普通高中毕业会考试卷数学
- 格式:doc
- 大小:142.00 KB
- 文档页数:4
一、选择题(本大题共10小题,每小题5分,共50分。
在每小题给出的四个选项中,只有一项是符合题目要求的。
)1. 已知函数f(x) = x^3 - 3x + 2,若f(x)的图像关于点(1, f(1))对称,则f(1)的值为:A. 0B. 1C. 2D. 32. 下列不等式中,正确的是:A. |x| > 2B. x^2 > 4C. x < 2 或 x > -2D. x^2 < 43. 已知等差数列{an}的首项a1 = 3,公差d = 2,则第10项a10的值为:A. 17B. 18C. 19D. 204. 下列函数中,在其定义域内单调递增的是:A. f(x) = x^2B. f(x) = -x^2C. f(x) = x^3D. f(x) = -x^35. 已知复数z = 1 + i,其模|z|的值为:B. √2C. 2D. √36. 下列关于平面直角坐标系中点的坐标的说法正确的是:A. (1, 2)和(2, 1)是同一点B. (3, -4)和(-3, 4)关于x轴对称C. (0, 0)和(2, 2)关于y轴对称D. (2, 0)和(0, 2)关于原点对称7. 已知圆C的方程为x^2 + y^2 = 4,点P(2, 0)到圆C的距离为:A. 2B. 4C. 6D. 88. 下列关于三角形的外接圆的说法正确的是:A. 外接圆的半径是三角形边长的和B. 外接圆的半径是三角形周长的平均数C. 外接圆的半径是三角形面积的两倍D. 外接圆的半径是三角形面积与半周长的乘积9. 已知等比数列{an}的首项a1 = 2,公比q = 3,则第5项a5的值为:A. 54B. 81C. 24310. 下列关于平面几何图形的说法正确的是:A. 平行四边形对角线互相平分B. 矩形的对角线互相垂直C. 菱形的对角线互相平分D. 正方形的对角线互相平分且相等二、填空题(本大题共5小题,每小题10分,共50分。
河北省高中数学会考试题一.选择题 (共12题,每题3分,共36分)在每小题给出的四个备选答案中,总有一个正确答案,请把所选答案的字母填在相应的位置上1.已知集合A={1,2,3},B={2,3,4},则AUB=A {2,3}B {1,4}C {1,2,3,4}D {1,3,4}2. sin150.0 =A 21B - 21 C 23 D - 23 3.函数y=sinx 是A 偶函数,最大值为1B 奇函数,最大值为1C 偶函数,最小值为1D 奇函数,最小值为14.已知△ABC 中,cosA=21,则A=A 600B 1200 C300 或1500 D 600或1200 5. 如果a,b 是两个单位向量,那么下列四个结论中正确的是A a=bB a 2=b 2C a ·b=1D ∣a ∣≠∣b ∣6. 已知a=(1,1),b=(2,2),则a – b =A (1,1)B (1,-1)C (-1.-1)D (-1,1)7. 已知△ABC 中,a=6,b=8,c=10,则 cosA=A 54B 53C 52 D 51 8.已知等差数列{a n },a 1=1,a 3=5,则a n =A 2n-1B nC n+2D 2n+19.已知等比数列{a n },a 1=2,q=3,则a 3 =A 8B 12C 16D 1810.已知a ›b ›0,则A a c ﹥bcB -a ﹤-bC a 1﹥b 1D a c ﹥ac11.不等式x 2-x-2﹥0的解集为A (-1,2)B (-∞,-1)U (2,+∞)C (-1,2〕D 〔-1,2〕12.已知sinx=1,则cosx=A -1B 1C 不存在D 0 二.填空题,(共4题,每题5分)13.已知x,y 满足约束条 件 y ≤x ,则z=2x+y 的最大值是x+y ≤1y ≥-114.已知口袋里有5个红球,15个白球,则从口袋里任取一个球,取到的是红球的概率为15.已知函数y=Acosx 最大值为2,则A =16.已知四边形ABCD 中,AD =BC ,则四边形ABCD 的形状为三.解答题,(共4题,第17,18题每题10分,第19,20每题12分)17.已知集合A={1,2,3,4},B={3,4,5,6},求(1)A ∪B,A ∩B(2)已知全集I={1,2,3,4,5,6,7},求C I A,C I B.18. 解不等式组x2-x-6≤0 的解集。
浙江普通高中会考数学试卷一、 选择题(本题有25小题,每小题2分,共50分) 1. 已知角的终边经过点(-3,4),则αtg =(A)43 (B) -43 (C)34 (D)-342. 已知lg2=a ,lg3=b ,则23lg= (A) a -b (B)b -a (C)a b (D)ba 3. 设集合M ={(1,2)},则下列关系成立的是(A)1∈M (B) 2∈M (C)(1,2)∈M (D)(2,1)∈M 4. 直线x -y +3=0的倾斜角是(A)30︒ (B) 45︒ (C)60︒ (D)90︒ 5. 计算:ii-12= (A)1-i (B)-1-i (C)1+i (D)-1+i 6. 双曲线x 2-y 2=1的离心率是(A)2 (B)22 (C)21 (D)27. 点(2,1)到直线3x -4y +2=0的距离是(A)54 (B)45 (C)254 (D)4258. 底面半径为2,高为4的圆柱,它的侧面积是(A)8π (B)16π (C)20π (D)24π 9.2sin )(x x f =是(A)最小正周期是π的奇函数 (B)最小正周期是4π的奇函数 (C)最小正周期是π的偶函数 (D)最小正周期是4π的偶函数 10. 方程9131=-x的解是 (A)x =31 (B)-31 (C)x =3 (D)x =-3 11. 如图,设向量OA 对应的复数为z ,则z =(A)1+2i (B)1-2i (C)2+i (D)2-i 12. 化简:2tg2ctg x x -= (A)tg x (B)ctg x (C)2tg x (D)2ctg x 13. 若不等式3≤+a x 的解集为}51{≤≤-x x ,则a =(A)-2 (B)-3 (C)2 (D)314. 如图,直四棱柱ABCD -A 1B 1C 1D 1的底面是菱形,则A 1C 与BD 所成的角是(A)90︒ (B)60︒ (C)45︒ (D)30︒15. 半径是20cm 的轮子按逆时针方向旋转,若轮周上一点转过的弧长是40cm ,则轮子转过的弧度数是(A)2 (B)-2 (C)4 (D)-416. 正四棱台的上、下底面边长分别为2,4,侧棱长为11,则棱台的高是(A)3 (B)7 (C)3 (D)10 17. 函数⎥⎦⎤⎢⎣⎡-∈=2,6,cos ππx x y 的值域是 (A)[0,1] (B)[-1,1] (C)[0,23] (D)[-21,1]18. 18、若),(0R b a a b ∈<<,则下列不等式中正确的是CA 11(A)b 2<a 2(B)b 1>a1(C)-b <-a (D)a -b >a +b 19. 点(-1,2)关于直线 y =x -1的对称点的坐标是(A)(3,2) (B) (-3,-2) (C)(-3,2) (D)(3,-2)20. 已知不等式⎩⎨⎧>≤--a x x x 022的解集是∅,则实数a 的取值范围是(A) a >2 (B)a <-1 (C)a ≥2 (D)a ≤-1 21. 已知A qnn =∞→)1(lim (A 为常数),则实数q 的值不可能...是 (A)2 (B)1 (C)-1 (D)-222. 已知直线m ,n 和平面α,则“m ,n 和α所成的角相等”是“m //n ”的(A)充分条件,但不是必要条件 (B)必要条件,但不是充分条件 (C) 充要条件 (D)既不是充分条件,也不是必要条件23. 有四个幂函数:①f (x )=x -1; ②f (x )=x -2; ③f (x )=x 3; ④f (x )=31x .某同学研究了其中的一个函数,他给出这个函数的两个性质: (1)定义域是{x |x ∈R ,且x ≠0}; (2)值域是{y |y ∈R ,且y ≠0}.如果他给出的两个性质中,有一个正确,一个错误,则他研究的函数是 (A)① (B)② (C)③ (D)④24. 设数列{a n }是首项为1的等比数列,S n 是它前n 项的和,若数列{S n }为等差数列,则它的公差为(A)-1 (B)0 (C)1 (D)225. 如图,正方形ABCD 的顶点A (0,22),B (22,0),顶点C ,D 位于第一象限,直线l :x =t (20≤≤t )将正方形ABCD 分成两部分,设位于直线l 左侧部分(阴影部分)的面积为f (t ),则函数S =f (t )的图象大致是(A) (B) (C) (D)二、填空题(本题有6小题,每小题3分,共18分) 26. 在等差数列{a n }中,若a 5=4, a 7=6, 则a 9=______. 27. 圆x 2+y 2-4x +2=0的半径是________. 28. 复数1+i 的三角形式是___________.29. 不等式1log 21-x >0的解集是_________________.30. 如图,单摆的摆线离开平衡位置的位移S (厘米)和时间t (秒)的函数关系是S =21sin(2t +3π),则摆球往复摆动一次所需要的时间是_____秒.31. 某校操场上空飘着一个气球(球形),气球在太阳光的照射下,在地平面上的阴影呈椭圆形.现测得该椭圆的长轴长为3米,太阳光线与地面所成的角为60︒,则气球内所充气体的体积为_____米3.三、解答题(本题有4小题,共32分) 32. (本题6分)已知函数f (x )=152+x x (x ∈R ,且x ≠-51). 求:PA(1)反函数f -1(x ); (2)f -1(51)及f -1(x )的值域. 33. (本题8分)如图,三棱锥P -ABC 中,已知PA ⊥平面ABC , PA =3,PB =PC =BC =6, 求二面角P -BC -A 的正弦值.34. (本题8分)据资料记载,某地区在1990年至1993年间,沙漠面积不断扩大,数据如下(面积单位:万公顷):(1)后每年的的面积仍按此规律扩大,那么到年底,该地区的沙漠面积将会达到多少公顷? (2)植树造林是治理沙漠、控制沙漠扩展的有效措施,该地区1994年年初起开始在沙漠上植树造林,使沙漠变绿洲.已知第一年植树1万公顷,以后每年植树面积比上一个增加1%,同时从1994年起沙漠扩展的面积每年都控制在0.1万公顷,那么到年底,该地区的沙漠面积还剩多少万公顷(结果精确到0.1万公顷)?以下数据供参照:(1.01)15≈1.161 (1.01)16≈1.173 (1.01)17≈1.184 (1.001)15≈1.015 (1.001)16≈1.016 (1.001)17≈1.01735. (本题10分)已知点F (0,435),直线l :y =441,动点M (x ,y )(y >0)到点F 的距离比到直线l 的距离小1.(1)求动点M 的轨迹E 的方程;(2)设P 是曲线E 与y 轴的交点,A 、B 是曲线E 上不同的两点,且PA ⊥PB ,求直线AB 的斜率k AB 的取值范围,并求△ABP 面积的最小值.。
