2015河南高考一本投档线
- 格式:xls
- 大小:50.50 KB
- 文档页数:16
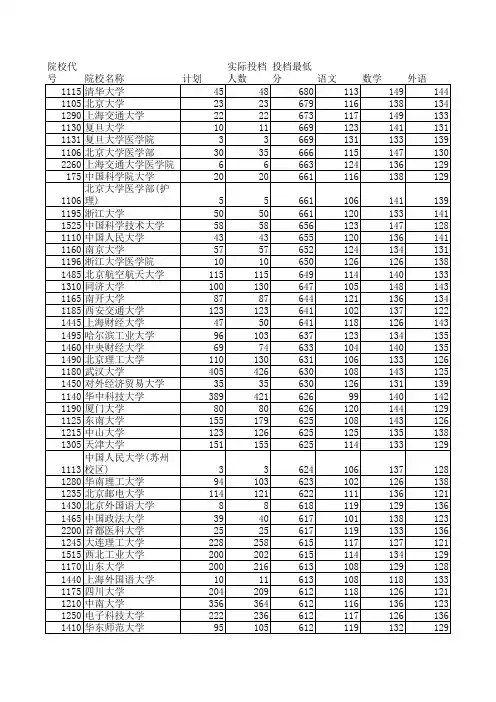
排名院校代号院校名称计划实际投档人数投档最低分语文数学外语控线11115清华大学4548680113149144529 21105北京大学2323679116138134529 31290上海交通大学2222673117149133529 41131复旦大学医学院33669131133139529 51130复旦大学1011669123141131529 61106北京大学医学部3035666115147130529 72260上海交通大学医学院66663124136129529 81195浙江大学5050661120133141529 9175中国科学院大学2020661116138129529 101106北京大学医学部(护理)55661106141139529 111525中国科学技术大学5858656123147128529 121110中国人民大学4343655120136141529 131160南京大学5757652124134131529 141196浙江大学医学院1010650126126138529 151485北京航空航天大学115115649114140133529 161310同济大学100130647105148143529 171165南开大学8787644121136134529 181445上海财经大学4750641118126143529 191185西安交通大学123123641102137122529 201495哈尔滨工业大学96103637123134135529 211460中央财经大学6974633104140135529 221490北京理工大学110130631106133126529 231450对外经济贸易大学3535630126131139529 241180武汉大学405426630108143125529 251190厦门大学8080626120144129529 261140华中科技大学38942162699140142529 271215中山大学123126625125135138529 281305天津大学151155625114133129529 291125东南大学155179625108143126529 301113中国人民大学(苏州校区)33624106137128529 311280华南理工大学94103623102126138529 321235北京邮电大学114121622111136121529 331430北京外国语大学88618119129136529 342200首都医科大学2525617119133136529 351465中国政法大学3940617101138123529 361245大连理工大学228258615117127121529 371515西北工业大学200202615114134129529 381170山东大学200216613108129128529 391440上海外国语大学1011613108118133529 401410华东师范大学95105612119132129529 411175四川大学204209612118126121529 421250电子科技大学222236612117126136529 431210中南大学356364612116136123529 441460中央财经大学(较高收费)1212611114131142529 451120北京交通大学129131610117129121529 461605天津医科大学3335609118127130529 471355重庆大学154154609112125136529 481180武汉大学(较高收费)22609112120138529 491135湖南大学266280608120108141529 501455西南财经大学5858607113134129529 511230北京科技大学132139607104129128529 521505南京航空航天大学160170606113118121529 531275华东理工大学113119604119124126529541205中南财经政法大学127134604118124120529 551510南京理工大学137137602117127118529 561375中国农业大学100107601127109124529 571145吉林大学571586600114124128529 581190厦门大学(较高收费)1414600110122114529 591220华北电力大学(北京)95100600107131127529 601320西安电子科技大学264291600104128126529 611496哈尔滨工业大学(威海)137139599112124124529 621470中国传媒大学3133599110126130529 631490北京理工大学(较高收费)58599106140119529 641330中国海洋大学8186598116134109529 651520暨南大学3032598114124116529 661155兰州大学118124597113129119529 671255东北大学230240597108121126529 681100中央民族大学2425596123107127529 691315武汉理工大学376392596102124119529 701830苏州大学122131595116126132529分时,依次按照语文、数学、外语、综合科目的单科成绩从高分到低分排序),再按考生填报的高校志愿顺144 140 140 137 134 132 132 132 127 126 123 121 120 118 115 112 112 108 104 102 101 101 97 97 96 96 96 95 94 93 89 88 88 86 86 84 84 83 83 83 83 82 81 80 80 80 79 78 78 77 757171717170707069696868676766志愿顺序投档。
2015年河南省普通高校招生录取控制分数线类别录取批次文化分数线(分)专业分数线(分)文科理科普通类国家专项计划本科批513 529--本科一批513 529--地方专项计划本科批513 529--本科二批455 458--本科三批397 383--高职高专批180 180--体育类本科310 280 75专科160 160 65艺术类专业考试类别本科A段本科B段专科本科A段本科B 段专科招生学校单独组织的专业考试类296 296 160达到省统考专业合格线并且校考成绩合格全省统一组织的专业考试类美术类306 296 160 200 180 155音乐类296 276 160 100 90 80体育舞蹈类276 256 160 130 120 110播音与主持类340 330 160 305 300 265服装模特类296 276 160 305 300 265空乘类330 320 160 310 295 255影视表演类296 276 160 165 155 125编导制作类340 330 160 130 120 110书法类306 296 160 213 205 190艺术类文、理科分数线相同高考成绩查询和通知办法详见《河南省2015年普通高校招生考生指南》河南省招生办公室2015年6月24日【河南2015高考分数线出炉:一本文513理529】2015年河南高考分数线公布。
文科类:一本513 二本455 三本397;理科类:一本529 二本458 三本383;专科180。
