七下数学平方根计算题
- 格式:doc
- 大小:509.00 KB
- 文档页数:22
人教版七年级数学下册第六章第一节平方根习题(含答案) 下列叙述错误的是( )A.-4是16的平方根B.17是(-17)2的算术平方根C.164的算术平方根是18D.0.04的算术平方根是0.02【答案】D【解析】【分析】根据平方根与算术平方根的意义逐项求解即可.【详解】A. ∵(-4)2=16,∴-4是16的平方根,故正确;B. ∵(-17)2=172,∴17是(-17)2的算术平方根,故正确;C. ∵(18)2=164,∴164的算术平方根是18,故正确;D. ∵0.22=0.04,∴ 0.04的算术平方根是0.2,故错误;故选D.【点睛】本题考查了平方根的意义,如果个一个数x的平方等于a,即x2=a,那么这个数x叫做a的平方根.一个正数正的平方根也叫作这个数的算术平方根,0的算术平方根是0.32叫做2的( )A.平方B.平方根C.算术平方根D.立方根【答案】C【解析】【分析】根据算术平方根的定义计算可得.【详解】叫做2的算术平方根,故选C.【点睛】本题主要考查算术平方根,解题的关键是掌握算术平方根的概念:一般地,如果一个正数x的平方等于a,即x2=a,那么这个正数x叫做a的算术平方根.记.33.若点M的坐标为(|b|+2),则下列说法正确的是( ) A.点M在x轴正半轴上B.点M在x轴负半轴上C.点M在y轴正半轴上D.点M在y轴负半轴上【答案】A【解析】【分析】直接利用绝对值以及二次根式的性质得出横纵坐标的符号,进而得出答案.【详解】∵点M的坐标为(|b|+2),∴|b|+2>0,﹣a2=0,故点M在x轴正半轴上.故选:A.【点睛】本题考查了各象限内点的坐标的符号特征,记住各象限内点的坐标的符号是解决的关键,四个象限的符号特点分别是:第一象限(+,+);第二象限(﹣,+);第三象限(﹣,﹣);第四象限(+,﹣).34.4的算术平方根是()A.-2 B.2 C.±2 D.-√4【答案】B【解析】【分析】如果一个非负数x的平方等于a,那么x是a的算术平方根,由此即可求出结果.【详解】解:∵22=4,∴4算术平方根为2.故选:B.【点睛】此题主要考查了算术平方根的概念,算术平方根易与平方根的概念混淆而导致错误.35.一个正方形的面积为50 cm2,则该正方形的边长约为()A.5cm B.6cm C.7cm D.8 cm【答案】C【解析】【分析】设正方形的边长是x cm,得出x2=50,求出即可.【详解】设正方形的边长是x cm,则x2=50.∵x>0,∴x≈7.故选C.【点睛】本题考查了对正方形性质和算术平方根的应用,关键是根据题意得出方程,注意:方程的解只有一个.36.下列说法正确的是()A.﹣81平方根是﹣9B±9C.平方根等于它本身的数是1和0D【答案】D【解析】【分析】根据一个正数有两个平方根,这两个平方根互为相反数,零的平方根是零,负数没有平方根进行分析即可.【详解】A、﹣81没有平方根,故A选项错误;B9的平方根是±3,故B选项错误;C、平方根等于它本身的数是0,故C选项错误;D一定是正数,故D选项正确,【点睛】本题主要考查了平方根,解题的关键是掌握平方根的性质.二、填空题37.在下列说法中:①﹣9是81的平方根;②9的平方根是3;③(﹣5)2的算术平方根是5;⑤0的相反数和倒数都是0;=±2;正确的是_____(填序号).【答案】①③【解析】【分析】依据平方根、算术平方根、相反数和倒数性质进行解答即可.【详解】解:①﹣9是81的平方根,故①正确;①9的平方根是±3,故①错误;①(﹣5)2的算术平方根是5,故①正确;①负数没有平方根,故①错误;①0没有倒数,故①错误;=2,故①错误.故答案为①①.【点睛】本题主要考查的是平方根、算术平方根、相反数和倒数等知识,熟练掌握相关定义和性质是解题的关键.38.计算:= ,-= ,= . 【答案】±25;-25;25 【解析】【分析】根据平方根及算术平方根的意义化简即可.【详解】=±25=-25=25. 故答案为±25,-25,25. 【点睛】本题考查了平方根及算术平方根的意义,如果一个数x 的平方等于a ,即x2=a ,那么这个数x 叫做a 的平方根,正数a 的平方根记作算术平方根是正数正的平方根.39.求一个数a 的平方根的运算,叫做______,平方与开平方互为逆运算.正数有______个平方根,它们______;0的平方根是______;负数______.【答案】开平方 两 互为相反数 0 没有平方根【解析】【分析】根据平方根的定义和性质解答即可.【详解】求一个数a的平方根的运算,叫做开平方,平方与开平方互为逆运算.正数有两个平方根,它们互为相反数;0的平方根是0;负数没有平方根.故答案为:开平方,两,互为相反数,0,没有平方根.【点睛】本题考查了平方根,注意一个正数有两个平方根,0的平方根是0,负数没有平方根.40.一般地,如果一个正数x的平方等于a,即x2=a,那么这个正数x 叫做a的________.a,读作“_____”,a叫做_______.规定:0的算术平方根是_____.【答案】算术平方根根号a 被开方数0【解析】【分析】根据算术平方根的定义解答即可.【详解】一般地,如果一个正数x的平方等于a,即x2=a,那么这个正数x叫做a 的算术平方根.a读作“根号a”,a叫做被开方数.规定:0的算术平方根是0.故答案为:算术平方根,根号a,被开方数,0.【点睛】本题考查了算术平方根,熟记算术平方根的定义是解题的关键.。
6.1平方根习题题精选学校______班别______姓名______考号______一.选择题(共30小题)1.(2014?东营)的平方根是()3 9 9 ±±3 .A.C .DB.4的平方根是()2.(2014?鞍山)2 2 ±D .B.C.A.±)2014?陕西)4的算术平方根是(3.(2DC.A..﹣2 B.﹣)4.(2014?百色)化简得(0 100 1±10 D A..C B..20142y+2),则(=0x+y))等于(5.(2014?张家界)若+(20142014 1 .DC.A.1 ﹣B.3 3﹣)?6.(2014泸州)已知实数x、y满足+|y+3|=0,则x+y的值为(2 44 ﹣.﹣2B.DCA..2的值是(+=0,则m+n)7.(2014?福州)若(m﹣1)2 01 A.﹣1 B.DC..8.(2014?新泰市一模)的平方根是() 1.414 2 ±±2 ﹣.DCA...B的平方根是()|9.(2014?德州一模)﹣4| 22 ±B 2C.﹣存在.DA.不.2014?资阳一模)下列说法正确的是()10.(何数的平方根有两个.任A 只.B有正数才有平方根C.数既没有平方根,也没有立方根负.一个非负数的平方根的平方就是它本身D)201411.(?上城区二模)的算术平方根是(22 ±C.A...BD ±12.(2014的平方根是()?吉安模拟)9 33 9 ±±C ..B.A.D邻水县模拟)16的算术平方根的平方根是()?13.(2014 24 2 ±±4 .DA..B.C 的算术平方根的相反数是(2013.(?南充)0.49)14 0.7 00.7 ±DC..﹣A..B 0.7黄石模拟)算术平方根等于(2013?2的数是().154x=3 4 ±±.D.A. B C.2)(﹣?(16.2012滨湖区模拟)5的平方根是()55 ±5 ﹣..C A.B.D ±)m13m42m.若17﹣与﹣是同一个数两个不同的平方根,则的值(1 1.3 .A ﹣BC.1 或3﹣﹣.D18).下列说法正确的是(A..B 的平方根1是﹣﹣111是的算术平方根2C的平方根2是4 ..D1 的平方根是)1﹣(.)19.下列说法正确的是(A.9的平方根是±3 B.1的立方根是±1D.C.一个数的算术平方根一定是正数1 =±20.一个数如果有两个平方根,那么这两个平方根之和是()A.大于0 B.0D.大于或等于等于0 C.小于021.下列说法正确的()(1)9的平方根是±3 (2)平方根等于它本身的数是0和1(3)﹣2是4的平方根(4)的算术平方根是4.B22.81的平方根是±9的数学表达式是()A D..B.C.23.已知3m﹣1和m﹣7是数p的平方根,则p的值为()100 25 A.B.C.10 或D.100或25 524.如果一个数的平方根是这个数本身,那么这个数是()0 1 ±1 A.B..﹣1C.D25.下列说法中正确的是()2A.B.3是的正平方根的负平方根3是﹣3﹣22D..C3是(﹣3))的平方根是﹣3 的正平方根(﹣326.若一个数的平方根是±8,则这个数是()16 64 ±±64 16 A.B.D.C.27.一个正数的平方根是2m+3和m+1,则这个数为()A.B.C.D.﹣1或28.下列说法正确的是()A.B.1的立方根是±1表示25的平方根 D 负数没平方根C..有平方根,而没有平方根)29.下列说法正确的是(2A..B 的平方根是a a﹣是a的平方根2.C.D一个实数总有两个平方根a的平方根是a )30.下列说法正确的是(2.B A.的正的平方根2是的负的平方根2 2﹣是﹣22D.C .(﹣2是(﹣22)的正的平方根)的平方根是﹣28小题)一.填空题(共_________.本溪)一个数的算术平方根是?(1.20142,则这个数是2.(2014?营口一模)若2x﹣4与1﹣3x是同一个数的平方根,则x的值为_________.3.(2014?江西模拟)已知一个正数的两个不同的平方根是3x﹣2和4﹣x,则x=_________.4.(2014?普陀区二模)._________的平方根是._________的算术平方根是?5.(2014道里区一模).?2013高港区二模)_________的平方根是(6.._________的值为ab的两个平方根,则9分别是b、a高淳县二模)如果?2013(.72.y=_________2x﹣4)互为相反数,那么2x﹣与(潮安县模拟)如果8.(2013?小题)二.解答题(共12.解方程:9222﹣15=0.10.解方程:0.25(3x+1(1)x﹣)﹣=0;(2)(x1)=36.22.1)=36(2)12.解方程:(1()x﹣=0;11.解方程:196x﹣1=0.2.﹣13.解方程:(2x+1)6=0b0.05477 0.1732 a 5.47717.3254.771.732结果的值;)求(1a和b (2)用一句话概括你发现的规律.15.根据下表回答下列问题:x 16.0 16.1 16.2 16.3 16.4 16.5 16.6 16.7 16.8 16.9 17.0 2256.00 259.21 262.44 265.69 268.96 272.25 275.56 278.89 282.24 285.61 289.00 x(1)268.96的平方根是多少?(2)≈_________.在哪两个数之间?为什么?)3(最接近的是哪个数?)表中与4(16.已知2a﹣1的算术平方根是3,3a+b﹣1的算术平方根是4,求a,b的值.17.计算:,=_________;)=_________1(;_________2(=).3(=)_________=,_________仔细观察上面几道题的计算结果,猜想一个数的平方的算术平方根与这个数之间的关系.(可以用代数式表示或用语言叙述)18.已知2a+b的算术平方根是9,3a﹣b+1是144的算术平方根,求a﹣b的值.2的平方根.).若x+2,求(192的平方根.y﹣x,求=0)2﹣x(+.己知20.6.1平方根习题题精选(参考答案与试题解析)一.选择题(共30小题)1.(2014?东营)的平方根是()3 9 9 ±3 ±D .B.C.A.考点:平方根;算术平方根.计算题.专题:根据平方运算,可得平方根、算术平方根.分析:解答:,解:∵,的平方根是±39 .故选:A 本题考查了算术平方根,平方运算是求平方根的关键.点评:2.(2014?鞍山)4的平方根是()2 ±2 A.B.C.D.±平方根.考点:计算题.专题:利用平方根的定义计算即可.分析:2解答:=4解:∵(±2),2,∴4的平方根是±B故选此题考查了平方根,熟练掌握平方根的定义是解本题的关键.点评:3.(2014?陕西)4的算术平方根是()2 A.﹣2 B.C.D.﹣考点:算术平方根.专题:计算题.分析:根据算术平方根的定义进行解答即可.解答=解:的算术平方根故选:B.点评:本题考查了算术平方根的定义,熟记定义是解题的关键.4.(2014?百色)化简得()100 10 ±10 A.B.C. D .考点:算术平方根.分析:运用算术平方根的求法化简.解答:解:=10,故答案为:B.点评:本题主要考查算术平方根用二次根式的性质和化简的知识点,本题是基础题,比较简单.22014等于())y+22014?张家界)若+()=0,则(x+y5.(20142014 1 A.﹣1 B.C.D.3 ﹣3考点:非负数的性质:算术平方根;非负数的性质:偶次方.分析:根据非负数的性质列出方程求出x、y的值,代入所求代数式计算即可.2解答:解:∵+(y+2)=0,,∴.解得,20142014 =1,﹣2)∴(x+y)=(1 B.故选:0.本题考查了非负数的性质:几个非负数的和为0时,这几个非负数都为点评:)的值为(、xy满足+|y+3|=0,则x+y6.(2014?泸州)已知实数 4 2 4 ﹣D.B.C.A.﹣2非负数的性质:算术平方根;非负数的性质:绝对值.考点:分类讨论.专题:的值,然后将代数式化简再代值计算.x、y分析:根据非负数的性质,可求出解:∵+|y+3|=0,解答:;1=0,y+3=0∴x﹣,﹣3∴x=1,y=2 ﹣)=∴原式=1+(﹣3 .故选:A .时,这几个非负数都为0点评:本题考查了非负数的性质:几个非负数的和为02),则m+n的值是(2014?福州)若(m﹣1)+=07.( 2 0 1.C.DA.﹣1 B.非负数的性质:算术平方根;非负数的性质:偶次方.考点:的值,然后将代数式化简再代值计算.根据非负数的性质,可求出m、n分析:2解答:=0),+解:∵(m﹣1 n+2=0;﹣1=0,∴m 2,,n=﹣∴m=11 ﹣2)=(﹣∴m+n=1+ .故选:A .0时,这几个非负数都为0点评:题考查了非负数的性质:几个非负数的和为8.(2014?新泰市一模)的平方根是()±2 ±1.414 A.B. C .D.﹣2考点:平方根;算术平方根.专题:探究型.分析:先把化为2的形式,再根据平方根的定义进行解答即可.解答:解:∵=2,2的平方根是±,∴.的平方根是±故选C.点评:本题考查的是平方根的定义,即如果一个数的平方等于a,这个数就叫做a的平方根,也叫做a的二次方根.9.(2014?德州一模)|﹣4|的平方根是()2 ±2 A.B.C.﹣2 D.不存在考点:平方根.分析:先根据绝对值的性质求出|﹣4|的值,再根据平方根的定义得出答案即可.2解答:解:∵|﹣4|=4,(±2)=4,∴|﹣4|的平方根是±2.故选B.点评:本题考查的是绝对值和平方根的定义,如果一个数的平方等于a,这个数就叫做a的平方根,也叫的二次方根.a做10.(2014?资阳一模)下列说法正确的是()A.任何数的平方根有两个只有正数才有平方根B.负数既没有平方根,也没有立方根C.D.一个非负数的平方根的平方就是它本身考点:平方根.专题:常规题型.分析:本题根据平方根的定义即可解答.用排除法作答.解答:解:A、O的平方根只有一个即0,故A错误;B、0也有平方根,故B错误;C、负数是有立方根的,比如﹣1的立方根为﹣1,故C错误;D、非负数的平方根的平方即为本身,故D正确;故选:D.点评:本题考查了平方根和立方根的定义,考查了考生对正负数的立方根理解.11.(2014?上城区二模)的算术平方根是()2 ±2 A.B.C.D.±考点:算术平方根.专题:计算题.分析:先求得的值,再继续求所求数的算术平方根即可.解答:解:∵=2,而2的算术平方根是,∴的算术平方根是,故选C.点评:此题主要考查了算术平方根的定义,解题时应先明确是求哪个数的算术平方根,否则容易出现选A的错误.12.(2014?吉安模拟)的平方根是()9 3 ±9 ±3 A.B.C.D.考点:算术平方根;平方根.分析求=,求的平方根即可解答:解:∵=9,∴的平方根是±3,故选D.点评:本题考查了对算术平方根,平方根的定义的应用,主要考查学生的计算能力.13.(2014?邻水县模拟)16的算术平方根的平方根是()4 2 ±4 ±2 A.B.C.D.考点:算术平方根;平方根.分析:先求出16的算术平方根,再根据平方根定义求出即可.解答:解:∵16的算术平方根是4,∴16的算术平方根的平方根是±2,故选D.点评:本题考查了对平方根和算术平方根的应用,主要考查学生的计算能力.14.(2013?