【2018最新】考研艺术类院校最新排名择校指南-推荐word版 (3页)
- 格式:docx
- 大小:19.09 KB
- 文档页数:3
本文部分内容来自网络整理,本司不为其真实性负责,如有异议或侵权请及时联系,本司将立即删除!== 本文为word格式,下载后可方便编辑和修改! ==考研学校艺术类院校排名指南攻略我们在择校的时候还要和择专业结合起来,每个学校都有自己的强势专业和劣势专业,名校里面也不都是强势的专业。
小编为大家精心准备了考研学校艺术类院校排名,欢迎大家前来阅读。
考研学校艺术类院校排名艺术在职研究生备考需培养的素养1、对艺术超强的理解力和感悟力艺术学在职研究生要对艺术现象具有超强的理解力、感悟力、鉴赏力和灵敏度。
人类文化表明,艺术源于五彩缤纷的世界,它和社会生活有着密不可分的通感联系,广博的知识融会,能使学生的思维流动起来,产生一种不可遏制的冲动,进而真正发挥他们的主体作用,激励他们在无限的空间中去感悟艺术的无穷魅力。
只有这样才能对研究对象提出深刻而独到的见解。
2、熟练地掌握一门外语在我国艺术学在职研究生教育发展尚不完善的情况下,我们应吸取国外的研究经验。
目前,外文资料的翻译工作虽比前些年的情况有所好转,但就其数量和质量而言,还不能满足艺术学专业的研究需要。
通过对外文资料的阅读,可以使我们更好的把握研究方向和方法,所以,熟练地掌握一门外语对艺术学的理论研究是至关重要的。
从艺术学学科的整体性发展来讲,搜集、整理好外文资料,清醒地、有选择地借鉴外国经验,不仅能够更好地作到“中西融合”,而且还可以促进我们艺术学专业教育更好更快的发展。
3、建立多元化的知识储备体系多元化的知识储备,是时代的需要,多元化的知识以及信息资源的整合与迁移,使艺术学学科不再孤立存在,而成为了对艺术整体和系统的把握。
艺术学在职研究生在学好本学科的专业知识外,还应更多的掌握与之相关的自然科学和社会科学的知识。
艺术创作同样也不能超过于技术之外,不能超越自然科学的发展。
另外艺术和科学没有因为一个偏重感性,一个偏重理性,而毫不相干,相反,他们有着密切的联系。
多元化的知识储备不但让知识在学生的心理得到升华和完善,同时也让学生在知识世界中发掘自己的才华,体会到求知的乐趣,张扬自我的豪情,为学生创设无限的空间,使艺术学在职研究生教育体系更加完善。
考研学校艺术类院校排名指南攻略考研学校艺术类院校排名指南攻略全国硕士研究生统一招生考试是指教育主管部门和招生机构为选拔研究生而组织的相关考试的总称,由国家考试主管部门和招生单位组织的初试和复试组成。
下面是店铺整理的考研学校艺术类院校排名指南攻略,欢迎大家借鉴与参考,希望对大家有所帮助。
1、中国美术学院中国美术学院建于1928年,时称“国立艺术院”;1929年,更名为“国立杭州艺术专科学校”;1938年,改名为“国立艺术专科学校”;1950年,成为“中央美术学院华东分院”;1958年,改名为“浙江美术学院”;1993年,更名为“中国美术学院”。
是中国第一所综合性的国立高等艺术学府,由中华人民共和国教育部、中华人民共和国文化部和浙江省人民政府共建,也是最早实施设计学的高等学府,是中国最早的艺术革命团体发祥地。
中国唯一一个美术学国家重点学科所在地,为联合国科教文组织唯一承认学历的.中国美术类大学,是首批国家“双一流”世界一流学科建设高校和首批教育部来华留学示范基地建设高校2、鲁迅美术学院鲁迅美术学院是经国家教育部批准的全日制普通本科艺术院校,学校先后被教育部评为国家大学生文化素质教育基地、高等学校红色经典艺术教育示范基地,被中国文联评为中国文艺舆情信息研究基地。
鲁迅美术学院注重对客观物象的写生训练和艺术语言探索,以研究自然规律为主。
实行主任导师负责的工作室制教学方法,开设了四个工作室:第一工作室为新古典风格,注重对传统油画的研究与创新。
第二工作室为新写实风格,注重对现代的写实绘画的研究;第三工作室为新表现风格,注重对表现主义绘画的研究;第四工作室为大型艺术工作室,以写实主义风格为主体,注重对现实及历史画的主题性创作研究。
3、四川美术学院四川美术学院是一所省属本科高校,是中国独立建制的31所普通高等艺术院校之一,是中国八大美院之一。
