考研数学核心知识点总结
- 格式:pdf
- 大小:2.04 MB
- 文档页数:66
考研数学知识点汇总1. 高等数学部分- 函数、极限与连续- 函数的概念与性质- 极限的定义与性质- 连续函数的性质与应用- 导数与微分- 导数的定义与计算- 微分的概念与应用- 高阶导数- 一元函数积分学- 不定积分与定积分- 积分技巧(换元法、分部积分法等)- 积分在几何与物理中的应用- 空间解析几何- 平面与直线的方程- 空间曲面的方程- 空间向量及其运算- 多元函数微分学- 偏导数与全微分- 多元函数的极值问题- 梯度、方向导数与切平面- 多元函数积分学- 二重积分与三重积分- 重积分的计算方法- 曲线积分与曲面积分- 无穷级数- 级数的基本概念与性质- 正项级数与收敛性- 幂级数与泰勒级数- 常微分方程- 一阶微分方程- 二阶微分方程- 线性微分方程的解法2. 线性代数部分- 行列式- 行列式的定义与性质- 行列式的计算方法- 行列式的应用- 矩阵- 矩阵的概念与运算- 矩阵的逆- 矩阵的秩- 向量空间- 向量空间的定义与性质 - 基与维数- 向量的内积与正交性- 线性方程组- 线性方程组的解的结构 - 高斯消元法- 线性方程组的应用- 特征值与特征向量- 特征值与特征向量的定义 - 矩阵的对角化- 实对称矩阵的性质- 二次型- 二次型的定义与性质- 二次型的标准化- 二次型的分类与应用3. 概率论与数理统计部分- 随机事件与概率- 随机事件的概念与运算- 概率的定义与性质- 条件概率与独立性- 随机变量及其分布- 随机变量的定义- 离散型与连续型分布- 常见分布的性质与应用- 多维随机变量及其分布- 联合分布与边缘分布- 条件分布与独立性- 随机向量的期望与方差- 随机变量的数字特征- 数字特征的定义与性质- 数字特征的计算- 大数定律与中心极限定理- 大数定律的概念与应用- 中心极限定理的条件与结论 - 数理统计的基本概念- 总体与样本- 统计量与抽样分布- 参数估计- 点估计与估计量的性质- 区间估计的原理与方法- 假设检验- 假设检验的基本步骤- 显著性水平与P值- 常见检验方法的应用请注意,这个列表是基于一般性的考研数学考试大纲制作的,具体的考试内容可能会根据不同的学校和专业有所差异。
考研数学必考的知识点总结一、高等数学在考研数学中,高等数学是必考的一个重点,主要包括以下几个部分:1.极限和连续极限和连续是高等数学中的基础知识,也是考研数学中的重点。
在考研数学中,常常涉及到函数的极限和连续性的问题,因此考生需要熟练掌握极限和连续的相关概念和定理,包括函数极限的定义、性质、计算技巧和判定方法,以及函数的连续性的概念、性质和相关定理。
2.导数和微分导数和微分是高等数学中的重要内容,也是考研数学中的必考知识点。
在考研数学中,常常涉及到函数的导数和微分的相关问题,因此考生需要掌握导数和微分的相关概念和定理,包括导数的概念、性质、计算方法和应用,以及微分的概念、性质和计算方法。
3.积分积分是高等数学中的重要内容,也是考研数学中的必考知识点。
在考研数学中,常常涉及到定积分和不定积分的相关问题,因此考生需要掌握积分的相关概念和定理,包括定积分和不定积分的定义、性质、计算方法和应用。
4.级数级数是高等数学中的重要内容,也是考研数学中的必考知识点。
在考研数学中,常常涉及到级数的收敛性和性质的相关问题,因此考生需要掌握级数的相关概念和定理,包括级数的收敛性判定方法、级数的性质和级数的运算法则。
5.常微分方程常微分方程是高等数学中的重要内容,也是考研数学中的必考知识点。
在考研数学中,常常涉及到常微分方程的解的存在唯一性和解的性质的相关问题,因此考生需要掌握常微分方程的相关概念和定理,包括常微分方程的基本概念、常微分方程的解的存在唯一性定理和解的性质定理。
总之,高等数学是考研数学中的重要内容,考生需要充分掌握高等数学的相关知识,扎实掌握高等数学的基本概念和定理,熟练掌握高等数学的计算方法和应用技巧,提高解题能力和应试能力。
二、线性代数在考研数学中,线性代数是必考的一个重点,主要包括以下几个部分:1.矩阵矩阵是线性代数中的重要内容,也是考研数学中的必考知识点。
在考研数学中,常常涉及到矩阵的相关问题,因此考生需要掌握矩阵的相关概念和定理,包括矩阵的基本概念、矩阵的运算法则、矩阵的秩和行列式的性质。
考研大学的数学知识点总结
一、数学分析
1. 函数的极限与连续
2. 函数的导数与微分
3. 不定积分与定积分
4. 微分方程
5. 级数
6. 多元函数微分学
二、线性代数
1. 行列式与矩阵
2. 线性方程组
3. 矩阵的特征值与特征向量
4. 空间解析几何
5. 线性空间
三、概率统计
1. 随机变量与概率分布
2. 多个随机变量的概率分布
3. 统计推断
4. 假设检验
5. 相关与回归分析
四、离散数学
1. 集合与逻辑
2. 图论
3. 树与树的应用
4. 排列组合
5. 代数系统
五、常微分方程
1. 一阶常微分方程的基础理论
2. 高阶常微分方程与常系数齐次线性微分方程
3. 变系数线性微分方程
4. 高阶线性常系数齐次线性微分方程
5. 常微分方程的应用
六、数学建模
1. 数学建模的基本概念
2. 数学建模的基本方法
3. 实际问题的数学建模
4. 建立模型的思路与方法
5. 数学建模的应用
七、复变函数
1. 复数的基本概念
2. 复变函数的基本概念
3. 复变函数的解析性
4. 几何意义与应用
5. 复变函数的应用
以上是考研大学数学知识点的总结。
希望能对大家的学习有所帮助。
考研数学知识点总结一、高等数学1. 极限与连续极限:数列极限、函数极限、无穷极限、极限的性质和运算法则连续:函数连续性、连续函数的性质、间断点、闭区间连续性定理2. 导数与微分导数的概念:函数的导数、导数的性质微分:函数的微分、微分的性质、高阶微分3. 微分方程微分方程的解法:可分离变量、一阶线性微分方程、二阶线性微分方程微分方程的应用:常微分方程的物理应用、生物应用、经济应用4. 重积分二重积分:累次积分、极坐标系下的二重积分三重积分:累次积分、柱坐标系、球坐标系下的三重积分5. 线性代数行列式与矩阵:行列式的性质、矩阵的性质和运算线性方程组:线性方程组的解法、线性方程组的应用特征值与特征向量:矩阵的特征值和特征向量、对角化、相似矩阵二、离散数学1. 集合与命题逻辑集合:集合的基本概念、集合的运算、集合的应用命题逻辑:命题的联结词、等值命题、蕴含命题、充分必要条件2. 图论图的基本概念:图的定义、图的性质、图的应用连通性:连通图、强连通图、连通度、割点、桥图的着色问题:平面图的着色、四色定理3. 组合数学排列组合:排列、组合、二项式定理生成函数:普通生成函数、指数型生成函数容斥原理:二项式系数的应用、排列组合的应用4. 概率论随机事件与概率:随机试验、随机事件的概率、概率的性质随机变量与概率分布:随机变量的概念、离散型随机变量、连续型随机变量随机过程:马尔可夫链、泊松过程、布朗运动三、数学分析1. 泛函分析赋范空间:线性空间的内积、希尔伯特空间的定义线性算子:紧算子、自共轭算子巴拿赫空间:巴拿赫空间的性质和定理2. 