大学物理答案第10章
- 格式:doc
- 大小:554.00 KB
- 文档页数:18
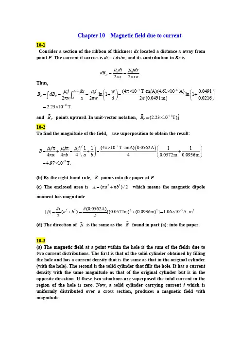
习题十10-1 一半径r =10cm的圆形回路放在B =0.8T 的均匀磁场中.回路平面与B垂直.当回路半径以恒定速率t rd d =80cm ·s -1收缩时,求回路中感应电动势的大小.解: 回路磁通 2πr B BS m ==Φ感应电动势大小40.0d d π2)π(d d d d 2====t r r B r B t t m Φε V10-2 一对互相垂直的相等的半圆形导线构成回路,半径R =5cm ,如题10-2图所示.均匀磁场B =80×10-3T ,B 的方向与两半圆的公共直径(在Oz 轴上)垂直,且与两个半圆构成相等的角α当磁场在5ms 内均匀降为零时,求回路中的感应电动势的大小及方向.解: 取半圆形cba 法向为i , 题10-2图则αΦcos 2π21B R m= 同理,半圆形adc 法向为j,则αΦcos 2π22B R m=∵ B 与i 夹角和B 与j夹角相等,∴ ︒=45α则αΦcos π2R B m = 221089.8d d cos πd d -⨯-=-=Φ-=t B R t m αεV方向与cbadc 相反,即顺时针方向.题10-3图*10-3 如题10-3图所示,一根导线弯成抛物线形状y =2ax ,放在均匀磁场中.B 与xOy 平面垂直,细杆CD 平行于x 轴并以加速度a 从抛物线的底部向开口处作平动.求CD 距O 点为y 处时回路中产生的感应电动势.解: 计算抛物线与CD 组成的面积内的磁通量⎰⎰=-==aym yB x x y B S B 0232322d )(2d 2ααΦ∴ vy B t y y B t m 21212d d d d ααε-=-=Φ-=∵ ay v 22= ∴ 212y a v =则ααεaByy a yBi 8222121-=-= i ε实际方向沿ODC .题10-4图10-4 如题10-4图所示,载有电流I 的长直导线附近,放一导体半圆环MeN 与长直导线共面,且端点MN 的连线与长直导线垂直.半圆环的半径为b ,环心O 与导线相距a .设半圆环以速度v 平行导线平移.求半圆环内感应电动势的大小和方向及MN 两端的电压N M U U -.解: 作辅助线MN ,则在MeNM 回路中,沿v方向运动时0d =m Φ∴ 0=MeNM ε 即 MN MeNεε=又∵ ⎰+-<+-==ba ba MNb a ba Iv l vB 0ln 2dcos 0πμπε所以MeN ε沿NeM 方向,大小为 b a ba Iv -+ln20πμ M 点电势高于N 点电势,即b a ba Iv U U N M -+=-ln20πμ题10-5图10-5如题10-5所示,在两平行载流的无限长直导线的平面内有一矩形线圈.两导线中的电流方向相反、大小相等,且电流以t Id d 的变化率增大,求:(1)任一时刻线圈内所通过的磁通量; (2)线圈中的感应电动势. 解: 以向外磁通为正则(1) ]ln [lnπ2d π2d π2000d ad b a b Ilr l r Ir l r Iab b ad d m +-+=-=⎰⎰++μμμΦ(2)t I b a b d a d l t d d ]ln [ln π2d d 0+-+=-=μΦε 10-6 如题10-6图所示,用一根硬导线弯成半径为r 的一个半圆.令这半圆形导线在磁场中以频率f 绕图中半圆的直径旋转.整个电路的电阻为R .求:感应电流的最大值.题10-6图解: )cos(2π02ϕωΦ+=⋅=t r B S B m ∴ Bfr f r B r B t r B t m m i 222202ππ22π2π)sin(2πd d ===+=-=ωεϕωωΦε ∴ R Bf r R I m 22π==ε10-7 如题10-7图所示,长直导线通以电流I =5A ,在其右方放一长方形线圈,两者共面.线圈长b =0.06m ,宽a =0.04m ,线圈以速度v =0.03m ·s -1垂直于直线平移远离.求:d =0.05m时线圈中感应电动势的大小和方向.题10-7图解: AB 、CD 运动速度v方向与磁力线平行,不产生感应电动势.DA 产生电动势⎰==⋅⨯=A D Ivb vBb l B v d 2d )(01πμεBC 产生电动势)(π2d )(02d a Ivbl B v C B +-=⋅⨯=⎰με∴回路中总感应电动势8021106.1)11(π2-⨯=+-=+=a d d Ibv μεεεV 方向沿顺时针.10-8 长度为l 的金属杆ab 以速率v 在导电轨道abcd 上平行移动.已知导轨处于均匀磁场B中,B 的方向与回路的法线成60°角(如题10-8图所示),B的大小为B =kt (k 为正常).设t =0时杆位于cd 处,求:任一时刻t 导线回路中感应电动势的大小和方向.解: ⎰==︒=⋅=22212160cos d klvt lv kt Blvt S B m Φ∴ klvtt m -=-=d d Φε即沿abcd 方向顺时针方向.题10-8图10-9 一矩形导线框以恒定的加速度向右穿过一均匀磁场区,B的方向如题10-9图所示.取逆时针方向为电流正方向,画出线框中电流与时间的关系(设导线框刚进入磁场区时t =0).解: 如图逆时针为矩形导线框正向,则进入时0d d <Φt ,0>ε;题10-9图(a)题10-9图(b)在磁场中时0d d =t Φ,0=ε; 出场时0d d >t Φ,0<ε,故t I -曲线如题10-9图(b)所示.题10-10图10-10 导线ab 长为l ,绕过O 点的垂直轴以匀角速ω转动,aO =3l磁感应强度B 平行于转轴,如图10-10所示.试求: (1)ab 两端的电势差; (2)b a ,两端哪一点电势高? 解: (1)在Ob 上取dr r r +→一小段 则⎰==320292d l Ob l B r rB ωωε同理 ⎰==302181d l Oa l B r rB ωωε ∴ 2261)92181(l B l B Ob aO ab ωωεεε=+-=+=(2)∵ 0>abε 即0<-b a U U∴b 点电势高.题10-11图10-11 如题10-11图所示,长度为b 2的金属杆位于两无限长直导线所在平面的正中间,并以速度v 平行于两直导线运动.两直导线通以大小相等、方向相反的电流I ,两导线相距2a .试求:金属杆两端的电势差及其方向. 解:在金属杆上取r d 距左边直导线为r ,则b a b a Iv r r a r Iv l B v b a b a BA AB -+-=-+-=⋅⨯=⎰⎰+-lnd )211(2d )(00πμπμε∵ 0<AB ε∴实际上感应电动势方向从A B →,即从图中从右向左, ∴b a ba Iv U AB -+=ln 0πμ题10-12图10-12 磁感应强度为B的均匀磁场充满一半径为R 的圆柱形空间,一金属杆放在题10-12图中位置,杆长为2R ,其中一半位于磁场内、另一半在磁场外.当t Bd d >0时,求:杆两端的感应电动势的大小和方向.解: ∵bc ab ac εεε+=t BR B R t t ab d d 43]43[d d d d 21=--=-=Φε =-=tab d d 2Φεt BR B R t d d 12π]12π[d d 22=-- ∴t BR R ac d d ]12π43[22+=ε ∵ 0d d >t B∴ 0>acε即ε从c a →10-13 半径为R 的直螺线管中,有dt dB>0的磁场,一任意闭合导线abca ,一部分在螺线管内绷直成ab 弦,a ,b 两点与螺线管绝缘,如题10-13图所示.设ab =R ,试求:闭合导线中的感应电动势.解:如图,闭合导线abca 内磁通量)436π(22R R B S B m -=⋅= Φ∴t B R R i d d )436π(22--=ε ∵ 0d d >t B∴0<iε,即感应电动势沿acba ,逆时针方向. 题10-13图题10-14图10-14 如题10-14图所示,在垂直于直螺线管管轴的平面上放置导体ab 于直径位置,另一导体cd 在一弦上,导体均与螺线管绝缘.当螺线管接通电源的一瞬间管内磁场如题10-14图示方向.试求: (1)ab 两端的电势差; (2)cd 两点电势高低的情况.解: 由⎰⎰⋅-=⋅l S t B l Ed d d d 旋知,此时旋E 以O 为中心沿逆时针方向.(1)∵ab 是直径,在ab 上处处旋E 与ab 垂直∴ ⎰=⋅ll 0d 旋∴0=ab ε,有b a U U =(2)同理, 0d >⋅=⎰l E cddc旋ε∴0<-c d U U 即d c U U >题10-15图10-15 一无限长的直导线和一正方形的线圈如题10-15图所示放置(导线与线圈接触处绝缘).求:线圈与导线间的互感系数.解: 设长直电流为I ,其磁场通过正方形线圈的互感磁通为⎰==32300122ln π2d π2a a Iar rIaμμΦ∴2ln π2012aI M μΦ==10-16 一矩形线圈长为a =20cm ,宽为b =10cm ,由100匝表面绝缘的导线绕成,放在一无限长导线的旁边且与线圈共面.求:题10-16图中(a)和(b)两种情况下,线圈与长直导线间的互感.解:(a)见题10-16图(a),设长直电流为I ,它产生的磁场通过矩形线圈的磁通为2ln π2d 2πd 020)(12Ia r r IaS B bb S μμΦ⎰⎰==⋅=∴ 6012108.22ln π2-⨯===a N I N M μΦ H(b)∵长直电流磁场通过矩形线圈的磁通012=Φ,见题10-16图(b)∴ 0=M题10-16图题10-17图10-17 两根平行长直导线,横截面的半径都是a ,中心相距为d ,两导线属于同一回路.设两导线内部的磁通可忽略不计,证明:这样一对导线长度为l 的一段自感为πμl L 0=In a ad -.解: 如图10-17图所示,取r l S d d =则⎰⎰-----=--=-+=a d aa d aa d d aa d Il r r r Il r l r I r πI )ln (ln 2πd )d 11(π2d ))d (π22(0000μμμμΦa ad Il-=lnπ0μ∴a a d lI L -==lnπ0μΦ10-18 两线圈顺串联后总自感为1.0H ,在它们的形状和位置都不变的情况下,反串联后总自感为0.4H .试求:它们之间的互感.解: ∵顺串时 M L L L 221++=反串联时M L L L 221-+='∴ M L L 4='-15.04='-=L L M H10-19图10-19 一矩形截面的螺绕环如题10-19图所示,共有N 匝.试求: (1)此螺线环的自感系数;(2)若导线内通有电流I ,环内磁能为多少? 解:如题10-19图示 (1)通过横截面的磁通为⎰==baa b NIhr h r NIlnπ2d π200μμΦ磁链a b IhN N lnπ220μΦψ== ∴a b hN IL lnπ220μψ==(2)∵ 221LI W m = ∴a b h I N W m lnπ4220μ= 10-20 一无限长圆柱形直导线,其截面各处的电流密度相等,总电流为I .求:导线内部单位长度上所储存的磁能. 解:在R r <时20π2R I B rμ=∴4222002π82R r I B w m μμ== 取 r r V d π2d =(∵导线长1=l )则 ⎰⎰===R Rm I R rr I r r w W 0204320π16π4d d 2μμπ。
习题精解10-1 在平面简谐波的波射线上,A,B,C,D 各点离波源的距离分别是3,,,424λλλλ。
设振源的振动方程为cos 2y A t πω⎛⎫=+ ⎪⎝⎭ ,振动周期为T.(1)这4点与振源的振动相位差各为多少?(2)这4点的初相位各为多少?(3)这4点开始运动的时刻比振源落后多少? 解 (1) 122,2,2xxπϕπϕππλλ∆∆∆==∆==3432,222x x πϕπϕππλλ∆∆∆==∆== (2)112233440,,2223,222πππϕϕϕϕππϕϕπϕϕπ=-∆==-∆=-=-∆=-=-∆=-(3) 1212343411,,,24223,,,242t T T t T T t T T t T Tϕϕππϕϕππ∆∆∆==∆==∆∆∆==∆==10-2 波源做谐振动,周期为0.01s ,振幅为21.010m -⨯,经平衡位置向y 轴正方向运动时,作为计时起点,设此振动以1400u m s -=∙的速度沿x 轴的正方向传播,试写出波动方程。
解 根据题意可知,波源振动的相位为32ϕπ= 2122200, 1.010,4000.01A m u m s T ππωπ--====⨯=∙ 波动方程231.010cos 2004002x y t m ππ-⎡⎤⎛⎫=⨯-+ ⎪⎢⎥⎝⎭⎣⎦10-3 一平面简谐波的波动方程为()0.05cos 410y x t m ππ=-,求(1)此波的频率、周期、波长、波速和振幅;(2)求x 轴上各质元振动的最大速度和最大加速度。
