信号与系统期末考试复习题及答案(共8套)
- 格式:doc
- 大小:6.19 MB
- 文档页数:68
试题一一.选择题(共 10 题, 20 分)j ( 2 ) n41、x[n]ej ( ) ne33,该序列是。
A.非周期序列B.周期 N 3C.周期 N 3 / 8D. 周期N 242、一连续时间系统 y(t)= x(sint) ,该系统是。
A. 因果时不变B.因果时变C.非因果时不变D.非因果时变3、一连续时间 LTI 系统的单位冲激响应 h(t) e 4tu(t2),该系统是 。
A.因果稳定B.因果不稳定C.非因果稳定D. 非因果不稳定 4、若周期信号 x[n] 是实信号和奇信号,则其傅立叶级数系数 a k是 。
A. 实且偶B.实且为奇C.纯虚且偶D. 纯虚且奇, | 2 , 则 x(t)5 、 一 信 号 x(t) 的 傅 立 叶 变 换 X ( j ) 1 | ,| 20 |为。
A. sin 2tB. sin 2tC. sin 4tD. sin 4t2tt4tt6 、 一 周 期 信 号 x(t)(t5n) , 其 傅 立 叶 变 换 X ( j)n为。
A. 2(2 k)B.5 ( 2 k552 k)k5C. 10(10 k)D.1(k)k10k107、一实信号 x[n] 的傅立叶变换为 X (e j) ,则 x[n] 奇部的傅立叶变 换为 。
A.j Re{ X (e j )}B. Re{ X (e j)}C. j Im{ X (e j )}D.Im{ X (e j )}8、一信号 x(t) 的最高频率为 500Hz ,则利用冲激串采样得到的采样信号 x(nT) 能唯一表示出原信号的最大采样周期为 。
A. 500B. 1000C. 0.05D. 0.0019、一信号 x(t) 的有理拉普拉斯共有两个极点 s=- 3 和 s=- 5,若 g(t ) e 4t x(t) , 其 傅 立 叶 变 换 G ( j ) 收 敛 , 则 x(t) 是 。
A. 左边B. 右边C. 双边D. 不确定10、一系统函数H (s) e s, 1,该系统是 。
1、 若系统的输入f (t)、输出y (t) 满足()3()4t y t e ft -=,则系统为 线性的 (线性的、非线性的)、 时变的 (时变的、时不变)、 稳定的 (稳定的、非稳定的)。
2、 非周期、连续时间信号具有 连续 、非周期频谱;周期、连续时间信号具有离散、非周期 频谱;非周期、离散时间信号具有 连续 、周期频谱;周期、离散时间信号具有离散、 周期 频谱。
3、 信号f(t)的占有频带为0-10KHz,被均匀采样后,能恢复原信号的最大采样周期为 5×10-5 s . 4、 )100()(2t Sa t f =是 能量信号 (功率信号、能量信号、既非功率亦非能量信号)。
5、 ()2cos()f t t =+是 功率信号 (功率信号、能量信号、既非功率亦非能量信号)。
6、 连续信号f(t)=sint 的周期T 0= 2π ,若对f(t)以fs=1Hz 进行取样,所得离散序列f(k)=sin(k) ,该离散序列是周期序列? 否 。
7、 周期信号2sin(/2)()j n tn n f t e n ππ+∞=-∞=∑,此信号的周期为 1s 、直流分量为 2/π 、频率为5Hz 的谐波分量的幅值为 2/5 。
8、 f (t) 的周期为0.1s 、傅立叶级数系数**03355532F F F F F j --=====、其余为0。
试写出此信号的时域表达式f (t) = 5 + 6 cos ( 60 π t ) - 4 sin (100 π t ) 。
9、 f (k) 为周期N=5的实数序列,若其傅立叶级数系数()205=F ()52511,πjeF -+=()54512πjeF -+=、 则F 5 (3 )= ()54512πjeF +=- 、F 5 (4 )= ()52511πj eF +=- 、F 5 (5 )= 2 ;f(k) =())1.7254cos(62.052)9.3552cos(62.152525140525︒-⨯+︒-⨯+=∑=k k e n F n k jn πππ。
电气《信号与系统》复习(fùxí)参考练习题一、单项选择题:14、已知连续(liánxù)时间信号则信号(xìnhào)所占有(zhànyǒu)的频带宽度为()A.400rad/s B。
200 rad/s C。
100 rad/s D。
50 rad/s 15、已知信号(xìnhào)如下图(a)所示,其反转(fǎn zhuǎn)右移的信号(xìnhào)f1(t) 是( d )16、已知信号(xìnhào)如下图所示,其表达式是()A、ε(t)+2ε(t-2)-ε(t-3)B、ε(t-1)+ε(t-2)-2ε(t-3)C、ε(t)+ε(t-2)-ε(t-3)D、ε(t-1)+ε(t-2)-ε(t-3)17、如图所示:f(t)为原始(yuánshǐ)信号,f1(t)为变换信号,则f1(t)的表达式是()A 、f(-t+1)B 、f(t+1)C 、f(-2t+1)D 、f(-t/2+1)18、若系统的冲激响应为h(t),输入信号(xìnhào)为f(t),系统的零状态响应是( c )19。