学院创办于1940年,时为四川省立艺术专科学校;1950年底调整更名为成都艺术专科学校,1953年与西南人民艺术学院合并,改为西南美术专科学校;1959年更名为四川美术学院。
2018年中国十大艺术类大学排名_2018艺术院校全国排名教育网权威发布2018年中国十大艺术类大学排名,更多2018年中国十大艺术类大学排名相关信息请访问教育网。
【导语】2018年哪些大学跻身中国艺术类大学排行榜前10强?哪些艺术类大学入选世界一流大学、世界高水平大学、中国顶尖大学和中国一流大学行列?大范文网给大家整理了最新公布的2018中国十大艺术类大学排行榜,供参考!2018全国十大艺术类大学排行榜在最新艾瑞深中国校友会网2018中国大学综合实力排行榜700强中,中央戏剧学院、中央音乐学院、中国音乐学院、中央美术学院并居校友会2018中国艺术类大学排行榜榜首,荣膺2018中国六星级大学,跻身世界高水平大学、中国顶尖大学行列。
北京电影学院、北京舞蹈学院、上海戏剧学院、上海音乐学院、中国美术学院、中国戏曲学院并列第5,荣膺2018中国五星级大学,跻身世界知名大学、中国一流大学行列。
.table{border-left:#cadde6 solid 1px;border-top:1px #cadde6 solid;} .table td{border-right:1px #cadde6 solid; border-bottom:1px #cadde6 solid; text-align:center; LINE-HEIGHT: 30px; }名次学校名称星级排名办学层次1中央戏剧学院6星级世界高水平、中国顶尖大学1中央美术学院6星级世界高水平、中国顶尖大学1中央音乐学院6星级世界高水平、中国顶尖大学1中国音乐学院6星级世界高水平、中国顶尖大学5北京电影学院5星级世界知名、中国一流大学5北京舞蹈学院5星级世界知名、中国一流大学5上海戏剧学院5星级世界知名、中国一流大学5上海音乐学院5星级世界知名、中国一流大学5中国美术学院5星级世界知名、中国一流大学5中国戏曲学院5星级世界知名、中国一流大学中央戏剧学院详情介绍中央戏剧学院的“戏剧戏曲学”是国家重点学科。
中国艺术类一本大学最新排名中国艺术类一本大学排名1、中央戏剧学院2、中央美术学院3、中央音乐学院4、中国音乐学院5、北京电影学院6、北京舞蹈学院7、上海戏剧学院8、上海音乐学院9、中国美术学院10、中国戏曲学院中国艺术类一本大学简介中央美术学院是中华人民共和国教育部直属的唯一一所高等美术学校。
现有在职教职工572人,在校本科生和研究生4700余名和来自十几个国家的留学生百余名。
学院教学科研面积共占地495亩,总建筑面积24.7万平方米。
艺术类专业有哪些艺术学是十二大学科门类之一,主要专业有表演、动画、舞蹈学、戏剧影视文学、录音艺术、音乐表演、书法学、环境设计、服装与服饰设计、绘画、雕塑、美术学、播音与主持艺术等,艺术类专业多达40多种。
而艺术学门类分为五个专业类,分别是艺术理论类、音乐与舞蹈学类、戏剧与影视学类、美术学类、设计学类。
艺术生艺考有什么专业1、艺术生艺考能报-艺术学理论类专业包含:艺术史论。
2、艺术生艺考能报-美术学类专业包含:美术学、雕塑、绘画、摄影、书法学(特设专业)、中国画(特设专业)。
3、艺术生艺考能报-音乐与舞蹈学类专业包含:音乐表演、音乐学、舞蹈学、作曲与作曲技术理论、舞蹈表演、舞蹈编导。
4、艺术生艺考能报-戏剧与影视学类专业包含:戏剧学、电影学、戏剧影视导演、表演、录音艺术、影视摄影与制作(特设专业)、戏剧影视美术设计、动画、戏剧影视文学、播音与主持艺术、广播电视编导。
5、艺术生艺考能报-设计学类专业包含:环境设计、产品设计、服装与服饰设计、公共艺术、工艺美术、艺术设计学、艺术与科技(特设专业)、视觉传达设计、数字媒体艺术。
艺考哪些专业好考艺考是否容易过,一般是取决于自身对艺术类专业知识及文化课知识的掌握程度,没有绝对的容易考的专业,关键在于艺术生根据自身条件和兴趣来进行选择。
