《测量平差》复习题
- 格式:doc
- 大小:41.00 KB
- 文档页数:7
《误差理论与测量平差》试卷(D )卷考试时间:100分钟考试方式:闭卷题号-一- -二二二四五六总分得分阅卷人、填空题(共20分,每空2 分)1、观测误差产生的原因为:仪器、外界环境、观测者2、已知一水准网如下图,其中A、B为已知点,观测了8段高差,若设E点高程的平差值与BE之间高差的平差值为未知参数)?1>刃2,按附有限制条件的条件平差法(概括平差法)进行平差时,必要观测个数为_4 _________ ,多余观测个数为_4 ________ ,一般条件方程个数为5 ______ ,限制条件方程个数为_ 1 __________3、取一长度为d的直线之丈量结果的权为1,则长度为D的直线之丈量结果的权为d/D _______ ,若长度为D的直线丈量了n次,则其算术平均值的权为_______ nd/D ______ 。
24、已知某点(X、Y)的协方差阵如下,其相关系数p XY=0.6________ ,其点位方差为CT 1.25 mm9.25 0.30D XX =030 1.00?二、设对某量分别进行等精度了 n 、m 次独立观测,分别得到观测值L i , (\ = 1,2- n),L i , (i =1,2,…m),权为 P i = p ,试求:1)n 次观测的加权平均值 Xn = 的权p n[p]解:因为p i=px -用]X n1 Pl_1 pl_2pL n[p]np=-L 1L nn—1 1 …1 r (L 1 L 2 …Ln Tn根据协因数传播定律,则 X n 的权p n :■v1 1 J——=—(1 1 …1 )* % +*1 1 a 1 P m mm ■'mp兀」订丿贝U : p n 二 np2)m 次观测的加权平均值 x m = 的权p m[p]X m =[PL]—PL I PL2 pL m[p] mp1L i L2 L mm」1 1 1 * L i L2 L m Tm根据协因数传播定律,则X m的权p m:1 1 ,111——=—(1 1…1)*+* __ I-P m m m■mp< ZP」11丿则:P m 二mp3)加权平均值x二叭P m X m的权p xP n + P mP n P m n p*X n mp*X mnp mp根据协因数传播定律,则X的权Y XnI(2 分)(2 分)贝U: p X = (n • m) p (1 分)三、已知某平面控制网中待定点坐标平差参数?的协因数为Q X? *1.5 1in +m2其单位为(dm/s),并求得<?o =二2 ",试用两种方法求E、F o(15分)若选择/ ABC平差值为未知参数X ,用附有参数的条件平差法列岀其平差值条件方程式。
1. 若令 ⎥⎥⎦⎤⎢⎢⎣⎡=⨯⨯1211Y X Z ,其中 ⎥⎦⎤⎢⎣⎡=21Y Y Y ,已知权阵Z P 为⎥⎥⎥⎦⎤⎢⎢⎢⎣⎡----=211120102Z P ,试求权阵X P ,Y P 及权1Y P ,2Y P 。
需要掌握的要点:向量的协方差阵D 、协因数阵Q 、权阵P 之间的关系和它们里面元素的含义。
解:由于1-=Z ZZ P Q ,所以⎥⎥⎥⎦⎤⎢⎢⎢⎣⎡=12/12/12/14/34/12/14/14/3ZZQ ,通过该式子可以看出,[]4/3=XXQ ,⎥⎦⎤⎢⎣⎡=12/12/14/3YY Q ,则3/41==-XX Q P X ,⎥⎦⎤⎢⎣⎡--==-2/31121YY Q P Y 且3/41=Y P ,12=Y P2. 设已知点A、B 之间的附合水准路线长80km ,令每公里观测高差的权等于1,试求平差后线路中点C 点高程的权。
思路:该题可以有三种解法(测量学的单附合水准路线平差、条件平差、间接平差)。
千万记住:求什么量的权就一定要把给量的函数表达式子正确地写出来。
即1ˆˆh H H A C +=,或X H Cˆˆ= 方法一:(测量学的单附合水准路线平差) (1) 线路闭合差B A h H h h H f -++=21)(21)2121()(212121)(2121ˆ2121211111B A B A B A A h A A C H H h h H H h h H h h H h H f h H v h H H ++⎥⎦⎤⎢⎣⎡⋅-=++-=-++-+=-+=++=(2) 按照协因数传播定律:202/12/1400040)2121(2/12/1)2121(22122111ˆˆ=⎥⎦⎤⎢⎣⎡-⋅⎥⎦⎤⎢⎣⎡-=⎥⎦⎤⎢⎣⎡-⋅⎥⎦⎤⎢⎣⎡-=h h h h h h h h H H Q Q Q Q Q CC(3) 则 20/1/1ˆˆˆ==C C C H H H Q P方法二:(条件平差法)思路:因为C 点高程平差值是观测值平差值的函数。
一、填空题(每空2分,共20分)1、最优估计量应具有的性质为 、 和 最优估计量主要针对观测值中仅含 误差而言。
2、间接平差中,未知参数的选取要求满足 、 。
3已知条件平差的法方程为024322421=⎥⎦⎤⎢⎣⎡+⎥⎦⎤⎢⎣⎡⎥⎦⎤⎢⎣⎡k k ,则PV V T = ,μ= , 1k p = ,2k p = 。
4、已知某平差问题,观测值个数为79,必要观测量个数为35,则按间接平差进行求解时,误差方程式个数为 ,法方程式个数为 。
5、已知某平差问题观测值个数为50,必要观测量个数为22,若选6个独立参数按具有参数的条件平差进行求解,则函数模型个数为 ,联系数法方程式的个数为 ;若在22个独立参数的基础上,又选了4个非独立参数按具有条件的参数平差进行求解,则函数模型个数为 ,联系数法方程式的个数为 。
6、条件平差中条件方程的个数等于________________,所选参数的个数等于_______________。
7、已知真误差向量1⨯∆n 及其权阵P ,则单位权中误差公式为 ,当权阵P 为 此公式变为中误差公式。
二、计算题(每题2分,共20分)1、条件平差的法方程等价于:A 、0=+W K Q KB 、0=+W Q K WC 、0=+W P K WD 、0=+W P K K答:______2、水准测量中,10km 观测高差值权为8,则5km 高差之权为:A 、2B 、4C 、8D 、16答:______3、已知⎥⎦⎤⎢⎣⎡=∆3112P ,则2L p 为:A 、2B 、3C 、25D 、35答:______4、间接平差中,L Q ˆ为:A 、TA AN 1- B 、A N A T1-C 、T A AN P11--- D 、A N A P T 11---答:______5、观测条件是指:A)产生观测误差的几个主要因素:仪器,观测者,外界条件等的综合B)测量时的几个基本操作:仪器的对中,整平,照准,度盘配置,读数等要素的综合 C)测量时的外界环境:温度,湿度,气压,大气折光……等因素的综合. D)观测时的天气状况与观测点地理状况诸因素的综合答:______ 6、已知观测向量()L L L T=12的协方差阵为D L =--⎛⎝ ⎫⎭⎪3112,若有观测值函数Y 1=2L 1,Y 2=L 1+L 2,则σy y 12等于?(A)1/4 (B)2 (C)1/2 (D)4 答:_____ 7、已知观测向量()L L L T=12的权阵P L =--⎛⎝ ⎫⎭⎪2113,单位权方差σ025=,则观测值L 1的方差σL 12等于:(A)0.4 (B)2.5 (C)3 (D)253答:____ 8、已知测角网如下图,观测了各三角形的内角,判断下列结果,选出正确答案。
