{高中试卷}高一级数学第二学期期中考试试卷[仅供参考]
- 格式:doc
- 大小:636.00 KB
- 文档页数:12
20XX年高中测试高中试题试卷科目:年级:考点:监考老师:日期:北大附中高一年级下学期数学期中考试班级:______ 姓名:______ 成绩:_______一、选择题:在下列各题的四个被选答案中,只有一个是正确的,请你将正确答案前的字母添在答题卡中。
(每题3分,共36分)1.求值=-⋅-+-⋅-)617()49sin()5sec()314(ππππctg tg ( )(A) 66332--(B) 2632+-(C)2632--(D)66332+-2.把曲线y=sinx 向右平移4π个单位,再把各点横坐标缩短到原来的31,所得的图像的函数式是( )(A ))43sin(π-=x y (B ))433sin(π-=x y(C ) )43sin(π+=x y (D ))433sin(π+=x y3.函数y=Asin (ωx+φ)在同一周期内, 当12π=x 时,有最大值23, 当127π=x 时,有最小值-23,则函数的解析式为( )。
(A ))32sin(32π+=x y(B ))3sin(32π+=x y(C ))32sin(23π+=x y(D ))3sin(23π+=x y4. 当ππ≤≤-x 时,使函数)42cos(21π-=x y 取得最大值的x 的集合是()(A )⎭⎬⎫⎩⎨⎧8π(B )⎭⎬⎫⎩⎨⎧-8,87ππ(C )⎭⎬⎫⎩⎨⎧-2,2ππ(D )以上答案都不正确5. 已知3101lg )180sin(=+︒α,则)270(︒-αtg 的值是( )(A )22-和 22(B ) 42- 和42(C )22-(D )42-6.如果35cos log 611cos log ππa a <成立,则a 的取值范围是( )(A )a=10 (B ) a>1 (C )0<a<1 (D )a>27. 如图,是周期为2π的三角函数y=f(x)的图象,那么f(x)可以写成( )。
高一数学下期中试卷带答案一、填空题(本大题共17小题,每小题5分,满分70分)1.sin135°=.2.已知△ABC为直角三角形,∠C=90°,∠B=30°,AB=2,则AC= .3.直线y=2x+1的斜率为.4.圆(x﹣1)2+y2=9的半径为.5.等差数列{an},a1=1,a2=2,则a3= .6.函数f(x)=sin2x+sinxcosx的周期为.7.在△ABC中,内角A,B,C所对的边分别是a,b,c,已知b﹣c= a,2sinB=3sinC,则cosA的值为.8.已知过点A(﹣2,m)和点B(m,4)的直线l1,直线2x+y﹣1=0为l2,直线x+ny+1=0为l3,若l1∥l2,l2⊥l3,则m+n= .9.若直线3x﹣4y+5=0与圆x2+y2=r2(r>0)相交于A,B两点,且∠AOB=120°,(O为坐标原点),则r= .10.(B)已知等比数列{an},首项为3,公比为,前n项之积最大,则n= .11.已知cos(α﹣ )=﹣,sin( ﹣β)= ,且0<β< <α<π,则sin= .12.在△ABC中,已知AC=2,BC=3,cosA=﹣,则sin(2B+ )= .13.设两条直线的方程分别为x+y+a=0,x+y+b=0,已知a,b是方程x2+x+c=0的两个实根,且0≤c≤ ,则这两条直线之间的距离的取值范围是.14.设点M(x0,1),已知圆心C(2,0),半径为1的圆上存在点N,使得∠CMN=45°,则x0的最大值为.15.已知各项均为正数的数列{an}的首项a1=1,Sn是数列{an}的前n项和,且满足:anSn+1﹣an+1Sn+an﹣an+1= anan+1,则 S12= .16.在△ABC中,3sinA+4cosB=6,3cosA+4sinB=1,则∠C的大小为.17.在△ABC中,AC=3,∠A= ,点D满足 =2 ,且AD= ,则BC的长为.二、解答题18.(1)已知sinα= ,α∈( ,π),求sin2α;(2)已知tanα= ,求tan2α的值.19.在△ABC中,(1)已知 a=2bsinA,求B;(2)已知a2+b2+ ab=c2,求C.20.(1)求过点A(2,3),且垂直于直线3x+2y﹣1=0的直线方程;(2)已知直线l过原点,且点M(5,0)到直线l的距离为3,求直线l的方程.21.过点P(﹣3,﹣4)作直线l,当l的斜率为何值时(1)l将圆(x﹣1)2+(y+2)2=4平分?(2)l与圆(x﹣1)2+(y+2)2=4相切?(3)l与圆(x﹣1)2+(y+2)2=4相交且所截得弦长=2?22.已知等差数列{an}满足a2=0,a6+a8=﹣10.(1)求数列{an}的通项公式;(2)求数列{an}的前n项和Sn;(3)求数列{ }的前n项和Tn.23.在△ABC中,角A、B、C的对边分别为a、b、c,且 .(1)求的值;(2)若,求tanA及tanC的值.24.如图,ABC为一直角三角形草坪,其中∠C=90°,BC=2米,AB=4米,为了重建草坪,设计师准备了两套方案:方案一:扩大为一个直角三角形,其中斜边DE过点B,且与AC平行,DF 过点A,EF过点C;方案二:扩大为一个等边三角形,其中DE过点B,DF过点A,EF过点C.(1)求方案一中三角形DEF面积S1的最小值;(2)求方案二中三角形DEF面积S2的最大值.参考答案与试题解析一、填空题(本大题共17小题,每小题5分,满分70分)1.sin135°=.【考点】运用诱导公式化简求值.【分析】运用特殊角的三角函数值,和诱导公式即可化简求值.【解答】解:sin135°=sin=sin45 .故答案为: .2.已知△ABC为直角三角形,∠C=90°,∠B=30°,AB=2,则AC= 1 .【考点】正弦定理.【分析】根据含有30°的直角三角形的性质得出.【解答】解:∵∠C=90°,∠B=30°,AB=2,∴AC= .故选1.3.直线y=2x+1的斜率为 2 .【考点】直线的斜率.【分析】根据斜截式直线方程y=kx+b的斜率为k,写出斜率即可.【解答】解:直线y=2x+1的斜率为2.故答案为:2.4.圆(x﹣1)2+y2=9的半径为 3 .【考点】圆的标准方程.【分析】直接由圆的标准方程求得圆的半径.【解答】解:由圆(x﹣1)2+y2=9,得r2=9,∴r=3.即圆(x﹣1)2+y2=9的半径为3.故答案为:3.5.等差数列{an},a1=1,a2=2,则a3= 3 .【考点】等差数列的通项公式.【分析】由等差数列{an}的性质可得:2a2=a1+a3.即可得出.【解答】解:由等差数列{an}的性质可得:2a2=a1+a3.∴2×2=1+a3,解得a3=3.故答案为:3.6.函数f(x)=sin2x+sinxcosx的周期为π.【考点】三角函数的周期性及其求法.【分析】利用三角函数的降幂公式与辅助角公式可将f(x)=sin2x+sinxcosx+2化为:f(x)= sin(2x﹣ )+ ,利用周期公式即可求得其周期.【解答】解:∵f(x)=sin2x+sinxcosx= + sin2x= (sin2x﹣cos2x)+= sin(2x﹣ )+ ,∴其最小正周期T= =π.故答案为:π.7.在△ABC中,内角A,B,C所对的边分别是a,b,c,已知b﹣c= a,2sinB=3sinC,则cosA的值为﹣.【考点】余弦定理;正弦定理.【分析】由条件利用正弦定理求得a=2c,b= ,再由余弦定理求得cosA= 的值.【解答】解:在△ABC中,∵b﹣c= a ①,2sinB=3sinC,∴2b=3c ②,∴由①②可得a=2c,b= .再由余弦定理可得 cosA= = =﹣,故答案为:﹣ .8.已知过点A(﹣2,m)和点B(m,4)的直线l1,直线2x+y﹣1=0为l2,直线x+ny+1=0为l3,若l1∥l2,l2⊥l3,则m+n= ﹣10 .【考点】直线的一般式方程与直线的垂直关系;直线的一般式方程与直线的平行关系.【分析】由条件根据两直线平行,斜率相等;两直线垂直,斜率之积等于﹣1,分别求得m、n的值,可得m+n的值.【解答】解:由题意可得,直线为l1的斜率为,直线l2的斜率为﹣2,且l1∥l2,∴ =﹣2,求得m=﹣8.由于直线l3的斜率为﹣,l2⊥l3,∴﹣2×(﹣ )=﹣1,求得n=﹣2,∴m+n=﹣10,故答案为:﹣10.9.若直线3x﹣4y+5=0与圆x2+y2=r2(r>0)相交于A,B两点,且∠AOB=120°,(O为坐标原点),则r= 2 .【考点】直线与圆相交的性质.【分析】若直线3x﹣4y+5=0与圆x2+y2=r2(r>0)交于A、B两点,∠AOB=120°,则△AOB为顶角为120°的等腰三角形,顶点(圆心)到直线3x﹣4y+5=0的距离d= r,代入点到直线距离公式,可构造关于r的方程,解方程可得答案.【解答】解:若直线3x﹣4y+5=0与圆x2+y2=r2(r>0)交于A、B两点,O 为坐标原点,且∠AOB=120°,则圆心(0,0)到直线3x﹣4y+5=0的距离d=rcos = r,即 = r,解得r=2,故答案为:2.10.(B)已知等比数列{an},首项为3,公比为,前n项之积最大,则n= 3 .【考点】等比数列的前n项和.【分析】an=3× ,可得前n项之积Tn= ,对n分类讨论,底数与1比较大小关系即可得出.【解答】解:an=3× ,∴前n项之积Tn=3n× = = ,由于n≤3时,≥1;由于n≥4时, <1.∴n=3时,前n项之积最大,故答案为:3.11.已知cos(α﹣ )=﹣,sin( ﹣β)= ,且0<β< <α<π,则sin= .【考点】三角函数的化简求值.【分析】利用同角三角函数的基本关系求得sin(α﹣ )和cos( ﹣β)的值,再利用两角差的正弦公式求得sin 的值.【解答】解:∵cos(α﹣ )=﹣,sin( ﹣β)= ,且0<β< <α<π,∴α﹣∈( ,π),sin(α﹣ )= = ; ﹣β∈(0, ),cos( ﹣β)= = .则sin =sin[(α﹣ )﹣( ﹣β)]=sin(α﹣ )cos( ﹣β)﹣cos(α﹣ )sin( ﹣β)= • + • = .12.在△ABC中,已知AC=2,BC=3,cosA=﹣,则sin(2B+ )= .【考点】三角函数的化简求值.【分析】由条件利用同角三角的基本关系求得sinA的值,利用正弦定理求得sinB的值,可得cosB的值,利用二倍角公式求得sin2B、cos2B的值,再利用两角和的正弦公式,求得要求式子的值.【解答】解:△ABC中,∵已知AC=2,BC=3,cosA=﹣∈( ,π),∴B∈(0, ),∴sinA= = ,则由正弦定理可得 = = ,∴sinB= ,cosB= = ,∴sin2B=2sinBcosB= ,∴cos2B=1﹣2sin2B= ,sin(2B+ )=sin2Bcos +cos2Bsin = • + • = ,故答案为: .13.设两条直线的方程分别为x+y+a=0,x+y+b=0,已知a,b是方程x2+x+c=0的两个实根,且0≤c≤ ,则这两条直线之间的距离的取值范围是[ , ] .【考点】两条平行直线间的距离.【分析】由题意和韦达定理可得a+b=﹣1,ab=c,可得两平行线间的距离d满足d2= = = ,由0≤c≤ 和不等式的性质可得.【解答】解:∵a,b是方程x2+x+c=0的两个实根,∴由韦达定理可得a+b=﹣1,ab=c,∴两平行线间的距离d= ,故d2= = = ,∵0≤c≤ ,∴0≤4c≤ ,∴﹣≤﹣4c≤0,∴ ≤1﹣4c≤1,∴ ≤ ≤ ,∴ ≤d2≤ ,∴ ≤d≤故答案为:[ , ]14.设点M(x0,1),已知圆心C(2,0),半径为1的圆上存在点N,使得∠CMN=45°,则x0的最大值为 3 .【考点】直线与圆的位置关系.【分析】作出对应的同学根据条件∠CMN=45°,则必有∠CMN≤∠CMT,所以只需∠CMT≥45°即可,借助于三角函数容易求出x0的范围.【解答】解:易知M(x0,1)在直线y=1上,设圆C的方程为(x﹣2)2+y2=1与直线y=1的交点为T,假设存在点N,使得∠CMN=45°,则必有∠CMN≤∠CMT,所以要是圆上存在点N,使得∠CMN=45°,只需∠CMT≥45°,因为T(2,1),所以只需在Rt△CMT中,tan∠CMT= = ≥tan45°=1,即|x0﹣2|≤1,则﹣1≤x0﹣2≤1,即1≤x0≤3故x0∈[1,3].则x0的最大值为3,故答案为:3.15.已知各项均为正数的数列{an}的首项a1=1,Sn是数列{an}的前n项和,且满足:anSn+1﹣an+1Sn+an﹣an+1= anan+1,则 S12= 3 .【考点】等比数列的前n项和;等比数列的通项公式.【分析】根据题意,利用等比数列的前n项和公式求出通项公式an,进一步求出数列对应的前n项和公式,再计算 S12的值.【解答】解:∵anSn+1﹣an+1Sn+an﹣an+1= anan+1,且Sn+1=Sn+an+1,∴(an﹣an+1)Sn+ anan+1+an﹣an+1=0,∴Sn+ +1=0;又∵a1=1,令n=1,则1+ +1=0,解得a2= ,同理可得a3= ,猜想an= ;下面利用数学归纳法证明:①当n=1时,a1= =1,成立;②假设当n≤k(k∈N*)时成立,ak= ,则Sk= = ;∵Sk+ +1=0,∴ + +1=0,解得ak+1= ;因此当n=k+1时也成立,综上,对于n∈N*,an= 都成立;由等差数列的前n项和公式得,Sn= ;∴ S12= × =3.16.在△ABC中,3sinA+4cosB=6,3cosA+4sinB=1,则∠C的大小为.【考点】余弦定理.【分析】已知两等式两边分别平方,相加后利用同角三角函数间的基本关系化简,求出sinC的值,即可确定出C的度数.【解答】解:由3sinA+4cosB=6①,3cosA+4sinB=1②,①2+②2得:(3sinA+4cosB)2+(3cosA+4sinB)2=37,化简得:9+16+24(sinAcosB+cosAsinB)=37,即sin(A+B)=sin(π﹣C)=sinC= ,又∠C∈(0,π),∴∠C的大小为或,若∠C= π,得到A+B= ,则cosA> ,所以3cosA> >1,∴3cosA+4sinB>1与3cosA+4sinB=1矛盾,所以∠C≠ π,∴满足题意的∠C的值为 .则∠C的大小为 .故答案为:17.在△ABC中,AC=3,∠A= ,点D满足 =2 ,且AD= ,则BC的长为3 .【考点】三角形中的几何计算.【分析】由已知,结合向量的基本运算可求得 = ,然后结合已知及向量数量积的定义及性质可求AB,最后利用余弦定理可求BC【解答】解:∵ =2∴ = = =∵AD=| |= ,AC=| |=3,A= ,设AB=c∴ =| || |cosA=则13= =∴13=1整理可得,2c2 ﹣54=0∵c>0解可得,c=3由余弦定理可得,a2=c2+b2﹣2bc•cosA=二、解答题18.(1)已知sinα= ,α∈( ,π),求sin2α;(2)已知tanα= ,求tan2α的值.【考点】二倍角的正切;二倍角的正弦.【分析】(1)由条件利用同角三角函数的基本关系求得cosα的值,再利用二倍角公式,求得sin2α 的值.(2)由条件利用二倍角的正切公式求得tan2α的值.【解答】解:(1)∵已知sinα= ,α∈( ,π),∴cosα=﹣ =﹣,∴sin2α=2sinαcosα=﹣ .(2)∵已知tanα= ,∴tan2α= = = .19.在△ABC中,(1)已知 a=2bsinA,求B;(2)已知a2+b2+ ab=c2,求C.【考点】余弦定理;正弦定理.【分析】(1)由正弦定理可得: sinA=2sinBsinA,sinA≠0,化为sinB= ,即可得出;(2)利用余弦定理即可得出.【解答】解:(1)∵ a=2bsinA,由正弦定理可得: sinA=2sinBsinA,sinA≠0,化为sinB= ,B∈(0,π),∴B= 或 .(2)∵a2+b2+ ab=c2,∴cosC= = =﹣,又C∈(0,π),∴C= .20.(1)求过点A(2,3),且垂直于直线3x+2y﹣1=0的直线方程;(2)已知直线l过原点,且点M(5,0)到直线l的距离为3,求直线l的方程.【考点】待定系数法求直线方程.【分析】(1)由已知方程和垂直关系可得所求直线的斜率,写出点斜式方程,化为一般式即可;(2)可设直线l的方程为kx﹣y=0,由点到直线的距离公式可得k的方程,解方程可得.【解答】解:(1)∵直线3x+2y﹣1=0的斜率为﹣,∴由垂直关系可得所求直线的斜率k= ,又直线过点A(2,3),∴方程为y﹣3= (x﹣2)化为一般式可得2x﹣3y+5=0;(2)∵直线l过原点,且点M(5,0)到直线l的距离为3,∴可设直线l的方程为y=kx,即kx﹣y=0,由点到直线的距离公式可得 =3,解得k=±∴直线l的方程为y=± x,即3x±4y=021.过点P(﹣3,﹣4)作直线l,当l的斜率为何值时(1)l将圆(x﹣1)2+(y+2)2=4平分?(2)l与圆(x﹣1)2+(y+2)2=4相切?(3)l与圆(x﹣1)2+(y+2)2=4相交且所截得弦长=2?【考点】直线的点斜式方程.【分析】(1)当l经过圆心Q(1,﹣2)时,可将圆(x﹣1)2+(y+2)2=4平分,利用点斜式即可得出.(2)设直线l的方程为:y+4=k(x+3),化为kx﹣y+3k﹣4=0,根据直线l 与圆相切,可得圆心Q(1,﹣2)到直线l的距离d= =2,解出即可.(3)由于l与圆(x﹣1)2+(y+2)2=4相交且所截得弦长=2,可得直线l的距离d= = ,解出k即可.【解答】解:(1)当l经过圆心Q(1,﹣2)时,可将圆(x﹣1)2+(y+2)2=4平分,∴直线l的方程为:y+2= (x﹣1),化为x﹣2y﹣5=0.(2)设直线l的方程为:y+4=k(x+3),化为kx﹣y+3k﹣4=0,∵直线l与圆相切,∴圆心Q(1,﹣2)到直线l的距离d= =2,化为:3k2﹣4k=0,解得k=0或.∴当k=0或时,直线l与圆相切.(3)∵l与圆(x﹣1)2+(y+2)2=4相交且所截得弦长=2,∴直线l的距离d= = ,化为13k2﹣16k+1=0,解得k= .∴当k= 时,满足条件.22.已知等差数列{an}满足a2=0,a6+a8=﹣10.(1)求数列{an}的通项公式;(2)求数列{an}的前n项和Sn;(3)求数列{ }的前n项和Tn.【考点】数列的求和;等差数列的通项公式;等差数列的前n项和.【分析】(1)设出等差数列的首项和公差,由已知列式求出首项和公差,则等差数列的通项公式可求;(2)直接利用等差数列的前n项和公式求解;(3)把数列{an}的通项公式代入,利用错位相减法求前n项和Tn.