批次时间志愿填报签字确认录取安排征集志愿备注提前批6月25日8:00—6月28日18:006月30日—7月9日—7月13日7月2日7月14日8:00—18:00国家专项计划本科批7月12日—7月14日本科一批7月2日8:00—7月8日—7月16日—7月21日含自主招生、高校专项、艺术特长生、高水平运动员7月6日18:007月9日7月22日8:00—18:00地方专项计划本科批7月20日—7月22日本科二批7月25日—7月30日7月31日8:00—18:00本科三批7月8日8:00—7月14日—8月3日—8月6日7月12日18:007月15日8月7日8:00—18:00高职高专批8月10日—8月15日8月16日8:00—18:00体育本科6月25日8:00—6月30日—7月9日—7月13日提前批录取6月28日18:007月2日7月14日8:00—18:00体育专科7月25日—7月30日与本科二批7月31日8:00—18:00同时录取艺术本A 段6月25日8:00—6月30日—7月9日—7月15日8:00—18:00与提前批、6月28日18:007月2日7月16日本科一批艺术本B 段7月18日—7月21日同时录取7月22日8:00—18:00艺术专科7月26日—7月30日与本科二批7月31日8:00—18:00同时录取专升本6月25日8:00—不需要7月9日—7月13日与提前批6月28日18:007月14日8:00—18:00同时录取对口本科7月2日8:00—不需要7月16日—7月21日与本科一批7月6日18:007月22日8:00—18:00同时录取对口专科不需要8月3日—8月6日与本科三批8月7日8:00—18:00同时录取专科补录9月下旬,具体时间届时公布2.填报志愿注意事项(1)考生需首先登录河南省招生办公室网站(),然后点击首页网上服务大厅中的“网上志愿填报”,在登录界面输入考生号和报名时使用的密码登录系统并填报志愿。
2015年河南省普通高校招生本科一批院校平行投档分数线(理科)说明:平行志愿投档的规则:在上线考生中先按分数优先的原则从高分到低分排序(当遇到多名考生同分时,依次按照语文、数学、外语、综合科目的单科成绩从高分到低分排序),再按考生填报的高校志愿顺序投档。
院校代号院校名称计划实际投档人数投档最低分语文数学外语0175 中国科学院大学20 20 661 116 138 129 1100 中央民族大学24 25 596 123 107 127 1103 中南民族大学99 99 547 106 112 118 1103 中南民族大学(仅招少数民族) 101 69 529 089 112 103 1105 北京大学23 23 679 116 138 134 1106 北京大学医学部30 35 666 115 147 130 1106 北京大学医学部(护理) 5 5 661 106 141 139 1110 中国人民大学43 43 655 120 136 141 1113 中国人民大学(苏州校区) 3 3 624 106 137 128 1115 清华大学45 48 680 113 149 144 1120 北京交通大学129 131 610 117 129 121 1120 北京交通大学(较高收费) 12 12 572 094 131 108 1121 北京交通大学(威海校区)(较高收费) 6 6 558 119 115 104 1125 东南大学155 179 625 108 143 126 1130 复旦大学10 11 669 123 141 131 1131 复旦大学医学院 3 3 669 131 133 139 1135 湖南大学266 280 608 120 108 141 1140 华中科技大学389 421 626 099 140 142 1145 吉林大学571 586 600 114 124 128 1145 吉林大学(较高收费) 10 10 559 114 116 114 1145 吉林大学(护理) 5 5 552 112 110 126 1145 吉林大学(农林等单列专业) 14 3 530 103 119 113 1150 江南大学161 176 585 114 121 128 1155 兰州大学118 124 597 113 129 119 1160 南京大学57 57 652 124 134 1311165 南开大学87 87 644 121 136 134 1170 山东大学200 216 613 108 129 128 1170 山东大学(较高收费) 20 21 592 113 124 127 1173 山东大学威海分校108 114 590 110 133 124 1173 山东大学威海分校(较高收费) 26 26 580 112 118 128 1175 四川大学204 209 612 118 126 121 1175 四川大学(护理) 12 12 563 115 116 128 1180 武汉大学405 426 630 108 143 125 1180 武汉大学(较高收费) 2 2 609 112 120 138 1180 武汉大学(护理) 6 6 574 106 120 122 1185 西安交通大学123 123 641 102 137 122 1185 西安交通大学(护理) 8 8 569 108 123 103 1189 西交利物浦大学80 80 543 105 122 108 1190 厦门大学80 80 626 120 144 129 1190 厦门大学(较高收费) 14 14 600 110 122 114 1190 厦门大学(护理) 24 24 555 118 109 117 1195 浙江大学50 50 661 120 133 141 1196 浙江大学医学院10 10 650 126 126 138 1200 华北电力大学(保定) 103 114 590 111 116 131 1205 中南财经政法大学127 134 604 118 124 120 1210 中南大学356 364 612 116 136 123 1215 中山大学123 126 625 125 135 138 1215 中山大学(护理) 5 6 579 097 134 108 1220 华北电力大学(北京) 95 100 600 107 131 127 1225 北京化工大学128 131 592 111 128 123 1225 北京化工大学(较高收费) 8 8 553 107 121 123 1230 北京科技大学132 139 607 104 129 128 1235 北京邮电大学114 121 622 111 136 121 1237 北京邮电大学(宏福校区) 24 24 583 105 123 127 1240 长安大学267 281 587 102 127 134 1245 大连理工大学228 258 615 117 127 121 1245 大连理工大学(较高收费) 5 5 581 107 128 128 1248 大连理工大学(盘锦校区) 79 81 582 109 132 1211250 电子科技大学222 236 612 117 126 136 1251 电子科技大学(沙河校区) 48 48 594 110 128 127 1251 电子科技大学(沙河校区)(较高收费) 10 15 584 091 128 122 1255 东北大学230 240 597 108 121 126 1258 东北大学秦皇岛分校148 153 575 105 125 121 1260 东华大学97 112 591 107 139 118 1265 合肥工业大学209 220 586 121 119 124 1268 合肥工业大学(宣城校区) 221 233 568 116 106 123 1270 河海大学183 193 590 111 119 127 1270 河海大学(较高收费) 10 11 565 114 107 117 1275 华东理工大学113 119 604 119 124 126 1280 华南理工大学94 103 623 102 126 138 1285 大连海事大学117 123 579 118 121 129 1290 上海交通大学22 22 673 117 149 133 1295 中国石油大学(北京) 82 91 590 120 127 106 1300 中国石油大学(华东) 265 265 576 102 126 120 1305 天津大学151 155 625 114 133 129 1310 同济大学100 130 647 105 148 143 1315 武汉理工大学376 392 596 102 124 119 1315 武汉理工大学(较高收费) 8 8 582 122 121 107 1320 西安电子科技大学264 291 600 104 128 126 1320 西安电子科技大学(较高收费) 30 30 563 104 109 110 1325 西南交通大学154 165 595 108 123 131 1330 中国海洋大学81 86 598 116 134 109 1330 中国海洋大学(较高收费) 6 6 552 106 134 