人教A版高中数学必修五高一《数列》单元测试卷.doc
- 格式:doc
- 大小:382.67 KB
- 文档页数:5
必修5--《数列》-单元测试卷--(有答案)必修5 数列单元测试题一、选择题(本大题共12小题,每小题5分,共60分.)1.S n是数列{a n}的前n项和,log2S n=n(n=1,2,3,…),那么数列{a n}( ) A.是公比为2的等比数列 B.是公差为2的等差数列C.是公比为12的等比数列 D.既非等差数列也非等比数列2.一个数列{a n},其中a1=3,a2=6,a n+2=a n+1-a n,则a5=( )A.6 B.-3 C.-12 D.-63.首项为a的数列{a n}既是等差数列,又是等比数列,则这个数列前n项和为( ) A.a n-1 B.Na C.a n D.(n-1)a4.设{a n}是公比为正数的等比数列,若a1=1,a5=16,则数列{a n}的前7项和为( ) A.63 B.64 C.127 D.1285.已知-9,a1,a2,-1四个实数成等差数列,-9,b1,b2,b3,-1五个实数成等比数列,则b2(a2-a1)的值等于( )A.-8 B.8 C.-98D.986.在-12和8之间插入n个数,使这n+2个数组成和为-10的等差数列,则n的值为( ) A.2 B.3 C.4 D.57.已知{a n}是等差数列,a4=15,S5=55,则过点P(3,a3),Q(4,a4)的直线的斜率为( )A.4 B.14C.-4 D.-148.等差数列{a n}的前n项和为S n,若a3+a17=10,则S19=( )A.55 B.95 C.100 D.1909.S n是等差数列{a n}的前n项和,若a2+a4+a15是一个确定的常数,则在数列{S n}中也是确定常数的项是( )A.S7 B.S4 C.S13D.S1610.等比数列{a n}中,a1+a2+a3+a4+a5=31,a2+a3+a4+a5+a6=62,则通项是( )A.2n-1 B.2n C.2n+1D.2n+211.已知等差数列{a n}中,|a3|=|a9|,公差d<0,则使其前n项和S n取得最大值的自然数n是( )A .4或5B .5或6C .6或7D .不存在12.若a ,b ,c 成等比数列,则方程ax 2+bx +c =0( )A .有两个不等实根B .有两相等的实根C .无实数根D .无法确定二、填空题(本大题共4小题,每小题5分,共20分.把答案填在题中横线上) 13.2,x ,y ,z,18成等比数列,则x =________. 14.若数列{a n }满足a n +1=⎩⎨⎧2a n ,0≤a n ≤1,a n -1,a n >1,且a 1=67,则a 2013=________.15.一个数列的前n 项和为S n =1-2+3-4+…+(-1)n +1n ,则S 17+S 33+S 50=____________. 16.设等比数列{a n }的公比q =12,前n 项和为S n ,则S 4a 4=________.三、解答题(本大题共6个小题,共70分.)17.(10分)设S n 为数列{a n }的前n 项和,已知a 1≠0,2a n -a 1=S 1·S n ,n ∈N *.(1)求a 1,a 2,并求数列{a n }的通项公式; (2)求数列{na n }的前n 项和.18.(12分)已知等比数列{a n },首项为81,数列{b n }满足b n =log 3a n ,其前n 项和为S n .(1)证明{b n }为等差数列;(2)若S11≠S12,且S11最大,求{b n}的公差d的范围.19.(12分)等差数列{a n}的各项均为正数,a1=3,前n项和为S n,{b n}为等比数列,b1=1,且b2S2=64,b3S3=960.(1)求a n与b n;(2)证明:1S1+1S2+…+1Sn<34.20.(12分)等比数列{a n}中,已知a1=2,a4=16.(1)求数列{a n}的通项公式;(2)若a3,a5分别为等差数列{b n}的第3项和第5项,试求数列{b n}的通项公式及前n项和S n.21.(12分)已知数列{a n}的前n项和为S n,且S n=2n2+n,n∈N*,数列{b n}满足a n=4log2b n +3,n∈N*.(1)求a n,b n;(2)求数列{a n·b n}的前n项和T n.22.(12分)已知数列{a n}满足a1=1,a n-2a n-1-2n-1=0(n∈N*,n≥2).(1)求证:数列{an2n}是等差数列;(2)若数列{a n}的前n项和为S n,求S n.必修5 数列 单元测试题 答案一、选择题1.解析 由log 2S n =n ,得S n =2n ,a 1=S 1=2,a 2=S 2-S 1=22-2=2,a 3=S 3-S 2=23-22=4,…由此可知,数列{a n }既不是等差数列,也不是等比数列. 答案 D2.解析 a 3=a 2-a 1=6-3=3,a 4=a 3-a 2=3-6=-3,a 5=a 4-a 3=-3-3=-6. 答案 D 3解析 由题意,知a n =a (a ≠0),∴S n =na . 答案 B4解析 a 5=a 1q 4=q 4=16,∴q =2.∴S 7=1-271-2=128-1=127. 答案 C5解析 a 2-a 1=-1--3=83,b 22=(-1)×(-9)=9,∴b 2=-3,∴b 2(a 2-a 1)=-3×83=-8. 答案 A 6解析 依题意,得-10=-12+82(n +2),∴n =3. 答案 B 7解析由a 4=15,S 5=55,得⎩⎨⎧a 1+3d =15,5a 1+5×42d =55.解得⎩⎨⎧a 1=3,d =4.∴a 3=a 4-d =11.∴P (3,11),Q (4,15).k PQ =15-114-3=4. 答案 A8解析S19=a1+a192×19=a3+a172×19=102×19=95. 答案 B9解析a2+a4+a15=a1+d+a1+3d+a1+14d=3a1+18d=3(a1+6d)=3a7,∴a7为常数.∴S13=a1+a132×13=13a7为常数.答案 C10解析∵a2+a3+a4+a5+a6=q(a1+a2+a3+a4+a5),∴62=q×31,∴q=2.∴S5=a11-251-2=31.∴a1=1,∴a n=2n-1. 答案 A11解析由d<0知,{a n}是递减数列,∵|a3|=|a9|,∴a3=-a9,即a3+a9=0.又2a6=a3+a9=0,∴a6=0. ∴S5=S6且最大.答案 B12解析a,b,c成等比数列,∴b2=ac>0. 而Δ=b2-4ac=ac-4ac=-3ac<0.∴方程ax2+bx+c=0无实数根.答案 C二、填空题13.解析设公比为q,则由2,x,y,z,18成等比数列.得18=2q4,∴q=± 3.∴x=2q=±2 3. 答案±2 314. 解析由题意,得a1=67,a2=127,a3=57,a4=107,a5=37,a6=67,a7=127,…,∴a2013=a3=57. 答案5715.解析S17=-8+17=9,S33=-16+33=17,S50=-25,∴S17+S33+S50=1. 答案 116.解析S4a4=a1⎣⎢⎡⎦⎥⎤1-⎝⎛⎭⎪⎫124⎝⎛⎭⎪⎫1-12a1⎝⎛⎭⎪⎫123=15. 答案15三、解答题17.解(1)令n=1,得2a1-a1=a21,即a1=a21,∵a1≠0,∴a1=1,令n=2,得2a2-1=S2=1+a2,解得a2=2.当n≥2时,由2a n-1=S n,2a n-1=S n-1两式相减得2a n-2a n-1=a n,即a n=2a n-1,于是数列{a n }是首项为1,公比为2的等比数列,即a n =2n -1. ∴数列{a n }的通项公式为a n =2n -1.(2)由(1)知,na n =n ·2n -1.记数列{n ·2n -1}的前n 项和为B n ,于是B n =1+2×2+3×22+…+n ×2n -1,① 2B n =1×2+2×22+3×23+…+n ×2n .②①-②得 -B n =1+2+22+…+2n -1-n ·2n =2n -1-n ·2n . 从而B n =1+(n -1)·2n . 18.