2023年福建高中数学会考试卷一、选择题(每题5分,共20题)1. 下列函数中,是奇函数的是()A. f(x) = x^3 - 3xB. f(x) = x^2 + 4x - 2C. f(x) = sin(x)D. f(x) = ln(x)2. 已知等差数列{an}满足a1 = 2,an+1 = 3an - 2,那么a10的值是()A. 2B. 4C. 8D. 163. 三角形ABC中,已知∠A = 30°,BC = 4,AC = 6,那么三角形ABC的面积是()A. 4B. 6C. 8D. 124. 若函数f(x) = 2x^2 - 3x - 2的图像与x轴相交的点为P和Q,那么PQ的长度是()A. 2B. 3C. 4D. 55. 已知函数f(x) = 2x^3 - 5x^2 + 3x - 1,那么f(-1)的值是()A. -11B. 1C. 3D. 56. 一辆汽车从A地出发,经过一段直路行驶8 km,然后转弯行驶6 km到达B 地。
已知AB的夹角为60°,那么从A地到B地的直线距离是()A. 8 kmB. 10 kmC. 14 kmD. 20 km7. 若函数f(x) = log2(x + 1),g(x) = 2^x,那么f(g(2))的值是()A. 1B. 2C. 3D. 48. 一圆锥的底半径为2 cm,母线长为6 cm,那么这个圆锥的体积是()A. 4π cm^3B. 8π cm^3C. 12π cm^3D. 16π cm^39. 在△ABC中,已知∠A = 60°,∠B = 80°,那么∠C的度数是()A. 20°B. 40°C. 60°D. 80°10. 一只小船从A地出发,沿一条直线航行到B地,然后沿另一条直线航行到C地,BC = 5 km,AC = 13 km,∠BAC = 90°,那么从A地到C地的直线距离是()A. 5 kmB. 12 kmC. 13 kmD. 17 km11. 设a、b为正整数,a^b = 2^8,那么a的值是()A. 2B. 4C. 8D. 1612. 已知函数f(x) = 2x^2 + 3x - 4的图像与y轴相交于点A,那么点A的坐标是()A. (-2, 0)B. (0, 0)C. (0, 2)D. (2, 0)13. 一枝花的高度为10 cm,经过一段时间后,高度变为原来的一半。
数学高中会考试题及答案一、选择题(每题3分,共30分)1. 若函数f(x) = 2x^2 - 4x + 3,下列哪个选项是f(x)的对称轴?A. x = 1B. x = -1C. x = 2D. x = 0答案:A2. 已知集合A = {1, 2, 3},B = {2, 3, 4},求A∩B。
A. {1, 2}B. {1, 3}C. {2, 3}D. {3, 4}答案:C3. 若复数z = 1 + i,求|z|。
A. 1B. √2C. 2D. √3答案:B4. 已知等差数列{an}的首项a1 = 2,公差d = 3,求a5。
A. 11B. 14C. 17D. 20答案:B5. 函数y = sin(x) + cos(x)的值域是?A. [-1, 1]B. [-√2, √2]C. [0, 2]D. [1, 2]答案:B6. 若直线l:y = 2x + 1与x轴交于点A,与y轴交于点B,求|AB|。
A. √5B. √10C. 2√5D. 5答案:A7. 已知双曲线C:x^2/a^2 - y^2/b^2 = 1(a > 0,b > 0),若其渐近线方程为y = ±(√2)x,求b/a的值。
A. √2B. √3C. 2D. 3答案:A8. 已知抛物线y^2 = 4x的焦点F,点P(1, 2)在抛物线上,求|PF|。
A. 1B. 2C. 3D. 4答案:C9. 已知向量a = (3, -2),b = (1, 2),求a·b。
A. -1B. 2C. 4D. -4答案:D10. 若函数f(x) = x^3 - 3x^2 + 2在x = 1处取得极值,求该极值。
A. 0B. 1C. -1D. 2答案:B二、填空题(每题4分,共20分)11. 已知等比数列{bn}的首项b1 = 2,公比q = 3,求b3。
答案:1812. 已知圆C:(x - 1)^2 + (y + 2)^2 = 9,求圆心坐标和半径。
2024年河南省商丘市中考数学毕业会考试卷一、选择题(每题3分,共30分)1.(3分)数学美是简洁性、对称性、统一性和奇异性的有机结合.下列曲线中,既是中心对称图形,又是轴对称图形的是 A .爱心曲线B .蝴蝶曲线C .费马螺线曲线D .四叶花曲线2.(3分)下列成语或词语所反映的事件中,发生的可能性大小最小的是 A .守株待兔B .旭日东升C .瓜熟蒂落D .夕阳西下3.(3分)在中,若,则的度数是 A .B .C .D .4.(3分)已知关于的方程的一根为0,另一根不为0,则的值为 A .1B .C .1或D .以上均不对5.(3分)如图,在平面直角坐标系中,已知点、,以原点为位似中心,相似比为,把缩小,则点的对应点的坐标是 ()()ABC ∆21|sin |cos )02A B -+-=C ∠()120︒105︒75︒45︒x 22(3)230m x x m m ++++-=m ()3-3-(3,6)A -(9,3)B --O 13ABO ∆A A '()A .B .C .或D .或6.(3分)函数与在同一平面直角坐标系中的图象大致是 A .B .C .D .7.(3分)如图,在平面直角坐标系中,矩形的两边,分别在轴和轴上,并且,.若把矩形绕着点逆时针旋转,使点恰好落在边上的处,则点的对应点的坐标为 A .,B .,C .,D .,8.(3分)如图,在中,为的直径,,,,则弦 (1,2)-(9,18)-(9,18)-(9,18)-(1,2)-(1,2)-21y kx =-(0)ky k x=≠()OABC OA OC x y 5OA =3OC =OABC O A BC 1A C 1C ()9(5-12)512(5-9)516(5-12)512(5-16)5O CD O CD AB ⊥60AEC ∠=︒4OB =(AB =)A .B .C .D .9.(3分)如图,在中,延长斜边到点,使,连接,若,则的值为 ABC .D .10.(3分)如图,矩形中,,,点为平面内一点,且,点为上一个动点,则的最小值为 A .11B .CD .13二、填空题(每小题3分,共15分)11.(3分)若,则的值为 .12.(3分)设,是方程的两个实数根,则 .13.(3分)若函数的图象与轴只有一个交点,那么的值为 .14.(3分)如图,在中,,点在轴上,、分别为、的中点,连接,为上任意一点,连接、,反比例函数的图象经过点.若的面积为6,则的值为 .15.(3分)如图,在中,,,,将绕直角顶点顺时针旋转Rt ABC ∆BC D 12CD BC =AD 5tan 3B =tan CAD ∠()1315ABCD 5AB =6AD =P 2BP =Q CD AQ PQ +()2-2-25m n =22m nm-a b 220240x x +-=22a a b ++=21(2)12y mx m x m =++++x m AOB ∆AO AB =B x C D OA OB CD E CD AE BE (0)ky x x=<A ABE ∆k ABC ∆90BAC ∠=︒30ACB ∠=︒2AB =ABC ∆A得,点的对应点是点,则图中阴影部分面积为 .三、计算题(本题共8题,共75分)16.(8分)(1)解方程:;(2)计算:.17.(9分)“二十四节气”是中华上古农耕文明的智慧结晶,被国际气象界誉为“中国第五大发明”,小明购买了“二十四节气”主题邮票,他将“立春”“清明”“雨水”三张纪念邮票(除正面内容不同外,其余均相同)背面朝上,洗匀放好.(1)小明从中随机抽取一张邮票是“清明”的概率是 .(2)小明从中随机抽取一张邮票,记下内容后,正面向下放回,洗匀后再从中随机抽取一张邮票,请用画树状图或列表的方法,求小明两次抽取的邮票中至少有一张是“雨水”的概率(这三张邮票依次分别用字母,,表示).18.(9分)为了增强学生体质、锤炼学生意志,某校组织一次定向越野拉练活动.如图,点为出发点,途中设置两个检查点,分别为点和点,行进路线为.点在点的南偏东方向处,点在点的北偏东方向,行进路线和所在直线的夹角为.(1)求行进路线和所在直线的夹角的度数;(2)求检查点和之间的距离(结果保留根号).60︒ADE ∆E C 2650x x ++=2|cos60sin 45tan 30sin 60︒+︒-︒︒A B C A B C A B C A →→→B A 25︒C A 80︒AB BC ABC ∠45︒BC CA BCA ∠B C19.(9分)某景区旅游商店以20元的价格采购一款旅游食品加工后出售,销售价格不低于22元,不高于45元.