e e y e y y y xy ′′′′′′′−−=++,将0x =,0y =,(0)1y ′=代入上式得02x y =′′=−。
第一学期期末高等数学试卷一、解答下列各题(本大题共16小题,总计80分)1、(本小题5分)求极限 lim x x x x x x →-+-+-23321216291242、(本小题5分) .d )1(22x x x ⎰+求3、(本小题5分) 求极限limarctan arcsinx x x →∞⋅14、(本小题5分)⎰-.d 1x x x 求5、(本小题5分) .求dt t dx d x ⎰+2021 6、(本小题5分)⎰⋅.d csc cot 46x x x 求7、(本小题5分) .求⎰ππ2121cos 1dx x x8、(本小题5分) 设确定了函数求.x e t y e ty y x dy dx t t ==⎧⎨⎪⎩⎪=cos sin (),229、(本小题5分) .求dx x x ⎰+301 10、(本小题5分)求函数 的单调区间y x x =+-42211、(本小题5分) .求⎰π+202sin 8sin dx x x 12、(本小题5分).,求设 dx t t e t x kt )sin 4cos 3()(ωω+=-13、(本小题5分) 设函数由方程所确定求.y y x y y x dy dx =+=()ln ,226 14、(本小题5分)求函数的极值y e e x x =+-215、(本小题5分) 求极限lim ()()()()()()x x x x x x x →∞++++++++--121311011011112222Λ16、(本小题5分) .d cos sin 12cos x x x x ⎰+求二、解答下列各题(本大题共2小题,总计14分)1、(本小题7分),,512沿一边可用原来的石条围平方米的矩形的晒谷场某农场需建一个面积为.,,才能使材料最省多少时问晒谷场的长和宽各为另三边需砌新石条围沿2、(本小题7分) .8232体积轴旋转所得的旋转体的所围成的平面图形绕和求由曲线ox x y x y ==三、解答下列各题 ( 本 大 题6分 )设证明有且仅有三个实根f x x x x x f x ()()()(),().=---'=1230一学期期末高数考试(答案)一、解答下列各题(本大题共16小题,总计77分)1、(本小题3分)解原式:lim =--+→x x x x 22231261812 =-→lim x x x 261218 =22、(本小题3分) ⎰+x x x d )1(22 ⎰++=222)1()1d(21x x =-++12112x c .3、(本小题3分) 因为arctan x <π2而limarcsin x x →∞=10故limarctan arcsin x x x →∞⋅=10 4、(本小题3分) ⎰-x x x d 1 x x x d 111⎰----= ⎰⎰-+-=x x x 1d d =---+x x c ln .1 5、(本小题3分)原式=+214x x6、(本小题4分) ⎰⋅x x x d csc cot 46⎰+-=)d(cot )cot 1(cot 26x x x=--+171979cot cot .x x c7、(本小题4分) 原式=-⎰cos ()1112x d x ππ=-sin 112x ππ=-1 8、(本小题4分) 解: dy dx e t t e t t t t t =+-22222(sin cos )(cos sin ) =+-e t t t t t t (sin cos )(cos sin )2222 9、(本小题4分)令 1+=x u 原式=-⎰24122()u u du=-2535312()u u =11615 10、(本小题5分) ),(+∞-∞函数定义域 01)1(222='=-=-='y x x x y ,当 (][)+∞<'>∞->'<,1011,01函数的单调减区间为,当函数单调增区间为, 当y x y x 11、(本小题5分)原式=--⎰d x x cos cos 9202π=-+-163302ln cos cos x x π=162ln12、(本小题6分) dx x t dt ='()[]dt t k t k e kt ωωωωsin )34(cos )34(+--=- 13、(本小题6分) 2265yy y y x '+'='=+y yx y 315214、(本小题6分) 定义域,且连续(),-∞+∞ '=--y e e x x 2122()驻点:x =1212ln 由于''=+>-y e e x x 20 22)21ln 21(,,=y 故函数有极小值 