信号(x ình ào)与冲激函数之积为( )A 、2B 、2)2(-t δC 、3)2(-t δD 、5)2(-t δA 、因果(yīnguǒ)不稳定系统B 、非因果(yīnguǒ)稳定系统C 、因果稳定(wěndìng)系统D 、非因果不稳定系统21、线性时不变系统的冲激响应曲线如图所示,该系统微分方程的特征根是()A、常数B、实数C、复数D、实数+复数22、线性时不变系统零状态响应曲线如图所示,则系统的输入应当是()A、阶跃信号(xìnhào)B、正弦(zhèngxián)信号C、冲激(chōnɡ jī)信号 D、斜升信号(xìnhào)23. 积分(jīfēn)的结果为( )A B)(tf C. D.24. 卷积的结果为( )A. B. C. )(tf D.25. 零输入响应是( )A.全部自由响应B.部分自由响应C.部分零状态响应D.全响应与强迫响应之差2A、 B、 C、 D、127.信号〔ε(t)-ε(t-2)〕的拉氏变换的收敛域为 ( )A.Re[s]>0B.Re[s]>2C.全S平面D.不存在28.已知连续系统二阶微分方程的零输入响应的形式为,则其2个特征根为( )A。
第一章绪论1、选择题、f (5-2t )是如下运算的结果 CA 、 f (-2t )右移5B 、 f (-2t )左移5C 、 f (-2t )右移25 D 、 f (-2t )左移25、f (t 0-a t )是如下运算的结果 C 。
A 、f (-a t )右移t 0;B 、f (-a t )左移t 0 ;C 、f (-a t )右移a t 0;D 、f (-a t )左移at0 、已知 系统的激励e(t)与响应r(t)的关系为:)()()(t u t e t r = 则该系统为 B 。
A 、线性时不变系统;B 、线性时变系统;C 、非线性时不变系统;D 、非线性时变系统 、已知 系统的激励e(t)与响应r(t)的关系为:)()(2t e t r = 则该系统为 C 。
A 、线性时不变系统B 、线性时变系统C 、非线性时不变系统D 、非线性时变系统 、已知 系统的激励e(t)与响应r(t)的关系为:)1()(t e t r -= 则该系统为 B 。
A 、线性时不变系统B 、线性时变系统C 、非线性时不变系统D 、非线性时变系统、已知 系统的激励e(t)与响应r(t)的关系为:)2()(t e t r = 则该系统为 B A 、线性时不变系统 B 、线性时变系统 C 、非线性时不变系统 D 、非线性时变系统 .信号)34cos(3)(π+=t t x 的周期为 C 。
A 、π2 B 、π C 、2π D 、π2、信号)30cos()10cos(2)(t t t f -=的周期为: B 。
A 、15π B 、5π C 、π D 、10π、dt t t )2(2cos 33+⎰-δπ等于 B 。
、 若)(t x 是己录制声音的磁带,则下列表述错误的是: BA. )(t x -表示将此磁带倒转播放产生的信号B. )2(t x 表示将此磁带放音速度降低一半播放C. )(0t t x -表示将此磁带延迟0t 时间播放D. )(2t x 表示将磁带的音量放大一倍播放 .=⋅)]([cos t u t dtdA A .)()(sin t t u t δ+⋅- B. t sin - C. )(t δ D.t cos.信号t t t x o 2cos 4)304cos(3)(++=的周期为 B 。
第一章绪论1、选择题1。
1、f (5-2t )是如下运算的结果 CA 、 f (-2t )右移5B 、 f (-2t )左移5C 、 f (-2t )右移25 D 、 f (—2t )左移251.2、f (t 0-a t )是如下运算的结果 C .A 、f (—a t )右移t 0;B 、f (—a t )左移t 0 ;C 、f (-a t )右移a t 0;D 、f (-a t )左移at0 1。
3、已知 系统的激励e(t )与响应r(t )的关系为:)()()(t u t e t r = 则该系统为 B 。
A 、线性时不变系统;B 、线性时变系统;C 、非线性时不变系统;D 、非线性时变系统 1.4、已知 系统的激励e(t )与响应r (t )的关系为:)()(2t e t r = 则该系统为 C 。
A 、线性时不变系统 B 、线性时变系统 C 、非线性时不变系统 D 、非线性时变系统 1.5、已知 系统的激励e (t )与响应r(t)的关系为:)1()(t e t r -= 则该系统为 B 。
A 、线性时不变系统B 、线性时变系统C 、非线性时不变系统D 、非线性时变系统1。
6、已知 系统的激励e (t)与响应r(t )的关系为:)2()(t e t r = 则该系统为 B A 、线性时不变系统 B 、线性时变系统 C 、非线性时不变系统 D 、非线性时变系统 1。
7.信号)34cos(3)(π+=t t x 的周期为 C . A 、π2 B 、π C 、2π D 、π21.8、信号)30cos()10cos(2)(t t t f -=的周期为: B 。
A 、15π B 、5π C 、π D 、10π1.9、dt t t )2(2cos 33+⎰-δπ等于 B 。
A 。
0 B 。
-1 C 。
2 D.—21.10、 若)(t x 是己录制声音的磁带,则下列表述错误的是: BA. )(t x -表示将此磁带倒转播放产生的信号B. )2(t x 表示将此磁带放音速度降低一半播放 C 。
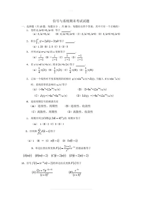