134 1335 中国地质大学(北京) 81 86 589 109 128 118 1340 中国地质大学(武汉) 202 223 581 115 123 129 1345 中国矿业大学(北京) 109 115 580 109 132 109 1350 中国矿业大学342 353 573 102 125 134 1350 中国矿业大学(较高收费) 16 16 560 101 119 130 1355 重庆大学154 154 609 112 125 136 1360 华中农业大学274 302 565 110 104 114 1365 南京农业大学228 233 568 099 131 1281370 西北农林科技大学382 398 571 112 108 123 1370 西北农林科技大学(较高收费) 6 6 550 093 115 116 1375 中国农业大学100 107 601 127 109 124 1375 中国农业大学(较高收费) 9 9 569 107 118 133 1380 北京林业大学102 106 583 104 121 136 1385 东北林业大学327 341 552 113 111 089 1390 北京中医药大学50 55 589 111 122 130 1395 中国药科大学100 106 589 122 112 126 1405 东北师范大学110 115 569 112 122 123 1405 东北师范大学(较高收费) 27 13 531 107 126 116 1410 华东师范大学95 105 612 119 132 129 1415 华中师范大学86 93 591 112 129 135 1415 华中师范大学(较高收费) 25 27 540 121 102 113 1420 陕西师范大学97 97 571 119 124 123 1425 西南大学151 151 577 110 118 125 1425 西南大学(较高收费) 14 17 558 103 121 119 1427 西南大学(荣昌校区) 32 32 536 098 124 116 1430 北京外国语大学8 8 618 119 129 136 1435 北京语言大学25 27 576 127 122 128 1440 上海外国语大学10 11 613 108 118 133 1445 上海财经大学47 50 641 118 126 143 1450 对外经济贸易大学35 35 630 126 131 139 1455 西南财经大学58 58 607 113 134 129 1460 中央财经大学69 74 633 104 140 135 1460 中央财经大学(较高收费) 12 12 611 114 131 142 1465 中国政法大学39 40 617 101 138 123 1470 中国传媒大学31 33 599 110 126 130 1485 北京航空航天大学115 115 649 114 140 133 1490 北京理工大学110 130 631 106 133 126 1490 北京理工大学(较高收费) 5 8 599 106 140 119 1495 哈尔滨工业大学96 103 637 123 134 135 1496 哈尔滨工业大学(威海) 137 139 599 112 124 124 1500 哈尔滨工程大学225 237 588 110 136 0781505 南京航空航天大学160 170 606 113 118 121 1505 南京航空航天大学(较高收费) 6 6 578 113 117 114 1510 南京理工大学137 137 602 117 127 118 1515 西北工业大学200 202 615 114 134 129 1520 暨南大学30 32 598 114 124 116 1525 中国科学技术大学58 58 656 123 147 128 1550 北京工商大学49 50 568 115 120 129 1560 北京工业大学8 9 595 101 141 133 1565 北京第二外国语学院13 13 575 118 110 130 1605 天津医科大学33 35 609 118 127 130 1630 河北工业大学52 52 583 129 123 124 1630 河北工业大学(较高收费) 2 2 559 117 105 119 1635 燕山大学124 127 571 101 123 114 1640 石家庄铁道大学107 114 556 093 125 109 1660 山西大学69 73 554 104 121 101 1680 内蒙古大学20 21 555 101 108 116 1690 辽宁大学85 86 573 104 123 132 1695 辽宁工程技术大学204 204 541 098 108 121 1710 沈阳农业大学176 185 511 112 089 121 1715 沈阳药科大学74 79 558 117 107 116 1725 东北财经大学27 28 592 115 131 121 1725 东北财经大学(较高收费) 16 16 543 101 116 121 1740 延边大学21 22 567 111 102 114 1745 长春理工大学158 163 552 124 099 129 1745 长春理工大学(较高收费) 2 2 536 104 103 103 1760 东北农业大学163 172 546 106 108 108 1765 哈尔滨医科大学37 37 585 102 139 123 1790 上海大学227 260 594 112 130 130 1795 上海理工大学126 132 575 111 127 111 1795 上海理工大学(较高收费) 14 14 572 109 116 124 1805 上海对外经贸大学72 74 580 100 138 126 1810 华东政法大学65 67 576 100 127 117 1830 苏州大学122 131 595 116 126 1321835 扬州大学76 76 567 122 119 117 1840 江苏大学170 190 569 115 127 111 1845 南京工业大学175 185 568 109 121 113 1855 南京师范大学61 74 578 115 108 129 1860 南京信息工程大学82 89 565 111 117 118 1880 宁波大学53 53 564 109 116 108 1885 安徽大学42 42 576 101 131 115 1895 福州大学103 106 581 117 129 126 1895 福州大学(农林等单列专业) 6 5 529 097 108 104 1910 南昌大学163 172 577 115 125 126 1910 南昌大学(较高收费) 32 37 545 102 115 129 1915 江西财经大学54 60 572 113 121 123 1930 湘潭大学160 170 564 108 109 122 1935 湖南师范大学46 49 571 113 125 123 1960 广东外语外贸大学13 14 577 109 116 138 1965 深圳大学25 25 585 113 118 138 1970 华南农业大学114 137 548 114 108 109 1975 广州中医药大学17 17 574 106 124 133 1985 华南师范大学8 8 575 105 130 123 2000 广西大学77 77 565 111 091 128 2000 广西大学(较高收费) 4 3 535 111 118 095 2025 重庆医科大学30 31 588 120 126 121 2030 西南政法大学30 32 576 109 119 114 2030 西南政法大学(较高收费) 3 3 566 120 119 123 2035 重庆邮电大学64 67 568 101 141 114 2035 重庆邮电大学(较高收费) 10 10 542 101 129 110 2080 云南大学42 42 571 113 118 128 2090 西北大学36 38 585 106 126 126 2095 陕西科技大学63 64 556 107 107 114 2100 西安建筑科技大学34 48 565 107 127 111 2105 