复变函数复数和复变函数:复数的基本性质、复变函数的连续性和可导性积分定理:柯西积分定理、留数定理解析函数:正实部函数、调和函数、齐纯函数3. 实变函数度量空间:度量空间的性质、完备度量空间勒贝格积分:勒贝格积分的性质、勒贝格积分的应用广义积分:广义积分的收敛性、绝对收敛四、概率论与数理统计1. 随机变量随机变量的概念:离散型随机变量、连续型随机变量、随机变量的分布函数随机变量的数字特征:数学期望、方差、协方差2. 大数定律与中心极限定理大数定律:切比雪夫不等式、辛钦大数定律、伯努利大数定律中心极限定理:林德贝格-列维中心极限定理、中心极限定理的其他形式3. 参数估计与检验参数估计:点估计、区间估计假设检验:假设检验的基本思想、参数假设检验方差分析:单因素方差分析、双因素方差分析五、数理逻辑与模糊数学1. 数理逻辑命题逻辑:命题的联结词、等值命题、蕴含命题、充分必要条件谓词逻辑:一阶谓词逻辑、量词、谓词逻辑的推理规则2. 模糊数学模糊集合:模糊集合的基本概念、模糊集合的运算模糊关系:模糊关系的合成、模糊关系的反对称性模糊逻辑:模糊逻辑的蕴含、摩根定律、模糊逻辑的合取和析取以上是考研数学的知识点总结,希望对大家有所帮助。
考研数学知识点总结归纳考研数学知识点第一章行列式1、行列式的定义2、行列式的性质3、特殊行列式的值4、行列式展开定理5、抽象行列式的计算第二章矩阵1、矩阵的定义及线性运算2、乘法3、矩阵方幂4、转置5、逆矩阵的概念和性质6、伴随矩阵7、分块矩阵及其运算8、矩阵的初等变换与初等矩阵9、矩阵的等价10、矩阵的秩第三章向量1、向量的概念及其运算2、向量的线性组合与线性表出3、等价向量组4、向量组的线性相关与线性无关5、极大线性无关组与向量组的秩6、内积与施密特正交化7、n维向量空间(数学一)第四章线性方程组1、线性方程组的克莱姆法则2、齐次线性方程组有非零解的判定条件3、非齐次线性方程组有解的判定条件4、线性方程组解的结构第五章矩阵的特征值和特征向量1、矩阵的特征值和特征向量的概念和性质2、相似矩阵的概念及性质3、矩阵的相似对角化4、实对称矩阵的特征值、特征向量及其相似对角矩阵第六章二次型1、二次型及其矩阵表示2、合同变换与合同矩阵3、二次型的秩4、二次型的标准型和规范型5、惯性定理6、用正交变换和配方法化二次型为标准型7、正定二次型及其判定考研数学必备知识点总结高等数学部分第一章函数、极限与连续1、函数的有界性2、极限的定义(数列、函数)3、极限的性质(有界性、保号性)4、极限的计算(重点)(四则运算、等价无穷小替换、洛必达法则、泰勒公式、重要极限、单侧极限、夹逼定理及定积分定义、单调有界必有极限定理)5、函数的连续性6、间断点的类型7、渐近线的计算第二章导数与微分1、导数与微分的定义(函数可导性、用定义求导数)2、导数的计算(“三个法则一个表”:四则运算、复合函数、反函数,基本初等函数导数表;“三种类型”:幂指型、隐函数、参数方程;高阶导数)3、导数的应用(切线与法线、单调性(重点)与极值点、利用单调性证明函数不等式、凹凸性与拐点、方程的根与函数的零点、曲率(数一、二))第三章中值定理1、闭区间上连续函数的性质(最值定理、介值定理、零点存在定理)2、三大微分中值定理(重点)(罗尔、拉格朗日、柯西)3、积分中值定理4、泰勒中值定理5、费马引理第四章一元函数积分学1、原函数与不定积分的定义2、不定积分的计算(变量代换、分部积分)3、定积分的定义(几何意义、微元法思想(数一、二))4、定积分性质(奇偶函数与周期函数的积分性质、比较定理)5、定积分的计算6、定积分的应用(几何应用:面积、体积、曲线弧长和旋转面的面积(数一、二),物理应用:变力做功、形心质心、液体静压力)7、变限积分(求导)8、广义积分(收敛性的判断、计算)第五章空间解析几何(数一)1、向量的运算(加减、数乘、数量积、向量积)2、直线与平面的方程及其关系3、各种曲面方程(旋转曲面、柱面、投影曲面、二次曲面)的求法第六章多元函数微分学1、二重极限和二元函数连续、偏导数、可微及全微分的定义2、二元函数偏导数存在、可微、偏导函数连续之间的关系3、多元函数偏导数的计算(重点)4、方向导数与梯度5、多元函数的极值(无条件极值和条件极值)6、空间曲线的切线与法平面、曲面的切平面与法线第七章多元函数积分学(除二重积分外,数一)1、二重积分的`计算(对称性(奇偶、轮换)、极坐标、积分次序的选择)2、三重积分的计算(“先一后二”、“先二后一”、球坐标)3、第一、二类曲线积分、第一、二类曲面积分的计算及对称性(主要关注不带方向的积分)4、格林公式(重点)(直接用(不满足条件时的处理:“补线”、“挖洞”),积分与路径无关,二元函数的全微分)5、高斯公式(重点)(不满足条件时的处理(类似格林公式))6、斯托克斯公式(要求低;何时用:计算第二类曲线积分,曲线不易参数化,常表示为两曲面的交线)7、场论初步(散度、旋度)第八章微分方程1、各类微分方程(可分离变量方程、齐次方程、一阶线性微分方程、伯努利方程(数一、二)、全微分方程(数一)、可降阶的高阶微分方程(数一、二)、高阶线性微分方程、欧拉方程(数一)、差分方程(数三))的求解2、线性微分方程解的性质(叠加原理、解的结构)3、应用(由几何及物理背景列方程)第九章级数(数一、数三)1、收敛级数的性质(必要条件、线性运算、“加括号”、“有限项”)2、正项级数的判别法(比较、比值、根值,p级数与推广的p级数)3、交错级数的莱布尼兹判别法4、绝对收敛与条件收敛5、幂级数的收敛半径与收敛域6、幂级数的求和与展开7、傅里叶级数(函数展开成傅里叶级数,狄利克雷定理)线性代数部分第一章行列式1、行列式的定义2、行列式的性质3、特殊行列式的值4、行列式展开定理5、抽象行列式的计算第二章矩阵1、矩阵的定义及线性运算2、乘法3、矩阵方幂4、转置5、逆矩阵的概念和性质6、伴随矩阵7、分块矩阵及其运算8、矩阵的初等变换与初等矩阵9、矩阵的等价10、矩阵的秩第三章向量1、向量的概念及其运算2、向量的线性组合与线性表出3、等价向量组4、向量组的线性相关与线性无关5、极大线性无关组与向量组的秩6、内积与施密特正交化7、n维向量空间(数学一)第四章线性方程组1、线性方程组的克莱姆法则2、齐次线性方程组有非零解的判定条件3、非齐次线性方程组有解的判定条件4、线性方程组解的结构第五章矩阵的特征值和特征向量1、矩阵的特征值和特征向量的概念和性质2、相似矩阵的概念及性质3、矩阵的相似对角化4、实对称矩阵的特征值、特征向量及其相似对角矩阵第六章二次型1、二次型及其矩阵表示2、合同变换与合同矩阵3、二次型的秩4、二次型的标准型和规范型5、惯性定理6、用正交变换和配方法化二次型为标准型7、正定二次型及其判定概率论与数理统计部分第一章随机事件和概率1、随机事件的关系与运算2、随机事件的运算律3、特殊随机事件(必然事件、不可能事件、互不相容事件和对立事件)4、概率的基本性质5、随机事件的条件概率与独立性6、五大概率计算公式(加法、减法、乘法、全概率公式和贝叶斯公式)7、全概率公式的思想8、概型的计算(古典概型和几何概型)第二章随机变量及其分布1、分布函数的定义2、分布函数的充要条件3、分布函数的性质4、离散型随机变量的分布律及分布函数5、概率密度的充