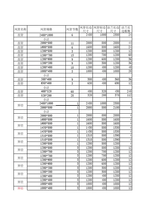
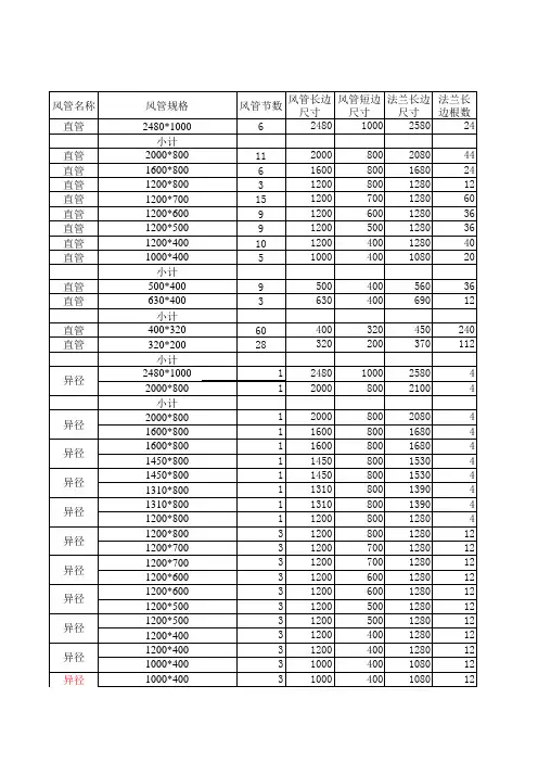
风管法兰配件计算表
- 格式:xls
- 大小:86.50 KB
- 文档页数:12
风管制作规范一、所有风管及其配件的制作、安装必须符合《通风与空调工程施工质量验收规范》(GB50243-2002)、及国家建材和质量保证体系并应满足消防部门的检测要求。
二、镀锌风管的种类:根据法兰的不同分为:共板法兰、角铁法兰、插条式法兰、德国法兰等。
根据公司设备特点,加工优势就是共板法兰。
下表确定:镀锌钢板风管板材厚度1.风管与配件的咬口应紧密,宽度应一致,圆弧应均匀,两端面平齐,风管无明显的扭曲与翅角,表面应平整,凹凸不大于10mm;2.风管边长(直径)小于或等于300mm时,边长(直径)的允许偏差为±2mm;风管边长(直径)大于300mm时,边长(直径)的允许偏差为±3mm;3.管口应平整,其平面度的允许偏差为2mm;矩形风管两条对角线长度之差不应大于3mm;4.风管与法兰采用铆接连接时,铆接应牢固、不应有脱铆和漏铆现象;翻边应平整、紧贴法兰,其宽度应一致;咬缝与四角处不应有开裂与孔洞。
5.风管内外表面不应有严重的划痕;6.风管板材拼接的咬口缝应错开,不应形成十字交叉缝;7.洁净空调系统风管不应采用横向接缝;8.风管为联合角咬口形式,单咬口长度为6mm~8mm。
单咬口包括直管的单边、弯头三通等的弧片都应满足咬口长度。
9.角铁法兰风管的翻边应紧贴法兰,翻边量均与、宽度应一致,不应小于6mm,且不应大于9mm。
图1:下图为成型风管图图2:下图为风管合口图图3:下图为风管联合口咬口图说明:图中L1=;L2=6-7mm五、角铁风管法兰的制作:1、角铁风管角钢的选用:21)中低压风管角钢法兰螺栓孔距≤150,高压≤100。
2)角钢法兰的连接螺栓和铆钉的规格及间距应符合上表的规定。
法兰的焊缝应熔合良好、饱满,不得有夹渣和孔洞;法兰四角处应设螺栓孔, 同一批同规格的法兰应具有互换性。
3)壁厚小于或等于的风管套入角钢法兰框后,应将风管端面翻边,并用铆钉铆接。
风管的翻边应平整、紧贴法兰、宽度均匀,翻边高度不应小于 6 mm;咬缝及四角处应无开裂与孔洞;铆接应牢固,无脱铆和漏铆。
风管计算方法名称单位元铝合金门蛋格风口个S*580+39铝合金门网式风口个S*210+36铝合金门自垂式百叶风口个S*475+42铝制人字闸个S*380+29钢制人字闸个S*320铝合金线型散流器个S*400+38*L 铝合金方(柜)型散流器个S*485+34钢制单层活动百叶风口个S*280+25钢制双层活动百叶风口个S*247+22.5钢制回风百叶风口个S*429+22.5钢制回风百叶风口个S*268+21.5钢制门绞式百叶回风口个S*334+19.5钢制防水百叶回风口个S*402+19.5矩形防水阀个S*600+341圆形防水阀个D平方*990+328矩形防火阀调节阀个S*605+342圆形防火阀调节阀个D平方*997+333矩形防烟防火阀调节阀个S*721+358圆形防烟防火阀调节阀个D平方*959+400矩形自动防烟防火阀调节阀个S*721+865圆形自动防烟防火阀调节阀个D平方*900+848矩形排烟阀个S*726+345圆形排烟阀个D平方*848+323矩形排烟防火阀个S*710+392圆形排烟防火阀个D平方*1125+323矩形远控排烟防火阀个S*827+636板式排烟口个S*815+680多叶排烟/送风口(卧式、立式)个S*1272+392远控多叶排烟/送风口(卧式、立式)个S*1272+509自动多叶排烟/送风口(卧式、立式)个S*1272+955钢制蝶阀(圆形)T302-7个D平方*668+42钢制蝶阀(方形、矩形)T302-8、9个S*701+35钢制止回阀(方形、矩形)个S*631+38钢制止回阀(圆形)个D平方*745+64手动对开风量调节阀个S*562+38电动对开风量调节阀个S*562+446电动对开密封风量调节阀个S*668+456三通调节阀个S*764+80余压阀个S*549+168矩形风量消声器个S*1114+435圆形风量消声器个(D平方*1030+412)*L 