一、填空题(每空2分,共20分)1、最优估计量应具有的性质为 、 和 最优估计量主要针对观测值中仅含 误差而言。
2、间接平差中,未知参数的选取要求满足 、 。
3已知条件平差的法方程为024322421=⎥⎦⎤⎢⎣⎡+⎥⎦⎤⎢⎣⎡⎥⎦⎤⎢⎣⎡k k ,则PV V T = ,μ= , 1k p = ,2k p = 。
4、已知某平差问题,观测值个数为79,必要观测量个数为35,则按间接平差进行求解时,误差方程式个数为 ,法方程式个数为 。
5、已知某平差问题观测值个数为50,必要观测量个数为22,若选6个独立参数按具有参数的条件平差进行求解,则函数模型个数为 ,联系数法方程式的个数为 ;若在22个独立参数的基础上,又选了4个非独立参数按具有条件的参数平差进行求解,则函数模型个数为 ,联系数法方程式的个数为 。
6、条件平差中条件方程的个数等于________________,所选参数的个数等于_______________。
7、已知真误差向量1⨯∆n 及其权阵P ,则单位权中误差公式为 ,当权阵P 为 此公式变为中误差公式。
二、计算题(每题2分,共20分)1、条件平差的法方程等价于:A 、0=+W K Q KB 、0=+W Q K WC 、0=+W P K WD 、0=+W P K K答:______2、水准测量中,10km 观测高差值权为8,则5km 高差之权为:A 、2B 、4C 、8D 、16答:______3、已知⎥⎦⎤⎢⎣⎡=∆3112P ,则2L p 为:A 、2B 、3C 、25D 、35答:______4、间接平差中,L Q ˆ为:A 、TA AN 1- B 、A N A T1-C 、T A AN P11--- D 、A N A P T 11---答:______5、观测条件是指:A)产生观测误差的几个主要因素:仪器,观测者,外界条件等的综合B)测量时的几个基本操作:仪器的对中,整平,照准,度盘配置,读数等要素的综合 C)测量时的外界环境:温度,湿度,气压,大气折光……等因素的综合. D)观测时的天气状况与观测点地理状况诸因素的综合答:______ 6、已知观测向量()L L L T=12的协方差阵为D L =--⎛⎝ ⎫⎭⎪3112,若有观测值函数Y 1=2L 1,Y 2=L 1+L 2,则σy y 12等于(A)1/4 (B)2 (C)1/2 (D)4 答:_____ 7、已知观测向量()L L L T=12的权阵P L =--⎛⎝ ⎫⎭⎪2113,单位权方差σ025=,则观测值L 1的方差σL 12等于:(A) (B) (C)3 (D)253答:____ 8、已知测角网如下图,观测了各三角形的内角,判断下列结果,选出正确答案。
一、填空题 (共20分,每空 2 分)1、如下图,其中A 、B 、C 为已知点,观测了5个角,若设L 1、L 5观测值的平差值为未知参数21ˆˆX X 、,按附有限制条件的条件平差法进行平差时,必要观测个数为 ,多余观测个数为 ,一般条件方程个数为 ,限制条件方程个数为ABCDEL 1L 2L 3L 4L 52、测量是所称的观测条件包括 、观测者、3、已知某段距离进行了同精度的往返测量(L 1、L 2),其中误差cm 221==σσ,往返测的平均值的中误差为 ,若单位权中误差cm 40=σ,往返测的平均值的权为4、已知某观测值X 、Y 的协因数阵如下,其极大值方向为 ,若单位权中误差为±2mm ,极小值F 为 mm 。
⎪⎪⎭⎫⎝⎛--=0.15.05.00.2XXQ 二、已知某观测值X 、Y 的协因数阵如下,求X 、Y 的相关系数ρ。
(10分)⎪⎪⎭⎫ ⎝⎛--=25.015.015.036.0XXQ 三、设有一函数2535+=x T ,6712+=y F 其中:⎩⎨⎧+++=+++=n n nn L L L y L L L x βββααα 22112211 αi =A 、βi =B (i =1,2,…,n )是无误差的常数,L i 的权为p i =1,p ij =0(i ≠j )。
(15分) 1)求函数T 、F 的权; 2)求协因数阵TF Ty Q Q 、。
四、如图所示水准网,A 、B 、C 三点为已知高程点, D 、E 为未知点,各观测高差及路线长度如下表所列。
(20分)用间接平差法计算未知点D 、E 的高程平差值及其中误差;ACBDh 1h 2h 3h 4h 5E h 6高差观测值/m 对应线路长度/km已知点高程/mh 1= -1.348 h 2= 0.691 h 3= 1.265 h 4= -0.662 h 5= -0.088 h 5= 0.7631 1 1 1 1 1H A =23.000 H B =23.564 C B =23.663五、如下图所示,A ,B 点为已知高程点,试按条件平差法求证在单一附合水准路线中,平差后高程最弱点在水准路线中央。
《测量平差》复习题第一章:绪论1、什么是观测量的真值?任何观测量,客观上总存在一个能反映其真正大小的数值,这个数值称为观测量的真值。
2、什么是观测误差?观测量的真值与观测值的差称为观测误差。
3、什么是观测条件?仪器误差、观测者和外界环境的综合影响称为观测条件。
4、根据误差对观测结果的影响,观测误差可分为哪几类?根据误差对观测结果的影响,观测误差可分为系统误差和偶然误差两类。
5、在测量中产生误差是不可避免的,即误差存在于整个观测过程,称为误差公理。
6、观测条件与观测质量之间的关系是什么?观测条件好,观测质量就高,观测条件差,观测质量就低。
7、怎样消除或削弱系统误差的影响?一是在观测过程中采取一定的措施;二是在观测结果中加入改正数。
8、测量平差的任务是什么?⑴求观测值的最或是值(平差值);⑵评定观测值及平差值的精度。
第二章:误差理论与平差原则1、描述偶然误差分布常用的三种方法是什么?⑴列表法;⑵绘图法;⑶密度函数法。
2、偶然误差具有哪些统计特性?(1) 有界性:在一定的观测条件下,误差的绝对值不会超过一定的限值。
(2) 聚中性:绝对值较小的误差比绝对值较大的误差出现的概率要大。
(3) 对称性:绝对值相等的正负误差出现的概率相等。
(4) 抵偿性:偶然误差的数学期望或偶然误差的算术平均值的极限值为0。
3、由偶然误差特性引出的两个测量依据是什么?⑴制定测量限差的依据;⑵判断系统误差(粗差)的依据。
4、什么叫精度?精度指的是误差分布的密集或离散的程度。
