牛顿环实验数据处理方法
- 格式:pdf
- 大小:945.90 KB
- 文档页数:2
牛顿环测透镜曲率半径的数据处理
牛顿环测透镜曲率半径,也称为光学数据处理,是一种应用于光学测量的数学处理方法,它是一种使用光学测量技术快速检测三维曲面几何体曲率半径的方法。
这种方法是将物体曲面点映射到一个二维曲率半径,用来测量两个点之间的实际曲率半径。
牛顿环是一种用于测量曲率半径的数据处理方法。
它的基本原理是:通过计算机软件对采集的表面像素进行曲率半径分析,计算曲率半径,然后将曲率半径分析结果显示在屏幕上,以便进行判断和综合研究。
牛顿环测透镜曲率半径的数据处理有多种优势。
它在数据处理速度上要比传统的光学测量技术快得多,而且还可以提供更精确的结果。
此外,这种方法也可以提供一个无缝的数据处理流程,简化了数据处理所需的工作及时间。
牛顿环测透镜曲率半径的数据处理方法在互联网领域有广泛应用,可以帮助我们更好地为网络和终端用户提供精确的三维信息处理服务,可以帮助客户更快更有效地了解虚拟世界的客观现实。
牛顿环测透镜曲率半径的数据处理优点众多,其在准确性及效率上优于传统方法,在简化操作过程及减少操作时间上也得到了很大的改善,使操作变得更加简便和快捷。
牛顿环测透镜曲率半径的数据处理对互联网数据处理技术有着重要意义,可以使我们更好地掌握客观现实,更好地为社会用户提供服务。
牛顿环实验的原理与方法实现精确测量牛顿环实验是一种旨在测量光学元件厚度的经典实验方法。
它基于光的干涉现象,利用干涉环的形成和干涉条纹的展示来进行精确测量。
本文将介绍牛顿环实验的原理以及方法来实现精确的测量。
一、牛顿环实验的原理牛顿环实验依赖于菲涅尔双折射原理和干涉现象。
当光线从一个折射率较大的介质射入一个折射率较小的介质时,会发生折射和反射。
而在这个过程中,光的波前会发生相位差的变化。
当两束光线重新相交时,由于相位差的变化,会形成干涉条纹。
在牛顿环实验中,使用空气和玻璃片构成一个薄凸透镜。
当平行光通过这个薄透镜时,玻璃片上会形成一系列的干涉圆环,这就是牛顿环。
干涉环的半径与光的波长、波前曲率半径以及玻璃片的厚度有关。
通过测量干涉环的半径,可以计算出玻璃片的厚度。
二、牛顿环实验的方法实现精确测量1. 实验准备:a. 准备一块光学平行玻璃片和一个白光光源。
b. 调整光源位置,确保光线垂直射入玻璃片。
c. 在观察区域准备一块干净的白纸作为接收屏。
2. 实验步骤:a. 将玻璃片放在白纸上,并将光源置于适当的位置,使得光线通过玻璃片。
b. 在白纸上观察干涉环的形成。
可以调整光源位置来改变干涉环的清晰程度。
c. 选取一个明亮而清晰的干涉环,使用显微镜进行观察,并测量干涉环的半径。
可以使用标尺或显微镜自带的目镜测量刻度来进行精确测量。
d. 重复测量多组干涉环的半径,以减小误差。
3. 数据处理:a. 记录不同干涉环半径的测量值。
b. 对测量值进行平均,得到较为精确的玻璃片厚度。
通过以上步骤,我们可以利用牛顿环实验来精确测量光学元件的厚度。
当然,在实际操作中还需注意以下几点:- 保持实验环境的稳定,避免震动和空气流动对实验结果的影响。
- 在测量过程中,需要使用高精度的测量仪器,如显微镜和标尺,以提高测量的准确度。
- 需要多次重复测量,以获得更为可靠的结果。
可以计算平均值并计算标准偏差,以评估测量的准确性和精确度。
牛顿环实验的三种数据处理方法牛顿环实验是一种经典的光学实验,用以研究通过透明物体和反射物体的光线的干涉和衍射现象。
该实验的一个主要应用是测量透明物体(例如薄片、玻璃等)的平均厚度。
在本文中,我们将介绍三种常用的牛顿环实验数据处理方法。
一、牛顿环实验牛顿环实验要求我们将一块平面玻璃与一个精细的凸透镜放在表面上,以使表面之间形成空气层,创造出明亮的光环。
在这个实验中,光源通常是一个点光源,如一束激光。
这些光线穿过透明物体并反射出来,会在形成的空气层和玻璃表面之间形成交替的明暗圆环,如下图所示。
二、实验数据处理利用牛顿环实验可以计算出透明物体的平均厚度。
每个圆环的半径取决于透明物体与透镜的距离。
当两个表面之间的距离相等时,圆环的直径会达到最大值,称为牛顿环的原始半径。
为了计算透明物体的厚度,我们需要测量每个牛顿环的半径。
对此,有以下三种常用的方法。
1.目视法在目视法中,实验者根据每个圆环的大小,用手把玻璃微调调整,直到每个圆环看起来相同大小。
然后,测量两个相邻圆环之间的距离,并使用公式计算每个圆环的半径。
这种方法需要一定的专业知识和经验,虽然它是最原始和直接的,但可能不太准确。
2.显微镜法显微镜法是一种更高精确度的方法。
这种方法通过将透明物体放在显微镜上,并调整透镜,使得它在使用调焦器时透明物体的焦点变得清晰可见。
然后,可以使用外部调节器测量每个圆环的半径,并使用公式计算透明物体的厚度。
3.自动测量法随着现代技术的发展,自动测量法已经成为一种可行的数据处理选择。
在这种方法中,可以使用一台专门测量牛顿环的设备,并通过计算机程序进行测量和数据处理。
这种方法最准确、最易于使用,但需要特殊的设备和软件。
三、结论牛顿环实验是一种经典的光学实验,用于测量透明物体的厚度。