西安邮电大学45 45 567 118 118 123 2105 西安邮电大学(较高收费) 3 3 533 111 124 105 2110 西安外国语大学12 12 568 103 122 1242115 西北政法大学20 21 569 094 122 121 2120 新疆大学232 244 531 108 092 121 2125 青海大学164 189 547 117 101 113 2130 石河子大学148 178 539 105 108 126 2200 首都医科大学25 25 617 119 133 136 2205 青岛大学76 76 566 107 115 103 2210 湖北大学85 85 560 108 113 128 2215 中国民航大学180 189 560 103 111 123 2220 武汉科技大学137 142 570 111 118 113 2225 首都师范大学22 22 570 104 112 128 2230 天津财经大学57 58 578 112 126 123 2235 东北电力大学176 187 550 118 088 119 2235 东北电力大学(较高收费) 15 15 544 093 119 106 2240 南京审计学院58 60 586 101 134 123 2250 天津外国语大学53 56 565 122 107 118 2255 浙江理工大学119 125 567 101 117 114 2260 上海交通大学医学院 6 6 663 124 136 129 2265 南京财经大学45 48 574 107 107 123 2270 江苏科技大学72 72 560 107 125 109 2275 青岛科技大学70 70 560 110 114 116 2280 北京建筑大学25 25 571 118 113 119 2285 沈阳建筑大学79 79 545 108 117 119 2290 中国计量学院56 81 556 114 109 125 2295 南华大学150 158 548 104 117 110 2300 长沙理工大学159 167 561 116 123 105 2305 贵州大学32 34 567 104 118 116 2310 南方医科大学50 53 594 109 106 131 2315 南京邮电大学138 140 576 105 122 127 2320 北方工业大学55 58 566 104 113 120 2325 华侨大学112 114 559 119 108 121 2330 西安工业大学30 42 557 108 120 106 2335 上海金融学院21 21 573 107 110 134 2340 汕头大学24 26 575 105 130 1092345 宁波诺丁汉大学24 24 537 101 110 117 2350 大连民族学院已经更名为大连民族大学13 14 539 109 114 114 2355 四川农业大学240 252 545 116 116 111 2360 温州肯恩大学11 15 533 099 130 111 2365 太原理工大学96 97 573 118 122 125 2375 东北石油大学75 75 541 101 105 123 2380 北京信息科技大学47 47 565 102 130 130 2385 安徽财经大学70 70 562 117 112 118 2390 上海师范大学132 135 558 114 124 108 2390 上海师范大学(较高收费) 31 31 538 096 113 097 2395 集美大学131 131 554 103 116 114 2400 北京物资学院28 29 556 105 130 127 2405 天津师范大学111 115 551 109 113 116 2410 青岛理工大学80 80 564 105 133 111 2415 浙江工业大学75 80 571 100 122 113 2420 杭州电子科技大学118 124 572 102 126 111 2420 杭州电子科技大学(较高收费) 2 2 567 110 126 129 2425 湖南科技大学105 116 550 116 099 119 2430 南昌航空大学50 55 552 111 117 111 2435 江西理工大学53 59 544 096 129 117 2440 长江大学23 28 547 114 119 128 2450 成都理工大学124 128 557 111 105 123 2500 首都经济贸易大学24 24 591 107 124 135 2505 南京林业大学110 116 554 107 117 119 2510 西南科技大学122 135 546 089 113 103 2515 西南石油大学179 152 529 091 140 090 2520 西安工程大学15 15 548 107 105 111 2525 天津工业大学281 290 559 096 119 121 2530 中北大学127 143 529 100 111 119 2535 西安科技大学38 42 564 095 124 119 2535 西安科技大学(较高收费) 2 3 537 102 120 102 2540 河北科技大学80 80 547 106 104 124 2545 河北工程大学37 39 545 113 108 1332550 北京联合大学7 8 559 119 114 124 2555 大连交通大学84 87 561 111 101 118 2560 温州医科大学65 69 575 104 128 114 2565 南通大学83 83 549 088 130 104 2570 上海中医药大学25 25 572 112 120 126 2570 上海中医药大学(较高收费) 4 3 540 114 106 129 2575 浙江师范大学29 34 551 112 112 120 2580 安徽理工大学42 42 552 114 109 110 2600 天津中医药大学 5 5 579 122 118 133 2605 中国医科大学43 43 595 111 129 128 2615 湖南中医药大学84 93 556 105 109 109 2620 成都中医药大学 2 2 578 120 113 126 2625 新疆医科大学 2 2 588 109 131 118 2630 山西医科大学 5 5 595 114 120 131 2635 大连医科大学44 44 585 114 115 128 2650 广西医科大学12 12 579 112 126 140 2655 湖北中医药大学61 61 537 109 124 113 2750 海南大学352 370 559 107 104 117 2750 海南大学(较高收费) 4 2 530 102 122 111 2755 宁夏大学46 46 555 104 119 119 2780 山东科技大学85 85 561 103 115 129 2785 河北大学75 75 553 097 112 114 2790 辽宁石油化工大学146 146 539 101 122 093 2795 沈阳工业大学92 92 552 089 128 116 2800 中南林业科技大学129 132 545 110 118 116 2805 西安理工大学79 82 569 104 115 109 2810 安徽工业大学65 72 546 114 120 115 2815 安徽医科大学 6 6 593 115 131 121 2850 广州大学23 25 564 125 117 123 2855 广州医科大学16 18 580 102 121 116 2860 上海海事大学79 83 565 109 111 116 2865 重庆交通大学108 114 556 098 113 118 2865 重庆交通大学(较高收费) 15 14 529 098 107 1312870 天津理工大学106 112 562 109 106 134 2875 上海海洋大学103 109 550 094 106 126 2875 上海海洋大学(较高收费) 10 10 543 098 112 101 2880 常州大学42 42 548 098 129 111 2885 华东交通大学51 57 555 121 107 124 2890 重庆工商大学42 