信号与系统期末考试试题一、选择题(共10题,每题3分 ,共30分,每题给出四个答案,其中只有一个正确的)1、 卷积f 1(k+5)*f 2(k-3) 等于 。
(A )f 1(k)*f 2(k) (B )f 1(k)*f 2(k-8)(C )f 1(k)*f 2(k+8)(D )f 1(k+3)*f 2(k-3)2、 积分dt t t ⎰∞∞--+)21()2(δ等于 。
(A )1.25(B )2.5(C )3(D )5 3、 序列f(k)=-u(-k)的z 变换等于 。
(A )1-z z (B )-1-z z(C )11-z (D )11--z4、 若y(t)=f(t)*h(t),则f(2t)*h(2t)等于 。
(A ))2(41t y (B ))2(21t y (C ))4(41t y (D ))4(21t y 5、 已知一个线性时不变系统的阶跃相应g(t)=2e -2tu(t)+)(t δ,当输入f(t)=3e —tu(t)时,系统的零状态响应y f (t)等于(A )(-9e -t +12e -2t )u(t) (B )(3-9e -t +12e -2t )u(t)(C ))(t δ+(-6e -t +8e -2t )u(t) (D )3)(t δ +(-9e -t +12e -2t )u(t)6、 连续周期信号的频谱具有(A ) 连续性、周期性 (B )连续性、收敛性 (C )离散性、周期性 (D )离散性、收敛性1、 周期序列2)455.1(0+k COS π的 周期N 等于(A ) 1(B )2(C )3(D )4 8、序列和()∑∞-∞=-k k 1δ等于(A )1 (B) ∞ (C) ()1-k u (D) ()1-k ku9、单边拉普拉斯变换()se s s s F 2212-+=的愿函数等于 ()()t tu A ()()2-t tu B ()()()t u t C 2- ()()()22--t u t D 10、信号()()23-=-t u tet f t的单边拉氏变换()s F 等于()A ()()()232372+++-s e s s ()()223+-s e B s()()()2323++-s se C s ()()332++-s s e D s二、填空题(共9小题,每空3分,共30分)1、卷积和[(0.5)k+1u(k+1)]*)1(k -δ=________________________2、单边z 变换F(z)=12-z z的原序列f(k)=______________________ 3、已知函数f(t)的单边拉普拉斯变换F(s)=1+s s,则函数y(t)=3e -2t ·f(3t)的单边拉普拉斯变换Y(s)=_________________________4、频谱函数F(j ω)=2u(1-ω)的傅里叶逆变换f(t)=__________________5、单边拉普拉斯变换ss s s s F +++=2213)(的原函数f(t)=__________________________ 6、已知某离散系统的差分方程为)1(2)()2()1()(2-+=----k f k f k y k y k y ,则系统的单位序列响应h(k)=_______________________7、已知信号f(t)的单边拉氏变换是F(s),则信号⎰-=2)()(t dx x f t y 的单边拉氏变换Y(s)=______________________________8、描述某连续系统方程为()()()()()t f t f t y t y t y +=++''''52该系统的冲激响应h(t)=9、写出拉氏变换的结果()=t u 66 ,=k t 22三、(8分)四、(10分)如图所示信号()t f ,其傅里叶变换()()[]t f jw F F=,求(1) ()0F (2)()⎰∞∞-dw jw F六、(10分)某LTI 系统的系统函数()1222++=s s s s H ,已知初始状态()(),20,00=='=--y y 激励()(),t u t f =求该系统的完全响应。
《信号与系统》期末试卷A 卷班级: 学号:__________ 姓名:________ _ 成绩:_____________一. 选择题(共10题,20分) 1、n j n j een x )34()32(][ππ+=,该序列是 D 。
A.非周期序列B.周期3=NC.周期8/3=ND. 周期24=N2、一连续时间系统y(t)= x(sint),该系统是 C 。
A.因果时不变B.因果时变C.非因果时不变D. 非因果时变3、一连续时间LTI 系统的单位冲激响应)2()(4-=-t u et h t,该系统是 A 。
A.因果稳定B.因果不稳定C.非因果稳定D. 非因果不稳定4、若周期信号x[n]是实信号和奇信号,则其傅立叶级数系数a k 是 D 。
A.实且偶B.实且为奇C.纯虚且偶D. 纯虚且奇5、一信号x(t)的傅立叶变换⎩⎨⎧><=2||02||1)(ωωω,,j X ,则x(t)为 B 。
A.tt22sin B.t t π2sin C. t t 44sin D. ttπ4sin 6、一周期信号∑∞-∞=-=n n t t x )5()(δ,其傅立叶变换)(ωj X 为 A 。
A.∑∞-∞=-k k )52(52πωδπB. ∑∞-∞=-k k)52(25πωδπ C. ∑∞-∞=-k k )10(10πωδπD.∑∞-∞=-k k)10(101πωδπ7、一实信号x[n]的傅立叶变换为)(ωj e X ,则x[n]奇部的傅立叶变换为C 。