矩形阻性管式消声器个(S*636+403)*L矩形阻性管片式消声器个(S*1251+381)*L矩形阻抗复合式消声器个S*2122*L+403矩形微穿孔板消声器个(S*1283+816)*L圆形微穿孔板消声器个(S*1283+838)*L矩形微穿孔板消声弯头个(S*1754+1041)*L矩形阻性直角消声弯头个(S*552+1390)*L内衬单层孔板静压箱个(LW+WH+LH)*594不带孔板静压箱个(LW+WH+LH)*318消声百叶窗个S*1114+143说明:1、S=A*B 表示横截面积,单位为平方;2、D表示面积;L表示长度;W表示宽度;单位为M;3、风口、散流器以颈尺寸计算 圆面积S=3.14*半径²,防火风口套百叶风口*1.2。
不锈钢风管法兰计算
不锈钢风管法兰的计算需要考虑以下几个因素:
1. 风管直径
首先需要确定风管的直径,通常以毫米或英寸为单位。
直径会影响法兰的大小和数量。
2. 风压和风速
风管法兰计算需要考虑风压和风速,这通常是以帕斯卡或磅/平方英寸为单位的。
这两个因素会影响到使用的材料、法兰的尺寸和数量。
3. 法兰类型
不同的风管法兰类型包括平焊法兰、对焊法兰、螺纹法兰、盲板法兰等,每种类型的法兰有不同的尺寸和重量。
需要根据实际情况选择合适的法兰类型。
4. 材料选择
不锈钢风管法兰的材料通常选用304或316不锈钢,需要根据工程要求和预算选择合适的材料。
综上所述,计算风管法兰需要考虑以上几个因素,根据实际情况选择合适的法兰类型和材料,结合风管直径、风压和风速等要素,确定法兰的尺寸和数量。
法兰计算表过程设备强度设计书内压法兰无折边球面封头的法兰 计算单位中国轻工业武汉设计工程有限责任公司 设计条件垫片及螺栓计算 计算压力 Pc = MPa 垫片 材料N= mm y= MPa设计温度 t= ºC 外径x 内径x 厚度b= m =螺栓 直径d B = mm螺栓个数n=个法兰 材料 ==c G P bmp D F 28.6 N许用 应力 []=fσ MPa==c Gp DF 2785.0N []=t fσ MPa ==ybD W G a14.3 NF+F p = N 螺栓 材料 ()[]t bP m F F A σ/1+==mm 2 []bam W A σ=2=mm 2 许用应力 []=b σMPaAm=A m1或A m2(取两者中较大值)= mm 2 []=t b σ MPaA b = mm 2 =+=δβ5.05.0arcsini iR D ()[]=+=b b mA A W σ5.0N(º)操作情况下法兰的受力力 臂力 矩==c i D p D F 2785.0 N)(2/1ibDD D L -== mm==DD DL F M N·mm==P G F F N)(2/1GbGD D L -== mm ==GG GL F M N·mm=-=D r F F F N)(2/1G DTL LL +== mm==TT TL F M N·mm==1βctg F F D r N =--=l L rfrβδδcos22 mm==rr rL F M N·mm操作情况下法兰总力矩=-++=r T G D P M M M M MN·mm 预紧螺栓时法兰的受力力 臂力 矩==W F G N=-=)(2/1G bGDD L mm==GG aL F MN·mm[]=⎥⎦⎤⎢⎣⎡-+=i i if a a D D D D D M J σ mm 2 ,[]=⎥⎦⎤⎢⎣⎡-+=i i i t fPP D D D D D M J σmm 2法兰厚度 法兰厚度δf 取δfa 与 δfp 之大者,且不小于封头名义厚度的两倍==a fa J δmm=++=2L J L P fp δmm注:表中符号及其值的取法凡未列入本节的符号说明者均按第9章。
册说明一、第九册《通风空调工程》(以下简称本定额)适用于工业及民用建筑的新建、扩建项目中的通风、空调工程。
二、本定额主要依据的标准、规范有:1.《采暖通风和空气调节设计规范》GB50019-2003。
2.《通风及空调工程施工质量验收规范》GB50243-2002。
3.《暖通空调设计选用手册》。