15、(本小题8分) 原式=++++++++--→∞lim ()()()()()()x x x x x x x 1121311011011112222Λ =⨯⨯⨯⨯=101121610117216、(本小题10分) dx x x dx x x x ⎰⎰+=+2sin 2112cos cos sin 12cos :解⎰++=x x d 2sin 211)12sin 21(=++ln sin 1122x c 二、解答下列各题(本大题共2小题,总计13分)1、(本小题5分)设晒谷场宽为则长为米新砌石条围沿的总长为 x xL x x x ,,()51225120=+> '=-=L x x 2512162 唯一驻点 ''=>=L x x 10240163 即为极小值点 故晒谷场宽为米长为米时可使新砌石条围沿所用材料最省165121632,,= 2、(本小题8分)解 :,,.x x x x x x 232311288204====V x x dx x x dx x =-⎡⎣⎢⎤⎦⎥=-⎰⎰ππ()()()223204460428464=⋅-⋅π()1415164175704x x π=-π=35512)7151(44三、解答下列各题( 本 大 题10分 ) 证明在连续可导从而在连续可导:()(,),,[,];,.f x -∞+∞03又f f f f ()()()()01230====则分别在上对应用罗尔定理得至少存在[,],[,],[,](),011223f x ξξξξξξ1231230112230∈∈∈'='='=(,),(,),(,)()()()使f f f 即至少有三个实根'=f x (),0,,,0)(它至多有三个实根是三次方程又='x f由上述有且仅有三个实根'f x ()高等数学(上)试题及答案一、 填空题(每小题3分,本题共15分)1、.______)31(lim 20=+→x x x 。
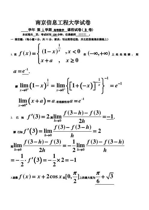
南京信息工程大学试卷学年 第 1学期 高等数学 课程试卷( B 卷)本试卷共 页;考试时间 120分钟;任课教师 课程组 ;一 填空题:(每小题4分,共32分,要求:写出简答过程,并且把答案填在横线上)1.设1(1),0(),xx x f x x a x ⎧⎪-<=⎨⎪+≥⎩在(,)-∞+∞上处处连续,则a =-1e。
解()()1111lim 1lim 1x xx x x x e-----→→⎧⎫⎡⎤-=+-=⎨⎬⎣⎦⎩⎭()0lim x x a a +→+=,有连续性有a =-1e2. 已 知(3)2f '=,则0(3)(3)lim2h f h f h →--=1-。
解 已知()0(3)(3)3lim2h f f h f h →--'==则(3)(3)1(3)(3)limlim22h h f h f f f h h h→→----=-()1132122f '=-⋅=-⨯=-3.函数()2cos f x x x =+在[0,]2π上的最大值为6π+解 令()12sin 0f x x '=-=得6x π=()026622f f f ππππ⎛⎫⎛⎫==+=⎪ ⎪⎝⎭⎝⎭则最大值为6π+4. 设5(sin )5(1cos )x t t y t =+⎧⎨=-⎩ , 则t dydx==0,22t d y dx==120解()5sin 051cos t t t dydyt dt dx dxt dt======+22t t t dy d dy dx d d y dx dt dxdxdxdt===⎛⎫ ⎪⎛⎫⎝⎭ ⎪⎝⎭==()()()22cos 1cos sin 1cos 151cos 20t t t tt t =+++==+5. 设1(0)xy xx +=>,则y '=()1ln xx x x x ++解 两边取对数有()ln 1ln y x x =+两边关于x 求导得1ln y x x yx'+=+,整理后即得结果6. 设函数()y y x =由方程cos()0x y xy ++=确定,则dy =sin 11sin y xy dx x xy--。