【解答】解:(1)设等差数列{an}的首项为a1,公差为d,由a2=0,a6+a8=﹣10,得,解得 .∴an=1﹣(n﹣1)=2﹣n;(2) = ;(3) = ,∴ ,,两式作差得: = = .∴ .23.在△ABC中,角A、B、C的对边分别为a、b、c,且 .(1)求的值;(2)若,求tanA及tanC的值.【考点】正弦定理;两角和与差的正弦函数;两角和与差的正切函数.【分析】(1)利用二倍角的余弦函数公式化简cos2C,变形后求出sin2C 的值,由C为三角形的内角,得到sinC大于0,开方可得出sinC的值,利用正弦定理化简得到的关系式,得到2sinB=sinAsinC,再由三角形的内角和定理及诱导公式得到sinB=sin(A+C),代入关系式中,利用两角和与差的正弦函数公式化简,根据sinAsinC不为0,等式左右两边同时除以cosAcosC,利用同角三角函数间的基本关系弦化切后,即可得到所求式子的值;(2)由第一问求出的式子表示出tanA,然后把tanB中的B换为π﹣(A+C),利用诱导公式化简后,将表示出的tanA代入,得到关于tanC的方程,求出方程的解得到tanC的值,代入表示出的tanA,可得出tanA的值.【解答】解:(1)∵ ,cos2C=1﹣2sin2C,∴ ,∵C为三角形内角,∴sinC>0,∴ ,∵ ,∴ ,∴sinC= ,即2sinB=sinAsinC,∵A+B+C=π,∴sinB=sin(A+C)=sinAcosC+c osAsinC,∴2sinAcosC+2cosAsinC=sinAsinC,∵sinA•sinC≠0,∴ ;∴ ,∵A+B+C=π,∴ .∴ ,整理得tan2C﹣8tanC+16=0,解得:tanC=4,将tanC=4代入得: =4.24.如图,ABC为一直角三角形草坪,其中∠C=90°,BC=2米,AB=4米,为了重建草坪,设计师准备了两套方案:方案一:扩大为一个直角三角形,其中斜边DE过点B,且与AC平行,DF 过点A,EF过点C;方案二:扩大为一个等边三角形,其中DE过点B,DF过点A,EF过点C.(1)求方案一中三角形DEF面积S1的最小值;(2)求方案二中三角形DEF面积S2的最大值.【考点】基本不等式在最值问题中的应用.【分析】(1)在方案一:在三角形AFC中,设∠ACF=α,α∈(0, ),表示出三角形DEF面积S1,利用基本不等式求出最小值;(2)在方案二:在三角形DBA中,设∠DBA=β,β∈(0, ),表示出三角形DEF面积S1,利用辅助角公式求出最小值.【解答】解:(1)在方案一:在三角形AFC中,设∠ACF=α,α∈(0, ),则,…因为DE∥AC,所以∠E=α,,且,即,…解得,…所以当sin2α=1,即α=45°时,S1有最小值. …(2)在方案二:在三角形DBA中,设∠DBA=β,β∈(0, ),则,解得,…三角形CBE中,有,解得,…则等边三角形的边长为,…所以边长的最大值为,所以面积S2的最大值为.…高一数学下学期期中试题参考第一卷(选择题共60分)一、选择题(本大题共12小题,每小题5分,共60分.在每小题给出的四个选项中,只有一项是符合题目要求的)1. 若方程x2+y2+2ax-by+c=0表示圆心为C(2,2),半径为2的圆,则a,b,c 的值依次为( )A.2,4,4B.-2,4,4C.2,-4,4D.2,-4,-42.某班的60名同学已编号1,2,3,…,60,为了解该班同学的作业情况,老师收取了号码能被5整除的12名同学的作业本,这里运用的抽样方法是( )A.简单随机抽样B.系统抽样C.分层抽样D.抽签法3. 函数y=cosx•tanx的值域是( ).A.(-1,0)∪(0,1)B.[-1,1]C.(-1,1)D.[-1,0]∪(0,1)4. 如图所示的程序框图,若输出x的值为23,则输入的x 值为( )A.0B.1C.2D.115. 圆C1:(x+2)2+(y-m)2=9与圆C2:(x-m)2+(y+1) 2=4外切,则m的值为( )A.2或-5B.-5C.2D.不确定6.若那么的值为( )A.0B.1C.-1D.7. 某篮球队甲、乙两名运动员练习罚球,每人练习10组,每组罚球40个.命中个数的茎叶图如右图,则下面结论中错误的一个是( )A.甲的极差是29B.乙的众数是21C.甲罚球命中率比乙高D.甲的中位数是248 . 为三角形ABC的一个内角,若 ,则这个三角形的形状为 ( )A. 锐角三角形B. 钝角三角形C. 等腰直角三角形D. 等腰三角形9.方程 =lgx的根的个数是( )A.0B. 2C. 1D.无法确定10. △ABC的顶点坐标是A(3,1,1),B(-5,2,1),C(-83,2,3),则它在yOz平面上射影图形的面积是( )A.4B.3C.2D.111. 在内,使的成立的的取值范围是( )A.( )B.( )C.( )D.( )12.下列说法正确的是( ).A.在0,π2内sinx>cosxB.函数y=π1+tan2x的最大值为πC.函数y=2sinx+π5的图象的一条对称轴是x=45πD .函数y=sin 2x的图象可以由函数y=sin2x-π4的图象向右平移π8个单位得到第二卷(非选择题共90分)二.填空题(本大题共4小题,每小题5分共20分.请把正确答案填在题中横线上)13.若一直线与圆x2+y2+kx-y-9=0的两个交点恰好关于y轴对称,则k=_______14.已知tan α=2,则sin2( + )+sin cos -2cos2(- )的值为______15.若a1,a2,…,a20这20个数据的平均数为x,方差为0.21,则a1,a2,…,a20,x这21个数据的方差为________.16. 在区间[-π,π]内随机取两个数分别记为a,b,则使得方程x2+2ax-b2+π2=0有实根的概率为_______三.解答题(本大题共6小题,共70分.解答时应写出必要的文字说明、证明过程或演算步骤)17(10分)某车间为了规定工时定额,需要确定加工零件所花费的时间,为此做了四次试验,得到的数据如下表所示:零件的个数x(个) 2 3 4 5加工的时间y(h) 2.5 3 4 4.5求出y关于x的线性回归方程y^=b^x+a^,并预测加工10个零件需要多少时间?18.(12分)统计局就某地居民的月收入情况调查了10 000人,并根据所得数据画了样本频率分布直方图,每个分组包含左端点,不包含右端点,如第一组表示收入在500~1 000元.(1)为了分析居民的收入与年龄、职业等方面的关系,必须按月收入再从这10 000人中用分层抽样法抽出100人作进一步分析,则月收入在2 000~2 500元的应抽取多少人?(2)根据频率分布直方图估计样本数据的中位数和平均数;19.(12分) 一个袋中装有四个形状、大小完全相同的球,球的编号分别为1,2,3,4.(1)从袋中随机抽取两个球,求取出的球的编号之和不大于4的概率.(2)先从袋中随机取一个球,该球的编号为m,将球放回袋中,然后再从袋中随机取一个球,该球的编号为n,求n20.(12分) 已知函数,其部分图象如图所示.(1)求函数的表达式;(2)求方程 , 的解.21.(12分)已知直线l1:x-y-1=0,直线l2:4x+3y+14=0,直线l3:3x+4y+10=0,求圆心在直线l1上,与直线l2相切,截直线l3所得的弦长为6的圆的方程.22.(12分) 已知函数,(1)求的单调增区间;(2)若, =a有且仅有一个根,求a的范围.高一年级数学试题答案选择题:BBCCA CDBCD CB填空题:13. 0 14. 45 15. 0.2 16.1-π417. 解:由表中数据得:i=14xiyi=52.5,x=3.5,y=3.5,i=14x2i=54.代入公式得b^=0.7,a^=1 .05∴y^=0.7x+1.05. -----8分将x=10代入回归直线方程,得y^=0.7×10+1.05=8.05(h).∴预测加工10个零件需要8.05 h. --------10分18. 解:(1)因为(0.000 2 +0.000 4+0.000 3+0.000 1)×500=0.5,所以a==0.000 5, ---3分月收入在2 000元~2 500元的频率为0.25,所以抽取的100人中月收入在2 000元~2 500元的人数为0.25×100=25(人). ------6分(2)因为0.000 2×(1 000-500)=0.1,0.000 4×(1 500-1 000)=0.2,0.000 5×(2 000-1 500)=0.25, 0.1+0.2+0.25=0.55>0.5,所以样本数据的中位数是1 500+ =1 900(元). ------9分(750×0.000 2+1 250×0.000 4+1 750×0.000 5+2 250×0.000 5+2 750×0.000 3+3 250×0.000 1)×500=1 900(元).所以样本数据的平均数为1 900元. -----12分19. 解:(1)从袋中随机取两个球,其一切可能的结果组成的基本事件有1和2,1和3,1和4,2和3,2和4,3和4,共6个.从袋中取出的球的编号之和不大于4的事件有1和2,1和3,共2个.因此所求事件的概率P=26=13. -------6分(2)先从袋中随机取一个球,记下编号为m,放回后,再从袋中随机取一个球,记下编号为n,其一切可能的结果(m,n)有(1,1),(1,2),(1,3),(1,4),(2,1),(2,2),(2,3),(2,4),(3,1),(3,2),(3,3),(3,4),(4,1),(4,2),(4,3),(4,4),共16个.又满足m+2≤n的事件的概率为P1=316,故满足n20. 解:(1)且过,则 ----6分( 2)当时,,----------- 12分21. 设所求圆的圆心为C(a, a-1),半径为r(r>0),则点C到直线l2的距离d1= = . --------3分点C到直线l3的距离是d2= = . ---------6分由题意,得 -------9分解得a=2,r=5,即所求圆的方程是(x-2)2+(y-1)2=25. ----12分22.(1) ,,增区间为 ; ----- -6分( 2)由图像可知 =a有且仅有一个根时a的范围为{a︱或a=2} ------12分高一年级数学下学期期中试题一、选择题(本大题共12小题,每小题5分,共60分.在每小题给出的四个选项中,只有一项是符合题目要求的.请将正确答案填涂在答题卷上)1.设全集U=A∪B={1,2,3,4,5},A∩(∁UB)={1,2},则集合B=( )A.{2,4,5}B.{3,4,5}C.{4, 5}D.(2,4)2.过点M(﹣3,2),N(﹣2,3)的直线倾斜角是( )A. B. C. D .3.函数的零点落在的区间是( )4.计算sin105°=()A. B. C. D.5.函数的图像( )A.关于点对称,B.关于直线对称,C.关于点对称,D.关于直线对称6.要得到函数的图像,只需将函数的图像( )A.向左平行移动个单位长度B.向右平行移动个单位长度C.向左平行移动个单位长度D.向右平行移动个单位长度7.已知,则 ( )A. B. C. D.8.已知2sinα+cosα= ,则tan2α=( )A. B. C.- D.-9.函数y=2cos2 -1是( )A.最小正周期为π的奇函数B.最小正周期为π的偶函数C.最小正周期为的奇函数D.最小正周期为的偶函数10.函数的最小值为 ( )A. B. C. D.11.设m,n是不同的直线,α、β、γ是三个不同的平面,有以下四个命题:①若m⊥α,n⊥α,则m∥n; ②若α∩γ=m,β∩γ=n,m∥n则α∥β;③若α∥β,β∥γ,m⊥α,则m ⊥γ ④若γ⊥α,γ⊥β,则α∥β.其中正确命题的序号是( ) A.①③ B.②③ C.③④ D.①④12.已知则方程所有实根的个数是( )A.2B.3C.4D.5二、填空题(本大题共4小题,每小题5分,共20分.请将正确答案写在答题卷上)13.已知则14.经过点,且与直线 =0垂直的直线方程是15.已知函数若对任意x1≠x2,都有成立,则a的取值范围是16.设常数a使方程在闭区间[0,2 ]上恰有三个解,则。
唐山市第三十六中学2023-2024学年高一下学期期中考试数学试卷一、选择题1.判断下列各命题的真假:①向量与平行,则与的方向相同或相反;②两个有共同起点而且相等的向量,其终点必相同;③零向量是没有方向的;④向量就是有向线段.其中假命题的个数为( )A .2B .3C .4D .52.如图,分别是长方体的棱的中点,则等于( )A .B .C .D .3.已知,,为非零平面向量,则下列说法正确的是( )A .B .若,则C .若,则,D .4.已知向量,,且,则实数的值为( )A .B .3C .8D .125.已知单位向量,的夹角为,则( )A .1BCD .36.在中,角A ,B ,C 所对边分别为,,,,则值等于( )a b a b E F ,ABCD A B C D '-'''AB CD ,AB CF + AD 'AC ' DE AE a b c()()a b c a b c ⋅⋅=⋅⋅ a c b c ⋅=⋅ a b =//a bλR ∃∈λb a = ||||||a b a b ⋅=⋅ (2,4)a = (,6)b m =- //a bm 3-a b 2π3a b -= ABC V ,,a b c π3A =2b =8c =22a b c sinA sinB sinC -+-+AB .CD7.已知复数在复平面内对应的点在第四象限,则实数的取值范围是( )A .B .C .D .8.在三棱锥P -ABC 中,PA ⊥底面ABC ,PA =2,底面ABC 是边长为的正三角形,M 为AC 的中点,球O 是三棱锥P -ABM 的外接球.若D 是球0上一点,则三棱锥D -PAC 的体积的最大值是( )A.2B .CD二、多项选择题9.在△ABC 中,下列说法正确的是( )A .若,则B .若,则C .若,则D .若,则10.若关于 方程 ( 是实数)有两个不等复数根 ,其中 ( 是虚数单位),下面四个选项正确的有( )A .B.C .D .11.如图,在直三棱柱中,,,E 为的中点,过AE 的截面与棱BB 、分别交于点F 、G ,则下列说法中正确的是( )(2)(1)i z m m =+++m (2,1)--(,2)(1,)⋃-∞--+∞(1,)-+∞(,2)-∞-A B C >>sinA sinB sinC>>A B C >>222sin A sin B sin C>>A B C >>cosA cosB cosC<<A B C >>222cos A cos B cos C<<x 的20x px q ++=p q ,αβ和12α=-+i 1αβ⨯=21αβ=2αβ=332αβ+=111ABC A B C -90ACB ∠=︒12AC BC CC ===11B C 11A CA .当点F 为棱中点时,截面B .线段长度的取值范围是C .当点F 与点B 重合时,三棱锥的体积为D .存在点F ,使得三、填空题12.已知平面和直线,给出条件:①;②;③;④;⑤.(1)当满足条件 时,有;(2)当满足条件 时,有.(填所选条件的序号)13.下列说法正确的序号为 .①若复数,则;②若全集为复数集,则实数集的补集为虚数集;③已知复数,,若,则,均为实数;④复数的虚部是1.14.如图,在四边形 中,对角线 与 相交于点 .已知 ,, ,且 是 的中点,若 ,则 的值为 .四、解答题15.如图,在平面四边形ABCD 中,已知,,△ABC 为等边三角形,记.1BB AFEG 3++1C G []01,C AEF -431A F AE ⊥αβ,m αm P αm ⊥αm ⊂αβ⊥αβP βm P βm ⊥3i z =+13i 1010z =-1z 2z 12z z >1z 2z 3i 1z =-+ABCD AC BD O AC BC =AC BC ⊥AD BD ⊥O AC 2AD AB CD CB ⋅-⋅= AC BD ⋅ 1AD =2CD =αADC ∠=(1)若,求△ABD 的面积;(2)若,求△ABD 的面积的取值范围.16.已知向量.(1)当时,求的值;(2)设函数,且,求 的最大值以及对应的的值.17.已知是关于x 的实系数一元二次方程.(1)若a是方程的一个根,且,求实数k 的值;(2)若,是该方程的两个实根,且,求使的值为整数的所有k 的值.18.如图,多面体 中,底面 是菱形, ,四边形 是正方形且 平面 .(1)求证:平面 ;(2)若 ,求多面体 的体积 .19.如图,两个相同的正四棱锥底面重合组成一个八面体,可放入一个底面为正方形的长方体内,且长方体的正方形底面边长为2,高为4,已知重合的底面与长方体的正方形底面平行,八面体的各顶点均在长方体的表面上.πα3=πα,π2⎛⎫∈⎪⎝⎭)1cos 12a x x b ⎛⎫==- ⎪ ⎪⎝⎭,a b ⊥ tan x ()()f x a b b =+⋅ π02x ⎡⎤∈⎢⎥⎣⎦,()f x x 24410kx kx k -++=1a =1x 2x Z k ∈1221x x x x +ABCDEF ABCD 60BCD ∠=︒BDEF DE ⊥ABCD //CF ADE AE =ABCDEF V(2)求该八面体表面积S的取值范围.。