4.《全国统一施工机械台班费用定额》(1998年)。
5.《全国统一安装工程基础定额》GJD203-2006。
6.《建设工程劳动定额》LD/T74.1-4-2008。
三、本定额是以量价合一的形式表现人工、材制、机械台班消耗量,在执行过程中对价格实行动态管理的计价定额。
省工程建设标准定额站负责人工、机械台班单价的动态管理,各市建经站(或标定站)负责材料价格的动态管理。
四、本定额适用于清单计价和定额计价。
是编制施工图预算、进行工程拨款、竣工结算、考核工程成本、编制企业定额的重要参考;是招标工程编制标底(或招标控制价),施工企业进行投标报价的基础;是选择经济合理的建筑设计方案的依据;也是编制安装工程概算及投资估算指标的依据。
五、本定额是按下列正常的施工条件编制的:1.设备、材料、成品、半成品、构件完整无损,符合质量标准和设计要求,附有合格证书和试验记录。
2.安装工程和土建工程之间的交叉作业正常。
3.安装地点、建筑物、设备基础、预留孔洞等符合安装要求。
4.水、电供应能满足安装施工的正常使用。
5.正常的气候、地理条件和施工环境。
六、人工工日消耗量及单价的确定:1.定额人工不分工种和技术等级,以综合工日表示,内容包括基本用工、超运距用工、人工幅度差。
2.人工单价是根据建设部、财政部建标【2003】206号文件规定的人工费组成并结合我省劳动力市场因素综合确定的。
七、材料消耗量及价格的确定:1.定额中材料消耗量包括直接消耗在安装工作内容中的主要材料、辅助材料、零星材料,并计入相应损耗。
包括从工地仓库、现场集中堆放点或现场加工点到操纵或安装地点的运输损耗、施工操作损耗、现场堆放损耗。
1、计算每米管道的沿程摩擦阻力:R=(λ/D)*(ν^2*γ/2)。
2、计算总阻力:P=RL。
3、计算风机压力:P*1.1。
γ-空气密度,可选1.2;Q-流量(h/m3);ν-流速(m/s);r-管道半径(m);D-管道直径(m);P-压力(Pa);R-沿程摩擦阻力(Pa);L-管道长度;λ-摩擦阻力系数,根据管道的Re值可取0.06-0.09。
2知道风量,怎么计算风管管径?假如空气量为67.9m³/h,那么选多大的管径?怎么算的?D=√[Q*4/(ν*3.14*3600)] =√[67.9*4/(5*3.14*3600)] =0.069m。
D-风管直径(m) Q-风量(m3/h) V-风速(m/s);设风速为5m/s。
3、1.1、计算压力:1.2、Re=(D*ν/0.0000151)=(0.3*0.5/0.0000151)=9933.771.3、λ=0.35/Re^0.25=0.35/9933.77^0.25=0.0351.4、R=[(λ/D)*(ν^2*γ/2)]*65=(0.035/0.3)*(0.5^2*1.2/2)=0.07Pa1.5、结论:在每米直径300mm风管中要保证0.5m/s的风速压力应为0.07Pa。
2、计算400mm管道中的流速:2.1、ν=Q/(r^2*3.14*3600)=10000/(0.2^2*3.14*3600)=22.11(m/s)1、假设在直径300mm的风管中风速为0.5m/m,它的风压是多少帕?怎么计算?(要求有公式,并说明公式中符号的意思,举例)2、假如一台风机它的风量为1000 0³/h,分别给10个房间抽风,就是有10个抽风口,风管的主管道是直径400mm,靠近风机的第一个抽风口的风压和抽风量肯定大于后面的抽风口,要怎么样配管才能使所有的抽风口的抽风量一样?要怎么计算?3、如何快速的根据电机的转速、风机叶片的角度、面积来来计算出这台风机的风量和风压。
GB50243-2016风管支吊架安装应符合下列规定金属风管水平安装,直径或边长小于等于400mm时,支吊架间距不应大于4m;大于400mm时间距不应大薄钢板法兰风管的支吊架间距不应大于3m。
垂直安装时应至少设置两个固定点,间距不大于4m。
支吊架离风口和分支管的距离不宜小于200mm。
悬吊的水平主干风管长度大于20m时应设置防晃支架或防止或防止摆动的固定点。
边长(直径)>1250mm的弯头、三通等部位应设置单独支吊架可伸缩金属或非金属柔性风管的长度不宜>2m。
柔性风管支吊架的间距不应>1500mm。