解 (1)证明:设{a n }的公比为q ,则a 1=81,a n +1a n=q ,由a n >0,可知q >0, ∵b n +1-b n =log 3a n +1-log 3a n =log 3a n +1a n=log 3q (为常数),∴{b n }是公差为log 3q 的等差数列. (2)由(1)知,b 1=log 3a 1=log 381=4,∵S 11≠S 12,且S 11最大,∴⎩⎨⎧b 11≥0,b 12<0,即⎩⎨⎧b 1+10d ≥0,b 1+11d <0.⎩⎪⎨⎪⎧d ≥-b 110=-25,d <-b111=-411.∴-25≤d <-411.19.解 (1)设{a n }的公差为d ,{b n }的公比为q ,则d >0,q ≠0,a n =3+(n -1)d ,b n =q n -1,依题意有⎩⎨⎧b 2S 2=+d q =64,b 3S 3=+3dq 2=960.解得⎩⎨⎧d =2,q =8,或⎩⎪⎨⎪⎧d =-65,q =403,(舍去).故a n =2n +1,b n =8n -1.(2)证明:由(1)知S n =3+2n +12×n =n (n +2),1S n =1n n +=12⎝ ⎛⎭⎪⎫1n -1n +2, ∴1S 1+1S 2+…+1S n =11×3+12×4+13×5+…+1n n +=12⎝ ⎛⎭⎪⎫1-13+12-14+13-15+…+1n -1n +2=12⎝ ⎛⎭⎪⎫1+12-1n +1-1n +2=34-2n +3n +n +∵2n +3n +n +>0 ∴1S 1+1S 2+…+1S n <34.20.解 (1)设{a n }的公比为q ,由已知,得16=2q 3,解得q =2,∴a n =a 1q n -1=2n .(2)由(1)得a 3=8,a 5=32,则b 3=8,b 5=32. 设{b n }的公差为d ,则有⎩⎨⎧b 1+2d =8,b 1+4d =32,解得⎩⎨⎧b 1=-16,d =12.从而b n =-16+12(n -1)=12n -28. 所以数列{b n }的前n 项和S n =n -16+12n -2=6n 2-22n .21.解 (1)由S n =2n 2+n ,得当n =1时,a 1=S 1=3;当n ≥2时,a n =S n -S n -1=4n -1.∴a n =4n -1(n ∈N *). 由a n =4log 2b n +3=4n -1,得b n =2n -1(n ∈N *). (2)由(1)知a n ·b n =(4n -1)·2n -1,n ∈N *, ∴T n =3+7×2+11×22+…+(4n -1)×2n -1, 2T n =3×2+7×22+…+(4n -5)×2n -1+(4n -1)×2n .∴2T n -T n =(4n -1)×2n -[3+4(2+22+…+2n -1]=(4n -5)2n +5. 故T n =(4n -5)2n +5.22.解 (1)∵a n -2a n -1-2n -1=0,∴a n 2n -a n -12n -1=12,∴{a n2n }是以12为首项,12为公差的等差数列.(2)由(1),得a n 2n =12+(n -1)×12,∴a n =n ·2n -1,∴S n =1·20+2·21+3·22+…+n ·2n -1① 则2S n =1·21+2·22+3·23+…+n ·2n ② ①-②,得-S n=1+21+22+…+2n-1-n·2n=-2n1-2-n·2n=2n-1-n·2n,∴S n=(n-1)·2n+1.。
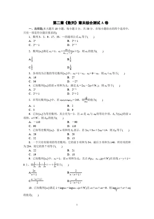
第二章《数列》章末综合测试A 卷一、选择题(本大题共10小题,每小题5分,共50分.在每小题给出的四个选项中,只有一项是符合题目要求的)1.数列3,5,9,17,33,…的通项公式a n 等于( )A .2nB .2n +1C .2n -1D .2n +12.数列{a n }满足a 1=1,a n =a n -1a n -1+1(n ≥2),则a 5的值为( ) A.13B.14C.15D.163.各项均为正数的等比数列{a n }中,a 2=1-a 1,a 4=9-a 3,则a 4+a 5等于( )A .16B .27C .36D .-274.已知数列{a n }的前n 项和为S n ,满足S n =2a n -2(n ∈N +),则a n 等于( )A .2nB .2n +1C .2n +1D .2n +25.在等比数列{a n }中,若a 3a 5a 7a 9a 11=243,则a 29a 11的值为( ) A .1 B .2C .3D .96.已知{a n }为等差数列,其公差为-2,且a 7是a 3与a 9的等比中项,S n 为{a n }的前n 项和,n ∈N *,则S 10的值为( )A .-110B .-90C .90D .1107.已知等差数列{a n },前n 项和用S n 表示,若2a 5+3a 7+2a 9=14,则S 13等于( )A .26B .28C .52D .138.一个只有有限项的等差数列,它的前5项和为34,最后5项和为146,所有项的和为234,则它的第7项等于( )A .22B .21C .19D .189.已知数列{a n }中,a 1=1,前n 项和为S n ,且点P (a n ,a n +1)(n ∈N *)在直线x -y +1=0上,则1S 1+1S 2+1S 3+…+1S n等于( ) A.2n n +1B.2n (n +1)C.n (n +1)2D.n 2(n +1)10.已知数列{a n }满足1+log 3a n =log 3a n +1(n ∈N *)且a 2+a 4+a 6=9,则log 13(a 5+a 7+a 9)的值是( )A.15 B .-15C .5D .-5二、填空题(本大题共5小题,每小题4分,共20分.把答案填在题中的横线上)11.等比数列{a n }的前n 项和为S n ,已知S 1,2S 2,3S 3成等差数列,则数列{a n }的公比为________.12.已知{a n }是等差数列,a 4=-20,a 16=16,则|a 1|+|a 2|+…+|a 20|=________.13.数列{a n }是等差数列,若a 1+1,a 3+3,a 5+5构成公比为q 的等比数列,则q =________.14.在数列{a n }和{b n }中,b n 是a n 和a n +1的等差中项,a 1=2且对任意n ∈N *都有3a n +1-a n =0,则数列{b n }的通项b n =________.15.已知各项均为正数的数列{a n }满足:a 1=a 3,a 2=1,a n +2=11+a n,则a 9+a 10=________.三、解答题(本大题共5小题,共50分.解答应写出必要的文字说明、证明过程或演算步骤)16.(本小题满分10分)已知数列{a n }为等差数列,且a 3=5,a 7=13.(1)求数列{a n }的通项公式;(2)若数列{b n }满足a n =log 4b n ,求数列{b n }的前n 项和T n .17.(本小题满分10分)等差数列{a n }中,前三项分别为x ,2x ,5x -4,前n 项和为S n ,且S k =2 550.18.(本小题满分10分)已知数列{log 2(a n -1)}(n ∈N *)为等差数列,且a 1=3,a 3=9.(1)求数列{a n }的通项公式;(2)证明:1a 2-a 1+1a 3-a 2+…+1a n +1-a n<1.19.(本小题满分10分)已知首项都是1的两个数列{a n },{b n }(b n ≠0,n ∈N *),满足a n b n +1-a n +1b n +2b n +1b n =0.(1)令c n =a n b n,求数列{c n }的通项公式; (2)若b n =3n -1,求数列{a n }的前n 项和S n .20.(本小题满分10分)甲、乙两超市同时开业,第一年的全年销售额为a 万元,由于经营方式不同,甲超市前n 年的总销售额为a 2(n 2-n +2)万元,乙超市第n 年的销售额比前一年销售额多a ⎝⎛⎭⎫23n -1万元.(1)求甲、乙两超市第n 年销售额的表达式;(2)若其中某一超市的年销售额不足另一超市的年销售额的50%,则该超市将被另一超市收购,判断哪一超市有可能被收购?如果有这种情况,将会出现在第几年?参考答案一、选择题1.解析:选B.