A. )}(Re{ωj eX j B. )}(Re{ωj e X C. )}(Im{ωj e X j D. )}(Im{ωj e X8、一信号x(t)的最高频率为500Hz ,则利用冲激串采样得到的采样信号x(nT)能唯一表示出原信号的最大采样周期为 D 。
A. 500 B. 1000 C. 0.05D. 0.0019、一信号x(t)的有理拉普拉斯共有两个极点s=-3和s=-5,若)()(4t x e t g t=,其傅立叶变换)(ωj G 收敛,则x(t)是 C 。
格式《信号与系统》考试试卷(时间 120 分钟)院 / 系专业姓名学号题号一二三四五六七总分得分一、填空题(每小题 2 分,共 20 分)得分1.系统的激励是 e(t) ,响应为 r(t) ,若满足de(t)r ( t) ,则该系统为线性、时不变、因果。
dt(是否线性、时不变、因果?)2 的值为 5。
2.求积分 (t1)(t2)dt3.当信号是脉冲信号f(t)时,其低频分量主要影响脉冲的顶部,其高频分量主要影响脉冲的跳变沿。
4.若信号f(t)的最高频率是2kHz,则 f(2t)的乃奎斯特抽样频率为8kHz。
5.信号在通过线性系统不产生失真,必须在信号的全部频带内,要求系统幅频特性为一常数相频特性为 _一过原点的直线(群时延)。
6.系统阶跃响应的上升时间和系统的截止频率成反比。
.若信号的F(s)=3s j37。
,求该信号的 F ( j)(s+4)(s+2) (j+4)(j+2)8.为使LTI 连续系统是稳定的,其系统函数H(s ) 的极点必须在S 平面的左半平面。
1。
9.已知信号的频谱函数是0)()F(( ,则其时间信号f(t)为0j)sin(t)js110.若信号 f(t)的F ( s ) ,则其初始值f(0)1。
2(s1 )得分二、判断下列说法的正误,正确请在括号里打“√”,错误请打“×”。
(每小题 2 分,共 10 分)《信号与系统》试卷第1页共 7页专业资料整理格式1.单位冲激函数总是满足 ( t )( t ) (√)2.满足绝对可积条件 f ( t ) dt 的信号一定存在傅立叶变换,不满足这一条件的信号一定不存在傅立叶变换。
(×)3.非周期信号的脉冲宽度越小,其频带宽度越宽。
(√)4.连续 LTI 系统的冲激响应的形式取决于系统的特征根,于系统的零点无关。
(√)5.所有周期信号的频谱都是离散谱,并且随频率的增高,幅度谱总是渐小的。
(×)得分三、计算分析题(1、 3、 4、 5 题每题 10 分, 2 题 5 分,6 题15 分,共 60 分)t 10t11.信号f(t)2eu(t) ,1,信号 f ,试求 f 1 (t)*f 2 (t)。
信号与系统考试方式:闭卷 考试题型:1、简答题(5个小题),占30分;计算题(7个大题),占70分。
一、简答题:1.dtt df t f x e t y t )()()0()(+=-其中x(0)是初始状态,为全响应,为激励,)()(t y t f 试回答该系统是否是线性的?[答案:非线性]2.)()(sin )('t f t ty t y =+试判断该微分方程表示的系统是线性的还是非线性的,是时变的还是非时变的?[答案:线性时变的]3.已知有限频带信号)(t f 的最高频率为100Hz ,若对)3(*)2(t f t f 进行时域取样,求最小取样频率s f =?[答案:400s f Hz =]4.简述无失真传输的理想条件。
[答案:系统的幅频特性为一常数,而相频特性为通过原点的直线]5.求[]⎰∞∞--+dt t t e t )()('2δδ的值。
[答案:3]6.已知)()(ωj F t f ↔,求信号)52(-t f 的傅立叶变换。
[答案:521(25)()22j f t e F j ωω--↔]7.已知)(t f 的波形图如图所示,画出)2()2(t t f --ε的波形。
[答案: ]8.已知线性时不变系统,当输入)()()(3t e e t x t t ε--+=时,其零状态响应为)()22()(4t e e t y t t ε--+=,求系统的频率响应。
[答案:())4)(2(52)3(++++ωωωωj j j j ]9.求象函数2)1(32)(++=s s s F ,的初值)0(+f 和终值)(∞f 。
[答案:)0(+f =2,0)(=∞f ]10.若LTI 离散系统的阶跃响应为)(k g ,求其单位序列响应。
其中:)()21()(k k g k ε=。
[答案:1111()()(1)()()()(1)()()(1)222k k k h k g k g k k k k k εεδε-=--=--=--]11.已知()1 1 , 0,1,20 , k f k else ==⎧⎨⎩ ,()2 1 , 0,1,2,30 , k k f k else -==⎧⎨⎩设()()()12f k f k f k =*,求()3?f =。
电气《信号与系统》复习参考练习题一、单项选择题:14、已知连续时间信号,)2(100)2(50sin )(--=t t t f 则信号t t f 410cos ·)(所占有的频带宽度为() A .400rad /s B 。
200 rad /s C 。
100 rad /s D 。