非金属风管垂直安装时支架间距不应大于3m。
直径或边长≥630mm的防火阀应设独立支吊架、消声器及静压箱应设置独立支吊架。
空调制冷剂管道、管件应符合:连接制冷机的吸排气管道应设置独立支架;管径≤40mm的铜管道在于阀门管道穿越墙体或楼板处应设置钢套管。
金属管道当设备安装在减震基座上时,独立支架的固定点应为减震基座冷热媒水、冷却水系统管道机房内总、干管的支吊架应采用承重防晃管架。
与设备相连的管架应采取处及长度每隔15m处设置承重防晃支吊架。
竖井内的立管应每两层或三层设置滑动支架。
注:1.适用于工作温度不大于2.0MP,保温材料密度不大于200kg/m3的管道系统2.洁净区(室内)应采用镀锌或其他防腐措施的支吊架3.>300的管道可参考300的管道应大于4m;大于400mm时间距不应大于3m。
螺旋风管的支吊架间距可为5m与3.75m。
置两个固定点,间距不大于4m。
摆动的固定点。
的间距不应>1500mm。
设置独立支吊架。
支架;管径≤40mm的铜管道在于阀门连接处应设置支架。
水平管道支架的间距不应大于1.5m,垂直管道不应大于2m。
注:1.支吊架不得支撑在接头上2.水平管的任何两个接头之间应设置支吊架防晃管架。
与设备相连的管架应采取防晃措施。
当水平支管的管架采用单吊杆时,应在系统管道的起始点、阀门、三通、弯头m3的管道系统管道不应大于2m。
管道D0法兰宽度D1D2板厚材质密度mm
mm mm mm mm -g/cm³1850501900195010碳钢7.85管道W0
法兰宽度W1W2板厚材质密度mm
mm mm mm mm -g/cm³1870
601930199010碳钢7.85
管道H0
法兰宽度H1H2mm
mm mm mm 12146012741334管道D0
法兰宽度D1D2材料单重mm
mm mm mm kg/m 32030350380 1.37管道W0
法兰宽度W1W2材料单重mm
mm mm mm kg/m 206
30236266 1.37
管道H0
法兰宽度H1H2mm
mm mm mm 29630326356作 者:
书歌
本计算表已
在百度文库
“书之友”
店铺上发布扫码进店看
看吧↓↓↓圆形平板法兰
矩形平板法兰
圆形角钢法兰
矩形角钢法兰
材料等边角钢L30*3材料等边角钢L30*3
↓↓↓单元格样式↓↓↓法兰单重法兰数量法兰总重
/数值输入/
kg/片片kg
23.425117.08/数值计算/
法兰单重法兰数量法兰总重
kg/片片kg
30.187211.27
法兰单重法兰数量法兰总重
kg/片片kg
1.5157.53
法兰单重法兰数量法兰总重
kg/片片kg
1.543 4.62。
风管法兰规格
风管法兰是一种用于连接风管的配件,主要用于通风、空调、暖通系
统中,起着连接和密封管道的作用。
根据不同的材质、用途和尺寸要求,
风管法兰规格也有所不同。
一、材质
风管法兰的材质主要有钢质、塑料、不锈钢等。
其中钢质法兰一般使
用碳素钢、低合金钢等材料,主要用于工业、机械、建筑等领域。
塑料法
兰一般使用PVC、PP、PE等材料,主要用于化工、制药、食品、生物工程
等领域。
不锈钢法兰主要使用304、316等不锈钢材料,具有较好的耐蚀
性和高温耐性,主要用于化工、医药、食品、造船等领域。
二、用途
风管法兰的用途也决定了它的规格不同。
例如,在普通建筑物的通风
空调系统中,通常采用φ100-φ500mm的钢制法兰或φ100-φ300mm的塑
料法兰。
而在高层建筑和大型工厂的通风、空调、排风系统中,风管法兰
规格则需要更加严格,使用的材质也更高端、更耐用。
三、尺寸要求
风管法兰的尺寸要求主要取决于所连接的风管的直径和厚度。
按照国
际标准,常用的风管法兰规格有:DN10、DN15、DN20、DN25、DN32、DN40、DN50、DN65、DN80、DN100等,其中DN表示公称直径,单位为毫米。
此外,法兰连接面也有分平面和凸面两种,由于凸面法兰连接时需要垫片,
所以密封性更好。
总之,风管法兰规格因应用领域、材质和尺寸要求的不同而有所区别,在选购和使用时需慎重考虑,选择适合自己的规格和材质,以确保系统的
稳定运行和使用寿命。