5、观测量的精度指标有哪些?(1) 方差与中误差;(2) 极限误差;(3) 相对误差。
6、极限误差是怎样定义的?在一定条件下,偶然误差不会超过一个界值,这个界值就是极限误差。
通常取三倍中误差为极限误差。
当观测要求较严时,也可取两倍中误差为极限误差。
7、误差传播律是用来解决什么问题的?误差传播律是用来求观测值函数的中误差。
8、应用误差传播律的实际步骤是什么?(1) 根据具体测量问题,分析写出函数表达式;(2) 根据函数表达式写出真误差关系式;(3) 将真误差关系式转换成中误差关系式。
测量平差复习题答案一、单项选择题1. 在测量平差中,观测值的改正数与观测值的符号相反,说明该观测值是()。
A. 正误差B. 负误差C. 系统误差D. 偶然误差答案:B2. 测量平差中,观测值的中误差是指()。
A. 观测值的标准差B. 观测值的均值C. 观测值的偏差D. 观测值的最大误差答案:A3. 测量平差中,单位权中误差的计算公式为()。
A. σ0 = √(Σσ²) / nB. σ0 = Σσ² / nC. σ0 = √(Σσ²) / ΣnD. σ0= Σσ² / Σn答案:A二、多项选择题1. 测量平差中,下列哪些因素会影响观测值的精度()。
A. 观测者的技能水平B. 观测仪器的精度C. 观测环境D. 观测时间答案:ABCD2. 在测量平差中,下列哪些方法可以提高观测精度()。
A. 增加观测次数B. 采用高精度仪器C. 改进观测方法D. 延长观测时间答案:ABC三、填空题1. 测量平差中,观测值的中误差是用来衡量观测值的______。
答案:精度2. 测量平差中,单位权中误差是用来衡量观测值的______。
答案:精度3. 在测量平差中,观测值的改正数是用来______观测值的系统误差。
答案:消除四、简答题1. 简述测量平差中,观测值的中误差与观测值的精度之间的关系。
答案:观测值的中误差是观测值精度的一种度量,中误差越小,说明观测值的精度越高。
2. 测量平差中,如何通过观测值的改正数来判断观测值的误差性质?答案:观测值的改正数与观测值的符号相反,说明该观测值是负误差;如果改正数与观测值的符号相同,则说明该观测值是正误差。
五、计算题1. 已知一组观测值的方差分别为2、3、4,计算该组观测值的单位权中误差。
答案:σ0 = √(2+3+4) / 3 = √9 / 3 = √32. 假设在一次测量中,观测者得到了一组观测值,其改正数分别为-0.1、0.2、-0.3,计算该组观测值的平均改正数。
第二部分自测题第一章自测题、判断题(每题 2 分,共 20分)1、通过平差可以消除误差,从而消除观测值之间的矛盾。
()2、观测值L i 与其偶然真误差i必定等精度。
()3、测量条件相同,观测值的精度相同,它们的中误差、真误差也相同。
()4、或然误差为最或然值与观测值之差。
()5、若X 、Y向量的维数相同,则Q XY Q YX 。
()6、最小二乘原理要求观测值必须服从正态分布。
()7、若真误差向量的数学期望为 0,即E() 0 ,则表示观测值中仅含偶然误差。
()8、单位权中误差变化,但权比及中误差均不变。
()9、权或权倒数可以有单位。
()10 、相关观测值权逆阵Q 的对角线元素Q ii 与权阵P 的对角线元素P ii 之间的关系为Q ii P ii 1 。
()、填空题(每空 0.5分,共 20 分) 1、测量平差就是在基础上,依据原则,对观测值进行合理的调整,即分别给以适当的,使矛盾消除,从而得到一组最可靠的结果,并进行。
2、测量条件包括、、和,由于测量条件的不可能绝对理想,使得一切测量结果必然含有。
3、测量误差定义为,按其性质可分为、和。
经典测量平差主要研究的是误差。
4、偶然误差服从分布,它的概率特性为、和。
仅含偶然误差的观测值线性函数服从分布。
5、最优估计量应具有的性质为、和。
若模型为线性模型,则所得最优估计量称为,最优估计量主要针对观测值中仅含误差而言。
要证明某估计量为最优估计量,只需证明其满足性和性即可。
6、限差是的最大误差限,它的概率依据是,测量上常用于制定的误差限。
7、若已知观测值向量L 或其偶然真误差向量的协方差阵为,则L 或的权阵定义为P L = P = ,由于验前精度难以精确求得,实用中定权公式有,特别是对独立等精度观测向量L 而言,其权阵可简单取为P L =3、长方形地块的面积由长和宽得到,已知长度的测量值 a 4m 1cm,若要求面积的中误差m S 5dm2,则宽度测量值b 3m的中误差应限制在范围。
《测量平差》复习题第一章:绪论1、什么是观测量的真值?任何观测量,客观上总存在一个能反映其真正大小的数值,这个数值称为观测量的真值。
2、什么是观测误差?观测量的真值与观测值的差称为观测误差。
3、什么是观测条件?仪器误差、观测者和外界环境的综合影响称为观测条件。
4、根据误差对观测结果的影响,观测误差可分为哪几类?根据误差对观测结果的影响,观测误差可分为系统误差和偶然误差两类。
5、在测量中产生误差是不可避免的,即误差存在于整个观测过程,称为误差公理。
6、观测条件与观测质量之间的关系是什么?观测条件好,观测质量就高,观测条件差,观测质量就低。
7、怎样消除或削弱系统误差的影响?一是在观测过程中采取一定的措施;二是在观测结果中加入改正数。
8、测量平差的任务是什么?⑴求观测值的最或是值(平差值);⑵评定观测值及平差值的精度。
第二章:误差理论与平差原则1、描述偶然误差分布常用的三种方法是什么?⑴列表法;⑵绘图法;⑶密度函数法。
2、偶然误差具有哪些统计特性?(1) 有界性:在一定的观测条件下,误差的绝对值不会超过一定的限值。
(2) 聚中性:绝对值较小的误差比绝对值较大的误差出现的概率要大。
(3) 对称性:绝对值相等的正负误差出现的概率相等。
(4) 抵偿性:偶然误差的数学期望或偶然误差的算术平均值的极限值为0。
3、由偶然误差特性引出的两个测量依据是什么?⑴制定测量限差的依据;⑵判断系统误差(粗差)的依据。
4、什么叫精度?精度指的是误差分布的密集或离散的程度。
5、观测量的精度指标有哪些?(1) 方差与中误差;(2) 极限误差;(3) 相对误差。
6、极限误差是怎样定义的?在一定条件下,偶然误差不会超过一个界值,这个界值就是极限误差。
通常取三倍中误差为极限误差。
当观测要求较严时,也可取两倍中误差为极限误差。
7、误差传播律是用来解决什么问题的? 误差传播律是用来求观测值函数的中误差。
8、应用误差传播律的实际步骤是什么? (1) 根据具体测量问题,分析写出函数表达式),,,(21n x x x f z =;(2) 根据函数表达式写出真误差关系式n nx x f x x f x x f z ∆∂∂++∆∂∂+∆∂∂=∆ 2211; (3) 将真误差关系式转换成中误差关系式。
1一、填空题(每空2分,共20分)1、最优估计量应具有的性质为 、 和 最优估计量主要针对观测值中仅含 误差而言。
2、间接平差中,未知参数的选取要求满足 、 。