50 rad /sf如下图(a)所示,其反转右移的信号f1(t) 是( d )15、已知信号)(tf如下图所示,其表达式是()16、已知信号)(1tA、ε(t)+2ε(t-2)-ε(t-3)B、ε(t-1)+ε(t-2)-2ε(t-3)C、ε(t)+ε(t-2)-ε(t-3)D、ε(t-1)+ε(t-2)-ε(t-3)17、如图所示:f(t)为原始信号,f1(t)为变换信号,则f1(t)的表达式是()A、f(-t+1)B、f(t+1)C、f(-2t+1)D、f(-t/2+1)18、若系统的冲激响应为h(t),输入信号为f(t),系统的零状态响应是( c )19。
信号)2(4sin 3)2(4cos 2)(++-=t t t f ππ与冲激函数)2(-t δ之积为( )A 、2B 、2)2(-t δC 、3)2(-t δD 、5)2(-t δ,则该系统是()>-系统的系统函数.已知2]Re[,651)(LTI 202s s s s s H +++= A 、因果不稳定系统 B 、非因果稳定系统C 、因果稳定系统D 、非因果不稳定系统21、线性时不变系统的冲激响应曲线如图所示,该系统微分方程的特征根是( )A 、常数B 、 实数C 、复数D 、实数+复数22、线性时不变系统零状态响应曲线如图所示,则系统的输入应当是( )A 、阶跃信号B 、正弦信号C 、冲激信号D 、斜升信号23. 积分⎰∞∞-dt t t f )()(δ的结果为( ) A )0(f B )(t f C.)()(t t f δ D.)()0(t f δ24. 卷积)()()(t t f t δδ**的结果为( )A.)(t δB.)2(t δC. )(t fD.)2(t f25. 零输入响应是( )A.全部自由响应B.部分自由响应C.部分零状态响应 D .全响应与强迫响应之差2A 、1-eB 、3eC 、3-e D 、1 27.信号〔ε(t)-ε(t -2)〕的拉氏变换的收敛域为 ( )A.Re[s]>0B.Re[s]>2C.全S 平面D.不存在28.已知连续系统二阶微分方程的零输入响应)(t y zi 的形式为t t Be Ae 2--+,则其2个特征根为( )A 。
期末试题一、选择题(每小题可能有一个或几个正确答案,将正确的题号填入[ ]内) 1.f (5-2t )是如下运算的结果————————( ) (A )f (-2t )右移5 (B )f (-2t )左移5 (C )f (-2t )右移25 (D )f (-2t )左移252.已知)()(),()(21t u e t f t u t f at -==,可以求得=)(*)(21t f t f —————() (A )1-at e - (B )at e -(C ))1(1at e a -- (D )at e a-13.线性系统响应满足以下规律————————————( )(A )若起始状态为零,则零输入响应为零。
(B )若起始状态为零,则零状态响应为零。
(C )若系统的零状态响应为零,则强迫响应也为零。
(D )若激励信号为零,零输入响应就是自由响应。
4.若对f (t )进行理想取样,其奈奎斯特取样频率为f s ,则对)231(-t f 进行取样,其奈奎斯特取样频率为————————( )(A )3f s (B )s f 31 (C )3(f s -2) (D ))2(31-s f 5.理想不失真传输系统的传输函数H (j ω)是 ————————( )(A )0j tKe ω- (B )0t j Keω- (C )0t j Keω-[]()()c c u u ωωωω+--(D )00j t Keω- (00,,,c t k ωω为常数)6.已知Z 变换Z 1311)]([--=zn x ,收敛域3z >,则逆变换x (n )为——( ) (A ))(3n u n (C )3(1)nu n -(B ))(3n u n -- (D ))1(3----n u n二.(15分)已知f(t)和h(t)波形如下图所示,请计算卷积f(t)*h(t),并画出f(t)*h(t)波形。
三、(15分)四.(20分)已知连续时间系统函数H(s),请画出三种系统模拟框图(直接型/级联型/并联型)。
读书破万卷下笔如有神实验二利用DFT分析离散信号频谱一、实验目的应用离散傅里叶变换(DFT),分析离散信号的频谱。
深刻理解DFT分析离散信号频谱的原理,掌握改善分析过程中产生的误差的方法。
二、实验原理根据信号傅里叶变换建立的时域与频域之间的对应关系,可以得到有限长序列的离散傅里叶变换(DFT)与四种确定信号傅里叶变换之间的关系(见教材),实现由DFT分析其频谱。
三、实验内容?3的频谱;1.利用FFT分析信号x(310),nn?,1,...,n)?cos(8(1)、确定DFT计算的参数;N=32;n=0:N-1;x=cos(3*pi/8*n);X=fft(x,N);subplot(2,1,1);stem(n,abs(fftshift(X)));ylabel('Magnitude');xlabel('Frequency (rad)');title('朱艺星杨婕婕'); subplot(2,1,2);stem(n,angle(fftshift(X)));ylabel('Phase');xlabel('Frequency(rad)');读书破万卷下笔如有神进行理论值与计算值比较,讨论信号频谱分析过程中误差原因及改善2)(方法。
在频谱分析过程中由于取样频率过低或者由于信号的截取长度不当将会答:产生误差。
可以适当提高取样率,增加样点数,可能会产生混频现象,取样频率过低,来减少混叠对频谱分析所造成的误差。