42 558 107 114 114 2895 武汉工程大学124 131 549 106 109 109 2900 太原科技大学90 90 539 121 103 113 2905 三峡大学62 66 545 105 115 118 2910 四川外国语大学 6 6 564 116 096 129 2915 西安石油大学12 12 549 111 103 120 2920 山西财经大学27 27 560 113 109 123 2925 上海立信会计学院20 21 574 109 123 131 2930 广东工业大学56 68 561 107 106 122 2935 辽宁科技大学32 34 543 113 115 113 3175 北京印刷学院35 35 543 101 109 097 3200 天津科技大学70 80 554 123 096 116 3240 天津商业大学45 45 551 109 108 129 3545 沈阳理工大学74 82 541 101 135 120 3550 沈阳航空航天大学23 23 565 110 115 108 3725 哈尔滨商业大学115 115 541 103 110 112 3780 上海工程技术大学40 42 554 096 125 115 3890 苏州科技学院36 36 545 101 124 121 4020 浙江海洋学院16 17 541 113 104 114 4055 杭州师范大学52 73 550 117 122 114 4060 浙江工商大学30 40 561 108 104 126 4195 福建农林大学29 29 532 103 120 123 4205 福建师范大学56 60 544 107 088 124 4350 济南大学110 110 550 098 118 101 4370 山东理工大学16 16 543 118 091 109 4395 山东师范大学60 60 540 114 112 114 4485 山东财经大学90 90 554 115 107 130 4550 湖北工业大学42 45 547 108 100 1134700 湖南农业大学100 100 536 116 109 124 4890 北京师范大学-香港浸会大学联合国际学院30 27 530 097 116 111 5005 海南医学院48 51 550 103 105 129 5035 重庆理工大学81 81 552 097 117 113 5230 昆明理工大学78 82 543 099 115 101 5415 兰州交通大学83 90 543 108 108 118 5595 上海电机学院30 32 546 105 114 104 5610 上海政法学院25 26 549 112 103 123 5995 郑州大学(中外合作办学) 990 995 529 085 112 118 6000 郑州大学2804 2889 576 108 113 130 6005 河南大学1986 2086 553 103 113 104 6009 河南大学(中外合作办学) 410 33 529 107 111 101 6010 河南农业大学936 751 509 089 103 116 6015 河南中医学院585 679 532 095 104 116 6020 新乡医学院560 577 562 109 127 113 6030 河南师范大学897 942 529 111 118 123 6080 河南财经政法大学1046 1109 546 109 102 116 6080 河南财经政法大学(较高收费) 90 95 537 104 090 108 6085 河南科技大学1780 1958 538 091 109 119 6095 华北水利水电大学386 398 548 101 120 119 6100 河南理工大学2567 2623 529 084 101 121 6105 河南工业大学1008 1039 534 105 112 101 6110 郑州轻工业学院271 78 529 094 122 098 9919 上海戏剧学院 5 5 529 099 113 117。
排名院校代号院校名称计划实际投档人数投档最低分语文11115清华大学454868011321105北京大学232367911631290上海交通大学222267311741131复旦大学医学院3366913151130复旦大学101166912361106北京大学医学部303566611572260上海交通大学医学院6666312481195浙江大学50506611209175中国科学院大学2020661116101106北京大学医学部(护理)55661106111525中国科学技术大学5858656123121110中国人民大学4343655120131160南京大学5757652124141196浙江大学医学院1010650126151485北京航空航天大学115115649114161310同济大学100130647105171165南开大学8787644121181445上海财经大学4750641118191185西安交通大学123123641102201495哈尔滨工业大学96103637123211460中央财经大学6974633104221490北京理工大学110130631106231450对外经济贸易大学3535630126241180武汉大学405426630108251190厦门大学8080626120261140华中科技大学38942162699271215中山大学123126625125281305天津大学151155625114291125东南大学155179625108301113中国人民大学(苏州校区)33624106311280华南理工大学94103623102321235北京邮电大学114121622111331430北京外国语大学88618119342200首都医科大学2525617119351465中国政法大学3940617101361245大连理工大学228258615117371515西北工业大学200202615114381170山东大学200216613108391440上海外国语大学1011613108401410华东师范大学95105612119411175四川大学204209612118421250电子科技大学2222366121172015年河南高考本科一批院校理科平行投档分数线排名431210中南大学356364612116 441460中央财经大学(较高收费)1212611114 451120北京交通大学129131610117 461605天津医科大学3335609118 471355重庆大学154154609112 481180武汉大学(较高收费)22609112 491135湖南大学266280608120 501455西南财经大学5858607113 511230北京科技大学132139607104 521505南京航空航天大学160170606113 531275华东理工大学113119604119 541205中南财经政法大学127134604118 551510南京理工大学137137602117 561375中国农业大学100107601127 571145吉林大学571586600114 581190厦门大学(较高收费)1414600110 591220华北电力大学(北京)95100600107 601320西安电子科技大学264291600104 611496哈尔滨工业大学(威海)137139599112 621470中国传媒大学3133599110 631490北京理工大学(较高收费)58599106 641330中国海洋大学8186598116 651520暨南大学3032598114 661155兰州大学118124597113 671255东北大学230240597108 681100中央民族大学2425596123 691315武汉理工大学376392596102 701830苏州大学122131595116 712630山西医科大学55595114 722605中国医科大学4343595111 731325西南交通大学154165595108 741560北京工业大学89595101 751790上海大学227260594112 761251电子科技大学(沙河校区)4848594110 772310南方医科大学5053594109 