高一年级数学第二学期期中考试一试卷试卷页数: 8 页考试时间:120分钟一、选择题:(每题 3 分,共 36 分)、若tan110oa,则cot 20o的值是1A 、a B、2、点 P 在直线 MN 上,且a11C、D、a a uuur1uuur uuuurMP2PN ,则点P分 MN 所成的比为1B 111A2C D 2 或222 uuur r、将向量OA(4,3)按 a (5,2)平移后的向量为3A、(4, 3) B 、(9,5)C、(1,1)D、(9, 5)4、以下函数中,周期为 1 的奇函数是A 、y12sin 2x B、y sin 2 x3C、y tan xD、y sin x cos xr r2r r r r120 o5、若a与b 的夹角为,且 a3, b 5 ,则 a b 等于A、6、已知函数17B、 715D、 15C、2f x sin( x )cos(), x R,是常数,当 x 1 时 f x 取最大值,则θ的一个22值是3A .B .C.4 D .427、已知四边形uuur1 uuur uuur r uuur r uuur OABC 中,CB OA, OA a, OC b, 则 AB2rr r rrrrra bC aDaA bB a2b2b22uur r uuur r uuur rr r r r r r r r r r8、设 O、A、B、C 为平面上四个点,OA a ,OB b ,OC c ,且 a b c0 ,a b b c c a1,r r r则 a b c 等于A.22B.23C.32D.339、已知钝角的终边经过点 P sin 2, sin 4,且 cos0.5 ,则的值为A .arctan1B .arctan1C.arctan 1D .322410、在ABC 中,sin 2A1sin A 的值为,则 cos A45B 、53 D 、5 A 、2C 、22211、平面上 A ( -2,1),B ( 1,4),D ( 4,-3),C 点知足 AC 1 CB ,连 DC 并延伸至 E ,使 | CE |= 1| ED |,则点 E 坐标为:2 4A 、( -8 , 5 )B 、(8 , 11 ) C 、( 0,1)D、( 0, 1)或( 2,11)33 33ab , t ∈ R ,则点 P 必定在 12、△ OAB 中, OA = a , OB = b , OP = p ,若 p =tabA 、∠ AOB 均分线所在直线上B、线段 AB 中垂线上 C 、 AB 边所在直线上D、 AB 边的中线上二、填空题:(每题 3 分,共 12分)uuur ruuur13、已知点 A(1, -2),若向量 AB 与 a=(2,3) 同向 , AB =2 13 ,则点 B 的坐标为14、函数 y2sin(4 x2 ) 的图象与 x 轴的各个交点中,离原点近来的一点的坐标为__________ 。
高一下学期期中考试数学试题本试卷分第Ⅰ卷(选择题)和第Ⅱ卷(非选择题)两部分。
满分150分,考试时间120分钟。
第Ⅰ卷(选择题 共60分)一、选择题(本大题共12小题,每小题5分,共60分)1.某质检人员从编号为1~100这100件产品中,依次抽出号码为3,13,23,…,93的产品进行检验,则这样的抽样方法是( )A .简单随机抽样B .系统抽样C .分层抽样D .以上都不对 2.将八进制数135(8)化为二进制数为( ) A .1 110 101(2) B .1 010 101(2) C .1 111 001(2)D .1 011 101(2)3.某产品在某零售摊位上的零售价x (元)与每天的销售量y (个)统计如下表:据上表可得回归直线方程a ˆx b ˆy ˆ+=中的b ˆ=-4,据此模型预计零售价定为16元时,销售量为( )A .48B .45C .50D .514.一组数据的平均数是4.8,方差是3.6,若将这组数据中的每一个数据都加上60,得到一组新数据,则所得新数据的平均数和方差分别是( )A .55.2,3.6B .55.2,56.4C .64.8,63.6D .64.8,3.65.某学校高一、高二、高三三个年级共有学生3 500人,其中高三学生数是高一学生数的两倍,高二学生数比高一学生数多300人,现在按1100的抽样比用分层抽样的方法抽取样本,则应抽取高一学生数为( )A .8B .11C .16D .106.如图是一算法的程序框图,若输出结果为S =720,则在判断框中应填入的条件是( )A .k ≤6B .k ≤7C .k ≤8D .k ≤97.两人的各科成绩如茎叶图所示,则下列说法不正确的是( )A .甲、乙两人的各科平均分相同B .甲的中位数是83,乙的中位数是85C .甲各科成绩比乙各科成绩稳定D .甲的众数是89,乙的众数为878.sin 2(π+α)-cos(π+α)cos(-α)+1的值为( ) A .1 B .2sin 2α C .0 D .29.利用秦九韶算法求f (x )=x 5+x 3+x 2+x +1当x =3时的值为( ) A .121 B .283 C .321 D .23910.如图,矩形长为8,宽为3,在矩形内随机地撒300颗黄豆,数得落在椭圆外的黄豆为96颗,以此试验数据为依据可以估计椭圆的面积为( ) A .7.68 B .8.68 C .16.32D .17.3211.甲、乙两人玩猜数字游戏,先由甲心中想一个数字,记为a,再由乙猜甲刚才所想的数字,把乙猜的数字记为b,其中a,b ∈{1,2,3,4,5,6},若|a-b|≤1,就称甲、乙“心有灵犀”.现任意找两人玩这个游戏,则他们“心有灵犀”的概率为( )A. 91B. 92C. 187D.9412.《九章算术》是中国古代第一部数学专著,成于公元一世纪左右,系统总结了战国、秦、汉时期的数学成就.其中《方田》一章中记载了计算弧田(弧田就是由圆弧和其所对弦所围成弓形)的面积所用的经验公式:弧田面积=21(弦×矢+矢×矢),公式中“弦”指圆弧所对弦长,“矢”等于半径长与圆心到弦的距离之差.按照上述经验公式计算所得弧田面积与其实际面积之间存在误差.现有圆心角为32π,弦长为m 340的弧田.其实际面积与按照上述经验公式计算出弧田的面积之间的误差为( )平方米.(其中3≈π,73.13≈) A . 15 B . 16 C . 17 D . 18第Ⅱ卷(非选择题 共90分)二、填空题(本大题共4小题,每小题5分,共20分,把答案填在题中的横线上)13.调查了某地若干户家庭的年收入x (单位:万元)和年饮食支出y (单位:万元),调查显示年收入x 与年饮食支出y 具有线性相关关系,并由调查数据得到y 对x 的回归方程:y ∧=0.234x +0.521.由回归方程可知,家庭年收入每增加1万元,年饮食支出平均增加________万元. 14.已知sin(π4+α)=32,则sin(3π4-α)的值为________. 15.在抛掷一颗骰子的试验中,事件A 表示“不大于4的偶数点出现”,事件B 表示“小于5的点数出现”,则事件B A Y 发生的概率为________.(B 表示B 的对立事件)16.设函数y =f (x )在区间[0,1]上的图像是连续不断的一条曲线,且恒有0≤f (x )≤1,可以用随机模拟方法近似计算由曲线y =f (x )及直线x =0,x =1,y =0所围成部分的面积S .先产生两组(每组N 个)区间[0,1]上的均匀随机数x 1,x 2,…,x N 和y 1,y 2,…,y N ,由此得到N 个点(x i ,y i )(i =1,2,…N ).再数出其中满足y i ≤f (x i )(i =1,2,…,N )的点数N 1,那么由随机模拟方法可得到S 的近似值为________. 二、解答题(17题10分,其余均12分)17.(10分) 已知|x|≤2,|y|≤2,点P 的坐标为(x ,y),求当x ,y ∈R 时,P 满足(x -2)2+(y -2)2≤4的概率.18.(12分)某车间为了规定工时定额,需要确定加工零件所花费的时间,为此作了四次试验,得到的数据如下:(1)在给定的坐标系中画出表中数据的散点图;(2)求出y 关于x 的线性回归方程a ˆx b ˆyˆ+= (3)试预测加工10个零件需要多少小时?(注:b ∧=∑ni =1x i y i -n x - y -∑n i =1x i 2-n x -2,a ∧=y --b ∧ x -)零件的个数x(个)2345加工的时间y(小时) 2.5 3 4 4.519.(12分)已知α是第三象限角,f (α)=()()()α-π-•α-π-α-•α-π•α-πsin tan tan )2cos()sin((1)化简f (α);(2)若⎪⎭⎫ ⎝⎛π-α23cos =15,求f (α)的值;20.(12分)某校为了解高三年级学生的数学学习情况,在一次数学考试后随机抽取n 名学生的数学成绩,制成如下所示的频率分布表.(1)求a ,b ,n 的值;(2)若从第三、四、五组中用分层抽样的方法抽取6名学生,并在这6名学生中随机抽取2名与老师面谈,求第三组中至少有1名学生被抽到与老师面谈的概率.21.(12分)一个袋中装有四个形状大小完全相同的球,球的编号分别为1,2,3,4.(1)从袋中随机取两个球,求取出的球的编号之和不大于4的概率;(2)先从袋中随机取一个球,该球的编号为m,将球放回袋中,然后再从袋中随机取一个球,求n≥m+2的概率.22.(12分)在育民中学举行的电脑知识竞赛中,将九年级两个班参赛的学生成绩(得分均为整数)进行整理后分成五组,绘制如图所示的频率分布直方图.已知图中从左到右的第一、第三、第四、第五小组的频率分别是0.30,0.15,0.10,0.05,第二小组的频数是40.(1)求第二小组的频率,并补全这个频率分布直方图;(2)求这两个班参赛的学生人数是多少?(3)求这两个班参赛学生的成绩的中位数.高一下期期中考试数学试题答案一、选择题B D B D A B D D BCD B二、填空题13. 0.234 14.3215.32 16.N1N三、解答题(17题10分,其余均12分)17.解:如图,点P所在的区域为正方形ABCD的内部(含边界),满足(x-2)2+(y-2)2≤9的点的区域为以(2,2)为圆心,2为半径的圆面(含边界).∴所求的概率P1=14π×224×4=π16.18.解:(1)散点图如图.(2)由表中数据得∑4i=1x i y i=52.5,x -=3.5,y -=3.5,∑4i =1x i 2=54. ∴b ∧=0.7,∴a ∧=1.05. ∴y ∧=0.7x +1.05.(3)将x =10代入回归直线方程,得y ∧=0.7×10+1.05=8.05(小时). ∴预测加工10个零件需要8.05小时.19.解:(1)f (α)==-sin α·cos α·tan α-tan α·sin α=cos α.(2)∵cos ⎝ ⎛⎭⎪⎫α-32π=cos ⎝ ⎛⎭⎪⎫32π-α=-sin α,又cos ⎝⎛⎭⎪⎫α-32π=15,∴sin α=-15.又α是第三象限角,∴cos α=-1-sin 2α=-265,∴f (α)=-265.20.解:(1)由表中数据,得5n =0.05,a n =0.35,20n=b ,解得n =100,a =35,b=0.20.(2)由题意,得第三、四、五组分别抽取的学生人数为3060×6=3,2060×6=2,1060×6=1.第三组的3名学生记为a 1,a 2,a 3,第四组的2名学生记为b 1,b 2,第五组的1名学生记为c ,则从6名学生中随机抽取2名,共有15种不同情况,分别为{a 1,a 2},{a 1,a 3},{a 1,b 1},{a 1,b 2},{a 1,c },{a 2,a 3},{a 2,b 1},{a 2,b 2},{a 2,c },{a 3,b 1},{a 3,b 2},{a 3,c },{b 1,b 2},{b 1,c },{b 2,c }.其中第三组的3名学生均未被抽到的情况共有3种,分别为{b 1,b 2},{b 1,c },{b 2,c }. 故第三组中至少有1名学生被抽到与老师面谈的概率为1-315=45.21解:(1)p=3162(2)先从袋中随机取一个球,记下编号m,放回后,再从袋中随机取一个球,记下编号n,可能的结果为(1,1)(1,2)(1,3)(1,4)(2,1)(2,2)(2,3)(2,4)(3,1)(3,2)(3,3)(3,4)(4,1)(4,2)(4,3)(4,4)共16个,满足条件的事件为(1,3)(1,4)(2,4)共3个所以n ≥m+2的概率为p=16322.解:(1)各小组的频率之和为 1.00,第一、三、四、五小组的频率分别是0.30,0.15,0.10,0.05.∴第二小组的频率为:1.00-(0.30+0.15+0.10+0.05)=0.40. ∴落在59.5~69.5的第二小组的小长方形的高=频率组距=0.4010=0.04.则补全的直方图如图所示.(2)设九年级两个班参赛的学生人数为x 人.∵第二小组的频数为40人,频率为0.40,∴40x=0.40,解得x=100(人).所以九年级两个班参赛的学生人数为100人.(3)∵(0.03+0.04)×10>0.5所以九年级两个班参赛学生的成绩的中位数应落在第二小组内.设中位数为x则0.03×10+(x-59.5)×0.04=0.5得x=64.5高一下学期期中数学考试试卷(时间:120分钟满分:150分)第Ⅰ卷 (选择题共60分)一、选择题(本大题共12个小题,每小题5分,共60分,在每小题给出的四个选项中,只有一项是符合题目要求的)1.已知集合,,则( )A. B. C. D.2.( )A.0 B.1 C.2 D.43.若,则下列结论正确的是( )A. B.C. D.4.下列函数中,既不是奇函数,也不是偶函数的是( )A.B.C.D.5.函数的定义域是( )A. B. C. D.6.函数过定点( )A. B. C. D.7.已知,,,则=( )A. B. C. D.8.已知函数为幂函数,则实数的值为( )A.或 B.或 C. D.9.已知函数,若,则实数等于( )A .2 B. 45 C .12 D .910.若,则函数与的图象可能是下列四个选项中的( )11.已知是定义在上的奇函数,当时,,则当时,( )AB .C .D .12.若函数是定义在上的偶函数,在上是增函数,且,则使得的的取值范围是( ) A .B . C. D .第Ⅱ卷 (非选择题 共90分)二、填空题(本大题共4个小题,每小题5分,共20分,请把正确答案填在题中横线上) 13.设集合,集合,若,则实数14.若,则=15.如果函数,的增减性相同,则的取值范围是.16.已知是方程的两个根,则的值是.三、解答题(本大题共6个小题,共70分,解答时应写出必要的文字说明、证明过程或演算步骤) 17.(本小题满分10分)计算下列各式的值(式中字母都是正数): (1);(2)已知,求的值.18.(本小题满分12分)已知集合,.(1)若,求;(2)⊆,求的取值范围.19.(本小题满分12分)已知函数+2.(1)求在区间上的最大值和最小值;(2)若在上是单调函数,求的取值范围.20.(本小题满分12分)已知函数是R上的奇函数,(1)求的值;(2)先判断的单调性,再证明.21.(本小题满分12分)已知函数,.(1)求函数的定义域;(2)讨论不等式中的取值范围.22.(本小题满分12分)若二次函数满足且. (1)求的解析式;(2)若在区间上不等式恒成立,求实数的取值范围.高一下学期期中考试试卷数学时量:120分钟 总分:150分一、选择题(本大题共12个小题,每小题5分,共60分)1.3x cos y =是( )A .周期为π6的奇函数B .周期为3π的奇函数C .周期为π6的偶函数D .周期为3π的偶函数2.已知sin α=41,则cos 2α的值为( )A .21B .87- C.21- D.873.已知平面向量()()3,2,4,1==→→b a ,则向量=+→→b a 5251( )A .()1,2B .()5,3 C.()3,5 D.()2,14.已知平面向量a =(2,4),b =(-4,m ),且a ⊥b ,则m =( )A .4B .2C .-4D .-25.为得到函数⎪⎭⎫ ⎝⎛+=33sin πx y 的图象,只需将函数y =sin 3x 的图象( )A .向左平移9π个长度单位B .向右平移9π个长度单位C .向左平移3π个长度单位D .向右平移3π个长度单位6.设a =(8,-2),b =(-3,4),c =(2,3),则(a +2b )·c 等于( )A .(4,18)B .22C .-6 D.(18,4)7.已知a ·b =122,|a |=4,a 与b 的夹角为45°,则|b |为( )A .12 A .3 C .6 D .98.若-π2<α<0,则点P (sin α,cos α)位于( )A .第一象限B .第二象限C .第三象限D .第四象限9.已知α∠的终边经过点()31P ,,则=αsin ( )A .21 B .10103C .31D .3310.若=)(x f ⎪⎩⎪⎨⎧>⎪⎭⎫ ⎝⎛-≤≤⎪⎭⎫ ⎝⎛+2,32032sin ππππx x f x x ,,求)32(πf =( ) A.0 B.23C.21 D.1 11.已知2tan -=α,则αααα22cos sin cos sin 3-的值是( ) A .2- B . 3 C .2 D .3- 12.在Rt △ABC 中,∠C =90°,AC =3,则AB →·AC→等于( )A .-3B .-6C .9D .6 二、填空题(本大题共4小题,每小题5分,共20分)13.已知AB →=(2,7),AC →=(-5,8),则BC →=__________________.14.函数()()()R x x x x f ∈-=cos sin 2的最小正周期为________,最大值为________. 15.设a =(5,-2),b =(6,2),则2|a |2-12a ·b =______________.16.已知tan α=-2,tan(α+β)=5,则tan β的值为________. 三、解答题(本大题共6小题,共70分)17.(10分)已知()ππθθ2,,53cos ∈=,求⎪⎭⎫ ⎝⎛+6sin πθ以及⎪⎭⎫ ⎝⎛-4tan πθ的值.18.(10分)设函数()⎪⎭⎫ ⎝⎛+=6sin 2πωx x f ,0>ω,最小正周期为2π. (1)求()0f .(2)求()x f 的解析式.(3)求()x f 的单调递增区间.19.(12分)已知向量a =(3,2),b =(-1,3),c =(5,2).(1)求6a +b -2c ;(2)求满足a =m b +n c 的实数m ,n ; (3)若(a +k c )//(2b -a ),求实数k . 20. (12分)已知23παπ<<,211-tan tan -=αα.(1)求αtan 的值。
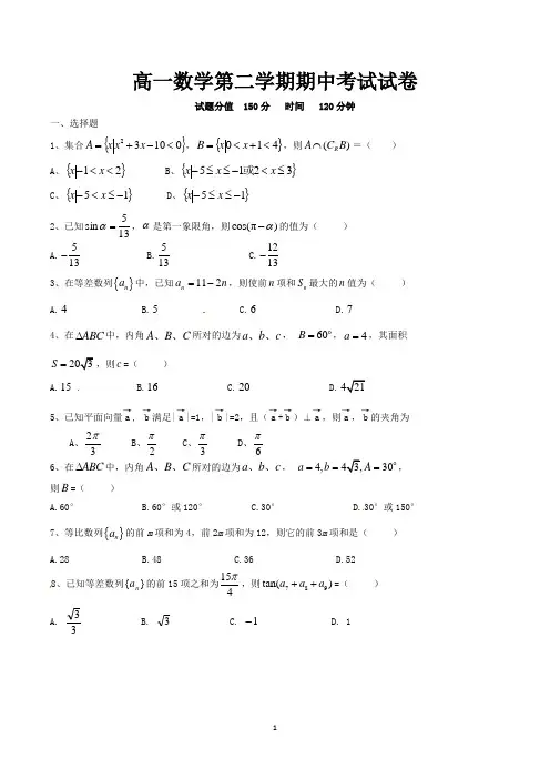