对于连续周期信号,其时域取样必须kfo,即(其中K≥2*N+1N为最高谐波分量)其取样点数满足时域取样定理:2fm+fo。
≥≥2Nfo+fo;fs截取信号长度不当,会产生功率泄露,对周期序列进行频谱分析时,为避免泄露应做到:截取的长度应取一个基本周期或基本周期的整数倍,若待分析的周期信号事先不知道其确切的周期,则可截取较长时间长度的样点进行分析,以减少功率泄露误差。
信号与系统考试题及答案第一题:问题描述:什么是信号与系统?答案:信号与系统是电子工程和通信工程中重要的基础学科。
信号是信息的传递载体,可以是电流、电压、声音、图像等形式。
系统是对信号进行处理、传输和控制的装置或网络。
信号与系统的研究内容包括信号的产生、变换、传输、处理和控制等。
第二题:问题描述:信号的分类有哪些?答案:信号可以根据多种特征进行分类。
按照时间域和频率域可以将信号分为连续时间信号和离散时间信号;按照信号的能量和功率可以分为能量信号和功率信号;按照信号的周期性可以分为周期信号和非周期信号;按照信号的波形可以分为正弦信号、方波信号、脉冲信号等。
第三题:问题描述:什么是线性时不变系统?答案:线性时不变系统是信号与系统领域中重要的概念。
线性表示系统满足叠加性原理,即输入信号的线性组合经过系统后,输出信号也是输入信号的线性组合。
时不变表示系统的性质不随时间变化而改变。
线性时不变系统具有许多重要的性质和特点,可以通过线性时不变系统对信号进行处理和分析。
第四题:问题描述:系统的冲激响应有什么作用?答案:系统的冲激响应是描述系统特性的重要参数。
当输入信号为单位冲激函数时,系统的输出即为系统的冲激响应。
通过分析冲激响应可以得到系统的频率响应、幅频特性、相频特性等,从而对系统的性能进行评估和优化。
冲激响应还可以用于系统的卷积运算和信号的滤波等应用。
第五题:问题描述:如何对信号进行采样?答案:信号采样是将连续时间信号转换为离散时间信号的过程。
常用的采样方法包括周期采样和非周期采样。
周期采样是将连续时间信号按照一定的时间间隔进行等间隔采样;非周期采样是在信号上选取一系列采样点,采样点之间的时间间隔可以不相等。
采样频率和采样定理是采样过程中需要考虑的重要因素。
第六题:问题描述:什么是离散傅里叶变换(DFT)?答案:离散傅里叶变换是对离散时间信号进行频域分析的重要工具。
通过计算离散傅里叶变换可以将离散时间信号转换为复数序列,该复数序列包含了信号的频率成分和相位信息。
信号与系统复习题1、描述某系统的微分方程为 y ”(t) + 5y ’(t) + 6y(t) = f (t)y(0_)=2,y ’(0_)= -1 y(0_)= 1,y ’(0_)=0 求系统的零输入响应。
求系统的冲击相应求系统的单位阶跃响应。
解:2、系统方程 y (k)+ 4y (k – 1) + 4y (k – 2) = f (k)已知初始条件y (0)=0,y (1)= – 1;激励k k f 2)(=,k ≥0。
求方程的解。
解:特征方程为 λ2 + 4λ+ 4=0 可解得特征根λ1=λ2= – 2,其齐次解 y h(k )=(C 1k +C 2) (– 2)k 特解为 y p(k )=P (2)k , k ≥0代入差分方程得 P (2)k +4P (2)k –1+4P (2)k –2= f (k ) = 2k , 解得 P =1/4所以得特解: y p(k )=2k –2 , k ≥0故全解为 y (k )= y h+y p = (C 1k +C 2) (– 2)k + 2k –2 , k ≥0 代入初始条件解得 C 1=1 , C 2= – 1/43、系统方程为 y (k) + 3y (k –1) + 2y (k –2) = f (k)已知激励kk f 2)(=, k ≥0,初始状态y (–1)=0, y (–2)=1/2, 求系统的零输入响应、零状态响应和全响应。
解::(1)y zi(k )满足方程y zi(k ) + 3y zi(k –1)+ 2y zi(k –2)= 0y zi(–1)= y (–1)= 0, y zi(–2) = y (–2) = 1/2 首先递推求出初始值y zi(0), y zi(1),y zi(k )= – 3y zi(k –1) –2y zi(k –2) y zi(0)= –3y zi(–1) –2y zi(–2)= –1 y zi(1)= –3y zi(0) –2y zi(–1)=3 特征根为λ1= –1 ,λ2= – 2解为 y zi(k )=C zi1(– 1)k + C zi2(–2)k 将初始值代入 并解得 C zi1=1 , C zi2= – 2y zi(k )=(– 1)k – 2(– 2)k , k ≥0(2)零状态响应y zs(k ) 满足:y zs(k ) + 3y zs(k –1) + 2y zs(k –2) = f (k ) y zs(–1)= y zs(–2) = 0 递推求初始值 y zs(0), y zs(1),y zs(k ) = – 3y zs(k –1) – 2y zs(k –2) + 2k , k ≥0 y zs(0) = – 3y zs(–1) – 2y zs(–2) + 1 = 1 y zs(1) = – 3y zs(0) – 2y zs(–1) + 2 = – 1分别求出齐次解和特解,得y zs(k ) = C zs1(–1)k + C zs2(–2)k + y p(k )= C zs1(– 1)k + C zs2(– 2)k + (1/3)2k 代入初始值求得C zs1= – 1/3 , C zs2=1y zs(k )= – (– 1)k /3+ (– 2)k + (1/3)2k ,k ≥0 4、系统的方程:()()()()()12213 -+=-+-+k f k f k y k y k y()()()()()0102==-=y y k k f k ε求系统的零输入响应。