经市场调查发现每天的销售量与销售价格(元之间的函数关系如图所示.(1)求关于的函数表达式;(2)当销售价格定为多少时,该商店销售这款食品每天获得的销售利润最大?最大销售利润是多少?【销售利润(销售价格采购价格)销售量】20.(9分)已知抛物线交轴于,,两点,为抛物线的顶点,,为抛物线上不与,重合的相异两点,记的中点为,直线,的交点为.(1)求抛物线的函数表达式;(2)若,,且,求证:,,三点共线;(3)小明研究发现,无论,在抛物线上如何运动,只要,,三点共线,的面积恒为定值,请求出此定值.21.(10分)如图,是的外接圆,为的直径,过点作平分交于点,过点作的平行线分别交、的延长线于点,,于点,连接.(1)求证:;(2)求证:是的切线;/kg /kg /kg ()y kg x /)kg y x =-⨯23y ax bx =++x (1A 0)(3B 0)M C D A B AB E AD BC P (4,3)C 3(,)4D m -2m <C DE C D C D E ABP ∆O ABC ∆AB O A AD BAC ∠O D D BC AC AB EF DG AB ⊥G BD AED DGB ∆∆∽EF O(3)若,,求劣弧的长度(结果保留.22.(10分)《函数)复习课后,为加深对函数的认识,李老师引导同学们对函数的图象与性质进行探究,过程如下,请完成探究过程:(1)初步感知:函数的自变量取值范围是 ;(2)作出图象:①列表:0123235表中 , ;②描点,连线:在平面直角坐标系中,描出以表中各对对应值为坐标的点,根据描出的点画出该函数的图象;(3)研究性质:小明观察图象,发现这个图象为双曲线,进一步研究中,小明将函数转化为,他判断该函数图象就是反比例函数通过某种平移转化而来,反比例函数是中心对称图形,对称中心为,则函数的对称中心为 ;BF DF =6OA = BD )π1xy x =+1xy x =+x⋯3-2-74-32-54-34-12-14-⋯y⋯32m 3-1-13-n122334⋯m =n =1x y x =+111x -+1y x =-1y x=-(0,0)1xy x =+(4)拓展应用:当时,关于的方程有实数解,求的取值范围.23.(11分)如图①,是一块锐角三角形材料,边,高.把它加工成正方形零件,使正方形的一边在上,其余两个定点分别在,上,这个正方形零件的边长是多少?(1)解这个题目,求出这个正方形零件的边长是多少?变式训练:(2)如果要加工成一个矩形零件,如图②,这样,此矩形零件的两边长就不能确定,但这个矩形面积有最大值,求达到这个最大值时矩形零件的两条边长是多少?(3)如图③,在中,,正方形的边长是8,且四个顶点都在的各边上,.求的值.14x ……x 11xkx x +=+k ABC ∆100BC mm =60AD mm =BC AB AC ABC ∆90A ∠=︒DEFG ABC ∆4CE =:AGF ABC S S ∆∆2024年河南省商丘市中考数学毕业会考试卷参考答案与试题解析一、选择题(每题3分,共30分)1.(3分)数学美是简洁性、对称性、统一性和奇异性的有机结合.下列曲线中,既是中心对称图形,又是轴对称图形的是 A .爱心曲线B .蝴蝶曲线C .费马螺线曲线D .四叶花曲线【解答】解:.是轴对称图形,不是中心对称图形,故不符合题意;.是轴对称图形,不是中心对称图形,故不符合题意;.是中心对称图形,不是轴对称图形,故不符合题意;.既是轴对称图形,也是中心对称图形,故符合题意.故选:.2.(3分)下列成语或词语所反映的事件中,发生的可能性大小最小的是 A .守株待兔B .旭日东升C .瓜熟蒂落D .夕阳西下【解答】解:.守株待兔所反映的事件可能发生也可能不发生,是不确定事件,符合题意;.旭日东升,是必然事件,发生的可能性为1,不符合题意;.瓜熟蒂落,是必然事件,发生的可能性为1,不符合题意;.夕阳西下,是必然事件,发生的可能性为1,不符合题意;故选:.3.(3分)在中,若,则的度数是 A .B .C .D.()A B C D D ()A B C D A ABC∆21|sin |cos )02A B -+-=C ∠()120︒105︒75︒45︒【解答】解:,,,,,,.故选:.4.(3分)已知关于的方程的一根为0,另一根不为0,则的值为 A .1B .C .1或D .以上均不对【解答】解:关于的方程的一根为0,,即,解得:或.又关于的方程的另一根不为0,所以△,即,解得:,当时,,此方程不可能有两根,故选:.5.(3分)如图,在平面直角坐标系中,已知点、,以原点为位似中心,相似比为,把缩小,则点的对应点的坐标是 A .B . 21|sin |cos )02A B -+-=∴1sin 02A -=cos 0B -=∴1sin 2A =cos B =30A ∴∠=︒30B ∠=︒180120C A B ∴∠=︒-∠-∠=︒A x 22(3)230m x x m m ++++-=m ()3-3- x 22(3)230m x x m m ++++-=22(3)00230m m m ∴+⨯+++-=2230m m +-=1m =3-x 0>214(3)(23)0m m m -++->(,)m ∈-∞+∞3m =-30m +=A (3,6)A -(9,3)B --O 13ABO ∆A A '()(1,2)-(9,18)-C.或D.或【解答】解:点,以原点为位似中心,相似比为,把缩小,点的对应点的坐标是或,故选:.6.(3分)函数与在同一平面直角坐标系中的图象大致是 A.B.C.D.【解答】解:分两种情况讨论:①当时,反比例函数,在一、三象限,而二次函数开口向上,与轴交点为,都不符;②当时,反比例函数,在二、四象限,而二次函数开口向下,与轴交点为,符合.故选:.7.(3分)如图,在平面直角坐标系中,矩形的两边,分别在轴和轴上,并且,.若把矩形绕着点逆时针旋转,使点恰好落在边上的处,则点的对应点的坐标为 (9,18)-(9,18)-(1,2)-(1,2)-(3,6)A-O13ABO∆∴A A'(1,2)-(1,2)-D21y kx=-(0)ky kx=≠()k>kyx=21y kx=-y(0,1)-0k<kyx=21y kx=-y(0,1)-DDOABC OA OC x y5OA= 3OC=OABC O A BC1A C1C ()A .,B .,C .,D .,【解答】解:方法一:过点作轴于点,过点作轴于点,由题意可得:,,则△△,,,,,,设,则,,则,解得:(负数舍去),则,,故点的对应点的坐标为:,.故选:.方法二:设旋转角为,过作轴于,过作轴于,由题意知:,,,9(5-12)512(5-9)516(5-12)512(5-16)51C 1C N x ⊥N 1A 1A M x ⊥M 1190C NO A MO ∠=∠=︒123∠=∠=∠1A OM ∽1OC N 5OA = 3OC =15OA ∴=13A M =4OM ∴=∴3NO x =14NC x =13OC =22(3)(4)9x x +=35x =±95NO =1125NC =C 1C 9(5-125A α1C 1C P y ⊥P 1A 1A Q x ⊥Q 1||3A Q =1||5A O =||4OQ ∴=,,又,,,,,故选:.8.(3分)如图,在中,为的直径,,,,则弦 A .B .C .D .【解答】解:连接,3sin 5α∴=4cos 5α=1||3OC=119||||sin 5PC OC α∴=⋅=112||||cos 5OP OC α=⋅=19(5C ∴-12)5A O CD O CD AB ⊥60AEC ∠=︒4OB =(AB =)BD为的直径,,,,,,,是等边三角形,,,,,故选:.9.(3分)如图,在中,延长斜边到点,使,连接,若,则的值为 ABC .D .【解答】解:如图,作交于.在中,,可以假设,,,,,,,CD O CD AB ⊥2AB BF ∴= AC BC=60AEC ∠=︒ 60ODB AEC ∴∠=∠=︒OD OB = OBD ∴∆4OB OD ∴==122OF OD ∴==BF ∴===2AB BF ∴==D Rt ABC ∆BC D 12CD BC =AD 5tan 3B =tan CAD ∠()1315//DE AC AB E Rt ABD ∆5tan 3AD B AB ==∴5AD k =3AB k =BD ∴=CD =//DE AC DAC ADE ∴∠=∠23BE BD BA BC ==,,,故选:.10.(3分)如图,矩形中,,,点为平面内一点,且,点为上一个动点,则的最小值为 A .11B .CD .13【解答】解:点为平面内一点,且,点在以为圆心,2为半径的上,延长到,使,连接,连接交于点,四边形使矩形,垂直平分,,,的最小值为,在△中,2BE k ∴=AE k ∴=1tan tan 55AE k CAD ADE AD k ∴∠=∠===D ABCD 5AB =6AD =P 2BP =Q CD AQ PQ +()2-2- P 2BP =∴P B B AD A '6DA DA '==QA 'BA 'B P ' ABCD CD ∴AA 'QA QA '∴=2AQ PQ A Q PQ PB P B A B P B A B '''''+=++--=- …AQ PQ ∴+2A B '-Rt A AB ',,由勾股定理,得,的最小值为,故选:.二、填空题(每小题3分,共15分)11.(3分)若,则的值为 .【解答】解:设,,则原式.故答案为:.12.(3分)设,是方程的两个实数根,则 2023 .【解答】解:,是方程的两个实数根,,,.故答案为:2023.13.(3分)若函数的图象与轴只有一个交点,那么的值为 0或2或 .【解答】解:当时,函数为,其图象与轴只有一个交点.当时,△,即.解得:.当,或时,函数的图象与轴只有一个交点.故答案为:0或2或.14.(3分)如图,在中,,点在轴上,、分别为、的中点,连接,为上任意一点,连接、,反比例函数的图象经过点.