高一数学第二学期期中考试试卷试题分值 150分 时间 120分钟一、选择题1、集合}{01032<-+=x x x A ,}{410<+<=x x B ,则)(B C A R ⋂=( )A 、}{21<<-x x B 、}{3215≤<-≤≤-x x x 或C 、}{15-≤<-x xD 、}{15-≤≤-x x2、已知135sin =α,α是第一象限角,则cos(π)α-的值为( ) A.513-B.513C.1213-3、在等差数列{}n a 中,已知112n a n =-,则使前n 项和n S 最大的n 值为( ) A.4 B.5 C.6 D.74、在ABC ∆中,内角C B A 、、所对的边为c b a 、、, 60B =,4a =,其面积S =c =( )A.15B.16C.20D.5、已知平面向量→a , →b 满足|→a |=1,|→b |=2,且(→a +→b )⊥→a ,则→a ,→b 的夹角为A 、23π B 、2π C 、3π D 、6π6、在ABC ∆中,内角C B A 、、所对的边为c b a 、、, 4,30a b A ===,则B =( )A.60°B.60°或120°C.30°D.30°或150° 7、等比数列{}n a 的前m 项和为4,前2m 项和为12,则它的前3m 项和是( ) A.28 B.48 C.36 D.52 8、已知等差数列}{n a 的前15项之和为154π,则789tan()a a a ++=( ) A. 33B. 3C. 1-D. 19、在△ABC 中,2,1AB AC AM AM +==,点P 在AM 上且满足2AP PM =, 则()PA PB PC ⋅+等于( ) A .94 B.34 C.-34 D.-9410、已知))()(()(b a b x a x x f >--=其中,若)(x f 的图象如右图所示:则b a x g x +=)(的图象是( )ABCD11、在△ABC 中,内角C B A 、、所对的边为c b a 、、,若222c a b ab ≤+-,则C 的取值范围为( ) A.(0,]3πB.[,)6ππC.[,)3ππD.(0,]6π12、已知等差数列{}n a 满足公差(1,0)d ∈-,当且仅当9n =时,数列{}n a 的前n 项和n S 取得最大值,则该数列首项1a 的取值范围为( )A.43(,)32ππ B.43,32ππ⎡⎤⎢⎥⎣⎦C.74(,)63ππD.74,63ππ⎡⎤⎢⎥⎣⎦ 二、填空题13、若3sin 5x =,则cos 2x =__________. 14、已知正实数,,a b m ,满足a b <则b a 与 b ma m++的大小关系是15、在矩形ABCD 中,AB=2BC ,M 、N 分别是AB 和CD 的中点,在以A 、B 、C 、D 、M 、N 为起点和终点的所有向量中,相等的非零向量共有 对.16.对于实数b a ,,定义运算⎩⎨⎧>-≤-=⊗⊗11:""b a b b a a b a ,设函数)()2()(22x x x x f -⊗-=,若函数c x f y -=)(的图象与x 轴恰有两个公共点,则实数c 的取值范围是________.三、解答题17. (本小题满分10分)已知等差数列{}n a 满足:3710,26a a ==. (1)求数列{}n a 的通项公式;(2)请问88是数列{}n a 中的项吗?若是,请指出它是哪一项;若不是,请说明理由.18. (本小题满分10分)叙述并证明余弦定理19. (本小题满分12分) 已知向量(cos ,1)2x m =-u r ,2,cos )22x x n =r ,设函数1()2f x m n =⋅+u r r .(1)求函数()f x 的最小正周期;(2)求函数()f x 的单调区间.20. (本小题满分12分)已知数列{}n a 的前n 项和为n S ,且23122n S n n =+,递增的等比数列{}n b 满足:142318,32b b b b +=⋅=.(1)求数列{}{}n n a b 、的通项公式;(2)若*,N n n n c a b n =⋅∈,求数列{}n c 的前n 项和n T .21、(12分)要将两种大小不同的钢板截成A B C 、、三种规格,每张钢板可同时截得三种规格的小钢板的块数如下表所示:今需要A B C 、、三种规格的成品分别15,18,27块,各截这两种钢板多少张可得所需A B C 、、三种规格的成品,且使所用钢板张数最少?213112C 规格B 规格A 规格第一种钢板第二种钢板规格类型钢板类型22、(本小题满分12分) 已知函数)(Z ∈=++-m x x f m m322)(为偶函数,且)5()3(f f <. (1)求m 的值,并确定)(x f 的解析式.(2)若)1,0]()([log ≠>-=a a ax x f y a 且在区间[]3,2上为增函数,求实数a 的取 值范围 .第二学期期中考试 高一文科数学试题试题分值 150分 时间 120分钟 命题教师 侯思超一、选择题1、C2、C.3、B4、C5、A6、B7、A.8、C.9、D10、A 11、A.12、A二、填空题13、725 14、b a >b m a m++15、2416. )43,1(]2,(----∞ 三、解答题 17.解:(1)依题意知73416,4d a a d =-=∴=【3分】()3342n a a n d n ∴=+-=-【5分】(2)令*454588,4288,,N .22n a n n =-==∉Q 即所以 所以88不是数列{}n a 中的项.【10分】 18. 叙述并证明余弦定理解:余弦定理:三角形任何一边的平方等于其他两边的平方的和减去这两边与它们的夹角的余弦的积的两倍【2分】即2222cos a b c bc A =+-2222cos b a c ac B =+-2222cos c a b ab C =+-【4分】证明:如图,设,,CB a CA b AB c ===,那么c a b =-,()()2c c c a b a b =⋅=-⋅- 2a a b b a b =⋅+⋅-⋅222cos a b ab C =+-即2222cos c a b ab C =+-同理2222cos b a c ac B =+-,2222cos a b c bc A =+-【12分】C19.解析:(1)依题意得()sin()6f x x π=-,【4分】()2f x T π∴=最小正周期为【6分】(2)由22262k x k πππππ-≤-≤+解得22233k x k ππππ-≤≤+, 从而可得函数()f x 的单调递增区间是:2[2,2],33k k k Z ππππ-+∈【9分】 由322262k x k πππππ+≤-≤+解得252233k x k ππππ+≤≤+,从而可得函数()f x 的单调递减区间是:25[2,2],33k k k Z ππππ++∈【12分】 20. (本小题满分12分)已知数列{}n a 的前n 项和为n S ,且23122n S n n =+,递增的等比数列{}n b 满足:142318,32b b b b +=⋅=.(1)求数列{}{}n n a b 、的通项公式;(2)若*,N n n n c a b n =⋅∈,求数列{}n c 的前n 项和n T . 解析 :(1)当2n ≥时,()()221313111312222n n n a S S n n n n n -⎡⎤=-=+--+-=-⎢⎥⎣⎦111,2n a S ===Q 又时符合,所以31n a n =-【3分】2314b b b b =Q ,14,b b ∴方程218320x x -+=的两根, 41b b >Q 又,所以解得142,16b b ==34182b q q b ∴==∴=112n n n b b q -∴=⋅=【6分】(2)31,2n n n a n b =-=Q ,则n (31)2n C n =-⋅1234225282112(31)2n n T n ∴=⋅+⋅+⋅+⋅++-⋅L 234512225282112(31)2n n T n +=⋅+⋅+⋅+⋅++-⋅L将两式相减得:12341=22+32+2+2+2)(31)2-------------------------------------------8nn n T n +⋅--⋅L -(分2112(12)43(31)212n n n -+⎡⎤-=+--⋅⎢⎥-⎣⎦1(34)28n n +=-+⋅-【10分】所以1=(34)28n n T n +-⋅+.【12分】 21、解:设所需第一种钢板x 张,第一种钢板y 张,共需截这两种钢板z 张,则目标函数为z x y =+约束条件为21521832700x y x y x y x y +≥⎧⎪+≥⎪⎪+≥⎨⎪≥⎪≥⎪⎩ 【3分】可行域如下图【5分】把z x y =+变形为v ,得到斜率为1-,在y 轴上截距为z 的一组平行直线,由上图可知,当直线z x y=+经过可行域上的点M 时,截距z 最小,解方程组327215x y x y +=⎧⎨+=⎩得点1839,55M ⎛⎫⎪⎝⎭,由于1839,55都不是整数,而此问题中最优解(),x y 中,,x y 必须都是整数,所以点1839,55M ⎛⎫⎪⎝⎭不是最优解。
部分一:直线和圆1.1.(求圆的方程)以点)1,2(-为圆心且与直线0543=+-y x 相切的圆的方程为( )1.2.(位置关系问题)直线1=+y x 与圆0222=-+ay y x )0(>a 没有公共点,则a 的取值范围是( )1.3.(切线问题)过坐标原点且与圆0252422=++-+y x y x 相切的直线方程为( )解 化为标准方程25)1()2(22=++-y x ,即得圆心)1,2(-C 和半径25=r .设过坐标原点的切线方程为kx y =,即0=-y kx ,∴线心距251122==++=r k k d ,平方去分母得0)3)(13(=+-k k ,解得3-=k 或31,∴所求的切线方程为x y 3-=或x y 31=, 1.4.(弦长问题)设直线03=+-y ax 与圆4)2()1(22=-+-y x 相交于B A 、两点,且弦AB 的长为32,则=a .解 由已知圆4)2()1(22=-+-y x ,即得圆心)2,1(C 和半径2=r .∵线心距112++=a a d ,且222)2(r AB d =+,∴22222)3()11(=+++a a ,即1)1(22+=+a a ,解得0=a .点评:一般在线心距d 、弦长AB 的一半和圆半径r 所组成的直角三角形中处理弦长问题:222)2(r AB d =+.1.5.(夹角问题)从圆012222=+-+-y y x x 外一点)2,3(P 向这个圆作两条切线,则两切线夹角的余弦值为( )(A)21 (B)53(C)23 (D) 0解 已知圆化为1)1()1(22=-+-y x ,即得圆心)1,1(C 和半径1=r .设由)2,3(P 向这个圆作的两条切线的夹角为θ,则在切线长、半径r 和PC 构成的直角三角形中,522cos=θ,∴5312cos 2cos 2=-=θθ,故选(B). 1.6.(圆心角问题)过点)2,1(的直线l 将圆4)2(22=+-y x 分成两段弧,当劣弧所对的圆心角最小时,直线l 的斜率=k .解 由已知圆4)2(22=+-y x ,即得圆心)0,2(C 和半径2=r .设)2,1(P ,则2-=PC k ;∵⊥PC 直线l 时弦最短,从而劣弧所对的圆心角最小,∴直线l 的斜率221=-=PCk k . 1.7.(最值问题)圆0104422=---+y x y x 上的点到直线14-+y x 0=的最大距离与最小距离的差是( )解 已知圆化为18)2()2(22=-+-y x ,即得圆心)2,2(C 和半径23=r .设线心距为d ,则圆上的点到直线014=-+y x 的最大距离为r d +,最小距离为r d -,∴262)()(==--+r r d r d ,BD 部分二:向量2.1.设21,e e 是不共线的向量,已知向量2121212,3,2e e CD e e CB e k e AB -=+=+=,若A,B,D 三点共线,求k 的值 2.2.的两条对角线AC 与BD 交于E ,O 是任意一点,求证:+++=4 解析:证明:∵E 是对角线AC 和BD 的交点 ∴AE =EC =-CE ,BE =ED =-DE在△OAE 中,+=。
2023-2024学年厦门市高一数学第二学期期中考试卷(考试时间120分钟,满分150分)考试时间:2024年4月28日考试时长120分钟一、单选题:本题共8小题,每小题5分,共40分.每小题给出的四个选项中,只有一项是符合题目要求的.1.已知复数2i i z =-,则z 对应的点Z 在复平面的()A .第一象限B .第二象限C .第三象限D .第四象限2.已知向量(2,1),(1,4)a b ==- ,则23a b -=()A .(7,10)-B .(1,14)C .(7,10)-D .(7,6)3.下列命题中正确的是()A .有两个面互相平行,其余各面都是四边形的几何体叫棱柱B .棱柱中互相平行的两个面叫棱柱的底面C .棱柱的侧面都是平行四边形,而底面不是平行四边形D .棱柱的侧棱都相等,侧面是平行四边形4.在空间四边形ABCD 中,AC=BD ,E ,F ,G ,H 分别是边AB ,BC ,CD ,DA 的中点,顺次连接各边中点E ,F ,G ,H ,所得四边形EFGH 的形状是()A .梯形B .矩形C .正方形D .菱形5.某校运动会开幕式上举行升旗仪式,在坡度为15︒的看台上,同一列上的第一排和最后一排测得旗杆顶部的仰角分别为60︒和30︒,第一排和最后一排的距离为(如图所示),则旗杆的高度为()A .10mB .30mC .D .6.在ABC 中,若sin 2sin cos C B B =,且64ππ,B ⎛⎫∈ ⎪⎝⎭,则c b 的范围为()A .B .)2C .()0,2D .)27.如图,点A ,B ,C ,M ,N 为正方体的顶点或所在棱的中点,则下列各图中,不满足直线//MN 平面ABC 的是()A .B .C .D .8.已知AB AC ⊥ ,||AB t = ,1||AC t= .若点P 是△ABC 所在平面内一点,且2||||AB ACAP AB AC =+,则PB PC ⋅ 的最大值为()A .13B .5-C .5-D .10+二、多选题:本小题共3小题,每小题6分,共18分.在每小题给出的四个选项中,有多项符合题目要求.全部选对的得6分,部分选对的得部分分,有选错的得0分.9.设复数12i1i z +=+,则()A .z 的实部为32B .31i 22z =-C .z 的虚部为1i2D .1z =10.已知ABC 的内角A 、B 、C 所对的边分别为a 、b 、c ,下列说法正确的是()A .若sin :sin :sin 2:3:4ABC =,则ABC 是钝角三角形B .若sin sin A B >,则a b>C .若0AC AB ⋅>,则ABC 是锐角三角形D .若45A =o ,2a =,b =,则ABC 只有一解11.“奔驰定理”因其几何表示酷似奔驰的标志得来,是平面向量中一个非常优美的结论.奔驰定理与三角形四心(重心、内心、外心、垂心)有着神秘的关联.它的具体内容是:已知M 是ABC 内一点,BMC △,AMC ,AMB 的面积分别为A S ,B S ,C S ,且0A B C S MA S MB S MC ⋅+⋅+⋅=.以下命题正确的有()A .若::1:1:1ABC S S S =,则M 为AMC 的重心B .若M 为ABC 的内心,则0BC MA AC MB AB MC ⋅+⋅+⋅=C .若45BAC ∠=︒,60ABC ∠=︒,M 为ABC 的外心,则::2:1A B C S S S =D .若M 为ABC 的垂心,3450MA MB MC ++= ,则cos AMB ∠=三、填空题:本题共3小题,每小题5分,共15分.12.在△ABC 中,B =135°,C =15°,a =5,则此三角形的最大边长为.13.将边长为2的正方形卷成一个圆柱的侧面,所得圆柱的体积为.14.在ABC 中,角,,A B C 所对的边分别为,,a b c .若a c =,sin 3,26sin 2A aB =≤≤,则ABC S - 的最大值为.四、解答题:本题共5小题,共77分.解答应写出必要的文字说明、证明过程或演算步骤.15.在锐角ABC 中,内角A ,B ,C 所对的边分别为a ,b ,c ,已知sin a B .(1)若2b =,3c =,求a 的值:(2)若2a bc =,判断ABC 的形状.16.如图,在平行四边形ABCD 中,4AB =,2AD =,60BAD ︒∠=,E ,F 分别为AB ,BC 上的点,且2AE EB =,2=CF FB .(1)若DE x AB y AD =+,求x ,y 的值;(2)求AB DE ⋅的值;(3)求cos BEF ∠.17.如右图所示,ABCD -A 1B 1C 1D 1是正四棱柱,侧棱长为1,底面边长为2,E 是棱BC 的中点.(1)求证:BD 1∥平面C 1DE ;(2)求三棱锥D -D 1BC 的体积18.已知ABC 的内角A ,B ,C 的对边为a ,b ,c ,且()3sin sin 32sin A B c bC a b--=+.(1)求sin A ;(2)若ABC①已知E 为BC 的中点,求ABC 底边BC 上中线AE 长的最小值;②求内角A 的角平分线AD 长的最大值.19.“费马点”是由十七世纪法国数学家费马提出并征解的一个问题.该问题是:“在一个三角形内求作一点,使其与此三角形的三个顶点的距离之和最小.”意大利数学家托里拆利给出了解答,当ABC 的三个内角均小于120︒时,使得120AOB BOC COA ∠=∠=∠=︒的点O 即为费马点;当ABC 有一个内角大于或等于120︒时,最大内角的顶点为费马点.试用以上知识解决下面问题:已知ABC 的内角,,A B C 所对的边分别为,,a b c ,且cos2cos2cos21B C A +-=(1)求A ;(2)若2bc =,设点P 为ABC 的费马点,求PA PB PB PC PC PA ⋅+⋅+⋅;(3)设点P 为ABC 的费马点,PB PC t PA +=,求实数t 的最小值.1.C【分析】根据虚数单位的性质化简,再由实部、虚部符号确定复数对应点所在象限.【详解】因为2i i=1i z =---,所以z 对应的点Z 在复平面的第三象限,故选:C 2.A【分析】根据向量线性运算的坐标表示计算可得;【详解】解:因为(2,1),(1,4)a b ==-,所以()()()2322,131,47,10a b -=--=- ;故选:A 3.D【分析】根据题意,结合棱柱的几何结构特征,逐项判定,即可求解.【详解】对于A 中,如图所示满足有两个面互相平行,其余各面都是四边形,但该几何体不是棱柱,故A 不正确;对于B 中,正六棱柱中有四对互相平行的面,但只有一对面为底面,所以B 不正确;对于C 中,长方体、正方体的底面都是平行四边形,故C 不正确;对于D 中,根据棱柱的几何结构特征,可得棱柱的侧棱都相等,且侧面都是平行四边形,所以D 正确.故选:D.4.D【分析】根据空间四边形中各点的位置,结合中位线的性质可得EFGH 是平行四边形,再由AC=BD 即可判断四边形EFGH 的形状.