解 (1)比较系数法 将波动方程改写成0.05cos10 2.5x y t m π⎛⎫=-⎪⎝⎭与cos x y A t u ω⎛⎫=-⎪⎝⎭比较得1120.05;10;0.21015; 2.5;0.5A m T s v s u m s u T m Tπωππλ--=======∙=∙=(2)各质元的速度为()10.0510sin 410v x t m s πππ-=⨯-∙ 所以1max 0.0510 1.57()v m s π-=⨯=∙ 各质元的加速度为()220.05(10)cos 410a x t m s πππ-=-⨯-∙ 所以22max 0.05(10)49.3()a m s π-=⨯=∙10-4 设在某一时刻的横波波形曲线的一部分如图10.1所示。
第十章 机械振动与电磁振荡计算题1. 解:(1)设cos()()x A t m ωϕ=+由图2可知,A =0.10m ,x 0=A /2=0.05m ,v 0>0 所以3ϕπ=-t =1s 时,x 1=0,故56πω=所以质点振动的运动方程为50.10cos()()63x t m =-ππ(2)P 点的相位为零 (3)由5063P t ππϕ=-=得t =0.4s2. 解:已知A =24cm ,T =4.0s ,故ω=π/2 t =0时,x 0=A =24cm ,v 0=0,故0ϕ= 所以振动方程为0.24cos()()2x t m π=(1)0.50.17t x m == (2)2220.50.50.419/t t d x a m s dt ====-,故30.50.5 4.1910t t F ma N -====-⨯指向平衡位置。
(3)由振动方程得0.12=0.24cos t 2π,即1cos t 22π=,23t =±ππ,因为此时v <0,相位取正值,所以t =0.67s 。
(4)dx v dt ==-0.24sin(t )22ππ⨯,将t =0.67s 代入得 0.326/v m s =- 2415.31102k E mv J -==⨯2224111.781022P E kx m x J -===⨯ω47.0910k p E E E J -=+=⨯*3. 证明:小球平衡时有00p S mg pS +-=图2小球偏离x 时,设容器内气体状态为(p 1,V 1),有2012d xp S mg p S m dt +-=,则212p S p S d x dt m-= 由于气体过程是绝热过程,有111()pV p V xS pV γγγ=-=,则1()(1)V x S p p p V x S V-==--γγ小球作微小位移时xS 远小于V ,则上式可写为1(1)xS p p Vγ=+ 所以,小球的运动方程为2222d x pS x x dt mVγω=-=-此式表示小球作简谐振动,振动周期为22T πω==所以比热容比为222224()mV mVp TS pS T ππγ==三. 计算题1.解:由阻尼振动周期2T '=='πω得阻尼因子为3/rad s ===δ 阻力系数为235.3/m kg s ==γδ 阻力为0.353N f v ==γ 2. 解:阻尼振动的振幅为0t A A e -=δ1t 10A A e -δ=,1t 01A e A δ=将t =0,A 0=0.03m 和t 1=10s ,A 1=0.01m 代入上式解得01111ln ln 310A t A ==δ 则振幅减为A 2=0.003m 所需时间为0221ln21A t s A ==δ3. 解:由题意知弹簧的劲度系数为3731010 1.2510/0.810m g k N m x -'⨯===⨯⨯则车厢的固有频率为015/rad s ω== 当火车以速率v 匀速行驶时,受撞击的角频率为22lυωπνπ==当ω0=ω时车厢将发生共振,此时速率即为危险速率,则030/108/2lm s km h υωπ=== 解决火车提速问题的措施之一是采用长轨无缝铁轨。
第十章 气体动理论一、选择题参考答案1. (B) ;2. (B );3. (C) ;4. (A) ;5. (C) ;6. (B );7. (C ); 8. (C) ;9. (D) ;10. (D) ;11. (C) ;12. (B) ;13. (B) ;14. (C) ;15. (B) ;16.(D) ;17. (C) ;18. (C) ;19. (B) ;20. (B) ;二、填空题参考答案1、体积、温度和压强,分子的运动速度(或分子的动量、分子的动能)2、一个点;一条曲线;一条封闭曲线。
3. kT 21 4、1:1;4:1 5、kT 23;kT 25;mol /25M MRT 6、12.5J ;20.8J ;24.9J 。
7、1:1;2:1;10:3。
8、241092.3⨯9、3m kg 04.1-⋅10、(1)⎰∞0d )(v v v Nf ;(2)⎰∞0d )(v v v f ;(3)⎰21d )(212v v v v v Nf m 11、氩;氦12、1000m/s ; 21000m/s13、1.514、215、12M M三、计算题参考答案1.解:氧气的使用过程中,氧气瓶的容积不变,压强减小,因此可由气体状态方程得到使用前后的氧气质量,进而将总的消耗量和每小时的消耗量比较求解。
已知atm 1301=p ,atm 102=p ,atm 13=p ;L 3221===V V V ,L 4003=V 。
质量分布为1m ,2m ,3m ,由题意可得RT Mm V p 11=RT Mm V p 22= RT M m V p 333=所以该瓶氧气使用的时间为h)(6.94000.132)10130(3321321=⨯⨯-=-=-=V p V p V p m m m t 2.解:设管内总分子数为N ,由V NkT nkT p ==有 1210611)(⨯==.kT pV N (个)空气分子的平均平动动能的总和= J 10238-=NkT 空气分子的平均转动动能的总和 = J 106670228-⨯=.NkT 空气分子的平均动能的总和 = J 10671258-⨯=.NkT3.解:(1)根据状态方程RT MRT MV m p RT M m pV ρ==⇒=得 ρp M RT = ,pRT M ρ= 气体分子的方均根速率为1-2s m 49533⋅===ρp M RT v (2)气体的摩尔质量为1-2m ol kg 108.2⋅⨯==-p RTM ρ所以气体为N 2或CO 。
10.1 解:O O B B B B 出圆弧进++=0其中两直线电流在O 点产生的磁感应强度为0,1/4圆电流在O 点产生的磁感应强度方向垂直纸面向里,大小为R IRIB B O 841200μμ=⨯==圆弧。
10.2解:d b c a B B B B B +++=中心如图a I a I B B a πμπμ0022/22224)45cos 22===︒(中心过中心平行于ad (如图竖直向上)。
10.3 解:1PI B方向垂直纸面向里,大小为d I πμ2102PI B方向纸面向右,大小为d I πμ220 21PI PI P B B B +=T I I d d I d I B B B PI PI P 52221022021022102.72)2()2(21-⨯=+=+=+=πμπμπμ方向在过P 垂直于1I 的平面内与2PI B 夹α角︒===--7.33)32()(1121tna B B tna PI PI α10.4解:两线圈在P 点产生的磁感应强度方向都在两圆心的连线上指向小圆(向左)}])([])([{22322122223221211021x b R R I x b R R I B B B PR PR P -++++=+=μ10.5 解:a bc d2I P 2PIra Idy r dya I rdI B d πμπμπμ422200===20044cos r a Iydyr y r a Idy dB dB x πμπμα=== 20044sin r a Ixdyr x r a Idy dB dB y πμπμα===由对称性可知⎰==0x Px dB Bx a a I x a x a a I x y x a Ix y x dy a Ix y x a Ixdy r a Ixdy dB B aaa aa a aa y Py 101101022022020tan 2)tan (tan 4]tan 144)(44--------=--==+=+===⎰⎰⎰⎰πμπμπμπμπμπμ10.6解:对于无限大平面载流导体板,即上题结果中a x <<,2π=x a arctgi u a I u B 00214==∴(i 为电流密度)(1) 在两面之间1i 产生的磁感强度大小为10121i u B =,方向垂直纸面向里。
题图10-1题10-1解图d第十章习题解答10-1 如题图10-1所示,三块平行的金属板A ,B 和C ,面积均为200cm 2,A 与B 相距4mm ,A 与C 相距2mm ,B 和C 两板均接地,若A 板所带电量Q =3.0×10-7C ,忽略边缘效应,求:(1)B 和C 上的感应电荷?(2)A 板的电势(设地面电势为零)。
分析:当导体处于静电平衡时,根据静电平衡条件和电荷守恒定律,可以求得导体的电荷分布,又因为B 、C 两板都接地,所以有ACAB U U =。
解:(1)设B 、C 板上的电荷分别为B q 、C q 。
因3块导体板靠的较近,可将6个导体面视为6个无限大带电平面。
导体表面电荷分布均匀,且其间的场强方向垂直于导体表面。
作如图中虚线所示的圆柱形高斯面。
因导体达到静电平衡后,内部场强为零,故由高斯定理得:1A C q q =-2A B q q =-即 ()A B C q q q =-+ ①又因为: ACAB U U =而: 2AC ACdU E =⋅ AB AB U E d =⋅∴ 2AC AB E E =于是:002C B σσεε =⋅ 两边乘以面积S 可得: 002C B S S σσεε =⋅即: 2C B q q = ②联立①②求得: 77210,110C B q C q C --=-⨯=-⨯题图10-2(2) 00222C C A AC C AC AC q d d d U U U U E S σεε =+==⋅=⋅=⋅ 733412210210 2.2610()200108.8510V ----⨯=⨯⨯=⨯⨯⨯⨯10-2 如题图10-2所示,平行板电容器充电后,A 和B 极板上的面电荷密度分别为+б和-б,设P 为两极板间任意一点,略去边缘效应,求:(1)A,B 板上的电荷分别在P 点产生的场强E A ,E B ;(2)A,B 板上的电荷在P 点产生的合场强E ; (3)拿走B 板后P 点处的场强E ′。
思 考 题10.1 人体也向外发出热辐射,为什么在黑暗中还是看不见人呢? 答:人体的辐射频率太低, 远离可见光波段,在远红外波段, 由于为非可见光, 所以是看不到人体辐射的,在黑暗中也是如此。
10.1刚粉刷完的房间从房外远处看,即使在白天,它的开着的窗口也是黑的。
为什么? 答:光线从窗户进去后经过多次反射,反射光的强度越来越弱,能再从窗户射出的光线非常少,窗户外的人看到的光线非常弱,因此觉得窗口很暗。
10.3 在光电效应实验中,如果(1)入射光强度增加一倍;(2)入射光频率增加一倍,各对实验结果有什么影响?答:(1)在光电效应中每秒从光阴极发射的光电子数与入射光强成正比。
入射光强度增加一倍时,饱和电流增加一倍。
(2)当入射光的频率增大时,光电子的最大初动能增大,遏止电压也增大,但入射光的频率和遏止电压两者不是简单的正比关系。
10.4 若一个电子和一个质子具有同样的动能,哪个粒子的德布罗意波长较大? 答:电子的德布罗意波长较大。
10.5 n=3的壳层内有几个次壳层,各次壳层都可容纳多少个电子?答:n=3的壳层内有3个次壳层,各次壳层可容纳的电子数分别为2、6、10。
10.6 完成下列核衰变方程。
(1)?234238+−→−Th U(2)?9090+−→−Y Sr (3)?2929+−→−Ni Cu (4)Zn Cu 2929?−→−+ 答:(1)e H Th U 422349023892+−→−(2)e Y Sr 0190399038-+−→−(3)e Ni Cu 0129282929++−→−(4)Zn e Cu 2930012929−→−++习 题10.1 夜间地面降温主要是由于地面的热辐射。
如果晴天夜里地面温度为-50C ,按黑体辐射计算,每平方米地面失去热量的速率多大?解:依题意,可知地面每平方米失去的热量即为地面的辐射出射度2484/2922681067.5m W T M =⨯⨯==-σ10.2 宇宙大爆炸遗留在空间均匀、各向同性的背景热辐射相当于3K 的黑体辐射。