要条件6、连续型随机变量的性质7、常见分布(0-1分布、二项分布、几何分布、超几何分布、泊松分布、均匀分布、指数分布、正态分布)8、随机变量函数的分布(离散型、连续型)第三章多维随机变量及其分布1、二维离散型随机变量的三大分布(联合、边缘、条件)2、二维连续型随机变量的三大分布(联合、边缘和条件)3、随机变量的独立性(判断和性质)4、二维常见分布的性质(二维均匀分布、二维正态分布)5、随机变量函数的分布(离散型、连续型)第四章随机变量的数字特征1、期望公式(一个随机变量的期望及随机变量函数的期望)2、方差、协方差、相关系数的计算公式3、运算性质(期望、方差、协方差、相关系数)4、常见分布的期望和方差公式第五章大数定律和中心极限定理1、切比雪夫不等式2、大数定律(切比雪夫大数定律、辛钦大数定律、伯努利大数定律)3、中心极限定理(列维—林德伯格定理、棣莫弗—拉普拉斯定理)第六章数理统计的基本概念1、常见统计量(定义、数字特征公式)2、统计分布3、一维正态总体下的统计量具有的性质4、估计量的评选标准(数学一)5、上侧分位数(数学一)第七章参数估计1、矩估计法2、最大似然估计法3、区间估计(数学一)第八章假设检验(数学一)1、显著性检验2、假设检验的两类错误3、单个及两个正态总体的均值和方差的假设检验考研数学复习之拿高分方法一、理性分析三个组成部分,各个击破我们知道数学整个试卷的组成部分是:高数82分+线代34分+概率论34分;很明显微积分占了绝大部分;另外概率论里面很多题目要用到微积分的工具,实际上微积分的分数比82分要高,应该是能到100分左右。
考研数学详细知识点总结1. 高等数学高等数学是考研数学中最为重要的一部分,内容涵盖了微积分、多元函数微积分、级数、常微分方程和偏微分方程等内容。
在备考高等数学的过程中,考生需要牢固掌握微积分的基本概念和计算方法,包括定积分、不定积分、微分方程等;同时还需要理解多元函数的概念和性质,并能够熟练地进行多元函数的微分和积分运算;此外,对于级数和常微分方程的理解和运用也是备考高等数学的重点内容。
2. 线性代数线性代数是数学中的重要分支,内容包括矩阵与行列式、向量空间、矩阵的特征值和特征向量等。
在备考线性代数的过程中,考生需要深入理解矩阵和行列式的性质,并能够熟练地进行矩阵和行列式的运算;同时还需要掌握向量空间的基本概念和性质,以及矩阵的特征值和特征向量的计算方法。
3. 概率论与数理统计概率论与数理统计是考研数学中另一个重要的部分,内容包括随机变量、概率分布、大数定律、中心极限定理、统计推断等。
在备考概率论与数理统计的过程中,考生需要理解随机变量的基本概念和性质,并能够熟练地应用各种概率分布;同时还需要掌握大数定律和中心极限定理,以及统计推断的基本原理和方法。
4. 复变函数复变函数是数学中的一个重要分支,内容包括复数、复变函数的极限、连续性、解析性、洛朗级数、留数定理等。
在备考复变函数的过程中,考生需要理解复数的基本概念和性质,并能够熟练地进行复数的运算;同时还需要掌握复变函数的极限、连续性、解析性等概念,以及留数定理的应用方法。
总的来说,备考考研数学需要考生对高等数学、线性代数、概率论与数理统计和复变函数等内容有着深入的理解和掌握,在备考过程中,考生需要花费大量的时间和精力去准备,并且需要不断地进行练习和巩固,才能够取得较好的成绩。
希望以上所述的内容能够对广大考生有所帮助,祝愿考生能够顺利通过考研数学科目的考试。
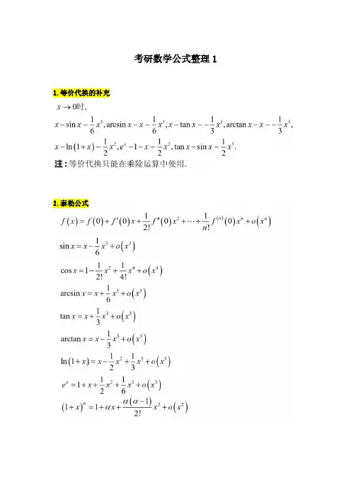
考研数学公式整理1 1.等价代换的补充2.泰勒公式3.基本导数公式4.几个常用函数的高阶导数5.不定积分的基本积分公式6.定积分性质7.渐近线8.微分中值定理考研数学公式整理2 ⚫二重积分的性质⚫对称性⚫ 莱布尼茨判别法则⚫麦克劳林级数⚫狄利克雷收敛定理⚫奇偶函数的傅里叶级数⚫常用的二次曲面考研数学公式整理31.行列式的性质()()()11121311121321222321222331323331323311111212131321222331.0,0.,.,.T A A k k ka ka ka a a a a a a k a a a a a a a a a a b a b a b a a a a ==+++行列互换,其值不变,即某行列全为则行列式的值为某行列有公因子则可把提到行列式外面某行列每个元素都是两个数之和则可拆成两个行列式之和性质1 性质2 性质3 性质4 ()()()11121311121321222321222332333132333132331112131112132122231121122213313233..0..a a ab b b a a a a a a a a a a a a a a k a a a a a a a a a ka a ka a ka a a a =+=++两行列互换,行列式的值变号两行列元素相等或对应成比例,则行列式的值为某行列倍加到另一行(列),行列式的值不变性质5 性质6 性质7 23313233a a a a +2.抽象型行列式—解法解题思路:对抽象型行列式,计算方法主要是利用行列式的性质,矩阵的性质,特征值及相似等。
主要的公式有:11112121.,2.,3.,4.5.6.,,,,7..T T n n n n A n A A A A A n kA k A A B n AB A B A n A AA n A A n A A n AB A B λλλλλλ−*−−=======L L 若是阶矩阵是的转置矩阵,则;若是阶矩阵则;若都是阶矩阵,则;若是阶矩阵,则;若是阶可逆矩阵,则;若是阶矩阵的特征值则;若阶矩阵与相似,则4.逆矩阵的性质()()111111111111;10;;.A A kA A k k AB B A AA AB A B −−−−−−−−−−−−==≠==+≠+1)()2)()3)();4) 没公式特别注意:5.逆矩阵—解法()()()()111111111110,..,,,.0000.0000A A A AA E E A AB n AB E A B A B AB A A A B B BB A*−−−−−−−−−−−≠=→==+⎡⎤⎡⎤⎡⎤⎡⎤==⎢⎥⎢⎥⎢⎥⎢⎥⎣⎦⎣⎦⎣⎦⎣⎦若则都是阶矩阵则对型化为型.;方法一:用伴随方法二:用初等变换方法三:用定义方法四:用单位矩阵恒等变形方法五:用分块公式6.矩阵的秩定理8.具体向量组如何判定相关无关()()1212121212,,,,,,0,,,1.,,,,,,00.m m m n n x r m m n n n n ααααααααααααααα⇔=⇔<=+⇔=≠L L L L L 对具体(含参数)向量组如何判定相关无关?向量组相关(无关)齐次方程组有非零解(只有零解)(向量个数)((向量个数)).个维向量必相关个维向量相关(无关)()定理1推论1推论21212112121212,,,,,,,,,,,,,,,,,,,,,m m m m nm m m r m ααααααααβββααααααβββ++−⎧⎨⎩⎧⎨⎩L L L L L L L 若向量组相关,增加个数后的向量组则仍相关;对应减少向量坐标后的向量组若向量组无关,减少个数后的向量组则仍无关.