【详解】如图所示,空间四边形ABCD 中,连接AC ,BD 可得一个三棱锥,将四个中点连接,得到四边形EFGH ,由中位线的性质及基本性质4知,EH ∥FG ,EF ∥HG ;∴四边形EFGH 是平行四边形,又AC=BD ,∴HG=12AC=12BD=EH ,∴四边形EFGH 是菱形.故选:D 5.B【分析】先根据正弦定理求出BC ,再根据直角三角形三角函数关系即可求解.【详解】如图,由题可知:在ABC 中,45A =︒,105ABC ∠=︒,所以30ACB ∠=︒.sin 45BC=︒,所以22BC ==,在Rt CBD △中,3sin 6030(m)2CD BC ︒==⨯=.故选:B 6.A【分析】根据题意,利用正弦定理化简得到2cos c B b =,结合64ππ,B ⎛⎫∈ ⎪⎝⎭和余弦函数的性质,即可求解.【详解】因为sin 2sin cos C B B =,由正弦定理得2cos c b B =,则2cos cB b=,又因为64ππ,B ⎛⎫∈ ⎪⎝⎭cos B <<2cos B <所以cb的范围为.故选:A.7.D【分析】对于A ,根据//MN AC 结合线面平行的判断定理即可判断;对于B,根据//MN BE 结合线面平行的判断定理即可判断;对于C ,根据//MN BD ,结合线面平行的判断定理即可判断;对于D ,根据四边形AMNB 是等腰梯形,AB 与MN 所在的直线相交,即可判断.【详解】对于A,如下图所示,易得//,//AC EF MN EF ,则//MN AC ,又MN ⊄平面ABC ,AC ⊂平面ABC ,则//MN 平面ABC ,故A 满足;对于B ,如下图所示,E 为所在棱的中点,连接,,EA EC EB ,易得,//AE BC AE BC =,则四边形ABCE 为平行四边形,,,,A B C E 四点共面,又易知//MN BE ,又MN ⊄平面ABC ,BE ⊂平面ABC ,则//MN 平面ABC ,故B 满足;对于C,如下图所示,点D 为所在棱的中点,连接,,DA DC DB ,易得四边形ABCD 为平行四边形,,,,A B C D 四点共面,且//MN BD ,又MN ⊄平面ABC ,BD ⊂平面ABC ,则//MN 平面ABC ,故C 满足;对于D ,连接,AM BN ,由条件及正方体的性质可知四边形AMNB 是等腰梯形,所以AB 与MN 所在的直线相交,故不能推出MN 与平面ABC 不平行,故D 不满足,故选:D.8.B【分析】以A 为原点,建立直角坐标系,利用向量的数量积的坐标运算,以及二次函数的性质,即可求解.【详解】以A 为坐标原点,建立如图所示的直角坐标系,设P (x ,y )则1(,0),(0,0)B t C t t >,可得(1,0)AB AB = ,2(0,2)||AC AC = ,所以(1,2)AP = ,即(1,2)P ,故(1,2)PB t =-- ,11,2PC t ⎛⎫=-- ⎪⎝⎭,所以221455PB PC t t t t ⎛⎫⋅=-+-=-+≤- ⎪⎝⎭ 2t t =即t 时等号成立.故选:B.9.AB【分析】根据复数除法求出z ,由复数的概念判断AC ,根据共轭复数判断B ,根据模的定义判断D.【详解】因为()()()()12i 1i 12i 122i i 31i 1i 1i 1i 222z +-+++-====+++-,所以z 的实部为32,虚部为12,31i 22z =-,102z =,故选:AB 10.ABD【分析】对于A ,利用正弦定理及大边对大角,结合余弦定理的推论即可求解;对于B ,利用正弦定理的角化边即可求解;对于C ,利用向量的数量积的定义即可求解;对于D ,利用正弦定理及三角函数的特殊值对应特殊角即可求解.【详解】对于A ,因为ABC 的三个角满足sin :sin :sin 2:3:4A B C =,所以由正弦定理化简得::2:3:4a b c =,设2,3,4a k b k c k ===,c 为最大边,由余弦定理得222222249163cos 02124a b c k k k C ab k +-+-===-<,所以C 为钝角,所以ABC 是钝角三角形,故A 正确;对于B ,由sin sin A B >及正弦定理,得22a b R R>,解得a b >,故B 正确;对于C ,因为0AC AB ⋅>,所以cos cos 0AC AB AC AB A bc A ⋅⋅==> ,所以cos 0A >,所以A 为锐角,但无法确定B 和C 是否为锐角,故C 错误;对于D ,由正弦定理得222sin 45sin B=,解得sin 1B =,因为0180B << ,所以90B = ,所以ABC 只有一解,故D 正确.故选:ABD.11.ABD【分析】A 选项,0MA MB MC ++=,作出辅助线,得到A ,M ,D 三点共线,同理可得M 为ABC 的重心;B 选项,设内切圆半径为r ,将面积公式代入得到0BC MA AC MB AB MC ⋅+⋅+⋅=;C 选项,设外接圆半径,由三角形面积公式求出三个三角形的面积,得到比值;D 选项,得到::3:4:5A B C S S S =,作出辅助线,由面积关系得到线段比,设MD m =,MF n =,5ME t =,表示出AM ,BM ,MC ,结合三角函数得到m ,m =,进而求出余弦值;【详解】对A 选项,因为::1:1:1A B C S S S =,所以0MA MB MC ++=,取BC 的中点D ,则2MB MC MD += ,所以2MD MA =-,故A ,M ,D 三点共线,且2MA MD =,同理,取AB 中点E ,AC 中点F ,可得B ,M ,F 三点共线,C ,M ,E 三点共线,所以M 为ABC 的重心,A 正确;对B 选项,若M 为ABC 的内心,可设内切圆半径为r ,则12A S BC r =⋅,12B S AC r =⋅,12C S AB r =⋅,所以1110222BC r MA AC r MB AB r MC ⋅⋅+⋅⋅+⋅⋅= ,即0BC MA AC MB AB MC ⋅+⋅+⋅=,B 正确;对C 选项,若45BAC ∠=︒,60ABC ∠=︒,M 为ABC 的外心,则75ACB ∠=︒,设ABC 的外接圆半径为R ,故290BMC BAC ∠=∠=︒,2120AMC ABC ∠=∠=︒,2150AMB ACB ∠=∠=︒,故2211sin 9022A S R R =︒=,221sin1202B S R R =︒,2211sin15024C S R R =︒=,所以::2A B C S S S =,C错误;对D 选项,若M 为ABC 的垂心,3450MA MB MC ++=,则::3:4:5A B C S S S =,如图,AD BC ⊥,CE AB ⊥,BF AC ⊥,相交于点M ,又ABC A B C S S S S =++ ,31124AABC S S == ,即:3:1AM MD =,41123BABC S S == ,即:1:2MF BM =,512CABC S S =,即:5:7ME MC =,设MD m =,MF n =,5ME t =,则3AM m =,2BM n =,7MC t =,因为CAD CBF ∠=∠,sin ,sin 32n mCAD CBF m n∠=∠=,所以32n m m n =,即3m =,3cos 22m BMD n n ∠===,则()cos cos πAMB BMD ∠=-∠=D 正确;故选:ABD.【点睛】关键点点睛:本题考查向量与四心关系应用,关键是利用三角形的几何关系及向量数量积及向量线性表示逐项判断.12.【详解】解:利用正弦定理可知,B 角对的边最大,因为05sin 230,51sin sin sin 2a b aBA b AB A =∴=∴===故答案为:13.2π【分析】先计算底面积,再计算体积.【详解】122R R ππ=∴=22122V R h ππππ=⨯=⨯⨯=故答案为2π【点睛】本题考查了圆柱的体积,意在考查学生的空间想象能力和计算能力.14【分析】由正弦定理和余弦定理以及三角形面积公式化简计算可得.【详解】222sin 37,23,,cos sin 229A a c b a b a c B B ac +-=∴==∴==,则sin B =2221922ABC S a a ⎫∴-=-⋅=+=-+⎪⎝⎭ []2,6,ABC a S ∈∴-V Q故答案为:922.15.(1)a =(2)等边三角形.【分析】(1)由正弦定理边化角,求出π3A =,再利用余弦定理可得答案;(2)由余弦定理得结合2a bc =得2220b c bc +-=,进而b c =,从而可得答案.【详解】(1)由正弦定理,33sin sin sin sin ,sin 022a B b A B B B =⇒≠ ,故ππsin 0,223A A A ⎛⎫=∈⇒= ⎪⎝⎭,再由余弦定理得,2222212cos 2322372a b c bc A =+-=+-⨯⨯⨯=,从而a =(2)因为π3A =,所以由余弦定理得222a b c bc=+-结合2a bc =得2220b c bc +-=,进而22,b c a b a b c =⇒===,所以ABC 是等边三角形.16.(1)2,13x y ==-(2)203【分析】(1)由向量的运算法则求解(2)分解后由数量积的运算求解(3)由数量积的定义求夹角【详解】(1)23DE DA AE AB AD =+=- ,故2,13x y ==-(2)2220()1642cos 60333AB DE AB AB AD ⋅=⋅-=⨯-⨯⨯︒=(3)111,,333EB AB EF AB AD ==+4||3EB =,27||3EF =16499cos 14||||EB EFBEF EB EF +⋅∠==17.(1)见解析;(2)23.【分析】(1)利用三角形中位线的性质,证明线线平行,从而可得线面平行;(2)利用等体积11D D BC D DBC V V --=,即可求得三棱锥D ﹣D 1BC 的体积.【详解】(1)证明:连接D 1C 交DC 1于F ,连接EF ,在正四棱柱ABCD ﹣A 1B 1C 1D 1中,底面四边形DCC 1D 1为矩形,∴F 为D 1C 的中点.又E 为BC 的中点,∴EF ∥D 1B .∴BD 1∥平面C 1DE .(2)解:连接BD ,11D D BC D DBCV V --=又△BCD 的面积为12222S =⨯⨯=.故三棱锥D ﹣D 1BC 的体积1111221333D DBC BCD V S D D -∆==⨯⨯=.【点睛】本题考查线面平行,考查三棱锥体积的计算,考查学生分析解决问题的能力,属于中档题.18.(1)sin A =(2)AE,AD【分析】(1)由正弦定理和余弦定理得到1cos 3A =,进而求出sin A ;(2)由面积公式求出16bc =,进而根据向量的模长公式结合不等式即可求解AE 的最值,根据三角形面积公式,结合等面积法,利用基本不等式可求解AD 的最值.【详解】(1)由正弦定理,得3()32a b c b a b c --=+,即22223c b a bc +-=,故2221cos 23232bc c b a A bc bc +-===,因为cos 0A >,所以π(0,)2A ∈,所以22sin 3A ==;(2)①由(1)知sin 3A =,因为ABC1n si 2bc A =,解得16bc =,由于()12AE AB AC =+ ,所以()()2222222111212183222cos 2444343433AE AB AC AB AC c b bc A c b bc bc bc bc ⎛⎫⎛⎫=++⋅=++=++≥+=⨯= ⎪ ⎪⎝⎭⎝⎭当且仅当b c =时,等号取得到,所以2323AE AE ≥⇒ ②因为AD 为角A 的角平分线,所以1sin sin 2BAD CAD A ∠=∠=,由于ADB ADC ABC S S S += ,所以111sin sin sin sin cos 2222222A A A A AD c AD b bc A bc +==,由于sin02A ≠,所以()2cos 2A AD c b bc +=,由于2212cos 2cos 1cos cos 23232A A A A =-=⇒=⇒,又16bc =,所以()63262cos216233A AD c b bc +==⨯⨯由于8b c +≥,当且仅当b c =时,等号取得到,故()83AD c b AD =+≥=,故3AD ≤,19.(1)π2A =(2)(3)2+【分析】(1)根据二倍角公式结合正弦定理角化边化简cos2cos2cos21B C A +-=可得222a b c =+,即可求得答案;(2)利用等面积法列方程,结合向量数量积运算求得正确答案.(3)由(1)结论可得2π3APB BPC CPA ∠=∠=∠=,设||||||,||,||PB m PA PC n PA PA x ===,推出m n t +=,利用余弦定理以及勾股定理即可推出2m n mn ++=,再结合基本不等式即可求得答案.【详解】(1)由已知ABC 中cos2cos2cos21B C A +-=,即22212sin 12sin 12sin 1B C A -+--+=,故222sin sin sin A B C =+,由正弦定理可得222a b c =+,故ABC 直角三角形,即π2A =.(2)由(1)π2A =,所以三角形ABC 的三个角都小于120︒,则由费马点定义可知:120APB BPC APC ∠=∠=∠=︒,设,,PA x PB y PC z === ,由APB BPC APC ABC S S S S ++= 得:111122222xy yz xz +=⨯,整理得xy yz xz ++=,则PA PB PB PC PA PC⋅+⋅+⋅111142222233xy yz xz ⎛⎫⎛⎫⎛⎫=⋅-+⋅-+⋅-=-⨯=- ⎪ ⎪⎝⎭⎝⎭⎝⎭.(3)点P 为ABC 的费马点,则2π3APB BPC CPA ∠=∠=∠=,设||||||||,||,00,,0,PB m PA PC n PA PA x m n x ===>>>,则由PB PC t PA +=得m n t +=;由余弦定理得()22222222π||2cos 13AB x m x mx m m x =+-=++,()22222222π||2cos 13AC x n x nx n n x =+-=++,()2222222222π||2cos 3BC m x n x mnx m n mn x =+-=++,故由222||||||AC AB BC +=得()()()222222211n n x m m x m n mn x +++++=++,即2m n mn ++=,而0,0m n >>,故22()2m n m n mn +++=≤,当且仅当m n =,结合2m n mn ++=,解得1m n ==又m n t +=,即有2480t t --≥,解得2t ≥+2t ≤-故实数t 的最小值为2+【点睛】关键点睛:解答本题首先要理解费马点的含义,从而结合(1)的结论可解答第二问,解答第二问的关键在于设||||||,||,||PB m PA PC n PA PA x ===,推出m n t +=,结合费马点含义,利用余弦定理推出2m n mn ++=,然后利用基本不等式即可求解.。
加油!有志者事竟成答卷时应注意事项1、拿到试卷,要认真仔细的先填好自己的考生信息。
2、拿到试卷不要提笔就写,先大致的浏览一遍,有多少大题,每个大题里有几个小题,有什么题型,哪些容易,哪些难,做到心里有底;3、审题,每个题目都要多读几遍,不仅要读大题,还要读小题,不放过每一个字,遇到暂时弄不懂题意的题目,手指点读,多读几遍题目,就能理解题意了;容易混乱的地方也应该多读几遍,比如从小到大,从左到右这样的题;4、每个题目做完了以后,把自己的手从试卷上完全移开,好好的看看有没有被自己的手臂挡住而遗漏的题;试卷第1页和第2页上下衔接的地方一定要注意,仔细看看有没有遗漏的小题;5、中途遇到真的解决不了的难题,注意安排好时间,先把后面会做的做完,再来重新读题,结合平时课堂上所学的知识,解答难题;一定要镇定,不能因此慌了手脚,影响下面的答题;6、卷面要清洁,字迹要清工整,非常重要;7、做完的试卷要检查,这样可以发现刚才可能留下的错误或是可以检查是否有漏题,检查的时候,用手指点读题目,不要管自己的答案,重新分析题意,所有计算题重新计算,判断题重新判断,填空题重新填空,之后把检查的结果与先前做的结果进行对比分析。
亲爱的朋友,你们好!经过两个月的学习,你们一定有不小的收获吧,用你的自信和智慧,认真答题,相信你一定会闯关成功。
相信你是最棒的!期中测试一、选择题1.在ABC △中,2AB =,45C =︒,60A =︒,则BC =( ) ABCD.2.有下列说法,其中正确说法的个数是( ) ①若两个向量不相等,则它们一定不共线; ②若四边形ABCD 是平行四边形,则AB CD =; ③若a b ∥,b c ∥,则a c ∥;④若AB CD =,则AB CD =,且AB CD ∥. A .0B .1C .2D .33.已知直线320x y +=-的倾斜角是θ,则tan 2θ的值是( ) A .34B .34-C .35D .35-4.已知单位向量a ,b 的夹角为3π,c a b λμ=+,若2λμ+=,那么c 的最小值为( ) ABC.2D5.设数列{}n a 是以3为首项,2为公差的等差数列,{}n b 是以1为首项,2为公比的等比数列,则1234a a a a b b b b +++=( )A .85B .340C .680D .13606.锐角ABC △中,若tan 2C =,则sin sin AB的取值范围是( ) A.2⎝B.3⎝C.5⎝D .1,22⎛⎫⎪⎝⎭7.已知等差数列{}n a 和{}n b 的前n 项和分别为n S 和n T ,若5231n n a n b n +=+,则使得n nS T 为整数的正整数n 共有( )个 A .3B .4C .5D .68.已知实数x ,y 满足约束条件11022x y x y x y +⎧⎪-+⎨⎪-⎩≥≥≤,若当且仅当1x =,0y =时z x ay =+取得最小值,则a 的取值范围是( )A .(,1)-∞-B .11,2⎛⎫-- ⎪⎝⎭C .1,12⎛⎫- ⎪⎝⎭D .(1,)+∞9.已知2f x x x a a =+()--,若0f x ()≤对任意[1,1]x ∈-恒成立,则a 的取值范围是( ) A .(,1]-∞-B .(,0]-∞C .[0,)+∞D .[1,0]-10.已知正实数x ,y ,z 满足2221x y z ++=,则12zu xyz+=的最小值是( ) A .9B .3C .4D .5二、填空题:本大题共7小题,每小题4分,共28分。