信号与系统考试题及答案(一)1. 系统的激励是)t (e ,响应为)t (r ,若满足dt)t (de )t (r =,则该系统为 线性、时不变、因果。
(是否线性、时不变、因果?) 2. 求积分dt )t ()t (212-+⎰∞∞-δ的值为 5 。
3. 当信号是脉冲信号f(t)时,其 低频分量 主要影响脉冲的顶部,其 高频分量 主要影响脉冲的跳变沿。
4. 若信号f(t)的最高频率是2kHz ,则t)f(2的乃奎斯特抽样频率为 8kHz 。
5. 信号在通过线性系统不产生失真,必须在信号的全部频带内,要求系统幅频特性为 一常数相频特性为_一过原点的直线(群时延)。
6. 系统阶跃响应的上升时间和系统的 截止频率 成反比。
7. 若信号的3s F(s)=(s+4)(s+2),求该信号的=)j (F ωj 3(j +4)(j +2)ωωω。
8. 为使LTI 连续系统是稳定的,其系统函数)s (H 的极点必须在S 平面的 左半平面 。
9. 已知信号的频谱函数是))00(()j (F ωωδωωδω--+=,则其时间信号f(t)为01sin()t j ωπ。
10. 若信号f(t)的211)s (s )s (F +-=,则其初始值=+)(f 0 1 。
二、判断下列说法的正误,正确请在括号里打“√”,错误请打“×”。
(每小题2分,共10分)1.单位冲激函数总是满足)()(t t -=δδ ( √ )2.满足绝对可积条件∞<⎰∞∞-dt t f )(的信号一定存在傅立叶变换,不满足这一条件的信号一定不存在傅立叶变换。
( × ) 3.非周期信号的脉冲宽度越小,其频带宽度越宽。
( √ )4.连续LTI 系统的冲激响应的形式取决于系统的特征根,于系统的零点无关。
( √ )5.所有周期信号的频谱都是离散谱,并且随频率的增高,幅度谱总是渐小的。
( × )三、计算分析题(1、3、4、5题每题10分,2题5分, 6题15分,共60分)1.信号)t (u e )t (f t-=21,信号⎩⎨⎧<<=其他,01012t )t (f ,试求)t (f *)t (f 21。
(10分)解法一:当0t ≤时,)t (f *)t (f 21=0当10t >>时,()120()*()222tt t f t f t e d e ττ---==-⎰当1t >时,1()120()*()22(1)t t f t f t e d e e ττ---==-⎰解法二:122(1)22L[()*()]2(2)(2)2222()22s sse ef t f t s s s s s s e s s s s ----==-+++=---++112()*()2()2()2(1)2(1)t t f t f t u t e u t u t e u t --=---+-2.已知)2)(1(10)(--=z z zz X ,2>z ,求)(n x 。
(5分)解:()101010(1)(2)21X z z z z z z z ==-----,收敛域为2>z 由1010()21z zX z z z =---,可以得到()10(21)()n x n u n =- 3.若连续信号)t (f 的波形和频谱如下图所示,抽样脉冲为冲激抽样)nTt ()t (n sT ∑∞-∞=-=δδ。
(1)求抽样脉冲的频谱;(3分)(2)求连续信号)t (f 经过冲激抽样后)t (f s 的频谱)(F s ω;(5分)(3)画出)(F s ω的示意图,说明若从)t (f s 无失真还原)t (f ,冲激抽样的s T 应该满足什么条件?(2分)(t)f tO)(F ωωO m ω-mω1解:(1))nTt ()t (n sT ∑∞-∞=-=δδ,所以抽样脉冲的频谱[()]2()T n s n F t F n δπδωω∞=-∞=-∑1n sF T =。
(2)因为()()()s T f t f t t δ=,由频域抽样定理得到:1[()][()()]()*()21()s T s s n s n s F f t F f t t F n F n T δωωδωωπωω∞=-∞∞=-∞==-=-∑∑ (3))(F s ω的示意图如下)(F s ω的频谱是()F ω的频谱以s ω为周期重复,重复过程中被1s T 所加权,若从)t (f s 无失真还原)t (f ,冲激抽样的s T 应该满足若2,s m s mT πωωω≥≤。
4.已知三角脉冲信号)t (f 1的波形如图所示 (1)求其傅立叶变换)(F ω1;(5分)(2)试用有关性质求信号)t cos()t (f )t (f 0122ωτ-=的傅立叶变换)(F ω2。
(5分) 解:(1)对三角脉冲信号求导可得:1()22[()()][()()]22df t E E u t u t u t u t dt ττττ=+----21()18[][sin ()]4df t E F dt j ωτωτ=-,可以得到21()()24E F Sa τωτω=。