南充)0.49的算术平方根的相反数是()0.7 0 0.7 ±.D﹣0.7 C ..A.B算术平方根;相反数.:考点的算术平方根,然后求其相反数即可.分析:先算出0.49解答:,0.49的算术平方根为=0.7解:的算术平方根的相反数为:﹣则0.490.7..B故选.本题考查了算术平方根及相反数的知识,属于基础题,掌握各知识点概念是解题的关键.点评:)黄石模拟)算术平方根等于2的数是(15.(2013?4x=3 4 ±±D.A.B .C.考点:算术平方根.(a≥0)的算术平方根就是平方是a的非负数,据此即可判断.分析:根据a2解答:=4.2的数是2解:算术平方根等于故选:A.点评:本题考查了算术平方根的定义,正确理解定义是关键.2)?滨湖区模拟)(﹣5)的平方根是(16.(201255 ±5﹣..C.DA.B ±:平方根.考点:计算题.专题2分析:的值,再根据平方根的定义得出±先求出(﹣5),求出即可.2解答:=25,解:∵(﹣5)5,±∴±= A.故选点评:,一个正数有两个平方根,它们互0)的平方根是本题考查了对平方根的定义的应用,注意:a(a≥为相反数.)1是同一个数两个不同的平方根,则m的值(﹣17.若2m4与3m﹣1 1 ﹣D3或1 .3 B.C.﹣A.﹣平方根.考点:互为相反数,即可列方程﹣1﹣4与3m﹣4与3m﹣1是同一个数两个不同的平方根,则2m分析:根据2m m的值.求得=0,﹣1)2m﹣4)+(3m解答:解:根据题意得:(m=1.解得:B.故选本题考查了平方根的定义,正确理解两个平方根的关系是关键.点评:).下列说法正确的是(1的算术平方的平方是的平方1的平方根考平方根;算术平方根分析根据平方根的定义,分别得出各选项的答案即可解答解:.负数没有平方根,∴是的平方根错误,故此选项错误.的算术平方根,故此选项正确.∵(=,的平方根,故此选项错误.的平方根,故此选项错误故选:B.点评:此题主要考查了平方根的定义和性质,注意平方根的定义与立方根进行区分,这是易错点.19.下列说法正确的是()A.9的平方根是±3 B.1的立方根是±1C.D.一个数的算术平方根一定是正数 1 ±=考点:平方根;立方根.分析:根据平方根、立方根以及算术平方根的定义分别进行判断即可.解答:解:A、9的平方根为±3,所以A选项正确;B、1的立方根为1,所以B选项错误;C、=1,所以C选项错误;D、0的算术平方根为0,所以D选项错误..A故选.点评:本题考查了平方根的定义:如果一个数的平方等于a,那么这个数就叫a的平方根,记作(a≥0).也考查了算术平方根以及立方根的定义.20.一个数如果有两个平方根,那么这两个平方根之和是()A.大于0 B.等于0 C.小于0 D.大于或等于0考点:平方根.分析:根据一个正数的平方根有两个,这两个数互为相反数得出即可.解答:解:∵一个正数的平方根有两个,这两个数互为相反数,∴一个数如果有两个平方根,那么这两个平方根之和是0,故选B.点评:本题考查了平方根和相反数的应用,注意:互为相反数的两个数相加等于0.21.下列说法正确的()(1)9的平方根是±3 (2)平方根等于它本身的数是0和1(3)﹣2是4的平方根(4)的算术平方根是4.1 2 3 4 A.B.C.D.考点:平方根;算术平方根.专题:常规题型.分析:根据平方根的定义,算术平方根的定义对各小题分析判断后进行解答即可.解答:解:(1)9的平方根是±3,正确;(2)平方根等于它本身的数是0,故本小题错误;(3)﹣2是4的平方根,正确;(4)∵=4,4的算术平方根是2,故本小题错误.所以正确的有(1)(3)正确.故选B.点评:本题主要考查了平方根与算术平方根的概念,注意一个正数有两个平方根,它们互为相反数;0的平方根是0;负数没有平方根.22.81的平方根是±9的数学表达式是()A.B.C.D.考平方根分析:根据平方根的定义,一个a数平方后等于这个数,那么它就是这个数的平方根,即可得出答案.解答:解:∵“81的平方根是±9”,根据平方根的定义,即可得出±=±9.故选:D.点评:此题主要考查了平方根的定义,根据平方根的定义直接得出答案是解决问题的关键.23.已知3m﹣1和m﹣7是数p的平方根,则p的值为()0055025考平方根专计算题分析根据一个数的平方根互为相反数或相等,从而可得的值,进而可得的值解答解:3是的平方根31=31+7=∵31=时,解m∴3m﹣1=﹣10,∴p=100,当3m﹣1+m﹣7=0时,解得m=2,∴3m﹣1=5,∴p=25.故选D.点评:本题考查了平方根的概念,注意一个正数有两个平方根,它们互为相反数;0的平方根是0;负数没有平方根.).如果一个数的平方根是这个数本身,那么这个数是(24 1 0 1 ±1 ﹣D.B.C.A.平方根.考点:由于如何一个正数的平方根都有两个,它们互为相反数,由此可以确定平方根等于它本身的数只有分析:.0 .0的平方根是0解答:解:.故选这个数为0 .故选A;负数00的平方根是点评:本题考查了平方根的定义.注意一个正数有两个平方根,它们互为相反数;没有平方根.)25.下列说法中正确的是(2..B A 的正平方根3是的负平方根是﹣3﹣322..DC 的正平方根﹣3)3的平方根是﹣3 )3是(﹣(:平方根.考点根据平方根的定义即可解答.分析:2解答:93,负数没有平方根,故本选项错误;=﹣解:A、﹣、是的正平方根,故本选项错误;B 2 3,故本选项错误;3)的平方根是±C、(﹣2)的正平方根,故本选项正确;3是(﹣3D、D.故选;负数的平方根是0 本题考查了平方根的定义.注意一个正数有两个平方根,它们互为相反数;0点评:没有平方根.),则这个数是(26.若一个数的平方根是±84 6 16 64 ±±16 D..C.A.B 平方根.考点:分析根据平方根的定义,求解即可解答=6解:这个故本题考查了平方根的知识,属于基础题,掌握平方根的定义是关键点评:)和m+1,则这个数为(27.一个正数的平方根是2m+3.DC.A.B.或1 ﹣考点:平方根.分析:根据互为相反数的两个数的和为0,可得m的值,根据平方,可得答案.解答:解:(2m+3)+(m+1)=0,m=﹣,m+1=﹣,(m+1)=,故选:C.点评:本题考查了平方根,先求出m的值,再求出平方根,最后求出这个数.28.下列说法正确的是()A.B.1的立方根是±1的平方根表示25D数没平方根负.C.没有平方根有平方根,而考点:平方根;算术平方根;立方根.分析:根据平方根以及立方根的定义,结合选项进行判断.解答:解:A、表示25的算术平方根,故本选项错误;B、1的立方根是﹢1,故本选项错误;C、负数没平方根,该说法正确,故本选项正确;D、=9,有平方根,也有平方根,故本选项错误.故选C.点评:本题考查了平方根和立方根的概念.注意一个正数有两个平方根,它们互为相反数;0的平方根是0;负数没有平方根.29.下列说法正确的是()2A.B.a的平方根是﹣a是a的平方根2一个实数总有两个平方根C.D.a的平方根是a考点:平方根.分析:根据一个正数有两个平方根,这两个平方根互为相反数,零的平方根是零,负数没有平方根可得到答案.2解答:的平方根,故此选项正确;是a解:A、﹣a B、a的平方根是±,故此选项错误;C、一个实数总有两个平方根,说法错误,负数没有平方根,故此选项错误;2D、a的平方根是±a,故此选项错误;故选:A.点评:此题主要考查了平方根,关键是掌握平方根的性质.30.下列说法正确的是()2B.A.2是的正的平方根2的负的平方根﹣2是﹣22C.D .(﹣的正的平方根2)的平方根是﹣22是(﹣2)考点:平方根;算术平方根.分析:本题是一道运用平方根的性质解答的选择题,利用逐一推敲的方法和排除法解答本题.解答:解:A、应该是是2的正的平方根,故本选项错误;2B、﹣2是负数,没有平方根,故本选项错误;D、一个正数有两个平方根,并且互为相反数,故本选项错误.排除法故选C.点评:本题是一道涉及平方根和算术平方根的选择题,考查了平方根的性质和算术平方根的意义.一.填空题(共8小题)1.(2014?本溪)一个数的算术平方根是2,则这个数是4.考算术平方根专题:计算题.分析:利用算术平方根的定义计算即可得到结果.解答:解:4的算术平方根为2,故答案为:4点评:此题考查了算术平方根,熟练掌握算术平方根的定义是解本题的关键.2.(2014?营口一模)若2x﹣4与1﹣3x是同一个数的平方根,则x的值为﹣3或1.考点:平方根.分析:根据一个正数的平方根互为相反数,可得平方根的和为0,根据解一元一次方程,可得答案.解答:解:2x﹣4与1﹣3x是同一个数的平方根,∴(2x﹣4)+(1﹣3x)=0,或2x﹣4=1﹣3x解得x=﹣3或x=1故答案为:﹣3或1.点评:本题考查了平方根,一个正数的平方根的和为0..1﹣x=,则x﹣4和2﹣3x江西模拟)已知一个正数的两个不同的平方根是?2014(.3:平方根.考点,可得一元一次方程,根据解方程,可得根据一个正数的平方根互为相反数,可得平方根的和为0分析:x的值.﹣x,解:已知一个正数的两个不同的平方根是3x﹣2和4解答:)=0,+(4﹣x2(3x﹣)﹣1,解得x= 故答案为:﹣1.本题考查了平方根,平方根的和为0是解题关键.点评:.±2014?普陀区二模)的平方根是4.(考点:算术平方根;平方根.分析:先根据算术平方根的定义求=6,再根据平方根的概念求6的平方根即可.解答:解:∵=6,∴的平方根是±.故答案填±.点评:本题考查了平方根的概念.注意:一个正数有两个平方根,它们互为相反数;0的平方根是0;负数没有平方根.5.(2014?道里区一模)的算术平方根是.考点:算术平方根.专题:常规题型.分析:根据算术平方根的定义进行化简,再根据算术平方根的定义求解即可.2解答:=25,解:∵5∴=5,∴的算术平方根是.故答案为:.点评:本题考查了算术平方根的定义,先把化简是解题的关键.6.(2013?高港区二模)的平方根是.考点:算术平方根;平方根.分析:首先算术平方根的定义化简,然后根据平方根的定义即可求得结果.解答解:=的平方根∴的平方根是.故答案为:.点评:此题主要考查了平方根算术平方根定义,解题时注意:本题求的是2的平方根,不是4的平方根.7.(2013?高淳县二模)如果a、b分别是9的两个平方根,则ab的值为﹣9.考点:平方根.专题:计算题.分析:根据平方根的定义得到9的平方根为±3,然后计算这两个数的积.解答:解:∵9的平方根为±3,∴ab=﹣3×3=﹣9.故答案为﹣9.点评:本题考查了平方根:若一个数的平方等于a,那么这个数叫a的平方根,记作±(a≥0).2.1)﹣4互为相反数,那么2x﹣y=与((8.2013?潮安县模拟)如果2x考点:非负数的性质:算术平方根;非负数的性质:偶次方.分析:根据互为相反数的两个数的和等于0列出等式,再根据非负数的性质列式求出x、y的值,然后代入代数式进行计算即可得解.2解答:解:∵与(2x﹣4)互为相反数,2,=0)4﹣2x(+∴∴y﹣3=0,2x﹣4=0,解得x=2,y=3,∴2x﹣y=2×2﹣3=4﹣3=1.故答案为:1.点评:本题考查了非负数的性质:几个非负数的和为0时,这几个非负数都为0.二.解答题(共12小题)9.解方程:2=0;﹣(1)x2(2)(x﹣1)=36.考点:平方根.2分析:的值,再根据平方根的定义解答;x (1)求出(2)把(x﹣1)看作一个整体,然后利用平方根的定义解答即可.解答:2解:(1)x=,x=±;(2)x﹣1=6或x﹣1=﹣6,解得x=6或x=﹣5.点评:本题考查了利用平方根的定义求未知数的值,熟记概念是解题的关键.2.)﹣15=010.解方程:0.25(3x+1 平方根.考点:运用平方根解方程即可.分析:2解答:.﹣0.25(3x+1)15=0解:2.)=15移项得:0.25(3x+12=60 )(3x+1两边同时除以0.25得:2,开平方得:2x+1=±2x移项得:系数化为1得x=﹣+,x=﹣﹣.21点评:本题主要考查了利用平方根解方程,解题的关键是明确一个正数有两个平方根.2.196x﹣1=011.解方程平方根考移项,根据平方根的定义两边开方,求出两个方程的解即可.分析:2解答:,=1解:移项得:196x 1,开方得:14x=±即方程的解是:x=,x=﹣.21点评:本题考查了平方根的应用,解此题的关键是能根据定义得出两个一元一次方程.12.解方程:(1)=0;2(2)(x﹣1)=36.考点:平方根.分析:运用开平方的定义解方程即可.解答:;=0)1(解:2,x得﹣46=0两边同时乘162,移项得,x=46.x=﹣开平方得,x=,212.1)=36(2)(x﹣,1=±6开平方得x﹣,x=1±6移项得.=﹣5解得x=7,x21本题主要考查了运用平方根解方程的知识,解题的关键是熟记开平方的定义.点评:2 6=0..解方程:(2x+1)﹣13 平方根.考点:运用平方根解方程即可.分析:2解答:6=0.解:(2x+1)﹣2 =6.移项得:(2x+1)±,开平方得:2x+1=±,移项得:2x=﹣1系数化为1得x=,x=.21点评:本题主要考查了利用平方根解方程,解题的关键是明确一个正数有两个平方根.b1.732 a 0.05477 0.1732 17.325.477 54.77结果的值;和b(1)求a )用一句话概括你发现的规律.(算术平方根考规律型专倍,可得答案1分析根据被开方数扩10倍,算术平方根扩大解答:解:(1)=0.05477,,a==0.5477=17.32;b==173.2 倍.(2)被开方数扩大100倍,算术平方根扩大10 100 本题考查了算术平方根,注意被开方数扩大倍,算术平方根扩大10倍.点评:15.根据下表回答下列问题:x 16.0 16.1 16.2 16.3 16.4 16.5 16.6 16.7 16.8 16.9 17.0 2256.00 259.21 262.44 265.69 268.96 272.25275.56 278.89 282.24 285.61 289.00 x(1)268.96的平方根是多少?(2)≈17.在哪两个数之间?为什么?3)((4)表中与最接近的是哪个数?考点:算术平方根;平方根;估算无理数的大小.专题:规律型.分析:根据观察表格,可得相应的答案.解答:解:(1)16.4;(2)=16.9≈17;(3)在16.4与16.5之间,∵=16.4,=16.5,∴在16.4与16.5之间;,259.21最接近260)∵4(.∴最接近,∴最接近16.1.点评:本题考查了算术平方根,观察表格发现律是解题关键.16.已知2a﹣1的算术平方根是3,3a+b﹣1的算术平方根是4,求a,b的值.考点:算术平方根.分析:根据算术平方根的平方运算是被开方数,可得二元一次方程组,根据解二元一次方程组,可得答案.解答:解:2a﹣1的算术平方根是3,3a+b﹣1的算术平方根是4,∴解得.点评:本题考查了算术平方根,先平方求被开方数,再解二元一次方程组.17.计算:(1)=3,=1;(2);0=0.6.,=(3)3=仔细观察上面几道题的计算结果,猜想一个数的平方的算术平方根与这个数之间的关系.(可以用代数式表示或用语言叙述)考算术平方根专规律型分析原式各项利用平方根定义计算,归纳总结得到一个数的平方的算术平方根与这个数之间的关系可解答解)原=|3|=原式=|1|=1;(2)原式=|0|=0;(3)原式=|﹣3|=3;原式=|﹣0.6|=0.6,观察上面几道题的计算结果,一个数的平方的算术平方根与这个数之间的关系为=|a|..)3;0.631)3;;(2)0;(1故答案为:(点评:此题考查了算术平方根,熟练掌握算术平方根的性质是解本题的关键.b的值.144﹣b+1是的算术平方根,求a﹣3a2a+b18.已知的算术平方根是9,算术平方根.:考点根据算术平方根平方运算,可得二元一次方程组,根据解方程组,可得答案.分析:144的算术平方根,﹣的算术平方根是解:已知2a+b9,3ab+1是解答:,解得,a﹣b==﹣.本题考查了算术平方根,利用了乘方运算,开方运算.点评:2)的平方根.19.若,求(x+2 算术平方根;平方根.考点:计算题.专题:x 的值,代入原式计算求出平方根即可.分析:已知等式两边平方求出,,即解:已知等式两边平方得:x+2=4x=2解答:2.的平方根为±4则(x+2)=16,16 此题考查了算术平方根,熟练掌握算术平方根的定义是解本题的关键.点评:2y的平方根.=0,求x﹣﹣20.己知+(x2)非负数的性质:算术平方根;非负数的性质:偶次方;平方根.考点:计算题.:专题的值,代入所求代数式计算即可.x、y分析:根据非负数的性质列出方程求出2解答:=0,x﹣2)+解:∵(∴,,解得∴x﹣y=﹣2+7=5.点评:本题考查了非负数的性质:几个非负数的和为0时,这几个非负数都为0.。