对应增加向量坐标后的向量组定理29.抽象向量组如何证明无关10.特征值和特征向量的性质11.相似矩阵的性质()()111,.A B nnii ii i i A B A B r A r B E A E B a b λλλλ==⇒=⇒=⇒−=−=⇒=∑∑:()(必要条件);;即;()()()11112,,,,,,,.n n n n n n A B P AP B P A kE P B kE P A P B A B A kE B kE A kE B kE r A kE r B kE A B A B A PB P −−−−=+=+=+++=++=+=:::::()如设则因此由要想到进而;由要想到进而可用相似求 12.矩阵相似对角化的条件()()11,0.n i i nTn ii i A A n A i i n r E A i A n A r A A A a λλαβ=Λ⇔⇔−−=⇐⇐==Λ⇔≠∑::有个线性无关的特征向量;的重特征值有个无关的特征向量,即;有个不同的特征值;是实对称阵.对或的矩阵注:13.正定定理()12,,,0,0000,T n T ii f x x x x Ax x x Ax A A A a A =⇔∀≠>⇔⇔≤L 二次型正定有;的特征值都大于;的全部顺序主子式大于.若的主对角线某元素则必不正定.定理4注:14.等价、相似、合同()(),.,.A B A B A B A B A B P Q PAQ B r A r B ≅⇔=⇔=两个同型矩阵与,若可经过初等变换变成称与等价,记作同型矩阵矩阵与等价存在可逆矩阵和使;判定1,,,.,,A B P P AP B A B A B A B A B A B A B A B A B −=ΛΛΛ::::两个方阵与若存在可逆矩阵使称与相似,记作若与的迹或秩或行列式或特征值不相等,则与不相似;若,但不能对角化则与不相似;若,且则与相似.判定,,,..T T T A B C C AC B A B A B A B x Ax x Bx A B =⇔⇔:两个实对称矩阵与若存在可逆矩阵使称与合同,记作实对称矩阵与合同二次型和有相同的正、负惯性指数;实对称矩阵与有相同的正、负特征值个数判定考研数学公式整理41.概率基本公式()()()()()()()()()()()()()()()()()()1.=.3.=..P A P A P A B P A P B P AB P A B C P A P B P C P AB P AC P BC P ABC P A B P A P AB P AB =−+−=++−−−+−−=U U U 正面直接求概率困难时可考虑此公式,比如涉及"至少、至多"等字眼.超过个事件的加法公式往往会有两两互斥的条件考减法公式是考试的重点;(1)逆事件的概率(2)加法公式(3)减法公式注:注:注: ()()()()()()()()()()()()0,,=.1;.P A A B P AB P B A P B A P A P B A P B A P B A P B C A P B A P BC A P BC A >=−−=−= 若称在发生的条件下,发生的概率为条件概率记为,且条件概率也是概率,满足概率的一切性质与公式,如(4)条件概率注:()()()()0,=.P A P AB P A P B A >⋅如果则 (5)乘法公式()()()()121=,,1,,.,.n i j ni i i i A A A A A i j n B P B P A P B A B A B P B =Ω=Φ≤≠≤=∑U UL U I 若且则对任一事件有如果某个事件的发生总是与某些原因或前一阶段的某些结果有关则总是使用全概率公式把各种导致发生的可能性(概率)加起来求(6)全概率公式 注:()()()()()()()121=,,1,0,.,,.n i j i jj niii j j A A A A A i j n P A P B A B P B P A B P A P B A B A P A B =Ω=Φ≤≠≤>=∑U UL U I 若且,则对任一事件只要则如果已知发生了去探求是某原因导致发生的可能性(概率)则总是使用贝叶斯公式看这一原因占总的原因的比例注(7)贝叶斯公式 :2. 独立与互斥、包含的关系()()01,01,,P A P B A B A B <<<<设如果与互斥或存在包含关系则与不独立.3.常见的分布{}()(){}()()()1011,0,1.0101,1,.1,0,1,,.,01,,.12,,kk n k k kn X P X k p p k X p p X B p X P X k C p p k n X n p p X B n p n X X B n p −−−==−=<<−==−=<<:L ::1.分布如果随机变量的分布律为则称服从参数为()的分布记为2.二项分布如果随机变量的分布律为则称服从参数为()的二项分布记为()次伯努利试验中试验成功的次数服从二项分布;()对最可能发生(成注:()(){}(){}()()1111.,0,1,2,!0,.1,1,2,1,.k k k n p k n p e X P X k k k X X P X P X k p p k X p p X G p X λλλλλ−−+−≤≤+===>==−=<<L:L:功)的次数满足3.泊松分布如果随机变量的分布律为则称服从参数为()的泊松分布记为4.几何分布如果随机变量的分布律为则称服从参数为(0)的几何分布记为伯努利试验中首次成功所需的试验次数服从几何分布.注:()()()()(){}5.1,,0,0,,,,.,.1,,,,.a x b X f x b a x a x a X a b X U a b X F x a x b b a x b d cX U a b a c d b P c X d b a⎧<<⎪=−⎨⎪⎩<⎧⎪−⎪=≤<⎨−⎪≥⎪⎩−≤<≤<<=−::均匀分布如果随机变量的概率密度为其他则称服从上的均匀分布记为的分布函数为若对则注: ()()()(){}{}{}o o ,0,00,1,0..0,0,10,;2,0,.x x a e x X f x e x X X E X F x x X E a P X a e t s P X t s X s P X t λλλλλλλλ−−−⎧>=>⎨⎩⎧−≥=⎨<⎩∀>≥=∀>≥+≥=≥::6.指数分布如果随机变量的概率密度为其中为参数;其他则称服从参数为的指数分布,记为的分布函数为若则对则对则注:()()()()()()()()()()()()()222222222o 2o ,.,,,.,0,10,1;,;.1,,0,1;21,0x x x x x X f x x X X N X N x x x t dt dt X X N N x x μσμσμσμσϕϕμμσσ−−−−−∞=−∞<<+∞===−∞<<+∞Φ==−Φ−=−ΦΦ=⎰⎰::::7.正态分布如果随机变量的概率密度为:则称服从参数为的正态分布记为特别地当时称为记为概率密度分布函数若则标准化标准正态分布,注:()()o 222o 1;23,,,;4,X N aX b N a b a X Y aX bY μσμσ+++::若则若分别服从正态分布,且相互独立,则服从正态分布.4. 