由于3=2+1,5=22+1,9=23+1,…,所以通项公式是a n =2n +1,故选B.2.解析:选C.依题意a n >0且n ≥2时,1a n =1+1a n -1,即1a n -1a n -1=1, ∴数列{1a n}是以1为首项,1为公差的等差数列. ∴1a 5=1+(5-1)×1=5,∴a 5=15.故选C. 3.解析:选B.由a 2=1-a 1,a 4=9-a 3,得a 1+a 2=1,a 3+a 4=9,所以a 3+a 4a 1+a 2=9=q 2, 因为数列的各项都为正数,所以q =3,a 4+a 5a 3+a 4=q =3,所以a 4+a 5=27. 4.解析:选A.当n ≥2时,S n -1=2a n -1-2.∴a n =2a n -2a n -1,∴a n a n -1=2. 又a 1=2,∴a n =2n ,故选A.5.解析:选C.因为{a n }是等比数列,所以a 3a 11=a 5a 9=a 27,因此a 3a 5a 7a 9a 11=a 57=243,解得a 7=3,又因为a 29=a 7a 11,所以a 29a 11=a 7=3.故选C.6.解析:选D.由题意得(a 1-12)2=(a 1-4)(a 1-16),解得a 1=20.S 10=10a 1+10×92×(-2)=110.故选D. 7.解析:选A.∵a 5+a 9=2a 7,∴2a 5+3a 7+2a 9=7a 7=14,∴a 7=2,∴S 13=(a 1+a 13)×132=a 7×13=26.故选A. 8.解析:选D.据题意知a 1+a 2+a 3+a 4+a 5=34,a n -4+a n -3+a n -2+a n -1+a n =146,又∵a 1+a n =a 2+a n -1=a 3+a n -2=a 4+a n -3=a 5+a n -4,∴a 1+a n =36.又S n =12n (a 1+a n )=234,∴n =13,∴a 1+a 13=2a 7=36,∴a 7=18.故选D.9.解析:选A.依题意有a n -a n +1+1=0,即a n +1-a n =1,所以{a n }是等差数列,且a n =1+(n -1)=n ,于是S n =n (n +1)2, 所以1S n =2n (n +1)=2⎝⎛⎭⎫1n -1n +1, 所以1S 1+1S 2+1S 3+…+1S n=2⎝⎛⎭⎫1-12+12-13+…+1n -1n +1 =2n n +1.故选A. 10.解析:选D.由1+log 3a n =log 3a n +1(n ∈N *),得a n +1=3a n ,即数列{a n }是公比为3的等比数列.设等比数列{a n }的公比为q ,又a 2+a 4+a 6=9,则log 13(a 5+a 7+a 9)=log 13[q 3(a 2+a 4+a 6)]=log 13(33×9)=-5.二、填空题11.解析:由题意,知4S 2=S 1+3S 3.①当q =1时,4×2a 1=a 1+3×3a 1.即8a 1=10a 1,a 1=0不符合题意,∴q ≠1;②当q ≠1时,应有4×a 1(1-q 2)1-q =a 1(1-q )1-q +3×a 1(1-q 3)1-q,化简得3q 2=q ,得q =13或q =0(舍去). 答案:1312.解析:a 16-a 4=12d =36,∴d =3,a n =3n -32.∴当n ≤10时,a n <0,当n ≥11时,a n >0.|a 1|+|a 2|+…+|a 20|=-(a 1+a 2+…+a 10)+(a 11+a 12+…+a 20)=(a 20-a 10)+(a 19-a 9)+…+(a 11-a 1)=100d =300.答案:30013.解析:设等差数列的公差为d ,则a 3=a 1+2d ,a 5=a 1+4d ,∴(a 1+2d +3)2=(a 1+1)(a 1+4d +5),解得d =-1,∴q =a 3+3a 1+1=a 1-2+3a 1+1=1. 答案:114.解析:∵由3a n +1-a n =0,可得a n +1a n=13(n ∈N *), ∴数列{a n }是公比为13的等比数列.因此a n =2×⎝⎛⎭⎫13n -1.故b n =12(a n +a n +1) =12⎣⎡⎦⎤2×⎝⎛⎭⎫13n -1+2×⎝⎛⎭⎫13n =43⎝⎛⎭⎫13n -1=4×⎝⎛⎭⎫13n . 答案:4×⎝⎛⎭⎫13n15.解析:由a n +2=11+a n ,令n =1,得a 3=11+a 1,由a 1=a 3,解得a 3=5-12,由a n +2=11+a n,求得a 5=a 7=a 9=5-12.令n =2,得a 4=12;令n =4,得a 6=23,令n =6,得a 8=35,令n =8,得a 10=58,所以a 9+a 10=5-12+58=45+18. 答案:1+458三、解答题16.解:(1)设a n =a 1+(n -1)d ,则⎩⎪⎨⎪⎧a 1+2d =5,a 1+6d =13, 解得a 1=1,d =2.所以{a n }的通项公式为a n =1+(n -1)×2=2n -1.(2)依题意得b n =4a n =42n -1,因为b n +1b n =42n +142n -1=16, 所以{b n }是首项为b 1=41=4,公比为16的等比数列,所以{b n }的前n 项和T n =4×(1-16n )1-16=415(16n -1). 17.解:(1)由4x =x +5x -4,得x =2,∴a n =2n ,S n =n (n +1),∴k (k +1)=2 550,得k =50.(2)∵S n =n (n +1),∴1S n =1n (n +1)=1n -1n +1, ∴T =⎝⎛⎭⎫1-12+⎝⎛⎭⎫12-13+…+⎝⎛⎭⎫1n -1n +1 =1-1n +1=n n +1. 18.解:(1)设等差数列{log 2(a n -1)}的公差为d .由a 1=3,a 3=9,得log 2(9-1)=log 2(3-1)+2d ,则d =1.所以log 2(a n -1)=1+(n -1)×1=n ,即a n =2n +1.(2)证明:因为1a n +1-a n =12n +1-2n =12n , 所以1a 2-a 1+1a 3-a 2+…+1a n +1-a n=121+122+123+…+12n =1-12n <1. 19.解:(1)因为a n b n +1-a n +1b n +2b n +1b n =0,b n ≠0(n ∈N *),所以a n +1b n +1-a n b n=2,即c n +1-c n =2. 所以数列{c n }是以首项c 1=1,公差d =2的等差数列,故c n =2n -1.(2)由b n =3n -1知a n =c n b n =(2n -1)3n -1,于是数列{a n }的前n 项和S n =1×30+3×31+5×32+…+(2n -1)×3n -1,3S n =1×31+3×32+…+(2n -3)×3n -1+(2n -1)×3n ,相减得-2S n =1+2×(31+32+…+3n -1)-(2n -1)×3n =-2-(2n -2)3n ,所以S n =(n -1)3n +1.20.解:(1)设甲、乙两超市第n 年的销售额分别为a n ,b n .则有a 1=a ,当n ≥2时,a n =a 2(n 2-n +2)-a 2[(n -1)2-(n -1)+2] =(n -1)a ,∴a n =⎩⎪⎨⎪⎧a , n =1,(n -1)a , n ≥2. b n =b 1+(b 2-b 1)+(b 3-b 2)+…+(b n -b n -1)=⎣⎡⎦⎤3-2⎝⎛⎭⎫23n -1a (n ∈N *). (2)易知b n <3a ,所以乙超市将被甲超市收购,由b n <12a n ,得⎣⎡⎦⎤3-2⎝⎛⎭⎫23n -1a <12(n -1)a . ∴n +4⎝⎛⎭⎫23n -1>7,∴n ≥7,即第7年乙超市的年销售额不足甲超市的一半,乙超市将被甲超市收购.。