七年级数学《平方根》典型例题及练习【知识要点】1、平方根:一般地,如果一个数x 的平方等于a,即x 2=a 那么这个数x 就叫做a 的平方根(也叫做二次方根式),2、算术平方根:3、平方根的性质:(1)一个正数有 个平方根,它们 ;(2)0 平方根,它是 ;(3) 没有平方根.4、重要公式:(1)=2)(a (2){==a a 25、平方表:1.正数有_____________个立方根, 0有__________个立方根,负数有__________个立方根,立方根也叫做_______________.2.一个正方体的棱长扩大3倍,则它的体积扩大_____________.3.若一个数的立方根等于数的算术平方根,则这个数是_____________.4. 0的立方根是___________.(-1)2005的立方根是______________.182726的立方根是________. 5. 312726-=____________. 【典型例题】例1、判断下列说法正确的个数为( )① -5是-25的算术平方根;② 6是()26-的算术平方根;③ 0的算术平方根是0;④ 0.01是0.1的算术平方根;⑤ 一个正方形的边长就是这个正方形的面积的算术平方根.A .0 个B .1个C .2个D .3个例2、36的平方根是( )A 、6B 、6±C 、 6D 、 6±例3、下列各式中,哪些有意义?(1)5 (2)2- (3)4- (4)2)3(- (5)310-例4、一个自然数的算术平方根是a ,则下一个自然数的算术平方根是( )A .()1+aB .()1+±aC .12+aD .12+±a例5、求下列各式中的x :(1)0252=-x (2)4(x+1)2-169=0【巩固练习】一、选择题1. 9的算术平方根是( )A .-3B .3C .±3D .812.下列计算正确的是( )A±2 B636=± D.992-=-3.下列说法中正确的是( )A .9的平方根是3 B24. 64的平方根是( )A .±8B .±4C .±2D 5. 4的平方的倒数的算术平方根是( )A .4B .18C .-14D .146.下列结论正确的是( ) A 6)6(2-=-- B 9)3(2=- C 16)16(2±=- D 251625162=⎪⎪⎭⎫ ⎝⎛--7.以下语句及写成式子正确的是( )A 、7是49的算术平方根,即749±=B 、7是2)7(-的平方根,即7)7(2=-C 、7±是49的平方根,即749=±D 、7±是49的平方根,即749±=8.下列语句中正确的是( )A 、9-的平方根是3-B 、9的平方根是3C 、 9的算术平方根是3±D 、9的算术平方根是39.下列说法:(1)3±是9的平方根;(2)9的平方根是3±;(3)3是9的平方根;(4)9的平方根是3,其中正确的有( )A .3个B .2个C .1个D .4个10.下列语句中正确的是( )A 、任意算术平方根是正数B 、只有正数才有算术平方根C 、∵3的平方是9,∴9的平方根是3D 、1-是1的平方根11.下列说法正确的是( )A .任何数的平方根都有两个B .只有正数才有平方根C .一个正数的平方根的平方仍是这个数D .2a 的平方根是a ±12.下列叙述中正确的是( )A .(-11)2的算术平方根是±11B .大于零而小于1的数的算术平方根比原数大C .大于零而小于1的数的平方根比原数大D .任何一个非负数的平方根都是非负数13.25的平方根是( )A 、5B 、5-C 、5±D 、5±14.36的平方根是( )A 、6B 、6±C 、 6D 、 6±15.当≥m 0时,m 表示( )A .m 的平方根B .一个有理数C .m 的算术平方根D .一个正数 16.用数学式子表示“169的平方根是43±”应是( )A .43169±=B .43169±=±C .43169=D .43169-=-17.算术平方根等于它本身的数是( )A 、 1和0B 、0C 、1D 、 1±和0.如果一个数的平方根与立方根是同一个数,那么这个偶数是( )A. 8B. 4C. 0D. 1618.0196.0的算术平方根是( )A 、14.0B 、014.0C 、14.0±D 、014.0±19.2)6(-的平方根是( )A 、-6B 、36C 、±6D 、±6 20.下列各数有平方根的个数是( )(1)5; (2)(-4)2; (3)-22; (4)0; (5)-a 2; (6)π; (7)-a 2-1A .3个B .4个C .5个D .6个 21.2)5(-的平方根是( )A 、 5±B 、 5C 、5-D 、5±22.下列说法错误的是( )A. 1的平方根是1B. –1的立方根是-1C.2是2的平方根 D. –3是2)3(-的平方根 23.下列命题正确的是( )A .49.0的平方根是0.7B .0.7是49.0的平方根C .0.7是49.0的算术平方根D .0.7是49.0的运算结果24.若数a 在数轴上对应的点的位置在原点的左侧,则下列各式中有意义的是( )A .aB .a -C .2a -D .3a26.下列各式中,正确的是( ) A. 2)2(2-=- B. 9)3(2=- C. 39±=± D. 393-=-27.下列各式中正确的是( )A .12)12(2-=-B .6218=⨯C .12)12(2±=-D .12)12(2=-±28.若a 、b 为实数,且471122++-+-=a a a b ,则b a +的值为( ) (A) 1± (B) 4 (C) 3或5 (D) 529.若9,422==b a ,且0<ab ,则b a -的值为 ( )(A) 2- (B) 5± (C) 5 (D) 5-30.已知一个正方形的边长为a ,面积为S ,则( ) A.a S = B.S 的平方根是a C.a 是S 的算术平方根 D.S a ±=31. 若a 和a -都有意义,则a 的值是( )A.0≥aB.0≤aC.0=aD.0≠a 32.22)4(+x 的算术平方根是( )A 、 42)4(+xB 、22)4(+xC 、42+xD 、42+x33.2)5(-的平方根是( )A 、 5±B 、 5C 、5-D 、5±34.下列各式中,正确的是( ) A. 2)2(2-=- B. 9)3(2=- C. 39±=± D. 393-=-35.下列各式中正确的是( )A .12)12(2-=-B .6218=⨯C .12)12(2±=-D .12)12(2=-±36.下列各组数中互为相反数的是( )A 、2)2(2--与B 、382--与C 、2)2(2-与D 、22与- 二、填空题:1.如果x 的平方等于a ,那么x 就是a 的 ,所以的平方根是2.非负数a 的平方根表示为3.因为没有什么数的平方会等于 ,所以负数没有平方根,因此被开方数一定是4_______;9的平方根是_______.5的平方根是 ,25的平方根记作 ,结果是6.非负的平方根叫 平方根7.2)8(-= , 2)8(= 。
平方根(计算题:一般)1、如果9的算术平方根是a,b的绝对值是4,求a-b的值.2、求下列各数的平方根.(1)6.25;(2);(3);(4)(-2)4.3、我们已经学过完全平方公式,知道所有的非负数都可以看作是一个数的平方,如,那么,我们可以利用这种思想方法和完全平方公式来计算下面的题:例:求的算术平方根.解:∴的算术平方根是.你看明白了吗?请根据上面的方法化简:(3)4、计算:(1)(2)(3)+-(4)5、计算:﹣22++(3﹣π)0﹣|﹣3|6、求下列各式中的x的值,(1)(2)(3)7、计算:(1)()2+﹣(2)++﹣|1﹣|+.8、求下列各式的值(1)﹣﹣(2)﹣12+(﹣2)3×.9、(1)++(2)(﹣)2﹣|1﹣|+﹣5(3)求x值:(3x+1)2=16(4)(x﹣2)3﹣1=﹣28.10、求下列式中的x的值.3(2x+1)2=27.11、计算:|﹣3|﹣(5﹣π)0+.12、计算:(1)(2)13、(1)计算:|﹣3|+(π+1)0﹣;(2)已知:(x+1)2=16,求x.14、计算:(1);(2);(3);(4);(5);(6)(结果保留3个有效数字)15、(2015秋•宝应县月考)计算:(1)()2+﹣(π﹣3.14)0+;(2)(2x﹣1)2﹣1=8.16、(1)计算:;(2)求中x的值.(3)÷(4)17、计算:(1);(2)解方程:9x2-121=0.18、计算(1);(2);(3);(4).19、计算:(﹣1)2015+﹣20150﹣(﹣)﹣2.20、计算:(﹣1)2013+﹣|﹣2|+(2013﹣π)0﹣﹣.21、(7分)计算:.22、计算:23、若,求2x+5的算术平方根.24、如果,求x+y的值.25、求下列各式中x的值.(1)(x+1)2=49;(2)25x2-64=0(x<0).26、求下列各数的平方根.(1)6.25;(2);(3);(4)(-2)4.27、如果,求x+y的值.28、已知2a-1的算术平方根是3,3a+b-1的算术平方根是4,求ab的值.29、已知3x-4是25的算术平方根,求x的值.30、求下列各数的算术平方根:(1)900;(2)1;(3);31、若(a-1)2+|b-9|=0,求的平方根.32、如图所示,在长和宽分别是、的矩形纸片的四个角都剪去一个边长为的小正方形.(1)用、、表示纸片剩余部分的面积;(2)当,,且剪去部分的面积等于剩余部分的面积时,求正方形的边长的值.33、计算:34、已知,则的整数部分是多少?如果设的小数部分为b,那么b是多少?35、一个正数a的平方根是3x-4与2-x,则a是多少?36、物体从高处自由下落,下落的高度h与下落时间t之间的关系可用公式表示,其中g=10米/秒2,若物体下落的高度是180米,则下落的时间是多少秒?37、用计算器计算,,,.(1)根据计算结果猜想(填“>”“<”或“=”);(2)由此你可发现什么规律?把你所发现的规律用含n的式子(n为大于1的整数)表示出来.38、用计算器计算:≈________.(结果保留三个有效数字)39、若△ABC的三边长分别是a、b、c,且a与b满足,求c的取值范围.40、求下列各数的算术平方根:(1)900;(2)1;(3);41、求下列各式中x的值:(1)169x2=100;(2)x2-3=0;(3)(x+1)2=81.42、如果a为正整数,为整数,求a可能的所有取值.43、若,求2x+5的算术平方根.44、若(a-1)2+|b-9|=0,求的平方根.45、计算:(10分)(1)已知:(x+2)2=25,求x;(2)计算:46、计算:参考答案1、72、±2.5,,,±43、(1)(2)(3)4、(1)-1.6 (2)±15 (3) 1 (4)5、-46、(1)、x=;(2)、x=1;(3)、x=8或x=-47、﹣10;﹣2+.8、(1)原式=0;(2)原式=﹣39、(1)原式=9﹣3+=6;(2)原式=2﹣+1+2﹣5=5﹣6;(3)x=1或x=﹣;(4)x=﹣1.10、x=1或x=-2.11、712、(1)、=7,=-7;(2)、5.13、(1)4;(2)x=3或x=﹣5.14、(1);(2)-17;(3)-9;(4)2;(5)-36;(6)37.9.15、(1)0;(2)x1=2,x2=﹣1.16、(1)3;(2)x= 8或-2;(3);(4).17、(1)-1;(2).18、(1);(2);(3);(4).19、﹣4.20、原式=2.21、﹣1.22、23、324、1325、(1)6或-8(2)26、(1)±2.5(2)(3)(4)±427、1328、1029、330、(1)30(2)1(3)31、±332、(1);(2)33、634、35、136、637、(1)> (2)(n为大于1的整数).38、0.46439、1<c<340、(1)30,(2)1,(3)41、(1).(2).(3) x=8或x=-1042、a所有可能取的值为5、10、13、14.43、44、±345、(1)3,-7 (2)46、.【解析】1、因为9的算术平方根是3,所以a=3.因为|b|=4,所以b=4或-4.所以当a=3,b=4时,a-b=-1;当a=3,b=-4时,a-b=7.2、(1)因为(±2.5)2=6.25,所以6.25的平方根是±2.5.(2)因为,所以的平方根是,即.(3)因为,所以的平方根是.(4)因为(±4)2=(-2)4,所以(-2)4的平方根是±4.3、试题分析:仿照例题直接利用完全平方公式开平方得出即可.利用中所求代入进而得出答案.仿照例题分别化简各二次根式,进而求出即可.试题解析:4、试题分析:根据平方根和立方根的意义解方程即可.试题解析:(1)=(2)=(3)=-3+3+1=1(4)==-3-++=考点:立方根与平方根5、试题分析:分别进行乘方、二次根式、零指数幂和绝对值的化简等运算,然后合并求解.试题解析:﹣22++(3﹣π)0﹣|﹣3|=﹣4+2+1﹣3=﹣4考点:实数的运算6、试题分析:(1)、首先根据等式的性质得出,然后根据平方根的性质得出x的值;(2)、首先根据等式的性质得出的值,然后根据立方根的计算法则得出答案;(3)、首先根据题意得出,然后根据平方根的性质得出x-2=6,从而求出x的值.试题解析:(1)、解得:x=(2)、=8 x+1=2 解得:x=1(3)、 x-2= 6 解得:x=8或x=-4考点:解方程7、试题分析:(1)原式利用算术平方根及立方根定义计算即可得到结果;(2)原式利用立方根定义,以及绝对值的代数意义化简,合并即可得到结果.解:(1)原式=9﹣4﹣15=﹣10;(2)原式=﹣1﹣2+﹣+1+=﹣2+.【点评】此题考查了实数的运算,熟练掌握运算法则是解本题的关键.8、试题分析:(1)原式利用平方根、立方根定义计算即可得到结果;(2)原式利用乘方的意义,平方根、立方根定义,以及乘法法则计算即可得到结果.解:(1)原式=3﹣6+3=0;(2)原式=﹣1﹣1﹣1=﹣3.9、试题分析:(1)原式利用平方根、立方根定义计算即可得到结果;(2)原式利用二次根式性质,平方根定义,绝对值的代数意义化简,合并即可得到结果;(3)方程利用平方根定义开方即可求出x的值;(4)方程整理后,利用立方根定义开立方即可求出x的值.解:(1)原式=9﹣3+=6;(2)原式=2﹣+1+2﹣5=5﹣6;(3)开方得:3x+1=4或3x+1=﹣4,解得:x=1或x=﹣;(4)方程整理得:(x﹣2)3=﹣27,开立方得:x﹣2=﹣3,解得:x=﹣1.10、试题分析:先两边都除以3,再根据平方根的定义进行求解.试题解析:(2x+1)2="9"2x+1=±3.2x+1=3或2x+1=-3x=1或x=-2.考点:平方根.11、试题分析:首先根据绝对值、0次幂以及二次根式的计算法则求出各式的值,然后进行求和. 试题解析:原式=3﹣1+5=7.考点:有理数的计算12、试题分析:(1)、利用直接开平方法进行求解;(2)、首先根据算术平方根以及立方根的计算法则求出各式的值,然后进行有理数的加减法计算.试题解析:(1)、=49 解得:=7,=-7(2)、原式=3-(-4)-2=5.考点:(1)、解一元二次方程;(2)、根式的计算.13、试题分析:(1)原式第一项利用绝对值的代数意义化简,第二项利用零指数幂法则计算,第三项利用算术平方根定义计算,最后一项利用立方根定义计算即可得到结果;(2)方程利用平方根定义开方即可求出x的值.解:(1)原式=3+1﹣2+2=4;(2)开方得:x+1=4或x+1=﹣4,解得:x=3或x=﹣5.考点:实数的运算;平方根;零指数幂.14、试题分析:(1)因为的平方等于0.09,据此求值;(2)先计算根号下的运算,然后根据平方根的定义求值;(3)因为-9的立方等于-729,据此求值;(4),根据去绝对值的法则化去代数式中的绝对值符号,然后进行合并;(5)首先计算乘方和开方部分,然后按照有理数的运算法则进行计算;(6)先应用乘法分配律去掉小括号,再化去中括号,进行合并,然后取的近似值,得出结果.试题解析:(1);(2);(3);(4)=2;(5)==-32-1-3=-36;(6)==37.9.考点:实数的运算.15、试题分析:(1)分别根据数的乘方及开方法则、0指数幂的运算法则分别计算出各数,再根据实数混合运算的法则进行计算即可.(2)直接利用开方法求出x的值即可.解:(1)原式=2+3﹣1﹣4=0;(2)原方程可化为(2x﹣1)2=9,两边开方得,2x﹣1=±3,解得x1=2,x2=﹣1.考点:实数的运算;平方根;零指数幂.16、试题分析:(1)由零指数幂和负整数指数幂的意义得到原式=4﹣2+1,然后进行加减运算;(2)先变形得到,然后由平方根的定义求解;(3)先由二次根式的乘除法法则进行计算,然后利用二次根式的性质化简后合并即可;(4)先把变成,再由,即可得到结论.试题解析:(1)原式=4﹣2+1=3;(2),∴x-3=±5,∴x= 8或-2;(3)原式==;(4)原式====.考点:1.实数的运算;2.平方根;3.