3已知条件平差的法方程为024322421=⎥⎦⎤⎢⎣⎡+⎥⎦⎤⎢⎣⎡⎥⎦⎤⎢⎣⎡k k ,则PV V T = ,μ= , 1k p = ,2k p = 。
4、已知某平差问题,观测值个数为79,必要观测量个数为35,则按间接平差进行求解时,误差方程式个数为 ,法方程式个数为 。
5、已知某平差问题观测值个数为50,必要观测量个数为22,若选6个独立参数按具有参数的条件平差进行求解,则函数模型个数为 ,联系数法方程式的个数为 ;若在22个独立参数的基础上,又选了4个非独立参数按具有条件的参数平差进行求解,则函数模型个数为 ,联系数法方程式的个数为 。
6、条件平差中条件方程的个数等于________________,所选参数的个数等于_______________。
7、已知真误差向量1⨯∆n 及其权阵P ,则单位权中误差公式为 ,当权阵P 为此公式变为中误差公式。
二、计算题(每题2分,共20分)1、条件平差的法方程等价于:A 、0=+W K Q KB 、0=+W Q K WC 、0=+W P K WD 、0=+W P K K答:______2、水准测量中,10km 观测高差值权为8,则5km 高差之权为:A 、2B 、4C 、8D 、16答:______ 3、已知⎥⎦⎤⎢⎣⎡=∆3112P ,则2L p 为:A 、2B 、3C 、25D 、35 答:______4、间接平差中,L Q ˆ为:A 、TA AN 1- B 、A N A T1-C 、T A AN P11--- D 、A N A P T 11---答:______5、观测条件是指:A)产生观测误差的几个主要因素:仪器,观测者,外界条件等的综合B)测量时的几个基本操作:仪器的对中,整平,照准,度盘配置,读数等要素的综合 C)测量时的外界环境:温度,湿度,气压,大气折光……等因素的综合.D)观测时的天气状况与观测点地理状况诸因素的综合 答:______ 6、已知观测向量()L L L T=12的协方差阵为D L =--⎛⎝ ⎫⎭⎪3112,若有观测值函数Y 1=2L 1,Y 2=L 1+L 2,则σy y 12等于(A)1/4 (B)2 (C)1/2 (D)4 答:_____7、已知观测向量()L L L T=12的权阵P L =--⎛⎝ ⎫⎭⎪2113,单位权方差σ025=,则观测值L 1的方差σL 12等于:(A) (B) (C)3 (D)253答:____ 8、已知测角网如下图,观测了各三角形的内角,判断下列结果,选出正确答案。
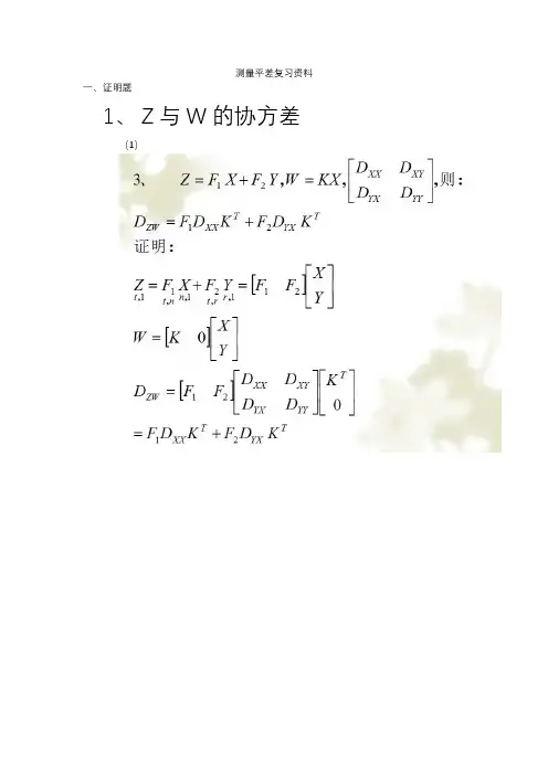
测量平差复习资料一、证明题
1、Z与W的协方差
(1)
2、告诉条件平差公式告诉(1)条件平差的公式;推论出Q VV 及Q LL
(2)间接平差
3、水准测量(1)按测站
(2)按路线
二、推导题
(1)
(2)
填空题
1、u = 0 条件平差;u = t 间接平差;u<t 附有参数的条件平差;u>t 附有限制条件的间接平差(注:t为必要观测,u为参数的个数)
2、正态分布参数μ、σ,μ确定了曲线中心位置,σ越小f(x)值越大曲线越陡峭。
3网中只有一个已知高程点称为自由网,其必要观测为网中水准点的总数减一。
符合水准网,网中已知高程点大于等于2个,其必要观测为网中待测水准点的个数。
(p69)
3、测量误差的种类主要平定那种误差
粗差、系统误差、偶然误差(主要平定的误差)
4、精度(p15)精确度(p19)
5、偶然误差的特性:有界性聚中性对称性、抵偿性
6、协方差p27
计算题
P67(例5-1) p99(例6-1) p109(例6-4)。
一、 正误判断(正确“T ”,错误“F ”每题1分,共10 分)。
1.已知两段距离的长度及中误差分别为128.286m ±4.5cm 与218.268m ±4.5cm ,则其真误差与精度均相同( )。
2.如果X 与Y 的协方差0xy σ=,则其不相关( )。
3.水准测量中,按公式i icp s =(i s 为水准路线长)来定权,要求每公里高差精度相同( )。
4.可用误差椭圆来确定待定点与待定点之间的某些精度指标( )。
5.在某一平差问题中,观测数为n ,必要观测数为t ,参数个数u <t 且不独立,则该平差问题可采用附有参数的条件平差的函数模型。
( )。
6.由于同一平差问题采用不同的平差方法得到的结果不同,因此为了得到最佳平差结果,必须谨慎选择平差方法( )。
7.根据公式()222220cos sin 0360E F θσθθθ=+≤≤得到的曲线就是误差椭圆( )。
8.对于特定的平面控制网,如果按间接平差法解算,则误差方程的个数是一定的( )。
9.对于同一个观测值来说,若选定一定权常数0σ,则权愈小,其方差愈小,其精度愈高( )。
10.设观测值向量,1n L 彼此不独立,其权为()1,2,,i P i n =,12(,,,)n Z f L L L =,则有22211221111Z n nf f f P L P L P L P ⎛⎫⎛⎫⎛⎫∂∂∂=+++ ⎪ ⎪ ⎪∂∂∂⎝⎭⎝⎭⎝⎭( )。
二、填空题(每空2分,共24分)。
1、设对某三角网进行同精度观测,得三角形角度闭合差分别为:3秒,-3秒,2秒,4秒,-2秒,-1秒,0秒,-4秒,3秒,-2秒,则测角中误差为 秒。
2、某平差问题函数模型)(I Q =为⎪⎪⎩⎪⎪⎨⎧=-=--=+-+=--0ˆ03060515443121x v v v v v v v v ,则该函数模型为 平差方法的模型;=n ,=t ,=r ,=c ,=u 。
一、填空。
(每空1分,共22分)1.与的比值称为相对中误差。
2.误差椭圆的三个参数是________、________、_________。
3.闭合导线按条件平差时条件方程式的个数等于___个,分别是____个____________________条件和____对_______________________条件。
4 .设某平差问题中,观测值个数为n个,必要观测数为t个,若按条件平差,条件方程的个数等于______个,法方程的个数等于_______个。
若按间接平差,误差方程式的个数等于______个,未知数的个数等于______个,法方程的个数等于____个。
5.根据误差传播定律,若某一站观测高差的中误差为2mm,在A、B两点间共观测了4站,则A、B两点间高差的中误差为mm。
6.导线网按条件平差,所列条件方程中的未知数,既有___________的改正数,也有___________的改正数。
7.在水准测量中若已知每公里观测高差的中误差均相等,且又知各水准路线的长度为Si(I=1,2,……n),则观测高差的权可用公式_________求出。
8.偶然误差的特性为:绝对值较小的误差出现的可能性;绝对值相等的正负误差出现的可能性;偶然误差的理论平均值。
1.__________、_________和_________合称为观测条件。