南京信息工程大学试卷学年 第 1学期 高等数学 课程试卷( B 卷)本试卷共 页;考试时间 120分钟;任课教师 课程组 ;《高等数学A 》考试试卷一.填空题(本题共5小题,每小题4分,共20分)1.设⎩⎨⎧<+≥=0x 1x 0x e f(x) x ,则 f(x)的一个原函数是 .2.曲线12x 11y ++=与x 轴、y 轴和直线4x =所围成的面积是 .3.已知曲线f(x)y =上的任一点f(x))(x,的切线斜率是2x41+,而且曲线经过定点(2,0),则曲线方程 .4.1x x 12x 4x f(x)234-+++=在R上的零点有 个.5.已知(1)'' f 存在,且1xdx)f(e lim3x2xx =⎰→,则=(1)'' f .二.选择题(本题共5小题,每小题4分,共20分)1.已知F(x)具有二阶连续导数(x)'F',则下面正确的是( ) A.⎰=F(x)dF(x)B. ⎰+=+1]dx (x)'[F'x]dx (x)[F'dC. ⎰+=C F(x)(x)dF'D. ⎰++=+C (x)F'F(x)(x)]dx 'F'(x)[F' 2.=∑=∞→1-n 1i ni 2n e n2lim( )A. ⎰2x dx e 2 B. ⎰1x 2dx e 2C. ⎰2 0x2dx e D. ⎰1x 2dx e3.已知F(x)的一阶导数(x)F'在R上连续,且0F(0)=, 则⎰=0x (t)dt xF'd ( )A. (x)dx xF'-B. (x)dx xF'C. (x)dx]xF'[F(x)+-D. (x)]dx xF'[F(x)+-4.设f(x)的导数在x=a 处连续,又x a()lim1f x x a→'=--,则 ( )A.x=a 是f(x)的极小值点B.x=a 是f(x)的极大值点C.(a,f(a))是曲线y=f(x)的拐点D.x=a 不是f(x)的极值点,(a,f(a))也不是曲线y=f(x)的拐 点。
南京信息工程大学试卷学年 第 1学期 高等数学 课程试卷( B 卷)本试卷共 页;考试时间 120分钟;任课教师 课程组 ;一、单项选择题 (本大题有4小题, 每小题4分, 共16分) 1. )(0),sin (cos )( 处有则在设=+=x x x x x f .(A )(0)2f '= (B )(0)1f '=(C )(0)0f '= (D )()f x 不可导.2. )时( ,则当,设133)(11)(3→-=+-=x x x x xx βα.(A )()()x x αβ与是同阶无穷小,但不是等价无穷小; (B )()()x x αβ与是等价无穷小;(C )()x α是比()x β高阶的无穷小; (D )()x β是比()x α高阶的无穷小.3. 若()()()02xF x t x f t dt=-⎰,其中()f x 在区间上(1,1)-二阶可导且'>()0f x ,则( ).(A )函数()F x 必在0x =处取得极大值; (B )函数()F x 必在0x =处取得极小值;(C )函数()F x 在0x =处没有极值,但点(0,(0))F 为曲线()y F x =的拐点; (D )函数()F x 在0x =处没有极值,点(0,(0))F 也不是曲线()y F x =的拐点。
4.)()( , )(2)( )(1=+=⎰x f dt t f x x f x f 则是连续函数,且设(A )22x (B )222x+(C )1x - (D )2x +.二、填空题(本大题有4小题,每小题4分,共16分) 5. =+→xx x sin 2)31(l i m .6. ,)(cos 的一个原函数是已知x f xx=⋅⎰x xxx f d cos )(则.7.lim(cos cos cos )→∞-+++=22221n n nnn n ππππ .8. =-+⎰21212211arcsin -dx xx x .三、解答题(本大题有5小题,每小题8分,共40分)9. 设函数=()y y x 由方程sin()1x ye xy ++=确定,求'()y x 以及'(0)y .10. .d )1(177x x x x ⎰+-求11. . 求,, 设⎰--⎪⎩⎪⎨⎧≤<-≤=1 32)(1020)(dx x f x x x x xe x f x12. 设函数)(x f 连续,=⎰10()()g x f xt dt,且→=0()limx f x A x ,A 为常数. 求'()g x 并讨论'()g x 在=0x 处的连续性.13. 求微分方程2ln xy y x x '+=满足=-1(1)9y 的解.四、 解答题(本大题10分)14. 已知上半平面内一曲线)0()(≥=x x y y ,过点(,)01,且曲线上任一点M x y (,)00处切线斜率数值上等于此曲线与x 轴、y 轴、直线x x =0所围成面积的2倍与该点纵坐标之和,求此曲线方程. 五、解答题(本大题10分)15. 过坐标原点作曲线x y ln =的切线,该切线与曲线x y ln =及x 轴围成平面图形D.(1) 求D 的面积A ;(2) 求D 绕直线x = e 旋转一周所得旋转体的体积V .六、证明题(本大题有2小题,每小题4分,共8分)16. 