第二章数列单元综合测试时间:120分钟 分值:150分第Ⅰ卷(选择题,共60分)1.数列{2n +1}的第40项a 40等于( ) A .9 B .10 C .40D .41解析:a 40=2×40+1=81=9.答案:A2.等差数列{2-3n }中,公差d 等于( ) A .2 B .3 C .-1D .-3解析:设a n =2-3n ,则an +1-a n =[2-3(n +1)]-(2-3n )=-3. 答案:D3.数列{a n }的通项公式是a n =2n ,S n 是数列{a n }的前n 项和,则S 10等于( )A .10B .210C .210-2D .211-2解析:∴数列{a n }是公比为2的等比数列且a 1=2.答案:D4.在等差数列{a n }中,前n 项和为S n ,若a 7=5,S 7=21,那么S 10等于( ) A .55 B .40 C .35D .70解析:设公差为d ,则⎩⎪⎨⎪⎧a 1+6d =5,7a 1+21d =21,解得d =23,a 1=1,则S 10=10a 1+45d =40. 答案:B5.等比数列{a n }的前n 项和为S n ,且4a 1,2a 2,a 3成等差数列.若a 1=1,则S 4等于( ) A .7 B .8 C .15D .16解析:设公比为q ,由于4a 1,2a 2,a 3成等差数列, 则4a 2=4a 1+a 3,所以4q =4+q 2,解得q =2. 所以S 4=a 1(1-q 4)1-q =1-241-2=15.答案:C6.等差数列{a n }的前n 项和为S n, 若a 3+a 17=10,则S 19的值是( ) A .55 B .95 C .100D .不确定解析:a 3+a 17=a 1+a 19,∴S 19=19(a 1+a 19)2=192×10=95.答案:B7.设{a n }是公差为正数的等差数列,若a 1+a 2+a 3=15,a 1a 2a 3=80,则a 11+a 12+a 13=( )A .120B .105C .90D .75解析:{a n }是公差为正数的等差数列,若a 1+a 2+a 3=15,即3a 2=15,则a 2=5. 又a 1a 2a 3=80,∴a 1a 3=(5-d )(5+d )=16,∴d =3.答案:B8.一个只有有限项的等差数列,它前5项的和为34,最后5项的和为146,所有项的和为234,则它的第7项等于( )A .22B .21C .19D .18解析:设该数列有n 项,且首项为a 1,末项为a n, 公差为d .则依题意有⎩⎪⎨⎪⎧5a 1+10d =34,①5a n -10d =146,②a 1+an2·n =234,③①+②可得a 1+a n =36.代入③得n =13.从而有a 1+a 13=36. 又所求项a 7恰为该数列的中间项,∴a 7=a 1+a 132=362=18.故选D.答案:D9.三个不同的实数a ,b ,c 成等差数列,又a ,c ,b 成等比数列,则ab 等于( )A .-2B .2C .-4D .4解析:∵2b =a +c ,∴c =2b -a .∵c 2=ab ,∴a 2-5ab +4b 2=0,∴a =b (舍去)或a =4b ,∴a b=4. 答案:D10.已知等比数列{a n }满足a n >0,n =1,2,…,且a 5·a 2n -5=22n (n ≥3),则当n ≥1时,log 2a 1+log 2a 3+…+log 2a 2n -1等于( )A .n (2n -1)B .(n +1)2C .n 2D .(n -1)2解析:设公比为q ,答案:C11.在一直线上共插有13面小旗,相邻两面小旗之间距离为10 m ,在第一面小旗处有一个人,把小旗全部集中到一面小旗的位置上,每次只能拿一面小旗,要使他走的路程最短,应集中到哪一面小旗的位置上( )A .7B .6C .5D .4解析:图1如图1所示,设将旗集中到第x 面小旗处,则从第一面旗到第x 面旗共走路程为10(x-1)m ,然后回到第二面旗处再到第x 面处的路程是20(x -2)m ,…,从第x -1面到第x 面来回共20 m ,从第x 面处到第x +1面处路程为20 m ,从第x 面到第x +2面处的路程为20×2 m ,….总共的路程为s =10(x -1)+20(x -2)+20(x -3)+…+20×1+20×1+20×2+…+20×(13-x )=10(x -1)+20·(x -2)(x -1)2+20·(13-x )(14-x )2=10[(x -1)+(x -2)(x -1)+(13-x )(14-x )]=10(2x 2-29x +183)=20(x -294)2+31154.∵x ∈N *,∴当x =7时,s 有最小值为780 m , 即将旗集中到第7面小旗处,所走的路程最短. 答案:A12.若数列{a n }是等差数列,首项a 1>0,a 2007+a 2008>0,a 2007·a 2008<0,则使前n 项和S n >0成立的最大自然数n 是( )A .4013B .4014C .4015D .4016解析:由已知a 1>0,a 2007·a 2008<0,可得数列{a n }为递减数列,即d <0,a 2007>0,a 2008<0.利用等差数列的性质及前n 项和公式可得所以使前n 项和S n >0成立的最大自然数n 是4014,选B. 答案:B第Ⅱ卷(非选择题,共90分)二、填空题(每小题5分,共20分)13.数列{a n }中的前n 项和S n =n 2-2n +2,则通项公式a n =________. 解析:当n =1时,a 1=S 1=1;当n >1时,a n =S n -S n -1=(n 2-2n +2)-[(n -1)2-2(n -1)+2]=2n -3. 又n =1时,2n -3≠a 1,所以有a n =⎩⎪⎨⎪⎧1,n =1,2n -3,n >1.答案:a n =⎩⎪⎨⎪⎧1,n =1,2n -3,n >114.设{a n }为公比q >1的等比数列,若a 2006和a 2007是方程4x 2-8x +3=0的两根,则a 2008+a 2009=________.解析:方程4x 2-8x +3=0的两根是12和32,答案:1815.等差数列{a n }中,若S 12=8S 4,且d ≠0,则a 1d等于________.解析:∵S 12=12a 1+66d ,S 4=4a 1+6d ,又S 12=8S 4,∴12a 1+66d =32a 1+48d .∴20a 1=18d ,∴a 1d =1820=910.答案:91016.用[x ]表示不超过x 的最大整数,如[0.78]=0,[3.01]=3,如果定义数列{x n }的通项公式为x n =[n5](n ∈N *),则x 1+x 2+…+x 5n =________.解析:x 5n =[5n5]=[n ]=n ,则x 1+x 2+…+x 5n =5[x 5+x 10+x 15+…+x 5(n -1)]+x 5n =5(1+2+…+n -1)+n =52n 2-32n .答案:52n 2-32n三、解答题(写出必要的计算步骤,只写最后结果不得分,共70分)17.(本小题10分)三个数成等比数列,其积为512,如果第一个数与第三个数各减2,则成等差数列.求这三个数.解:设三数为aq,a ,aq .由题意,得⎩⎪⎨⎪⎧a 3=512,(a q -2)+(aq -2)=2a , 解得⎩⎪⎨⎪⎧a =8,q =2或⎩⎪⎨⎪⎧a =8,q =12.所以这三个数为4,8,16或16,8,4.18.(本小题12分)求和:(a -1)+(a 2-2)+…+(a n -n ),a ≠0. 解:原式=(a +a 2+…+a n )-(1+2+…+n )=(a +a 2+…+a n )-n (n +1)2=⎩⎪⎨⎪⎧a (1-a n )1-a-n (n +1)2(a ≠1),n -n 22(a =1).19.(本小题12分)已知数列{a n }是等差数列,a 2=6,a 5=18;数列{b n }的前n 项和是T n ,且T n +12b n =1.(1)求数列{a n }的通项公式; (2)求证:数列{b n }是等比数列. 解:(1)设{a n }的公差为d ,∴⎩⎪⎨⎪⎧a 1+d =6,a 1+4d =18,解得a 1=2,d =4. ∴a n =2+4(n -1)=4n -2.(2)证明:当n =1时,b 1=T 1,由T 1+12b 1=1,得b 1=23.当n ≥2时,∵T n =1-12b n ,Tn -1=1-12b n -1,∴T n -T n -1=12(bn -1-b n ).∴b n =12(b n -1-b n ).∴b n =13b n -1. ∴{b n }是以23为首项,13为公比的等比数列.20.