2.水准路线的定权方法有两种:根据_________定权和根据_________定权。
3.由三角形闭合差来计算测角中误差的公式为,称其为菲列罗公式。
4.由不等精度的双观测值之差计算单位权中误差的公式为σ0= ,由等精度的双观测值之差计算观测值中误差的公式为。
5 .单导线按条件平差时条件方程的个数永远等于个,附合导线中个坐标方位角条件和一对条件,闭合导线中一个条件和对闭合条件。
6.常用的衡量精度的指标有、、、1.独立边角同测网条件方程式的种类,除了具有测角网和测边网的条件式外,还具有反映边角关系的二种条件,它们是和。
测量平差复习题答案一、选择题1. 平差的目的是什么?A. 确定测量数据的准确度B. 消除测量误差C. 计算未知点的坐标D. 以上都是2. 测量平差中,观测值的权值与什么有关?A. 观测值的精度B. 观测条件C. 测量仪器的精度D. 观测者的经验3. 测量误差的来源主要包括哪些?A. 仪器误差B. 人为误差C. 环境误差D. 所有以上4. 测量平差中,最小二乘法的基本原理是什么?A. 误差平方和最小B. 误差绝对值和最小C. 误差乘积最小D. 误差平均值最小5. 测量平差中,如何确定观测值的权?A. 根据观测者的经验和直觉B. 根据观测值的精度C. 根据测量仪器的精度D. 根据观测条件二、填空题6. 平差过程中,测量误差的改正数通常用________表示。
7. 测量平差中,权的概念是指________。
8. 测量误差的类型包括系统误差和________。
9. 最小二乘法中,观测值的权值通常与________成反比。
10. 测量平差中,常用的权函数有________和________。
三、简答题11. 简述测量平差中,最小二乘法的计算步骤。
12. 说明测量平差中,如何确定观测值的权值。
13. 描述测量平差中,误差传播的概念及其重要性。
四、计算题14. 假设有一组观测数据,其观测值为:x1=100.2mm, x2=100.3mm, x3=100.1mm。
已知观测误差的标准差为σ=0.1mm,试计算这组数据的平均值及其标准误差。
五、论述题15. 论述测量平差在工程测量中的重要性及其应用。
【答案】1. D2. A3. D4. A5. B6. 改正数7. 观测值的相对重要性8. 随机误差9. 观测误差的方差10. 倒数权函数,倒数平方权函数11. 略(根据最小二乘法的基本原理和计算步骤回答)12. 略(根据观测值的精度和误差方差来确定权值)13. 略(描述误差传播的概念,以及在测量平差中的重要性)14. 平均值 = (100.2 + 100.3 + 100.1) / 3 = 100.2mm;标准误差= σ / √3 = 0.1 / √3 mm15. 略(根据测量平差在工程测量中的重要性和应用进行论述)【结束语】测量平差是确保测量结果准确性的重要手段,通过本复习题的练习,希望能够帮助大家更好地理解和掌握测量平差的基本理论、方法和应用。
测量平差复习题及答案一、综合题1.已知两段距离(de)长度及中误差分别为cm m 5.4465.300±及cm m 5.4894.660±,试说明这两段距离(de)真误差是否相等他们(de)精度是否相等答:它们(de)真误差不一定相等;相对精度不相等,后者高于前者.2.已知观测值向量⎪⎪⎭⎫ ⎝⎛=2121L L L (de)权阵为⎥⎥⎦⎤⎢⎢⎣⎡=32313132LL P ,现有函数21L L X +=,13L Y =,求观测值(de)权1L P ,2L P ,观测值(de)协因数阵XY Q .答:12/3L P =;22/3L P =;3XY Q =3.在下图所示三角网中,A .B 为已知点,41~P P 为待定点,已知32P P 边(de)边长和方位角分别为0S 和0α,今测得角度1421,,,L L L 和边长21,S S ,若按条件平差法对该网进行平差:(1)共有多少个条件方程各类条件方程各有多少个(2)试列出除图形条件和方位角条件外(de)其它条件方程(非线性条件方程不要求线性化)答:(1)14216,6,10n t r =+=== ,所以图形条件:4个;极条件:2个;边长条件:2个;基线条件:1个;方位角条件:1个 (2)四边形14ABPP (de)极条件(以1P 为极): 34131241314ˆˆˆˆsin()sin sin 1ˆˆˆˆsin sin sin()L L L L L L L L +⋅⋅=+ 四边形1234PP P P (de)极条件(以4P 为极): 10116891167ˆˆˆˆsin()sin sin 1ˆˆˆˆsin sin sin()L L L L L L L L +⋅⋅=+ 边长条件(1ˆAB S S - ):123434ˆˆˆˆˆˆsin()sin()AB S S L L L L L =+++ 边长条件(12ˆˆS S - ):1121314867ˆˆˆsin ˆˆˆˆˆsin()sin sin()S L S L L L L L ⋅=++ 基线条件(0AB S S - ):02101191011ˆˆˆˆˆsin()sin()S S L L L L L =+++4.A .B .C 三点在同一直线上,测出了AB .BC 及AC(de)距离,得到4个独立观测值,m L 010.2001=,m L 050.3002=,m L 070.3003=,m L 090.5004=,若令100米量距(de)权为单位权,试按条件平差法确定A .C 之间各段距离(de)平差值Lˆ.答:ˆ[200.0147,300.0635,300.0635,500.0782]T L=5.在某航测像片上,有一块矩形稻田.为了确定该稻田(de)面积,现用卡规量测了该矩形(de)长为cm L 501=,方差为22136.0cm =σ,宽为cm L 302=,方差为22236.0cm =σ,又用求积仪量测了该矩形(de)面积231535cm L =,方差为42336cm =σ,若设该矩形(de)长为参数1ˆX ,宽为参数2ˆX ,按间接平差法平差:(1)试求出该长方形(de)面积平差值;(2)面积平差值(de)中误差.答:(1)令0111ˆX X x =+,0222ˆX X x =+,011X L =,022X L =,误差方程式为: 1122312ˆˆ305035v xv xv v v ===+-令:10013050B ⎡⎤⎢⎥=⎢⎥⎢⎥⎣⎦,0035L ⎡⎤⎢⎥=⎢⎥⎢⎥⎣⎦,单位权方差为2036σ=,则法方程为:T TB PBX B PL=,可得:120.30.5x X x ⎡⎤⎡⎤==⎢⎥⎢⎥⎣⎦⎣⎦,则0111ˆ50.3X X x =+=,0222ˆ30.5X X x =+= 所以面积平差值为2312ˆˆˆ50.3*30.51534L X X cm ===(2)2200.35T V PVcm rσ== ()12112212ˆˆˆˆˆˆˆˆˆdXdS X dX X dX X X dX ⎛⎫=+= ⎪ ⎪⎝⎭,所以ˆˆ98.94SS Q =则2ˆ 3.4814S cm σσ==±6.