782815安徽医科大学66593115 791725东北财经大学2728592115 801170山东大学(较高收费)2021592113 811225北京化工大学128131592111 821415华中师范大学8693591112 831260东华大学97112591107 842500首都经济贸易大学2424591107 851295中国石油大学(北京)8291590120 861270河海大学183193590111 871200华北电力大学(保定)103114590111881173山东大学威海分校108114590110 891395中国药科大学100106589122 901390北京中医药大学5055589111 911335中国地质大学(北京)8186589109 922025重庆医科大学3031588120 931500哈尔滨工程大学225237588110 942625新疆医科大学22588109 951240长安大学267281587102 961265合肥工业大学209220586121 972240南京审计学院5860586101 981150江南大学161176585114 992635大连医科大学4444585114 1001965深圳大学2525585113 1012090西北大学3638585106 1021765哈尔滨医科大学37375851021031251电子科技大学(沙河校区)(较高收费)1015584911041630河北工业大学5252583129 1051237北京邮电大学(宏福校区)2424583105 1061380北京林业大学102106583104 1071315武汉理工大学(较高收费)88582122 1081248大连理工大学(盘锦校区)7981582109 1091895福州大学103106581117 1101340中国地质大学(武汉)202223581115 1111245大连理工大学(较高收费)55581107 1121173山东大学威海分校(较高收费)2626580112 1131345中国矿业大学(北京)109115580109 1142855广州医科大学1618580102 1151805上海对外经贸大学7274580100 1162600天津中医药大学55579122 1171285大连海事大学117123579118 1182650广西医科大学1212579112 1191215中山大学(护理)5657997 1202620成都中医药大学22578120 1211855南京师范大学6174578115 1221505南京航空航天大学(较高收费)66578113 1232230天津财经大学5758578112 1241910南昌大学163172577115 1251425西南大学151151577110 1261960广东外语外贸大学1314577109 1271435北京语言大学2527576127 1282030西南政法大学3032576109 1296000郑州大学28042889576108 1302315南京邮电大学138140576105 1311300中国石油大学(华东)265265576102 1321885安徽大学42425761011331810华东政法大学6567576100 1341565北京第二外国语学院1313575118 1351795上海理工大学126132575111 1361985华南师范大学88575105 1372340汕头大学2426575105 1381258东北大学秦皇岛分校148153575105 1392560温州医科大学6569575104 1402925上海立信会计学院2021574109 1412265南京财经大学4548574107 1421975广州中医药大学1717574106 1431180武汉大学(护理)66574106 1442365太原理工大学9697573118 1452335上海金融学院2121573107 1461690辽宁大学8586573104 1471350中国矿业大学342353573102 1481915江西财经大学5460572113 1492570上海中医药大学2525572112 1501795上海理工大学(较高收费)1414572109 1512420杭州电子科技大学118124572102 1521120北京交通大学(较高收费)121257294 1531420陕西师范大学9797571119 1542280北京建筑大学2525571118 1551935湖南师范大学4649571113 1562080云南大学4242571113 1571370西北农林科技大学382398571112 1581635燕山大学124127571101 1592415浙江工业大学7580571100 1602220武汉科技大学137142570111 1612225首都师范大学2222570104 1621840江苏大学170190569115 1631405东北师范大学110115569112 1641185西安交通大学(护理)88569108 1651375中国农业大学(较高收费)99569107 1662805西安理工大学7982569104 1672115西北政法大学202156994 1681268合肥工业大学(宣城校区)221233568116 1691550北京工商大学4950568115 1701845南京工业大学175185568109 1712110西安外国语大学1212568103 1722035重庆邮电大学6467568101 1731365南京农业大学22823356899 1741835扬州大学7676567122 1752105西安邮电大学4545567118 1761740延边大学2122567111 1772420杭州电子科技大学(较高收费)225671101782305贵州大学3234567104 1792255浙江理工大学119125567101 1802030西南政法大学(较高收费)33566120 1812205青岛大学7676566107 1822320北方工业大学5558566104 1832250天津外国语大学5356565122 1841270河海大学(较高收费)1011565114 1851860南京信息工程大学8289565111 1862000广西大学7777565111 1873550沈阳航空航天大学2323565110 1881360华中农业大学274302565110 1892860上海海事大学7983565109 1902100西安建筑科技大学3448565107 1912380北京信息科技大学4747565102 1922850广州大学2325564125 1932910四川外国语大学66564116 1941880宁波大学5353564109 1951930湘潭大学160170564108 1962410青岛理工大学8080564105 1972535西安科技大学384256495 1981175四川大学(护理)1212563115 1991320西安电子科技大学(较高收费)3030563104 2002385安徽财经大学7070562117 2016020新乡医学院560577562109 2022870天津理工大学106112562109 2032300长沙理工大学159167561116 2042555大连交通大学8487561111 2054060浙江工商大学3040561108 2062930广东工业大学5668561107 2072780山东科技大学8585561103 2082920山西财经大学2727560113 2092275青岛科技大学7070560110 2102210湖北大学8585560108 2112270江苏科技大学7272560107 2122215中国民航大学180189560103 2131350中国矿业大学(较高收费)1616560101 2142550北京联合大学78559119 2152325华侨大学112114559119 2161630河北工业大学(较高收费)22559117 2171145吉林大学(较高收费)1010559114 2182750海南大学352370559107 2192525天津工业大学281290559962201121北京交通大学(威海校区)(较高收费)665581192211715沈阳药科大学74795581172222390上海师范大学132135558114 