若的面积为6,则的值为 .212A A AD '==5AB =13A B '===AQ PQ ∴+213211A B '-=-=A 25m n =22m n m-2-2m k =5n k =2104k k k-=84kk -=2=-2-a b 220240x x +-=22a a b ++=a b 220240x x +-=22024a a ∴+=1a b +=-222()()202412023a a b a a a b ∴++=+++=-=21(2)12y mx m x m =++++x m 2-0m =21y x =+x 0m ≠0=21(2)4(1)02m m m +-+=2m =±∴0m =2m =±21(2)12y mx m x m =++++x 2-AOB ∆AO AB =B x C D OA OB CD E CD AE BE (0)k y x x=<A ABE ∆k 12-【解答】解:如图:连接,中,,在轴上,、分别为,的中点,,,,.故答案为:.15.(3分)如图,在中,,,,将绕直角顶点顺时针旋转得,点的对应点是点,则图中阴影部分面积为 【解答】解:如图,由题意可知,,,在中,,,,,在中,,,AD AOB ∆AO AB =OB x C D AB OB AD OB∴⊥//AB CD6ABE AOD S S ∆∆∴==12k ∴=-12-ABC ∆90BAC ∠=︒30ACB ∠=︒2AB =ABC ∆A 60︒ADE ∆E C 2π60CAE ∠=︒ABC ADE ∆≅∆Rt ABC ∆30ACB ∠=︒2AB =AC ∴==24BC AB ==Rt ADF ∆906030ADF B ∠=∠=︒-︒=︒2AB AD ==,,,.故答案为:.三、计算题(本题共8题,共75分)16.(8分)(1)解方程:;(2)计算:.【解答】解:(1),,或,解得,;(2)17.(9分)“二十四节气”是中华上古农耕文明的智慧结晶,被国际气象界誉为“中国第五大发明”,小明购买了“二十四节气”主题邮票,他将“立春”“清明”“雨水”三张纪念邮票(除正面内容不同外,其余112DF AD ∴==AF AD ==413EF DE DF ∴=-=-=AEFACE S S S ∆∴=-阴影部分扇形132=-2π=2π2650x x ++=2|cos60sin 45tan 30sin 60︒+︒-︒︒2650x x ++=(1)(5)0x x ++=10x +=50x +=11x =-25x =-2|cos60sin 45tan 30sin 60︒+︒-︒︒212=+1122=+-=均相同)背面朝上,洗匀放好.(1)小明从中随机抽取一张邮票是“清明”的概率是 .(2)小明从中随机抽取一张邮票,记下内容后,正面向下放回,洗匀后再从中随机抽取一张邮票,请用画树状图或列表的方法,求小明两次抽取的邮票中至少有一张是“雨水”的概率(这三张邮票依次分别用字母,,表示).【解答】解:(1)一共有三种可能,(抽到“清明” ;(2)列树状图:(至少一张雨水).18.(9分)为了增强学生体质、锤炼学生意志,某校组织一次定向越野拉练活动.如图,点为出发点,途中设置两个检查点,分别为点和点,行进路线为.点在点的南偏东方向处,点在点的北偏东方向,行进路线和所在直线的夹角为.(1)求行进路线和所在直线的夹角的度数;(2)求检查点和之间的距离(结果保留根号).13A B C P 1)3=P 59=A B C A B C A →→→B A 25︒C A 80︒AB BC ABC ∠45︒BC CA BCA ∠B C【解答】解:(1)由题意得:,,,,,行进路线和所在直线的夹角的度数为;(2)过点作,垂足为,在中,,,,,在中,,,,检查点和之间的距离.80NAC ∠=︒25BAS ∠=︒18075CAB NAC BAS ∴∠=︒-∠-∠=︒45ABC ∠=︒ 18060ACB CAB ABC ∴∠=︒-∠-∠=︒∴BC CA BCA ∠60︒A AD BC ⊥D Rt ABD∆AB =45ABC ∠=︒sin 453()AD AB km ∴=⋅︒==cos 453()BD AB km =⋅︒==Rt ADC ∆60ACB ∠=︒)tan 60AD CD km ===︒(3BC BD CD km ∴=+=+∴BC (3km +19.(9分)某景区旅游商店以20元的价格采购一款旅游食品加工后出售,销售价格不低于22元,不高于45元.经市场调查发现每天的销售量与销售价格(元之间的函数关系如图所示.(1)求关于的函数表达式;(2)当销售价格定为多少时,该商店销售这款食品每天获得的销售利润最大?最大销售利润是多少?【销售利润(销售价格采购价格)销售量】【解答】解:(1)当时,设函数表达式为,将,代入解析式得,,解得,函数表达式为:;当时,设函数表达式为:,将,代入解析式得,,解得,函数表达式为:,综上,与的函数表达式为:;(2)设利润为元,当时,,在范围内,随着的增大而增大,当时,取得最大值为400;/kg /kg /kg ()y kg x /)kg y x =-⨯2230x ……y kx b =+(22,48)(30,40)22483040k b k b +=⎧⎨+=⎩170k b =-⎧⎨=⎩∴70y x =-+3045x <…y mx n =+(30,40)(45,10)30404510m n m n +=⎧⎨+=⎩2100m n =-⎧⎨=⎩∴2100y x =-+y x 70(2230)2100(3045)x x y x x -+≤≤⎧=⎨-+<≤⎩w 2230x ……22(20)(70)901400(45)625w x x x x x =--+=-+-=--+ 2230x ……w x ∴30x =w当时,,当时,取得最大值为450;,当销售价格为35元时,利润最大为450元.20.(9分)已知抛物线交轴于,,两点,为抛物线的顶点,,为抛物线上不与,重合的相异两点,记的中点为,直线,的交点为.(1)求抛物线的函数表达式;(2)若,,且,求证:,,三点共线;(3)小明研究发现,无论,在抛物线上如何运动,只要,,三点共线,的面积恒为定值,请求出此定值.【解答】(1)解:由题意得:,则,即抛物线的函数表达式为;(2)证明:设直线对应的函数表达式为,因为为中点,所以.又因为,所以,解得:,所以直线对应的函数表达式为,因为点在抛物线上,所以,解得:或,所以,,因为,即满足直线对应的函数表达式,所以点在直线上,即,,三点共线;3045x <…22(20)(2100)214020002(35)450w x x x x x =--+=-+-=--+35x =w 450400> ∴/kg 23y ax bx =++x (1A 0)(3B 0)M C D A B AB E AD BC P (4,3)C 3(,)4D m -2m <C DE C D C D E ABP ∆22(1)(3)(43)3y a x x a x x ax bx =--=-+=++1a =243y x x =-+CE (0)y kx n k =+≠E AB (2,0)E (4,3)C 2043k n k n +=⎧⎨+=⎩ 1.53k n =⎧⎨=-⎩CE 1.53y x =-D 23434m m -+=-32m =523(2D 34-3333224⨯-=-D CE D CE C D E(3)解:小明研究发现,无论,在抛物线上如何运动,只要,,三点共线,的面积恒为定值,故在(2)的条件下,,,,,直线对应的函数表达式为;直线对应的函数表达式为,联立上述两式得:,解得:,则点,,此时 的面积.21.(10分)如图,是的外接圆,为的直径,过点作平分交于点,过点作的平行线分别交、的延长线于点,,于点,连接.(1)求证:;(2)求证:是的切线;(3)若,,求劣弧的长度(结果保留.【解答】(1)证明:过点作平分交于点,过点作的平行线分别交、的延长线于点,,于点,连接.是的外接圆,为的直径,,,,平分,,,,C D C D E ABP ∆(3,0)B (4,3)C 3(2D 3)4-∴BC 39y x =-AD 3322y x =-+333922x x -=-+73x =7(3P 2)-ABP ∆11||(31)2222P AB y =⨯⨯=⨯-⨯=O ABC ∆AB O A AD BAC ∠O D D BC AC AB E F DG AB ⊥G BD AED DGB ∆∆∽EF O BF DF =6OA = BD)πA AD BAC ∠O D D BC AC AB E F DG AB ⊥G BD O ABC ∆AB O 90ACB ADB ∴∠=∠=︒//BC EF 90AED ACB ∴∠=∠=︒AD BAC ∠EAD DAB ∴∠=∠ADE ABD ∴∠=∠DG AB ⊥,;(2)证明:连接,,,,,,,,,是的切线;(3)解:,,,,,,,,,,,90BGD AED ∴∠=∠=︒AED DGB ∴∆∆∽OD OA OD = OAD ADO ∴∠=∠2DOF OAD ADO DAF ∴∠=∠+∠=∠2EAF DAF ∠=∠ EAF DOF ∴∠=∠//AE OD ∴AE EF ⊥ OD EF ∴⊥EF ∴O 90EAD ADE ∠+∠=︒ 90DAF ADE ∴∠+∠=︒90BDF ADE ∠+∠=︒ DAF BDF ∴∠=∠ADF DBF ∴∆∆∽∴AD AF DFDB DF BF===2222(66)AD BD AB +==+ 22)144AD AD ∴+=AD ∴=6BD ∴=tan BD DAB AD ∴∠==30DAB ∴∠=︒,.22.(10分)《函数)复习课后,为加深对函数的认识,李老师引导同学们对函数的图象与性质进行探究,过程如下,请完成探究过程:(1)初步感知:函数的自变量取值范围是 ;(2)作出图象:①列表:0123235表中 , ;②描点,连线:在平面直角坐标系中,描出以表中各对对应值为坐标的点,根据描出的点画出该函数的图象;(3)研究性质:小明观察图象,发现这个图象为双曲线,进一步研究中,小明将函数转化为,他判断该函数图象就是反比例函数通过某种平移转化而来,反比例函数是中心对称图形,对称中心为,则函数的对称中心为 ;(4)拓展应用:当时,关于的方程有实数解,求的取值范围.