但是也有些专业相对来说,比较容易过,比如报考一些院校相对偏的专业或者冷门专业,通过率也会大大增加。
年中国艺术类大学排名最新艺术院校排行榜2018年中国艺术类大学排名最新艺术院校排行榜2019中国艺术类大学排名1. 根据办学层次,分为世界高水平大学(特色)、中国一流大学(特色)中国高水平大学、区域一流大学、区域高水平大学、区域知名大学。
2. “双一流”学科建设高校包括中央戏剧学院、中央音乐学院、中央美术学院、中国音乐学院、中国美术学院、上海音乐学院。
3. 八大美院中的广州美术学院、鲁迅美术学院、四川美术学院、西安美术学院国家定位为“中国高水平大学”,而湖北美术学院、天津美术学院国家定位为“区域一流大学”。
2019中国艺术类民办大学排名1. 艺术类民办大学排名我是持怀疑态度的,在这12所艺术类民办大学中,实力最强的前三甲要数上海视觉艺术学院、四川传媒学院和吉林动画学院。
此榜单将河北传媒学院排在第一位,在此应该打个问号。
2. 每所艺术类民办大学的办学定位和学科专业优势特点不同,因此应该再做个细分排名,如美术学类、设计学类、戏剧与影视学类等。
3. 如果论学校区域地理位置,毫无疑问上海视觉艺术学院(2013年,经教育部批准,脱离复旦大学,从独立学院升格为普通民办高校,并更名为上海视觉艺术学院)应该排名全国第一,且录取分数也是最高的。
2019中国艺术类独立学院排名ZHONGGUODAXUEPAIMING1. 艺术类独立学院数量本身就较少,此排名算是比较中肯。
2. 中国传媒大学南广学院由于拥有较丰富媒体资源,因此社会影响力自然占有一定优势。
3. 三所艺术类独立学院中学费最高的是北京电影学院现代创意媒体学院,学费48000元/生/年。
2019中国音乐类大学排名2019中国美术类大学排名1. 上文也说了,艺术类大学更多指的是教育部批准的30所独立设置本科艺术院校,因此清华大学美术学院不纳入此评价中。
2. 考生和家长可将此看作是中国八大美院的实力比较。
西安美术学院是全国唯一拥有美术学、设计艺术学、艺术学理论三个一级学科博士点的美术学院。
本文部分内容来自网络整理,本司不为其真实性负责,如有异议或侵权请及时联系,本司将立即删除!== 本文为word格式,下载后可方便编辑和修改! ==2018全国美术专业大学排名_各省区市最好的美术院校你对2018全国美术专业大学排名情况了解吗,哪些美术学院比较好呢?下面是小编为大家收集的关于2018全国美术专业大学排名以及各省区市最好的美术院校,欢迎大家阅读借鉴!2018全国美术专业大学排名一、中央美术学院中央美术学院是中华人民共和国教育部直属的唯一一所高等美术学校。
设有中国画学院、造型学院、设计学院、建筑学院、人文学院、城市设计学院六个专业分院,并设有继续教育学院和附属中等美术学校。
成为中国高等美术教育领域具有代表性、引领性和示范性的美术院校,并在国际一流的美术院校中享有重要地位。
二、中国美术学院中国美术学院(China Academy of Art)位于浙江杭州,是中国第一所综合性的国立高等艺术学府,也是最早实施设计学的高等学府,是中国最早的艺术革命团体发祥地,中国唯一一个美术学国家重点学科所在地。
建于1928年,时称“国立艺术院”。
因国立艺术院蜚声海内外,是联合国科教文组织唯一承认学历的中国美术类大学。
三、南京艺术学院南京艺术学院是中国独立建制创办最早并延续至今的高等艺术学府,中国六大艺术学院之一,其前身是1912年中国美术教育的奠基人刘海粟先生约同画友创办的上海美术图画院,1930年更名为上海美术专科学校,由蔡元培先生任上海美专董事局主席,1959年定名为南京艺术学院。
已发展成为在国内外卓有影响的综合性高等艺术学府,是截至201X年全国唯一拥有艺术学五个一级学科博士点和博士后流动站的高校。
四、鲁迅美术学院鲁迅美术学院的前身是1938年建于陕西延安的鲁迅艺术学院,1938年毛泽东、周恩来等老一代领导人亲自倡导创建2018美术专业大学排名2018美术专业大学排名。
1945年学院迁校至东北并于1958年发展为鲁迅美术学院。
本文部分内容来自网络整理,本司不为其真实性负责,如有异议或侵权请及时联系,本司将立即删除!