2232890重庆工商大学4242558107 2241425西南大学(较高收费)1417558103 2252450成都理工大学124128557111 2262330西安工业大学3042557108 2272290中国计量学院5681556114 2282095陕西科技大学6364556107 2292400北京物资学院2829556105 2302615湖南中医药大学8493556105 2312865重庆交通大学10811455698 2321640石家庄铁道大学10711455693 2332885华东交通大学5157555121 2341190厦门大学(护理)2424555118 2352755宁夏大学4646555104 2361680内蒙古大学2021555101 2373200天津科技大学7080554123 2384485山东财经大学9090554115 2392505南京林业大学110116554107 2401660山西大学6973554104 2412395集美大学131131554103 2423780上海工程技术大学404255496 2431225北京化工大学(较高收费)88553107 2446005河南大学19862086553103 2452785河北大学757555397 2461745长春理工大学158163552124 2472580安徽理工大学4242552114 2481385东北林业大学327341552113 2491145吉林大学(护理)55552112 2502430南昌航空大学5055552111 2511330中国海洋大学(较高收费)66552106 2525035重庆理工大学818155297 2532795沈阳工业大学929255289 2542575浙江师范大学2934551112 2552405天津师范大学111115551109 2563240天津商业大学4545551109 2572235东北电力大学176187550118 2584055杭州师范大学5273550117 2592425湖南科技大学105116550116 2605005海南医学院4851550103 2614350济南大学11011055098 2622875上海海洋大学10310955094 2631370西北农林科技大学(较高收费)6655093 2645610上海政法学院2526549112 2652915西安石油大学1212549111 2662895武汉工程大学1241315491062672565南通大学838354988 2681970华南农业大学114137548114 2692520西安工程大学1515548107 2702295南华大学150158548104 2716095华北水利水电大学386398548101 2722880常州大学424254898 2732125青海大学164189547117 2742440长江大学2328547114 2754550湖北工业大学4245547108 2761103中南民族大学9999547106 2772540河北科技大学8080547106 2782810安徽工业大学6572546114 2796080河南财经政法大学10461109546109 2801760东北农业大学163172546106 2815595上海电机学院3032546105 2822510西南科技大学12213554689 2832355四川农业大学240252545116 2842545河北工程大学3739545113 2852800中南林业科技大学129132545110 2862285沈阳建筑大学7979545108 2872905三峡大学6266545105 2881910南昌大学(较高收费)3237545102 2893890苏州科技学院3636545101 2904205福建师范大学5660544107 2912435江西理工大学535954496 2922235东北电力大学(较高收费)151554493 2934370山东理工大学1616543118 2942935辽宁科技大学3234543113 2955415兰州交通大学8390543108 2961189西交利物浦大学8080543105 2971725东北财经大学(较高收费)1616543101 2983175北京印刷学院3535543101 2995230昆明理工大学788254399 3002875上海海洋大学(较高收费)101054398 3012035重庆邮电大学(较高收费)1010542101 3024020浙江海洋学院1617541113 3033725哈尔滨商业大学115115541103 3043545沈阳理工大学7482541101 3052375东北石油大学7575541101 3061695辽宁工程技术大学20420454198 3071415华中师范大学(较高收费)2527540121 3084395山东师范大学6060540114 3092570上海中医药大学(较高收费)43540114 3102900太原科技大学90905391213112350大连民族学院已经更名为大连民族大学13145391093122130石河子大学148178539105 3132790辽宁石油化工大学146146539101 3142390上海师范大学(较高收费)313153896 3156085河南科技大学1780195853891 3162655湖北中医药大学6161537109 3176080河南财经政法大学(较高收费)9095537104 3182535西安科技大学(较高收费)23537102 3192345宁波诺丁汉大学2424537101 3204700湖南农业大学100100536116 3211745长春理工大学(较高收费)22536104 3221427西南大学(荣昌校区)323253698 3232000广西大学(较高收费)43535111 3246105河南工业大学10081039534105 3252105西安邮电大学(较高收费)33533111 3262360温州肯恩大学111553399 3274195福建农林大学2929532103 3286015河南中医学院58567953295 3292120新疆大学232244531108 3301405东北师范大学(较高收费)2713531107 3311145吉林大学(农林等单列专业)143530103 3322750海南大学(较高收费)425301023334890北京师范大学-香港浸会大学联合国际学院3027530973346030河南师范大学897942529111 3356009河南大学(中外合作办学)41033529107 3362530中北大学127143529100 3379919上海戏剧学院5552999 3382865重庆交通大学(较高收费)151452998 3391895福州大学(农林等单列专业)6552997 3406110郑州轻工业学院2717852994 3412515西南石油大学17915252991 3421103中南民族大学(仅招少数民族)1016952989 3435995郑州大学(中外合作办学)99099552985 3446100河南理工大学2567262352984 3451710沈阳农业大学176185511112 3466010河南农业大学93675150989行投档分数线排名数学外语控线线差1491445291511381345291501491335291441331395291401411315291401471305291371361295291341331415291321381295291321411395291321471285291271361415291261341315291231261385291211401335291201481435291181361345291151261435291121371225291121341355291081401355291041331265291021311395291011431255291011441295299714014252997135********133********14312652996137********12613852994136********12913652989133********138********12712152986134********1291285298411813352984132********1261215298312613652983136******** 