两个常见的二维连续型随机变量1.二维均匀()()()()(){},,1,,,0,,,,,D D GDX Y D X Y DS f x y S D S X Y D G D P X Y G S ⎧∈⎪=⎨⎪⎩⊂∈=在平面区域上服从均匀分布则,其中是的面积.其他设在区域上服从均匀分布若则;注:2.二维正态()()()()()222212121212221122,,,,;.,,,;1,1.,,,,,,,,0.X Y N EX EY DX DY X N Y N X Y aX bY X Y X Y μμσσρμμσσρμσμσρ====∈−+⇔=:::其中(1)反之不对(独立时可以);(2)的条件分布都是正态分布;(3)服从正态分布;(4)独立不相关即注:5.期望{}()()()()()()()()()()111,2,,.,.i i i i i i i i X P X x p i Y g X X EX x p Eg X g x p X f x Y g X X EX xf x dx Eg X g x f x dx ∞∞==+∞+∞−∞−∞=========∑∑⎰⎰L 设离散型随机变量的分布律为是的函数,则;设连续型随机变量的概率密度为是的函数,则;(1)一维离散型(2)一维连续型(){}()()()()()()()()()()()()11,,,1,2,,,,,,.,,,,,,,,.i j iji j ij i j X Y P X x Y y p i j Z g X Y X Y Eg X Y g x y p X Y f x y Z g X Y X Y Eg X Y g x y f x y dxdy ∞∞==+∞+∞−∞−∞========∑∑⎰⎰L 设二维离散型随机变量的联合分布为是的函数,则设二维连续型随机变量的联合概率密度为是的函数,则(3)二维离散型(4)二维连续型()()()o o o o 1234,,.Ec c E aX c aEX c E X Y EX EY X Y E XY EX EY =+=+±=±=⋅;;;若独立则(5)性质6.方差()()222.DX E X EX EX EX =−=−(1)定义()()()()()()()()2o 2o o 2o o 2210,;20342,5,,,.DX EX EX DX Dc D aX b a DX D X Y DX DY Cov X Y X Y D X Y DX DY D XY DXDY DX EY DY EX ≥=+=+=±=+±±=+=++;;;若独立则(2)性质7.常用分布的数学期望和方差()()()()()()()()()()()o o o o 22o o 2o 22o 11,,12,,13,114,5,,212116,7,,280,11.X B p EX p DX p p X B n p EX np DX np p X P EX DX p X G p EX DX p pb a a bX U a b EX DX X E EX DX X N EX DX X N E X D X λλλλλλμσμσπ==−==−==−==−+========−::::::::如果,则;如果,则;如果,则;如果,则;如果,则;如果,则;如果,则;如果,则8.协方差()()()()()()()()()()()()()()()o oo o 121211122122,.1,,,,2,03,,,,,,,.Cov X Y E X EX Y EY E XY EX EY Cov X Y Cov Y X Cov X X DX Cov X c Cov aX bY abCov X Y Cov aX bX cY dY acCov X Y adCov X Y bcCov X Y bdCov X Y =−−=−⋅⎡⎤⎣⎦====++=+++;;;4(1)定义(2)性质9.相关系数,0,.XY XY Cov X Y X Y ρρ==如果称和不相关(1)定义{}oo o o 1123=1,11,04,1,0XY YX XX XY XY XYa b P Y aX b a Y aX b a ρρρρρρ==≤⇔=+=>⎧=+=⎨−<⎩;;1;存在使;如果则.(2)性质10.大数定律1.依概率收敛{}1212,,,,,,0,lim 1,,,,,,,.n n n Pn n X X X a P X a X X X a X a εε→∞>−<=⎯⎯→L L L L 对随机变量序列和常数如果对任意的有则称随机变量序列依概率收敛于记为2.切比雪夫大数定律1211,,,,,,,1,2,,110,lim 1.n k k k n ni i n i i X X X EX DX DX k P X EX n n εε→∞===⎧⎫>−<=⎨⎬⎩⎭∑∑L L L 设独立,期望方差都存在,方差有一致上界则对任意的有3.伯努利大数定律(),,,,0,lim 1.n X n A A p X X B n p P p n εε→∞⎧⎫>−<=⎨⎬⎩⎭:设是重伯努利试验中事件发生的次数每次试验事件发生的概率为即则对任意的有4.辛钦大数定律1211,,,,,,0,lim 1.n n k i n i X X X EX P X n μεμε→∞=⎧⎫=>−<=⎨⎬⎩⎭∑L L 设独立同分布,期望存在则对任意的有11.中心极限定理1.列维—林德伯格中心极限定理()22122,,,,,,,,lim .n k k n t i x n X X X EX DX X n x P x dt x μσμ−−∞→∞==⎧⎫−⎪⎪⎪≤==Φ⎬⎪⎪⎪⎩⎭∑⎰L L 设独立同分布期望方差都存在,则对任意的有2.拉普拉斯中心极限定理()()22,,lim .t x n X B n p x P x dt x −→∞⎧⎫⎪≤==Φ⎬⎪⎭⎰:设,则对任意的有12.三大抽样分布()()()()(){}()()()()()()()2122222222212122222222,,,01,,.01,,,2;n n n n X X X N X X X n X X X n P n n f x dx f x n n n X n EX n DX n X ααχαχχααχχαχχχαχχ+∞++++++<<>====⎰L L L :::设相互独立且都服从标准正态,则服从自由度为的分布记为对于给定的()称满足(是的概率密度)的数为的上分位点.若则若221.χn 分布(1)定义:(2)上α分位点(3)χ分布的性质()()()221212,,,.n Y n X Y X Y n n χχ++::,且独立则()()()()(){}()()()()()()()()()()()()21201,,,,.01,,,01,1,t n X N Y n X Y n t t n P t n t n fx dx fx t n t n t n t f x t n t n n t n N t t n t F αααααχαααα+∞−<<>===−⎰:::::设,且独立,的分布对于给定的()称满足(是的概率密度)的数为的上分位点.