【解答】解:(1)函数的自变量的取值范围是.故答案为.60DOB∴∠=︒∴ 6062180BDππ⋅⋅==1xyx=+1xyx=+1x≠-x⋯3-2-74-32-54-34-12-14-⋯y⋯32m3-1-13-n122334⋯m=n=1xyx=+111x-+1yx=-1yx=-(0,0)1xyx=+14x (x1)1xkxx+=+k1xyx=+x1x≠-1x≠-(2)①时,,.当时,,,故答案为:,0;②函数图象如图所示:(3)函数的对称中心为,故答案为:;(4)当时,函数中,,把,代入函数得,,解得,把,代入函数得,解得,当时,关于的方程有实数解,的取值范围是.23.(11分)如图①,是一块锐角三角形材料,边,高.把它加工成正方形零件,使正方形的一边在上,其余两个定点分别在,上,这个正方形零件的边长是多少?74x =-7747314y -==-+73m ∴=0x =0y =0n ∴=731xy x =+(1,1)-(1,1)-14x ……1x y x =+1425y ……4x =45y =1y kx =+4415k =+120k =-1x =12y =1y kx =+1212k =+14k =-∴14x ……x 11x kx x +=+k 11420k --……ABC ∆100BC mm =60AD mm =BC AB AC(1)解这个题目,求出这个正方形零件的边长是多少?变式训练:(2)如果要加工成一个矩形零件,如图②,这样,此矩形零件的两边长就不能确定,但这个矩形面积有最大值,求达到这个最大值时矩形零件的两条边长是多少?(3)如图③,在中,,正方形的边长是8,且四个顶点都在的各边上,.求的值.【解答】解:(1)四边形为正方形,,,设正方形零件的边长为 ,则 ,,,,即,解得,故这个正方形零件的边长是.(2)设 ,四边形为矩形,,,,,,ABC ∆90A ∠=︒DEFG ABC ∆4CE =:AGF ABC S S ∆∆ EGHF //BC EF ∴AEF ABC ∴∆∆∽x mm KD EF x ==mm (60)AK x mm =-AD BC ⊥∴EF AKBC AD =6010060x x-=752x =752mm EG a =mm EGHF //EF BC ∴AEF ABC ∴∆∆∽∴EF AKBC AD =∴6010060EF a-=∴5(60)510033a aEF -==-矩形面积,时,此时矩形面积最大.即当,时,此时矩形面积最大.(3)四边形是正方形,,,,,,,,,,,,,,.∴22555(100)100(30)1500333a a S a a a =⨯-=-+=--+30a ∴=30EG mm =50EF mm = EFGD 8DE EF DG mm ∴===90GDE DEF ∠=∠=︒90BDG CEF ∴∠=∠=︒90B C ∠+∠=︒ 90C CFE ∠+∠=︒B CFE ∴∠=∠BDG FEC ∴∆∆∽∴BD DGEF EC =∴884BD =16BD ∴=168428BC BD DE EC ∴=++=++=//FG BC AGF ABC ∴∆∆∽228:()()4:4928AGF ABC GF S S BC ∆∆∴===。
浙江普通高中会考数学考题试卷考生须知:1.全卷分试卷Ⅰ、Ⅱ。
有四大题,42小题,其中第二大题为选做题,其余为选做题,其余为必做题,满分为100分.考题时间120分钟.2.本卷答案必须做在答卷Ⅰ、Ⅱ的相应位置上,做在试卷上无效。
3.请用铅笔将答卷Ⅰ上的准考证号和学科名称所对应的括号或方框涂黑,请用钢笔或圆珠笔将姓名、准考证号分别填写在答卷Ⅰ、Ⅱ的相应位置上。
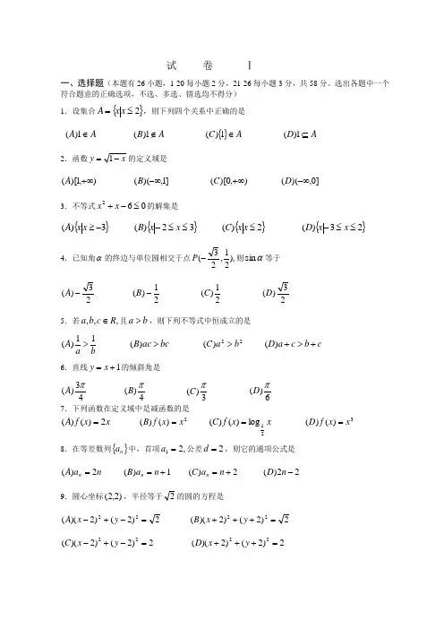
4.参照公式球的表面积公式:24R S π=球的体积公式:334R V π=(其中R 表示球的半径) 卷 Ⅰ一、选择题(本题有26小题,1-20每小题2分,21-26每小题3分,共58分。
选出各题中一个符合题意的正确选项,不选、多选、错选均不得分)1.设集合{}2≤=x x A ,则下列四个关系中正确的是 A A ∈1)( A B ∉1)( {}A C ∈1)( A D ⊆1)( 2.函数x y -=1的定义域是),1)[(+∞A ]1,)((-∞B ),0)[(+∞C ]0,)((-∞D3.不等式062≤-+x x 的解集是 {}3)(-≥x x A {}32)(≤≤-x x B {}2)(≤x x C {}23)(≤≤-x x D4.已知角α的终边与单位圆相交于点),21,23(-P 则αsin 等于 23)(-A 21)(-B 21)(C 23)(D 5.若,,,R c b a ∈且b a >,则下列不等式中恒成立的是ba A 11)(> bc ac B >)( 22)(b a C >c b c a D +>+)( 6.直线1+=x y 的倾斜角是43)(πA 4)(πB 3)(πC 6)(πD 7.下列函数在定义域中是减函数的是x x f A 2)()(= 2)()(x x f B = x x f C 21log )()(= 3)()(x x f D =8.在等差数列{}n a 中,首项,21=a 公差2=d ,则它的通项公式是n a A n 2)(= 1)(+=n a B n 2)(+=n a C n 22)(-n D9.圆心坐标)2,2(,半径等于2的圆的方程是2)2()2)((22=-+-y x A 2)2()2)((22=+++y x B2)2()2)((22=-+-y x C 2)2()2)((22=+++y x D10.函数R x x x y ∈⋅=,cos sin 的最小正周期是π4)(A 2)(πB π2)(C π)(D 11.函数12-=x y 的图象大致是12.函数)(sin )(2R x x x x f ∈⋅= )(A 是偶函数,不是奇函数 )(B 是奇函数,不是偶函数)(C 既是奇函数,也是偶函数 )(D 既不是奇函数,也不是偶函数13.在ABC ∆中,三边长分别为c b a ,,,且,1,45,30===a B A则b 的值是 21)(A 22)(B 2)(C 26)(D 14.各面均为等边三角形的四面体的表面积为,3则棱长等于1)(A 332)(B 22)(C 2)(D15.同时抛掷两枚质地均匀的硬币,出现两枚都是正面朝上的概率为41)(A 31)(B 21)(C 43)(D 16.已知向量),4,(),2,1(x b a ==且a ∥b ,则实数x 的值是2)(-A 2)(B 8)(C 8)(-D17.在一个边长为cm 5的正方形纸上做扎针随机试验,纸上有一个半径为cm 1的圆形阴影区域,则针扎在阴影区域内的概率为51)(A 251)(B 5)(πC 25)(πD 18.如图,在正方体1111D C B A ABCD -中,E 为1BC 的中点,则DE 与面11B BCC 所成角的正切值为26)(A 36)(B 2)(C 22)(D 19.在平面直角坐标系中,不等式组⎪⎩⎪⎨⎧≤-+≥≤≤06031y x y x 所围成的平面区域的面积为29)(A 211)(B 6)(C 8)(D 20.空间中,设n m ,表示直线,γβα,,表示平面,则下列命题正确的是)(A 若,,γβγα⊥⊥ 则α∥β)(B 若 ,,βα⊥⊥m m 则 α∥β)(C ,,βαβ⊥⊥m 则 m ∥α)(D ,,α⊥⊥n m n 则 m ∥α21.右图是一个程序框图,执行后输出的结果是20)(A 190)(B 210)(C 230)(D22.数列{}n a 中,),(1.,41,212221*++∈=++==N n a a a a a a n n n n 则65a a +等于 43)(A 65)(B 127)(C 1514)(Dx y A 10)(= 1055)(2+-=x x y Bx y C 2.5)(= 10log 10)(2+=x y D24,,1b a c +===且a c ⊥,则向量a 与b 的夹角为30)(A 60)(B 120)(C 135)(D25.数列{}n a 满足⎩⎨⎧≤≤≤≤=--1911,2101,2191n n a n n n ,则该数列从第5项到第15项的和为 2016)(A 1528)(B 1504)(C 992)(D26.一不透明圆锥体的底面半径为5,母线长为10,若将它的顶点放在水平桌面上,则该圆锥体在桌面上的正投影不可能...为 )(A 等腰三角形两腰与半椭圆围成的区域 )(B 等腰三角形两腰与半圆围成的区域)(C 圆形区域 )(D 椭圆形区域二、选择题(本题分A 、B 两组,任选其中一组完成。
试 卷 Ⅰ一、选择题(本题有26小题,1-20每小题2分,21-26每小题3分,共58分。