在数据处理中,有三种不同的方法:目视法、显微镜法和自动测量法。
目视法是最原始的方法,但可能不太准确。
显微镜法能够获得更高的精度,但需要一个显微镜等特殊的设备。
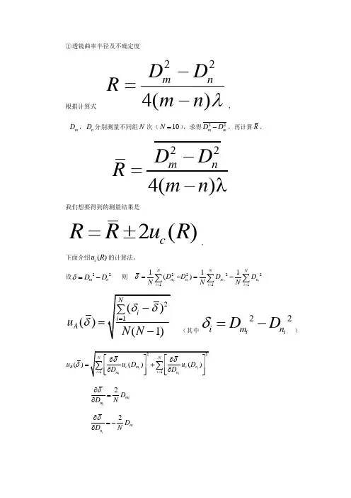
① 透镜曲率半径及不确定度根据计算式224()m nD DR m n λ-=-,m D ,n D 分别测量不同组N 次(10N =),求得22m mD D -,再计算R ,224()m nD DR m n -=-λ我们想要得到的测量结果是2()c R R u R =±,下面介绍()c u R 的计算法。
设22m n D D δ=- 则 2222111111()i i i i N N N m n m n i i i D D D D N N N δ====-=-∑∑∑()A u δ=(其中22iii m nD D δ=-)()B u δ=2i mi m D D N δ∂=∂ 2i ni n D D Nδ∂=-∂由显微镜的测量准确度可得()()()i i c m c n c u D u D u D ===mm (0.01A =mm ) 于是2()()B c u D δ== 而()c u δ=如果怱略λ的误差,则()()4()c c u u R m n δλ=-②纸片厚度及不确定度()c u HH E ==()c H u H H E =⋅=测式中L 、l 都为单次测量,()/c u L =,/c u l =(),A 为仪器的最大允许误差,取读数显微镜的一个分度值,且视为均匀分布。
n 为测量l所用条纹数。
()c u R 和可近似看作正态分布,而()c u H 更接近均匀分布。
因此,R 的扩展不确定度95()2()c U R u R =,H 的扩展不确定度95()()c U H H ≈。
结果表示为透镜曲率半径95()R R R U R E =±=纸片厚度95()H H H U H E =±=测。
等厚干涉牛顿环实验报告数据处理等厚干涉牛顿环实验报告数据处理1. 引言等厚干涉牛顿环实验是光学实验中常见的一种实验方法,通过观察光的干涉现象来研究光的性质。
在这个实验中,我们通过使用等倾干涉仪,观察到一系列的干涉圆环。
本报告将详细介绍数据处理过程以及从实验中得出的结论。
2. 实验方法2.1 准备工作在进行实验之前,我们需要准备一台等倾干涉仪以及一台显微镜。
我们将干涉仪放置在实验台上,并确保其调节好水平。
此外,我们也需要一盒含有波长为546nm的绿光滤光片。
2.2 实验步骤(1) 调节光源: 首先,我们会使用黑白干涉仪,调节光源,使其尽可能的亮。
确保光线的入射角为45度。
(2) 安装滤光片: 在干涉仪的透镜后面插入绿光滤光片。
(3) 调节显微镜: 使用显微镜,将其中一眼调节到最清晰的焦平面。
(4) 观察干涉图像: 通过调节显微镜的焦距,观察到一系列的圆环。
我们将拍摄每一个圆环的直径,并记录其观察到的次数。
3. 数据处理3.1 数据记录我们使用尺子或显微镜目镜的刻度标定每个圆环的直径。
然后,我们将直径与观察到的次数一一对应,以便后续的数据处理。
3.2 数据处理方法根据物体与目镜之间的距离关系,可以得到测得的圆环直径d与真实圆环半径R的关系式:d = 2Rtanθ其中,θ为物体与目镜的角度。
为了使数据处理更加准确,我们需要对θ进行校正。
我们可以使用标准样品来进行校准。
首先,我们选择一个知名的样品,比如一根细丝,或者一个精确制作的薄片,用它替换我们的样品。
通过测量标准样品的圆环直径,并对比已知的半径,我们可以得到校准因子K。
经过校准,我们就可以得到实际的圆环半径R。
接下来,我们可以根据实际圆环半径R和观察到的次数n,来计算每个圆环的空间角度Δθ和角度差Δθ的平方。
4. 结论通过实验数据处理,我们得到了一系列的角度差Δθ的平方。
根据等厚干涉牛顿环实验原理,我们可以使用这些数据来研究光的干涉现象以及光的性质。
牛顿环实验报告数据处理牛顿环实验报告数据处理引言:牛顿环实验是一种经典的光学实验,通过观察干涉圆环的直径变化,可以测量出透明薄片的厚度。
本文将对牛顿环实验中的数据进行处理和分析,以得出准确的厚度数值。
实验步骤:1. 实验准备:将透明薄片放置在平坦的玻璃片上,确保两者之间没有气泡或异物。
2. 实验装置:使用一台干涉仪,将光源置于一侧,将目镜调整到合适的位置。
3. 观察干涉圆环:通过目镜观察干涉圆环的形状和颜色,并记录下每个干涉圆环的直径。
数据处理:1. 数据记录:将观察到的干涉圆环的直径记录下来,可以使用一张纸或电子表格进行记录。
2. 干涉圆环的半径计算:将每个干涉圆环的直径除以2,得到相应的半径数值。
3. 干涉圆环半径的平均值计算:将所有干涉圆环的半径数值相加,然后除以观察到的总干涉圆环数量,得到平均值。
4. 干涉圆环半径的标准差计算:对于每个干涉圆环的半径数值,计算与平均值的差值的平方,然后将所有差值的平方相加。
将得到的和除以观察到的总干涉圆环数量,再开平方根,即可得到标准差。
结果分析:1. 平均值的意义:平均值代表了干涉圆环的平均半径大小,通过与已知的标准值进行比较,可以得出透明薄片的厚度。