高一数学第二学期期中综合测试一、选择题:二、填空题:11、562 12、63 13、0 1 <=101 i=i+2 14、103三、解答题:(1)原式 21212123234tan30sin 60cos 30cos 3sin)45tan()303603sin()603603cos()301807cos()37sin(=+⨯+⨯=+︒︒+︒=++︒-︒⨯︒-︒⨯-︒+︒⨯--=ππππππ (2)παπ223<<αααααααααααααααsin 2sin cos 1sin cos 1cos 1)cos 1(cos 1)cos 1()cos 1)(cos 1()cos 1()cos 1)(cos 1()cos 1(222222-=+---=-++--=+-++-+-=∴原式16、(1)这是系统抽样。
(2),S ,Sx x ,,S,Sx ,x 2222005.002.01010乙甲乙甲乙甲乙甲>=====----乙车床稳定。
18、(1)设射中10环为事件A ,射中7环为事件B ,则A 与B 为互斥事件,事件射中10环或7环为AUB ,因此P (AUB )=P (A )+P (B )=0.21+0.28=0.49(2)射中环数低于7环(记为事件E )的对立事件是射中环数大于或等于7环(记为事件F ),即射中7环、8环、9环、或10环,由于他们彼此互斥,故P (F)=0.21+0.23+0.25+0.28=0.97 从而有P (E)=1-P (F)=1-0.97=0.03 答:(1)射中10环或7环的概率为0.49;(2)射中的环数低于7环的概率为0.03。
17、程序框图如下: 程序如下:INPUT “x=”;xIF x<=4 THEN y=2*x ELSEIF x<=8 THEN y=8 ELSE y=2*(12-x) END IFEND IF PRINT y END19、(1)略;(2)5.6641=∑=i i i y x ,∑==41286i ix ,5.4_=x ,5.3_=y ,7.0=b ,35.0=a回归方程:35.07.0^+=x y ; (3)19.65吨。
2023-2024学年第二学期期中测验高一数学高一数学(答案在最后)本试卷共4页,共150分.考试时长120分钟.考生务必将答案答在答题卡上,在试卷上作答无效.考试结束后,将本试卷和答题卡一并交回.第一部分(选择题,共40分)一、选择题共10小题,每小题4分,共40分,在每小题列出的四个选项中,选出符合题目要求的一项.1.240︒是()A.第一象限角B.第二象限角C.第三象限角D.第四象限角【答案】C 【解析】【分析】根据240︒所在区域及象限角的定义判断得解.【详解】显然180240270<︒°°<,所以240︒是第三象限角.故选:C2.已知向量a ,b 在正方形网格中的位置如图所示.若网格中每个小正方形的边长均为1,则a b ⋅=()A.4-B.2- C.2 D.4【答案】A 【解析】【分析】根据给定的图形,求出||,||,,a b a b 〈〉,再利用数量积的定义求解即得.【详解】观察图形知,3π|||2,,4a b a b ==〈〉= ,所以2()42a b ⋅=⨯-=- .故选:A3.下列函数中,最小正周期为π且是奇函数的是()A.sin y x =B.cos y x= C.tan2y x= D.sin cos y x x=【答案】D【解析】【分析】由题意,利用三角函数的奇偶性和周期性,得出结论.【详解】由于sin y x =是最小正周期为2π的奇函数,则A 错误;由于cos y x =为偶函数,则B 错误;由于tan2y x =是最小正周期为π2的奇函数,则C 错误;由于1sin cos sin22y x x x ==,则sin cos y x x =是最小正周期为π的奇函数;即D 正确;故选:D4.已知向量a ,b满足()0,1a = ,1b = ,a b -=r r ,则,a b 〈〉= ()A.π6B.π3C.π2 D.2π3【答案】D 【解析】【分析】利用数量积的运算律结合已知求出a b ⋅,再利用夹角公式计算即得.【详解】由()0,1a = ,得||1a =r,由a b -=r r ,1b = ,得2()3a b -= ,即2223a b a b +-⋅=,即1123a b +-⋅= ,解得12a b ⋅=- ,于是1cos ,2||||a b a b a b ⋅〈〉==-,而,[0,π]a b 〈〉∈ ,所以2π,3a b 〈〉= .故选:D5.已知函数()()sin 0f x x x ωωω=+>的图象与直线2y =的相邻两个交点间的距离等于π,则()f x 的图象的一条对称轴是()A.π12x =B.π6x =C.5π12x =D.5π6x =【答案】A 【解析】【分析】先求出()y f x =的图象和直线2y =的全部交点,然后根据已知条件得到2ω=,再确定()f x 的表达式,最后确定()f x 图象的全部对称轴,即可选出答案.【详解】由于()πsin 2sin 3f x x x x ωωω⎛⎫=+=+⎪⎝⎭,故方程()2f x =等价于()ππ2π32x k k ω+=+∈Z ,即()π2π6k x k ωω=+∈Z .故()y f x =的图象和直线2y =的全部交点为()π2π,26k k ωω⎛⎫+∈ ⎪⎝⎭Z ,由于相邻两个交点间的距离等于π,故2ππω=,即2ω=.所以()π2sin 23f x x ⎛⎫=+⎪⎝⎭,其图象的全部最值点x 满足()ππ2π32x k k +=+∈Z ,即()ππ122k x k =+∈Z .所以()f x 的图象的全部对称轴为()ππ122k x k =+∈Z ,取0k =即知A 正确.而ππ5πππ5ππ2π126121226122<<<+<<+,故B ,C ,D 错误.故选:A.6.已知ABC 满足AB AC =,tan 2B =,则tan A =()A.43B.43-C.45 D.45-【答案】A 【解析】【分析】利用诱导公式及二倍角的正切公式计算即得.【详解】在ABC 中,AB AC =,tan 2B =,则π2A B =-,所以222tan 224tan tan 21tan 123B A B B ⨯=-=-=-=--.故选:A7.已知函数()()sin f x A x ωϕ=+(其中0A >,0ω>,π2ϕ<)的部分图象如图所示,要得到函数2sin 2y x =的图象,只需将函数()f x 的图象()A.向左平移π3个单位 B.向左平移π6个单位C.向右平移π3个单位 D.向右平移π6个单位【答案】D 【解析】【分析】根据图象求出函数()()sin f x A x =+ωϕ的解析式,由()()sin f x A x =+ωϕ的图象变换规律,得出结论.【详解】根据函数()()sin f x A x =+ωϕ(其中0A >,0ω>,π2ϕ<)的部分图象,可得2A =,12π7ππ44123T ω=⋅=-,解得2ω=,再根据五点法作图可得π2π3ϕ⨯+=,解得π3ϕ=,故()π2sin 23f x x ⎛⎫=+ ⎪⎝⎭,故将函数()f x 的图象向右平移π6个单位,可得ππ2sin 2()2sin263y x x ⎡⎤=-+=⎢⎥⎣⎦的图象,经检验,其他选项都不正确.故选:D8.若π3cos 45α⎛⎫-= ⎪⎝⎭,则sin2α=()A.725B.725-C.925D.925-【答案】B 【解析】【分析】由2ππ224αα⎛⎫=-+ ⎪⎝⎭,结合诱导公式和二倍角的余弦公式,计算即可得到所求值.【详解】由于2ππ224αα⎛⎫=-+ ⎪⎝⎭,所以2ππππ97sin2sin 2cos22cos 12144425252αααα⎡⎤⎛⎫⎛⎫⎛⎫=-+=-=--=⨯-=- ⎪ ⎪⎢⎥⎝⎭⎝⎭⎝⎭⎣⎦,故选:B9.已知函数()()cos f x x ϕ=+.则“()()11f f -=-”是“()f x 为奇函数”的()A.充分而不必要条件B.必要而不充分条件C.充分必要条件D.既不充分也不必要条件【答案】C 【解析】【分析】若()()11f f -=-,利用和差角公式求出ϕ,即可判断()f x 的奇偶性,从而判断充分性,再由奇函数的定义判断必要性.【详解】因为()()cos f x x ϕ=+,若()()11f f -=-,即()()cos 1cos 1ϕϕ-+=-+,即cos cos1sin sin1cos cos1sin sin1ϕϕϕϕ+=-+,所以cos cos10ϕ=,又cos10≠,所以cos 0ϕ=,所以ππ,Z 2k k ϕ=+∈,当k 为偶数时()()s s 2i πco n s co f x x x x ϕ=++⎛⎫==- ⎪⎝⎭,则()f x 为奇函数;当k 为奇数时()()s s πcos co πi 2n x f x x x ϕ⎛⎫== ⎪⎝⎭=+++,则()f x 为奇函数;综上可得由()()11f f -=-可得()f x 为奇函数,故充分性成立;由()f x 为奇函数,则()()f x f x -=-,显然满足()()11f f -=-,故必要性成立;所以“()()11f f -=-”是“()f x 为奇函数”的充要条件.故选:C10.如图,A 是轮子外边沿上的一点,轮子半径为0.3m.若轮子从图中位置向右无滑动滚动,则当滚动的水平距离为22m 时,下列选项中,关于点A 的描述正确的是(参考数据:7π21.991≈)()A.点A 在轮子的右上位置,距离地面约为0.56mB.点A 在轮子的右上位置,距离地面约为0.45mC.点A 在轮子的左下位置,距离地面约为0.15mD.点A 在轮子的左下位置,距离地面约为0.04m 【答案】B 【解析】【分析】计算出车轮转动的周期数即可得确定位置和距地面的距离.【详解】车轮的周长为2π0.30.6π m ⨯=,当滚动的水平距离为7π22m ≈时,7π2110.6π3=+,即车轮转动2113+个周期,即点A在轮子的右上位置,如图所示,距离地面约为π0.30.3cos 0.45m 3+⨯=,故选:B.第二部分(非选择题,共110分)二、填空题共5小题,每小题5分,共25分.11.函数tan()4y x π=+的定义域为__________________.【答案】|,4x x k k Z ππ⎧⎫≠+∈⎨⎬⎩⎭【解析】【详解】试题分析:由,42x k k Z πππ+≠+∈,解得,4x k k Z ππ≠+∈,所以定义域为|,4x x k k Z ππ⎧⎫≠+∈⎨⎬⎩⎭考点:本题考查定义域点评:解决本题的关键熟练掌握正切函数的定义域12.已知向量(a = ,()cos ,sin b θθ= ,使a 和b 的夹角为钝角的θ的一个取值为________.【答案】π2-(答案不唯一)【解析】【分析】根据给定条件,利用0a b ⋅<且a 和b不共线,求出θ的值的范围即可.【详解】由a 和b 的夹角为钝角,得0a b ⋅< 且a 和b不共线,则cos 0sin θθθθ⎧+<⎪⎨≠⎪⎩,由cos 0θθ+<,得π2sin()06θ+<,解得ππ2π2π,Z 6k k k θ-+<+<∈,整理得7ππ2π2π,Z 66k k k θ-+<<-+∈,当sin θθ=时,tan θ=,ππ,Z 3k k θ=+∈,而sin θθ≠,则ππ,Z 3k k θ≠+∈,因此当a 和b 的夹角为钝角时,7ππ2π2π,Z 66k k k θ-+<<-+∈且ππ,Z 3k k θ≠+∈,所以a 和b 的夹角为钝角的θ的一个取值为π2-.故答案为:π2-(答案不唯一).13.若函数π()sin()6f x x ω=+(0ω>)和22()cos ()sin ()g x x x ϕϕ=+-+的图象的对称轴完全重合,则ω=_________,π()6g =__________.【答案】①.2②.1-或1【解析】【分析】化简函数()g x 并求出其周期,由两个函数周期相同求出ω,再求出对称轴进而确定ϕ即可求出π()6g .【详解】依题意,()cos(22)g x x ϕ=+,函数()g x 的周期为π,由函数()f x 和()g x 的图象对称轴完全重合,得()f x 的周期2ππT ω==,所以2ω=;函数π()sin(26f x x =+,由11ππ2π,Z 62x k k +=+∈,得11ππ,Z 62k x k =+∈,函数()g x 中,由2222π,Z x k k ϕ+=∈,得22π,Z 2k x k ϕ=-+∈,依题意,1221π,Z ππ,Z 622k k k k ϕ-++∈∈=,1212Z ),(ππZ 62,k k k k ϕ-∈-=∈+则当12Z,Z k k ∈∈时,12π()cos[2(])3πg x x k k =-+-,当21k k -为奇数时,π()cos(2)3g x x =--,π(16g =-,当21k k -为偶数时,π()cos(23g x x =-,π()16g =,所以π(16g =-或π()16g =.故答案为:2;1-或114.在矩形ABCD 中,若1AB =,13BE BC = ,且AB AE AD AE ⋅=⋅,则AD 的值为______,AE AC⋅ 的值为______.【答案】①.②.2【解析】【分析】建立平面直角坐标系,设AD a =,利用坐标法求出AB AE ⋅ 、AD AE ⋅,即可求出a 的值,最后利用坐标法求出平面向量数量积.【详解】如图建立平面直角坐标系,设AD a =,则()0,0A ,()10B ,,()0,D a ,()1,C a ,因为13BE BC = ,所以1,3a E ⎛⎫⎪⎝⎭,所以()1,0AB =,1,3a AE ⎛⎫= ⎪⎝⎭,()0,AD a = ,所以1AB AE ⋅=,23a AE AD ⋅= ,因为AB AE AD AE ⋅=⋅ ,所以213a =,解得a =a =,所以(AC =,1,3AE ⎛⎫= ⎪ ⎪⎝⎭,所以1123AC AE ⋅=⨯= .215.已知()2cos f x x m =+,给出下列四个结论:①对任意的m ∈R ,函数()f x 是偶函数;②存在m ∈R ,函数()f x 的最大值与最小值的差为4;③当0m ≠时,对任意的非零实数x ,22f x f x ππ⎛⎫⎛⎫-≠+⎪ ⎪⎝⎭⎝⎭;④当0m =时,存在实数()0,T π∈,0x ∈R ,使得对任意的n ∈Z ,都有()()00f x f x nT =+.其中所有正确结论的序号是_________.【答案】①②④【解析】【分析】对于①,使用奇偶函数的定义判断即可;对于②,取m 的值,求出函数最大值、最小值,即可;对于③,先化解方程,再取πx =即可;对于④,取0ππ,24T x ==即可判断.【详解】对于①,函数()f x 的定义域为R ,且()|2cos()||2cos |()f x x m x m f x -=-+=+=,所以函数()f x 为偶函数,故①正确;对于②,取3m =,则()2cos 32cos 3f x x x =+=+所以()()max min 5,1f x f x ==,即最大值与最小值的差为4,故②正确.对于③,ππ()|2cos()||2sin |22f x x m x m -=-+=+,ππ()|2cos()||2sin |22f x x m x m +=++=-+,当πx =时,ππ()()||22f x f x m -=+=,故③错误;对于④,当0m =时,()|2cos |f x x =,取0ππ,24T x ==,使得对任意的n ∈Z ,都有00()()f x f x nT =+,故④正确;故答案为:①②④.三、解答题共6小题,共85分.解答题应写出文字说明,验算步骤或证明过程.16.在平面直角坐标系中,锐角α,β均以Ox 为始边,终边分别与单位圆交于点A ,B ,已知点A 的纵坐标为35,点B 的横坐标为513.(1)直接写出tan α和sin β的值,并求tan()αβ-的值;(2)求π2sin(π)sin()23πcos()cos(3π)2αααα-++--+的值;(3)将点A 绕点O 逆时针旋转π4得到点C ,求点C 的坐标.【答案】(1)312tan ,sin 413αβ==,33tan )6(5αβ-=-;(2)10;(3)1010.【解析】【分析】(1)利用三角函数定义求出tan α和sin β,再利用差角的正切计算得解.(2)利用诱导公式及正余弦的齐次式法计算即得.(3)求出点C 所在终边的角,再利用三角函数定义及和角的正余弦计算即可.【小问1详解】由锐角α,β,得点A ,B 都在第一象限,而点A 的纵坐标为35,点B 的横坐标为513,则点A 的横坐标为45,点B 的纵坐标为1213,因此31212tan ,tan ,sin 4513αββ===;312tan tan 3345tan )3121tan tan 565(14αβαβαβ---===-++⋅.【小问2详解】由(1)知3tan 4α=,π32sin(π)sin()212sin cos 2tan 124103π3sin cos 1tan cos()cos(3π)124αααααααααα-++⨯+++====-+---+-.【小问3详解】依题意,点C 在角π4α+的终边上,且||1OC =,由(1)知34sin ,cos 55αα==,则点C的横坐标为πππ43cos()cos cos sin sin (44425510ααα+=-=-=,点C的纵坐标为πππ43sin()sin cos cos sin ()44425510ααα+=+=+=,所以点C的坐标为,)1010.17.已知函数()π4sin 3f x x ⎛⎫=- ⎪⎝⎭.(1)求()f x 的单调区间;(2)若函数()()cos g x f x x =,求()g x 的图象的对称中心.【答案】(1)单调增区间为π5π2π,2π66k k ⎡⎤-++⎢⎥⎣⎦()Z k ∈;单调减区间为5π11π2π,2π66k k ⎡⎤++⎢⎥⎣⎦()Z k ∈(2)ππ,26k ⎛+⎝()Z k ∈【解析】【分析】(1)由正弦函数的单调区间即可得到答案;(2)化简π()2sin(2)3g x x =--,由正弦函数的对称中心可得答案.