(2)因为)t cos()t (f)t (f 0122ωτ-=22[()]()224j E F f t eSa τωττωτ--=00()()2200220()()11[()cos()]2224224j j E E F f t t e Sa e Sa ττωωωωωωωωτττωττ---+-+-=+5.电路如图所示,若激励信号)t (u )e e ()t (e t t 3223--+=,求响应)t (v 2并指出响应中的强迫分量、自由分量、瞬态分量与稳态分量。
(10分)解:由S 域模型可以得到系统函数为221()2()2()222V s s s H s E s s s ++===++ 由)t (u )e e ()t (e t t 3223--+=,可以得到32()23E s s s =+++ ,在此信号激励下,系统的输出为2123232()()()()222313s V s H s E s s s s s s +==+=++++++则 ()321v (2)()2t t t e e u t --=+强迫响应分量:31()2t e u t -自由响应分量:2()t e u t -瞬态响应分量:()321v (2)()2t t t e e u t --=+稳态响应分量:02τ-(t)f 12τ-tOE6.若离散系统的差分方程为)1(31)()2(81)1(43)(-+=-+--n x n x n y n y n y(1)求系统函数和单位样值响应;(4分) (2)讨论此因果系统的收敛域和稳定性;(4分) (3)画出系统的零、极点分布图;(3分)(4)定性地画出幅频响应特性曲线;(4分)解:(1)利用Z 变换的性质可得系统函数为:112111071()3333()3111111()()482424z z z z zH z z z z z z z ---++-===+-+---- 12z >,则单位样值响应为10171()[()()]()3234n n h n u n =-(2)因果系统z 变换存在的收敛域是12z >,由于()H z 的两个极点都在z 平面的单位圆内,所以该系统是稳定的。
(3)系统的零极点分布图z(4)系统的频率响应为21()3()3148j j j j j e e H e e e ωωωωω+=-+ 13()1124j j j j e H e e e ωωωω+=--当0ω=时,32()9j H e ω=当ωπ=时,16()45j H e ω=四、简答题(1、2二题中任选一题解答,两题都做只计第1题的分数,共10分)1. 利用已经具备的知识,简述如何由周期信号的傅立叶级数出发,推导出非周期信号的傅立叶变换。
(10分)2. 利用已经具备的知识,简述LTI 连续时间系统卷积积分的物理意义。
(10分)1.解:从周期信号FS 推导非周期信号的FT 11()().jn tn f t F n eωωω∞=-=∑对于非周期信号,T1→∞,则重复频率10ω→,谱线间隔1(n )d ωω∆→,离散频率变成连续频率ω。
12112111()()..T T jn t F n f t e dt T ωω--=⎰在这种极限情况下1()0F n ω→,但112().F n πωω可望不趋于零,而趋于一个有限值,且变成一个连续函数。
1111111111222()().().()()lim lim lim T T jn t T T j t F F n F n T f t e dtf t e dtωωωπωωωω→→--→∞∞--∞====⎰⎰考察函数1111).(或2).(T n F n F ωωπω,并定义一个新的函数F(w) 傅立叶变换:()()j t F f t e dt ωω∞--∞=⎰F(w)称为原函数f(t)的频谱密度函数(简称频谱函数). 傅立叶逆变换 11()().jn t n f t F n e ωωω∞=-=∑1111()()..jn t n F n f t e ωωωω∞=-∞=∑1()()F n F ωω→n ω∞∞-∞=-→∑⎰111()..()2jn tn F e n ωωωωπ∞=-∞=∆∑ 1()().d 2j t f t F e ωωωπ∞-∞=⎰11110()T n n d ωωωωω→∞→→∆→2.解:线性系统在单位冲激信号的作用下,系统的零状态的响应为单位冲激响应:()()t h t δ→利用线性系统的时不变特性:()()t h t δττ-→-利用线性系统的均匀性:()()()()e t e h t τδτττ-→-利用信号的分解,任意信号可以分解成冲激信号的线性组合:()()()e t e t d τδττ∞-∞=-⎰利用线性系统的叠加定理:()()()()()()e t e t d r t e h t d τδτττττ∞∞-∞-∞=-→=-⎰⎰信号与系统考试题及答案(二)1.=-⎰∞∞-dt t t )()5cos 2(δ 。
2. ()dt t e t 12-⎰+∞∞--δ= 。
3.已知 f (t )的傅里叶变换为F (j ω), 则f (2t -3)的傅里叶变换为)2(2123ωωj F e j - 。
4. 已知 651)(2+++=s s s s F ,则=+)0(f 1 ; =∞)(f 0 。
5. 已知 ωωπδεj t FT 1)()]([+=,则=)]([t t FT ε 。
6. 已知周期信号)4sin()2cos()(t t t f +=,其基波频率为 rad/s ;周期为 s 。