(本小题12分)假设某市2007年新建住房400万平方米,其中有250万平方米是中低价房.预计在今后的若干年内,该市每年新建住房面积平均比上一年增长8%.另外,每年新建住房中,中低价房的面积均比上一年增加50万平方米.那么,到哪一年底,该市历年所建中低价房的累计面积(以2007年为累计的第一年)等于4750万平方米?解:设n 年后该市每年所建中低价房的面积为a n , 由题意可知{a n }是等差数列,其中a 1=250,d =50,则S n =250n +n (n -1)2×50=25n 2+225n .令25n 2+225n =4750,即n 2+9n -190=0, 解得n =-19或n =10. 又n 是正整数,∴n =10.到2016年底,该市历年所建中低价房的累计面积等于4750万平方米. 21.(本小题12分)设a 1=1,a 2=53,an +2=53an +1-23a n (n ∈N *).(1)令b n =an +1-a n (n ∈N *),求数列{b n }的通项公式;(2)求数列{na n }的前n 项和S n .解:(1)因为b n +1=a n +2-a n +1=53a n +1-23a n -a n +1=23(a n +1-a n )=23b n ,所以数列{b n }是首项为b 1=a 2-a 1=23,公比为23的等比数列,所以b n =(23)n (n =1,2,…).22.(本小题12分)将数列{a n }中的所有项按每一行比上一行多一项的规则排成如下数表:a 1 a 2 a 3 a 4 a 5 a 6 a 7 a 8 a 9 a 10记表中的第一列数a 1,a 2,a 4,a 7,…构成的数列为{b n },b 1=a 1=1.S n 为数列{b n }的前n 项和,且满足2b nb n S n -S 2n=1(n ≥2).(1)证明数列{1S n}成等差数列,并求数列{b n }的通项公式;(2)上表中,若从第三行起,每一行中的数按从左到右的顺序均构成等比数列,且公比为同一个正数.当a 81=-491时,求上表中第k (k ≥3)行所有项的和.解:(1)证明:由已知,当n ≥2时,2b nb n S n -S 2n=1,又因为S n =b 1+b 2+…+b n ,又因为S 1=b 1=a 1=1,所以数列{1S n }是首项为1,公差为12的等差数列.由上可知1S n =1+12(n -1)=n +12,即S n =2n +1.所以当n ≥2时,b n =S n -S n -1=2n +1-2n =-2n (n +1). 因此b n =⎩⎪⎨⎪⎧1,n =1,-2n (n +1),n ≥2. (2)设题表中从第三行起,每行的公比都为q ,且q >0.因为1+2+…+12=12×132=78,所以表中第1行至第12行共含有数列{a n }的前78项.故a 81在表中第13行第三列,因此a 81=b 13·q 2=-491.又b 13=-213×14,所以q =2.记表中第k (k ≥3)行所有项的和为S ,即S =b k (1-q k )1-q =-2k (k +1)·1-2k 1-2=2k (k +1)(1-2k )(k ≥3).。
高中数学学习材料 (灿若寒星 精心整理制作)2013.9一:选择题(每题5分,共50分)1.等差数列}{n a 中,已知前15项的和9015=S ,则8a 等于………( )A .245B .12C .445D .62.等比数列{a n }中,如果817643=⋅⋅⋅a a a a ,则91a a ⋅的值为……( )A .3B .9C .±3D .±93.{}n a 为等差数列,2-=d ,5031741=++++a a a a ,则=++++421062a a a a ( ) (A). 60 (B). 82- (C). 182 ( D). 96-4、已知等比数列{a n } 的前n 项和为n S , 若S 4=1,S 8=4,则a 13+a 14+a 15+a 16=( ) A .7 B .16 C .27 D .645.数列}{n a 的前n 项和为n S ,若)(23*N n a S n n ∈+=,则这个数列一定是( ) A .等比数列B .等差数列C .从第二项起是等比数列D .从第二项起是等差数列6.等差数列{a n }中,4,84111073=-=-+a a a a a .记n n a a a S +++= 21,S 13等于( )A .168B .156C .152D .787.在等比数列{a n }中,100992019109,),0(a a b a a a a a a +=+≠=+则等于( )A .89abB .9)(abC .910abD .10)(ab8.{}n a 是等差数列,S 10>0,S 11<0,则使n a <0的最小的n 值是 ( )A .5B .6C .7D .89.已知等差数列{a n }的前m 项和为100,前3 m 项的和为-150,则它的前2m 项的和为 ( )A .25B .—25C .50D .7510..已知数列{}n a 的前n 项和)(3为常数k k S n n +=,那么下述结论正确的是( ) A .k 为任意实数时,{}n a 是等比数列 B .k = -1时,{}n a 是等比数列C .k =0时,{}n a 是等比数列D .{}n a 不可能是等比数列设二、填空题(本大题共5小题,每小题5分,共25分) 11.43,)1(112161211=⋅+++++=+n n n S S n n S 且 ,则n 的值为 12.夏季某高山上的温度从山脚起,每升高100米降低0.7C ︒,已知山顶处的温度是14.8C ︒,山脚温度是26C ︒,则这山的山顶相对于山脚处的高度是13.设数列{a n }的前n 项和为=++++-=||||||,1410212a a a n n S n 则 14.等差数列{a n }、{b n }的前n 项和分别为n S 、n T ,若77,322b a n n T S nn 则++==15.等比数列}{n a 公比为q ,前n 项和为n S ,若S n+1,S n ,S n+2成等差数列,则q 为 数列单元过关答题纸一、选择题 1 2 3 4 5 6 7 8 9 10二、填空题11、 12、 13、 14、 15、 三、解答题(共75分)16.等比数列{a n }的前n 项和n S ,且a 3=23, S 3= 29,求n a 的表达式.17.数列{a n }的前n 项和为n S ,且11=a ,113n n a S +=,)2(≥n求:(I )432,,a a a 的值及数列{a n }的通项公式; (II )2462n a a a a ++++的值.18.数列{a n }中,a 1=1,当n ≥2时,其前n 项和S n 满足n n a S =2 .(n S -21)(1)求n S 的表达式; (2)设n b = 12+n S n ,求数列{}n b 的前n 项和n T19. 已知}{n a 是等差数列,其前n 项和为n S ,已知,153,1193==S a(1)求n a ; (2)设n n b a 2log =,证明}{n b 是等比数列,并求其前n 项和T n .20.设正项等比数列{}n a 的首项211=a ,前n 项和为n S ,且0)12(21020103010=++-S S S 。