第十章 静电场中的导体与电介质10-1 将一个带正电的带电体A 从远处移到一个不带电的导体B 附近,则导体B 的电势将( )(A ) 升高 (B ) 降低 (C ) 不会发生变化 (D ) 无法确定分析与解 不带电的导体B 相对无穷远处为零电势.由于带正电的带电体A 移到不带电的导体B 附近时,在导体B 的近端感应负电荷;在远端感应正电荷,不带电导体的电势将高于无穷远处,因而正确答案为(A ).10-2 将一带负电的物体M 靠近一不带电的导体N ,在N 的左端感应出正电荷,右端感应出负电荷.若将导体N 的左端接地(如图所示),则( ) (A ) N 上的负电荷入地 (B )N 上的正电荷入地 (C ) N 上的所有电荷入地 (D )N 上所有的感应电荷入地题 10-2 图分析与解 导体N 接地表明导体N 为零电势,即与无穷远处等电势,这与导体N 在哪一端接地无关.因而正确答案为(A ).10-3 如图所示将一个电量为q 的点电荷放在一个半径为R 的不带电的导体球附近,点电荷距导体球球心为d ,参见附图.设无穷远处为零电势,则在导体球球心O 点有( ) (A )d εqV E 0π4,0== (B )dεq V d εq E 020π4,π4== (C )0,0==V E (D )RεqV d εq E 020π4,π4==题 10-3 图分析与解 达到静电平衡时导体内处处各点电场强度为零.点电荷q 在导体球表面感应等量异号的感应电荷±q′,导体球表面的感应电荷±q′在球心O 点激发的电势为零,O 点的电势等于点电荷q 在该处激发的电势.因而正确答案为(A ).10-4 根据电介质中的高斯定理,在电介质中电位移矢量沿任意一个闭合曲面的积分等于这个曲面所包围自由电荷的代数和.下列推论正确的是( )(A ) 若电位移矢量沿任意一个闭合曲面的积分等于零,曲面内一定没有自由电荷 (B ) 若电位移矢量沿任意一个闭合曲面的积分等于零,曲面内电荷的代数和一定等于零 (C ) 若电位移矢量沿任意一个闭合曲面的积分不等于零,曲面内一定有极化电荷 (D ) 介质中的高斯定律表明电位移矢量仅仅与自由电荷的分布有关 (E ) 介质中的电位移矢量与自由电荷和极化电荷的分布有关分析与解 电位移矢量沿任意一个闭合曲面的通量积分等于零,表明曲面内自由电荷的代数和等于零;由于电介质会改变自由电荷的空间分布,介质中的电位移矢量与自由电荷与位移电荷的分布有关.因而正确答案为(E ). 10-5 对于各向同性的均匀电介质,下列概念正确的是( )(A ) 电介质充满整个电场并且自由电荷的分布不发生变化时,电介质中的电场强度一定等于没有电介质时该点电场强度的1/εr倍(B ) 电介质中的电场强度一定等于没有介质时该点电场强度的1/εr倍(C ) 在电介质充满整个电场时,电介质中的电场强度一定等于没有电介质时该点电场强度的1/εr倍(D ) 电介质中的电场强度一定等于没有介质时该点电场强度的εr倍分析与解 电介质中的电场由自由电荷激发的电场与极化电荷激发的电场迭加而成,由于极化电荷可能会改变电场中导体表面自由电荷的分布,由电介质中的高斯定理,仅当电介质充满整个电场并且自由电荷的分布不发生变化时,在电介质中任意高斯面S 有()∑⎰⎰=⋅=⋅+ii S S εχq 01d d 1S E S E 即E =E 0/εr,因而正确答案为(A ).10-6 不带电的导体球A 含有两个球形空腔,两空腔中心分别有一点电荷q b 、q c ,导体球外距导体球较远的r 处还有一个点电荷q d (如图所示).试求点电荷q b 、q c 、q d 各受多大的电场力.题 10-6 图分析与解 根据导体静电平衡时电荷分布的规律,空腔内点电荷的电场线终止于空腔内表面感应电荷;导体球A 外表面的感应电荷近似均匀分布,因而近似可看作均匀带电球对点电荷q d 的作用力.()20π4rεq q q F dc bd +=点电荷q d 与导体球A 外表面感应电荷在球形空腔内激发的电场为零,点电荷q b 、q c 处于球形空腔的中心,空腔内表面感应电荷均匀分布,点电荷q b 、q c 受到的作用力为零.10-7 一真空二极管,其主要构件是一个半径R 1=5.0×10-4m 的圆柱形阴极和一个套在阴极外、半径R 2=4.5×10-3m 的同轴圆筒形阳极.阳极电势比阴极电势高300 V ,阴极与阳极的长度均为L =2.5×10-2 m .假设电子从阴极射出时的速度为零.求:(1) 该电子到达阳极时所具有的动能和速率;(2)电子刚从阳极射出时所受的力.题 10-7 图分析 (1) 由于半径R 1<<L ,因此可将电极视作无限长圆柱面,阴极和阳极之间的电场具有轴对称性.从阴极射出的电子在电场力作用下从静止开始加速,电子所获得的动能等于电场力所作的功,也即等于电子势能的减少.由此,可求得电子到达阳极时的动能和速率. (2) 计算阳极表面附近的电场强度,由F =q E 求出电子在阴极表面所受的电场力. 解 (1) 电子到达阳极时,势能的减少量为J 108.4Δ17ep -⨯-=-=eV E由于电子的初始速度为零,故J 108.4ΔΔ17ep ek ek -⨯-=-==E E E因此电子到达阳极的速率为1-7ek s m 1003.122⋅⨯===meVm E v (2) 两极间的电场强度为r rελe E 0π2-= 两极间的电势差1200ln π2d π2d 2121R R r r V R R R R ελελ-=-=⋅=⎰⎰r E负号表示阳极电势高于阴极电势.阴极表面电场强度r r R R V R ελe e E 12110ln π2=-=电子在阴极表面受力r e e E F N)1037.414-⨯=-=(这个力尽管很小,但作用在质量为9.11×10-31kg 的电子上,电子获得的加速度可达重力加速度的5×1015倍.10-8 一导体球半径为R 1 ,外罩一半径为R 2 的同心薄导体球壳,外球壳所带总电荷为Q ,而内球的电势为V 0 .求此系统的电势和电场的分布. 分析 若200π4R εQV =,内球电势等于外球壳的电势,则外球壳内必定为等势体,电场强度处处为零,内球不带电.若200π4R εQV ≠,内球电势不等于外球壳电势,则外球壳内电场强度不为零,内球带电.一般情况下,假设内导体球带电q ,导体达到静电平衡时电荷的分布如图所示.依照电荷的这一分布,利用高斯定理可求得电场分布.并由⎰∞⋅=pp V l E d 或电势叠加求出电势的分布.最后将电场强度和电势用已知量V 0、Q 、R 1、R 2表示.题 10-8 图解 根据静电平衡时电荷的分布,可知电场分布呈球对称.取同心球面为高斯面,由高斯定理()()∑⎰⋅=⋅=⋅02/π4d εq r E r r E S E ,根据不同半径的高斯面内的电荷分布,解得各区域内的电场分布为 r <R 1时, ()01=r E R 1<r <R 2 时,()202π4r εqr E =r >R 2 时, ()202π4r εqQ r E +=由电场强度与电势的积分关系,可得各相应区域内的电势分布. r <R 1时,20103211π4π4d d d d 2211R Q R q V R R R R r r εε+=⋅+⋅+⋅=⋅=⎰⎰⎰⎰∞∞lE l E l E l ER 1<r <R 2 时,200322π4π4d d d 22R Q r q V R R r r εε+=⋅+⋅=⋅=⎰⎰⎰∞∞lE l E l Er >R 2 时,rqQ V r 03π4d ε+=⋅=⎰∞l E 3也可以从球面电势的叠加求电势的分布:在导体球内(r <R 1)20101π4π4R εQR εq V +=在导体球和球壳之间(R 1<r <R 2 )2002π4π4R εQr εq V +=在球壳外(r >R 2)为rqQ V 03π4ε+=由题意102001π4π4R εQR εq V V +== 得Q R R V R q 21010π4==ε 于是可求得各处的电场强度和电势的分布: r <R 1时,01=E ;01V V =R 1<r <R 2 时,22012012π4r R εQR r V R E -=;rR Q R r r V R V 201012π4)(ε-+= r >R 2 时,220122013π4)(r R Q R R r V R E ε-+=;rR QR R r V R V 2012013π4)(ε-+= 10-9 地球和电离层可当作球形电容器,它们之间相距约为100 km ,试估算地球-电离层系统的电容.设地球与电离层之间为真空.解 由于地球半径R 1=6.37×106m ;电离层半径R 2=1.00×105m +R 1 =6.47×106m ,根据球形电容器的电容公式,可得F 1058.4π4212210-⨯=-=R R R R εC10-10 两线输电线,其导线半径为3.26 mm ,两线中心相距0.50 m ,导线位于地面上空很高处,因而大地影响可以忽略.求输电线单位长度的电容.分析 假设两根导线带等量异号电荷,电荷在导线上均匀分布,则由长直带电线的电场叠加,可以求出两根带电导线间的电场分布,-++=E E E再由电势差的定义求出两根导线之间的电势差,就可根据电容器电容的定义,求出两线输电线单位长度的电容解 建立如图坐标,带等量异号电荷的两根导线在P 点激发的电场强度方向如图,由上述分析可得P 点电场强度的大小为)11(π20xd x E --=ελ 电场强度的方向沿x 轴,电线自身为等势体,依照定义两导线之间的电势差为x xd x l E U lRd Rd )11(π2d 0--=⋅=⎰⎰-ελ 上式积分得RRd ελU -=lnπ0 因此,输电线单位长度的电容Rd εR R d εU λC ln /πln /π00≈-==代入数据 F 1052.512-⨯=C题 10-10 图10-11 电容式计算机键盘的每一个键下面连接一小块金属片,金属片与底板上的另一块金属片间保持一定空气间隙,构成一小电容器(如图).当按下按键时电容发生变化,通过与之相连的电子线路向计算机发出该键相应的代码信号.假设金属片面积为50.0 mm 2,两金属片之间的距离是0.600 mm .如果电路能检测出的电容变化量是0.250 pF ,试问按键需要按下多大的距离才能给出必要的信号?题 10-11 图分析 按下按键时两金属片之间的距离变小,电容增大,由电容的变化量可以求得按键按下的最小距离:解 按下按键时电容的变化量为⎥⎦⎤⎢⎣⎡-=0011Δd d S εC按键按下的最小距离为mm 152.0ΔΔΔ00200min =+=-=SC d Cd d d d ε10-12 一片二氧化钛晶片,其面积为1.0 cm 2,厚度为0.10 mm .把平行平板电容器的两极板紧贴在晶片两侧.(1) 求电容器的电容;(2) 当在电容器的两极间加上12 V 电压时,极板上的电荷为多少? 此时自由电荷和极化电荷的面密度各为多少? (3) 求电容器内的电场强度.解 (1) 查表可知二氧化钛的相对电容率εr =173,故充满此介质的平板电容器的电容F 1053.190-⨯==dSεεC r (2) 电容器加上U =12V 的电压时,极板上的电荷C 1084.18-⨯==CU Q极板上自由电荷面密度为2-80m C 1084.1⋅⨯==-SQζ 晶片表面极化电荷密度2-400m C 1083.111⋅⨯=⎥⎦⎤⎢⎣⎡-='-ζεζr (3) 晶片内的电场强度为1-5m V 102.1⋅⨯==dUE 10-13 如图所示,半径R =0.10 m 的导体球带有电荷Q =1.0 ×10-8C ,导体外有两层均匀介质,一层介质的εr =5.0,厚度d =0.10 m ,另一层介质为空气,充满其余空间.求:(1) 离球心为r =5cm 、15 cm 、25 cm 处的D 和E ;(2) 离球心为r =5 cm 、15 cm 、25 cm 处的V ;(3) 极化电荷面密度ζ′.题 10-13 图分析 带电球上的自由电荷均匀分布在导体球表面,电介质的极化电荷也均匀分布在介质的球形界面上,因而介质中的电场是球对称分布的.任取同心球面为高斯面,电位移矢量D 的通量与自由电荷分布有关,因此,在高斯面上D 呈均匀对称分布,由高斯定理⎰∑=⋅0d qS D 可得D (r ).再由r εε0/D E =可得E (r ).介质内电势的分布,可由电势和电场强度的积分关系⎰∞⋅=rV l E d 求得,或者由电势叠加原理求得.极化电荷分布在均匀介质的表面,其极化电荷面密度n P ='σ.解 (1) 取半径为r 的同心球面为高斯面,由高斯定理得 r <R 0π421=⋅r D01=D ;01=ER <r <R +d Q r D =⋅22π422π4r Q D =;202π4r εεQE r = r >R +d Q r D =⋅23π423π4r Q D =;203π4rQ E ε= 将不同的r 值代入上述关系式,可得r =5 cm 、15 cm 和25 cm 时的电位移和电场强度的大小,其方向均沿径向朝外. r 1 =5 cm ,该点在导体球内,则01=r D ;01=r Er 2 =15 cm ,该点在介质层内,εr=5.0,则2822m C 105.3π42--⋅⨯==r Q D r 12220m V 100.8π42-⋅⨯==r εεQE r r r 3 =25 cm ,该点在空气层内,空气中ε≈ε0 ,则2823m C 103.1π43--⋅⨯==r Q D r ; 13220m V 104.1π43-⋅⨯==r Q E r ε (2) 取无穷远处电势为零,由电势与电场强度的积分关系得 r 3 =25 cm ,V 360π4d 0r 331==⋅=⎰∞rεQV r Er 2 =15 cm ,()()V480π4π4π4d d 0020r3222=+++-=⋅+⋅=⎰⎰+∞+d R Qd R Q r Q V r r dR d R εεεεεrE r E r 1 =5 cm ,()()V540π4π4π4d d 000321=+++-=⋅+⋅=⎰⎰+∞+d R εQd R εεQ R εεQ V r r dR RdR rE r E (3) 均匀介质的极化电荷分布在介质界面上,因空气的电容率ε=ε0 ,极化电荷可忽略.