选出各题中一个符合题意的正确选项,不选、多选、错选均不得分)1.设集合{}2≤=x x A ,则下列四个关系中正确的是A A ∈1)( AB ∉1)( {}AC ∈1)( AD ⊆1)(2.函数x y -=1的定义域是 ),1)[(+∞A ]1,)((-∞B ),0)[(+∞C ]0,)((-∞D3.不等式062≤-+x x 的解集是 {}3)(-≥x x A {}32)(≤≤-x x B {}2)(≤x x C {}23)(≤≤-x x D4.已知角α的终边与单位圆相交于点),21,23(-P 则αsin 等于 23)(-A 21)(-B 21)(C 23)(D 5.若,,,R c b a ∈且b a >,则下列不等式中恒成立的是ba A 11)(> bc ac B >)( 22)(b a C >c b c a D +>+)( 6.直线1+=x y 的倾斜角是43)(πA 4)(πB 3)(πC 6)(πD 7.下列函数在定义域中是减函数的是x x f A 2)()(= 2)()(x x f B = x x f C 21l o g )()(= 3)()(x x f D =8.在等差数列{}n a 中,首项,21=a 公差2=d ,则它的通项公式是n a A n 2)(= 1)(+=n a B n 2)(+=n a C n 22)(-n D9.圆心坐标)2,2(,半径等于2的圆的方程是2)2()2)((22=-+-y x A 2)2()2)((22=+++y x B2)2()2)((22=-+-y x C 2)2()2)((22=+++y x D10.函数R x x x y ∈⋅=,cos sin 的最小正周期是π4)(A 2)(πB π2)(C π)(D11.函数12-=x y 的图象大致是12.函数)(sin )(2R x x x x f ∈⋅=)(A 是偶函数,不是奇函数 )(B 是奇函数,不是偶函数)(C 既是奇函数,也是偶函数 )(D 既不是奇函数,也不是偶函数13.在ABC ∆中,三边长分别为c b a ,,,且,1,45,30===a B A 则b 的值是21)(A 22)(B 2)(C 26)(D 14.各面均为等边三角形的四面体的表面积为,3则棱长等于1)(A 332)(B 22)(C 2)(D 15.同时抛掷两枚质地均匀的硬币,出现两枚都是正面朝上的概率为41)(A 31)(B 21)(C 43)(D 16.已知向量),4,(),2,1(x ==且∥,则实数x 的值是2)(-A 2)(B 8)(C 8)(-D17.在一个边长为cm 5的正方形纸上做扎针随机试验,纸上有一个半径为cm 1的圆形阴影区域,则针扎在阴影区域内的概率为51)(A 251)(B 5)(πC 25)(πD 18.如图,在正方体1111D C B A ABCD -中,E 为1BC 的中点,则DE 与面11B BCC 所成角的正切值为26)(A 36)(B 2)(C 22)(D 19.在平面直角坐标系中,不等式组⎪⎩⎪⎨⎧≤-+≥≤≤06031y x y x 所围成的平面区域的面积为29)(A 211)(B 6)(C 8)(D 20.空间中,设n m ,表示直线,γβα,,表示平面,则下列命题正确的是)(A 若,,γβγα⊥⊥ 则α∥β)(B 若 ,,βα⊥⊥m m 则 α∥β)(C ,,βαβ⊥⊥m 则 m ∥α)(D ,,α⊥⊥n m n 则 m ∥α21.右图是一个程序框图,执行后输出的结果是20)(A 190)(B 210)(C 230)(D22.数列{}n a 中,),(1.,41,212221*++∈=++==N n a a a a a a n n n n 则65a a +等于 43)(A 65)(B 127)(C 1514)(Dx y A 10)(=1055)(2+-=x x y Bx y C 2.5)(= 10log 10)(2+=x y D24,,1b a c +===且⊥,则向量与的夹角为30)(A 60)(B 120)(C 135)(D25.数列{}n a 满足⎩⎨⎧≤≤≤≤=--1911,2101,2191n n a n n n ,则该数列从第5项到第15项的和为 2016)(A 1528)(B 1504)(C 992)(D26.一不透明圆锥体的底面半径为5,母线长为10,若将它的顶点放在水平桌面上,则该圆锥体在桌面上的正投影不可能...为 )(A 等腰三角形两腰与半椭圆围成的区域 )(B 等腰三角形两腰与半圆围成的区域)(C 圆形区域 )(D 椭圆形区域二、选择题(本题分A 、B 两组,任选其中一组完成。
安徽省普通高中会考数学真题及答案A一、选择题(本大题共18小题,每小题3分,满分54分.每小题4个选项中,只有1个选项符合题目要求,多选不给分.)1. 已知集合{1,0,1},{1,0}A B =-=-,则A B =( )A .{1}-B .{0}C .{1,0}-D .{1,0,1}-2. 如图放置的几何体的俯视图为( )A .B .C .D .3. 一人连续投掷硬币两次,事件“至少有一次为正面”的互斥事件是( ) A .至多有一次为正面 B .两次均为正面 C .只有一次为正面D .两次均为反面4. 下列各式:①222(log 3)2log 3=;②222log 32log 3=; ③222log 6log 3log 18+=; ④222log 6log 3log 3-=.其中正确的有( ) A .1个B .2个C .3个D .4个5. 执行程序框图如图,若输出y 的值为2,则输入x 的值应是( ) A .2-B .3C .2-或2D .2-或36. 已知3sin 5α=,且角α的终边在第二象限,则cos α=( ) A .45-B .34-C .34D .457. 若,a b c d >>且0c d +<,则下列不等式一定成立的是( ) A .ac bc >B .ac bc <C . ad bd >D . ad bd <8. 在2与16之间插入两个数a 、b ,使得2,,,16a b 成等比数列,则ab =( ) A .4B .8C .16D .329. 正方体上的点P 、Q 、R 、S 是其所在棱的中点,则直线PQ 与直线RS 异面的图形是( )第5题图A .B .C .D .10. 已知平面向量(,3)a λ=-与(3,2)b =-垂直,则λ的值是( ) A .-2B .2C .-3D .311. 下列函数中既是奇函数又在(0,2π)上单调递增的是( ) A .y x =- B . 2y x = C .sin y x = D .cos y x = 12. 不等式组0,10x x y ≥⎧⎨-+≥⎩所表示的平面区域为( )A .B .C .D .13. 某学校共有老、中、青职工200人,其中有老年职工60人,中年职工人数与青年职工人数相等.现采用分层抽样的方法抽取部分职工进行调查,已知抽取的老年职工有12人,则抽取的青年职工应有( ) A .12人B .14人C .16人D .20人14. 已知1cos 2α=-,则sin(30)sin(30)αα++-的值为( ) A .12-B .14-C .12D .1415.不等式31x x --<0的解集是( ) A . {|13}x x -<<B .{|13}x x <<C .{|13}x x x <->或D .{|13}x x x <>或16如图,P 是△ABC 所在的平面内一点,且满足BA BC BP +=,则( ) A .BA PC =B .BC PA = C .BC CP BP +=D .BA BP AP -=.17. 函数2()f x x ax =-的两零点间的距离为1,则a 的值为( ) A .0B .1C .0或2D .1-或118. 已知函数22y x x =-++的最小值为m ,最大值为M ,则mM的值为( ) A .14B .12C .22D .32第Ⅱ卷(非选择题 共46分)题 号 二三总 分2324 25 得 分注意事项:1.答题前,请将密封线内的项目写清楚,并在本页右上角“座位序号”栏中填写座位号最后两位数字.2.第Ⅱ卷共4页,用钢笔或圆珠笔直接在试卷上答题,不得将答案写在密封线内.二、填空题(本大题共4小题,每小题4分,满分16分,把答案填在题中的横线上.)19. 函数3sin(2)3y x π=-的最小正周期是______________.20. 已知直线1:21l y x =+,2:30l kx y --=,若1l ∥2l ,则k =______________.21. 从3张100元,2张200元的上海世博会门票中任取2张, 则所取2张门票价格相同的概率为______________.22. 如图,在离地面高200m 的热气球上,观测到山顶C 处的仰角为15º、山脚A 处的俯角为45º,已知∠BAC=60º,则山的高度BC 为_______ m.第16题图三、解答题(本大题共3小题,满分30分.解答题应写出文字说明及演算步骤.)23.(本小题满分10分)求圆心C 在直线2y x 上,且经过原点及点M (3,1)的圆C 的方程. 【解】第22题图24.(本小题满分10分)如图,四边形ABCD为正方形,PD⊥平面ABCD,E、F分别为BC和PC的中点. (1)求证:EF∥平面PBD;【证】(2)如果AB=PD,求EF与平面ABCD所成角的正切值. 【解】第24题图第23题图25.(本小题满分10分)皖星电子科技公司于2019年底已建成了太阳能电池生产线.自2019年1月份产品投产上市一年来,该公司的营销状况所反映出的每月获得的利润y (万元)与月份x 之间的函数关系式为:265621020x y x -⎧=⎨-⎩**(15,)(512,)x x N x x N ≤≤∈<≤∈ . (1)2019年第几个月该公司的月利润最大?最大值是多少万元? 【解】(2)若公司前x 个月的月平均利润w (x w x=前个月的利润总和)达到最大时,公司下个月就应采取改变营销模式、拓宽销售渠道等措施,以保持盈利水平. 求w (万元)与x (月)之间的函数关系式,并指出这家公司在2009年的第几个月就应采取措施. 【解】数学参考答案与评分标准一、选择题(本大题共18小题,每小题3分,满分54分.每小题4个选项中,只有1个选项符合题目要求,多选不给分.)19. π 20. 2 21.2522. 300 三、解答题(本大题共3小题,满分30分.解答题应写出文字说明及演算步骤.) 23. 解:设圆心C 的坐标为(,2a a ),则||||OC OM =,即2222(2)(3)(21)a a a a +=-+-,解得1a =.所以圆心(1,2)C ,半径r =故圆C 的标准方程为:22(1)(2)5x y -+-=.24.证:(1)在△PBC 中,E 、F 为BC 和PC 的中点,所以EF ∥BP.因此EF PBEF PBD EF PBD PB PBD ⎫⎪⊄⇒⎬⎪⊂⎭平面平面平面∥∥. (2)因为EF ∥BP,PD ⊥平面ABCD,所以∠PBD 即为直线EF 与平面ABCD 所成的角. 又ABCD 为正方形AB,所以在Rt △PBD 中,tan 2PB PBD BD ∠==. 所以EF 与平面ABCD所成角的正切值为2. 25. 解:(1)因为2656y x =-*(15,)x x N ≤≤∈单增,当5x =时,74y =(万元);21020y x =-*(512,)x x N <≤∈单减,当6x =时,90y =(万元).所以y 在6月份取最大值,且max 90y =万元.(2)当*15,x x N ≤≤∈时,(1)302621343x x x w x x--+⋅==-. 当*512,x x N <≤∈时,(5)(6)11090(5)(20)640210200x x x w x x x--+-+⋅-==-+-. 所以w =134364010200x x x -⎧⎪⎨-+-⎪⎩**(15,)(512,)x x N x x N ≤≤∈<≤∈. 当15x ≤≤时,w ≤22; 当512x <≤时,6420010()40w x x=-+≤,当且仅当8x =时取等号. 从而8x =时,w 达到最大.故公司在第9月份就应采取措施.。