== 本文为word格式,下载后可方便编辑和修改! ==
201X中国艺术类大学排名榜单
201X中国艺术类大学排名榜单公布了,准备报考艺术类专业的考生赶紧快来看看吧!在最新艾瑞深中国校友会网201X中国大学排行榜700强中,北京电影学院、中央戏剧学院、中央美术学院和中央音乐学院并列201X中国艺术类大学排行榜榜首,荣膺201X中国六星级大学,跻身世界高水平、中国顶尖大学行列;中国音乐学院列第5,北京舞蹈学院、上海戏剧学院、中国美术学院、中国戏曲学院并列第6,广州美术学院、鲁迅美术学院、上海音乐学院、四川美术学院、西安美术学院并列第10。
中国传媒大学南广学院、北京电影学院现代创意媒体学院、云南艺术学院文华学院名列201X中国艺术类独立学院排行榜前3强。
河北传媒学院、上海视觉艺术学院、四川传媒学院、武汉传媒学院、吉林动画学院名列201X中国艺术类民办大学排行榜前5名。
201X中国艺术类大学排行榜单。
考研艺术类院校最新排名择校指南考研艺术类院校最新排名择校指南我们在参加艺术类的考研时,选好一个院校是十分重要的,我们可以关注一些最新的排名资料进行参考。
店铺为大家精心准备了考研择校艺术类院校最新排名,欢迎大家前来阅读。
考研择校艺术类院校最新排名以下是2016-2017年艺术类高校研究生教育排行榜参考资料考研上线率高相对容易考取的学校一、历史就历史专业来说,世界史专业要比中国史专业容易一些。
中国史方面比较好考的高校有社会科学院、陕西师范大学、河北大学(该校的历史专业尤其是宋史在学界还是有一定声望的)、首都师范大学等;世界史方面,中国人民大学的世界史比热门高校稍微好考一点,但是15年之后该校扩大了推免生比例,考中难度上升。
新东方在线提醒考生们报考时一定要多多关注目标院校的招生政策。
二、汉语国际教育专业在北京地区,比较好考的学校是中央民族大学和首都师范大学。
但是需要注意的是,中央民族大学对报考该专业的学生有专业限制。
另一个就是中国人民大学,因为它的这个专业不是在北京而是在苏州校区上课,导致报考的人数不是很多,基础比较好的可以冲一冲这个学校。
北京之外的学校可以推荐的是辽宁大学。
辽宁大学的专业课二要考的教材中用比较容易记忆的的一本书代替了刘珣的那本《对外汉语教学引论》,而且复试采取全额录取的形式。
三、化工专业天津大学、大连理工大学、清华大学、西北大学等这些都是名列前茅的学校,不过这些学校此专业的考研情况是初试上线率低,复试淘汰率更高。
在类似的好学校里,北京化工大学就是一个比较好的选择,首先北化的化工专业在国内排名非常靠前,并且它的上线率也比较高。
报考院校好考不好考,说到底其实是一个因人而异的问题。
就算我们最终选择了一个相对好考的院校,也不代表我们就能轻松考上,个人的付出才是最重要的,同学们要理性看待这个问题,无论如何都要全力备考,做好万全的准备。
考研院校和专业的'选择一、专业的选择我们知道考研先要选择专业,然后再选择学校。
考研艺术硕士院校排名考研艺术硕士院校排名是考研生们择校时非常关注和参考的指标。
艺术硕士专业涵盖了美术、音乐、戏剧、电影、设计等诸多艺术门类,是一种高度专业化的研究型研究生教育。
那么,到底哪些高校排名靠前呢?一、中央美术学院中央美术学院坐落在中国的首都北京市,是我国综合实力最强的专业艺术学院之一。
中央美术学院的创始人徐悲鸿,是中国美术教育的开创者。
中央美术学院拥有国际一流的师资力量和设施条件,毕业生成功率极高,很多学生都能够在各大知名公司、影院等知名企业就业。
二、中国音乐学院中国音乐学院成立于1938年,坐落于美丽的杭州市。
作为我国最高层次的音乐艺术教育机构,它汇聚了大量的音乐艺术人才和教育资源,是国内音乐艺术专业培训的重要基地。
学校设置有中国音乐史、民族音乐、声乐等多个专业方向,注重学术研究的同时也重视实践能力的培养,为学生打好艺术创作的基础。