故在介质外表面;()()()20π411d R εQ εE εεP r r n r n +-=-=()()282m C 106.1π41--⋅⨯=+-==d R εQεP ζr r n在介质内表面:()()20π411R εQ εE εεP r r n r n -=-=()282m C 104.6π41--⋅⨯-=-=-='R εQ εP ζr r n介质球壳内、外表面的极化电荷面密度虽然不同,但是两表面极化电荷的总量还是等量异号. 10-14 人体的某些细胞壁两侧带有等量的异号电荷.设某细胞壁厚为5.2 ×10-9m ,两表面所带面电荷密度为±5.2 ×10 -3C /m 2,内表面为正电荷.如果细胞壁物质的相对电容率为6.0,求(1) 细胞壁内的电场强度;(2) 细胞壁两表面间的电势差. 解 (1)细胞壁内的电场强度V/m 108.960⨯==rεεζE ;方向指向细胞外. (2) 细胞壁两表面间的电势差V 101.52-⨯==Ed U .10-15 如图(a )所示,有两块相距为0.50 的薄金属板A 、B 构成的空气平板电容器被屏蔽在一金属盒K 内,金属盒上、下两壁与A 、B 分别相距0.25 mm ,金属板面积为30 mm ×40 mm .求(1) 被屏蔽后电容器的电容变为原来的几倍;(2) 若电容器的一个引脚不慎与金属屏蔽盒相碰,问此时的电容又为原来的几倍?题 10-15 图分析 薄金属板A 、B 与金属盒一起构成三个电容器,其等效电路图如图(b)所示,由于两导体间距离较小,电容器可视为平板电容器,通过分析等效电路图可以求得A 、B 间的电容.解 (1) 由等效电路图可知13232123C C C C C C C C ++⋅=+=由于电容器可以视作平板电容器,且32122d d d ==,故1322C C C == ,因此A 、B 间的总电容12C C =(2) 若电容器的一个引脚不慎与金属屏蔽盒相碰,相当于2C (或者3C )极板短接,其电容为零,则总电容13C C =10-16 在A 点和B 点之间有5 个电容器,其连接如图所示.(1) 求A 、B 两点之间的等效电容;(2) 若A 、B 之间的电势差为12 V ,求U A C 、U CD 和U D B .题 10-16 图解 (1) 由电容器的串、并联,有μF 1221=+=C C C AC μF 843=+=C C C CD51111C C C C CD AC AB ++= 求得等效电容C AB =4 μF .(2) 由于AB D B CD AC Q Q Q Q ===,得V 4==AB ACABAC U C C U V 6==AB CDABCD U C C U V 2==AB DBABDB U C C U 10-17 如图,有一个空气平板电容器,极板面积为S ,间距为d .现将该电容器接在端电压为U 的电源上充电,当(1) 充足电后;(2) 然后平行插入一块面积相同、厚度为δ(δ <d )、相对电容率为εr 的电介质板;(3) 将上述电介质换为同样大小的导体板.分别求电容器的电容C ,极板上的电荷Q 和极板间的电场强度E .题 10-17 图分析 电源对电容器充电,电容器极板间的电势差等于电源端电压U .插入电介质后,由于介质界面出现极化电荷,极化电荷在介质中激发的电场与原电容器极板上自由电荷激发的电场方向相反,介质内的电场减弱.由于极板间的距离d 不变,因而与电源相接的导体极板将会从电源获得电荷,以维持电势差不变,并有()δSεεQ δd S εQU r 00+-=相类似的原因,在平板电容器极板之间,若平行地插入一块导体板,由于极板上的自由电荷和插入导体板上的感应电荷在导体板内激发的电场相互抵消,与电源相接的导体极板将会从电源获得电荷,使间隙中的电场E 增强,以维持两极板间的电势差不变,并有()δd SεQU -=0 综上所述,接上电源的平板电容器,插入介质或导体后,极板上的自由电荷 均会增加,而电势差保持不变. 解 (1) 空气平板电容器的电容dSεC 00=充电后,极板上的电荷和极板间的电场强度为U dS εQ 00=d U E /0=(2) 插入电介质后,电容器的电容C 1 为()()δd εδS εεδS εεQ δd SεQ Q C r r r -+=⎥⎦⎤⎢⎣⎡+-=0001/ 故有()δd εδSUεεU C C r r -+==011介质内电场强度()δd εδUS εεQ E r r -+=='011空气中电场强度()δd εδUεS εQ E r r -+==011 (3) 插入导体达到静电平衡后,导体为等势体,其电容和极板上的电荷分别为δd SεC -=02 U δd S εQ -=02导体中电场强度 02='E 空气中电场强度δd UE -=2 无论是插入介质还是插入导体,由于电容器的导体极板与电源相连,在维持电势差不变的同时都从电源获得了电荷,自由电荷分布的变化同样使得介质内的电场强度不再等于E 0/εr.10-18 为了实时检测纺织品、纸张等材料的厚度(待测材料可视作相对电容率为εr 的电介质),通常在生产流水线上设置如图所示的传感装置,其中A ,B 为平板电容器的导体极板,d 0 为两极板间的距离.试说明检测原理,并推出直接测量量电容C 与间接测量量厚度d 之间的函数关系.如果要检测钢板等金属材料的厚度,结果又将如何?题 10-18 图分析 导体极板A 、B 和待测物体构成一有介质的平板电容器,关于电容C 与材料的厚度的关系,可参见题10-17 的分析. 解 由分析可知,该装置的电容为()d d d SC r r -+=00εεε 则介质的厚度为()()C εSεεd εεC εS εεC d εd r rr r r r r 1110000---=--=如果待测材料是金属导体,其等效电容为dd SεC -=00导体材料的厚度CSεd d 00=-= 实时地测量A 、B 间的电容量C ,根据上述关系式就可以间接地测出材料的厚度.通常智能化的仪表可以实时地显示出待测材料的厚度.10-19 有一电容为0.50 μF 的平行平板电容器,两极板间被厚度为0.01 mm 的聚四氟乙烯薄膜所隔开,(1) 求该电容器的额定电压;(2) 求电容器存贮的最大能量. 分析 通过查表可知聚四氟乙烯的击穿电场强度E b =1.9 ×107 V /m ,电容器中的电场强度E ≤E b ,由此可以求得电容器的最大电势差和电容器存贮的最大能量. 解 (1) 电容器两极板间的电势差V 190b max ==d E U(2) 电容器存贮的最大能量J 1003.92132max e -⨯=CU W10-20 半径为0.10 cm 的长直导线,外面套有内半径为1.0 cm 的共轴导体圆筒,导线与圆筒间为空气.略去边缘效应,求:(1) 导线表面最大电荷面密度;(2) 沿轴线单位长度的最大电场能量.分析 如果设长直导线上单位长度所带电荷为λ,导线表面附近的电场强度0π2εζR ελE ==查表可以得知空气的击穿电场强度E b =3.0 ×106(V /m ),只有当空气中的电场强度E ≤E b 空气才不会被击穿,由于在导线表面附近电场强度最大,因而可以求出ζ的极限值.再求得电场能量密度,并通过同轴圆柱形体元内电场能量的积分求得单位长度的最大电场强度.解 (1) 导线表面最大电荷面密度250max m C 1066.2--⋅⨯==b E εζ显然导线表面最大电荷面密度与导线半径无关.(2) 由上述分析得b E R ελ10max π2=,此时导线与圆筒之间各点的电场强度为()1210m π2R r R rR r E <<==ελ0=E (其他)222102m 0m 2121rE R E w b εε==沿轴线单位长度的最大电场能量r rER r r w W R Rb d 1πd π2212210m ⎰⎰⎰⎰Ω=⋅=ε 14122210mm J 1076.5lnπ--⋅⨯==R R E R W b ε 10-21 一空气平板电容器,空气层厚1.5 cm ,两极间电压为40 k V ,该电容器会被击穿吗? 现将一厚度为0.30 cm 的玻璃板插入此电容器,并与两极平行,若该玻璃的相对电容率为7.0,击穿电场强度为10 MV· m -1.则此时电容器会被击穿吗?分析 在未插入玻璃板时,不难求出空气中的电场强度小于空气的击穿电场强度,电容器不会被击穿.插入玻璃后,由习题10-17 可知,若电容器与电源相连,则极板间的电势差维持不变,电容器将会从电源获取电荷.此时空气间隙中的电场强度将会增大.若它大于空气的击穿电场强度,则电容器的空气层将首先被击穿.此时40 k V 电压全部加在玻璃板两侧,玻璃内的电场强度如也大于玻璃击穿电场强度的值,则玻璃也将被击穿.整个电容器被击穿.解 未插入玻璃时,电容器内的电场强度为16m V 107.2/-⋅⨯==d U E因空气的击穿电场强度16m V 100.3-⋅⨯=b E ,b E E <,故电容器不会被击穿. 插入玻璃后,由习题6 -26 可知,空气间隙中的电场强度()16m V 102.3-⋅⨯=+-=δδd εVεE r r此时,因b E E > ,空气层被击穿,击穿后40 k V 电压全部加在玻璃板两侧,此时玻璃板内的电场强度17m V 103.1/-⋅⨯==δV E由于玻璃的击穿电场强度1bm MV 10-⋅='E ,b E E '> ,故玻璃也将相继被击穿,电容器完全被击穿.10-22 某介质的相对电容率 2.8r ε=,击穿电场强度为611810V m -⨯⋅ ,如果用它来作平板电容器的电介质,要制作电容为0.047 μF ,而耐压为4.0 k V 的电容器,它的极板面积至少要多大. 解 介质内电场强度16m V 1018-⋅⨯=≤b E E电容耐压U m =4.0 k V ,因而电容器极板间最小距离m 1022.2/4-⨯==b m E U d要制作电容为0.047 μF 的平板电容器,其极板面积210m 42.0==εεCdS 显然,这么大的面积平铺开来所占据的空间太大了,通常将平板电容器卷叠成筒状后再封装. 10-23 一平行板空气电容器,极板面积为S ,极板间距为d ,充电至带电Q 后与电源断开,然后用外力缓缓地把两极板间距拉开到2d .求:(1) 电容器能量的改变;(2) 此过程中外力所作的功,并讨论此过程中的功能转换关系.分析 在将电容器两极板拉开的过程中,由于导体极板上的电荷保持不变,极板间的电场强度亦不变,但电场所占有的空间增大,系统总的电场能量增加了.根据功能原理,所增加的能量应该等于拉开过程中外力克服两极板间的静电引力所作的功. 解 (1) 极板间的电场为均匀场,且电场强度保持不变,因此,电场的能量密度为20220221SεQ E εw e == 在外力作用下极板间距从d 被拉开到2d ,电场占有空间的体积,也由V 增加到2V ,此时电场能量增加SεdQ V w W e e 022ΔΔ== (2) 两导体极板带等量异号电荷,外力F 将其缓缓拉开时,应有F =-F e ,则外力所作的功为SεdQ QEd 02e 2ΔA ==⋅-=r F 外力克服静电引力所作的功等于静电场能量的增加.。
第十章 气体分子运动论10.1、解:由P =nkT ,得到:32523510415.2)27273(1038.110--⨯=+⨯⨯==mkTP n10.2、解:烘烤前:kT n P 11=,得到317233111032.3)17273(1038.11033.1---⨯=+⨯⨯⨯==mkTP n烘烤后:32023221068.1)300273(1038.133.1--⨯=+⨯⨯==m kTP n得到器壁吸附的分子数目为:18317121088.1102.1110)32.31680()(⨯=⨯⨯⨯-=-=-V n n N 10.3、解:(1)、方均根速率为:ρρρPnkTnkTmkT v 33/33__2====因此 s m v/87.491101024.1100.13353__2=⨯⨯⨯⨯=-(2)由s m RTv/87.4913__2==μ得到:g 2887.49127531.832=⨯⨯=μ,氮气10.8、解:麦克斯韦速率分布函数为:)2exp(24)(222/3kTmvv kT m v f -⎪⎭⎫⎝⎛=ππ(1)、由题意知:⎰⎰⎰===11)()()()(da av f v av d av f dv v f NdN p p p p v p即:⎰⎪⎪⎭⎫⎝⎛-⎪⎭⎫⎝⎛=1022222/32exp 24da v a kT v ma kT mv N dNpp p ππ将mkT v p 2=代入得到:⎰-=122)exp(16da a a NdN π因此:%76.42))(exp(21257.221))(exp(257.212122=--=--=⎰⎰a ad aa d a N dN(2)、%24.574276.01=-=NdN10.10、解:(1)、如右图所示。