设函数)(x f 在[]0,1上连续且单调递减,证明对任意的[,]∈01q ,1()()≥⎰⎰qf x d x q f x dx.17. 设函数)(x f 在[]π,0上连续,且0)(0=⎰πx d x f ,0cos )(0=⎰πdx x x f .证明:在()π,0内至少存在两个不同的点21,ξξ,使.0)()(21==ξξf f (提示:设⎰=xdxx f x F 0)()()解答一、单项选择题(本大题有4小题, 每小题4分, 共16分) 1、D 2、A 3、C 4、C二、填空题(本大题有4小题,每小题4分,共16分)5. 6e . 6.c x x +2)cos (21 .7. 2π. 8.3π.三、解答题(本大题有5小题,每小题8分,共40分) 9. 解:方程两边求导(1)c o s ()()x ye y xy xy y +''+++= cos()()cos()x y x ye y xy y x e x xy +++'=-+0,0x y ==,(0)1y '=- 10. 解:767u x x dx du == 1(1)112()7(1)71u du duu u u u -==-++⎰⎰原式 1(ln ||2ln |1|)7u u c =-++ 7712ln ||ln |1|77x x C =-++11.解:1330()xf x dx xe dx ---=+⎰⎰⎰3()xxd e --=-+⎰⎰00232cos (1sin )x x xe e d x πθθθ----⎡⎤=--+-=⎣⎦⎰ 令3214e π=--12. 解:由(0)0f =,知(0)0g =。
南京信息工程大学试卷学年 第 1学期 高等数学 课程试卷( B 卷)本试卷共 9 页;考试时间 120分钟;任课教师 课程组课程组课程组 ;出卷时间年学院学院 专业专业 2009 年级年级 班学号学号 姓名姓名 得分一、填空题一、填空题((每小题3分,共15分) 评分阅卷人1、已知22(,)yf x y x y x +=-,则=),(y x f _____________2、已知p =ò¥+¥--dx ex 2,则=ò¥+--dx e x x0 21___________.3、函数22(,)1f x y x xy y y =++-+在__________点取得极值4、已知y y x x y x f arctan )arctan (),(++=,则=¢)0,1(xf ________.5、以xe x C C y 321)(+=(21,C C 为任意常数)为通解的微分方程是为通解的微分方程是____________________.评分阅卷人p ï222231x y dxdy --2231x y dxdy --2231x y dxdy --三、计算题三、计算题((每小题6分,共60分)评分11、求由23x y =,4=x ,0=y 所围图形绕y 轴旋转的旋转体的体积转体的体积. .12、求二重极限、求二重极限 11lim22220-+++®®y x y x y x .评分评阅人评分评阅人y x 评分评阅评分评阅人ò 评分评阅评分评阅人)1133-+n n 评分评阅人评分评阅人评分评阅人评分评阅人评分x y 评分评阅人评分评阅人一、填空题一、填空题((每小题3分,共15分)1、2(1)1x y y -+. 2、p . 3、)32,31(-. 4、1. 5、"6'0y y y -+=. 二、选择题二、选择题((每小题3分,共15分)6、(C ). .7、 (B).8、(A ) .9、(D). 10、(D).三、计算题三、计算题((每小题6分,共60分)11、求由23x y =,4=x ,0=y 所围图形绕y 轴旋转的旋转体的体积轴旋转的旋转体的体积. . 解:32yx =的反函数为23,0x y y =>。
高等数学上册试题及答案一、选择题(每题4分,共40分)1. 设函数f(x)=x^2-4x+c,若f(1)=0,则c的值为()。
A. -3B. 0C. 3D. 42. 函数y=x^3-3x+1的导数为()。
A. 3x^2-3B. x^2-3C. 3x^2-3xD. x^3-33. 极限lim(x→0) (sinx/x)的值为()。
A. 0B. 1C. -1D. 24. 函数y=e^x的不定积分为()。
A. e^x + CB. e^x - CC. x*e^x + CD. x*e^x - C5. 以下哪个选项是微分方程y''-y=0的通解()。
A. y=C1*cos(x)+C2*sin(x)B. y=C1*e^x+C2*e^(-x)C. y=C1*x+C2D. y=C1*x^2+C2*x6. 曲线y=x^2在点(1,1)处的切线斜率为()。