2024年安徽普通高中会考数学真题及答案2024年安徽普通高中会考数学真题及答案一、真题部分1、在等差数列${ a_{n}}$中,已知$a_{3} + a_{7} = 22$,那么$a_{5} =$() A.$10$ B.$9$ C.$8$ D.$7$2、已知复数$z = \frac{1 + i}{1 - i}$,则$|z| =$()A.$1$B.$\sqrt{2}$C.$2$D.$2\sqrt{2}$3、已知向量$\overset{\longrightarrow}{a} = (1,2)$,$\overset{\longrightarrow}{b} = (x,y)$,且$\overset{\longrightarrow}{a} \perp\overset{\longrightarrow}{b}$,则$xy$的值为()A.$2$B.$3$C.$4$D.$5$二、答案部分1、正确答案是:A. $10$ 在等差数列${ a_{n}}$中,因为$a_{3} + a_{7} = 22$,所以$a_{5} = \frac{a_{3} + a_{7}}{2} = 10$。
因此,答案为A。
2、正确答案是:B. $\sqrt{2}$ 复数$z = \frac{1 + i}{1 - i} = \frac{(1 + i)^{2}}{(1 - i)(1 + i)} = i$,因此$|z| = 1$. 所以正确答案为B。
3、正确答案是:C.$4$ 向量$\overset{\longrightarrow}{a} = (1,2)$,$\overset{\longrightarrow}{b} = (x,y)$,且$\overset{\longrightarrow}{a} \perp\overset{\longrightarrow}{b}$,所以$\overset{\longrightarrow}{a} \cdot\overset{\longrightarrow}{b} = x + 2y = 0$,解得$xy = 4$. 因此,正确答案为C。
广西普通高中毕业会考数学试卷一、单项选择题(每小题3分,共45分) 1. ∞→n limnn32-的值是(A )21 (B ) 31 (C )-31(D )不存在 2.函数y = sin2x 的周期是 (A ) 2π(B ) π (C )2π (D )4π3.已知集合A ={}432,,,i i i i ,B = {-1,0,1},那么A B =(A ){ 0 } (B) {- 1,1} (C) { 1 } (D) { -1 }4.圆x 2 + y 2 - 4x = 0的圆心坐标和半径分别是 (A )(0,2),2 (B )(2,0),4 (C )(0,2),4 (D )(2,0),2 5.函数y =31x 的反函数的图象大致是6.下列函数中,既不是奇函数也不是偶函数的是 (A )y = log 2x (B )y = x 2sin x (C )y = x 2+2x +1 (D )y = x 3+31x7.已知角α的终边上的点P (4,y ),且sin α= -53,则tg α的值是 (A )-43 (B )43 (C )-34 (D )34 8.下列函数中在定义域上是减函数的是(A )y = x 31log (B ) y =⎪⎭⎫⎝⎛23x(C )y =32x (D )y = 2x -19.双曲线的离心率e =2,经过点M (5-,3),则双曲线的标准方程为(A )-162x 162y =1 (B )-162y =162x 1(C )-162x 162y =1或-162y 162x =1 (D )-252x 92y =1 10.在用数学归纳法证明 x 2n -y 2n (n ∈N )能被x+y 整除的第二步时,假设当n=k (k ∈N )时,x 2k -y 2k 能被x+y 整除,那么当n=k+1时,就是要证明(A )x k+1-y k+1 能被x+y 整除 (B )x k+2-y k+2能被x+y 整除 (C )x 2k+1-y 2k+1 能被x+y 整除 (D )x 2k+2-y 2k+2能被x+y 整除 11.“b 2 = ac ”是“a ,b ,c 成等比数列”的(A )充分条件,但不是必要条件 (B )必要条件,但不是充分条件(C )充要条件 (D )既不是充分条件,也不是必要条件 12.以下四个命题中,正确的是 (1)平行于同一直线的两条直线平行。
高中会考试题数学及答案一、选择题(每题3分,共30分)1. 下列函数中,哪一个是奇函数?A. f(x) = x^2B. f(x) = x^3C. f(x) = x^4D. f(x) = x^5答案:B2. 已知集合A={1, 2, 3},集合B={2, 3, 4},则A∩B等于:A. {1, 2, 3}B. {2, 3}C. {2, 4}D. {1, 4}答案:B3. 若直线方程为y = 2x + 3,则该直线的斜率是:A. 1/2B. 2C. 3D. -2答案:B4. 计算下列极限:\[\lim_{x \to 0} \frac{\sin x}{x}\]A. 0B. 1C. -1D. ∞答案:B5. 已知函数f(x) = 2x - 1,求f(3)的值:A. 4B. 5C. 6D. 7答案:B6. 计算下列定积分:\[\int_{0}^{1} x^2 dx\]A. 1/3B. 1/2C. 2/3D. 1答案:A7. 已知向量a = (3, -2),向量b = (-1, 4),则向量a与向量b的点积为:A. -5B. -2C. -10D. 10答案:B8. 计算下列二项式展开式的第三项:\[(1 + x)^5\]A. 5x^3B. 10x^2C. 10x^3D. 5x^2答案:C9. 已知矩阵A和B,且AB = BA,下列哪个矩阵是A和B的乘积?A. ABB. BAC. A + BD. A - B答案:A10. 计算下列方程的解:\[2x^2 - 5x + 2 = 0\]A. x = 1/2 或 x = 2B. x = 1 或 x = 2C. x = 1/2 或 x = 1D. x = 2 或 x = 4答案:A二、填空题(每题4分,共20分)11. 已知函数f(x) = x^2 - 4x + 3,求该函数的顶点坐标。
答案:(2, -1)12. 计算下列三角函数值:\[\sin(30^\circ)\]答案:1/213. 已知等差数列的首项a1 = 3,公差d = 2,求第5项的值。
数学会考试题及答案一、选择题(每题3分,共30分)1. 已知函数f(x) = 2x^2 - 4x + 1,求f(2)的值。
A. 3B. 5C. 7D. 9答案:B2. 计算下列极限:\(\lim_{x \to 0} \frac{\sin x}{x}\)A. 0B. 1C. 2D. 3答案:B3. 已知集合A = {1, 2, 3},B = {2, 3, 4},求A∩B。
A. {1}B. {2, 3}C. {3, 4}D. {1, 2, 3, 4}答案:B4. 已知向量a = (3, -1),b = (2, 4),求向量a与向量b的数量积。
A. 8B. 10C. 12D. 14答案:A5. 计算以下不定积分:\(\int (3x^2 - 2x + 1) dx\)A. \(x^3 - x^2 + x + C\)B. \(x^3 + x^2 - x + C\)C. \(x^3 - x^2 + x^2 + C\)D. \(x^3 - x^2 + x^3 + C\)答案:A6. 已知矩阵A = \(\begin{bmatrix} 1 & 2 \\ 3 & 4 \end{bmatrix}\),求矩阵A的行列式。
A. 5B. 6C. 7D. 8答案:B7. 计算以下定积分:\(\int_{0}^{1} x^2 dx\)A. \(\frac{1}{3}\)B. \(\frac{1}{4}\)C. \(\frac{1}{2}\)D. 1答案:B8. 已知函数f(x) = \(\sqrt{x}\),求f'(x)。
A. \(\frac{1}{2\sqrt{x}}\)B. \(\frac{1}{\sqrt{x}}\)C. \(\frac{1}{x\sqrt{x}}\)D. \(\frac{1}{x}\)答案:A9. 已知等比数列{a_n}的首项a_1 = 2,公比q = 3,求a_5。
A. 96B. 108C. 144D. 162答案:C10. 已知双曲线方程为\(\frac{x^2}{4} - \frac{y^2}{9} = 1\),求其渐近线方程。