单元提分卷(6)等比数列1、等比数列,33,66x x x ++,…的第四项等于( ) A.-24 B.0C.12D.242、已知等比数列{}n a 中, 13a =,且1234,2,a a a 成等差数列,则345a a a ++=( ) A.33B. 72C. 84D. 1893、等比数列{}n a 的各项为正数,且564718a a a a +=,则3132310log log log a a a +++=L ( ) A.12B.10C.8D.32log 5+4、若等比数列的首项为98,末项为13,公比为23,则这个数列的项数为( )A.3B.4C.5D.65、在等比数列{}n a 中,n T 表示前n 项的积,若51T =,则下列一定正确的是( ) A. 11a = B. 31a = C. 41a = D. 51a =6、设数列{}n a ,( ).A.若2*4,,n n a n N =∈则{}n a 为等比数列. B.若2*21,n n n a a a n N ++⋅=∈,则{}n a 为等比数列. C.若*2,,m n m n a a m n N +⋅=∈,则{}n a 为等比数列. D.若*312,n n n n a a a a n N +++⋅=⋅∈,则{}n a 为等比数列.7、三个数,,a b c 既是等差数列,又是等比数列,则,,a b c 间的关系为( ). A. b a c b -=-B. 2b ac =C. a b c ==D. 0a b c ==≠8、如果1,,,,9a b c --成等比数列,那么( )A. 3,9b ac ==B. 3,9b ac =-=C. 3,9b ac ==-D. 3,9b ac =-=-9、在等比数列{}n a 满足135a a +=,且公比2q =,则35a a +等于( ). A.10 B.13 C.20 D.25 10、在等比数列{}n a 中,首项10a <,要使数列{}n a 对任意正整数n 都有1n n a a +>,则公比q 应满足( ). A. 1q > B. 01q << C.112q << D. 10q -<<11、已知等比数列{}n a 中, 12451,8a a a a +=+=-则公比q 等于( ). A.-2 B.2 C. 23- D.3212、设等比数列{}n a 满足132410,5a a a a +=+=,则12n a a a L 的最大值为__________13、若三个正数,,a b c 成等比数列,其中5a =+5c =-则b =__________. 14、已知数列{}n a 是等差数列,若1351,3,5a a a +++构成公比为q 的等比数列,则q =__________15、三个互不相等的实数,1,a b 依次成等差数列,且22,1,a b 依次成等比数列,则11a b+=__________ 16、首项为3的等比数列的第n 项是48,第23n -项是192,则n =__________答案以及解析1答案及解析: 答案:A解析:由题意知()()23366x x x +=+,即2430x x ++=,解得3x =-或1x =- (舍去),所以等比数列的前3项是-3,-6,-12,则第四项为-24.2答案及解析: 答案:C解析:由题意可设公比为q ,则21344a a a =+, 又13a =,∴2q =.∴223451134124()(84)a a a a q q q ++⨯⨯++++===.3答案及解析: 答案:B解析:564756189a a a a a a +=∴=,()313231031210log log log log a a a a a a +++=L L()53563log 5log 910a a ===.4答案及解析: 答案:B解析:111192,(),383n n n a a q --=∴=⋅Q 则128()327n -=,13n ∴-=,即4n =.5答案及解析: 答案:B解析:由题意,可得123451a a a a a ⋅⋅⋅⋅=, 即15243()()1a a a a a ⋅⋅⋅⋅=,又215243()()a a a a a ⋅=⋅=,所以531a =,得31a =6答案及解析: 答案:C 解析:7答案及解析: 答案:D解析:一个数列既是等差数列又是等比数列,那它一定是常熟数列,但要注意的是等比数列中不能有0.8答案及解析: 答案:B 解析:9答案及解析: 答案:C 解析:10答案及解析: 答案:B解析:()11110n n n a a a q q -+-=->对任意正整数n 都成立,而10a <只能01q <<11答案及解析: 答案:A 解析:12答案及解析:答案:64 解析:13答案及解析: 答案:1解析:∵,,a b c 成等比数列,∴((25525241b ac ==+⋅-=-=. ∵ b 为正数,∴1b =.14答案及解析: 答案:1 解析:15答案及解析: 答案:2± 解析:16答案及解析: 答案:5 解析: 设公比为q ,则1212424348163192644n n n n q q qq q ----⎧⎧==⎪⇒⇒=⎨⎨==⎪⎩⎩,得2q =±.由()1216n -±=,得5n =.。
高中数学学习材料鼎尚图文*整理制作高一数学《数列》单元检测题及参考答案一、选择题:1.已知数列{}n a 的首项11a =,且()1212n n a a n -=+≥,则5a 为 ( D )A .7B .15 C.30 D .312.等比数列{}n a 中,991a a 、为方程016102=+-x x 的两根,则805020a a a ⋅⋅ 的值为( D )A .32B .64C .256D .±643. 若{a n }是等差数列,且a 1+a 4+a 7=45,a 2+a 5+a 8=39,则a 3+a 6+a 9的值是 ( D ) A .39B .20C .19.5D .334.非常数数列}{n a 是等差数列,且}{n a 的第5、10、20项成等比数列,则此等比数列的公比为 ( C )A .51B .5C .2D .215.在等比数列}{n a 中, n a >0,且2a 4a +23a 5a +4a 6a =25,那么3a +5a =(A )A 5B 10C 15D 206.S n 为等差数列{a n }的前n 项之和,若a 3=10,a 10=-4,则S 10-S 3等于 ( A ) A .14 B .6 C .12 D .217.正项等比数列{a n }满足:a 2·a 4=1,S 3=13,b n =log 3a n , 则数列{b n }的 前10项的和是( D ) A .65 B .-65 C .25 D .-258.在等差数列}{n a 中,3a 、8a 是方程0532=--x x 的两个根,则10S 是 ( B ) A. 30 B. 15 C. 50 D. 259. 若某等差数列中,前7项和为48,前14项和为72,则前21项和为 ( B ) A. 96 B. 72 C . 60 D. 48 10.已知等差数列}{n a 的通项公式为,12+=n a n 其前n 项和为S n ,则数列}{nS n的前10项的和为( C )A. 120B. 70C. 75D. 100二、填空题:11. 等比数列的公比为2, 且前4项之和等于1, 那么前8项之和等于 17 .12. 已知数列的通项公式372-=n a n ,则n S 取最小值时n = 18 , 此时n S = 324 .15.数列{ a n }为等差数列,a 2与a 6的等差中项为5,a 3与a 7的等差中项为7,则数列的通项a n 等于__ 2n-3 _.16. 数列{a n }为等差数列,S 100=145,d =21,则a 1+a 3+a 5+…+a 99的值为__60_ .三、解答题15.(14分)在等比数列}{n a 中,S n 为其前n 项的和。
高中同步测试卷(五)单元检测 数列的概念及表示方法和等差数列(时间:120分钟,满分:150分)一、选择题(本大题共12小题,每小题5分,共60分.在每小题给出的四个选项中,只有一项是符合题目要求的)1.已知数列{a n }的首项为a 1=1,且满足a n +1=12a n +12n ,则此数列的第4项是( )A .1 B.12 C.34 D.582.在数列-1,0,19,18,…,n -2n2,…中,0.08是它的( )A .第100项B .第12项C .第10项D .第8项3.已知等差数列{a n }中各项都不相等,a 1=2,且a 4+a 8=a 23,则d =( ) A .0 B.12 C .2 D .0或124.已知等差数列{a n }的前n 项和为S n ,若2a 6=a 8+6,则S 7=( )A .49B .42C .35D .285.在等差数列{a n }中,若a 1,a 2017为方程x 2-10x +16=0的两根,则a 2+a 1 009+a 2 016=( )A .10B .15C .20D .406.把70个面包分五份给5个人,使每人所得的面包个数成等差数列,且使较大的三份之和的16是较小的两份之和,则最小的一份面包的个数为( )A .2B .8C .14D .207.由1,3,5,…,2n -1,…构成数列{a n },数列{b n }满足b 1=2,当n ≥2时,b n =ab n -1,则b 6的值是( )A .9B .17C .33D .658.