【小问1详解】由于函数()π4sin 3f x x ⎛⎫=- ⎪⎝⎭,令πππ2π2223πk x k -+≤-≤+()Z k ∈,解得π5π2π2π66k x k -+≤≤+()Z k ∈,所以()f x 的单调增区间为π5π2π,2π66k k ⎡⎤-++⎢⎥⎣⎦()Z k ∈,令ππ3π2π2π232k x k +≤-≤+()Z k ∈,解得5π11π2π2π66k x k +≤≤+()Z k ∈,所以()f x 的单调减区间为5π11π2π,2π66k k ⎡⎤++⎢⎥⎣⎦()Z k ∈,【小问2详解】由()π4sin 2sin 3f x x x x ⎛⎫=-=- ⎪⎝⎭,可得()()()cos 2sin cos g x f x x x x x ==-,即2π()2sin cos sin 222sin(2)3g x x x x x x x =-==--,令π2π3x k -=,解得:ππ26k x =+()Z k ∈,所以()g x 的图象的对称中心为ππ,26k ⎛+⎝()Z k ∈.18.在平面直角坐标系中,O 为原点,()2,2A ,()3,B m ,(),4C n ,AB AC ⊥ ,//BC OA ,P 为线段BC 上一点,且PC BC λ= .(1)求m ,n 的值;(2)当35λ=时,求cos APC ∠;(3)求PA PC ⋅ 的取值范围.【答案】(1)1,8m n =-=;(2)5-;(3)[8,10]-.【解析】【分析】(1)利用向量的坐标表示,再结合向量垂直的坐标表示、向量共线的坐标表示,列出方程组求解即得.(2)由(1)求出,PA PC的坐标,利用向量夹角公式计算即得.(3)用λ表示,PA PC 的坐标,利用数量积的坐标表示建立函数关系,求出函数值域即得.【小问1详解】依题意,(1,2),(2,2),(3,4)AB m AC n BC n m =-=-=-- ,(2,2)OA = ,由AB AC ⊥ ,得22(2)0n m -+-=,即26m n +=,由//BC OA,得2(3)2(4)n m -=-,即7m n +=,联立解得1,8m n =-=,所以1,8m n =-=.【小问2详解】由(1)知,(3,1),(8,4),(5,5)B C BC -= ,由PC BC λ= ,35λ=,得(3,3)PC = ,(6,2)CA =-- ,(3,3)(6,2)(3,1)PA PC CA =+=+--=- ,所以cos cos ,||||PA PC APC PA PC PA PC ⋅∠=〈〉==- 【小问3详解】由(2)知,(5,5)PC BC λλλ== ,(5,5)(6,2)(56,52)PA PC CA λλλλ=+=+--=-- ,则225(56)5(52)2(5)852(52)8PA PC λλλλλλλ⋅=-+-=-⋅=-- ,由P 为线段BC 上一点,且PC BC λ=,得01λ≤≤,当2=5λ时,min ()8PA PC ⋅=- ,当1λ=时,max ()10PA PC ⋅= ,所以PA PC ⋅ 的取值范围[8,10]-.19.已知函数()sin(2)cos 2f x x x ϕ=++,其中π||2ϕ<.再从条件①、条件②、条件③中选择一个作为已知,使()f x 存在,并完成下列两个问题.(1)求ϕ的值;(2)若函数()f x 在区间[]0,m 上的取值范围是1[,1]2,求m 的取值范围.条件①π(16f =-;条件②π12-是()f x 的一个零点;条件③(0)3π(f f =.注:如果选择多个条件分别解答,按第一个解答计分.【答案】(1)条件选择见解析,π6ϕ=-;(2)ππ63m ≤≤.【解析】【分析】(1)根据选择的条件代入计算,结合角的范围即可利用特殊角的三角函数值求解π6ϕ=-.(2)由(1)求出并化简函数()f x ,再求出相位的取值范围,结合已知及正弦函数的性质,列出不等式求解即得.【小问1详解】选条件①,ππππ3(sin()cos 1sin()63332f ϕϕ=++=-⇒+=-无意义,即此时()f x 不存在,则不能选①.选条件②,πππ()sin()cos()01266f ϕ-=-++-=,则πsin()62ϕ-=-,而ππ22ϕ-<<,即2πππ363ϕ-<-<,则ππ63ϕ-=-,所以π6ϕ=-.选条件③,2π2πsin cos0sin()cos 33ϕϕ+=++,即11sin 1sin 22ϕϕϕ+=--,整理得33sin cos 222ϕϕ-=-,即πsin()62ϕ-=-,而ππ22ϕ-<<,即2πππ363ϕ-<-<,则ππ63ϕ-=-,所以π6ϕ=-.【小问2详解】由(1)知,1()sin(2cos 2sin 2cos 2sin(2π622π6f x x x x x x =-+=+=+,当[0,]x m ∈时,πππ2[,2666x m +∈+,由()f x 在[]0,m 上的取值范围是1[,1]2,得ππ5π2662m +≤≤,解得ππ63m ≤≤,所以m 的取值范围是ππ63m ≤≤.20.如图是两个齿轮传动的示意图,已知上、下两个齿轮的半径分别为1和2,两齿轮中心2O ,1O 在同一竖直线上,且125O O =,标记初始位置A 点为下齿轮的最右端,B 点为上齿轮的最下端,以下齿轮中心1O 为坐标原点,如图建立平面直角坐标系xOy ,已知下齿轮以每秒1弧度的速度逆时针旋转,并同时带动上齿轮转动,转动过程中A ,B 两点的纵坐标分别为1y ,2y 、转动时间为t 秒(0t ≥).(1)当1t =时,求点B 绕2O 转动的弧度数;(2)分别写出1y ,2y 关于转动时间t 的函数表达式,并求当t 满足什么条件时,2 5.5y ≥;(3)求21y y -的最小值.【答案】(1)2(2)12sin y t =,2π5sin 22y t ⎛⎫=+- ⎪⎝⎭,t 满足π2πππ,N 33t k t k k ⎧⎫+≤≤+∈⎨⎬⎩⎭(3)72【解析】【分析】(1)由点A 与点B 处转过的弧长相等,求点B 绕2O 转动的弧度数;(2)由分别点A 与点B 处转过的圆心角,结合正弦函数,写出1y ,2y 关于转动时间t 的函数表达式,并解不等式2 5.5y ≥;(3)利用诱导公式和倍角公式化简21y y -,结合二次函数的性质求最小值.【小问1详解】当1t =时,点A 绕1O 转动1弧度,点A 与点B 处转过的弧长相等,则点B 绕2O 转动的弧度数为1221⨯=.【小问2详解】转动时间为t 秒,点A 绕1O 转动t 弧度,点B 绕2O 转动2t 弧度,12sin y t =,2π5sin 22y t ⎛⎫=+- ⎪⎝⎭,当2π5sin 2 5.52y t ⎛⎫=+-≥ ⎪⎝⎭,ππ5π2π22π626k t k +≤-≤+,由0t ≥解得π2πππ33k t k +≤≤+,N k ∈.则满足条件的t 的集合为π2πππ,N 33t k t k k ⎧⎫+≤≤+∈⎨⎬⎩⎭.【小问3详解】2221π175sin 22sin 5cos 22sin 2sin 2sin 42sin 222y y t t t t t t t ⎛⎫⎛⎫-=+--=--=-+=-+ ⎪ ⎪⎝⎭⎝⎭,当1sin 2t =时,21y y -有最小值72.21.对于定义在R 上的函数()y f x =,如果存在一组常数1t ,2t ,…,k t (k 为正整数,且120k t t t =<<< ),使得x ∀∈R ,12((0))()k f x t f x t f x t ++++++= ,则称函数()f x 为“k 阶零和函数”.(1)若函数11()x f x =+,2()sin f x x =,请直接写出1()f x ,2()f x 是否为“2阶零和函数”;(2)判断“()f x 为2阶零和函数”是“()f x 为周期函数”的什么条件(用“充分不必要条件”“必要不充分条件”“充要条件”或“既不充分也不必要”回答),并证明你的结论;(3)判断下列函数是否为“3阶零和函数”,并说明理由.3cos 2cos5cos8()f x x x x =++,4cos 2cos3cos 4()f x x x x =++.【答案】(1)1()f x 不是,2()f x 是;(2)充分不必要条件,证明见解析;(3)3()f x 是,4()f x 不是,理由见解析.【解析】【分析】(1)利用恒等式判断1()f x ,取120,πt t ==计算,结合定义判断2()f x .(2)利用定义求出周期说明充分性,举例说明必要性不成立推理即得.(3)取1232π4π0,,33t t t ===计算,结合定义判断3()f x ;利用反证法推理导出矛盾判断4()f x .【小问1详解】函数11()x f x =+,()()1112121211220f x t f x t x t x t x t t +++=+++++=+++=对一切实数不成立,所以函数11()x f x =+不是“2阶零和函数”;取120,πt t ==,x ∀∈R ,2212sin sin(π)sin sin 0()()x x f t x t x x x f ++=-++=+=,所以2()sin f x x =是“2阶零和函数”.【小问2详解】“()f x 为2阶零和函数”是“()f x 为周期函数”的充分不必要条件.证明如下:若()f x 为2阶零和函数,则存在常数20t >,使得x ∀∈R ,2()()0x f x t f ++=,即2()()f x t x f +=-,因此22(2)()()f x t x t f x f +=-+=,即函数()f x 为周期函数;反之函数()f x 为周期函数,如()|sin |1f x x =+,对x ∀∈R ,(π)|sin(π)|1|sin |1()x f x x f x +=++=+=,()f x 为周期函数,对任意正常数2t ,222()()|sin |1|sin()|1|sin ||sin()|22x f x t x x t f x x t ++=++++=+++≥,因此函数()f x 不是2阶零和函数,所以“()f x 为2阶零和函数”是“()f x 为周期函数”的充分不必要条件.【小问3详解】函数3()f x 是“3阶零和函数”,取1232π4π0,,33t t t ===,x ∀∈R ,313233cos 2c )os5cos ()()(8f xx t f x t x f x t x +++++++=2π2π2π4π4π4π)))c 333333x x x x x x ++++++++++++2π2π2πcos 2cos5cos8cos(2)cos(5)cos(8)333x x x x x x =+++-+-+-2π2π2πcos(2)cos(5)cos(80333x x x ++++++=,所以函数3()f x 是“3阶零和函数”;函数4()f x 不是“3阶零和函数”,假定函数4()f x 是“3阶零和函数”,则存在常数1230t t t =<<,x ∀∈R ,414243()()()0f x t f x t f x t +++++=,即222)c (22)(33)(4os 2cos3cos 44cos cos cos x x t x x t x t x ++++++++333(22)(33)(44)0cos cos cos x t x t x t +++++=+对x ∀∈R 成立,则232323cos 2cos(22)cos(22)0cos3cos(33)cos(33)0cos 4cos(44)cos(44)0x x t x t x x t x t x x t x t ++++=⎧⎪++++=⎨⎪++++=⎩恒成立,由23(22)(22)0cos 2cos cos x t x t x +++=+,得2323(cos 2cos 21)cos 2(sin 2sin 2)sin 20t t x t t x ++-+=,因此2323cos 2cos 21sin 2sin 20t t t t +=-⎧⎨+=⎩,平方相加整理得321cos 2()2t t -=-,则3211ππ,N 3t t k k -=+∈或32112ππ,N 3t t k k -=+∈,由23(33)(33)0cos3cos cos x t x t x ++++=,同理得321cos3()2t t -=-,于是23222π2π,N 93k t t k -=+∈或23222π4π,N 93k t t k -=+∈,则12,N k k ∈,212ππ2ππ393k k +=+或212π2π2ππ393k k +=+或212ππ4ππ393k k +=+或212π2π4ππ393k k +=+,即12,N k k ∈,211233k k -=或214233k k -=或121323k k -=或212233k k -=,显然不成立,因此不存在常数1230t t t =<<,使得x ∀∈R ,414243()()()0f x t f x t f x t +++++=,所以函数4()f x 不是“3阶零和函数”.【点睛】思路点睛:“新定义”主要是指即时定义新概念、新公式、新定理、新法则、新运算五种,然后根据此新定义去解决问题,有时还需要用类比的方法去理解新的定义,这样有助于对新定义的透彻理解.。
第二学期高一年级期中测试卷数 学本试卷分第Ⅰ卷和第Ⅱ卷两部分,共4页,满分为150分。
考试用时120分钟。
第Ⅰ卷(选择题 共60分)一、选择题(本题共12小题,每小题5分,共60分,四个选项中,只有一项符合要求) 1. 直线310x y +-=的倾斜角为( ) A .30B .60︒C .120︒D .150︒2. 已知非零向量a ,b 满足:()1,1a =,1b =,()a b b -⊥,则向量a ,b 的夹角大小为( ) A .6π B .4π C .3πD .2π3. 在12件同类产品中,有10件是正品,2件是次品,从中任意抽出3件,与“1件次品2件正品”互斥而不对立的事件是( )A .3件正品B .至少有一件正品C .至少有一件次品D .3件正品或2件次品1件正品4、已知某地区中小学生人数和近视情况分别如图1和图2所示.为了解该地区中小学生的近视形成原因,用分层抽样的方法抽取4%的学生进行调查,则样本容量和抽取的高中生近视人数分别为( )A .400,40B .200,10C .400,80D .200,205. 直线与平行,则的值等于( ) A .-1或3 B .1或3 C .-3 D .-16. 圆A :224210x y x y +--+=与圆B :222610x y x y ++++= 的位置关系是( ) A .相交 B .内切 C .外切 D .内含7. 如图,在平行四边形ABCD 中,对角线AC 与BD 交于点O ,且2AE EO =,则ED =( )A .1233AD AB - B .2133AD AB + C .2133AD AB - D .1233AD AB +8. 随机掷两枚质地均匀的骰子,它们向上的点数之和不超过5的概率记为p 1,点数之和大于5的概率记为p 2,点数之和为偶数的概率记为p 3,则( )A .p 1<p 2<p 3B .p 2<p 1<p 3C .p 1<p 3<p 2D .p 3<p 1<p 29. △ABC 中,角A 、B 、C 所对的边分别为a.b.c ,若,则△ABC 为( )A . 直角三角形B . 钝角三角形C . 锐角三角形D . 等边三角形10.如图,在ABC 中,45B =︒,D 是BC 边上一点,27,6,4AD AC DC ===,则AB 的长为( ) A .2 B 、36 C .33 D .3211. 已知圆C 的圆心是直线10x y ++=与直线10x y --=的交点,直线3410x y +-=与圆C 相交于A ,B 两点,且=6AB ,则圆C 的方程为( )A .22(1)10x y ++= B .22(1)10x y ++= C .221()10x y +-=D .22(1)10x y +-=12. 在ABC ∆中,已知2224(a b c S S +-=为ABC ∆的面积),若c 2=,则2a b -的取值范围是( ) A .()0,2 B .()1,0- C .()1,2- D .()2,2-第Ⅱ卷(非选择题 共90分)二、填空题(本题共4小题,每小题5分,共20分)13. 已知向量a ,b 满足|a | =1, |b | = 2,| a - 2b |=13 ,则a 与b 的夹角为______.14. 已知定点()0,4A -,点P 是圆224x y +=上的动点,则AP 的中点C 的轨迹方程__________.15. 如图,某建筑物的高度300BC m =,一架无人机Q 上的仪器观测到建筑物顶部C 的仰角为15︒,地面某处A 的俯角为45︒,且60BAC ∠=︒,则此无人机距离地面的高度PQ 为________m16.关于x 29(3)4x k x -=-+有两个不同的实数解时,实数k 的取值范围是_______三、解答题:解答题应写出文字说明、证明过程或演算步骤。
20XX年高中测试高中试题试卷科目:年级:考点:监考老师:日期:高一年级数学第二学期期中测试卷高一年级数学试卷(考试时间 120 分钟,共 三 大题,满分 150 分) 命题人:黄鹤飞一、选择题:(本大题共12小题,每小题5分,共60分,在每小题给出的选项中,只有一项是符合题目要求的,把正确答案的序号填入答题卡上的相应空格内。
)1. 角α的终边上有一点)0(),2,(<-a a a ,则αsin = ( )A.55-B.552C.55D.552- 2.已知,,AB a BC b CA c ===,则0a b c ++=是,,A B C 三点构成三角形的( )A. 充分不必要条件B.必要不充分条件C. 充要条件D.既不充分也不必要条件3.函数()f x =的最小正周期是( )A. 2πB.πC.2π D.4π 4.已知31)4sin(=-πα,则cos()4πα+的值等于( )A.13-B.3-C.3D.135.设→1e 与→2e 是不共线的非零向量,且k →1e +→2e 与→1e +k →2e 共线,则k 的值是( )A. 1B. -1C. 1±D. 任意不为零的实数6.在(0,2)π内,使cos sin tan x x x >>成立的x 的取值范围是A.(43,4ππ) B.(23,45ππ) C.(47,23ππ) D.(ππ2,23) 7.把函数)34cos(π+=x y 的图象向右平移θ 个单位,所得图象关于y 轴对称,则θ的最小正值为 ( )A. 6πB. 3πC. 32πD.34π 8.已知函数()2sin (0)f x x ωω=>在区间,34ππ⎡⎤-⎢⎥⎣⎦上的最小值是2-,则ω的最小值等于 ( )A.23 B.32C. 2D. 39.函数()sin() (0,,2f x A x x πωϕωϕ=+><∈R )达式为 ( )A.()4sin()44f x x ππ=+B.()4sin()44f x x ππ=-C. ()4sin()84f x x ππ=-+ D.()4sin(84f x x ππ=--10.函数)42sin(π-=x y 的单调增区间是( )A .3[,]()88k k k Z ππππ-+∈ B.5[,]()88k k k Z ππππ++∈C.3[,]()88k k k Z ππππ-+∈D.37[,]()88k k k Z ππππ++∈11.已知tan ,tan αβ是方程240x ++=的两个根,且,(,),22ππαβ∈-则αβ+等于( )A. 3πB. 3π-或23πC. 3π或23π D.23π-12.某学生对函数x x x f sin )(=进行研究,得出如下四个结论:①函数)(x f 在⎥⎦⎤⎢⎣⎡-2,2ππ上单调递增;②存在常数0>M ,使x M x f ≤)(对一切实数x 均成立;③函数)(x f 在),0(π无最小值,但一定有最大值;④点)0,(π是函数)(x f y =图象的一个对称中心。