分布的概率密度是偶函数故,且当自由度充分大时分布近似于,;则2.t 分布(1)定义:(2)上α分位点(3)t 分布的性质().n()()()()(){}()()()()()()()122212111212221212,12121212,,,,,.01,,,,,,1,,F n n X n Y n X Y X Xn n n n F F n n Y Y n n P F n n F n n f x dx f x F n n F n n F n n F F n n F Fαααχχαααα+∞<<>==⎰:::::设且独立,则服从第一自由度为,第二自由度为的分布记为对于给定的()称满足(是的概率密度)的数为的上分位点.若则3.F 分布(1)定义:(2)上α分位点(3)F 分布的性质()()()()211211221,1,,,.,n n F F n n F n n F n n αα−=:;若则13.矩估计的求法1222111,...11()n kk k k i i n ni ii i A X EX n X EX X EX X EX X EX X X DX n n α======⎧⎧==⎪⎪⎨⎨=−=⎪⎪⎩⎩∑∑∑:用样本矩替换总体矩——即:对一个未知参数的情形 令对两个未知参数的情形 令或原理步骤14.最大似然估计的求法()()()()121121.,,,;,,,,;,.ln ln .0,.ln 0,ln .i nn i i i nn i i a L x x x f x L x x x p x b Ld L c d d L L d θθθθθθθθ=====⎡⎤⎣⎦=⎡⎤⎣⎦==∏∏L L :写出样本的似然函数取对数得求导解出即可若无解即单调,则应该用定义法找出的最大似然估计量步骤连续型离散型15.估计量的评价标准121212,.,,,.0,lim 1,,Pn E D D P θθθθθθθθθθθεθθεθθθθ∧∧∧∧∧∧∧∧∧∧∧→∞=<⎧⎫>−<=⎯⎯→⎨⎬⎩⎭若则称是的无偏估计量设都是的无偏估计量若则称比更有效若对任意的有即则称是的一致估计量.(1)无偏性(2)有效性(3)一致性16. 求置信区间的步骤{}1212,,12:,,.T a b P a T b a T b ααθθθθθθ∧∧∧∧<<=−⎛⎫<<<< ⎪⎝⎭(1)构造统计量并确定其分布;(2)给定,确定常数使得;(3)由()反解出的范围得置信区间。
数学考研知识点总结归纳一、线性代数1. 行列式行列式是数学中一个重要的概念,它在代数和几何学等领域有着广泛的应用。
在考研数学中,行列式的计算和性质是一个非常基础但又重要的知识点。
考生们需要熟练掌握行列式的定义、计算方法以及性质,如行列式的性质有行变换性质、行列式的性质等等。
2. 矩阵矩阵是线性代数中的一个重要概念,它是一种方便用来描述多项式、线性方程组等的数学工具。
在考研数学中,矩阵的运算和性质是一个需要掌握的基础知识点。
考生们需要熟练掌握矩阵的加法、减法、数乘、矩阵乘法等运算规则,以及矩阵的转置、逆矩阵、伴随矩阵等性质。
3. 向量向量是线性代数中的一个重要概念,它是一个既有大小又有方向的物理量。
在考研数学中,向量的性质和运算是一个非常基础但又重要的知识点。
考生们需要熟练掌握向量的加法、减法、数乘、点积、叉积、向量的模、向量的夹角等运算规则和性质。
4. 线性方程组线性方程组是线性代数中的一个重要概念,它是一个方程组,其中每个方程都是关于未知数的一次方程。
在考研数学中,线性方程组的解法是一个需要掌握的基础知识点。
考生们需要熟练掌握线性方程组的解的方法,如消元法、矩阵法、克莱姆法则等。
5. 特征值和特征向量特征值和特征向量是线性代数中的一个重要概念,它在矩阵的对角化、矩阵的相似性等方面有着重要的应用。
在考研数学中,特征值和特征向量的求解和性质是一个需要掌握的重要知识点。
考生们需要熟练掌握特征值和特征向量的定义、求解方法以及性质,如特征值的性质、特征向量的性质等。
二、概率论和数理统计1. 随机事件及其概率随机事件及其概率是概率论和数理统计中的一个重要概念,它在随机试验、事件的概率计算等方面有着重要的应用。
在考研数学中,随机事件及其概率的计算和性质是一个需要掌握的基础知识点。
考生们需要熟练掌握随机事件的定义、事件的概率计算方法、事件的互斥事件、对立事件等性质。
2. 随机变量及其分布随机变量及其分布是概率论和数理统计中的一个重要概念,它在随机变量的分布、数学期望、方差等方面有着重要的应用。
考研数学概率部分的核心知识点和易错知识点总结一、核心知识随机事件和概率、随机变量及其分布、二维随机变量及其分布、随机变量的数字特征、大数定律和中心极限定理、数理统计的基本概念、参数估计、假设检验。
涉及到的概率论与数理统计的所有知识啦。
1、交换律、结合律、分配率、的摩根律;(解题的基础)2、古典概型——有限等可能、几何模型——无限等可能;3、抽签原理——跟先后顺序无关;4、小概率原理——小概率事件在一次试验不可能发生,一旦发生就怀疑实现规律的正确性;5、条件概率:注意当条件的概率必须大于0;6、全概:原因>结果贝叶斯:结果>原因;7、相容通过事件定义,独立通过概率定义。
第二章1、0——1分布,二项分布,泊松分布X的取值都是从0开始;2、分布函数是右连续的,在求分布函数也尽量写成右连续的;3、分布函数的性质、概率密度的性质;4、连续性随机变量任一指定值的概率为0;5、概率为0不一定是不可能事件,概率为1不一定是必然事件;6、正态分布的图形性质;7、求函数的分布尽量按定义法,按定义写出基本公式;8、分段单调时应该分段使用公式再相加。
二、易错知识点1、“非等可能”与“等可能”的区别如果一次随机实验中可能出现的结果有N个,而且所有结果出现的可能性都相等,那么每一个基本事件的概率都是1/N;如果其中某个事件A包含的结果有M个,则事件A的概率为M/N。
2、互斥与对立对立一定互斥,但是互斥不一定对立。
不可能同时发生的两个事件叫做互斥事件,如果A,B互斥则P(A+B)=P(A)+P(B),必有一个发生的互斥事件叫做对立事件,如果A,B对立则满足两个条件(1)P(AB)=空集;(2)P(A+B)=1。
3、互斥与独立不可能同时发生的两个事件叫做互斥事件,如果A,B互斥则P (A+B)=P(A)+P(B),事件A(或者B)是否发生不影响事件B(或者A)发生的概率,则A和B独立。
此时P(AB)=P(A)p(B);概率为0或者1的事件与任何事件都独立,如果两个事件存在包含关系,则两个事件不独立;如果0〈P(A)〈1,0〈P(B)〈1,如果A,B互斥则不独立,如果A,B独立则不互斥(注意条件)。
考研高数知识点总结高等数学是考研数学中的重要一部分,对于考研学生来说,掌握高等数学的知识点是非常重要的。
下面是对高等数学知识点的总结,希望对考研学生有所帮助。