2. 标准差的意义:标准差代表了干涉圆环半径数据的离散程度,标准差越小,说明实验数据的准确性越高。
3. 异常值的处理:如果在数据处理过程中发现某个干涉圆环的半径与其他数据相差较大,可能是由于实验误差或其他因素导致的。
可以将该数据排除在外,重新计算平均值和标准差。
结论:通过对牛顿环实验数据的处理和分析,我们可以得出透明薄片的厚度数值,并评估实验数据的准确性。
在实际应用中,可以通过不同厚度的透明薄片进行多次实验,以提高数据的可靠性和准确性。
牛顿环实验是一种简单而有效的方法,用于测量透明薄片的厚度,对于光学研究和应用具有重要意义。
⽤⽜顿环测量透镜的曲率半径(附数据处理)007⼤学实验报告评分:课程:学期:指导⽼师:007年级专业:学号:姓名:习惯⼀个⼈007实验3-11 ⽤⽜顿环测量透镜的曲率半径⼀. 实验⽬的1.进⼀步熟悉移测显微镜使⽤,观察⽜顿环的条纹特征。
2.利⽤等厚⼲涉测量平凸透镜曲率半径。
3. 学习⽤逐差法处理实验数据的⽅法。
⼆.实验仪器⽜顿环仪,移测显微镜,低压钠灯三.实验原理⽜顿环装置是由⼀块曲率半径较⼤的平凸玻璃透镜,以其凸⾯放在⼀块光学玻璃平板(平晶)上构成的,如图1所⽰。
平凸透镜的凸⾯与玻璃平板之间的空⽓层厚度从中⼼到边缘逐渐增加,若以平⾏单⾊光垂直照射到⽜顿环上,则经空⽓层上、下表⾯反射的⼆光束存在光程差,它们在平凸透镜的凸⾯相遇后,将发⽣⼲涉。
从透镜上看到的⼲涉花样是以玻璃接触点为中⼼的⼀系列明暗相间的圆环(如图2所⽰),称为⽜顿环。
由于同⼀⼲涉环上各处的空⽓层厚度是相同的,因此它属于等厚⼲涉。
由图1可见,如设透镜的曲率半径为R,与接触点O相距为r处空⽓层的厚度为d,其⼏何关系式为:由于R>>d,可以略去d2得(3-11-1)光线应是垂直⼊射的,计算光程差时还要考虑光波在平玻璃板上反射会有半波损失,从⽽带来 /2的附加程差,所以总程差为产⽣暗环的条件是:其中k=0,1,2,3,...为⼲涉暗条纹的级数。
综合(23-1)、(23-2)和(23-3)式可得第k级暗环的半径为:(3-11-2)由(4)式可知,如果单⾊光源的波长已知,测出第m级的暗环半径rm ,即可得出平凸透镜的曲率半径R;反之,如果R已知,测出rm 后,就可计算出⼊射单⾊光波的波长。
但是⽤此测量关系式往往误差很⼤,原因在于凸⾯和平⾯不可能是理想的点接触;接触压⼒会引起局部形变,使接触处成为⼀个圆形平⾯,⼲涉环中⼼为⼀暗斑。
或者空⽓间隙层中有了尘埃,附加了光程差,⼲涉环中⼼为⼀亮(或暗)斑,均⽆法确定环的⼏何中⼼。
实际测量时,我们可以通过测量距中⼼较远的两个暗环的半径rm 和rn 的平⽅差来计算曲率半径R。
【word】对牛顿环实验的数据处理及不确定度评定对牛顿环实验的数据处理及不确定度评定第33卷第2期延边大学(自然科学版)2007年6月JournalofYanbianUniversity(NaturalScience)Vo1.33No.2June2007文章编号:1004—4353(2007)02—0105—04对牛顿环实验的数据处理及不确定度评定金逢锡,索建彪(延边大学理学院物理系,吉林延吉133002)摘要:介绍了在牛顿环实验的数据处理过程中,对等精度和不等精度的测量进行不确定度的计算方法.通过等精度测量的数据处理及不确定度的评定后,加权取平均法即可以解决非线性的不等精度的数据处理问题及进行不确定度的评定.关键词:等精度;不确定度;牛顿环;不等精度;干涉条纹中图分类号:04—33文献标识码:A牛顿环实验测量球面曲率半径是普通物理实验中最常见的实验之一.在实验中,人们讨论了多种数据处理的方法,如逐差法,最小二乘法,等精度测量的数据处理法,加权取平均法等等.除此之外,通过等精度测量的数据处理及不确定度的评定后加权取平均法亦是一种切实可行的数据处理方法.以下我们用此方法讨论牛顿环实验的数据处理及不确定度的评定.1实验原理牛顿环装置是由一块曲率半径较大的平凸玻璃透镜,以其凸面放在一块光学玻璃平板(平晶)上构成的,如图1所示.平凸透镜的凸面与玻璃平板之间的空气层厚度从中心到边缘逐渐增加,若以平行单色光垂直照射到牛顿环上,则经空气层上,下表面反射的两光束存在光程差,它们在平凸透镜的凸面相遇后,将发生干涉.从透镜上看到的干涉花样是以玻璃接触点为中心的一系列明暗相间的圆环(如图2所示),称为牛顿环llj.牛顿环第级暗环的半}\}llilj尺tl\\\<,r///,….1一d‘…_f图1牛顿环装置图2牛顿环径为厂2=R,可知,如果单色光源的波长已知,测出第级的暗环半径厂,即可得出平凸透镜的曲率半径R;反之,如果R已知,测出r后,就可计算出入射单色光波的波长.但是用此测量关系式往往误差很大,原因在于凸面和平面不可能是理想的点接触,接触压力会引起局部形变,使接触处成为一个圆形平面,干涉环中心为一暗斑,或者空气间隙层中有了尘埃,附加了光程差,干涉环中心为一亮(或暗)斑,这些均无法确定环的几何中心.实际收稿日期:2006—10—17作者简介:金逢锡(1963一),男(朝鲜族),吉林延吉人,副教授,研究方向为光信息106延边大学(自然科学版)第33卷测量时,我们可以通过测量距中心较远的两个暗环的半径r和的平方差来计算曲率半径R.