已知数列{a n }是等差数列,a 1+a 3+a 5=105,a 2+a 4+a 6=99,{a n }的前n 项和为S n ,则使得S n 达到最大的n 是( )A .18B .19C .20D .219.设函数f (x )=⎩⎪⎨⎪⎧(3-a )x -3(x ≤7),a x -6(x >7),数列{a n }满足a n =f (n ),n ∈N *,且数列{a n }是递增数列,则实数a 的取值范围是( )A.⎝⎛⎭⎫94,3B.⎣⎡⎭⎫94,3 C .(1,3) D .(2,3) 10.已知数列{a n }的通项公式是a n =n 2+kn +2,若对于n ∈N *,都有a n +1>a n 成立,则实数k 的取值范围是( )A .(0,+∞)B .(-1,+∞)C .(-2,+∞)D .(-3,+∞)11.已知等差数列{a n }的前n 项和为S n ,a 5=5,S 5=15,则数列⎩⎨⎧⎭⎬⎫1a n a n +1的前100项和为( )A.100101B.99101C.99100D.10110012.已知数列{a n }满足a 1=1,且对任意的m ,n ∈N *都有a m +n =-a n +a m +m ,则1a 1+1a 2+1a 3+…+1a 2 017=( ) A .2 017 B.12 017 C .-2 017 D .-12 017二、填空题(本大题共4小题,每小题5分,共20分.把答案填在题中横线上) 13.在数列1,1,2,3,5,8,x ,21,34,55中,x =________.14.已知数列{a n }满足a 1=0,a n +1=a n -33a n +1(n ∈N *),则a 20=________. 15.已知等差数列的前三项依次是m ,6m ,m +10,则这个等差数列的第10项是________. 16.等差数列{a n }中,a 5+a 6=4,则log 2(2a 1·2a 2·…·2a 10)=________.三、解答题(本大题共6小题,共70分.解答应写出文字说明,证明过程或演算步骤) 17.(本小题满分10分)数列{a n }满足a 1=1,a n +1+2a n a n +1-a n =0. (1)写出数列的前5项;(2)由(1)写出数列{a n }的一个通项公式;(3)实数199是否为这个数列中的一项?若是,应为第几项?18.(本小题满分12分)已知数列{a n }是等差数列,c n =a 2n -a 2n +1(n ∈N *).(1)判断数列{c n }是否为等差数列,并说明理由;(2)如果a 1+a 3+…+a 25=130,a 2+a 4+…+a 26=117,试求数列{a n }的公差d 及通项公式.19.(本小题满分12分)已知数列{a n }满足a 1=2,a n +1=2a na n +2. (1)数列⎩⎨⎧⎭⎬⎫1a n 是否为等差数列?说明理由;(2)求数列{a n }的通项公式;(3)若数列{b n }的前n 项和S n =8a 2n-n +1,求数列{b n }的通项公式.20.(本小题满分12分)设等差数列的前n 项和为S n .已知a 3=12,S 12>0,S 13<0. (1)求公差d 的取值范围;(2)指出S 1,S 2,…,S 12中哪一个值最大,并说明理由.21.(本小题满分12分)已知数列{a n }中,a 1=1,a 2=2,以后各项由a n =a n -1+a n -2(n ≥3)给出.(1)写出此数列的前5项;(2)通过公式b n =a na n +1构造一个新的数列{b n },写出数列{b n }的前4项.22.(本小题满分12分)已知数列{a n }满足a 1=a ,a n +1=1+1a n,我们知道当a 取不同的值时,得到不同的数列,如当a =1时,得到无穷数列:1,2,32,53,…;当a =-12时,得到有穷数列:-12,-1,0.(1)当a 为何值时,a 4=0?(2)设数列{b n }满足b 1=-1,b n +1=1b n -1,求证:a 取数列{b n }中的任一个数,都可以得到一个有穷数列{a n }.参考答案与解析1.【解析】选B.因为a 1=1,a n +1=12a n +12n ,所以a 2=12a 1+12=1,a 3=12a 2+14=34,a 4=12a 3+18=12. 2.【解析】选C.因为a n =n -2n 2,令n -2n 2=0.08,解得n =10或n =52(舍去).3.【解析】选B.由已知得a 1+3d +a 1+7d =(a 1+2d )2,即2a 1+10d =a 21+4a 1d +4d 2.又a 1=2,所以4d 2-2d =0,所以2d (2d -1)=0,所以d =0或d =12.又因为{a n }中各项都不相等,所以d =12.4.【解析】选B.因为数列{a n }是等差数列, 所以2a 6=a 4+a 8=a 8+6,所以a 4=6,所以S 7=7(a 1+a 7)2=7×2a 42=7×a 4=7×6=42.5. 【解析】选B.由题意知a 1+a 2 017=a 2+a 2 016=2a 1 009=10,解得a 1 009=5,所以a 2+a 1 009+a 2 016=3a 1 009=15,故选B.6.【解析】选A.设等差数列为{a n },首项为a 1,公差为d >0,则有⎩⎨⎧16(a 3+a 4+a 5)=a 1+a 2,5a 1+5×42×d =70,解得⎩⎪⎨⎪⎧a 1=2,d =6.7.【解析】选C.因为a n =2n -1,b 1=2,b n =ab n -1=2b n -1-1,所以b 2=2b 1-1=3,b 3=2b 2-1=5,b 4=2b 3-1=9,b 5=2b 4-1=17,b 6=2b 5-1=33.8.【解析】选C.由a 1+a 3+a 5=105,a 2+a 4+a 6=99,两式相减得3d =-6,即d =-2.又a 1+a 3+a 5=105,所以a 1=39,所以S n =39n -n (n -1)=-(n -20)2+400,所以当n =20时,S n 有最大值400,故选C.9.【解析】选D.因为数列{a n }是递增数列, 又a n =f (n )(n ∈N *),所以⎩⎪⎨⎪⎧3-a >0,a >1,f (8)>f (7)⇒2<a <3.10.【解析】选D.由a n +1>a n , 得(n +1)2+k (n +1)+2>n 2+kn +2, 所以k >-(2n +1).因为当n =1时,-(2n +1)取得最大值-3, 只要k >-3,则都有a n +1>a n .11. 【解析】选A.由a 5=5,S 5=15,得a 1=1,d =1,所以a n =1+(n -1)=n ,所以1a n a n +1=1n (n +1)=1n -1n +1, 1a 1a 2+…+1a 100a 101=1-12+12-13+…+1100-1101=1-1101=100101. 12.【解析】选A.令m =1,得a n +1=-a n +a 1+1,即a n +1=-a n +1+1,于是a n +1=2-a n ,因此a 2=2-a 1=1,a 3=2-a 2=1,a 4=2-a 3=1,…,即a n =1,所以1a 1+1a 2+1a 3+…+1a 2 017=2 017,故选A. 13.【解析】因为数列从第三项开始每一项都等于它前面两项的和. 所以x =5+8=13. 【答案】1314. 【解析】由a 1=0,a n +1=a n -33a n +1(n ∈N *)知:a 2=a 1-33a 1+1=-3,a 3=a 2-33a 2+1=3,a 4=a 3-33a 3+1=0,…,每3项一循环,故a 20=a 6×3+2=a 2=- 3. 【答案】- 315.【解析】由已知得12m =2m +10,所以m =1, 故a 1=1,a 2=6,a 3=11, 所以d =5,所以a n =a 1+(n -1)d =1+5(n -1)=5n -4, 所以a 10=5×10-4=46. 【答案】4616.【解析】log 2(2 a 1·2 a 2·…·2 a 10)=log 22a 1+a 2+…+a 10=a 1+a 2+…+a 10=10(a 1+a 10)2=10×(a 5+a 6)2=10×42=20.【答案】2017. 【解】(1)由已知可得a 1=1,a 2=13,a 3=15,a 4=17,a 5=19.