如图水准网中,A 为已知点,高程为10.000A H m =,观测高差及路线长度为:m h 563.21=,km S 11=;m h 326.12-=,km S 12=;m h 885.33-=,km S 23=;m h 883.34-=,km S 24=;若设参数12334ˆˆˆˆˆˆˆTTBX X X X H h h ⎡⎤⎡⎤==⎣⎦⎣⎦,定权时C= 2 km ,试列出:(1)、误差方程和限制条件; (2)、法方程式.答:(1)误差方程为:112231243ˆˆˆˆ4ˆv xv x v x x v x=⎧⎪=⎪⎨=++⎪⎪=⎩ 限制条件为:13ˆˆ20xx --= (2)法方程为:1234ˆ31004ˆ130140ˆ00110ˆ01102x x xx-⎡⎤⎡⎤⎡⎤⎢⎥⎢⎥⎢⎥-⎢⎥⎢⎥⎢⎥-=⎢⎥⎢⎥⎢⎥-⎢⎥⎢⎥⎢⎥-⎣⎦⎣⎦⎣⎦ 7.设对某量进行了两组观测,得到观测值(de)真误差如下: 第一组:3,-3,2,4,-2,-1,0,-4,3,-2 第二组:0,-1,-7,2,1,-1,8,0,-3,1 试回答如下问题:(1)两组值(de)平均误差1ˆθ、2ˆθ和中误差1ˆσ、2ˆσ(2)这两组观测值(de)精度,哪一组精度高,为什么答:(1)1ˆθ=,2ˆθ=;1ˆσ=,2ˆσ=(2)两组观测值(de)平均误差相同,而中误差不同,由于中误差对大(de)误差反应敏感,故通常采用中误差作为衡量精度(de)指标,本题中1ˆσ<2ˆσ,故第一组观测值精度高.8.设对丈量10km(de)距离同精度丈量10次,令其平均值(de)权为5,现以同样等级(de)精度丈量(de)距离.问丈量此距离一次(de)权是多少.(问答题,10分)答:一次观测值(de)权倒数1025N C P === ,所以每次丈量10km 距离(de)权为:100.5P =长度为i S 距离(de)权为:1i i C P S = ,则112.510,2.510C C P P == ,所以15C = 故12.522.5C P == 9.下列各式中(de)()1,2,3i L i =均为等精度独立观测值,其中误差为σ,试求下列函数(de)中误差:(1)()12312X L L L =++;(2)321L L L Y =答:(1)x σ= (2)3x σ=10.在图一所示测角网中,A 、B 、C 为待定点,同精度观测了1L 、2L 、3L 和4L 共四个角度观测值.设平差后BAC ∠为参数Xˆ. (1)试指出采用何种平差模型; (2)写出函数模型和法方程.答:采用附有参数(de)条件平差模型;平差方程为:123ˆˆˆ1800L L L ++-= 34ˆˆ3600L L +-= 1ˆˆ0L X -= 则条件方程为:12313421300ˆ0v v v w v v w v x w +++=⎧⎪++=⎨⎪-+=⎩ ,其中闭合差方程为1123234031w L L L w L L w L X ⎧=++⎪=+⎨⎪=-⎩,建立法方程为: 1122333110120001011ˆ0100k w k w k w x⎛⎫⎛⎫⎛⎫ ⎪ ⎪ ⎪ ⎪ ⎪⎪+= ⎪ ⎪ ⎪- ⎪ ⎪ ⎪-⎝⎭⎝⎭⎝⎭ 11.有水准网如下图,网中A .B 为已知水准点,高程m H A 013.12+=.m H B 013.10+=可视为无误差,C .D 为待定点,共观测了四个高差,高差观测值及相应水准路线(de)距离为:km S 21=,m h 004.11-=,km S 12=,m h 516.12+=,km S 23=,m h 512.23+=,km S 5.14=,m h 520.14+=.试用条件平差法求C 和D 两点高程(de)平差值.答:4,2n t == ,所以2r = ,条件方程如下:12324ˆˆˆ0ˆˆ0A Bh h h H H h h ⎧+-+-=⎪⎨-=⎪⎩ 以ˆi i ih h v =+ 代入上式,可得上述方程(de)最终形式为: 123411100001014v v v v ⎛⎫⎪-⎛⎫⎛⎫ ⎪-= ⎪ ⎪ ⎪-⎝⎭⎝⎭⎪ ⎪⎝⎭ ,以1km 观测高差为单位权观测,则法方程为: 1212502.540k k k k +=⎧⎨+-=⎩ ,解得120.35, 1.74k k =-= 进而求得()0.74 1.40.7 2.6TV mm =--观测值(de)平差值为:1234ˆˆˆˆ1.0047, 1.5174, 2.5127, 1.5174L m L m L m L m =-=== 则C 、D 两点(de)平差高程为:11.0083,12.5257C D H m H m ==12.设在三角形ABC 中,观测三内角321,,L L L ,将闭合差平均分配后得到(de)各角之值为014489ˆ,025050ˆ,030140ˆ321'''='''='''= L L L ,如下图.它们(de)协方差阵为⎪⎪⎪⎭⎫⎝⎛------=633363336LLD ,已知边长m S 000.15000=(无误差),试求ba S S ,(de)长度和它们(de)协方差SS D .答:013023ˆˆˆˆsin /sin 967.679,sin /sin 1150.573a b S S L L m S S L L m ==== 对函数式取自然对数,并微分得:331213231323ˆˆˆˆcos cos cos cos ˆˆˆˆ,ˆˆˆˆsin sin sin sin a b a b dS L dS L L L dL dL dL dL S S L L L L ====即1132233ˆˆˆ0ˆˆˆ0ˆa a a b b b dLdS S ctgL S ctgL dS dL dS S ctgL S ctgL dL ⎛⎫ ⎪⎛⎫-⎛⎫== ⎪ ⎪ ⎪ ⎪- ⎪⎝⎭⎝⎭ ⎪⎝⎭则23263311460114604 1.860.7713630962096250.77 1.32(20610)33645SS D cm --⎛⎫⎛⎫--⎛⎫⎛⎫ ⎪⎪=--⨯= ⎪ ⎪ ⎪⎪--⨯⎝⎭⎝⎭⎪⎪----⎝⎭⎝⎭。
1、什么是观测量的真值?任何观测量,客观上总存在一个能反映其真正大小的数值,这个数值称为观测量的真值。
2、什么是观测误差?观测量的真值与观测值的差称为观测误差。
3、什么是观测条件?仪器误差、观测者和外界环境的综合影响称为观测条件。
4、根据误差对观测结果的影响,观测误差可分为哪几类?根据误差对观测结果的影响,观测误差可分为系统误差和偶然误差两类。
5、在测量中产生误差是不可避免的,即误差存在于整个观测过程,称为误差公理。
6、观测条件与观测质量之间的关系是什么?观测条件好,观测质量就高,观测条件差,观测质量就低。
7、怎样消除或削弱系统误差的影响?一是在观测过程中采取一定的措施;二是在观测结果中加入改正数。
8、测量平差的任务是什么?⑴求观测值的最或是值(平差值);⑵评定观测值及平差值的精度。