因为r2=mR2,r2=nR2,两式相减可得r一r2=R(m一),所以R=或R=.由上式可知,只要测出.与.(分别为第与第条暗环的直径)的值,就能算出R或.2等精度的测量及数据处理测量干涉条纹的暗环直径采取等精度的测量,即测第k环和k+m环的直径,要求k取16,17,18,19,20,m取1O.在测这1O个环的直径时,至少要重复测量5次以上,测量数据见表1.所测数据分别代入公式:,:1,2,3,4,5,可分别算出5组等精度测量的透镜的平均曲率半径,计算结果见表2.表1各牛顿环直径的原始测量数据mm次数m+k左右D+k左右DkD…一D2130.29.10021.0178.0832028.40021.7086.69220.52223029.10121.0128.0892028.40321.7116.69220.64933029.10221.0158.0872028.40221.7126.69020.64343029.10221.0148.0892028.40221.7156.68720.71653029.10321.0198.0812028.40121.7136.68820.57312929.03821.0757.9631928.31721.7886.52920.78222929.03721.0807.9571928.31821.7916.52720.71232929.04021.0777.9631928.31321.7896.52420.84742929.04221.0817.9611928.32121.7856.53620.65852929.03921.0827.9571928.32021.7926.52820.69912828.97221.1407.8321828.23821.8646.37420.71222828.97921.1377.8421828.24221.8696.37320.88232828.97821.1467.8321828.23921.8736.36620.814.42828.97921.1527.8271828.24121.8716.37020.68552828.97021.1477.8291828.24021.8736.36720.75512728.90821.2127.6961728.15321.9506.20320.75122728.90921.2157.6941728.15121.9596.19220.85732728.91021.2177.6921728.16121.9566.20320.69042728.97221.2187.6951728.16221.9596.20220.74852728.90621.2197.6871728.15921.9616.20120.63812628.84121.2787.5631628.06122.0396.02220.93422628.83721.2797.5581628.06922.0426.02720.79932628.84221.2807.5621628.07222.0436.02920.83542628.84521.2857.5601628.07322.0496.02420.86552628.83921.2847.5551628.07222.0466.02620.7653等精度测量的不确定度的评定3.1标准A类不确定度的评定第2期金逢锡,等:对牛顿环实验的数据处理及不确定度评定107根据被测量的平均值的标准偏差,可得所测每一干涉暗环的A类标准不确定度的评定:S(D)=或S(D+)=A(D)=t0.683S(D)或A(D+)=t0.683S(D+).t0.683为与测量的次数有关的比例系数[](当7z=5时,t0.683=1.114),计算结果见表3.3.2标准B类不确定度的评定一般情况下,物理实验中的B类不确定度采用均匀分布,即B=?/?3,?为移测显微镜的极限误差,由此可得本实验所测的每一环直径的B类不确定度:B(D16):B(D17):…:B(D3.):会::0.00289mm.’?jj3.3合成标准不确定度根据所估算出的A类和B类标准的不确定度,可合成所测每一干涉条纹直径的标准不确定度:c(D):?(D)+(D)或c(D+)=?(D+)+?(D+),计算结果见表3.由于各干涉条纹直径是相互独立的,所以可分别得到各组平均曲率半径的不确定度c(R1)=R1『2D16,,].『2D26,r,,].『尘1:In,一n,Ckg16I十In,一n,”c\L126I【.J(R2/I2D,7]2+[D27)]+其中DD+卅,D+一D;均采用平均值.此时所测5组透镜的平均曲率半径可分别表示为1?ttC(1),…,一R5?ttC(5),P=0.683,它们分别为等精度测量的结果,数据记录见表2所示.表2各个环的半径及不确定度的计算结果mm表3各个环的直径及不确定度的计算结果mm108延边大学(自然科学版)第33卷4,非等精度测量的数据处理及不确定度的评定从牛顿环实验的干涉条纹第k级暗环半径公式=?kRA可知,除零级暗环外,各环的直径D的关系为D】:D2:D3_..?=1:?2:?3_..?.随着干涉条纹级数k的增大,干涉条纹变密,因此该测量是非线性的不等精度测量,直接用逐差法处理数据解决不了不等精度测量问题,也就不能进行不确定度的评定l2J.