零指数幂;4.负整数指数幂;5.二次根式的混合运算.17、试题分析:(1)先根据平方根和立方根的定义、去绝对值的法则、零指数幂法则对原式进行化简,再进行合并;(2)通过移项得到的值,再通过开平方得到x的值.试题解析:解:(1)原式=3+-1-2-1=-1;(2)移项,得9x2=121,,所以x=.考点:实数的运算;开平方的应用.18、试题分析:(1)方程利用平方根定义开方即可求出解;(2)方程利用立方根定义开方即可求出解;(3)利用算术平方根和立方根的定义开方,再进行加减计算,即可解答;(4)先分别求出立方根和算术平方根,再进行有理数的计算.试题解析:解:(1),,开方得:;(2)方程变形得:,开立方得:x﹣3=3,解得:x=6;(3)原式==;(4)原式==.考点:1.立方根;2.平方根.19、试题分析:首先按照顺序进行计算,然后熟练掌握乘方运算法则、立方根化简、零指数幂、负整数指数幂运算法则是正确解题的关键.试题解析:-1的奇数次方是-1,8的立方根是2,任何不是0的数的0次幂都等于1,∴原式=﹣1+2﹣1﹣4=-4.考点:1.实数的运算;2.零指数幂;3.负整数指数幂.20、试题分析:分别利用乘方的意义,二次根式性质化简,零指数幂,负整数指数幂,最立方根定义计算出各项的结果后在合并即可.试题解析:解:原式=﹣1+3﹣2+1﹣3+4=2.考点:绝对值;零指数幂;负整数指数幂;立方根;实数的运算.21、试题分析:利用负整数指数幂、零指数幂、二次根式性质、特殊角的三角函数值分别进行计算即可.试题解析:原式=﹣3﹣4+5+1=﹣1.考点:1.实数的运算;2.零指数幂;3.负整数指数幂;4.特殊角的三角函数值.22、试题分析:原式= =.考点:实数的计算23、∵,∴x+2=4,∴x=2,∴2x+5=9.∴.24、由题意可知解得x=3.把x=3代入原式,得y=10,所以x+y=3+10=13.25、(1)∵(x+1)2=49,∴x+1=±7,∴x=6或x=-8.(2)∵25x2-64=0,∴25x2=64,∴或(不合题意舍去).∴.26、(1)因为(±2.5)2=6.25,所以6.25的平方根是±2.5.(2)因为,所以的平方根是,即.(3)因为,所以的平方根是.(4)因为(±4)2=(-2)4,所以(-2)4的平方根是±4.27、由题意可知解得x=3.把x=3代入原式,得y=10,所以x+y=3+10=13.28、由题意知2a-1=9,解得a=5.3a+b-1=16,解得b=2,所以ab=5×2=10.29、因为25的算术平方根是5,所以3x-4=5,解得x=3.所以x的值为3.30、(1)因为302=900,所以900的算术平方根是30,即.(2)因为12=1,所以1的算术平方根是1,即.(3)因为,所以的算术平方根是,即.31、由题意得a=1,b=9,所以.因为(±3)2=9,所以的平方根是±3.32、(1)根据题意可知纸片剩余部分的面积=矩形的面积-四个小正方形的面积;(2)根据剪去部分的面积等于剩余部分的面积列方程,然后解方程即可.试题解析:(1).(2)依题意.即:∵x取正数答:正方形的边长是.点睛:本题主要考查用字母表示数或式子的能力. 解题的关健在于要把握好题中的数量关系:纸片剩余部分的面积=矩形纸片面积-4小正方形的面积,即可得出第(1)的结果,在第(2)问中,利用“剪去部分的面积=剩余部分的面积”列方程,并用平方根的定义进行求解,同时注意答案要符合题意.33、试题分析:=3,=4,任何不是零的数的零次幂等于1,=2.试题解析:原式=3+4+1-2=6.考点:无理数的计算.34、由,知的整数部分是5,小数部分.35、根据题意,得3x-4+2-x=0,∴x=1,∴3x-4=3×1-4=-1,∴a=(3x-4)2=1.36、由题意知,所以t2=36,解得t=6.答:下落的时间是6秒.37、(1)>.(2)(n为大于1的整数).(详解:借助计算器可知,根据这一结果,猜想.进而推断出一般结论)38、用计算器计算,所以.39、∵,∴a=1,b=2.又2-1<c<2+1,∴1<c<3.40、(1)因为302=900,所以900的算术平方根是30,即.(2)因为12=1,所以1的算术平方根是1,即.(3)因为,所以的算术平方根是,即.41、(1)∵169x2=100,∴,∴,∴.(2)∵x2-3=0,∴x2=3,∴.(3)∵(x+1)2=81,∴,∴x+1=±9,∴x=8或x=-10.42、∵,且为整数,a为正整数,∴或1或2或3.∴当a=14时,;当a=13时,;当a=10时,;当a=5时,.故a所有可能取的值为5、10、13、14.43、∵,∴x+2=4,∴x=2,∴2x+5=9.∴.44、由题意得a=1,b=9,所以.因为(±3)2=9,所以的平方根是±3.45、试题分析:(1)根据平方根的意义可先求出x+2的值,然后可求出x的值;(2)先将各根式化简,然后进行有理数的加减即可.试题解析:(1)因为(x+2)2=25,所以,所以;(2)=4-2+=.考点:1.平方根;2.二次根式;3.三次根式.46、试题分析:根据负整数指数幂、二次根式、零次幂、特殊角的三角函数值的意义进行计算即可求出代数式的值.试题解析:考点:1.负整数指数幂;2.二次根式;3.零次幂;4.特殊角的三角函数值.。
专题6.2平方根(基础篇)(专项练习)一、单选题1.4的平方根是()A .2B .2-C .16D .2±2.)A .﹣2B .2C .﹣12D .123的值().A .在3到4之间B .在4到5之间C .在5到6之间D .在6到7之间4.下列计算正确的是()A2=B 5=±C .4D .7=±5.平方根是13±的数是()A .13B .16C .19D .19±6.若是169的算术平方根,是121的负的平方根,则(+)2的平方根为()A .2B .4C .±2D .±47.下列命题是真命题的是()A .25的平方根是5B .0.01的平方根是0.001±C .只有正数才有算术平方根D .平方根是其本身的数只有08.实数a ,b ,c 在数轴上的对应点如图所示,化简a b a -+-+的结果是()A .b c --B .c b -C .222a b c -+D .2a b c++9.将边长分别为1和2的长方形如图剪开,拼成一个与长方形面积相等的正方形,则该正方形的边长是()A B .2C .1.5D .110.有一个如图的数值转换器,当输出值是4时,输入的是()A .8B .16C .D .二、填空题11.如果0x <,0y >且24x =,29y =,则x y +=___________.12.若2y ,则yx =________.13a ,小数部分为b ,则=a _________,b =_________.14 3.873≈ 1.225≈≈___.151=,则2x +6的平方根是______.16.某正数的平方根是a 和5a -,则这个数为_________.17.()29-的四次方根是______.18.七巧板被西方人称为“东方魔术”,下面的两幅图是由同一个七巧板拼成的.已知七巧板拼成的正方形(如图1边长为a (cm ).若图2的“小狐狸”图案中阴影部分面积为162cm ,那么a 的值为__.三、解答题19.求下列各式中的x .(1)29250x -=;(2)24(2)90x --=.20.计算:(1)()()2202131---;(2)233--21.已知2a b +(1)求2a -3b 的平方根;(2)解关于x 的方程2420ax b +-=.22.(1=__________;(2=__________;(3)实数a 、b 、c 在数轴上的位置如图所示,请化简:a -23.定义:若A B m -=,则称A 与B 是关于m 的关联数.例如:若2A B -=,则称A 与B 是关于2的关联数.(1)若49与a 是关于2的关联数,则=a ________;(2)若21x -与53x -是关于2的关联数,求51x +的平方根;(3)若M 与N 是关于m 的关联数,53M mn n =++,N 的值与m 无关,求N 的值.24.发现:(1)面积为249cm 的正方形纸片,它的边长是______cm ;拓展:(2)面积为226cm 的长方形纸片,如果它的长是宽的2倍,则长和宽各是多少cm ?延伸:(3)在面积为249cm 的正方形纸片中能否沿着边的方向(如图所示)裁出一块面积为226cm 的长方形纸片,使它的长是宽的2倍?说明理由.参考答案1.D【分析】根据平方根的意义,一个正数有两个平方根,它们互为相反数,0的平方根是0,负数没有平方根.【详解】∵()22=4±∴4的平方根为2±.故选:D.【点拨】本题考查了平方根的定义,掌握一个正数有两个平方根,它们互为相反数,0的平方根是0,负数没有平方根是解题的关键.2.C【分析】先化简,再计算倒数.【详解】解:=−2,-2的倒数是1 2-.故选:C.【点拨】本题考查了倒数,算术平方根,熟练掌握相关知识是解题的关键.3.C【分析】根据题意可直接进行求解.【详解】解:∵56<,5到6之间.故选C.【点拨】本题主要考查算术平方根,熟练掌握求一个算术平方根的整数部分与小数部分是解题的关键.4.D【分析】A、根据负数没有平方根即可判定;B、根据算术平方根的定义即可判定;C、根据算术平方根的定义即可判定;D、根据平方根的定义即可判定.【详解】解:AB5=,故选项错误;C、4==-,故选项错误;D、7=±,故选项正确.故选:D.【点拨】此题考查了平方根、算术平方根的定义.此题比较简单,注意熟记定义是解此题的关键.5.C【分析】根据平方根的定义求解即可.【详解】解:∵211 39⎛⎫±=⎪⎝⎭,∴平方根是13±的数是19.故选C.【点拨】本题考查了平方根的定义,熟练掌握平方根的定义是解答本题的关键,如果一个数的平方等于a,则这个数叫做a的平方根.6.C【分析】求出m、n的值,求出m+n的值,再根据平方根定义求出即可.【详解】解:∵m是169的算术平方根,n是121的负的平方根,∴m=13,n=-11,∴m+n=2,∴(m+n)2的平方根是,故答案为C.【点拨】本题主要考查了平方根的定义和性质,以及根据平方根求被开方数;注意:一个正数有两个平方根,它们互为相反数.7.D【分析】根据平方根的概念判断即可.【详解】解:A、25的平方根是±5,故本选项命题是假命题;B、0.01的平方根是±0.1,故本选项命题是假命题;C、正数和0都有算术平方根,故本选项命题是假命题;D、平方根是其本身的数只有0,故本选项命题是真命题;故选:D.【点拨】本题考查的是平方根及算术平方根的概念,命题的真假判断,正确的命题叫真命题,错误的命题叫做假命题.判断命题的真假关键是要熟悉课本中的性质定理.8.A【分析】先判断0b c a <<<,可得0b a -<,再结合算术平方根的含义可得0c <c =-,再化简绝对值即可.【详解】解:∵0b c a <<<,∴0b a -<,∴a b a -+-+()()a b a c =---+-a b a c=--+-b c =--.故选A .【点拨】本题考查的是算术平方根的含义,化简绝对值,整式的加减运算,掌握“算术平方根的含义与化简绝对值”是解本题的关键.9.A【分析】求出长方形的面积,即为正方形的面积,开方即可求出正方形边长.【详解】解:根据题意得:故选:A .【点拨】此题考查了算术平方根,弄清题意是解本题的关键.10.B【分析】设输入的数为x ,根据输出值是4即可求出答案.【详解】解:设输入的数为x ,∴4=,16x ∴=,故选:B .【点拨】本题考查的是算术平方根的概念和性质,解题的关键是掌握一个正数的正的平方根是这个数的算术平方根是解题的关键,注意有理数的概念.11.1【分析】24x =即x 是4的平方根,29y =即y 是9的平方根,因而根据0x <,0y >且24x =,29y =就可确定x ,y 的值,进而求解.【详解】解:∵24x =,29y =,∴2x =±,3=±y ,又∵0x <,0y >,∴2x =-,3y =,∴231x y +=-+=.故答案为:1.【点拨】本题考查平方根的意义,求代数式的值,有理数的加法运算.根据条件正确确定x ,y 的值是解题关键.12.94【分析】根据算术平方根的非负性求得,x y 的值,代入代数式即可求解.【详解】解:∵2y ,∴230,320x x -≥-≥,∴230x -=,解得32x =,∴2y =,∴23924yx ⎛⎫== ⎪⎝⎭,故答案为:94.【点拨】本题考查了算术平方根的非负性,掌握算术平方根的非负性是解题的关键.13.33【分析】根据34<首先确定a 的值,则小数部分即可确定.【详解】解:34<< ,3a ∴=,则3b =.故答案是:33.【点拨】本题主要考查了无理数的估算,解题的关键是确定无理数的整数部分即可解决问题.14.12.25【分析】根据算术平方根与被开方数的关系:“被开方数每向左或向右移动2个位数,则它的算术平方根就向左向右移动1个位数”可知答案.1.225≈,≈12.25故答案为:12.25【点拨】本题考查了求算术平方根,掌握规律是解题的关键.15.±21=,解得=1x -,继而计算264x +=,再根据平方根的定义解答.【详解】解:1=,21x ∴+=1x ∴=-264x ∴+=4的平方根是±2故答案为:±2.【点拨】本题考查平方根与算术平方根,是基础考点,掌握相关知识是解题关键.16.254【分析】根据正数的两个平方根互为相反数可得50a a +-=,解方程求出a ,然后根据平方根的意义求出这个正数.【详解】解: 某正数的平方根是a 和5a -,50a a ∴+-=.解得52a =.2525()24±= .∴这个数为254.故答案为:254.【点拨】本题考查了平方根的性质与意义,解题的关键是掌握一个正数有两个平方根,且它们互为相反数.17.3±【分析】计算出()2981-=,再找出四次方等于81的数即可.【详解】解:∵()2981-=,又∵()4381±=∴()29-的四次方根是3±,故答案为:3±.【点拨】本题考查平方根的推广,有理数的乘方.解题的关键是正确找出四次方等于81的数.18.8【分析】设阴影小正方形的边长为x cm ,根据阴影部分的面积列出方程,求出x 的值,进而得出大正方形的对角线的长度是4x cm ,最后求出边长a 即可.【详解】设“小狐狸”脸部小正方形的边长为x cm ,由题意得:21(24)162x x x x +⨯-=,解得:x =x =-∴小正方形的边长为,∴大正方形的对角线为:,∴大正方形的边长为8(cm)=,8a ∴=.故答案为:8.【点拨】本题主要考查七巧板的知识,熟练掌握七巧板各边的关系是解题的关键.19.(1)1255,33x x ==-(2)1271,22x x ==【分析】(1)先移项,然后利用平方根求解方程即可;(2)先移项,然后利用平方根求解方程即可.【详解】(1)解:29250x -=移项得:2925x =,∴2259x =,∴53x =±,∴1255,33x x ==-(2)24(2)90x --=24(2)9x -=,∴29(2)4x -=∴32=2x -±∴1271,22x x ==.【点拨】题目主要考查利用平方根解方程,熟练掌握解方程方法是解题关键.20.(1)5;(2)8--【分析】(1)先化简各式,然后再进行计算即可;(2)先化简各式,然后再进行计算即可.【详解】(1)解:22021(3)(1)--93(1)=-+-6(1)=+-5=;(2)解:233|-+932=-+8=-【点拨】本题考查了实数的运算,准确熟练地化简各式是解题的关键.21.(1)23a b -的平方根为4±;(2)3x =±.【分析】(1)先由相反数的定义列出等式,再根据绝对值的非负性、算术平方根的非负性求出a 、b 的值,然后代入,根据平方根的定义求解即可;(2)先将a 、b 的值代入,再利用平方根的性质求解即可.【详解】(1)由相反数的定义得:02a b ++=由绝对值的非负性、算术平方根的非负性得:203120a b b +=⎧⎨+=⎩解得24a b =⎧⎨=-⎩则23223(4)41216a b -=⨯-⨯-=+=故23a b -的平方根为4±;(2)方程2420ax b +-=可化为224(4)20x +⨯--=整理得22180x -=29x =解得3x =±.【点拨】本题考查了相反数的定义、绝对值的非负性、算术平方根的非负性、平方根的定义等知识点,利用绝对值的非负性、算术平方根的非负性求解是常考知识点,需重点掌握.22.(1)5;5;(2)()0(0)a a a a ⎧≥⎨-<⎩;(3)b a -【分析】(1)根据算术平方根求解即可;(2)结合(1)中结果求解即可;(3)根据数轴得出0c a b <<<,且a b <,然后将各式化简合并同类项求解即可.【详解】解:(15=5==;故答案为:5;5;(2)当0a ≥a =;当0a <a =-;()0(0)a a a a ⎧≥=⎨-<⎩,故答案为:()0(0)a a a a ⎧≥⎨-<⎩;(3)由数轴得:0c ab <<<,且a b <,∴a +∴a -()()a abc c a =-++-+-a a b c c a=-++-+-b a =-.【点拨】题目主要考查算术平方根的化简及根据数轴判断式子的正负,整式的加减法等,理解题意,熟练掌握各个运算法则是解题关键.23.(1)47;(2)3±;(3)165.【分析】(1)根据关联数的含义,列方程求解即可;(2)根据关联数的含义,列方程求得x 的值,即可求解;(3)根据关联数的含义,可得M N m -=,可得N M m =-,根据题意,求解即可.【详解】(1)解:由题意可得:492a -=解得47a =,故答案为:47;(2)由题意可得:21(53)2x x ---=解得:85x =,519x +=9的平方根为3±(3)由题意可得:M N m -=,则53(51)3N M mn n m n m n m ++--==+=+-,∵N 的值与m 无关∴510n -=,解得15n =则116355N =+=【点拨】本题考查了新型定义题型,解一元一次方程、整式的值与字母无关,解题的关键是准确理解题干,列出方程,进行解答.24.(1)7;(2,长为;(3)不能,理由见解析【分析】(1)根据正方形的面积公式和正方形的面积即可求出正方形的边长;26cm列出方程求解即可;(2)设长方形的宽为x cm,则长为2x cm,根据长方形的面积为2(3)根据题意比较正方形的边长和长方形的长即可判断.49cm,【详解】解:(1)∵正方形的面积为2∴边长7==cm.(2)设长方形的宽为x cm,则长为2x cm,根据题意得x·2x=26,x2=13,解得x=∵x∴x∴长为2x=,,长为,(3)不能.理由:因为7,即长方形的长大于正方形的边长,所以不能裁出符合要求的长方形纸片.【点拨】此题考查了正方形和长方形面积公式,算数平方根的性质,解题的关键是根据题意求出正方形的边长和长方形的长和宽.。