第二章:误差理论与平差原则1、描述偶然误差分布常用的三种方法是什么?⑴列表法;⑵绘图法;⑶密度函数法。
2、偶然误差具有哪些统计特性?(1) 有界性:在一定的观测条件下,误差的绝对值不会超过一定的限值。
(2) 聚中性:绝对值较小的误差比绝对值较大的误差出现的概率要大。
(3) 对称性:绝对值相等的正负误差出现的概率相等。
(4) 抵偿性:偶然误差的数学期望或偶然误差的算术平均值的极限值为0。
3、由偶然误差特性引出的两个测量依据是什么?⑴制定测量限差的依据;⑵判断系统误差(粗差)的依据。
4、什么叫精度?精度指的是误差分布的密集或离散的程度。
5、观测量的精度指标有哪些?(1) 方差与中误差;(2) 极限误差;(3) 相对误差。
6、极限误差是怎样定义的?在一定条件下,偶然误差不会超过一个界值,这个界值就是极限误差。
通常取三倍中误差为极限误差。
当观测要求较严时,也可取两倍中误差为极限误差。
7、误差传播律是用来解决什么问题的?误差传播律是用来求观测值函数的中误差。
8、应用误差传播律的实际步骤是什么?(1) 根据具体测量问题,分析写出函数表达式),,,(21n x x x f z =; (2) 根据函数表达式写出真误差关系式n nx x f x x f x x f z ∆∂∂++∆∂∂+∆∂∂=∆ 2211; (3) 将真误差关系式转换成中误差关系式。
[△△] 《测量平差》复习题 1、观测误差产生的原因有哪些? 2、观测条件包括哪些?观测条件与观测质量之间的关系是什么? 3、根据误差对观测结果的影响性质,可将观测误差分为 和 两类。
4、在相同的观测条件下,对同一个量进行了若干次观测,这些观测值的精度是否相同?误差小的观测值比误差大的观测值的精度高吗,为什么?5、测量平差所要研究的内容是对仅带有 误差的观测值进行适当的处理。
6、测量平差的任务是 和 。
7、真误差通常用符号 表示,其表达式可写为△= 。
8、偶然误差的四个特性。
9、精度的含义。
10、常用的衡量精度的的标准有 、 、 。
11、中误差的计算式即估值为[]n∆∆±=σ 中, n 和△分别表示什么含义? 12、中误差的计算(如P 8例1)。
13、在我国统一采用 作为衡量精度的标准,通常用L ±δ的形式来表示某值及其 。
14、 与 的比值称为相对中误差。
15、已知观测值S=500.000m ±10㎜,试求观测值S 的相对中误差。
16、已知S 1=500.000m ±20㎜,S 2=1000.000m ±20㎜,试说明:它们的中误差是否相等?它们的精度是否相同?17、设观测两个长度,结果分别为S 1=500.000m ±20㎜,S 2=800.000m ±25㎜。
试计算两个长度的和及差的相对中误差,并比较和与差哪个精度高?18、误差传播定律即协方差传播律的公式1、3及应用(例1、2、3)。
19.在一个三角形中观测了两个角度,其值分别为α=30º20′22″±4″,β=60º24′18″±3″,试求第三个角度γ的角值及其中误差σγ。
20、如图1所示的四边形中,独立观测α、β、γ三内角,它们的中误差分别为3.0″、4.0″、5.0″,试求:(1) 第四角的中误差;(2) F=α+β+γ+δ的中误差。
《测量平差》复习题第一章:绪论1、什么是观测量的真值?任何观测量,客观上总存在一个能反映其真正大小的数值,这个数值称为观测量的真值。
2、什么是观测误差?观测量的真值与观测值的差称为观测误差。
3、什么是观测条件?仪器误差、观测者和外界环境的综合影响称为观测条件。
4、根据误差对观测结果的影响,观测误差可分为哪几类?根据误差对观测结果的影响,观测误差可分为系统误差和偶然误差两类。
5、在测量中产生误差是不可避免的,即误差存在于整个观测过程,称为误差公理。
6、观测条件与观测质量之间的关系是什么?观测条件好,观测质量就高,观测条件差,观测质量就低。
7、怎样消除或削弱系统误差的影响?一是在观测过程中采取一定的措施;二是在观测结果中加入改正数。
8、测量平差的任务是什么?⑴求观测值的最或是值(平差值);⑵评定观测值及平差值的精度。
第二章:误差理论与平差原则1、描述偶然误差分布常用的三种方法是什么?⑴列表法;⑵绘图法;⑶密度函数法。
2、偶然误差具有哪些统计特性?(1) 有界性:在一定的观测条件下,误差的绝对值不会超过一定的限值。
(2) 聚中性:绝对值较小的误差比绝对值较大的误差出现的概率要大。
(3) 对称性:绝对值相等的正负误差出现的概率相等。
(4) 抵偿性:偶然误差的数学期望或偶然误差的算术平均值的极限值为0。
3、由偶然误差特性引出的两个测量依据是什么?⑴制定测量限差的依据;⑵判断系统误差(粗差)的依据。
4、什么叫精度?精度指的是误差分布的密集或离散的程度。
5、观测量的精度指标有哪些?(1) 方差与中误差;(2) 极限误差;(3) 相对误差。
6、极限误差是怎样定义的?在一定条件下,偶然误差不会超过一个界值,这个界值就是极限误差。
通常取三倍中误差为极限误差。
当观测要求较严时,也可取两倍中误差为极限误差。
7、误差传播律是用来解决什么问题的?误差传播律是用来求观测值函数的中误差。
8、应用误差传播律的实际步骤是什么?(1) 根据具体测量问题,分析写出函数表达式;(2) 根据函数表达式写出真误差关系式;(3) 将真误差关系式转换成中误差关系式。
9、水准测量的高差中误差与测站数及水准路线长度有什么关系?当各测站的观测精度相同时,水准测量的高差中误差与测站数的算术平方根成正比;当各测站的距离大致相等时,水准测量的高差中误差与水准路线长度的算术平方根成正比。
10、什么是单位权?什么是单位权中误差?权等于1时称为单位权,权等于1的中误差称为单位权中误差。
11、应用权倒数传播律时应注意什么问题?观测值间应误差独立。
12、观测值的权与其协因数有什么关系?观测值的权与其协因数互为倒数关系。
13、怎样计算加权平均值的权?加权平均值的权等于各观测值的权之和。
证明:应用权倒数传播律,有:故:14、菲列罗公式有什么作用?根据三角形的闭合差计算测角中误差。
15、测量平差的原则是什么?(1) 用一组改正数来消除不符值;(2) 该组改正数必须满足最小。
16、什么叫同精度观测值?在相同的观测条件下所进行的一组观测,这组观测值称为同精度观测值。
17、支导线中第条导线边的坐标方位角中误差怎样计算?支导线中第条导线边的坐标方位角中误差,等于各转角测角中误差的倍。
18、在相同的观测条件测量了A、B两段距离,A为1000米,B为100米,这两段距离的中误差均为2厘米,则距离A的测量精度比距离B的测量精度高。
19、在三角测量中,已知测角中误差,若极限误差,那么,观测值的真误差的允许范围为。
20、测定一圆形建筑物的半径为4米±2厘米,试求出该圆形建筑物的周长及其中误差。
米厘米21、如图,高差观测值h1=15.752米±5毫米,h2=7.305米±3毫米,h3=9.532米±4毫米,试求A到D间的高差及中误差。