若通过等精度测量的数据处理及不确定度的评定后加权取平均法,即可以解决非线性的不等精度测量数据处理及进行不确定度的评定.由于R1,R2,R3,R4,R5为非等精度测量的结果,假设其权分别为P1,P2,P3,P4,P5且一R与P成反比[,则有P=,其中i=1,2,…,5,N为比例常数,所测透镜的平均曲U-cL55厂了———?_率半径__P?i=1880?086mm,不确定度)_1/?志316mm,测量结果为R?Uc(R)=880.086?1.316mm(P=0.683),若用Uc表示扩展不确定度,则Uc=kuc(R)=2.632mm(k=2时,P=0.95)l5J.5结束语采用此方法处理数据及进行不确定度的评定,解决了非线性的不等精度测量问题,所以它更具合理性和适用性,它既可适用于牛顿环测量透镜的曲率半径的实验,也可适用于牛顿环测液体折射率的实验,但目前用此方法处理数据的缺点是测量数据多且计算比较繁琐.如果能利用计算软件,将实验数据处理得到简化,那么就会节省整个实验时间,提高工作效率.参考文献:[1]任隆良,谷晋骐.物理实验[M].天津:天津大学出版社,2003:3-6.[2]虞仲博,屠全良.牛顿环实验等精度测量及其不确定度的评定与表示[J].物理实验,2000,20(5):17.19[3]刘才明大学物理实验中测量不确定度的评定与表示[J].大学物理,1997,16(8):21.23.[4]杨述武.普通物理实验(电磁学部分)[M].北京:高等教育出版社,2000:2.5.[5]刘智敏.不确定度与分布合成[J].物理实验,1999,19(5):58.6O.DataProcessingandEvaluationofUncertaintyDegreeintheExperimen tofNewton’SRingsJINFeng—xi,SUOJian—biao(DepartmentofPhysics,CollegeofScience,YanbianUniversity,YanjiJilin13 3002,China)Abstract:Computingmethodofuncertaintydegreeforthedataofequalprecisio nmeasurementintheexperi—mentofNewton’Sringsisintroduced.Andthe problemofunequalprecisiondata anduncertaintydegreeevaluationissolvedbythemethodthroughweightedmean.Keywords:equalprecision;degreeofuncertainty;Newton’Srings;unequalpr ecision;interferencefringe。
用牛顿环测透镜曲率半径的数据处理方法步超100104103 机械工程及自动化摘要:牛顿环实验是大学物理实验中非常重要的实验,以单色平行光投射到牛顿环装置上,则由空气膜上下表面反射的光波将互相干涉,形成的干涉条纹为博的等厚各点的轨迹,这种干涉是一种等厚干涉。
处理该实验的测量数据常采用逐差法,最小二乘法,加权平均以及其它方法。
通过介绍用逐差法、线性回归法、加权平均法处理牛顿环测透镜曲率半径数据的方法和过程。
比较三种实验数据处理方法的优缺点,其中加权平均法既考虑了如何克服实验的系统误差, 又能按照处理原则去对待非等精度测量, 且建立在数理统计理论基础上。
该方法主要是比较相应的权, 进而求出加权平均值, 得出加权平均法为牛顿环实验数据处理的最佳方法,但加权平均法中要计算的数据较多,公式较多,较传统的方法要复杂的多。
故探讨如何简化加权平均法,利用Matlab 软件进行处理。
关键字:牛顿环实验、加权平均法、非等精度实验数据的处理、干涉条纹、加权平均值英文译文:Buchao 100104103 Mechanical engineering and automationNewton rings experiment is university physics experiment is very important experiment, deal with the experimentThe test data of the long through "gradual deduction method, the least square method, and the weighted average, and other methods. Through the detailed introduction is used by differential method, linear regression method, the weighted average method to deal with Newton ring the lens curvature radius the method and process of data. Compare three kind of experiment data