A. 0B. 1C. 2D. 47. 已知函数f(x)=x^3-6x^2+11x-6,求f'(x)=()。
A. 3x^2-12x+11B. 3x^2-12x+6C. 3x^2-6x+11D. 3x^2-6x+68. 函数y=ln(x)的导数为()。
A. 1/xB. xC. ln(x)D. 19. 已知函数f(x)=x^2-2x+1,求f(2)=()。
A. 1B. 3C. 5D. 710. 极限lim(x→∞) (1/x)的值为()。
A. 0B. 1C. ∞D. -∞二、填空题(每题4分,共20分)1. 若函数f(x)=x^3+2x^2-5x+1,则f'(x)=______。
2. 求定积分∫(0 to 1) (2x+3)dx的值,结果为______。
3. 函数y=x^2-4x+c在x=2处的极值点,当c=______时,该点为极大值点。
4. 函数y=e^(-x^2)的二阶导数为______。
5. 曲线y=x^3-3x^2+2在点(1,0)处的切线方程为y=______。
南京信息工程大学试卷学年 第 1学期 高等数学 课程试卷( B 卷)本试卷共 页;考试时间 120分钟;任课教师 课程组 ;一、单项选择题 (本大题有4小题, 每小题4分, 共16分) 1. )(0),sin (cos )( 处有则在设=+=x x x x x f .(A )(0)2f '= (B )(0)1f '=(C )(0)0f '= (D )()f x 不可导.2. )时( ,则当,设133)(11)(3→-=+-=x x x x xx βα.(A )()()x x αβ与是同阶无穷小,但不是等价无穷小; (B )()()x x αβ与是等价无穷小;(C )()x α是比()x β高阶的无穷小; (D )()x β是比()x α高阶的无穷小.3. 若()()()02xF x t x f t dt=-⎰,其中()f x 在区间上(1,1)-二阶可导且'>()0f x ,则( ).(A )函数()F x 必在0x =处取得极大值; (B )函数()F x 必在0x =处取得极小值;(C )函数()F x 在0x =处没有极值,但点(0,(0))F 为曲线()y F x =的拐点; (D )函数()F x 在0x =处没有极值,点(0,(0))F 也不是曲线()y F x =的拐点。
4.)()( , )(2)( )(1=+=⎰x f dt t f x x f x f 则是连续函数,且设(A )22x (B )222x+(C )1x - (D )2x +.二、填空题(本大题有4小题,每小题4分,共16分) 5. =+→xx x sin 2)31(lim .6.,)(cos 的一个原函数是已知x f xx=⋅⎰x xxx f d cos )(则.7. lim (cos cos cos )→∞-+++=22221L n n n n n n ππππ .8. =-+⎰21212211arcsin -dx xx x .三、解答题(本大题有5小题,每小题8分,共40分)9. 设函数=()y y x 由方程sin()1x ye xy ++=确定,求'()y x 以及'(0)y .10. .d )1(177x x x x ⎰+-求11. . 求,, 设⎰--⎪⎩⎪⎨⎧≤<-≤=1 32)(1020)(dx x f x x x x xe x f x12. 设函数)(x f 连续,=⎰10()()g x f xt dt,且→=0()limx f x A x ,A 为常数. 求'()g x 并讨论'()g x 在=0x 处的连续性.13. 求微分方程2ln xy y x x '+=满足=-1(1)9y 的解.四、 解答题(本大题10分)14. 已知上半平面内一曲线)0()(≥=x x y y ,过点(,)01,且曲线上任一点M x y (,)00处切线斜率数值上等于此曲线与x 轴、y 轴、直线x x =0所围成面积的2倍与该点纵坐标之和,求此曲线方程. 五、解答题(本大题10分)15. 过坐标原点作曲线x y ln =的切线,该切线与曲线x y ln =及x 轴围成平面图形D.(1) 求D 的面积A ;(2) 求D 绕直线x = e 旋转一周所得旋转体的体积V .六、证明题(本大题有2小题,每小题4分,共8分)16. 设函数)(x f 在[]0,1上连续且单调递减,证明对任意的[,]∈01q ,1()()≥⎰⎰qf x d x q f x dx.17. 设函数)(x f 在[]π,0上连续,且0)(0=⎰πx d x f ,0cos )(0=⎰πdx x x f .