部编版数学七年级下册平方根同步练习基础测试:一、填空题:(1)121的算术平方根是;0.25的算术平方根是.(2)100的算术平方根是;0.81的算术平方根是;0.0081的算术平方根是.(3)25-的相反数是____________,绝对值是_________________.(4)若xx___________.+1x-+有意义,则=(5)若4a+1的算术平方根是5,则a²的算术平方根是______.(6)小明房间的面积为10.8平方米,房间地面恰由120块相同的正方形地砖铺成,则每块地砖的边长是______米.(7和|y-|互为相反数,则x=____,y=____.(8的算术平方根的相反数是_____.(9)一个自然数的算术平方根是a,则下一个自然数的算术平方根是______.(10)一个自然数的平方是b,那么比这个自然数大1的数是______.二、选择题:(1)下列各式计算正确的是()±658=10(2)下列各式无意义的是()A.(3)数2、3的大小关系是()A.3<2B.<3<2C.2<3D.3<2能力测试:1.比较大小:(1)635与;(2)2215-+-与.2.写出所有符合下列条件的数:(1)大于17-小于11的所有整数;(2)绝对值小于18的所有整数.拓展测试:观察:10331033103310391027103352252252252458522=-=⨯==-=-=⨯==-即即,,猜想2655-等于什么,并通过计算验证你的猜想。
参考答案基础测试:一、填空题(1)11,0.5(2)10,0.9,0.09(3)2-,2-(4)1(5)6(6)0.3(7)3--(8)16(9(10)1+二、选择题(1)D(2)B(3)C能力测试:1.(16<(2)21<-2 2.(1)4,3,2,1,0,1,2,3--------(2)4,3,2,1,0,1,2,3,4拓展测试:====。
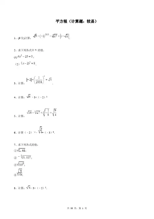
平方根(计算题:较易)1、(9分)计算:.2、求下列各式中的值.(1);(2).3、计算:.4、计算:﹣3×(﹣2)25、计算:6、计算(﹣2)﹣1﹣+(﹣3)0.7、求下列各式的值:①;②;③;④.8、计算:﹣3×(﹣2)2.9、计算:﹣++.10、计算:(1)﹣+()2(2)﹣2.11、计算:﹣|2﹣|﹣.12、计算:13、计算:﹣()2+.14、(1)计算:(2)求(x-2)3=27中x的值.15、计算下列各题(1)(﹣1)+(﹣8)﹣(﹣7)(2).16、(2015秋•连城县期末)计算:(﹣1)2016﹣﹣|﹣5|+.17、(2015秋•常州期末)计算:+π0﹣|1﹣|+.18、计算:﹣+(﹣1)2016.19、(2015秋•重庆校级期中)(1)﹣+﹣(2)﹣()﹣2+(1﹣)0﹣(3)++﹣(4)(﹣)×(﹣2)2﹣+.20、(2015秋•永嘉县校级期中)计算:(1)1+(﹣5)(2)(3)(4).21、计算:22、计算:.23、计算:.24、计算下列各题(1)(2)25、计算:(1) (2)26、(2012•莆田)计算:|﹣2|+﹣(﹣1)2.27、计算:(1)(2)28、计算(1)()×(-36);(2)-22×(-)+8÷(-2)2(3).29、计算:.30、计算31、(7分)计算:.32、计算:.33、(6分)计算:(1)(2)34、计算:= .35、计算:.36、|5|+(-)-2+--(-1)0.37、计算:38、(8分).计算:(1)(2)39、计算:40、计算(12分)(1)-26-(-5)2÷(-1);(2);(3)-2(-)+│-7│41、(每小题4分,共12分)(1);(2);(3).42、(本题共有2小题,每小题4分,共8分)(1)计算:+-;(2)已知:(x-1)2=9,求x的值.43、(8分)(1)计算:.(2)已知,求的值.44、计算:45、计算题.(每题4分,共8分)(1)计算:-()-2+(-1)0;(2) + +.46、计算:(-1)2+--︱-5︱47、计算(本题16分)(1)-7+3+(-6)-(-7)(2)(3)(4)48、-.49、(15分)计算(1)(2)(3)(4)50、计算:(每小题4分,共8分.)(1)求的值:.(2)计算:;51、计算:(每小题4分,共8分.)(1)求的值:.(2)计算:;52、(本题6分)计算:(1)(2)53、(本题4分)计算54、(1)解方程:①②55、求下列各式中的(1)(2)56、计算题(1)(2)57、(本题满分10分)(1)求式中x的值:(2)计算:58、计算(1)(4分)(2)解方程:(4分)59、求下列各式中的的值:(1)(2)(1)(2)61、(本题6分)计算:(1)(2)62、(本题2分×3=6分)求下列各式中的值.①②③63、求下列各式中的值(每小题4分,共8分)(1)(2)64、计算(每小题4分,共8分)(1)(2)65、(本题8分)计算(1)(2)66、(本题8分)求下列各式中的x(1)(2)(1)求的值:.(2)计算:;68、计算(9分)(1)(2)(3)69、计算下列各题:(每题3分,共6分;必须写出必要的解题过程)(1)(2)70、参考答案1、2、 (1);(2)x=4.3、3.4、-105、26、-1;7、(1)=1.2.(2)﹣=﹣0.3.(3)=103=1000.(4)=.8、﹣10.9、2.10、(1)4;(2)3.11、2+.12、5-213、﹣1.414、(1)3;(2)5.15、(1)﹣2;(2)7.16、﹣5.17、7﹣.18、19、(1)原式=﹣6++3=﹣;(2)原式=3﹣4+1﹣2=﹣3;(3)原式=6+3+﹣5=﹣2;(4)原式=﹣×4++=﹣2+1=﹣1.20、(1)原式=1﹣5=﹣4;(2)原式=﹣﹣=﹣;(3)原式=﹣21+20﹣6﹣27+20=﹣7;(4)原式=7+(﹣3)﹣2=7﹣3﹣2=7﹣5=2.21、-2.22、7.23、3.24、(1)-11(2)1125、(1) -4, (2)26、327、(1)4;(2)-1-.28、(1)-29;(2)4;(3)-2.29、-130、-10831、32、1.33、(1)-(2)-34、.35、-2.36、9.37、-8.38、1+;8.39、140、(1)-1;(2);(3)-1541、(1)0;(2);(3).42、(1)4;(2)x=4或x=-2.43、(1)、-10;(2)、x=-144、5.45、(1)2;(2)46、047、(1)—3 (2)80 (3)0 (4)948、-249、见解析50、(1)或;(2).51、(1)或;(2).52、(1)8;(2).53、54、x=-3;(2)或.55、(1);(2).56、(1)-5;(2)3+.57、(1)或;(2).58、(1)2 (2)259、(1) x= .(2)9.60、(1)-3;(2)-48.61、见解析62、①②③63、(1);(2).64、(1)4;(2).65、(1)7,(2)66、(1);(2)67、(1)x1=6,x2=-6;(2).68、(1)(2)-7(3)-169、(1);(2).70、20.【解析】1、试题分析:先利用算术平方根和立方根以及绝对值的性质对每一个式子进行化简,最后合并即可.试题解析:原式= =.考点: 实数的运算2、试题分析:(1)利用平方根的定义解方程即可;(2)利用立方根的定义解方程即可.试题解析:(1)(2)x-2=2x=4.3、试题分析:分别进行绝对值的化简、零指数幂、二次根式的化简等运算,然后合并.试题解析:原式=2﹣1+2=3.考点:实数的运算;零指数幂.4、试题分析:首先根据平方根以及平方的计算法则求出各式的值,然后进行做差.试题解析:原式=2-3×4=2-12=-10.考点:实数的计算5、试题分析:首先根据平方根和立方根的计算法则求出各式的值,然后进行求和.试题解析:原式=4-3-+=2考点:(1)、平方根的计算;(3)、立方根的计算6、试题分析:原式第一项利用负整数指数幂法则计算,第二项利用算术平方根定义计算,最后一项利用零指数幂法则计算即可得到结果.解:原式=﹣﹣+1=﹣2+1=﹣1.考点:实数的运算;零指数幂;负整数指数幂.7、试题分析:(1)根据算术平方根定义求出即可;(2)根据立方根定义求出即可;(3)根据算术平方根定义求出即可;(4)根据算术平方根定义求出即可.解:(1)=1.2.(2)﹣=﹣0.3.(3)=103=1000.(4)=.考点:立方根;算术平方根.8、试题分析:原式利用算术平方根定义,以及乘方的意义计算即可得到结果.解:原式=2﹣12=﹣10.考点:实数的运算.9、试题分析:原式利用平方根、立方根的定义计算即可得到结果.解:原式=4﹣3﹣+=5﹣3=2.考点:实数的运算.10、试题分析:(1)原式利用平方根、立方根定义计算即可得到结果;(2)原式利用同分母分数的加法逆运算计算,即可得到结果.解:(1)原式=3﹣2+3=4;(2)原式=4+1﹣2=5﹣2=3.考点:实数的运算.11、试题分析:先化简二次根式、绝对值,再进行计算即可.解:原式=2﹣2++2=2+.考点:实数的运算.12、试题分析:首先根据二次根式、0次幂和负指数次幂的计算法则得出值,然后进行实数的加减法计算.试题解析:原式=2+2-2+1=5-2.考点:实数的计算.13、试题分析:原式利用二次根式性质,平方根及立方根定义计算即可得到结果.解:原式=2﹣0.4﹣3=﹣1.4.考点:实数的运算.14、试题分析:(1)原式第一项利用算术平方根定义计算,第二项利用零指数幂法则计算,最后一项利用负整数指数幂法则计算即可得到结果;(2)方程利用立方根定义开立方即可求出x的值.试题解析:(1)原式=4+1-2=3;(2)开立方得:x-2=3,解得:x=5.考点:1.实数的运算;2.立方根;3.零指数幂;4.负整数指数幂.15、试题分析:(1)先去括号,然后合并求解;(2)分别求出平方根和立方根,然后合并.解:(1)原式=﹣1﹣8+7=﹣2;(2)原式=5+2=7.考点:实数的运算.16、试题分析:原式第一项利用乘方的意义计算,第二项利用算术平方根定义计算,第三项利用绝对值的代数意义化简,最后一项利用立方根的定义计算即可得到结果.解:原式=1﹣3﹣5+2=﹣5.考点:实数的运算.17、试题分析:分别进行开方、零指数幂、绝对值的化简、开立方等运算,然后合并.解:原式=3+1﹣+1+2=7﹣.考点:实数的运算;零指数幂.18、试题分析:原式第一项利用立方根定义计算,第二项利用算术平方根定义计算,第三项利用绝对值的代数意义化简,最后一项利用乘方的意义计算即可得到结果.解:原式=2﹣3++1=.考点:实数的运算.19、试题分析:(1)原式利用算术平方根及立方根定义计算即可得到结果;(2)原式第一、四项化为最简二次根式,第二项利用负整数指数幂法则计算,第三项利用零指数幂法则计算即可得到结果;(3)原式各项化为最简二次根式,合并即可得到结果;(4)原式利用平方根、立方根定义计算即可得到结果.解:(1)原式=﹣6++3=﹣;(2)原式=3﹣4+1﹣2=﹣3;(3)原式=6+3+﹣5=﹣2;(4)原式=﹣×4++=﹣2+1=﹣1.考点:实数的运算;零指数幂;负整数指数幂.20、试题分析:(1)原式利用异号两数相加的法则计算即可得到结果;(2)原式先计算乘方运算,再计算乘除运算,最后算加减运算即可得到结果;(3)原式利用乘法分配律计算即可得到结果;(4)原式利用算术平方根及立方根定义计算即可得到结果.解:(1)原式=1﹣5=﹣4;(2)原式=﹣﹣=﹣;(3)原式=﹣21+20﹣6﹣27+20=﹣7;(4)原式=7+(﹣3)﹣2=7﹣3﹣2=7﹣5=2.考点:实数的运算.21、试题分析:先分别计算算术平方根和立方根,然后再进行计算即可求得答案.试题解析:原式=4-3-3=-2.考点:实数的运算.22、试题分析:先根据数的开方法则分别计算出各数,再根据实数混合运算的法则进行计算即可.试题解析:原式=3+2+4×=5+2=7.考点:实数的运算.23、试题分析:分别计算各项后再进行加减运算即可求得结果.试题解析:原式=3-2+-2+4=3.考点:实数的混合运算.24、试题分析:(1)先算开方,再把除法变成乘法,最后算减法;(2)先算乘方,然后第二项利用分配律计算,最后算加减法即可.试题解析:(1)=5-8×2=-11(2)考点:实数的计算.25、试题分析:(1)先算乘方,再算除法,最后算加减;(2)先算开方,再算加减.试题解析:(1) =-9+4+1=-4;(2) =.考点:有理数的计算.26、试题分析:本题涉及绝对值、乘方、二次根式化简3个考点.在计算时,需要针对每个考点分别进行计算,然后根据实数的运算法则求得计算结果.解:原式=2+2﹣1=3.考点:实数的运算.27、试题分析:按照实数的运算法则进行计算即可.试题解析:(1)原式=6+3-5=4;(2)原式=-4+1+2-=-1-.考点:实数的运算.28、试题分析:(1)利用税法对加法的分配律进行计算即可;(2)先算乘方,再算乘除,最后算加减即可;(3)先进行开方和绝对值运算,最后算加减.试题解析:(1)原式=36×+36×()+36×()=28-30-27=-29;(2)原式=-4×(-)+8÷4=2+2=4;(3)原式=-1+2-3=-2.考点:1.有理数的混合运算;2.实数的运算.29、试题分析:先计算出,,合并同类根式即可得出结论.试题解析:解:=-3+2-=-1考点:二次根式的计算30、试题分析:先利用乘方的意义及二次根式性质化简第一项,再利用立方根定义及绝对值的代数意义化简第二项,最后利用零指数幂法则计算最后一项即可.试题解析:原式=﹣27×4﹣2×+1=﹣108﹣1+1=﹣108.考点:实数的运算;零指数幂.31、试题分析:先将所给的各式的值计算或化简,然后计算即可试题解析:考点:1.实数的运算;2.负整数指数幂.32、试题分析:原式第一项利用零指数幂法则计算,第二项利用算术平方根定义计算,第三项利用乘方的意义化简,第四项利用绝对值的代数意义化简,最后一项利用负整数指数幂法则计算即可得到结果.试题解析:原式=1-3+1-2+4=1.考点:1.实数的运算;2.零指数幂;3.负整数指数幂.33、试题分析:(1)先将各式化简,然后计算即可;(2)先利用立方根及算术平方根将各式化简,然后计算即可得到结果.试题解析:(1)原式=﹣9+3﹣+6=﹣;(2)原式=8﹣9﹣1+ =﹣.考点:实数的运算.34、试题分析:先将各个式子化简求值,然后合并即可.试题解析:原式==.考点:实数的混合运算.35、试题分析:分别根据零次幂、算术平方根、有理数的乘方、负整数指数幂的意义进行计算即可.试题解析:原式=1+2-1-4=-2.考点:实数的混合运算.36、试题分析:原式利用绝对值的代数意义,零指数幂、负整数指数幂法则,以及平方根、立方根定义计算即可得到结果.试题解析:原式=5+4+3-2-1=9.考点:1.实数的运算;2.零指数幂;3.负整数指数幂.37、试题分析:先分别计算绝对值、负整数指数幂、特殊角三角函数值、零次幂,然后再进行加减运算. 试题解析:原式===-8.考点:实数的混合运算.38、试题分析:根据立方根、算术平方根以及绝对值的计算法则将各式进行计算,然后求和.试题解析:(1)原式=3-(2-)=1+(2)、原式=4+3-(-1)=8考点:实数的计算.39、试题分析:首先根据0次幂、负指数次幂、二次根式、负指数次幂的计算法则分别求出各式的值,然后进行有理数的计算.试题解析:原式=1-3+1-2+4=1考点:实数的计算40、试题分析:根据实数混合运算的法则运算即可。