processing and the advantages and disadvantages of the methods, of which the weighted average method takes into account both the how to overcome the experiment system error, and can according to principles of management to treat the measurement precision, and established in the mathematical statistics theory basis. This method is mainly to compare the corresponding rights, and seek the weighted average, draw the weighted average method for Newton rings experiment data processing the best method, but the weighted average method to compute the data in the more, the formula is more, more traditional method is more complicated. Discusses how to simplify the weighted average method, use of Matlab software for processing.Key word: of Newton ring's experiments, weighted average method, the accuracy of experimental data processing, the interference fringes,weighted average引言:牛顿环是牛顿在1675 年所做的著名实验。
牛顿环实验数据处理分析一、引言牛顿环实验是光学实验中的经典内容,主要用于研究光的干涉现象以及波动性质。
通过此实验,我们可以深入理解波的叠加原理,验证光的波动性质,并探究光学元件的表面质量对光学现象的影响。
本文将详细阐述牛顿环实验的数据处理和分析方法。
二、实验原理牛顿环实验利用了光的干涉现象。
当两束光波叠加时,如果它们的相位差是2nπ(n为整数),则它们相互增强,形成明亮的干涉条纹;如果相位差是(2n+1)π,则它们相互抵消,形成暗的干涉条纹。
在牛顿环实验中,入射光被分成两束,分别反射和透射于光学元件的表面,然后再重新组合。
三、数据处理方法在进行牛顿环实验后,我们收集了一系列数据,包括每个环的半径、明暗条纹的数量、背景光的强度等。
以下是我们进行数据处理的主要步骤:1、数据清洗:去除异常值和重复值,确保数据的质量和准确性。
2、数据整理:将数据整理成适合进一步分析的格式,如制作表格或绘制图形。
3、数据可视化:利用图表将数据可视化,如条形图、饼图、散点图等,以便更直观地观察和分析数据。
4、数据分析:通过计算平均值、标准差等统计指标,分析数据的分布特征和规律。
5、数据建模:建立数学模型,对数据进行拟合和预测,如使用回归分析、时间序列分析等方法。
6、结果呈现:将分析结果以图表和文字的形式呈现出来,便于理解和应用。
四、数据分析结果通过数据分析,我们可以得出以下1、随着实验的进行,牛顿环的半径逐渐增大,这是因为入射光的波长逐渐减小。
2、明暗条纹的数量逐渐增多,这表明光的干涉现象越来越明显。
3、背景光的强度基本保持不变,这表明实验过程中环境的温度和湿度等参数保持稳定。
4、通过对比实验前后的数据,我们可以发现光学元件的表面质量对干涉现象有明显影响。
表面质量越好,明暗条纹越清晰,干涉现象越明显。
五、结论与展望牛顿环实验是研究光的干涉现象的重要手段,通过对此实验的数据处理和分析,我们可以深入理解光的波动性质和光学元件的表面质量对光学现象的影响。
大物实验牛顿环实验报告一、实验目的1、观察等厚干涉现象——牛顿环。
2、掌握用牛顿环测量平凸透镜曲率半径的方法。
3、加深对光的波动性的认识。
二、实验原理将一块曲率半径较大的平凸透镜放在一块平面玻璃上,在透镜的凸面和玻璃的平面之间就会形成一个空气薄层。
当一束单色光垂直照射到这个装置上时,从空气薄层的上下表面反射的两束光将会产生干涉现象。
由于空气薄层的厚度在接触点处为零,而在离接触点较远的地方逐渐增加,所以在反射光中会形成一组以接触点为中心的明暗相间的同心圆环,即牛顿环。
设透镜的曲率半径为 R,入射光波长为λ,在牛顿环中第 m 个暗环处对应的空气薄层厚度为 dm,则有:\\begin{align}dm&=\frac{m\lambda}{2}\\\end{align}\又因为在平凸透镜与平面玻璃接触点处,空气薄层的厚度为零,而在离接触点较远的地方,空气薄层的厚度可以近似看作是一个球面的一部分。