证明:在()π,0内至少存在两个不同的点21,ξξ,使.0)()(21==ξξf f (提示:设⎰=xdxx f x F 0)()()解答一、单项选择题(本大题有4小题, 每小题4分, 共16分) 1、D 2、A 3、C 4、C二、填空题(本大题有4小题,每小题4分,共16分)5. 6e . 6.c x x +2)cos (21 .7. 2π. 8.3π.三、解答题(本大题有5小题,每小题8分,共40分) 9. 解:方程两边求导(1)cos()()0x ye y xy xy y +''+++=cos()()cos()x y x ye y xy y x e x xy +++'=-+0,0x y ==,(0)1y '=- 10. 解:767u x x dx du == 1(1)112()7(1)71u du duu u u u -==-++⎰⎰原式 1(ln ||2ln |1|)7u u c =-++ 7712ln ||ln |1|77x x C =-++11. 解:1033()x f x dx xe dx ---=+⎰⎰⎰03()x xd e --=-+⎰⎰00232cos (1sin )x xxe e d x πθθθ----⎡⎤=--+-=⎣⎦⎰令3214e π=--12. 解:由(0)0f =,知(0)0g =。
南京信息工程大学-高等数学(上册)-试卷B(含答案)南京信息工程大学试卷学年 第 1学期 高等数学 课程试卷( B 卷)本试卷共 页;考试时间 120分钟;任课教师 课程组 ;一、单项选择题 (本大题有4小题, 每小题4分, 共16分) 1.)(0),sin (cos )( 处有则在设=+=x x x x x f .(A )(0)2f '= (B )(0)1f '=(C )(0)0f '= (D )()f x 不可导.2. )时( ,则当,设133)(11)(3→-=+-=x x x x xx βα.(A )()()x x αβ与是同阶无穷小,但不是等价无穷小; (B )()()x x αβ与是等价无穷小;(C )()x α是比()x β高阶的无穷小; (D )()x β是比()x α高阶的无穷小.3. 若()()()02xF x t x f t dt=-⎰,其中()f x 在区间上(1,1)-二阶可导且'>()0f x ,则( ).(A )函数()F x 必在0x =处取得极大值; (B )函数()F x 必在0x =处取得极小值;(C )函数()F x 在0x =处没有极值,但点(0,(0))F 为曲线()y F x =的拐点; (D )函数()F x 在0x =处没有极值,点(0,(0))F 也不是曲线()y F x =的拐点。
4.)()( , )(2)( )(1=+=⎰x f dt t f x x f x f 则是连续函数,且设(A )22x(B )222x +(C )1x - (D )2x +.二、填空题(本大题有4小题,每小题4分,共16分) 5. =+→xx x sin 2)31(lim .6. ,)(cos 的一个原函数是已知x f x x =⋅⎰x x xx f d cos )(则 .7.lim(cos cos cos )→∞-+++=22221L n n nnn n ππππ .8.=-+⎰21212211arcsin -dx xx x .三、解答题(本大题有5小题,每小题8分,共40分)9. 设函数=()y y x 由方程sin()1x y e xy ++=确定,求'()y x 以及'(0)y .10. .d )1(177x x x x ⎰+-求11.. 求,, 设⎰--⎪⎩⎪⎨⎧≤<-≤=132)(1020)(dx x f x x x x xe x f x12. 设函数)(x f 连续,=⎰1()()g x f xt dt,且→=0()limx f x A x ,A 为常数.求'()g x 并讨论'()g x 在=0x 处的连续性.13. 求微分方程2ln xy y x x '+=满足=-1(1)9y 的解.四、 解答题(本大题10分)14. 已知上半平面内一曲线)0()(≥=x x y y ,过点(,)01,且曲线上任一点M x y (,)00处切线斜率数值上等于此曲线与x 轴、y 轴、直线x x =0所围成面积的2倍与该点纵坐标之和,求此曲线方程.五、解答题(本大题10分)15. 过坐标原点作曲线x y ln =的切线,该切线与曲线x y ln =及x 轴围成平面图形D.(1) 求D 的面积A ;(2) 求D 绕直线x = e 旋转一周所得旋转体的体积六、证明题(本大题有2小题,每小题4分,共8分)16. 设函数)(x f 在[]0,1上连续且单调递减,证明对任意的[,]∈01q ,1()()≥⎰⎰qf x d x q f x dx.17. 