三、上海戏剧学院上海戏剧学院始建于1945年,是国内较早成立的以艺术电影为主的进修学院,近年来该校还增设了话剧、舞蹈、表演等专业。
由于始终保持着良好的办学传统和教学经验,上海戏剧学院已经成为国内影视戏剧领域的顶尖水平之一,名列全国艺术类研究生招生院校之一。
四、中央戏剧学院中央戏剧学院是我国最早创办的高等职业学院之一,创建于1949年,位于北京市海淀区西三环北路。
该校扎根于国内现实生活,深入挖掘艺术创新和人才培养,培养出了一大批政治素质高、演技精湛、接地气的艺术人才。
学校将人文性和实践性融入到教学过程和实践活动中,要求学生既有强大的文化底蕴,也要具备创新思维和解决问题的实际能力。
五、中央音乐学院中央音乐学院(原中央音乐学院、国立音乐专科学校、中央音乐学院附属音乐学校)是我国第一所专业化音乐学校,在近三十年间,在音乐思想、技术、组织及演出等方面取得了巨大的发展和创新。
该校是全国培养音乐人才最多、最全面的高等音乐学府之一,建立了许多世界一流师资团队和教育研究中心,实现了音乐人才培养、科研和社会服务的一体化。
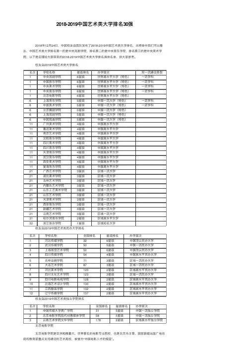
2018-2019中国艺术类⼤学排名30强 2018年12⽉24⽇,中国校友会团队发布了2018-2019中国艺术类⼤学排名,从榜单中我们可以看出,中国艺术类⼤学排名第⼀的是中央戏剧学院,排名第⼆的是中央⾳乐学院,排名第三的是中央美术学院,以下是店铺给⼤家带来的2018-2019中国艺术类⼤学排名具体名单,供⼤家参考。
校友会2019中国艺术类⼤学排名名次学校名称星级排名办学层次双⼀流建设类型1中央戏剧学院6星级世界⾼⽔平⼤学(特⾊)⼀流学科1中国⾳乐学院6星级世界⾼⽔平⼤学(特⾊)⼀流学科1中央美术学院6星级世界⾼⽔平⼤学(特⾊)⼀流学科1中央⾳乐学院6星级世界⾼⽔平⼤学(特⾊)⼀流学科1北京电影学院6星级世界⾼⽔平⼤学(特⾊)6上海⾳乐学院5星级中国⼀流⼤学(特⾊)⼀流学科6中国美术学院5星级中国⼀流⼤学(特⾊)⼀流学科6北京舞蹈学院5星级中国⼀流⼤学(特⾊)6上海戏剧学院5星级中国⼀流⼤学(特⾊)6中国戏曲学院5星级中国⼀流⼤学(特⾊)11⼴州美术学院4星级中国⾼⽔平⼤学11鲁迅美术学院4星级中国⾼⽔平⼤学11南京艺术学院4星级中国⾼⽔平⼤学11沈阳⾳乐学院4星级中国⾼⽔平⼤学11四川美术学院4星级中国⾼⽔平⼤学11四川⾳乐学院4星级中国⾼⽔平⼤学11天津⾳乐学院4星级中国⾼⽔平⼤学11武汉⾳乐学院4星级中国⾼⽔平⼤学11西安美术学院4星级中国⾼⽔平⼤学11星海⾳乐学院4星级中国⾼⽔平⼤学21⼴西艺术学院3星级区域⼀流⼤学21湖北美术学院3星级区域⼀流⼤学21吉林艺术学院3星级区域⼀流⼤学21内蒙古艺术学院3星级区域⼀流⼤学21⼭东⼯艺美术学院3星级区域⼀流⼤学21⼭东艺术学院3星级区域⼀流⼤学21天津美术学院3星级区域⼀流⼤学21西安⾳乐学院3星级区域⼀流⼤学21新疆艺术学院3星级区域⼀流⼤学21云南艺术学院3星级区域⼀流⼤学31哈尔滨⾳乐学院2星级区域⾼⽔平⼤学32浙江⾳乐学院1星级区域知名⼤学 校友会2019中国艺术类民办⼤学排名名次学校名称全国排名星级排名办学层次1河北传媒学院326星级中国顶尖民办⼤学2武汉传媒学院505星级中国⼀流民办⼤学3上海视觉艺术学院526星级中国顶尖民办⼤学4四川传媒学院544星级中国⾼⽔平民办⼤学5吉林动画学院713星级区域⼀流民办⼤学6⼤连艺术学院873星级区域⼀流民办⼤学7河北美术学院1202星级区域⾼⽔平民办⼤学8四川⽂化艺术学院1233星级区域⼀流民办⼤学9四川电影电视学院1282星级区域⾼⽔平民办⼤学10北海艺术设计学院1302星级区域⾼⽔平民办⼤学11江西服装学院1322星级区域⾼⽔平民办⼤学12辽宁传媒学院1372星级区域⾼⽔平民办⼤学 校友会2019中国艺术类独⽴学院排名名次学校名称全国排名星级排名办学层次1中国传媒⼤学南⼴学院315星级中国⼀流独⽴学院2北京电影学院现代创意媒体学院585星级中国⼀流独⽴学院3云南艺术学院⽂华学院1782星级区域⾼⽔平独⽴学院 北京电影学院 北京电影学院是亚洲规模最⼤、世界著名的电影专业院校,也是北京市主管、国家新闻出版⼴电总局和教育部重点⽀持建设的艺术⾼校,被誉为“中国电影⼈才的摇篮”。