设第 m 个暗环处对应的半径为 rm,则有:\\begin{align}r_m^2&=2R\times dm\\r_m^2&=mR\lambda\\\end{align}\因此,通过测量第 m 个暗环的半径 rm 和已知的入射光波长λ,就可以计算出透镜的曲率半径 R。
三、实验仪器1、牛顿环实验装置:包括钠光灯、平凸透镜、平面玻璃、读数显微镜等。
2、钠光灯:提供单色光源。
3、读数显微镜:用于测量牛顿环的直径。
四、实验步骤1、调节牛顿环实验装置将钠光灯放置在合适的位置,使光线能够垂直照射到牛顿环装置上。
调节平凸透镜和平面玻璃,使其接触良好,并且中心尽量重合。
2、观察牛顿环用眼睛直接观察牛顿环,调整装置的角度和位置,使牛顿环清晰可见。
3、测量牛顿环的直径将读数显微镜的目镜调焦,使十字叉丝清晰。
将显微镜对准牛顿环的中心,然后旋转鼓轮,从中心向外移动,依次测量第 10 到 20 个暗环的直径。
4、数据记录记录每个暗环的左右两侧的位置读数,分别计算出每个暗环的直径。
最小二乘法处理牛顿环数据最小二乘法是一种常用的数据处理方法,它在牛顿环数据的处理中发挥着重要的作用。
本文将从生动、全面和有指导意义的角度分别介绍最小二乘法、牛顿环以及两者的关系。
首先,让我们来了解一下最小二乘法。
最小二乘法是一种数学优化方法,用于寻找最适合一组数据的拟合函数或曲线。
其基本思想是通过最小化观测数据与拟合函数之间的残差平方和,来求解未知参数的最优解。
这种方法可以有效降低数据中存在的随机误差对最终结果的影响,从而提高数据处理的准确性。
接下来,让我们聚焦到牛顿环实验。
牛顿环是一种基于干涉现象的实验,通过观察干涉环的变化来研究光的性质。
实验中,将一块透明平板放置在凸透镜上,然后逆反射光向平板上投射。
由于光的干涉效应,投射到平板上的光将形成一系列由亮到暗的同心圆环,即牛顿环。
通过测量不同环的半径或直径,可以获得不同参数下光的相位差和波长等信息。
最小二乘法在牛顿环数据处理中发挥着重要的作用。
当我们测量到一系列牛顿环数据后,我们可以将其视为一组有序的数据点。
然后,通过应用最小二乘法,我们可以找到最佳的拟合圆或曲线,来表示牛顿环的特征。
这样,我们就可以利用最小二乘法得出牛顿环实验所需的关键参数,如半径、直径、相位差和波长等。
此外,最小二乘法还可以用于解决牛顿环实验中的其他问题。
例如,在实际测量中,可能会存在一些误差或噪声。
通过最小二乘法,我们可以通过拟合,降低这些误差对结果的影响。
同时,在牛顿环实验中,我们也会遇到多个参数的拟合问题。
最小二乘法可以帮助我们同时拟合多个参数,从而得到更准确的结果。
总结来说,最小二乘法在牛顿环数据处理中扮演着重要的角色。
通过最小化观测数据与拟合函数之间的残差平方和,它可以帮助我们找到最佳的拟合圆或曲线,从而获得准确的牛顿环参数。
同时,最小二乘法还可以解决测量误差和多参数拟合等问题。
因此,我们可以将最小二乘法作为一种有力的工具,来分析和处理牛顿环实验中的数据。
牛顿环实验数据处理
背景介绍
牛顿环实验是一种经典的光学实验,用于测量透明材料的厚度。
基本原理是利
用干涉条纹的位置变化来计算介质厚度。
在实验中,通过观察干涉条纹的位置和颜色变化,可以得到一系列数据。
实验数据采集
实验过程中,我们记录下了不同介质厚度下的干涉条纹位置和颜色数据。
数据
采集的过程需要精确的测量和记录,以确保数据的准确性和可靠性。
数据处理步骤
1.数据清洗:对采集到的数据进行初步清洗,去除异常值和错误数据。
2.数据分析:通过对数据进行分析,可以得到干涉条纹的位置和颜色
随介质厚度的变化规律。
3.曲线拟合:利用合适的数学模型对数据进行曲线拟合,以得到更准
确的厚度测量结果。
4.误差分析:对数据处理和测量过程中的可能存在的误差进行分析和
评估,以提高数据处理的准确性和可靠性。
实验结果讨论
通过对实验数据的处理和分析,我们得到了不同介质厚度下干涉条纹的位置和
颜色数据,并成功进行了数据处理。
我们将讨论实验结果的准确性和可靠性,以及数据处理过程中可能存在的误差来源和应对措施。
结论与展望
在本文中,我们介绍了牛顿环实验数据处理的基本步骤和方法,以及通过数据
处理得到的实验结果。
未来,我们将继续优化数据处理方法,提高实验测量的准确性和可靠性,为光学研究和应用提供更多有价值的数据支持。
以上是关于牛顿环实验数据处理的文档,希望能对您有所帮助。
牛顿环实验数据处理的最佳方法2006年3月第1l卷第2期西安邮电学院Mar.2006JOURNALOFXI‟ANUNIVERSITYOFPOSTANDTELFA2OMMUNI CA TIONSV ol,11No,2牛顿环实验数据处理的最佳方法滕坚,徐军华2(1.深圳职业技术学院.x-._lk中心,广东深圳518055;2.西安邮电学院应用数理系,陕西西安710061)摘要:比较牛顿环实验几种数据处理方法,提出了借助计算器进行线性回归处理牛顿环实验的数据是最佳方法.关键词:牛顿环;逐差法;加权平均法;线性回归中图分类号:04文献标识码:A文章编号:1007—3264(2006}02—0129—02用牛顿环测量球面的曲率半径是一个重要的基度,要求知道相关系数r:础物理实验,其测量原理是非常成熟的.而数据处一.理方法却有许多,例如:逐差法,加权平均法,线性回√一).