高中数学学业水平测试题一、选择融I 本大共”小題毎小题2分J 】一%題每小懸3分,井58分©1.若集合 A=U»2>,B = {2*3^则 AUH = (A> <U2I(B) (2}(C) {2,3}(D)2.函数/(x> = l<(x-D 的定丈域为 (A) {^]x>l}(B)(C) {x|.r<l}(D)£在橈长为1的正方体ABCD —A 屮L CU 屮,对角线AC 的怏为&设直SR /i 「2工一 3jH~l = g 若直线你必,则lj 的斜率为(A)T 何一寻 <C) y (D) 一N 双曲线¥亠$ = 1的渐近线方程为10・函数/(j-)-cos ;j-sin r x(j-e 艮》的最小正周期为12'在下列尿间屮•函数/<T>-l nJ r+T 存在零点的屋(注匹为自横对数的底数)(A) ^2 (B) (C) 24 •在等差数列S”}中•已知小=2心=氣则公差』一 (A) I(B) 2(C) 35* ffl(a :-l), + (j-3), = 2 的半植为 (A) 41 <B) 2 <C) 4fi, 200% 是(A)第一鳗限角 (旳第二象限角 (C)第三象眼角 7+下列臥数中■在区间(th 十曲》上为减函敬的是(D) 3<D) 4(D) fim 1⑻ y= ±2J -(U) y= 士4『CD) 2n1L鼠组样卒数据的萇叶图如団所示.若谏纽数据的中位数为和. 则岸的值是<A) 3(BJ 4 7 13 4 83 3(C) 5(D) 6(■第1】題图)cA)(B) (1,2)(C) (e _, ,1)(D) (e \c ')21. 在空阿中表示直线y 表示平面•则F 列命題中正确的是(A)若m/f [fa .則也"丹 f B)若刪丄口 4枕丄m "则m 甘Q (O 若m 丄幷山〃症*则耐丄oC D)若wr J_n• n __ 口*则阿丄盘22, 已知平曲】向屋a 与0不氏线*若而 = d + 5乩衣^一溉皿氛丽一衍一3乩则(B) A.Bd' .L 点共线13. 如图是计算寺- :*彳—值的一个程序虑图*图中执行椎空白址应填人(A) i — i —1 (B) I = J + 1 (C) i=i-2(D) r = i + 214. 圆心划为芈植为3的扇形的弧艮尊于<A) ir (B> 2K (C) I K(D)昴15. 将西数的图象向右平移1个单位氏度后*所得的图象对应的函数辅析式Jg<A) y=2r ^ (B)(C) y=Z^-\(D) $ =計十]16-从甲、乙、內三人中任选卿人参加某项活动•甲被逸中的槪率为(A)J⑻ I <C )I(b) It 人若隔数r (x) = r(3J I 刑•奇瞬数*则加的值为f A) 1(H) —1 (O 0 (|» 31&若1輛护>0用>1,・ (A) 0<£i<l +A<0 (O 0<«<1,6>0(B) Q1.6<0 <D) a>l^>019-若宝数宀,港韭』A 〃则下列不等式中-淀成立的是<A> (B) lx|>hl (C) 3j->2y(D) j r + />2j V他设数列MJ 的前川项和为S 「若仙=1皿卄|=£.3€商"儿则尙+弧=(A) 5(H) 1()(C) 20 <D) 3S阴+隹梭长都相钵的二陵锥A-HCD 中*M 为杭HC 的中点.则井面直线AM 与ED 所成角的余弦價为(A)⑻晋心务(D 〉客 ■1 6-r^-y4鼻0*24.设不等式组{工一厂8乞0,表示的半Ifij 区域为尸.若甬数,=1呱工WAth tl 」工打的图象式_心0经过[壬城巴则实数“的脱值葩同足(A) (J2.3) (B) (C) [2,9] (D) (2.9)25.^ Rt A ABC 屮.已知A 「=43「=】.F 是斜边AH 上的动点(陈端点外匕设P 到曲直角边距鹿分别为乩心・则J ■十占的城小值为«I W?(A) Y <B) y <C) y y弗■在三D-.ABC 中为擁AO 卜一动点*Q 为底1^1 ABC 上-动点是PQ 的中点.若点P.Q 都运 动时,点M构成的点樂是一0空间JL 何怵•则这个儿 何体基(A) Kelt (B> 棱台 (C)械锥(H)缭(Al 】+ i (B) 1-i (C) -1+i(D) -l-i28.和橢岡磊+f —L 一点P 到一个焦点的距离为氛则点F 到另一个焦点的砂为29r ft A ABC 4»^A-B"J6-sin 2A-sin 2护的(A)充分而不必要条件 (B)必翌而不充分条件(C)充要条件 (D)既不充分也不必要条件(?\) 3{ID 4 (C) 5 (D) 6I 第叮題图)2「已划i 为虚敷单垃,则30.若函数心2扣+,—在心]仙上〜内存在愠小值闌实数茴的取值范砒(A) [-5,0) (B) <-5,0) (C> [-3.0) (D)(-3,0)B组31.若随机变駅E〜小4*寺八则P(£= 3> =(A)I1⑻欝(C>881(Tn 32-函ft^=e J si»4-的导雷数杲(A) y= — Wl&in h + cosi 上) (C) y~e' <. sin —cos .r) (B) y~v' (cos JC -sin JT) (D) y— e' (siin J 亠 cos 丁):烁设F"足椭圆£ + £ = 】(心心(D的两"点■过尺作疋釉的垂线交帽圆于直P.若lanZ PF.鬥=半.则構圆的离心率为(D) 4□31-菜学栓安排工帯教岬从周一到周和晚上値班•毎晚冇FI只冇特教师侑那*悔人至少安神噪•至多握棘曲嵯"冃逵两晚不能相和•榔么不同的安挣方仏仃(A) 36 th <m :S 种(C> 召0 种<D> 72种三、填空爼I本大題奘5小題,每小题2分,共I。
广西壮族自治区普通高中毕业会考试卷 数学
一、选择题(每小题3分,共45分) 1、 下列Φ与集合{}0的关系式正确的是( )
A 、{}0⊆Φ
B 、{}0=Φ
C 、{}0∈Φ
D 、{}Φ∈0 2、计算:3
18=( )
A 、1
B 、2
C 、3
D 、4 3、下列函数与x y =是同一函数的是( )
A 、2
x y = B 、x
x y 2
= C 、33x y = D 、x y =
4、对数函数x y 2log =的图象过点( ) A 、)1,0( B 、)0,1( C 、)0,0( D 、)1,1(
5、直线12+=x y 与直线22
1
+-
=x y 的夹角为( ) A 、︒30 B 、︒45 C 、︒60 D 、︒90
6、已知平面向量)1,2(-=,)4,(x =,且b a ⊥,那么=x ( ) A 、2 B 、-2 C 、8 D 、-8
7、计算:︒︒30cos 30sin =( ) A 、
41 B 、2
1
C 、43
D 、23
8、已知等比数列的公比为2,且前2项的和为1,则前4项和为()
A 、2
B 、3
C 、5
D 、9 9、弧度制单位符号是rad ,下面关系式中不正确的是( ) A 、π2360=︒ rad B 、π830367=
'︒ rad C 、1rad ︒=)180(π D 、2
π
rad ︒=90 10、某同学要从5本不同的书中任意取出2本,不同的取法有( )
A 、10种
B 、20种
C 、25种
D 、32种 11、关于平面的基本性质,下列叙述错误的是( ) A 、l B l A ∈∈, ,ααα⊂⇒∈∈l B A , B 、l p =⇒∈βαβα 且l p ∈
C 、⇒b a // 有且只有一个平面α,使αα⊂⊂b a ,
D 、已知点A 及直线⇒a 有且只有一个平面α,使αα∈∈a A ,
12、不等式组⎪⎩
⎪
⎨⎧≤+≥-≥200y x y x y 所表示的平面区域的面积大小为( )
A 、1
B 、2
C 、2
D 、22
13、已知,,,R c b a ∈且,b a >那么下列不等式中成立的是( ) A 、bc ac > B 、33b a > C 、b a -->22 D 、b
a 11< 14、下列函数中,在[)+∞,0上是单调递增的是() A 、x
y -=2
B 、x y =
C 、12
+-=x x y D 、x y 2log =
15、若不等式012≥++ax x 对一切⎥⎦
⎤ ⎝
⎛∈2
1,0x 都成立,则的a 最小值为()
A 、0
B 、-2
C 、2
5
-
D 、3- 二、填空题(每小题3分,共15分)
16、已知数列{}n a 满足21+=+n n a a ,且,11=a 则=2a 17、5
)2(-x 的展开式中的常数项是 18、在ABC ∆中,5=
AC ,︒=∠45A ,︒=∠75C ,则BC 的长为
19、若方程
1242
2=--b
y x 表示双曲线,则自然数b 的值可以是 20、从正方体的八个顶点中任意选择4个顶点,它们可能是如下几种图形的4个顶点,这些图形是
①矩形 ②不是矩形的平行四边形 ③有三个面为等腰直角三角形,有一个面为等边三角形的四面体 ④每个面都是等边三角形的四面体 ⑤每个面都是直角三角形的四面体 二、解答题(本大题共5小题,满分40分,解答应写出文字说明和演算步骤) 21、(本小题满分6分)
求函数),12sin(3+-=x y R x ∈的最小正周期 22、(本小题满分6分)
写出命题“若b a =,则22b a =”的逆命题、否命题、逆否命题,并分别指出它们的真假。
23、(本小题满分8分)
盒中有10只晶体管,其中有8只是正品,2只是次品,每次随机地从盒中抽取1只,不再放回,连抽两次,计算:
(1) 两次都抽到正品,共有多少种不同的结果? (2) 抽到的2只都是正品的概率。
24、(本小题满分10分) 如图,在正方体ABCD 中,,2=AB E 、F 分别是边AB 、BC 的中点,将AED ∆及CFD ∆折起,使A 、C 两点重合于A '点。
(1) 求证:⊥'D A 面EF A '
(2) 求二面角D EF A --'的平面角的正切值; (3) 求三棱锥EFD A -'的体积。
25、(本小题满分10分)
如图,已知抛物线px y 22
= )0(>p ,过它的焦点F 的直线l 与其相交于A ,B 两点,O 为坐标原点。
(1) 若抛物线过点)2,1(,求它的方程:
(2) 在(1)的条件下,若直线l 的斜率为1,求OAB ∆的面积; (3) 若,1-=⋅求p 的值
广西壮族自治区普通高中毕业会考试卷 数学参考答案 ABCBD ACCCCA DABBC
16、3 17、-32 18、,2 19、1 20、①③④⑤ 21、π 23、(1)56 (2)
45
28
24、(2),22(3)3
1 25、(1)x y 42
= (2),22 (3)332。