中国艺术类大学排行及最牛专业推荐2018 中国哪些艺术类大学综合办学实力最强?哪些大学荣膺2017 中国六星级和六五大学?哪些大学跻身2017 中国艺术类顶尖大学和一流大学队列?为帮助各位考生更好择校,yjbys 小编为大家分享艺术类大学综合排名如下:
/ 油画/
中央美术学院
中国美术学院
四川美术学院
清华大学美术学院
广州美术学院
/ 中国画/
中央美术学院
中国美术学院
西安美术学院
天津美术学院
四川美术学院
/ 版画/
中央美术学院
中国美术学院
鲁迅美术学院
四川美术学院
天津美术学院
/ 雕塑/
中央美术学院。
本文部分内容来自网络整理,本司不为其真实性负责,如有异议或侵权请及时联系,本司将立即删除!== 本文为word格式,下载后可方便编辑和修改! ==2018全国美术专业大学排名_各省区市最好的美术院校你对2018全国美术专业大学排名情况了解吗,哪些美术学院比较好呢?下面是小编为大家收集的关于2018全国美术专业大学排名以及各省区市最好的美术院校,欢迎大家阅读借鉴!2018全国美术专业大学排名一、中央美术学院中央美术学院是中华人民共和国教育部直属的唯一一所高等美术学校。
设有中国画学院、造型学院、设计学院、建筑学院、人文学院、城市设计学院六个专业分院,并设有继续教育学院和附属中等美术学校。
成为中国高等美术教育领域具有代表性、引领性和示范性的美术院校,并在国际一流的美术院校中享有重要地位。
二、中国美术学院中国美术学院(China Academy of Art)位于浙江杭州,是中国第一所综合性的国立高等艺术学府,也是最早实施设计学的高等学府,是中国最早的艺术革命团体发祥地,中国唯一一个美术学国家重点学科所在地。
建于1928年,时称“国立艺术院”。
因国立艺术院蜚声海内外,是联合国科教文组织唯一承认学历的中国美术类大学。
三、南京艺术学院南京艺术学院是中国独立建制创办最早并延续至今的高等艺术学府,中国六大艺术学院之一,其前身是1912年中国美术教育的奠基人刘海粟先生约同画友创办的上海美术图画院,1930年更名为上海美术专科学校,由蔡元培先生任上海美专董事局主席,1959年定名为南京艺术学院。
已发展成为在国内外卓有影响的综合性高等艺术学府,是截至201X年全国唯一拥有艺术学五个一级学科博士点和博士后流动站的高校。
四、鲁迅美术学院鲁迅美术学院的前身是1938年建于陕西延安的鲁迅艺术学院,1938年毛泽东、周恩来等老一代领导人亲自倡导创建2018美术专业大学排名2018美术专业大学排名。
1945年学院迁校至东北并于1958年发展为鲁迅美术学院。
艺术类院校排名全国最好的艺校有哪些全国排名最好的艺术类院校主要有中央戏剧学院、中国⾳乐学院、中央美术学院、中央⾳乐学院、北京电影学院、上海⾳乐学院、中国美术学院等。
全国最好的艺术类名单名次学校名称星级排名1中央戏剧学院6星级1中国⾳乐学院6星级1中央美术学院6星级1中央⾳乐学院6星级1北京电影学院6星级6上海⾳乐学院5星级6中国美术学院5星级6北京舞蹈学院5星级6上海戏剧学院5星级6中国戏曲学院5星级11⼴州美术学院4星级11鲁迅美术学院4星级11南京艺术学院4星级11沈阳⾳乐学院4星级11四川美术学院4星级11四川⾳乐学院4星级11天津⾳乐学院4星级11武汉⾳乐学院4星级11西安美术学院4星级11星海⾳乐学院4星级21⼴西艺术学院3星级21湖北美术学院3星级21吉林艺术学院3星级21内蒙古艺术学院3星级21⼭东⼯艺美术学院3星级21⼭东艺术学院3星级21天津美术学院3星级21西安⾳乐学院3星级21新疆艺术学院3星级21云南艺术学院3星级31哈尔滨⾳乐学院2星级32浙江⾳乐学院1星级中央戏剧学院介绍中央戏剧学院,由中华⼈民共和国教育部直属,是中国⾼等戏剧教育联盟总部、亚洲戏剧教育研究中⼼总部和世界戏剧院校联盟秘书处所在地,世界戏剧院校联盟国际⼤学⽣戏剧节活动基地,国家⾸批“双⼀流”世界⼀流学科建设⾼校。