一、函数与极限1. 函数的概念:函数的定义域、值域和图像2. 函数的性质:奇偶性、周期性等3. 极限的概念:数列极限和函数极限4. 极限的性质:极限的四则运算、夹逼定理等5. 单调性与有界性:单调递增、单调递减、有界二、导数与微分1. 导数的概念:导数的定义、几何意义、物理意义2. 导数的运算法则:加法减法法则、乘法法则、复合函数法则等3. 高阶导数与隐函数求导4. 微分与微分近似三、高阶导数与泰勒公式1. 高阶导数的定义与运算法则2. 泰勒展开式与泰勒公式四、不定积分与定积分1. 不定积分的概念与运算法则2. 反常积分:可积性、柯西准则、比较判别法等3. 定积分的概念与性质:函数积分的线性性、可加性、区间可加性等4. 牛顿-莱布尼茨公式与定积分的应用五、多元函数与偏导数1. 多元函数的定义与性质:定义域、值域、图像等2. 偏导数的概念:一阶偏导数、高阶偏导数3. 隐函数求导与全微分的概念4. 多元函数的极值与条件极值六、重积分与曲线曲面积分1. 二重积分的概念与计算方法:极坐标法、换元法、直角坐标系下的积分法2. 三重积分的概念与计算方法:柱面坐标法、球面坐标法、直角坐标系下的积分法3. 曲线积分与曲面积分的概念与计算方法七、常微分方程1. 常微分方程的基本概念:初值问题、解的存在唯一性2. 高阶线性常微分方程与常系数齐次线性方程3. 常微分方程的解法:分离变量法、齐次方程法、一阶线性非齐次方程法等4. 常微分方程的应用:动力学模型、电路网络分析等八、级数1. 级数的概念与基本性质:收敛、发散、极限、级数的四则运算等2. 正项级数与比较判别法、比值判别法、根值判别法等3. 幂级数与泰勒级数展开高等数学知识点总结完毕,以上知识点对考研的高等数学考试来说是基础中的基础。
考研数学总结知识点一、数学分析1. 极限与连续(1)定义极限和连续是数学分析中非常重要的概念。
极限指的是当自变量趋于某个值时,函数的取值接近于一个确定的值;连续则指的是函数在定义域内没有断点,函数图形没有间断。
(2)性质极限与连续有一系列重要的性质,比如极限的唯一性、极限运算的性质、连续函数的性质等,对于数学分析的求解非常有帮助。
(3)应用极限与连续的概念在微积分、微分方程等数学分析的领域中有着广泛的应用,比如求解函数的极限值、证明函数的连续性等。
2. 导数与微分(1)定义导数是函数的变化率,也可以理解为函数图形在某一点的切线斜率。
微分则是函数在某一点的局部线性逼近。
(2)性质导数与微分有一系列重要的性质,比如导数的求导法则、微分的性质和运算法则等。
(3)应用导数与微分的概念在微积分领域中有广泛应用,比如求解函数的极值、函数的凹凸性、函数的泰勒展开等。
3. 积分与定积分(1)定义积分表示函数在一定区间上的累积效应,定积分则是积分的一种特殊形式,表示函数在一个区间上的面积。
(2)性质积分与定积分有一系列重要的性质,比如定积分的性质、变量代换法则、分部积分法则等。
积分和定积分的概念在微积分领域中有广泛应用,比如求解曲线下的面积、求解定积分、计算定积分等。
4. 级数和幂级数(1)定义级数是指把无穷多项相加得到的和,幂级数则是一种特殊形式的级数,其中每一项都是一个幂函数。
(2)性质级数和幂级数有一系列重要的性质,比如级数收敛和发散的判别法则、幂级数的收敛半径等。
(3)应用级数和幂级数的概念在数学分析中有广泛的应用,比如求解函数的幂级数展开、证明级数的收敛性等。
5. 函数空间(1)定义函数空间是指一组满足一定条件的函数的集合,其中函数之间可以定义一些特殊的运算。
(2)性质函数空间中常见的性质包括线性空间的性质、内积空间的性质和赋范空间的性质等。
(3)应用函数空间的概念在泛函分析中有着广泛的应用,比如证明函数序列的收敛性、求解特定函数空间上的最优逼近问题等。
硕士数学知识点总结一、数学分析1. 极限与连续极限的概念是数学分析的基础,是分析函数的重要工具。
连续性是极限的重要应用,用来描述函数在点上的连续性。
在数学分析中,极限与连续是最基本的概念之一。
2. 微分与积分微分和积分是数学分析的重要分支,微分主要研究函数的变化规律,积分主要研究函数的面积和曲线长度。
微分和积分是数学分析的核心内容,也是物理、工程、经济等领域中最常见的数学工具。
3. 函数和级数函数是数学分析中的一个重要概念,级数是分析中的另一个重要概念。
函数是数学分析中研究的基本对象,级数是分析中用来研究无穷和的工具。
4. 泛函分析泛函分析是数学分析的重要分支之一,主要研究无穷维空间中的函数和算子。
泛函分析是抽象数学的重要分支,在数学分析及其应用中有着重要的作用。
5. 复变函数复变函数是数学分析中的一个重要分支,主要研究复数域上的函数。
复变函数是数学分析的重要组成部分,又是其他数学领域的重要工具。
6. 偏微分方程偏微分方程是数学分析中研究的一个重要对象,主要研究多元函数的变化规律。
偏微分方程是数学分析的重要应用,是物理、工程、经济等领域中最常见的数学工具之一。
二、代数学1. 线性代数线性代数是代数学的一个重要分支,主要研究向量空间及其上的线性运算。
线性代数是数学中的一门重要基础课,也是其他数学领域的重要工具。
2. 抽象代数抽象代数是代数学的一个重要分支,主要研究抽象代数结构及其性质。
抽象代数是现代数学的一个重要分支,与实际生活和工程实践有着密切的联系。
3. 群论群论是代数学的一个重要分支,主要研究群及其作用。
群论是现代数学的一个重要分支,对于代数、几何、拓扑等领域有着重要的应用。
4. 环论环论是代数学的一个重要分支,主要研究环及其作用。
环论是现代数学的一个重要分支,对于代数、几何、拓扑等领域有着重要的应用。
5. 域论域论是代数学的一个重要分支,主要研究域及其作用。
域论是现代数学的一个重要分支,对于代数、几何、拓扑等领域有着重要的应用。
考研数学常考知识点整理一、代数部分1.1 数学基础知识1.1.1 函数与方程1.1.1.1 基本函数与其性质1.1.1.2 方程与不等式1.1.2 数列与数列极限1.1.2.1 等差数列与等比数列1.1.2.2 数列极限的定义与性质1.1.3 概率与统计1.1.3.1 随机事件与概率计算1.1.3.2 排列组合与基本统计知识二、微积分部分2.1 极限与连续2.1.1 极限的定义与性质2.1.2 连续的概念与判定2.2 导数与微分2.2.1 导数的定义与性质2.2.2 微分的概念与计算2.3 积分2.3.1 不定积分与定积分的概念2.3.2 基本积分公式与常见积分方法2.3.3 几何应用与物理应用三、线性代数部分3.1 矩阵与行列式3.1.1 矩阵的基本运算与性质3.1.2 行列式的定义与计算3.2 向量空间与线性变换3.2.1 向量空间与子空间的概念3.2.2 线性变换的定义与性质四、概率论与数理统计部分4.1 随机变量与概率分布4.1.1 随机变量的定义与常见概率分布 4.1.2 期望与方差的计算4.2 参数估计与假设检验4.2.1 参数估计的方法与性质4.2.2 假设检验的基本原理与步骤五、常微分方程部分5.1 一阶常微分方程5.1.1 可分离变量与线性方程5.1.2 齐次方程与一阶线性方程 5.2 高阶常微分方程5.2.1 二阶常系数线性齐次方程5.2.2 二阶非齐次线性方程六、离散数学部分6.1 图论与树6.1.1 图的基本概念与性质6.1.2 树的定义与常见性质6.2 排列组合与离散概率6.2.1 排列与组合的基本计算6.2.2 离散概率的计算与应用以上是考研数学常考知识点的整理,希望对你的学习有所帮助。
记得多做练习题,夯实基础,理解概念及性质,注重对解题方法的掌握与应用。
加油!。