(2)、依归一化条件得到:C v 0=1 得到:01v C =vC(3)、00210v dv v v vCdv v v v ===⎰⎰10.11、解:(1)在速率v -v +dv 区间内的分子数占总分子数的比率。
⼤学物理答案第10章北京邮电⼤学出版社主编:罗益民余燕第10章波动光学10-1 (1)由λdDkx =得 A kD xd 6000m 1060.12102.0106733=?===---λ(2) m m )(3103102.0106337=?=??==?---λd D x 10-2 若在下缝处置⼀折射率为n 厚度为t 的透明薄膜,则光从下缝到屏上的光程将增加(n -1)t ,屏上的条纹均要向下移动。
依题意中央明条纹多到屏中⼼下⽅原来第3级明条纹位置,则从双缝到该位置的光程差[]t n r r r t n r )1()()1(1212-+-=--+=δ0)1(3=-+-=t n λ故 m 3.2m 1016.316.110328.631367µλ≈?=-??=-=-n t 10-3 屏上1λ的经三级明绿纹中⼼的位置m 103.310550106.02.133933---?===λd D kx 依题意屏上1λ的第六级明条纹和波长为λ的第五级明条纹重合于x 处则有λλdDk d D k x 516== 即λλ516k k = m 106.6105505679156--?=??==λλk k 10-4 由λdDk10)0.46.7(1025.010501)(---?-=-=-紫红紫红λλd D k x x m 102.74-?=10-5 光源S 0和其在镜中的虚光源等价⼀对相⼲光源,它们在屏上的⼲涉条纹的计算与杨⽒双缝条纹基本相同,只是明暗条纹分布完全相反,故屏上第⼀条明纹位置就是双缝⼲涉的零级暗条纹位置. 即2102.7104)3.02.0(22)12(73--+==+=λλd D d D k x(m)105.45-?=上⾯表达式也可直接由光程差推导⽽得.10-6 (1)由题10-6图可以看出αβθ22221-====r C S C S SC∴αθβ+=⼜εαβ+=∴εθ=等效双缝间距εsin 2r d =(2)λεελsin 2cos r r L d D x +==(3)λεεελεεε)cos (sin 22sin 2cos 22r L r Ltg r r L Ltg x x +?=+=? 3105)15.05.1(105.02105.12733=+??=--- 屏上共可看到3条明条纹,除中央明条纹外,在其上、下侧还可看到⼀级明条纹. 10-7 ∵ 321n n n <<,故有,3,2,1,02)12(21112=+==k k e n λδ① 3,2,12222222===k k e n λδ②由上两式21312k k =+?但由于λ是连续可调的,在1λ和2λ间⽆其他波长消失与增强,所以取,1,121==k k 把11=k 或12=k 代⼊①式或②式)m (10333.121079027922--?≈??==n e λ10-8 在反射光中产⽣⼲涉加强的波长应满⾜习题10-6图习题10-7图λλk e n =+222 故 122021612380033.141242-=-??=-=k k k e n λ当k =2时,A 67392=λ(红光);k =3时,A 40433=λ(紫光)故肥皂膜正⾯呈紫红⾊在透射光中产⽣⼲涉加强的波长应满⾜λk e n =22kk k e n 10108380033.1222=??==λ当k =2时,A 50542=λ(绿光),故肥皂膜背⾯呈绿⾊. 10-9 ∵ 321n n n <<透射光中产⽣⼲涉加强的条件应满⾜λλk e n =+222故冰层厚度 A k k n k e 2053)2/1(33.125460)2/1(2)2/1(2?-=??-=-=令k =1,可得冰层的最⼩厚度为A e 1027min =10-10 根据题中折射间的关系,对A 5500=λ黄绿光的增透膜应满⾜关系λλk e n =+2/22)2/1(2)2/1(2?-=??-=-=λ令A e k 996,1==即为增透膜的最薄厚度.另解:要使透射光增强,必须的射光⼲涉减弱. ∵321n n n << ∴2 )12(22λδ+==k e n996)12(4122+=+=k n k e λA k )9961992(+=, k =0,1,2, …A e 996min =10-11 由22sin n l λθ=得8rad 1088.31088.310552.1210893.52sin 55372''=?=?===----θλθl n 10-12 ∵212n e e k k λ=-=+,∴ 20条明条纹对应平晶厚度差为5.1210328.619219)(19721==-=?-+n e e d k k λ (m)100.46-?=10-13 (1)12.010048.013-?==≈L d tg θθ21068027921--+?=??==-n e e k k λ(3)0.85(mm)m 105.8104121068024492=?===---θλn l (4)141105.812.04=?=-N10-14 (1)∵ 321n n n <<∴反射光中明条纹的条件为:λk e n =22 油膜边缘 e =0 ∴ k =0 油膜中⼼ m 102.16-?==h e∴ 8.4106102.12.122762===--λen k 故共可看到五条明条纹(k =0,1,2,3,4) (2)对应各明条纹中⼼油膜的厚度22n k e λ=当k =0,1,2,3,4时,对应油膜的厚度分别为:0,2500A ,5000A ,7500A ,10000A .(3)油膜逐渐展开时,圆条纹向外扩展,条纹间间距增⼤,条纹级数减⼩,油膜中⼼由半明半暗向暗、明、暗、明……依次变化,直⾄整个油膜呈现⼀⽚明亮区域. 10-15 依题意 1144d R R r r =-= -λλ2144d R R r r ='-'='-'λλ由上两式可解得未知单⾊光波长A d d 545958931041085.333212==???='--λλ 10-16 依题意有/)2/110(210110D n R r D R r =-='=-=λλ由上两式可解得液体折射率22.11027.1104.1222221==? ??=--D D n 10-17 由2λN d =得A N d 6290m 1029.6102410322.02273=?=??==--λ10-18 设放⼊厚度为d 玻璃⽚后,则来⾃⼲涉仪两臂相应的光程差变化为λN d n =-)1(2m 1093.5)1632.1(2105150)1(257--?=-=-=n N d λ10-19 ∵衍射⾓0?很⼩,∴中央明条纹的半⾓宽度rad 105101.01053370---?=??==a λ中央明条纹的宽度afftg x λ220≈=?mm 5m 1053=?=- 若单缝装置浸⼊⽔中,中央明条纹的半⾓宽度rad 1076.3101.033.11053370---?===na λ10-20 (1)设⼊射光波长为λ,离屏中⼼x =1.4mm 处为明条纹,则由单缝衍射明条纹条件,x 应满⾜12(sin λ+=k atg f x = ∵sin ?很⼩∴λ??ak ff ftg x 2)12(sin +=≈= )12(4.0104.1106.02)12(233+=+=--k k f ax λ m 12102.46+?=-k 当m 106,373-?==λk 恰在橙黄⾊波长范围内,所以⼊射光波长为A 6000. (2)p 点的条纹级数为3(3)从p 点看,对该光波⽽⾔,狭缝处波阵⾯可分成(2k +1)=7个半波带. 10-21 由单缝衍射明条纹条件,2 )12(sin λ+=k a ,可分别求得21λλ、两单⾊光第⼀级明条纹离屏中⼼的距离分别为4711110210435.02)12(--=+==a k f ftg x λ?mm)(3m 1033=?=-47222102106.735.02)12(--=+==a k f ftg x λ? mm)(7.5m 107.53=?=-这两条明条纹之间的距离mm)(7.2m 107.210)37.5(3312=?=?-=-=?--x x x若⽤光栅代替单缝,光栅常数(m)10cm 1000+b a 则由光栅⽅程λ?k b a =+sin )(,可分别求得21,λλ两单⾊光的第⼀级明条纹离屏中⼼的距离分别为cm)(2m 102101045.0257111=?=??+==---b a k f ftg x λ? m 108.310106.75.0257222---?=??+==b a k f ftg x λ?cm)(8.3=cm)(8.128.312=-=-=?x x x 10-22 光栅常数m 102mm 50016-?==+b a ,由光栅⽅程λ?k b a =+sin )( 4.3109.51102sin )(76==+=--λb a k 即最多可看到第3级明条纹. 10-23 光栅常数m 105mm 20016-?==+b a (1)由光栅⽅程λ?k b a =+sin )(可得第⼀级明条纹与中央明条纹的距离,即第⼀级明条纹离屏中⼼的距离cm)(6m 10610510516.0267=?==+==---b a k f ftg x λ? (2)当光线与光栅法线成30°斜⼊射时,光栅⽅程为λθ?k b a =±+)sin )(sin (0上式取负号,且当k =0,可得中央明条纹的衍射⽅向;即0θ?=,所以中央明条纹离屏中⼼距离为m 35.0306.0=?==tg ftg x ?10-24 (1)由光栅⽅程λ?k b a =+sin )(,对应于20.0sin 1=?与30.0sin 2=?处满⾜771063)(30.01062)(20.0--??=+??=+b a b a∴ m 1066-?=+b a (2)因为明条纹第四级缺级,应满⾜缺级条件= 因第⼆级明条纹不缺级,取1='k ,可得光栅上狭缝的宽度为m 105.1410666--?=?=+'=k b a k aor m 105.436-?=?='a k(3)由λ?k b a =+sin )(,且当2π=,则10106106sin )(76=??=+=--λb a k ∴在?<±6, ±7, ±9级明条纹(k =±10的明条纹在?=90?处)10-25 光栅常数m 105.2cm 400016-?==+b a 设A A 7600,40001='=λλ,由光栅⽅程可得λ?λ?''='+=+k b a k b a k k s i n )(s i n)(2.3106.7105.2sin )(2.6104105.2sin )(7676=??=''+='=??='+=----λ?λ?k k b a k b a k亦即λ的(k +1)级条纹要在λ'的k 级条纹之后∴λλλλ)1()1(+<'++<+'k k ba kb a k)1(40007600+只有k =1才满⾜上式,所以屏上只可能出现⼀个完整⽽不重迭的第⼀级光谱,第⼆级和第三级光谱均有重迭现象.10-26 (1)由单缝衍射可确定中央明条纹的宽度为371002.0108.45.0222--===?a f ftg x λcm 4.2m 104.22=?=- (2)由缺级条件,且取1='k502.01.0==+'=a b a k k 可见第5级缺级;∴在单缝衍射的中央明条纹包迹内共有9条双缝衍射明条纹(4,3,2,1,0±±±±=k )10-27 设A A 7600,400021==λλ,由光栅⽅程可求得21,λλ第⼀级谱线的位置分别为:ba fftg x +==111λ? )sin (11tg ,≈很⼩ba fftg x +==222λ?依题意 m 100.6212-?=-=?x x x∴ m 10610771212----?=??-??=--=+x x f b a λλ 10-28 爱⾥班半径m 1053.1101.021055.022.122.13371---?==?=D f r λ若mm 0.122?=D ,则m 1053.11021055.022.122.14372---?===D f r λ10-29 ⼈眼最⼩分辨⾓为rad 1022.110510522.122.14370---?===D λθ⽽x l ?=?0θ,所以眼睛恰可分辨两灯的距离为km 84.91084.91022.12.134=?=?==-θxl 10-30 由最⼩分辨⾓公式Dλθ22.10=可得m 139.01084.4105.522.122.1670===--θλD10-31 由布拉格公式λ?k d =sin 2得kAk k d89.32/275.22sin 2=??==λ当A k A k 94.1,2;89.3,12====λλ; 当;97.0,4;3.1,343A k A k ====λλ所以只有λ为1.30A 和0.97A 的谱线在x 射线波长范围内,能产⽣强反射.10-32 设⾃然光强度为0I ,通过第⼀偏振⽚后光强度为2/0I ,依题意,由马吕斯公式可得透过第⼆偏振⽚后的光强为=60cos 2201I I ∴ 108I I =今在两偏振⽚之间再插⼊另⼀偏振⽚,则通过该偏振⽚后的光强为102038330cos 2I I I I ==?=' 再通过第三偏振⽚后的光强1214930cos 3I I I == ∴25.21=I I10-33 (1)强度为0I 的⾃然光通过两重迭偏振⽚后,透射光的最⼤光强为2I ,按题意当两偏振⽚的偏振化⽅向夹⾓为α时,透过检偏器的光强231cos 2020I I I ?==α∴ 4454'?=α(2)按题意,由马吕斯公式 3cos 2020II I ==α∴ 6135'?=α 10-34 设⾃然光强度为0I ,线偏振光强度为1I ,该混合光通过偏振⽚时,若其偏振化⽅向与线偏振光的振动⽅向⼀致,则透射光强度102I I +,若其偏振化⽅向与线偏振光的振动⽅向垂直,则透射光强度为2I ,依题意 252010I I I ?=+ ∴ 012I I =故⾃然光和线偏振光的光强各占总光强的31和32. 10-35 当光由⽔射向玻璃时,按布儒斯特定律可求得起偏振⾓724833.15.111'?===--tg n n tgb ⽔玻璃θ当光由玻璃射向⽔时43415.133.111'?===--tg n n tg b 玻璃⽔θ 10-36 (1)这时反射线与折射线相互垂直∴ ?=?-?=-?=58329090r b θθ(2)由布儒斯特公式60.158=?==tg tg n b θ10-37 设⼊射线偏振光的振幅为E ,则射⼊晶⽚后e 光和o 光的振幅分别为 ?=?=30sin 30cos 0E E E E e ∴ 73.1300=?=ctg E E e。