131******** 12912152981 12713052980 12513652980 12013852980 10814152979 134******** 12912852978 11812152977 12412652975 12412052975 12711852973 10912452972 12412852971 12211452971 131******** 12812652971 12412452970 12613052970 14011952970 134******** 12411652969 12911952968 12112652968 10712752967 12411952967 12613252966 12013152966 12912852966 12313152966 14113352966 130******** 12812752965 10613152965 131******** 131******** 12412752963 12812352963 12913552962 139******** 12413552962 12710652961 11912752961 11613152961133******** 11212652960 12213052960 12811852960 12612152959 1367852959 131******** 12713452958 11912452957 134******** 12112852956 11512852956 11813852956 12612652956 139******** 12812252955 12312452954 12312752954 12113652954 12110752953 132******** 12912652952 12312952952 12812852952 11812852951 132******** 12111652951 138******** 11813352950 12112952950 12614052950 134******** 11312652949 10812952949 11711452949 12612352949 12512652948 11812552948 11613852948 12212852947 11911452947 11313052947 12212752947 12612052947 131********12711752947 11013052946 12711152946 130******** 130******** 12512152946 12811452946 12313152945 10712352945 12413352945 12012252945 12212552944 11013452944 12313252944 12513452944 12112352943 12012652943 11612452943 12611152943 131******** 12412352942 11311952942 12512352942 11812852942 10812352942 12311452942 12211352942 11811352941 11212852941 12711152940 12212352940 12310352940 11813352940 11510952940 12212152940 10612352939 12012952939 12111352939 12212452939 14111452939 131******** 11911752938 11812352938 10211452938 1261295293811811652938 11711452938 11912352937 11510352937 11312052937 10711852936 10711752936 11711852936 9112852936 11510852936 10411452936 11111652936 12711152936 130******** 11712352935 9612952935 11610852935 10912252935 133******** 12411952935 11612852934 10911052934 11211852933 12711352933 10613452933 12310552932 10111852932 10412652932 10612252932 11512952932 10912352931 11411652931 11312852931 12510952931 11112352931 11913052931 11412452930 10812152930 10511952930 11611452930 10411752930 11912152930 11510452929 1071165292911411452929 12111952929 10512352928 12010652928 10912552927 10711452927 130******** 10910952927 11311852927 12510952927 10712452926 10911752926 11911952926 10811652926 9611652925 10713052925 11711952925 12110152925 11611452925 12511552925 12112352924 11310452924 11211452924 9912952923 10911052923 1118952923 11012652923 11711152923 134******** 11711352923 12811652923 11212052922 11311652922 10812952922 8811952921 12211452921 9911952921 10512952921 11810152921 10612652921 11511652921 10312352920 10312052920 1091095292010810952919 10511152919 11711052919 12011952919 12911152919 10111352918 11912852918 10011352918 11211852918 10412452918 12011552917 10211652917 10810852917 11410452917 11310352917 11611152916 10813352916 11811652916 11711952916 11511852916 11512952916 12412152916 8812452915 12911752915 11910652915 9110952914 11511352914 10811852914 12210852914 11612152914 1099752914 11510152914 11210152914 12911052913 10411452912 11011252912 135******** 10512352912 10812152912 10211352911 11211452911 10612952911 1031135291011411452910 10812652910 1229352910 113975299 1091195299 1241135298 901085298 1201025298 1101175298 1091245297 1031035297 1241165297 118955296 1121015295 1241055294 1301115294 1201235293 1041165293 921215292 1261165292 1191135291 1221115291 1161115291 1181235290 1111015290 1111195290 1131175290 1071315290 1081045290 122985290 140905290 1121035290 1121185290 1011215290 89121529 103116529。