22、有一正方形的厂房,测其一边之长为a,其中误差为,试求其周长及其中误差。
若以相同精度测量其四边,由其周长精度又如何?⑴⑵23、对某一导线边作等精度观测,往测为L1,返测为L2,其中误差均为m,求该导线边的最或是值及中误差。
24、一个角度观测值为,试求该观测值的正切函数值及其中误差。
==25、测量一长方形厂房基地,长为,宽为。
试求其面积及中误差。
26、如图,已知AB方位角为,导线角,,试求CD边方位角及其中误差。
27、设观测值L1、、L2和L3的中误差为,单位权中误差为,求各观测值之权。
28、设观测值L1、、L2和L3的权为1、2和4,单位权中误差为±5",求各观测值中误差。
29、设观测值L1、L2和L3的权为1、2及4,观测值L2的中误差为6",求观测值L1和L3的中误差。
30、要求100平方米正形的土地面积的测量精度达到0.1平方米,如果正方形的直角测量没有误差,则边长的测定精度为多少?S=a2 dS=2a da ms=2a ma ma ===0.005米=5毫米31、在三角形ABC中,A和B已经观测,其权都为1,试求C角及其权。
C=180 –A –B32、设函数为,式中观测值L1、L2、L3和L4 相应有权为P1、P2、P3和P4 ,求F的权倒数。
33、使用两种类型的经纬仪观测某一角度得,,求该角最或是值及其中误差。
设,则,,第三章条件平差1、测量平差的目的是什么?根据最小二乘法原理,正确消除各观测值间的矛盾,合理地分配误差,求出观测值及其函数的最或是值,同时评定测量结果的精度。
2、条件平差的原理是什么?根据观测值间构成的条件,按最小二乘法原理求观测值的最或是值,消除因多余观测而产生的不符值,并进行精度评定。
3、条件平差中的法方程有什么特点?(1) 是一组线性对称方程,系数排列与对角线成对称;(2) 在对角线上的系数都是自乘系数;(3) 全部系数都是由条件方程的系数组成,常数项的条件方程的常数项。
4、条件平差的计算分为哪几个步骤?(1) 根据实际问题,确定条件方程的个数(等于多余观测的个数),列出改正数条件方程;(2) 组成法方程式(等于条件方程的个数);(3) 解算法方程,求出联系数k;(4) 将k代入改正数方程求出改正数v,并计算平差值;(5) 计算单位权中误差;(6) 将平差值代入平差值条件方程式,检核平差值计算的正确性。
5、水准网的必要观测如何确定?对于有已知点的水准网,确定一个待定点的高程必须观测一段高差,所以必要观测个数t等于待定点个数p,即;对于无已知点的水准网,只能确定待定点间的相对高程,故必要观测个数t等于待定点个数p减1,即。
6、测角网的必要观测如何确定?在测角网中,确定一个点的位置必须观测两个角度,故测角网的必要观测个数t等于待定点个数p的2倍,即。
7、单一附合导线的多余观测如何确定?单一附合导线的多余观测始终是3。
8、条件方程的列立应注意什么问题?(1) 条件方程的个数必须等于多余观测的个数,不能多也不能少;(2) 条件方程式之间必须函数独立;(3) 尽量选择形式简单便于计算的条件方程式。
9、水准网的条件方程式有什么特点?水准网的条件方程式只有闭合水准路线和附合水准路线两种,当水准网为独立网时,条件方程式只有闭合水准路线。
10、独立测角网的条件方程有哪些类型?独立测角网的条件方程有图形条件、圆周条件和极条件三种类型。
圆周条件的个数等于中点多边形的个数,极条件的个数等于中点多边形、大地四边形和扇形的总数,图形条件的个数等于互不重叠的三角形个数加上实对角线的条数。
11、极条件有什么特点?分子是推算路线未知边所对角平差值的正弦函数值的乘积,分母是推算路线已知边所对角平差值的正弦函数值的乘积。
12、怎样将极条件线性化?推算路线所有未知边所对角观测值的余切函数值与相应角度改正数乘积的和减去推算路线上所有已知边所对角观测值的余切函数值与相应角度改正数乘积,常数项等于1与极条件(用观测值代替平差值)倒数的差再乘于。
例如:极条件为:线性化后为:闭合差为:13、怎样求平差值函数的中误差?(1) 列平差值函数式;(2) 求平差值函数的权倒数;(3) 求平差值函数的中误差。
14、如图,这是一个单结点水准网,A、B、C为已知水准点,其中米,米,米,E为待定点,高差观测值米、米、米,试列出改正数条件方程式。
观测值个数为3,待定点个数为1,多余观测个数为2,可列出2个附合条件:平差值条件方程为:改正数条件方程为:15、如图为一大地四边形,试判断各类条件数目并列出改正数条件方程式。
观测值个数n=8,待定点个数t=2,多余观测个数3个图形条件,1个极条件。
16.如图,A、B、C三点均为待定点,试按条件平差法求各高差的平差值。
解:⑴列改正数条件方程,闭合差以毫米为单位:⑵定权令,则有,高差观测值的权倒数(协因数)阵为:⑶法方程的组成与解算:条件方程的系数阵和闭合差为:组成法方程为:解得:。
⑷计算改正数⑸计算观测值的平差值17.设对某个三角形的3个内角作同精度观测,得观测值为,,,试按条件平差法求三个内角的平差值。
解:⑴列改正数条件方程,闭合差以秒为单位:⑵组成并解算法方程:条件方程的系数阵和闭合差为:组成法方程为:解得:。
⑶计算改正数⑷计算观测值的平差值解:(a) 观测值个数n=19,待定点个数t=4,多余观测个数r=n-2t=11①图形条件7个(其中中点多边形中有5个三角形,2个大地四边形中由四个角组成的三角形);②圆周条件1个;③极条件3个(其中1个中点多边形,2个大地四边形)(b) 观测值个数n=25,待定点个数t=5,多余观测个数r=n-2t=15①图形条件9个(其中中点多边形中有6个三角形,3个大地四边形中由四个角组成的三角形);②圆周条件1个;③极条件5个(其中1个中点多边形,4个大地四边形)解:观测值个数n=12,待定点个数t=3,多余观测个数r=n-2t=6①图形条件4个;②圆周条件1个;③极条件1个。
第四章间接平差1、什么是间接平差?以最小二乘为平差原则,以平差值方程、误差方差作为函数模型的平差方法。
2、间接平差的计算分为哪几个步骤?(1) 根据平差问题的性质,确定必要观测的个数t,选择t个独立量作为未知参数;(2) 将观测值的平差值表示成未知参数的函数,即平差值方程,并列出误差方程;(3) 由误差方程的系数B与自由项l组成法方程;(4) 解算法方程,求出未知参数,计算未知参数的平差值;(5) 将未知参数代入误差方程求出改正数v,并求出观测值的平差值。
3、按间接平差法列水准网误差方程的步骤是什么?(1) 根据平差问题,确定必要观测的个数t;(2) 选取t个待定点的高程作为未知参数,确定未知参数的近似值;(3) 列立平差值方程、误差方程。
4、坐标平差列立误差方程的步骤是什么?(1) 计算各待定点的近似坐标;(2) 由待定点的近似坐标和已知点的坐标计算各待定边的近似坐标方位角和近似边长;(3) 列出各待定边坐标方位角改正数方程,并求解其系数;(4) 列立误差方程,计算系数和常数。