国家建设⾼⽔平⼤学公派研究⽣项⽬⾼校、国家“特⾊重点学科项⽬”建设⾼校、中国政府奖学⾦来华留学⽣接收院校。
中央戏剧学院拥有联合国教科⽂组织戏剧教育席位,是新中国第⼀所戏剧教育⾼等学校。
2018考研艺术学门类名校排行排序学校名称得分星级1 中国传媒大学100.00 5★2 中国美术学院92.36 5★3 上海音乐学院88.83 5★4 中央音乐学院88.21 5★5 东南大学85.95 5★6 清华大学79.91 5★7 中央戏剧学院79.21 5★8 四川大学78.87 5★9 上海大学78.83 5★10 中央美术学院77.10 5★11 南京师范大学76.81 5★12 武汉理工大学74.90 4★13 首都师范大学72.52 4★14 北京大学71.98 4★15 南京艺术学院70.49 4★16 北京电影学院69.75 4★17 广西艺术学院69.61 4★18 上海戏剧学院69.39 4★19 北京师范大学69.26 4★20 哈尔滨师范大学69.19 4★21 西安美术学院67.90 4★22 四川美术学院67.59 4★23 重庆大学67.05 4★24 东北师范大学66.40 4★25 山东艺术学院65.69 4★26 山东师范大学65.51 4★27 福建师范大学65.47 4★28 湖南师范大学64.05 4★29 河南大学63.78 4★30 苏州大学63.35 4★31 山西师范大学63.35 4★32 西南大学63.29 4★33 深圳大学63.20 4★34 安徽师范大学62.89 4★35 西北师范大学60.45 4★36 南京大学60.25 4★37 四川音乐学院59.94 4★38 天津大学59.79 4★39 四川师范大学59.39 4★40 贵州大学59.23 4★41 陕西师范大学59.17 4★42 山西大学58.88 4★。
2018-关于中国艺术类的大学排名word版本
本文部分内容来自网络整理,本司不为其真实性负责,如有异议或侵权请及时联系,本司将立即删除!
== 本文为word格式,下载后可方便编辑和修改! ==
关于中国艺术类的大学排名
1 北京电影学院北京 - - 6星级中国顶尖大学
2 中央音乐学院北京 - - 6星级中国顶尖大学
3 中央美术学院北京 - - 6星级中国顶尖大学
4 中央戏剧学院北京 - - 6星级中国顶尖大学
5 中国美术学院浙江 - - 5星级中国一流大学
6 中国音乐学院北京 - - 5星级中国一流大学
7 上海戏剧学院上海 - - 5星级中国一流大学
8 中国戏曲学院北京 - - 5星级中国一流大学
9 北京舞蹈学院北京 - - 5星级中国一流大学
10 鲁迅美术学院辽宁 - - 5星级中国一流大学
11 上海音乐学院上海 - - 4星级中国高水平大学
12 广州美术学院广东 - - 4星级中国高水平大学
13 四川美术学院重庆 - - 4星级中国高水平大学
14 西安美术学院陕西 - - 4星级中国高水平大学
15 南京艺术学院江苏 - - 3星级中国知名大学
16 山东艺术学院山东 - - 3星级中国知名大学
17 星海音乐学院广东 - - 3星级中国知名大学
18 山东工艺美术学院山东 - - 3星级中国知名大学
19 天津美术学院天津 - - 3星级中国知名大学。
本文部分内容来自网络整理,本司不为其真实性负责,如有异议或侵权请及时联系,本司将立即删除!