设函数)(x f 在[]π,0上连续,且0)(0=⎰πx d x f ,cos )(0=⎰πdx x x f .证明:在()π,0内至少存在两个不同的点21,ξξ,使.0)()(21==ξξf f (提示:设⎰=xdxx f x F 0)()()解答一、单项选择题(本大题有4小题, 每小题4分, 共16分) 1、D 2、A 3、C 4、C二、填空题(本大题有4小题,每小题4分,共16分)5. 6e . 6.c x x +2)cos (21 .7. 2π. 8.3π.三、解答题(本大题有5小题,每小题8分,共40分) 9. 解:方程两边求导(1)cos()()0x y e y xy xy y +''+++= cos()()cos()x y x ye y xy y x e x xy +++'=-+0,0x y ==,(0)1y '=-10. 解:767u x x dx du == 1(1)112()7(1)71u du duu u u u -==-++⎰⎰原式 1(ln ||2ln |1|)7u u c =-++ 7712ln ||ln |1|77x x C =-++11. 解:1033()x f x dx xe dx ---=+⎰⎰⎰3()x xd e --=-+⎰⎰00232cos (1sin )x x xe e d x πθθθ----⎡⎤=--+-=⎣⎦⎰令3214e π=--12. 解:由(0)0f =,知(0)0g =。
===⎰⎰1()()()xxt uf u dug x f xt dt x(0)x ≠02()()()(0)xxf x f u dug x x x-'=≠⎰2()()A(0)limlim22xx x f u duf xg x x →→'===⎰2()()lim ()lim22xx x xf x f u duA A g x A x→→-'==-=⎰,'()g x 在=0x 处连续。
13. 解:2ln dy y x dx x +=22(ln )dx dxx x y e e xdx C -⎰⎰=+⎰211ln 39x x x Cx -=-+ 1(1),09y C =-=,11ln 39y x x x=- 四、 解答题(本大题10分) 14. 解:由已知且02d xy y x y'=+⎰,将此方程关于x 求导得y y y '+=''2特征方程:022=--r r 解出特征根:.2,121=-=r r 其通解为 xx e C e C y 221+=-代入初始条件y y ()()001='=,得 31,3221==C C故所求曲线方程为:xx e e y 23132+=-五、解答题(本大题10分)15. 解:(1)根据题意,先设切点为)ln ,(00x x ,切线方程:)(1ln 000x x x x y -=- 由于切线过原点,解出e x =0,从而切线方程为:x e y 1=则平面图形面积⎰-=-=1121)(e dy ey e A y(2)三角形绕直线x = e 一周所得圆锥体体积记为V 1,则2131e V π=曲线x y ln =与x 轴及直线x = e 所围成的图形绕直线x = e 一周所得旋转体体积为V 2⎰-=122)(dye e V y πD 绕直线x = e 旋转一周所得旋转体的体积)3125(6221+-=-=e e V V V π六、证明题(本大题有2小题,每小题4分,共12分)16. 证明:1()()qf x d x q f x dx -⎰⎰1()(()())qqqf x d x q f x d x f x dx =-+⎰⎰⎰10(1)()()qqq f x d x q f x dx=--⎰⎰1212[0,][,1]()()12(1)()(1)()0q q f f q q f q q f ξξξξξξ∈∈≥=---≥故有:1()()≥⎰⎰qf x d x q f x dx证毕。
17.证:构造辅助函数:π≤≤=⎰x dtt f x F x0,)()(0。
其满足在],0[π上连续,在),0(π上可导。
)()(x f x F =',且0)()0(==πF F由题设,有⎰⎰⎰⋅+===ππππ)(sin cos )()(cos cos )(0|dxx F x x x F x xdF xdx x f ,有⎰=π00sin )(xdx x F ,由积分中值定理,存在),0(πξ∈,使0sin )(=ξξF 即0)(=ξF综上可知),0(,0)()()0(πξπξ∈===F F F .在区间],[,],0[πξξ上分别应用罗尔定理,知存在),0(1ξξ∈和),(2πξξ∈,使0)(1='ξF 及0)(2='ξF ,即0)()(21==ξξf f .。