七年级下实数平方根练习题含答案解析一、单选题(共10题;共20分)1.下列等式正确是A. B. C. D.2.下列说法中正确的是()A. 9的平方根为3B. 化简后的结果是C. 最简二次根式D. ﹣27没有立方根3.在下列式子中,正确的是()A. =﹣B. ﹣=﹣0.6C. =﹣13D. =±64.下列说法正确的是( )A. 3的平方根是B. 对角线相等的四边形是矩形C. 近似数0.2050有4个有效数字D. 两个底角相等的梯形一定是等腰梯形5.下列说法错误的是()A. 一个正数的算术平方根一定是正数B. 一个数的立方根一定比这个数小C. 一个非零的数的立方根,仍然是一个非零的数D. 负数没有平方根,但有立方根6.下列说法不正确的是()A. 的平方根是B. ﹣2是4的一个平方根C. 0.2的算术平方根是0.04D. ﹣27的立方根是﹣37.下列运算正确的是()A. =±3B. (﹣2)3=8C. ﹣22=﹣4D. ﹣|﹣3|=38.4的平方根是()A. ±16B. 16C. ±2D. 2B.9.求一个正数的算术平方根,有些数可以直接求得,如,有些数则不能直接求得,如.但可以利用计算器求得,还可以通过一组数的内在联系,运用规律求得.请同学们观察下表:运用你发现的规律解决问题,已知≈1.435,则≈()A. 14.35B. 1.435C. 0.1435D. 143.510.若a2=36,b3=8,则a+b的值是()A. 8或﹣4B. +8或﹣8C. ﹣8或﹣4D. +4或﹣4二、填空题(共4题;共6分)11.0的平方根是________12.-64的立方根是________,的平方根是________.13.已知时,.请你根据这个结论直接填空:(1)________;(2)若,则________.14.=a,=b,则=________.三、解答题(共4题;共20分)15.已知2a-1的算术平方根是3,3a+b-1的平方根是±4,c是的整数部分,求a+2b-c的平方根.16.已知2x﹣y的算术平方根为4,﹣2是y的立方根,求﹣2xy的平方根.17.2a-1和3a-4是一个数的平方根,b的立方根是-2,求a-b的算术平方根.18.已知的立方根是3,16的算术平方根是,求:的平方根.四、综合题(共2题;共38分)19.判断下列各数是否有平方根?并说明理由.(1)(﹣3)2;(2)0;(3)﹣0.01;(4)﹣52;(5)﹣a2;(6)a2﹣2a+2.20.观察发现:…(1)表格中x=________,y=________.(2)应用:利用a与数位的规律解决下面两个问题:①已知≈ 3.16,则≈________,≈________;②已知= k,=________,=________(用含k的式子表示).(3)拓展:= m,=________,=________(用含m的式子表示)答案解析部分一、单选题1.【答案】D【解析】【解答】、原式,不符合题意;、原式,不符合题意;、原式没有意义,不符合题意;、原式,符合题意.故答案为:.【分析】原式利用平方根定义及二次根式的性质判断即可得到结果.2.【答案】B【解析】【解答】解:A、9的平方根是±3,所以选项A不正确;B、= = ,所以选项B正确;C、=2 ,所以不是最简二次根式,选项C不正确;D、﹣27的立方根是﹣3,所以选项D不正确.故选B.【分析】根据平方根和立方根的定义作判断.3.【答案】A【解析】【解答】解:A,=﹣,故A选项正确;B、﹣≈﹣1.9,故B选项错误;C、=13,故C选项错误;D、=6,故D选项错误.故选:A.【分析】A、根据立方根的性质即可判定;B、根据算术平方根的定义即可判定;C根据算术平方根的性质化简即可判定;D、根据算术平方根定义即可判定.4.【答案】C【解析】【分析】A、根据平方根的定义,可判断;B、根据矩形的定义可判定;C、根据有效数字的定义,可判定;D、根据等腰梯形的定义,即可判定.【解答】A、根据一个正数有两个平方根,它们互为相反数;故本选项错误;B、根据对角线相等且平分的四边形是矩形;故本选项错误;C、根据有效数字的定义,近似数0.2050有4个有效数字;故本选项正确;D、根据同一底上两个角相等的梯形是等腰梯形;故本选项错误.故选C.【点评】本题考查了平方根、矩形、有效数字及等腰梯形的定义及性质,熟记这些概念才能熟练应用,是解答这类题目的关键.5.【答案】B【解析】【分析】根据立方根,算术平方根,平方根的定义对各选项分析判断后利用排除法求解.【解答】A、一个正数的算术平方根一定是正数正确,故本选项不符题意;B、一个数的立方根一定比这个数小错误,例如:-8的立方根是-2,-2>-8,故本选项符合题意;C、一个非零的数的立方根,仍然是一个非零的数正确,故本选项不符题意;D、负数没有平方根,但有立方根正确,故本选项不符题意.故选B.【点评】本题考查了立方根,平方根算术平方根的定义,是基础题,熟记概念是解题的关键6.【答案】C【解析】【解答】解:A、的平方根是,正确;B、﹣2是4的一个平方根,正确;C、0.04的算术平方根为0.2,不正确;D、﹣27的立方根是﹣3,正确;故选C.【分析】利用立方根,平方根以及算术平方根的定义判断即可.7.【答案】C【解析】【解答】解:A、,故原选项计算错误,故此选项不符合题意;B、,故原选项计算错误,故此选项不符合题意;C、,计算正确,故此选项符合题意;D、,故原选项计算错误,故此选项不符合题意.故答案为:C.【分析】根据算术平方根的定义,有理数的乘方,绝对值及相反数分别进行计算,然后判断即可.8.【答案】C【解析】【解答】解:∵4=(±2)2,∴4的平方根是±2.故选C.【分析】由于某数的两个平方根应该互为相反数,所以可用直接开平方法进行解答.9.【答案】A【解析】解答:根据表格的规律:,,可知≈1.435,则≈14.35.分析:根据被开方数的小数点移动两位,算术平方根的小数点每移动一位求出即可.10.【答案】A【解析】【解答】a2=36,得a=6或a=﹣6;b3=8,得b=2;故a+b=8或﹣4.【分析】根据已知可得a=6或﹣6,b=2,所以a+b=8或﹣4..二、填空题11.【答案】0【解析】【解答】解:0的平方根是0,故答案为:0.【分析】根据如果一个数的平方等于a,这个数就叫做a的平方根进行解答即可.12.【答案】-4;±2【解析】【解答】解:-64的立方根是-4=4,4的平方根是±2,即的平方根是±2,故答案为:-4,±2.【分析】根据立方根及算术平方根、平方根的定义填空即可.13.【答案】(1)3(2)4039【解析】【解答】(1);(2),,,.故答案为:3,4039.【分析】(1)根据时,,直接计算,即可;(2)根据平方差公式可得x的值,进而得2x+1的值,即可求出的值.14.【答案】0.1b【解析】【解答】解:∵=b,∴= = = =0.1b.故答案为:0.1b.【分析】算数平方根的小数点移动法则为”内2外1“,根号里边移动2位,外边移动1位,5.67与567小数点相差2位,以为标准移动小数点.三、解答题15.【答案】解:由题意得:,∴a=5,b=2.∵9<13<16,∴3<<4.∴c=3.∴a+2b-c=6.∴a+2b-c的平方根是± .【解析】【分析】根据算数平方根和平方根的定义,可列出方程组,计算得出结果。
七下数学平方根与立方根练习题姓名:一、 选择题1、若a x =2,则( )A 、x 〉0B 、x ≥0C 、a 〉0D 、a ≥0 2、一个数若有两个不同的平方根,则这两个平方根的和为( ) A 、大于0 B 、等于0 C 、小于0 D 、不能确定 3、一个正方形的边长为a ,面积为b,则( )A 、a 是b 的平方根B 、a 是b 的的算术平方根C 、b a ±=D 、a b =4、若a ≥0,则24a 的算术平方根是( )A 、2aB 、±2aC 、a 2D 、| 2a | 5、若正数a 的算术平方根比它本身大,则( )A 、0<a 〈1B 、a>0C 、a<1D 、a 〉1 6、若n 为正整数,则121+-n 等于( )A 、—1B 、1C 、±1D 、2n+17、若a 〈0,则aa 22等于( )A 、21 B 、21- C 、±21D 、0 8、若x-5能开偶次方,则x 的取值范围是( )A 、x ≥0B 、x 〉5C 、x ≥5D 、x ≤59下列说法:①一个数的平方根一定有两个;②一个正数的平方根一定是它的算术平方根;③负数没有立方根.其中正确的个数有()A , 0个B ,1个C ,2个 D,3个 10若一个数的平方根与它的立方根完全相同,则这个数是()A , 1B , -1 C, 0 D ,±1, 0 11,若x使(x-1)2=4成立,则x的值是( )A,3 B ,-1 C ,3或-1 D ,±212.如果a 是负数,那么2a 的平方根是( ).A .a B .a - C .a ± D .13a 有( ).A .0个 B .1个 C .无数个 D .以上都不对 14.下列说法中正确的是( ).A .若0a <0<B .x 是实数,且2x a =,则0a >C 有意义时,0x ≤D .0。
平方根(简答题:较易)1、求下列各式中x的值:(1)9x2-64=0;(2)64(x+1)3=1252、已知3、己知:3x2=27,求x的值.4、求下列各式中的x:(1)(2x﹣1)2=10(2)8(x+1)3=27.5、若一个正数的平方根是2a-1和-a+2,求a的值及这个正数的值6、计算:﹣(π﹣2016)0+|﹣2|+2sin60°.7、一个正数的平方根是2a-1与-a+2,求a和这个正数.8、计算:.9、计算: ()-1+4cos 60°-|-3|+-(-2017)0+(-1)201610、解不等式组:.11、计算:12、计算:13、将下列各数用“<”连接起来。
14、求下列各式中的x的值,(1)(2)(3)15、解下列方程:(1)(2)(3)16、已知一个正数x的平方根是2a-3与5-a,.求a和x的值17、(1)计算:(2)已知:,求.18、求下列各式中x的值.(1)x2﹣4=0(2)27x3=﹣125.19、解方程4(x﹣1)2=920、已知x,y为实数,且,求的值.21、求符合下列各条件中的x的值①2x2﹣=0②③(x﹣4)2=4④(x+3)3﹣9=0.22、求下列x的值①(x+3)3=﹣64;②4x2﹣25=0.23、①计算:|﹣3|+(π+1)0﹣②解方程:4(x﹣1)2﹣9=0.24、解下列方程:(1)x2="9"(2)(x﹣1)3+8=0.25、(1)计算:+×(﹣)2(2)求x的值:(x﹣2)3=﹣27.26、已知,且x是正数,求代数式的值.27、计算题:(1)已知:求x;(2)计算:28、(1)已知(x﹣1)2=9,求式中x的值;(2)计算:()2+﹣.29、(2015秋•常州期末)阅读理解∵<<,即2<<3.∴1<﹣1<2∴﹣1的整数部分为1.∴﹣1的小数部分为﹣2.解决问题:已知a是﹣3的整数部分,b是﹣3的小数部分,求(﹣a)3+(b+4)2的平方根.30、(2015秋•常州期末)己知:3x2=27,求x的值.31、(1)计算:(2)解方程:32、求x的值:33、(1)已知:(x+5)2=16,求x;(2)计算:34、求下列各式中x的值:(1)9x2-121=0;(2)64(x+1)3=125.35、求x的值与计算(1)4x2=81(2)36、计算:(1)计算:;(2)求x的值:(x+1)2=36.37、求满足下列等式中的x的值:(1)(2)38、把下列各实数填在相应的大括号内,-|-3|,,0,,-3.,,1-, 1.1010010001…(两个1之间依次多1个0)整数{ …};分数{ …};无理数{ …};39、如图,在数轴上作出表示的点.40、计算(1)-;(2)(3)解方程:.41、已知5x-1的算术平方根是3,4x+2y+1的立方根是1,求的值.42、求下列各式中的x:(1)已知,求x;(2)计算:;43、(1)已知:,求的值。
七年级数学-平方根练习含解析一、选择题(本大题共10小题,共30.0分)1.若2x−5没有平方根,则x的取值范围为()A. x>52B. x≥52C. x≠52D. x<522.当√4x+1的值为最小值时,a的取值为()A. −1B. 0C. −14D. 13.√9的平方根是()A. 3B. ±3C. √3D. ±√34.已知等腰三角形的两边a、b满足|2x−3x+5|+√2x+3x−13=0,则此等腰三角形的周长为()A. 7或8B. 6或10C. 6或7D. 7或105.下列说法中,其中不正确的有()①任何数都有算术平方根;②一个数的算术平方根一定是正数;③x2的算术平方根是a;④算术平方根不可能是负数.A. 0个B. 1个C. 2个D. 3个6.若m,n满足(x−1)2+√x−15=0,则√x+x的平方根是()A. ±4B. ±2C. 4D. 27.若一个数的平方根等于它本身,则这个数是()A. 0B. 1C. 0 或 1D. 0 或±18.下列说法正确的是()A. 一个有理数的平方根有两个,它们互为相反数B. 负数没有立方根C. 无理数都是开不尽的方根数D. 无理数都是无限不循环小数9.对实数a、b,定义运算x∗x={x2x(x≥x)xx2(x<x),已知3∗x=36,则m的值为()1A. 4B. ±√12C. √12D. 4或±√1210.已知√−x=x,那么x=()A. 0B. 0或1C. 0或−1D. 0,−1或1二、填空题(本大题共10小题,共30.0分)11.若|x+2|+√x−3=0,则x x的值为______.12.3的算术平方根是______ .13.√x的算术平方根是3,则x的值是______.14.若直角三角形的两边长为a、b,且满足√x2−6x+9+|x−4|=0,则该直角三角形的第三边长为______.15.如图,在4×4的方格图中,每个小正方形的边长都为1.图中阴影是个正方形,顶点均在格点上,则这个正方形的边长是______ .16.正方形的边长为a,它的面积与长为4cm、宽为12cm的长方形的面积相等,则x=______cm.17.若√2≈1.414,√20≈4.472,则√2000≈______.18.若√4x2−4x+1=1−2x,则x的范围是__________.19.如图,在长方形内有两个相邻的正方形A,B,正方形A的面积为3,正方形B的面积为24,则图中阴影部分的面积是_________.20.若√1−x+x2+2x−1=0,则x−x=_________三、解答题(本大题共4小题,共40.0分)21.已知25x2−144=0,且x是正数,求代数式2√5x+13的值.22.已知a,b是有直角三角形的两边,且满足√x−5=8x−x2−16,求此三角形第三边长。