习题1010.1选择题(1)在双缝干涉实验中,为使屏上的干涉条纹间距变大,可以采取的办法是[](A)使屏靠近双缝.(B)使两缝的间距变小.(C)把两个缝的宽度稍微调窄.(D)改用波长较小的单色光源.[答案:C](2)两块平玻璃构成空气劈形膜,左边为棱边,用单色平行光垂直入射.若上面的平玻璃以棱边为轴,沿逆时针方向作微小转动,则干涉条纹的[](A)间隔变小,并向棱边方向平移.(B)间隔变大,并向远离棱边方向平移.(C)间隔不变,向棱边方向平移.(D)间隔变小,并向远离棱边方向平移.[答案:A](3)一束波长为的单色光由空气垂直入射到折射率为n的透明薄膜上,透明薄膜放在空气中,要使反射光得到干涉加强,则薄膜最小的厚度为[](A).(B)/(4n).(C).(D)/(2n).[答案:B](4)在迈克耳孙干涉仪的一条光路中,放入一折射率为n,厚度为d 的透明薄片,放入后,这条光路的光程改变了[](A)2(n-1)d.(B)2nd.(C)2(n-1)d+/2.(D)nd.(E)(n-1)d.[答案:A](5)在迈克耳孙干涉仪的一条光路中,放入一折射率为n的透明介质薄膜后,测出两束光的光程差的改变量为一个波长,则薄膜的厚度是[](A).(B)/(2n).(C)n.(D)/[2(n-1)].[答案:D](6)在夫琅禾费单缝衍射实验中,对于给定的入射单色光,当缝宽度变小时,除中央亮纹的中心位置不变外,各级衍射条纹[](A)对应的衍射角变小.(B)对应的衍射角变大.(C)对应的衍射角也不变.(D)光强也不变.[答案:B](7)波长nm(1nm=10-9m)的单色光垂直照射到宽度a=0.25mm的单缝上,单缝后面放一凸透镜,在凸透镜的焦平面上放置一屏幕,用以观测衍射条纹。
今测得屏幕上中央明条纹一侧第三个暗条纹和另一侧第三个暗条纹之间的距离为d=12mm,则凸透镜的焦距是[](B)平行于入射面的振动占优势的部分偏振光.(C)垂直于入射面振动的完全线偏振光.(D)垂直于入射面的振动占优势的部分偏振光.[答案:C](12)一束自然光自空气射向一块平板玻璃(如图),设入射角等于布儒斯特角i0,则在界面2的反射光是[](A)自然光。
[习题解答]10-1如果导线中的电流强度为8.2 A,问在15 s内有多少电子通过导线的横截面?解设在t秒内通过导线横截面的电子数为N,则电流可以表示为,所以.10-2 在玻璃管内充有适量的某种气体,并在其两端封有两个电极,构成一个气体放电管。
当两极之间所施加的电势差足够高时,管中的气体分子就被电离,电子和负离子向正极运动,正离子向负极运动,形成电流。
在一个氢气放电管中,如果在3 s内有2.8⨯1018 个电子和1.0⨯1018 个质子通过放电管的横截面,求管中电流的流向和这段时间内电流的平均值。
解放电管中的电流是由电子和质子共同提供的,所以.电流的流向与质子运动的方向相同。
10-3 两段横截面不同的同种导体串联在一起,如图10-7所示,两端施加的电势差为U。
问:(1)通过两导体的电流是否相同?(2)两导体内的电流密度是否相同?(3)两导体内的电场强度是否相同?(4)如果两导体的长度相同,两导体的电阻之比等于什么?(5)如果两导体横截面积之比为1: 9,求以上四个问题中各量的比例关系,以及两导体有相同电阻时的长度之比。
解(1)通过两导体的电流相同,。
(2)两导体的电流密度不相同,因为,又因为,所以.这表示截面积较小的导体电流密度较大。
(3)根据电导率的定义,在两种导体内的电场强度之比为.上面已经得到,故有.这表示截面积较小的导体中电场强度较大。
图10-7(4)根据公式,可以得到,这表示,两导体的电阻与它们的横截面积成反比。
(5)已知,容易得到其他各量的比例关系,,,.若,则两导体的长度之比为.10-4两个同心金属球壳的半径分别为a和b(>a),其间充满电导率为σ的材料。
已知σ是随电场而变化的,且可以表示为σ = kE,其中k为常量。
现在两球壳之间维持电压U,求两球壳间的电流。
解在两球壳之间作一半径为r的同心球面,若通过该球面的电流为I,则.又因为,所以.于是两球壳之间的电势差为.从上式解出电流I,得.10-5一个电阻接在电势差为180 V电路的两点之间,发出的热功率为250W。
习题10(1)对于安培环路定理的理解,正确的选项是:〔A〕假设环流等于零,那么在回路L上必定是H处处为零;〔B〕假设环流等于零,那么在回路L上必定不包围电流;〔C〕假设环流等于零,那么在回路L所包围传导电流的代数和为零;〔D〕回路L上各点的H仅与回路L包围的电流有关。
[答案:C](2)对半径为R载流为I的无限长直圆柱体,距轴线r处的磁感应强度B〔〕〔A〕内外部磁感应强度B都与r成正比;〔B〕内部磁感应强度B与r成正比,外部磁感应强度B与r成反比;〔C〕内外部磁感应强度B都与r成反比;〔D〕内部磁感应强度B与r成反比,外部磁感应强度B与r成正比。
[答案:B](3〕质量为m电量为q的粒子,以速率v与均匀磁场B成θ角射入磁场,轨迹为一螺旋线,假设要增大螺距那么要〔〕(A)增加磁场B;〔B〕减少磁场B;〔C〕增加θ角;〔D〕减少速率v。
[答案:B]θ=0的位置转到180度〔θ为磁场方向和线圈磁矩方向的夹角〕时磁场力做功为〔〕〔A〕0.24J;〔B〕2.4J;〔C〕0.14J;〔D〕14J。
[答案:A]10.2 填空题(1)边长为a的正方形导线回路载有电流为I,那么其中心处的磁感应强度。
[答案:a Iπμ22,方向垂直正方形平面](2)计算有限长的直线电流产生的磁场用毕奥——萨伐尔定律,而用安培环路定理求得〔填能或不能〕。
[答案:能, 不能](3)电荷在静电场中沿任一闭合曲线移动一周,电场力做功为。
电荷在磁场中沿任一闭合曲线移动一周,磁场力做功为。
[答案:零,零](4)两个大小相同的螺线管一个有铁心一个没有铁心,当给两个螺线管通以电流时,管内的磁力线分布相同,管内的磁感线分布将。
[答案:相同,不相同]在同一磁感应线上,各点B的数值是否都相等?为何不把作用于运动电荷的磁力方向定义为磁感应强度B的方向?解: 在同一磁感应线上,各点B的数值一般不相等.因为磁场作用于运动电荷的磁力方向不仅与磁感应强度B的方向有关,而且与电荷速度方向有关,即磁力方向并不是唯一由磁场决定的,所以不把磁力方向定义为B的方向.10.4 (1)在没有电流的空间区域里,如果磁感应线是平行直线,磁感应强度B的大小在沿磁感应线和垂直它的方向上是否可能变化(即磁场是否一定是均匀的)? (2)假设存在电流,上述结论是否还对?解: (1)不可能变化,即磁场一定是均匀的.如图作闭合回路abcd 可证明21B B=∑⎰==-=⋅0d 021I bc B da B l B abcdμ∴ 21B B=〔2〕假设存在电流,上述结论不对.如无限大均匀带电平面两侧之磁力线是平行直线,但B 方向相反,即21B B≠.10.5 用安培环路定理能否求有限长一段载流直导线周围的磁场?答: 不能,因为有限长载流直导线周围磁场虽然有轴对称性,但不是稳恒电流,安培环路定理并不适用.10.6 在载流长螺线管的情况下,我们导出其内部nI B 0μ=,外面B =0,所以在载流螺线管外面环绕一周(见题图)的环路积分⎰外B L ·d l =0但从安培环路定理来看,环路L 中有电流I 穿过,环路积分应为⎰外B L·d l =I0μ这是为什么?解: 我们导出nl B 0μ=内,0=外B 有一个假设的前提,即每匝电流均垂直于螺线管轴线.这时图中环路L 上就一定没有电流通过,即也是⎰∑==⋅LI l B 0d 0μ外,与⎰⎰=⋅=⋅Ll l B 0d 0d外是不矛盾的.但这是导线横截面积为零,螺距为零的理想模型.实际上以上假设并不真实存在,所以使得穿过L 的电流为I ,因此实际螺线管假设是无限长时,只是外B 的轴向分量为零,而垂直于轴的圆周方向分量rI B πμ20=⊥,r 为管外一点到螺线管轴的距离.题 10.6 图如果一个电子在通过空间某一区域时不偏转,能否肯定这个区域中没有磁场?如果它发 生偏转能否肯定那个区域中存在着磁场?解:如果一个电子在通过空间某一区域时不偏转,不能肯定这个区域中没有磁场,也可能存在互相垂直的电场和磁场,电子受的电场力与磁场力抵消所致.如果它发生偏转也不能肯定那个区域存在着磁场,因为仅有电场也可以使电子偏转.10.8 磁感应强度0.2=B Wb/m 2的均匀磁场,方向沿x 轴正方向,如题9-6图所示.试求:(1)通过图中abcd 面的磁通量;(2)通过图中befc 面的磁通量;(3)通过图中aefd 面的磁通量. 解:(1)通过abcd 面积1S 的磁通是24.04.03.00.211=⨯⨯=⋅=S BΦWb(2)通过befc 面积2S 的磁通量22=⋅=S B Φ(3)通过aefd 面积3S 的磁通量24.0545.03.02cos 5.03.0233=⨯⨯⨯=θ⨯⨯⨯=⋅=S BΦWb (或24.0-Wb )如题图所示,AB 、CD 为长直导线,C B为圆心在O 点的一段圆弧形导线,其半径为R .假设通以电流I ,求O 点的磁感应强度.解:如题10.9图所示,O 点磁场由AB 、C B、CD 三局部电流产生.其中AB 产生 01=BBC 产生RIB 1202μ=,方向垂直向里CD 段产生 )231(2)60sin 90(sin 24003-πμ=-πμ=︒︒R I R I B ,方向⊥向里 ∴)6231(203210ππμ+-=++=R I B B B B ,方向垂直向里.在真空中,有两根互相平行的无限长直导线1L 和2L ,相距m ,通有方向相反的电流,1I =20A,2I =10A ,如题图所示.A ,B 两点与导线在同一平面内.这两点与导线2L 的距离均为5.0cm .试求A ,B 两点处的磁感应强度,以及磁感应强度为零的点的位置.解:如题10.10图所示,A B方向垂直纸面向里42010102.105.02)05.01.0(2-⨯=⨯+-=πμπμI I B A T52010103310502050102-⨯=⨯++-=..)..(πμπμI I B B T(2)设0=B在2L 外侧距离2L 为r 处那么02)1.0(220=-+rI r Iπμπμ 解得 1.0=r m10.11 如题图所示,两根导线沿半径方向引向铁环上的A ,B 两点,并在很远处与电源相连.圆环的粗细均匀,求环中心O 的磁感应强度.解: 如题10.11图所示,圆心O 点磁场由直电流∞A 和∞B 及两段圆弧上电流1I 与2I 所产生,但∞A 和∞B 在O 点产生的磁场为零。
第十章 稳 恒 磁 场10-1 两根无限长直导线相互垂直地放置在两正交平面内,分别通有电流I 1=2A ,I 2=3A ,如图所示。
求点M 1和M 2处的磁感应强度。
图中AM 1=AM 2=lcm ,AB=2cm.。
解:无限长电流的磁感应强度为dIB πμ=20,两无限长 电流在点M 1和M 2处的磁感应强度相互垂直,合磁感 应强度为)3(10232221201I I I B M +⨯πμ=-T 551047.414102--⨯+⨯= )(1022221202I I I B M +⨯πμ=-T 551021.794102--⨯+⨯= 10-2一无限长的载流导线中部被弯成圆弧形,圆弧半径R=3cm ,导线中的电流I=2A , 如图所示,求圆弧中心O 点的磁感应强度。