考研数学的基础知识点总结
一、集合论
1. 集合、元素、子集、空集、全集的概念
2. 集合的运算:并集、交集、差集、余集
3. 集合的基本性质
4. 常用的集合:自然数集、整数集、有理数集、实数集
5. 集合的表示方法
二、函数与映射
1. 函数的概念与性质
2. 函数的图像
3. 函数的运算:复合函数、反函数
4. 常用函数:线性函数、指数函数、对数函数、三角函数
5. 映射的概念与性质
三、数列与级数
1. 数列的概念与表示
2. 数列的极限
3. 等差数列、等比数列
4. 级数的概念与性质
5. 常见级数:等差级数、等比级数、调和级数
四、极限与连续
1. 极限的概念与性质
2. 极限的运算法则
3. 无穷小量与无穷大量
4. 函数的连续性
5. 连续函数的性质
五、导数与微分
1. 导数的概念与性质
2. 导数的计算:基本函数求导、复合函数求导
3. 高阶导数
4. 微分的概念与性质
5. 微分的应用:泰勒公式、极值与拐点
六、积分与定积分
1. 不定积分的概念与性质
2. 基本积分法
3. 定积分的概念与性质
4. 定积分的计算:换元积分法、分部积分法
5. 积分的应用:面积、体积、曲线长度、曲线弧长
七、常微分方程
1. 微分方程的基本概念
2. 一阶微分方程的求解
3. 高阶微分方程的求解
4. 常系数齐次线性微分方程的求解
5. 变参数线性微分方程的求解
以上就是考研数学的基础知识点总结,考生可以对这些知识点进行仔细复习,加强自己的数学基础,为考研数学顺利通过打下坚实的基础。
考研数学基础知识点梳理(高数篇) 第一章函数、极限与连续1、函数的有界性2、极限的定义(数列、函数)3、极限的性质(有界性、保号性)4、极限的计算(重点)(四则运算、等价无穷小替换、洛必达法则、泰勒公式、重要极限、单侧极限、夹逼定理及定积分定义、单调有界必有极限定理)5、函数的连续性6、间断点的类型7、渐近线的计算第二章导数与微分1、导数与微分的定义(函数可导性、用定义求导数)2、导数的计算(“三个法则一个表”:四则运算、复合函数、反函数,基本初等函数导数表;“三种类型”:幂指型、隐函数、参数方程;高阶导数)3、导数的应用(切线与法线、单调性(重点)与极值点、利用单调性证明函数不等式、凹凸性与拐点、方程的根与函数的零点、曲率(数一、二)) 第三章中值定理1、闭区间上连续函数的性质(最值定理、介值定理、零点存在定理)2、三大微分中值定理(重点)(罗尔、拉格朗日、柯西)3、积分中值定理4、泰勒中值定理5、费马引理第四章一元函数积分学1、原函数与不定积分的定义2、不定积分的计算(变量代换、分部积分)3、定积分的定义(几何意义、微元法思想(数一、二))4、定积分性质(奇偶函数与周期函数的积分性质、比较定理)5、定积分的计算6、定积分的应用(几何应用:面积、体积、曲线弧长和旋转面的面积(数一、二),物理应用:变力做功、形心质心、液体静压力)7、变限积分(求导)8、广义积分(收敛性的判断、计算)第五章空间解析几何(数一)1、向量的运算(加减、数乘、数量积、向量积)2、直线与平面的方程及其关系3、各种曲面方程(旋转曲面、柱面、投影曲面、二次曲面)的求法第六章多元函数微分学1、二重极限和二元函数连续、偏导数、可微及全微分的定义2、二元函数偏导数存在、可微、偏导函数连续之间的关系3、多元函数偏导数的计算(重点)4、方向导数与梯度5、多元函数的极值(无条件极值和条件极值)6、空间曲线的切线与法平面、曲面的切平面与法线第七章多元函数积分学(除二重积分外,数一)1、二重积分的计算(对称性(奇偶、轮换)、极坐标、积分次序的选择)2、三重积分的计算(“先一后二”、“先二后一”、球坐标)3、第一、二类曲线积分、第一、二类曲面积分的计算及对称性(主要关注不带方向的积分)4、格林公式(重点)(直接用(不满足条件时的处理:“补线”、“挖洞”),积分与路径无关,二元函数的全微分)5、高斯公式(重点)(不满足条件时的处理(类似格林公式))6、斯托克斯公式(要求低;何时用:计算第二类曲线积分,曲线不易参数化,常表示为两曲面的交线)7、场论初步(散度、旋度)第八章微分方程1、各类微分方程(可分离变量方程、齐次方程、一阶线性微分方程、伯努利方程(数一、二)、全微分方程(数一)、可降阶的高阶微分方程(数一、二)、高阶线性微分方程、欧拉方程(数一)、差分方程(数三))的求解2、线性微分方程解的性质(叠加原理、解的结构)3、应用(由几何及物理背景列方程)第九章级数(数一、数三)1、收敛级数的性质(必要条件、线性运算、“加括号”、“有限项”)2、正项级数的判别法(比较、比值、根值,p级数与推广的p级数)3、交错级数的莱布尼兹判别法4、绝对收敛与条件收敛5、幂级数的收敛半径与收敛域6、幂级数的求和与展开7、傅里叶级数(函数展开成傅里叶级数,狄利克雷定理)。
考研数学高数知识点:排列组合核心一、协议关键信息1、排列组合的定义与基本概念排列的定义:____________________________组合的定义:____________________________排列数公式:____________________________组合数公式:____________________________2、排列组合的基本性质排列的性质:____________________________组合的性质:____________________________3、常见的排列组合题型无限制条件的排列组合问题:____________________________有限制条件的排列组合问题:____________________________分组分配问题:____________________________可重复排列组合问题:____________________________4、解题方法与技巧分类加法计数原理与分步乘法计数原理的应用:____________________________捆绑法:____________________________插空法:____________________________隔板法:____________________________排除法:____________________________二、协议内容11 排列组合的定义111 排列排列是指从 n 个不同元素中取出 m(m≤n)个元素,按照一定的顺序排成一列,叫做从 n 个不同元素中取出 m 个元素的一个排列。
用符号 A(n,m) 表示。
112 组合组合是指从 n 个不同元素中取出 m(m≤n)个元素组成一组,叫做从 n 个不同元素中取出 m 个元素的一个组合。
用符号 C(n,m) 表示。
12 排列数公式A(n,m) = n! /(n m)!13 组合数公式C(n,m) = n! / m! (n m)!21 排列组合的基本性质211 排列的性质A(n,n) = n!A(n,m) = A(n,n m)212 组合的性质C(n,m) = C(n,n m)C(n,m) + C(n,m 1) = C(n + 1,m)31 常见的排列组合题型311 无限制条件的排列组合问题这类问题通常直接使用排列数或组合数公式进行计算。