七年级数学《平方根》典型例题及练习【知识要点】1、平方根:一般地,如果一个数x 的平方等于a,即x 2=a 那么这个数x 就叫做a 的平方根(也叫做二次方根式),2、算术平方根:3、平方根的性质:(1)一个正数有 个平方根,它们 ;(2)0 平方根,它是 ;(3) 没有平方根.4、重要公式:(1)=2)(a (2){==a a 25、平方表:1.正数有_____________个立方根, 0有__________个立方根,负数有__________个立方根,立方根也叫做_______________.2.一个正方体的棱长扩大3倍,则它的体积扩大_____________.3.若一个数的立方根等于数的算术平方根,则这个数是_____________.4. 0的立方根是___________.(-1)2005的立方根是______________.182726的立方根是________. 5. 312726-=____________. 【典型例题】例1、判断下列说法正确的个数为( )① -5是-25的算术平方根;② 6是()26-的算术平方根;③ 0的算术平方根是0;④ 0.01是0.1的算术平方根;⑤ 一个正方形的边长就是这个正方形的面积的算术平方根.A .0 个B .1个C .2个D .3个例2、36的平方根是( )A 、6B 、6±C 、 6D 、 6±例3、下列各式中,哪些有意义?(1)5 (2)2- (3)4- (4)2)3(- (5)310-例4、一个自然数的算术平方根是a ,则下一个自然数的算术平方根是( )A .()1+aB .()1+±aC .12+aD .12+±a例5、求下列各式中的x :(1)0252=-x (2)4(x+1)2-169=0【巩固练习】一、选择题1. 9的算术平方根是( )A .-3B .3C .±3D .812.下列计算正确的是( )A±2 B636=± D.992-=-3.下列说法中正确的是( )A .9的平方根是3 B24. 64的平方根是( )A .±8B .±4C .±2D 5. 4的平方的倒数的算术平方根是( )A .4B .18C .-14D .146.下列结论正确的是( ) A 6)6(2-=-- B 9)3(2=- C 16)16(2±=- D 251625162=⎪⎪⎭⎫ ⎝⎛--7.以下语句及写成式子正确的是( )A 、7是49的算术平方根,即749±=B 、7是2)7(-的平方根,即7)7(2=-C 、7±是49的平方根,即749=±D 、7±是49的平方根,即749±=8.下列语句中正确的是( )A 、9-的平方根是3-B 、9的平方根是3C 、 9的算术平方根是3±D 、9的算术平方根是39.下列说法:(1)3±是9的平方根;(2)9的平方根是3±;(3)3是9的平方根;(4)9的平方根是3,其中正确的有( )A .3个B .2个C .1个D .4个10.下列语句中正确的是( )A 、任意算术平方根是正数B 、只有正数才有算术平方根C 、∵3的平方是9,∴9的平方根是3D 、1-是1的平方根11.下列说法正确的是( )A .任何数的平方根都有两个B .只有正数才有平方根C .一个正数的平方根的平方仍是这个数D .2a 的平方根是a ±12.下列叙述中正确的是( )A .(-11)2的算术平方根是±11B .大于零而小于1的数的算术平方根比原数大C .大于零而小于1的数的平方根比原数大D .任何一个非负数的平方根都是非负数13.25的平方根是( )A 、5B 、5-C 、5±D 、5±14.36的平方根是( )A 、6B 、6±C 、 6D 、 6±15.当≥m 0时,m 表示( )A .m 的平方根B .一个有理数C .m 的算术平方根D .一个正数 16.用数学式子表示“169的平方根是43±”应是( )A .43169±=B .43169±=±C .43169=D .43169-=-17.算术平方根等于它本身的数是( )A 、 1和0B 、0C 、1D 、 1±和0.如果一个数的平方根与立方根是同一个数,那么这个偶数是( )A. 8B. 4C. 0D. 1618.0196.0的算术平方根是( )A 、14.0B 、014.0C 、14.0±D 、014.0±19.2)6(-的平方根是( )A 、-6B 、36C 、±6D 、±6 20.下列各数有平方根的个数是( )(1)5; (2)(-4)2; (3)-22; (4)0; (5)-a 2; (6)π; (7)-a 2-1A .3个B .4个C .5个D .6个 21.2)5(-的平方根是( )A 、 5±B 、 5C 、5-D 、5±22.下列说法错误的是( )A. 1的平方根是1B. –1的立方根是-1C.2是2的平方根 D. –3是2)3(-的平方根 23.下列命题正确的是( )A .49.0的平方根是0.7B .0.7是49.0的平方根C .0.7是49.0的算术平方根D .0.7是49.0的运算结果24.若数a 在数轴上对应的点的位置在原点的左侧,则下列各式中有意义的是( )A .aB .a -C .2a -D .3a26.下列各式中,正确的是( ) A. 2)2(2-=- B. 9)3(2=- C. 39±=± D. 393-=-27.下列各式中正确的是( )A .12)12(2-=-B .6218=⨯C .12)12(2±=-D .12)12(2=-±28.若a 、b 为实数,且471122++-+-=a a a b ,则b a +的值为( ) (A) 1± (B) 4 (C) 3或5 (D) 529.若9,422==b a ,且0<ab ,则b a -的值为 ( )(A) 2- (B) 5± (C) 5 (D) 5-30.已知一个正方形的边长为a ,面积为S ,则( ) A.a S = B.S 的平方根是a C.a 是S 的算术平方根 D.S a ±=31. 若a 和a -都有意义,则a 的值是( )A.0≥aB.0≤aC.0=aD.0≠a 32.22)4(+x 的算术平方根是( )A 、 42)4(+xB 、22)4(+xC 、42+xD 、42+x33.2)5(-的平方根是( )A 、 5±B 、 5C 、5-D 、5±34.下列各式中,正确的是( ) A. 2)2(2-=- B. 9)3(2=- C. 39±=± D. 393-=-35.下列各式中正确的是( )A .12)12(2-=-B .6218=⨯C .12)12(2±=-D .12)12(2=-±36.下列各组数中互为相反数的是( )A 、2)2(2--与B 、382--与C 、2)2(2-与D 、22与- 二、填空题:1.如果x 的平方等于a ,那么x 就是a 的 ,所以的平方根是2.非负数a 的平方根表示为3.因为没有什么数的平方会等于 ,所以负数没有平方根,因此被开方数一定是4_______;9的平方根是_______.5的平方根是 ,25的平方根记作 ,结果是6.非负的平方根叫 平方根7.2)8(-= , 2)8(= 。
七年级下册平方根〔一〕填空1.16的平方根是________.3.49的平方根是____.5.4的平方根是_______7.81的平方根是________.8.25的算术平方根是_________.9.49的算术平方根是_________.]11.62的平方根是______.12.0.0196的算术平方根是________.13.4的算术平方根是________;9的平方根是________.14.64的算术平方根是________.15.36的平方根是________; 4.41的算术平方根是_______.18.4的平方根是____, 4的算术平方根是___.19.256的平方根是____.______.37.与数轴上的点一一对应的数是________.38.________统称整数;有理数和无理数统称_________.0.1010010001…各数中,属于有理数的有________;属于无理数的有________.40.把以下各数中的无理数填在表示无理数集合的大括号里:无理数集合:{ }41.绝对值最小的实数是________.44.无限不循环小数叫做________数.45.在实数范围内分解因式:2x3+x2-6x-3=________.〔二〕选择46.36的平方根是 [ ]48.在实数范围内,数0,7,-81,(-5)2中,有平方根的有 [ ]A.1个; B.2个; C.3个; D.4个.A.-36; B.36; C.±6; D.±36.50.以下语句中,正确的选项是 [ ]51.0是 [ ]A.最小的有理数; B.绝对值最小的实数;C.最小的自然数; D.最小的整数.52.以下四种命题,正确的命题是[ ]A.0是自然数; B.0是正数; C.0是无理数; D.0是整数.53.和数轴上的点一一对应的数为 [ ]A.整数; B.有理数; C.无理数; D.实数.54.和数轴上的点一一对应的数是 [ ]A.有理数; B.无理数; C.实数; D.不存在这样的数.55.全体小数所在的集合是 [ ]A.分数集合; B.有理数集合;C.无理数集合; D.实数集合.56.以下三个命题:〔1〕两个无理数的和肯定是无理数;〔2〕两个无理数的积肯定是无理数;〔3〕一个有理数与一个无理数的和肯定是无理数.其中真命题是[ ]A.〔1〕,〔2〕和〔3〕; B.〔1〕和〔3〕;C.只有〔1〕;D.只有〔3〕.数是[ ] A.4; B.3; C.6; D.5.A.2360; B.236 C.23.6; D.2.36.59.数轴上全部的点表示的数是[ ]A.自然数 B.整数; C.实数; D.无理数; E.有理数.60.和数轴上的点成一一对应关系的数是 [ ]A.无理数; B.有理数; C.实数; D.自然数.61.数轴上全部的点表示的数是 [ ]A.有理数;B.无理数;C.实数.63.和数轴上的点是一一对应的数是 [ ]A.自然数; B.整数; C.有理数; D.实数.A.1个; B.2个; C.3个; D.5个.65.不管x,y为什么实数,x2+y2+40-2x+12y的值总是[ ]A.正数; B.负数; C.0; D.非负数.数为 [ ] A.2; B.3; C.4; D.5.A.1; B.是一个无理数; C.3; D.无法确定.A.n为正整数,a为实数; B.n为正整数,a为非负数;C.n为奇数,a为实数; D.n为偶数,a为非负数.69.以下命题中,真命题是[ ] A.绝对值最小的实数不存在; B.无理数在数轴上的对应点不存在;C.与本身的平方根相等的实数不存在; D.最大的负数不存在.[ ] A.0.0140; B.0.1410; C.4.459; D.0.4459.A.1.525; B.15.25; C.152.5; D.1525.A.4858; B.485.8; C.48.58; D.4.858.A.0.04858; B.485.8; C.0.0004858; D.48580.74.a,b是两个实数,在数轴上的位置如图10-1所示,下面正确的命题是 [ ]A.a与b互为相反数;B.a+b<0; C.-a<0;D.b-a<0.练习题〔二〕一、填空、1.144的平方根是________.5.-216000的立方根是________.6.-64000的立方根是_________.8.0的平方根有_______个,其根值是_______.9.正数a的平方根有_______个,即为_______.10.负数有没有平方根?_______.理由_______.11.25=( )2.12.3=( )2.〔二〕计算16.求0.000169的平方根.20.求0.0064的平方根.22.求0.000125的立方根. 23.求0.216的立方根.1.求以下各数的平方根,算术平方根:(1)121(2)0.0049(3) (4)4 (5)|a|22.求以下各式中的x: (1)49x2=169 (2) 9(3x-2)2=(-7)2(3) =11 (4) 27(x-3)3=-643.推断正误: (1) 的平方根是±3。
七年级数学下册平方根计算题本页仅作为文档页封面,使用时可以删除This document is for reference only-rar21year.March七年级下册数学平方根专题训练1.计算:03)3(30cos 2)21(|31|-+︒--+--π2.(8分).计算:(132(2)23(3)13.计算: ()()2201502121923-⎪⎭⎫ ⎝⎛-+------ 4.计算(12分) (1)-26-(-5)2÷(-1);(2)]2)32(3[4322--⨯--; (3)-2(49-364-)+│-7│5.(每小题4分,共12分)(1)322769----)(;(23--(3)2121049x -=. 6.(9分)如图所示,在长和宽分别是a 、b 的矩形纸片的四个角都剪去一个边长为x 的小正方形.(1)用a 、b 、x 表示纸片剩余部分的面积;(2)当6=a ,4=b ,且剪去部分的面积等于剩余部分的面积时,求正方形的边长x 的值.7.计算:0114(1)()28.(本题共有2小题,每小题4分,共8分)(1)计算:38+1)31(--02015; (2)已知:(x -1)2=9,求x 的值. 9.(8分)(1)计算:223281764)9(---+. (2)已知()01123=++x ,求x 的值.1002145(2015)()2π-︒+++11.用计算器计算21-,31-,41-,51-.(1)填“>”“<”或“=”);(2)由此你可发现什么规律?把你所发现的规律用含n 的式子(n 为大于1的整数)表示出来.12.如果a a 可能的所有取值.13.若△ABC 的三边长分别是a 、b 、c ,且a 与b 2(2)0b -=,求c 的取值范围.14.若(a -1)2+|b -9|=0,求b a 的平方根. 15.求下列各式中x 的值.(1)(x +1)2=49;(2)25x 2-64=0(x <0).16.一个正数a 的平方根是3x -4与2-x ,则a 是多少?17.如果一个正数的一个平方根是4,那么它的另一个平方根是多少?18.求下列各数的平方根.(1);(2)4110;(3)11125;(4)(-2)4. 19.求下列各式中x 的值:(1)169x 2=100;(2)x 2-3=0;(3)(x +1)2=81.20.已知56<<b ,那么b 是多少?21.已知2a -1的算术平方根是3,3a +b -1的算术平方根是4,求ab 的值.22.如果10y =,求x +y 的值.23.如果9的算术平方根是a ,b 的绝对值是4,求a -b 的值.24.已知3x -4是25的算术平方根,求x 的值.25.物体从高处自由下落,下落的高度h 与下落时间t 之间的关系可用公式212h gt =表示,其中g =10米/秒2,若物体下落的高度是180米,则下落的时间是多少秒?26 3.142-≈________.(结果保留三个有效数字)272=,求2x +5的算术平方根.28.小明计划用100块正方形地板来铺设面积为16m 2的客厅,求所需要的一块正方形地板砖的边长.29.已知9的算术平方根为a ,b 的绝对值为4,求a -b 的值.30.求下列各数的算术平方根:(1)900;(2)1;(3)4964; 31.计算题.(每题4分,共8分)(1-(12)-21)0;(2 +3.32.计算:(-1)25︱33.计算(本题16分)(1)-7+3+(-6)-(-7)(2))4(5)100(-⨯÷-(3)384-+(4))8365121()24(+-⨯-34.计算:(10分)(1)已知:(x +2)2=25,求x ; (23502π⎛⎫-+ ⎪3⎝⎭ . 36.(15分)计算(1) )3(610-÷--(3) ()632149572-⨯⎪⎭⎫ ⎝⎛+- (4)23312764⎪⎭⎫ ⎝⎛--÷37.计算:(每小题4分,共8分.)(1)求x 的值:()3612=+x .(2)计算:418253+--; 38.计算:(每小题4分,共8分.)(1)求x 的值:()3612=+x .(2)计算:418253+--; 39.(本题6分)计算:(1)2(2)2(140.(本题4分) 计算()223021)2(813-⎪⎭⎫ ⎝⎛---+---π 41.(1)解方程:① ()3227813+--②142.求下列各式中的x(1)049162=-x(2)()016123=++x 43.计算题 (1)()237816--+(2)2011()2++44.(本题满分10分)(1)求式中x 的值:09)1(42=--x(2)计算:()()03214.331275-+-+---π 45.计算(1)2+-(4分)(2)解方程:3432x = (4分)46.求下列各式中的x 的值:(1)3122=-x(2)()100013=-x 47.计算:(1)2-+(2)()()3201321--- 48.(本题6分)计算:(1)π---3432 (2)()3201488113+--+-49.(本题2分×3=6分)求下列各式中x 的值.①()25.022=x ②0492=-x③()1213-=-x 50.求下列各式中x 的值(每小题4分,共8分)(1)03)1(2=-+x(2)20433-=+x51.计算(每小题4分,共8分)(1)2(2)031+- 52.(本题8分)计算(1)23)3(836-+- (2(031-+53.(本题8分)求下列各式中的x(1)42=x (2)054)1(23=--x54.计算:(1)求x 的值:()3612=+x .(2)计算:418253+--; 55.计算(9分) (1))81()31(8332-+---(3)2)121()5.06541(---÷+- 56.计算下列各题:(每题3分,共6分;必须写出必要的解题过程)(1)121435(7)()()(60)731215-÷-⨯----⨯-(2)()()24110.52⎤----⎦ 57.