解:两半无限长电流在O 点产生的磁感应强度 方向相同,叠加为•πμ⨯=方向 4201RIB O 3/4圆电流在O 点产生的磁感应强度为⊗μ⨯=方向 24302RI B O O 点的合磁感应强度为⊗⨯=⨯⨯⨯⨯⨯π=πμ=+=-方向 T 101.80.43 10322104 ) 1- 43( 25-27-021R I B B B O O O 10-3图中三棱柱面高h =1.0m ,底面各边长分别为ab=0.6m ,bc=0.4m ,ac=0.3m ,沿ad 边有直长导线,导线申通有电流I=4A 。
求通过cbef 面的磁通量。
解:通过cbef 面的磁通量应与通过gbje 面的磁通量相当 ag=ac=0.3m ,有 hdx x 2I d 6.03.00⎰⎰πμ=⋅φSS B =0.30.6ln20πμ=Ih Wb 1054.5n2 21104 7--7⨯=π⨯⨯π=l10-4两根平行直长导线载有电流I 1=I 2=20A 。
试求(1)两导线所在平面内与两导线等距的一点A 处的磁感应强度;(2)通过图中矩形面积的磁通量。
图中r 1=r 3=10cm ,r 2=20cm ,l =25cm 。
第十章 静电场中的导体与电介质10-1 将一个带正电的带电体A 从远处移到一个不带电的导体B 附近,则导体B 的电势将( )(A ) 升高 (B ) 降低 (C ) 不会发生变化 (D ) 无法确定分析与解 不带电的导体B 相对无穷远处为零电势.由于带正电的带电体A 移到不带电的导体B 附近时,在导体B 的近端感应负电荷;在远端感应正电荷,不带电导体的电势将高于无穷远处,因而正确答案为(A ).10-2 将一带负电的物体M 靠近一不带电的导体N ,在N 的左端感应出正电荷,右端感应出负电荷.若将导体N 的左端接地(如图所示),则( ) (A ) N 上的负电荷入地 (B )N 上的正电荷入地 (C ) N 上的所有电荷入地 (D )N 上所有的感应电荷入地题 10-2 图分析与解 导体N 接地表明导体N 为零电势,即与无穷远处等电势,这与导体N 在哪一端接地无关.因而正确答案为(A ).10-3 如图所示将一个电量为q 的点电荷放在一个半径为R 的不带电的导体球附近,点电荷距导体球球心为d ,参见附图.设无穷远处为零电势,则在导体球球心O 点有( ) (A )d εqV E 0π4,0== (B )dεq V d εq E 020π4,π4== (C )0,0==V E (D )RεqV d εq E 020π4,π4==题 10-3 图分析与解 达到静电平衡时导体内处处各点电场强度为零.点电荷q 在导体球表面感应等量异号的感应电荷±q′,导体球表面的感应电荷±q′在球心O 点激发的电势为零,O 点的电势等于点电荷q 在该处激发的电势.因而正确答案为(A ).10-4 根据电介质中的高斯定理,在电介质中电位移矢量沿任意一个闭合曲面的积分等于这个曲面所包围自由电荷的代数和.下列推论正确的是( )(A ) 若电位移矢量沿任意一个闭合曲面的积分等于零,曲面内一定没有自由电荷 (B ) 若电位移矢量沿任意一个闭合曲面的积分等于零,曲面内电荷的代数和一定等于零 (C ) 若电位移矢量沿任意一个闭合曲面的积分不等于零,曲面内一定有极化电荷 (D ) 介质中的高斯定律表明电位移矢量仅仅与自由电荷的分布有关 (E ) 介质中的电位移矢量与自由电荷和极化电荷的分布有关分析与解 电位移矢量沿任意一个闭合曲面的通量积分等于零,表明曲面内自由电荷的代数和等于零;由于电介质会改变自由电荷的空间分布,介质中的电位移矢量与自由电荷与位移电荷的分布有关.因而正确答案为(E ). 10-5 对于各向同性的均匀电介质,下列概念正确的是( )(A ) 电介质充满整个电场并且自由电荷的分布不发生变化时,电介质中的电场强度一定等于没有电介质时该点电场强度的1/εr倍(B ) 电介质中的电场强度一定等于没有介质时该点电场强度的1/εr倍(C ) 在电介质充满整个电场时,电介质中的电场强度一定等于没有电介质时该点电场强度的1/εr倍(D ) 电介质中的电场强度一定等于没有介质时该点电场强度的εr倍分析与解 电介质中的电场由自由电荷激发的电场与极化电荷激发的电场迭加而成,由于极化电荷可能会改变电场中导体表面自由电荷的分布,由电介质中的高斯定理,仅当电介质充满整个电场并且自由电荷的分布不发生变化时,在电介质中任意高斯面S 有()∑⎰⎰=⋅=⋅+ii S S εχq 01d d 1S E S E 即E =E 0/εr,因而正确答案为(A ).10-6 不带电的导体球A 含有两个球形空腔,两空腔中心分别有一点电荷q b 、q c ,导体球外距导体球较远的r 处还有一个点电荷q d (如图所示).试求点电荷q b 、q c 、q d 各受多大的电场力.题 10-6 图分析与解 根据导体静电平衡时电荷分布的规律,空腔内点电荷的电场线终止于空腔内表面感应电荷;导体球A 外表面的感应电荷近似均匀分布,因而近似可看作均匀带电球对点电荷q d 的作用力.()20π4rεq q q F dc bd +=点电荷q d 与导体球A 外表面感应电荷在球形空腔内激发的电场为零,点电荷q b 、q c 处于球形空腔的中心,空腔内表面感应电荷均匀分布,点电荷q b 、q c 受到的作用力为零.10-7 一真空二极管,其主要构件是一个半径R 1=5.0×10-4m 的圆柱形阴极和一个套在阴极外、半径R 2=4.5×10-3m 的同轴圆筒形阳极.阳极电势比阴极电势高300 V ,阴极与阳极的长度均为L =2.5×10-2 m .假设电子从阴极射出时的速度为零.求:(1) 该电子到达阳极时所具有的动能和速率;(2)电子刚从阳极射出时所受的力.题 10-7 图分析 (1) 由于半径R 1<<L ,因此可将电极视作无限长圆柱面,阴极和阳极之间的电场具有轴对称性.从阴极射出的电子在电场力作用下从静止开始加速,电子所获得的动能等于电场力所作的功,也即等于电子势能的减少.由此,可求得电子到达阳极时的动能和速率. (2) 计算阳极表面附近的电场强度,由F =q E 求出电子在阴极表面所受的电场力. 解 (1) 电子到达阳极时,势能的减少量为J 108.4Δ17ep -⨯-=-=eV E由于电子的初始速度为零,故J 108.4ΔΔ17ep ek ek -⨯-=-==E E E因此电子到达阳极的速率为1-7ek s m 1003.122⋅⨯===meVm E v (2) 两极间的电场强度为r rελe E 0π2-= 两极间的电势差1200ln π2d π2d 2121R R r r V R R R R ελελ-=-=⋅=⎰⎰r E负号表示阳极电势高于阴极电势.阴极表面电场强度r r R R V R ελe e E 12110ln π2=-=电子在阴极表面受力r e e E F N)1037.414-⨯=-=(这个力尽管很小,但作用在质量为9.11×10-31kg 的电子上,电子获得的加速度可达重力加速度的5×1015倍.10-8 一导体球半径为R 1 ,外罩一半径为R 2 的同心薄导体球壳,外球壳所带总电荷为Q ,而内球的电势为V 0 .求此系统的电势和电场的分布. 分析 若200π4R εQV =,内球电势等于外球壳的电势,则外球壳内必定为等势体,电场强度处处为零,内球不带电.若200π4R εQV ≠,内球电势不等于外球壳电势,则外球壳内电场强度不为零,内球带电.一般情况下,假设内导体球带电q ,导体达到静电平衡时电荷的分布如图所示.依照电荷的这一分布,利用高斯定理可求得电场分布.并由⎰∞⋅=pp V l E d 或电势叠加求出电势的分布.最后将电场强度和电势用已知量V 0、Q 、R 1、R 2表示.题 10-8 图解 根据静电平衡时电荷的分布,可知电场分布呈球对称.取同心球面为高斯面,由高斯定理()()∑⎰⋅=⋅=⋅02/π4d εq r E r r E S E ,根据不同半径的高斯面内的电荷分布,解得各区域内的电场分布为 r <R 1时, ()01=r E R 1<r <R 2 时,()202π4r εqr E =r >R 2 时, ()202π4r εqQ r E +=由电场强度与电势的积分关系,可得各相应区域内的电势分布. r <R 1时,20103211π4π4d d d d 2211R Q R q V R R R R r r εε+=⋅+⋅+⋅=⋅=⎰⎰⎰⎰∞∞lE l E l E l ER 1<r <R 2 时,200322π4π4d d d 22R Q r q V R R r r εε+=⋅+⋅=⋅=⎰⎰⎰∞∞lE l E l Er >R 2 时,rqQ V r 03π4d ε+=⋅=⎰∞l E 3也可以从球面电势的叠加求电势的分布:在导体球内(r <R 1)20101π4π4R εQR εq V +=在导体球和球壳之间(R 1<r <R 2 )2002π4π4R εQr εq V +=在球壳外(r >R 2)为rqQ V 03π4ε+=由题意102001π4π4R εQR εq V V +== 得Q R R V R q 21010π4==ε 于是可求得各处的电场强度和电势的分布: r <R 1时,01=E ;01V V =R 1<r <R 2 时,22012012π4r R εQR r V R E -=;rR Q R r r V R V 201012π4)(ε-+= r >R 2 时,220122013π4)(r R Q R R r V R E ε-+=;rR QR R r V R V 2012013π4)(ε-+= 10-9 地球和电离层可当作球形电容器,它们之间相距约为100 km ,试估算地球-电离层系统的电容.设地球与电离层之间为真空.解 由于地球半径R 1=6.37×106m ;电离层半径R 2=1.00×105m +R 1 =6.47×106m ,根据球形电容器的电容公式,可得F 1058.4π4212210-⨯=-=R R R R εC10-10 两线输电线,其导线半径为3.26 mm ,两线中心相距0.50 m ,导线位于地面上空很高处,因而大地影响可以忽略.求输电线单位长度的电容.分析 假设两根导线带等量异号电荷,电荷在导线上均匀分布,则由长直带电线的电场叠加,可以求出两根带电导线间的电场分布,-++=E E E再由电势差的定义求出两根导线之间的电势差,就可根据电容器电容的定义,求出两线输电线单位长度的电容解 建立如图坐标,带等量异号电荷的两根导线在P 点激发的电场强度方向如图,由上述分析可得P 点电场强度的大小为)11(π20xd x E --=ελ 电场强度的方向沿x 轴,电线自身为等势体,依照定义两导线之间的电势差为x xd x l E U lRd Rd )11(π2d 0--=⋅=⎰⎰-ελ 上式积分得RRd ελU -=lnπ0 因此,输电线单位长度的电容Rd εR R d εU λC ln /πln /π00≈-==代入数据 F 1052.512-⨯=C题 10-10 图10-11 电容式计算机键盘的每一个键下面连接一小块金属片,金属片与底板上的另一块金属片间保持一定空气间隙,构成一小电容器(如图).当按下按键时电容发生变化,通过与之相连的电子线路向计算机发出该键相应的代码信号.假设金属片面积为50.0 mm 2,两金属片之间的距离是0.600 mm .如果电路能检测出的电容变化量是0.250 pF ,试问按键需要按下多大的距离才能给出必要的信号?题 10-11 图分析 按下按键时两金属片之间的距离变小,电容增大,由电容的变化量可以求得按键按下的最小距离:解 按下按键时电容的变化量为⎥⎦⎤⎢⎣⎡-=0011Δd d S εC按键按下的最小距离为mm 152.0ΔΔΔ00200min =+=-=SC d Cd d d d ε10-12 一片二氧化钛晶片,其面积为1.0 cm 2,厚度为0.10 mm .把平行平板电容器的两极板紧贴在晶片两侧.(1) 求电容器的电容;(2) 当在电容器的两极间加上12 V 电压时,极板上的电荷为多少? 此时自由电荷和极化电荷的面密度各为多少? (3) 求电容器内的电场强度.解 (1) 查表可知二氧化钛的相对电容率εr =173,故充满此介质的平板电容器的电容F 1053.190-⨯==dSεεC r (2) 电容器加上U =12V 的电压时,极板上的电荷C 1084.18-⨯==CU Q极板上自由电荷面密度为2-80m C 1084.1⋅⨯==-SQζ 晶片表面极化电荷密度2-400m C 1083.111⋅⨯=⎥⎦⎤⎢⎣⎡-='-ζεζr (3) 晶片内的电场强度为1-5m V 102.1⋅⨯==dUE 10-13 如图所示,半径R =0.10 m 的导体球带有电荷Q =1.0 ×10-8C ,导体外有两层均匀介质,一层介质的εr =5.0,厚度d =0.10 m ,另一层介质为空气,充满其余空间.求:(1) 离球心为r =5cm 、15 cm 、25 cm 处的D 和E ;(2) 离球心为r =5 cm 、15 cm 、25 cm 处的V ;(3) 极化电荷面密度ζ′.题 10-13 图分析 带电球上的自由电荷均匀分布在导体球表面,电介质的极化电荷也均匀分布在介质的球形界面上,因而介质中的电场是球对称分布的.