高一数学第二学期期中考试试卷高一 得分本试卷满分150分 考试时间120分钟选择题:本大题共12小题;每小题5分;共60分.在每小题给出的四个选项中;只有一项是符合题目要求的.1.cos 67π的值等于 A 、21 B 、23 C 、-21 D 、-23 ( )2. 若α是第二象限角;则π-α是 ( )A 、 第一象限角B 、第二象限角C 、第三象限角D 、第四象限角3. 已知51cos 3sin 2cos sin =+-αααα;则tan α的值是 ( )A 、±38B 、38C 、- 38D 、无法确定4. 在半径为2的圆中;圆心角为7π所对的弧长是 ( )A 、72π B、14π C 、72D 、74π5. 函数αααtan tan cos cos +=y 的值域是 ( )A 、[-2;2]B 、{-2;2}C 、{-2;0;2}D 、{0;1;2}6. 对于α∈R;下列等式中恒成立的是 ( ) A 、cos(-α)=-cosα B、sin(2π-α)=sinα C 、cos(π-α)=cos(π+α) D 、tan(π+α)=tan(2π-α)7. 函数()3sin cos 22+-=x x x f 的图象的一条对称轴的方程是( ) A 、45π=x B 、8π=x C 、4π-=x D 、2π-=x8.已知角απ+2的 终边上有点P (7;-24);则cos α的值为 ( )A 、-257B 、-2524 C 、257 D 、25249.下列不等式中;正确的是 ( ) A 、B 、e cos52°<e cos53°C 、πtan109°>πtan110°D 、(32)sin115°<(32)sin116°10. 若α;β为锐角;sin α=552,sin(α+β)=53, 则 cos β= ( )A 、552 B 、2552 C 、552或2552 D 、-2552 53;则顶角的正弦值是 ( )A 、±2524B 、2524C 、-2524D 、±251212.方程sinx=lgx 的实根个数为A 、4个B 、3个C 、2个D 、1个 ( ) 一、填空题:本大题共4小题;每小题5分;共20分.把答案填在题中横线上.13.不查表不用计数器计算sin的值为14.arccos 21-arctan1=15.函数y=sin 2x-2cosx 的值域为16.若函数y=3cos(ωx+3)的周期为T ;且T∈(2;3);则正整数ω是________。
〖人教版〗高一级数学第二学期期中考试试卷创作人:百里灵明 创作日期:2021.04.01审核人: 北堂正中 创作单位: 北京市智语学校第一部分选择题(共 50 分)一、选择题:本大题共10小题,每小题5分,共50分.在每小题给出的四个选项中,只有一项是符合题目要求的. 1.函数)421sin(2π+=x y 的周期是( )A .4πB .π4C .π2D .2π2.函数)10lg(1)(22x x x x f -+-=的定义域为( )A .RB .[1,10]C .(1,10)D .)10,1()1,(⋃--∞3.一个圆锥的侧面展开图是半径为3,圆心角为120的扇形,则圆锥的体积等于A.π322 B.π22 C.π324 D.π48354.下列函数中,在其定义域内既是奇函数又是减函数的是( ) A .3x y -=)(R x ∈B .x y sin =)(R x ∈C .x y tan -=D .xy )21(=)(R x ∈ 5.若向量)2,1(=a ,)4,3(-=b ,则)()(b a b a +⋅⋅等于( ) A .20 B .),(3010- C .54 D .),(248- 6.如图,平面内的两条相交直线1OP 和2OP 将该平面分割成四个部分Ⅰ、Ⅱ、Ⅲ、Ⅳ(不包括边界). 若21OP b OP a OP +=,且点P 落在第Ⅲ部分,则实数b a 、满足( ) A . 0,0>>b a . B. 0,0<>b a . C . 0,0><b a . D. 0,0<<b a . 7.在ABC ∆中,角2120,tan tan 33C A B =+=,则tan tan A B 的值为 ( ) A .41 B .13 C .21 D .538.已知函数()sin()(0,0,||)2f x A x A πωϕωϕ=+>><y xO6π 2 512π 的部分图象如下图所示.则函数()f x 的解析式为( )A .)621sin(2)(π+=x x fB .)621sin(2)(π-=x x fC .)62sin(2)(π-=x x fD .()2sin(2)6f x x π=+9.在ABC ∆中,有命题①=-;②=++;③若0)()(=-⋅+AC AB AC AB ,则ABC ∆为等腰三角形;④若0>⋅,则ABC ∆为锐角三角形. 上述命题正确的是 ( )A.①②B.①④C.②③D.②③④10.已知02≠=b a ,且关于x 的方程02=⋅++b a x a x 有实数根,则与的夹角的取值范围是 ( ) A.[,]3ππ B.[0,]6π C.2[,]33ππ D.[,]6ππ 第二部分非选择题 (共 100 分)二.填空题:本大题共5小题, 每小题5分, 共25分. 把答案填在答卷的相应位置. 11.=-57sin 333cos 33sin 27sin ;12.已知1:210l x my ++=与2:31l y x =-,若两直线平行,则m 的值为; 13.将函数x y 2sin =的图象按向量)0,6(π-=平移后的图象的函数解析式为;14.函数[]π2,0|,sin |2sin )(∈+=x x x x f 的图象与直线k y =有且仅有两个不同的交点,则k 的取值范围是__________.15.对于任意向量a 、b ,定义新运算“※”:a ※b =||||sin a b θ⋅⋅(其中 θ为a 与b 所的角)。
20XX年高中测试高中试题试卷科目:年级:考点:监考老师:日期:高一年级数学第二学期期中考试试卷试卷页数:8页 考试时间:120分钟一、选择题:(每小题3分,共36分) 1、若tan110,a =则cot 20的值是A 、a -B 、aC 、1aD 、1a- 2、点P 在直线MN 上,且12MP PN =,则点P 分MN 所成的比为 A 12 B 12- C 12± D 2或123、将向量(4,3)OA =-按(5,2)a =-平移后的向量为A 、(4,3)-B 、(9,5)-C 、(1,1)D 、(9,5)- 4、下列函数中,周期为1的奇函数是A 、212sin y x π=-B 、sin 23y x ππ⎛⎫=+ ⎪⎝⎭C 、tan2y x π=D 、sin cos y x x ππ=5、若a 与b 的夹角为120o,且3,5a b ==,则a b -等于 A 、17 B 、7 C 、152D 、15 6、已知函数()sin()cos(),,22f x x x R ππθθθ=++ ∈ 是常数,当1x =时()f x 取最大值, 则θ的一个值是A .4π B .2πC .43πD .π7、已知四边形OABC 中,1,,,2CB OA OA a OC b ===则AB =A2a b - B 2b a - C 2a b - D 2a b + 8、设O 、A 、B 、C 为平面上四个点,OA a =,OB b =,OC c =,且0a b c ++=,1a b b c c a ⋅=⋅=⋅=-,则a b c ++等于A.22B.23C.32D.339、已知钝角α的终边经过点()θθ4sin ,2sin P ,且5.0cos =θ,则α的值为A .⎪⎭⎫⎝⎛-21arctan B .()1arctan - C .21arctan -π D .43π 10、在ABC ∆中,1sin 24A =-,则cos sin A A -的值为 A、2-B、2±C、2D、211、平面上A (-2,1),B (1,4),D (4,-3),C 点满足21AC =→--→--CB ,连DC 并延长至E ,使|→--CE |=41|→--ED |,则点E 坐标为:A 、(-8,35-)B 、(311,38-)C 、(0,1)D 、(0,1)或(2,311)12、△OAB 中,→--OA =→a ,→--OB =→b ,→--OP =→p ,若→p =a b t a b →→→→⎛⎫⎪ ⎪+ ⎪ ⎪⎝⎭,t ∈R ,则点P 一定在A 、∠AOB 平分线所在直线上 B 、线段AB 中垂线上C 、AB 边所在直线上D 、AB 边的中线上 二、填空题:(每小题3分,共12分)13、已知点A(1, -2),若向量AB 与a =(2,3)同向,AB则点B 的坐标为 14、函数y x =+2423sin()π的图象与x 轴的各个交点中,离原点最近的一点的坐标为__________。
15、设a →,b →, c →是任意的非零平面向量,且相互不共线,则:(1)()()0a b c c a b ⋅-⋅=;(2)a b a b -<-;(3)()()b c a c a b ⋅-⋅不与c →垂直(4)()()22323294a b a b ab +⋅-=-中,真命题是________________________16、定义运算a b *为:()(),⎩⎨⎧>≤=*b a b b a a b a 例如,121=*,则函数f(x)=sin cos x x *的值域为。
三、解答题: 17、(本题满分6分)已知M 、O 、N 三点共线,存在非零不共线向量12,e e ,满足:121cos 4OM e e α⎛⎫=-- ⎪⎝⎭,121sin 4ON e e α⎛⎫=+- ⎪⎝⎭,[)0,απ∈ ,求α的值。
18、(本题满分8分)已知向量(3,4),(6,3),(5,(3))OA OB OC m m =-=-=--+. (1)若点A 、B 、C 能构成三角形,求实数m 应满足的条件; (2)若△ABC 为直角三角形,且∠A 为直角,求实数m 的值. 19、(本题满分9分)(1)已知tan 34πα⎛⎫+=- ⎪⎝⎭,求()sin 3cos sin 1tan αααα-+的值。
(4分)(2)如图:ABC ∆中,2AC AB =,D 在线段BC 上,且2DC BD =,BM 是中线,用向量证明AD BM ⊥。
(平面几何证明不得分)(5分)20、(本小题满分9分)已知:a R a a x x x f ,.(2sin 3cos 2)(2∈++=为常数)(1)若R x ∈,求)(x f 的最小正周期; (2)若)(x f 在[]6,6ππ-上的最大值与最小值之和为3,求a 的值; (3)在(2)的条件下,函数)(x f 的图象先按m 平移后再经过周期变换和振幅变换得到函数sin y x =的图象,求m .21、(本小题满分8分)(普通班只做..(1)(2);教改班只做..(2)(3)) 已知锐角△ABC 中,()()31sin ,sin 55A B A B +=-=, (1)求cos2A 的值;(2)求证:tan 2tan A B =;(3)设3AB =,求AB 边上的高。
22、(本小题满分10分)(普通班做)......已知向量(1,1),m =向量n 与向量m 夹角为π43,且1m n ⋅ =-. (1)求向量n ;(2)若向量n 与向量q =(1,0)的夹角为2,向量(cos ,2cos )22Cp A π=,其中A ,C 为△ABC 的内角,且A ,B ,C 依次成等差数列,试求|n +p |的取值范围。
MDCB A22、(本小题满分10分)(教改班做)......已知向量(1,1),m =向量n 与向量m 夹角为π43,且1m n ⋅ =-. (1)若向量n 与向量q =(1,0)的夹角为2,向量(cos ,2cos )22Cp A π=,其中A ,C 为△ABC 的内角,且A ,B ,C 依次成等差数列,试求|n +p |的取值范围。
(2)若A 、B 、C 为△ABC 的内角,且A ,B ,C 依次成等差数列,A B C ≤≤,设()()2sin 22sin cos f A A A A a =-++,()f A 的最大值为5-,关于x 的方程()sin 032m ax a π⎛⎫+= > ⎪⎝⎭在0,2π⎡⎤ ⎢⎥⎣⎦上有相异实根,求m 的取值范围。
第二学期期中考试高一数学答卷纸一、选择题:(每小题3分,共36分)二、填空题:(每小题3分,共12分) 13、____________________。
14、____________________。
15、____________________。
16、____________________。
三、解答题: 17、姓名__________ 考试号____________内 不 要 答 题18、(1)(2)19、(1)(2)AM20、学把表格相应中位置的“○”涂黑)22、(请普通班的同学把表格中相应位置的“○”涂黑;教改班的同学把表格相应中位置的“○”涂黑)第二学期期中考试高一数学答案一、选择题:(每小题3分,共36分)二、填空题:(每小题3分,共12分) 13、_______(5, 4)_______。
14、______,012π⎛⎫⎪⎝⎭________。
15、_____(2)(4)_______。
16、______1,⎡-⎢⎣⎦_______。
三、解答题:17、设111cos sin 44OM ON λλλαα=⎧⎪=⇒⎨⎛⎫--=- ⎪⎪⎝⎭⎩∴1sin cos 2αα+=, ∴sin 44πα⎛⎫+= ⎪⎝⎭。
∵[)0,απ∈ ,∴3arcsin 44πα=-18、(1)若点A 、B 、C 能构成三角形,则这三点不共线,),1,2(),1,3(m m AC AB --== 故知m m -≠-2)1(3∴实数21≠m 时,满足的条件 (2) 若△ABC 为直角三角形,且∠A 为直角,则AC AB ⊥,0)1()2(3=-+-∴m m 解得47=m 班级__________ 姓名__________ 考试号____________密 封 线 内 不 要 答 题19、(1) ∵tan 34πα⎛⎫+=- ⎪⎝⎭,∴tan 2α= ∴()sin 3cos sin 1tan αααα-+=()()223tan tan 1tan 1tan αααα-++=215(2):2133AD AB AC =+,12BM AB AC =-+, ∴()221406AD BM AB AC ⋅=-=∴AD BM ⊥20、1)62sin(22sin 32cos 1)(+++=+++=a x a x x x f π(1)最小正周期ππ==22T (2)]2,6[62]3,3[2]6,6[πππππππ-∈+⇒-∈⇒-∈x x x 1)62sin(21≤+≤-∴πx即033211)(12)(min max =⇒=+∴⎩⎨⎧++-=++=a a a x f a x f(3)1)62sin(2)(++=πx x fx x f 2sin 2)(=(,1)12m π= -21、(请普通班的同学把表格中相应位置的“○”涂黑;教改班的同学把表格相应中位置的“○”涂黑) (1)∵2C π<,∴2A B π+>,∴()()4cos ,cos 55A B A B +=--= ∴()()cos 2cos A A B A B =++-=⎡⎤⎣⎦ (2)把()()31sin ,sin 55A B A B +=-=展开即可得证。
(3)∵()3,sin 25A B A B ππ<+< +=,∴()3tan 4A B +=-即tan tan 31tan tan 4A B A B +=--, 又tan 2tan A B =, 先向右平移12π再向下平移1MDCBA∴22tan 4tan 10B B --=,解得:2tan 2B ±=,舍负值,∴2tan 2B +=tan 2tan 2A B ==+设AB 边上的高为CD ,则tan tan CD CD AB AD DB A B=+=+, 由3AB =得:2CD =+22、(请普通班的同学把表格中相应位置的“○”涂黑;教改班的同学把表格相应中位置的“○”涂黑)(1)设1),,(-=⋅=y x 由,有1-=+y x ① 由n m 与夹角为π43,有π43cos||||⋅⋅=⋅n m n m . ∴.1,1||22=+=y x 则② 由①②解得⎩⎨⎧-==⎩⎨⎧=-=.1,0.0,1y x y x 或∴即)0,1(||-=或).1,0(-= (2)由与垂直知).1,0(-=由2B=A+C 知.320,32,3πππ<<=+=A C A B 2222若(0,1),则(cos ,2cos 1)(cos ,cos ),21cos 21cos 214||cos cos 1[cos 2cos(2)]22231251cos(2).0,2,2333331111cos(2). 1co 3222C n n p A A C A C n p A C A A A A A A πππππππ=-+=-=++∴+=+=+=++-=++<<<+<∴-≤+<≤+2515s(2).即||[,).34242||[,22A n p n p π+<+∈∴+∈(3)0,3A π⎛⎤∈ ⎥⎝⎦, 设sincos A A t +=,则21sin cos 2t A A -=,其中(1,t ∈ ()()2sin 22sin cos f A A A A a =-++=()22221212t t at a --+=-+- ∴())222max 1215f A a a =+-=+-=-24a =∵0a >,∴2a = ∴方程()sin 032m ax a π⎛⎫+= > ⎪⎝⎭,即为sin 232m x π⎛⎫+= ⎪⎝⎭∵该方程在0,2π⎡⎤⎢⎥⎣⎦122m m ≤< <。