(一)归法等等.笔者认为借助于具有线性回归功能的计比较公式(1)和公式(2)可知:算器进行线性回归处理是本实验的最佳数据处理方D一—旦一法.”一4一其测量的相对不确定度为:1用线性回归处理牛顿环实验数据的...,原理Ur(R)===根据牛顿环实验的基本原理,设第条暗纹的干涉级为(m+),则D=4R2(m+)(1)从上式中可以看到D与m成线性关系,只要测量得到各级m(自变量.27)所对应的D(应变量Y),用最小二乘法拟合线性函数(直线),得到:Y=A十/3z(2)式中A,B分别是线性函数的常数项和一次项系数.由(1)式可知,我们要确定R,只需要确定系数B即可,依据最小二乘法可得:n∑(?)一∑.∑—3)式中,z:z;Yf=D.为了检验直线拟合的好坏,确定测量的不确定(4)(5)(6)最小二乘法适用于非等精度测量的实验数据,而牛顿环实验测量是非等精度测量,若借助于具有线性回归功能的计算器,其运算过程相当简单,是一个值得推荐的最佳方法.2实验数据处理实例取文献中第一组单次测量数据,数据整理后如下表1:首先,用CASIOfx一3600pv计算器计算线性拟合系数,得n∑(?)一∑?∑—F册0一r:—三==x—y-—x—“—y===:0.999993609r:===…—————————————————‟====,————————一‟√z一)?(一)收稿日期:2005—12一O1作者简介:滕坚(1963一),女,陕西西安人,深圳职业技术学院工业中心物理实验室讲师.徐军华(1963一),女,湖南宁远人,西安邮电学院应用数理系工程师.130?西安邮电学院2006年3月表1第一组单次测量数据干涉环次16171819202627282930D/mm5..7635.9316.1026.2686.4277.3217.4587.5947.7337.868,33.09735.17737.23439.28841.30653.59755.62257.66959.79961.905 其次,用公式(5),(6)计算球面的曲率半径R及测量不确定度”(R):R=B=870.1mmR)=:==0.0013.….U(R)=0.0013×870.1=1.1mm最后可以将测量结果表示为:R=(870±2)mm3讨论与分析用线性回归的数据处理方法得到的实验测量结果与其它数据处理方法得到的结果基本相符.逐差法(未经加权平均处理,仅第一组数据):R=(871.5±5.2)mm逐差法[…](经加权平均处理):R=(868±2)mm线性回归(本文处理):R=(870±2)mm由数据处理理论可知,线性回归法是处理非等精度测量数据的,逐差法是处理等精度测量数据的, 若使用逐差法需要加权平均修正.而牛顿环实验属非等精度测量,当然使用线性回归法更为合理.从数据处理过程来看,逐差法的理论简单,可运算过程相当繁琐,若增加加权平均修正,其过程更为麻烦,而线性回归法的理论相对复杂,计算公式也不简单,可使用具有线性回归功能的计算器,却只是按几下键的问题,是非常实用和简单的.综上所述,笔者认为借助于计算器进行线性回归处理是本实验的最佳数据处理方法.参考文献[1]沈元华,陆申龙.基础物理实验[M].北京:高等教育出版社,2001.[2]曾晓英,杨昌虎等.大学物理实验[M].武汉:湖北科学技术出版社.2003.[3]吴泳华,霍剑青等.大学物理实验[M].北京:高等教育出版社,2001.[4]朱鹤年.测量不确定度表示指南ISO1993(E)的问题简析[J].物理实验,2001,(1):21.[5]朱鹤年.对实验误差与不确定度教学内容的新思考[J].物理实验,2003,(1):23.[6]徐桂芳.牛顿环实验数据处理的最佳方法[J].大学物理实验,1996,(3):9.[7]李珏璇.再谈牛顿环实验的数据处理及不确定度的评定[J].广西物理,2003,(2):24.[8]邹进和.应用”逐差法”处理实验数据[J].大学物理实验,2003,(3):16.[9]张望霞.对牛顿环实验中不等精度测量数据的处理[J].物理实验,1997,(3):17. TheoptimummethodofdataprocessingforNewton‟Sringexperiment TENGJian,XUJun—hua2(1.IndustrialCenter,ShenZhenPolytechnic,Shenzhen518055,China;2?DepartmentofAppliedMathematicsandPhysics,Xi‟anUniversityofPost an dteleoommunications,Xi‟a』1710061.China)Abstract:Inthispaper,wecomparesomedataprocessingmethodsofNewton‟sringexperiment.ItisprOpOsed thatlinearrecursiveanalysisistheoptimummethod.Keywords:Newton‟sring;interativedifferentialmethod;weightedaverage method;linearrecursiveanalysis雁。