任取同心球面为高斯面,电位移矢量D 的通量与自由电荷分布有关,因此,在高斯面上D 呈均匀对称分布,由高斯定理⎰∑=⋅0d qS D 可得D (r ).再由r εε0/D E =可得E (r ).介质内电势的分布,可由电势和电场强度的积分关系⎰∞⋅=rV l E d 求得,或者由电势叠加原理求得.极化电荷分布在均匀介质的表面,其极化电荷面密度n P ='σ.解 (1) 取半径为r 的同心球面为高斯面,由高斯定理得 r <R 0π421=⋅r D01=D ;01=ER <r <R +d Q r D =⋅22π422π4r Q D =;202π4r εεQE r = r >R +d Q r D =⋅23π423π4r Q D =;203π4rQ E ε= 将不同的r 值代入上述关系式,可得r =5 cm 、15 cm 和25 cm 时的电位移和电场强度的大小,其方向均沿径向朝外. r 1 =5 cm ,该点在导体球内,则01=r D ;01=r Er 2 =15 cm ,该点在介质层内,εr=5.0,则2822m C 105.3π42--⋅⨯==r Q D r 12220m V 100.8π42-⋅⨯==r εεQE r r r 3 =25 cm ,该点在空气层内,空气中ε≈ε0 ,则2823m C 103.1π43--⋅⨯==r Q D r ; 13220m V 104.1π43-⋅⨯==r Q E r ε (2) 取无穷远处电势为零,由电势与电场强度的积分关系得 r 3 =25 cm ,V 360π4d 0r 331==⋅=⎰∞rεQV r Er 2 =15 cm ,()()V480π4π4π4d d 0020r3222=+++-=⋅+⋅=⎰⎰+∞+d R Qd R Q r Q V r r dR d R εεεεεrE r E r 1 =5 cm ,()()V540π4π4π4d d 000321=+++-=⋅+⋅=⎰⎰+∞+d R εQd R εεQ R εεQ V r r dR RdR rE r E (3) 均匀介质的极化电荷分布在介质界面上,因空气的电容率ε=ε0 ,极化电荷可忽略.故在介质外表面;()()()20π411d R εQ εE εεP r r n r n +-=-=()()282m C 106.1π41--⋅⨯=+-==d R εQεP ζr r n在介质内表面:()()20π411R εQ εE εεP r r n r n -=-=()282m C 104.6π41--⋅⨯-=-=-='R εQ εP ζr r n介质球壳内、外表面的极化电荷面密度虽然不同,但是两表面极化电荷的总量还是等量异号. 10-14 人体的某些细胞壁两侧带有等量的异号电荷.设某细胞壁厚为5.2 ×10-9m ,两表面所带面电荷密度为±5.2 ×10 -3C /m 2,内表面为正电荷.如果细胞壁物质的相对电容率为6.0,求(1) 细胞壁内的电场强度;(2) 细胞壁两表面间的电势差. 解 (1)细胞壁内的电场强度V/m 108.960⨯==rεεζE ;方向指向细胞外. (2) 细胞壁两表面间的电势差V 101.52-⨯==Ed U .10-15 如图(a )所示,有两块相距为0.50 的薄金属板A 、B 构成的空气平板电容器被屏蔽在一金属盒K 内,金属盒上、下两壁与A 、B 分别相距0.25 mm ,金属板面积为30 mm ×40 mm .求(1) 被屏蔽后电容器的电容变为原来的几倍;(2) 若电容器的一个引脚不慎与金属屏蔽盒相碰,问此时的电容又为原来的几倍?题 10-15 图分析 薄金属板A 、B 与金属盒一起构成三个电容器,其等效电路图如图(b)所示,由于两导体间距离较小,电容器可视为平板电容器,通过分析等效电路图可以求得A 、B 间的电容.解 (1) 由等效电路图可知13232123C C C C C C C C ++⋅=+=由于电容器可以视作平板电容器,且32122d d d ==,故1322C C C == ,因此A 、B 间的总电容12C C =(2) 若电容器的一个引脚不慎与金属屏蔽盒相碰,相当于2C (或者3C )极板短接,其电容为零,则总电容13C C =10-16 在A 点和B 点之间有5 个电容器,其连接如图所示.(1) 求A 、B 两点之间的等效电容;(2) 若A 、B 之间的电势差为12 V ,求U A C 、U CD 和U D B .题 10-16 图解 (1) 由电容器的串、并联,有μF 1221=+=C C C AC μF 843=+=C C C CD51111C C C C CD AC AB ++= 求得等效电容C AB =4 μF .(2) 由于AB D B CD AC Q Q Q Q ===,得V 4==AB ACABAC U C C U V 6==AB CDABCD U C C U V 2==AB DBABDB U C C U 10-17 如图,有一个空气平板电容器,极板面积为S ,间距为d .现将该电容器接在端电压为U 的电源上充电,当(1) 充足电后;(2) 然后平行插入一块面积相同、厚度为δ(δ <d )、相对电容率为εr 的电介质板;(3) 将上述电介质换为同样大小的导体板.分别求电容器的电容C ,极板上的电荷Q 和极板间的电场强度E .题 10-17 图分析 电源对电容器充电,电容器极板间的电势差等于电源端电压U .插入电介质后,由于介质界面出现极化电荷,极化电荷在介质中激发的电场与原电容器极板上自由电荷激发的电场方向相反,介质内的电场减弱.由于极板间的距离d 不变,因而与电源相接的导体极板将会从电源获得电荷,以维持电势差不变,并有()δSεεQ δd S εQU r 00+-=相类似的原因,在平板电容器极板之间,若平行地插入一块导体板,由于极板上的自由电荷和插入导体板上的感应电荷在导体板内激发的电场相互抵消,与电源相接的导体极板将会从电源获得电荷,使间隙中的电场E 增强,以维持两极板间的电势差不变,并有()δd SεQU -=0 综上所述,接上电源的平板电容器,插入介质或导体后,极板上的自由电荷 均会增加,而电势差保持不变. 解 (1) 空气平板电容器的电容dSεC 00=充电后,极板上的电荷和极板间的电场强度为U dS εQ 00=d U E /0=(2) 插入电介质后,电容器的电容C 1 为()()δd εδS εεδS εεQ δd SεQ Q C r r r -+=⎥⎦⎤⎢⎣⎡+-=0001/ 故有()δd εδSUεεU C C r r -+==011介质内电场强度()δd εδUS εεQ E r r -+=='011空气中电场强度()δd εδUεS εQ E r r -+==011 (3) 插入导体达到静电平衡后,导体为等势体,其电容和极板上的电荷分别为δd SεC -=02 U δd S εQ -=02导体中电场强度 02='E 空气中电场强度δd UE -=2 无论是插入介质还是插入导体,由于电容器的导体极板与电源相连,在维持电势差不变的同时都从电源获得了电荷,自由电荷分布的变化同样使得介质内的电场强度不再等于E 0/εr.10-18 为了实时检测纺织品、纸张等材料的厚度(待测材料可视作相对电容率为εr 的电介质),通常在生产流水线上设置如图所示的传感装置,其中A ,B 为平板电容器的导体极板,d 0 为两极板间的距离.试说明检测原理,并推出直接测量量电容C 与间接测量量厚度d 之间的函数关系.如果要检测钢板等金属材料的厚度,结果又将如何?题 10-18 图分析 导体极板A 、B 和待测物体构成一有介质的平板电容器,关于电容C 与材料的厚度的关系,可参见题10-17 的分析. 解 由分析可知,该装置的电容为()d d d SC r r -+=00εεε 则介质的厚度为()()C εSεεd εεC εS εεC d εd r rr r r r r 1110000---=--=如果待测材料是金属导体,其等效电容为dd SεC -=00导体材料的厚度CSεd d 00=-= 实时地测量A 、B 间的电容量C ,根据上述关系式就可以间接地测出材料的厚度.通常智能化的仪表可以实时地显示出待测材料的厚度.10-19 有一电容为0.50 μF 的平行平板电容器,两极板间被厚度为0.01 mm 的聚四氟乙烯薄膜所隔开,(1) 求该电容器的额定电压;(2) 求电容器存贮的最大能量. 分析 通过查表可知聚四氟乙烯的击穿电场强度E b =1.9 ×107 V /m ,电容器中的电场强度E ≤E b ,由此可以求得电容器的最大电势差和电容器存贮的最大能量. 解 (1) 电容器两极板间的电势差V 190b max ==d E U(2) 电容器存贮的最大能量J 1003.92132max e -⨯=CU W10-20 半径为0.10 cm 的长直导线,外面套有内半径为1.0 cm 的共轴导体圆筒,导线与圆筒间为空气.略去边缘效应,求:(1) 导线表面最大电荷面密度;(2) 沿轴线单位长度的最大电场能量.分析 如果设长直导线上单位长度所带电荷为λ,导线表面附近的电场强度0π2εζR ελE ==查表可以得知空气的击穿电场强度E b =3.0 ×106(V /m ),只有当空气中的电场强度E ≤E b 空气才不会被击穿,由于在导线表面附近电场强度最大,因而可以求出ζ的极限值.再求得电场能量密度,并通过同轴圆柱形体元内电场能量的积分求得单位长度的最大电场强度.解 (1) 导线表面最大电荷面密度250max m C 1066.2--⋅⨯==b E εζ显然导线表面最大电荷面密度与导线半径无关.(2) 由上述分析得b E R ελ10max π2=,此时导线与圆筒之间各点的电场强度为()1210m π2R r R rR r E <<==ελ0=E (其他)222102m 0m 2121rE R E w b εε==沿轴线单位长度的最大电场能量r rER r r w W R Rb d 1πd π2212210m ⎰⎰⎰⎰Ω=⋅=ε 14122210mm J 1076.5lnπ--⋅⨯==R R E R W b ε 10-21 一空气平板电容器,空气层厚1.5 cm ,两极间电压为40 k V ,该电容器会被击穿吗? 现将一厚度为0.30 cm 的玻璃板插入此电容器,并与两极平行,若该玻璃的相对电容率为7.0,击穿电场强度为10 MV· m -1.则此时电容器会被击穿吗?分析 在未插入玻璃板时,不难求出空气中的电场强度小于空气的击穿电场强度,电容器不会被击穿.插入玻璃后,由习题10-17 可知,若电容器与电源相连,则极板间的电势差维持不变,电容器将会从电源获取电荷.此时空气间隙中的电场强度将会增大.若它大于空气的击穿电场强度,则电容器的空气层将首先被击穿.此时40 k V 电压全部加在玻璃板两侧,玻璃内的电场强度如也大于玻璃击穿电场强度的值,则玻璃也将被击穿.整个电容器被击穿.解 未插入玻璃时,电容器内的电场强度为16m V 107.2/-⋅⨯==d U E因空气的击穿电场强度16m V 100.3-⋅⨯=b E ,b E E <,故电容器不会被击穿. 插入玻璃后,由习题6 -26 可知,空气间隙中的电场强度()16m V 102.3-⋅⨯=+-=δδd εVεE r r此时,因b E E > ,空气层被击穿,击穿后40 k V 电压全部加在玻璃板两侧,此时玻璃板内的电场强度17m V 103.1/-⋅⨯==δV E由于玻璃的击穿电场强度1bm MV 10-⋅='E ,b E E '> ,故玻璃也将相继被击穿,电容器完全被击穿.10-22 某介质的相对电容率 2.8r ε=,击穿电场强度为611810V m -⨯⋅ ,如果用它来作平板电容器的电介质,要制作电容为0.047 μF ,而耐压为4.0 k V 的电容器,它的极板面积至少要多大. 解 介质内电场强度16m V 1018-⋅⨯=≤b E E电容耐压U m =4.0 k V ,因而电容器极板间最小距离m 1022.2/4-⨯==b m E U d要制作电容为0.047 μF 的平板电容器,其极板面积210m 42.0==εεCdS 显然,这么大的面积平铺开来所占据的空间太大了,通常将平板电容器卷叠成筒状后再封装. 10-23 一平行板空气电容器,极板面积为S ,极板间距为d ,充电至带电Q 后与电源断开,然后用外力缓缓地把两极板间距拉开到2d .求:(1) 电容器能量的改变;(2) 此过程中外力所作的功,并讨论此过程中的功能转换关系.分析 在将电容器两极板拉开的过程中,由于导体极板上的电荷保持不变,极板间的电场强度亦不变,但电场所占有的空间增大,系统总的电场能量增加了.根据功能原理,所增加的能量应该等于拉开过程中外力克服两极板间的静电引力所作的功. 解 (1) 极板间的电场为均匀场,且电场强度保持不变,因此,电场的能量密度为20220221SεQ E εw e == 在外力作用下极板间距从d 被拉开到2d ,电场占有空间的体积,也由V 增加到2V ,此时电场能量增加SεdQ V w W e e 022ΔΔ== (2) 两导体极板带等量异号电荷,外力F 将其缓缓拉开时,应有F =-F e ,则外力所作的功为SεdQ QEd 02e 2ΔA ==⋅-=r F 外力克服静电引力所作的功等于静电场能量的增加.。