== 本文为word格式,下载后可方便编辑和修改! ==
考研艺术类院校最新排名择校指南
我们在参加艺术类的考研时,选好一个院校是十分重要的,我们可以关注
一些最新的排名资料进行参考。
小编为大家精心准备了考研择校艺术类院校最
新排名,欢迎大家前来阅读。
考研择校艺术类院校最新排名
以下是201X-201X年艺术类高校研究生教育排行榜参考资料
考研上线率高相对容易考取的学校
一、历史专业
就历史专业来说,世界史专业要比中国史专业容易一些。
中国史方面比较
好考的高校有社会科学院、陕西师范大学、河北大学(该校的历史专业尤其是宋史在学界还是有一定声望的)、首都师范大学等;世界史方面,中国人民大学的
世界史比其他热门高校稍微好考一点,但是15年之后该校扩大了推免生比例,考中难度上升。
新东方在线提醒考生们报考时一定要多多关注目标院校的招生
政策。
二、汉语国际教育专业
在北京地区,比较好考的学校是中央民族大学和首都师范大学。
但是需要
注意的是,中央民族大学对报考该专业的学生有专业限制。
另一个就是中国人
民大学,因为它的这个专业不是在北京而是在苏州校区上课,导致报考的人数
不是很多,基础比较好的同学可以冲一冲这个学校。
北京之外的学校可以推
荐的是辽宁大学。
辽宁大学的专业课二要考的教材中用比较容易记忆的的一本
书代替了刘珣的那本《对外汉语教学引论》,而且复试采取全额录取的形式。
三、化工专业
天津大学、大连理工大学、清华大学、西北大学等这些都是名列前茅的学校,不过这些学校此专业的考研情况是初试上线率低,复试淘汰率更高。
在类
似的好学校里,北京化工大学就是一个比较好的选择,首先北化的化工专业在
国内排名非常靠前,并且它的上线率也比较高。
报考院校好考不好考,说到底其实是一个因人而异的问题。
就算我们最终
选择了一个相对好考的院校,也不代表我们就能轻松考上,个人的付出才是最
重要的,同学们要理性看待这个问题,无论如何都要全力备考,做好万全的准备。
考研院校和专业的选择
一、专业的选择
我们知道考研先要选择专业,然后再选择学校。
为什么,因为专业是真
正落实到你自己的兴趣和你的专业选择上的。
考研专业分为很多种,例如,热门专业,是指那些就业前景较好,报考人
数较多的专业,比如金融学、国际贸易学、会计学、企业管理、计算机等,这
些专业竞争比较激烈,考取的难度较大;冷门专业,是指就业前景较差,报考人数较少的专业,比如哲学、历史学门类下面的大部分专业,以及工学门类下面
的地质工程、采矿工程等,这些专业报考的人数较少,录取的门坎较低,考取
比较容易。
要报考一个专业,无论是冷门还是热门,都要搞清楚这个专业是干
什么的,发展前景如何,千万不能望文生义。
专业选择要考虑的因素,包括两个方面:一是能力,二是兴趣。
就第一个方面来说,在选择专业时要考虑能力,也就是要清楚自己能干什么,比如金融学,这是一个很好的专业,在这个专业略微做出点名堂就可以赚
大钱、开名车、住洋房,这个专业很有诱惑性,但是要是你自己的数学不好的话,要选这个专业就不太实际了。
就第二个方面来说,选择专业是要考虑自己喜欢做什么,也就是自己的兴
趣爱好,兴趣是最好的额老师。
比如教育学下面有一个特殊教育专业,这个
专业的研究生毕业后很容易找工作,收入也很高,但这个专业要求整天与有身
体或心理残疾的儿童打交道,选不选这个专业就看个人兴趣了。
总之,专业的选择要考虑两个问题:一要弄明白这个专业是干什么的,就
业前景如何;二要客观的认识自己,自己的的兴趣是什么。
二、院校的选择
院校的选择也很重要,它关系着你以后在哪个城市就业以及你能否顺利的
考上这个学校,考上研究生。
因为一般的院校和重点院校的门槛还是不一样的,要看你自己选择怎么样的学校以及想在哪个城市生活。
具体来讲,主要考虑
以下几个方面:
一是个人的理想与抱负。
考研关系到一个人一生的发展,读研的机会成本
很高,一定要选一个能够实现个人抱负的大学,这样备考也有动力,读研也有
激情,如果选择一个自己不满意的院校,轻则郁闷三年,重则遗憾终生。