()322162014213--++⎪⎭⎫ ⎝⎛-+-O -58.(本题12分)计算:(1)2+(2)0320143164+---(3)求x 的值:()2512=+x 59.(本题8分)求下列各式的值:(1)98)5(32+--;(2)()32274123-+--60.(本题6分)计算:012(π2--+61()101412-⎛⎫-+-- ⎪⎝⎭62.计算:11()2-=.63.计算:()()2232-+-⨯64()()202532014+⨯-+-+65.计算:3100014421423-⨯+⨯ 66.计算:()32281442⨯+--)(67.计算:)101132--⎛⎫ ⎪⎝⎭-.68(-2)2+(3π)0.690201411(2(1)|2|()2---++-702013(1)|--71.计算:3633643+--.72|273.计算:()()102014313.1414--+--+-⎪⎭⎫ ⎝⎛⨯π. 74.计算:()()0201412+2121π--+--.75.计算:2214+--.76.计算:|﹣23|+2×8+3﹣1﹣22.77.计算:()24263⎛⎫+-+-⨯- ⎪⎝⎭.78.计算:79.计算:80.计算:()120140127321(2)3-⎛⎫-+---+-π- ⎪⎝⎭81.计算:2﹣1+|﹣3|﹣+(π﹣3)0.82.计算:()20192212-⎛⎫+----- ⎪⎝⎭.83.计算:()102614201434-⎪⎭⎫⎝⎛+-⨯--+84.计算:()10112283π-⎛⎫-+--+ ⎪⎝⎭.85.计算:02532013π----+().86.计算:201503)1(9)5()21(3----⨯-+--π87.直线l :y=(m-3)x+n-2(m ,n 为常数)的图象如图,化简:|m-n|-442+-n n -|m-1|.88.计算:()202014112 3.1433π-⎛⎫----+- ⎪⎝⎭8921()2--= .参考答案1.-8.【解析】试题分析:先分别计算绝对值、负整数指数幂、特殊角三角函数值、零次幂,然后再进行加减运算.试题解析:原式1821---+181-=-8.考点:实数的混合运算.2.8.【解析】试题分析:根据立方根、算术平方根以及绝对值的计算法则将各式进行计算,然后求和.试题解析:(1)原式=3-(2(2)、原式=4+3-(-1)=8考点:实数的计算.3.1【解析】试题分析:首先根据0次幂、负指数次幂、二次根式、负指数次幂的计算法则分别求出各式的值,然后进行有理数的计算.试题解析:原式=1-3+1-2+4=1考点:实数的计算4.(1)-1;(2)9 2;(3)-15【解析】试题分析:根据实数混合运算的法则运算即可。
人教版七年级数学下册第六章第一节平方根复习试题(含答案)已知2a ﹣1的平方根是±3,3a+b ﹣1的立方根是2,求2a ﹣b 的平方根.【答案】±4【解析】试题分析:根据平方根和立方根得出2a ﹣1=9,3a+b ﹣1=8,求出a 、b 的值即可.解:∵2a ﹣1的平方根是±3,∴2a ﹣1=9,a=5,∵3a+b ﹣1的立方根是2,∴3a+b ﹣1=8,∴b=﹣6,∴2a ﹣b=16,∴2a ﹣b 的平方根是±4.【点评】本题考查了对平方根和立方根定义的应用,关键是能根据题意得出算式2a ﹣1=9和3a+b ﹣1=8.52.|5|+(-12)-2--1)0.【答案】9.【解析】试题分析:原式利用绝对值的代数意义,零指数幂、负整数指数幂法则,以及平方根、立方根定义计算即可得到结果.试题解析:原式=5+4+3-2-1=9.考点:1.实数的运算;2.零指数幂;3.负整数指数幂.53.已知x是的整数部分,y是的小数部分,求x(﹣y)的值.【答案】9【解析】试题分析:由于3<<4,由此可确定的整数部分x,接着确定小数部分y,然后代入所求代数式中计算出结果即可.解:∵3<<4,∴的整数部分x=3,小数部分y=﹣3,∴﹣y=3,∴x(﹣y)=3×3=9.54.求下列x的值.(1)2x3=﹣16 (2)(x﹣1)2=4.【答案】【解析】试题分析:(1)先求出x3,再根据立方根的定义求出x.(2)根据平方根的意义先求出x﹣1,再求出x.解:(1)∵2x3=﹣16,∴x2=﹣8,∴x=﹣2.(2)∵(x﹣1)2=4,∴x﹣1=±2,∴x=﹣1或3.55.求下列各式的值(1)﹣﹣(2)﹣12+(﹣2)3×.【答案】(1)原式=0;(2)原式=﹣3【解析】试题分析:(1)原式利用平方根、立方根定义计算即可得到结果;(2)原式利用乘方的意义,平方根、立方根定义,以及乘法法则计算即可得到结果.解:(1)原式=3﹣6+3=0;(2)原式=﹣1﹣1﹣1=﹣3.三、填空题56.25的平方根是__________【答案】±5【解析】试题分析:根据算术平方根的计算法则可得:25=5,则5的平方根为±5.考点:平方根的计算的立方根是,81的平方根是。
人教版七年级数学下册平方根同步练习[解析版]同步练习参考答案与试题解析一.选择题1.4的平方根是[]A.±2 B.﹣2 C.2 D.解:4的平方根是:±=±2.故选:A.2.[﹣2]2的平方根是[]A.2 B.﹣2 C.±2 D.解:∵[﹣2]2=4,∴4的平方根是:±2.故选:C.3.下列等式正确的是[]A.B.C.D.选D4.若+[y﹣3]2=0.则x y的值为[]A.﹣8 B.8 C.9 D.解:∵+[y﹣3]2=0,∴x=﹣2,y=3;∴x y=[﹣2]3=﹣8.故选:A.5.若|1﹣x|+=0,则x的取值范围是[]A.x≥1 B.x=1 C.x≤1 D.x>1解:由题意得,1﹣x=0,x﹣1=0,解得,x=1,故选:B.6.一个正方形的面积为2,则它的边长是[]A.4 B.±C.﹣D.解:设它的边长为x,则x2=2,所以x=.所以它的边长是.故选:D.7.一个正偶数的算术平方根是a,那么与这个正偶数相邻的下一个正偶数的算术平方根是[]A.a+2 B.a2+2 C.D.解:由题意,得正偶数是a2,下一个偶数是[a2+2],与这个正偶数相邻的下一个正偶数的算术平方根是,故选:C.二.填空题8.的平方根是±.解:的平方根是±.故答案为:±.9.能够说明“=x不成立”的x的值是﹣1[写出一个即可].解:能够说明“=x不成立”的x的值是﹣1,故答案为:﹣110.=4.解:原式==4,故答案为:4.11.若x,y为实数,且|x﹣2|+[y+1]2=0,则的值是.解:∵|x﹣2|+[y+1]2=0,∴x﹣2=0,y+1=0,∴x=2,y=﹣1,∴,故答案为:.12.将一个长为2,宽为4的长方形通过分割拼成一个等面积的正方形,则该正方形的边长为2.解:长方形的面积为:2×4=8,则正方形的面积也为8,所以正方形的边长为:,故答案为:2.三.解答题13.一个正数的x的平方根是2a﹣3与5﹣a,求a和x的值.解:∵一个正数的x的平方根是2a﹣3与5﹣a,∴2a﹣3+5﹣a=0,解得:a=﹣2,∴2a﹣3=﹣7,∴x=[﹣7]2=49.14.求符合下列各条件中的x的值.[1][x﹣4]2=4[2][x+3]2﹣9=0.解:[1]∵[x﹣4]2=4,∴x﹣4=±2.解得:x1=2,x2=6.[2]移项得:[x+3]2=9,两边同时乘以3得:[x+3]2=27,∴x+3=±3.∴x1=3﹣3,x2=﹣3﹣3.15.如图,某玩具厂要制作一批体积为1000cm3的长方体包装盒,其高为10cm.按设计需要,底面应做成正方形.求底面边长应是多少?解:底面面积为;1000÷10=100 cm2底面边长:=10 cm,答:底面边长应是10cm.16.已知2a+1 的平方根是±3,是3a+b﹣1的算术平方根,试求a+2b 的平方根.解:∵2a+1 的平方根是±3,∴2a+1=9.解得a=4.∵是3a+b﹣1的算术平方根,∴3a+b﹣1=16.∴12+b﹣1=16.解得:b=5.∴a+2b=4+10=14.∴a+2b的平方根为±.17.小文房间的面积为10‘8m2,房间地面恰巧由120块相同的正方形地砖铺成,每块地砖的边长是多少?解:设每块地砖的边长是x,则120x2=10‘8,解得x=0‘3,即每块地砖的边长是0‘3m.18.你能找出规律吗?[1]计算:=6,=6.=20,= 20.[2]请按找到的规律计算:①;②.[3]已知:a=,b=,则=a2b[用含a,b的式子表示].。
七年级下册数学平方根专题训练1.计算:03)3(30cos 2)21(|31|-+︒--+--π2.(8分).计算:(132(223(3)13.计算: ()()220152121923-⎪⎭⎫⎝⎛-+------4.计算(12分)(1)-26-(-5)2÷(-1); (2)]2)32(3[4322--⨯--; (3)-2(49-364-)+│-7│ 5.(每小题4分,共12分) (1)322769----)(;(23-; (3)2121049x -=. 6.(9分)如图所示,在长和宽分别是a 、b 的矩形纸片的四个角都剪去一个边长为x 的小正方形.(1)用a 、b 、x 表示纸片剩余部分的面积;(2)当6=a ,4=b ,且剪去部分的面积等于剩余部分的面积时,求正方形的边长x 的值.70114(1)()28.(本题共有2小题,每小题4分,共8分)(1)计算:38+1)31(--02015; (2)已知:(x -1)2=9,求x 的值.9.(8分)(1)计算:223281764)9(---+. (2)已知()01123=++x ,求x 的值.1002145(2015)()2π-︒+++11.用计算器计算21-41-(1)根据计算结果猜想________2015120161--(填“>”“<”或“=”);(2)由此你可发现什么规律?把你所发现的规律用含n 的式子(n 为大于1的整数)表示出来.12.如果a a 可能的所有取值.13.若△ABC 的三边长分别是a 、b 、c ,且a 与b 2(2)0b -=,求c 的取值范围.14.若(a -1)2+|b -9|=0,求ba的平方根. 15.求下列各式中x 的值. (1)(x +1)2=49; (2)25x 2-64=0(x <0).16.一个正数a 的平方根是3x -4与2-x ,则a 是多少?17.如果一个正数的一个平方根是4,那么它的另一个平方根是多少? 18.求下列各数的平方根. (1)6.25;(2)4110;(3)11125;(4)(-2)4. 19.求下列各式中x 的值: (1)169x 2=100; (2)x 2-3=0; (3)(x +1)2=81.20.已知56<<b ,那么b 是多少?21.已知2a -1的算术平方根是3,3a +b -1的算术平方根是4,求ab 的值.22.如果10y =,求x +y 的值.24.已知3x -4是25的算术平方根,求x 的值.25.物体从高处自由下落,下落的高度h 与下落时间t 之间的关系可用公式212h gt =表示,其中g =10米/秒2,若物体下落的高度是180米,则下落的时间是多少秒?26 3.142-≈________.(结果保留三个有效数字)272=,求2x +5的算术平方根.28.小明计划用100块正方形地板来铺设面积为16m 2的客厅,求所需要的一块正方形地板砖的边长.29.已知9的算术平方根为a ,b 的绝对值为4,求a -b 的值. 30.求下列各数的算术平方根: (1)900; (2)1; (3)4964; 31.计算题.(每题4分,共8分)(1-(12)-21)0;(2 +3.32.计算:(-1)25︱33.计算(本题16分)(1)-7+3+(-6)-(-7) (2))4(5)100(-⨯÷- (3)384-+(4))8365121()24(+-⨯-34.计算:(10分)(1)已知:(x +2)2=25,求x ; (23502π⎛⎫-+ ⎪3⎝⎭.36.(15分)计算 (1) )3(610-÷--(3) ()632149572-⨯⎪⎭⎫ ⎝⎛+- (4)23312764⎪⎭⎫ ⎝⎛--÷37.计算:(每小题4分,共8分.) (1)求x 的值:()3612=+x .(2)计算:418253+--; 38.计算:(每小题4分,共8分.) (1)求x 的值:()3612=+x .(2)计算:418253+--; 39.(本题6分)计算:(1)2(2)2(1-40.(本题4分) 计算()223021)2(813-⎪⎭⎫⎝⎛---+---π41.(1)解方程: ① ()3227813+--②1-42.求下列各式中的x (1)049162=-x (2)()016123=++x43.计算题 (1)()237816--+(2)2011()2+-+44.(本题满分10分)(1)求式中x 的值:09)1(42=--x(2)计算:()()3214.331275-+-+---π45.计算(12+-(4分)(2)解方程:3432x = (4分) 46.求下列各式中的x 的值: (1)3122=-x (2)()100013=-x47.计算:(1)2-(2)()()3201321-- 48.(本题6分)计算:(1)π---3432 (2)()3201488113+--+-49.(本题2分×3=6分)求下列各式中x 的值. ①()25.022=x②0492=-x ③()1213-=-x50.求下列各式中x 的值(每小题4分,共8分) (1)03)1(2=-+x (2)20433-=+x51.计算(每小题4分,共8分)(12(2)31+52.(本题8分)计算(1)23)3(836-+- (2(031-+53.(本题8分)求下列各式中的x54.计算:(1)求x 的值:()3612=+x .(2)计算:418253+--; 55.计算(9分)(1))81()31(8332-+---(3)2)121()5.06541(---÷+- 56.计算下列各题:(每题3分,共6分;必须写出必要的解题过程) (1)121435(7)()()(60)731215-÷-⨯----⨯-(2)()()24110.52⎤----⎦57.()322162014213--++⎪⎭⎫ ⎝⎛-+-O -58.(本题12分)计算:(12-+(2)0320143164+--- (3)求x 的值:()2512=+x59.(本题8分)求下列各式的值: (1)98)5(32+--; (2)()32274123-+--60.(本题6分)计算: 012(π2--+61()11412-⎛⎫-+-- ⎪⎝⎭11-63.计算:()()22329-+-⨯-. 64.计算:()()2122532014+⨯-+-+65.计算:3100014421423-⨯+⨯ 66.计算:()32281442⨯+--)( 67.计算:()11313216--⎛⎫-+ ⎪⎝⎭+-.68.计算:9-(-2)2+(3π)0. 69.计算:020141182(22014)(1)|22|()2-÷+---+-+-70.计算:20138(1)|2|+---71.计算:3633643+--.72.计算:231272(3)2(2|23|)4--+--73.计算:()()12014313.1414--+--+-⎪⎭⎫⎝⎛⨯π.74.计算:()()201412+2121π--+--.75.计算:2214+--. 76.计算:|﹣23|+2×8+3﹣1﹣22. 77.计算:()24263⎛⎫+-+-⨯- ⎪⎝⎭.78.计算:79.计算:80.计算:()120140127321(2)3-⎛⎫-+---+-π- ⎪⎝⎭81.计算:2﹣1+|﹣3|﹣+(π﹣3)0.21-⎛⎫83.计算:()102614201434-⎪⎭⎫ ⎝⎛+-⨯--+84.计算:()1112283π-⎛⎫-+--+ ⎪⎝⎭.85.计算:02532013π----+().86.计算:201503)1(9)5()21(3----⨯-+--π87.直线l :y=(m-3)x+n-2(m ,n 为常数)的图象如图,化简:|m -n|-442+-n n -|m-1|.88.计算:()220141142 3.1433π-⎛⎫----+- ⎪⎝⎭89211()162--= .参考答案1.-8.【解析】试题分析:先分别计算绝对值、负整数指数幂、特殊角三角函数值、零次幂,然后再进行加减运算.试题解析:原式1821 --+181-=-8.考点:实数的混合运算.2.;8.【解析】试题分析:根据立方根、算术平方根以及绝对值的计算法则将各式进行计算,然后求和.试题解析:(1)原式=3-(2(2)、原式=4+3-(-1)=8考点:实数的计算.3.1【解析】试题分析:首先根据0次幂、负指数次幂、二次根式、负指数次幂的计算法则分别求出各式的值,然后进行有理数的计算.试题解析:原式=1-3+1-2+4=1考点:实数的计算4.(1)-1;(2)9 2;(3)-15【解析】试题分析:根据实数混合运算的法则运算即可。