(2)由(1)可得数列的每一项的分子均为1,分母分别为1,3,5,7,9,…,所以它的一个通项公式为a n =12n -1.(3)令199=12n -1, 解得n =50,故199是这个数列的第50项.18.【解】(1)设数列{a n }的公差为d ,则c n +1-c n =(a 2n +1-a 2n +2)-(a 2n -a 2n +1) =2a 2n +1-(a n +1-d )2-(a n +1+d )2=-2d 2,所以数列{c n }是以-2d 2为公差的等差数列.(2)因为a 1+a 3+…+a 25=130,a 2+a 4+…+a 26=117, 两式相减得13d =-13,所以d =-1, 因为a 1+a 3+…+a 25=130,所以13a 13=130, 所以a 13=10=a 1+12d =a 1-12, 所以a 1=22,所以a n =22+(n -1)×(-1)=23-n .19.【解】(1)数列⎩⎨⎧⎭⎬⎫1a n 是等差数列,理由如下:因为a 1=2,a n +1=2a n a n +2,所以1a n +1=a n +22a n =12+1a n ,所以1a n +1-1a n =12,即⎩⎨⎧⎭⎬⎫1a n 是首项为1a 1=12,公差为d =12的等差数列.(2)由(1)知1a n =1a 1+(n -1)d =12+n -12=n2,所以数列{a n }的通项公式为a n =2n .(3)因为a n =2n,所以S n =8a 2n -n +1=8⎝⎛⎭⎫n 22-n +1=2n 2-n +1.当n =1时,b 1=S 1=2×12-1+1=2;当n ≥2时,b n =S n -S n -1=2n 2-n +1-[2(n -1)2-(n -1)+1]=4n -3,所以数列{b n }的通项公式为b n =⎩⎪⎨⎪⎧2,n =14n -3,n ≥2.20.【解】(1)依题意⎩⎨⎧S12=12a 1+12×112d >0,S13=13a 1+13×122d <0,即⎩⎪⎨⎪⎧2a 1+11d >0,①a 1+6d <0.② 由a 3=12,得a 1+2d =12.③把③分别代入①②,得⎩⎪⎨⎪⎧24+7d >0,3+d <0,解得-247<d <-3,即公差d 的取值范围是⎝⎛⎭⎫-247,-3. (2)法一:由d <0可知{a n }是递减数列, 因此若在1≤n ≤12中,使a n >0且a n +1<0,则S n 最大. 由于S 12=6(a 6+a 7)>0,S 13=13a 7<0, 可得a 6>-a 7>0,a 7<0,故在S 1,S 2,…,S 12中S 6的值最大. 法二:S n =na 1+n (n -1)2d=n (12-2d )+n (n -1)2d=d 2⎣⎡⎦⎤n -12⎝⎛⎭⎫5-24d 2- d 2⎣⎡⎦⎤12⎝⎛⎭⎫5-24d 2,因为d <0, 所以⎣⎡⎦⎤n -12⎝⎛⎭⎫5-24d 2最小时,S n 最大. 因为-247<d <-3,6<12⎝⎛⎭⎫5-24d <132, 所以当n =6时,⎣⎡⎦⎤n -12⎝⎛⎭⎫5-24d 2最小,S 6最大. 21.【解】(1)因为a n =a n -1+a n -2(n ≥3), 且a 1=1,a 2=2, 所以a 3=a 2+a 1=3, a 4=a 3+a 2=3+2=5, a 5=a 4+a 3=5+3=8. 故数列{a n }的前5项依次为a 1=1,a 2=2,a 3=3,a 4=5,a 5=8.(2)因为b n =a na n +1,且a 1=1,a 2=2,a 3=3,a 4=5,a 5=8,所以b 1=a 1a 2=12,b 2=a 2a 3=23,b 3=a 3a 4=35,b 4=a 4a 5=58.故b 1=12,b 2=23,b 3=35,b 4=58.22.【解】(1)法一:因为a 1=a ,a n +1=1+1a n,所以a 2=1+1a 1=1+1a =a +1a ,a 3=1+1a 2=2a +1a +1,a 4=1+1a 3=3a +22a +1.故当a =-23时,a 4=0.法二:因为a 4=0,所以1+1a 3=0,得a 3=-1.因为a 3=1+1a 2,所以a 2=-12.因为a 2=1+1a ,所以a =-23.故当a =-23时,a 4=0.(2)证明:因为b 1=-1,b n +1=1b n -1, 所以b n =1b n +1+1.a 取数列{b n }中的任一个数,不妨设a =b n . 因为a 1=a =b n ,所以a 2=1+1a 1=1+1b n =b n -1,所以a 3=1+1a 2=1+1b n -1=b n -2,…,所以a n =1+1a n -1=1+1b 2=b 1=-1.所以a n +1=0.故a 取数列{b n }中的任一个数,都可以得到一个有穷数列{a n }.。
高中数学学习材料唐玲出品高一数学《数列》单元测试卷班级:_____________ 姓名:一、选择题(每小题5分,共60分)1、数列⋯--,924,715,58,1的一个通项公式是A .12)1(3++-=n n n a nn B .12)3()1(++-=n n n a n nC .121)1()1(2--+-=n n a n n D .12)2()1(++-=n n n a n n2、已知数列{n a }的通项公式)(43*2N n n n a n ∈--=,则4a 等于( ).A 、 1B 、2C 、 3D 、 0 3、在等比数列}{n a 中,,8,1641=-=a a 则=7a ( )A 、 4-B 、 4±C 、2-D 、2±4、已知等差数列}{n a 的公差为2,若1a ,3a ,4a 成等比数列,则2a 等于( ) A 、 4- B 、6- C 、 8- D 、 10-5、等差数列{a n }中,39||||,a a =公差0,d <那么使前n 项和n S 最大的n 值为( ) A 、5 B 、6 C 、 5 或6 D 、 6或76、n S 等差数列}a {n 的前n 项和,已知59355,9a Sa S ==则( ). A .1B .1-C .2D .127、若两个等差数列{a n }、{b n }的前n 项和分别为A n 、B n ,且满足5524-+=n n B A n n ,则1313a b 的值为( ) (A )5160 (B )6051(C )2019 (D )878、已知方程0)2)(2(22=+-+-n x x m x x 的四个根组成一个首项为41的等差数列,则=-n mA 、1B 、43 C 、21 D 、83 9、若一个凸多边形的内角度数成等差数列,最小角为100°,最大角为140°,这个凸多边形的边数为A .6B .8C .10D .1210、若{}n a 是等比数列,前n 项和21n n S =-,则2222123n a a a a ++++=A.2(21)n-B.21(21)3n -C.41n- D.1(41)3n -11、数列{a n }前n 项和是S n ,如果S n =3+2a n (n ∈N *),则这个数列是 A .等比数列 B .等差数列C .除去第一项是等比D .除去最后一项为等差12、等比数列{}n a 中,0n a >,a 5a 6=9,则313233310log log log log a a a a +++⋅⋅⋅+=( ) A.12 B.10 C.8 D.32log 5+二、填空题(每小题5分,共20分)13、在-9和3之间插入n 个数,使这n +2个数组成和为-21的等差数列,则n =_______.14、在等差数列{a n }中,已知1231215,78,155,n n n n a a a a a a S --++=++==则___________________.n =15、已知数列{}n a 满足1n n a a n +=+,1a =1,则n a = 16、已知2(),1x f x x =+则111()()()(1)(2)(2008)____________.200820072f f f f f f +++++++=三、解答题(共70分)17、(本小题满分10分)等比数列{}n a 中前n 项和为n S ,42S =,86S =,求17181920a a a a +++的值.18、(本小题满分12分)有四个数,前三个数成等差数列,后三个数成等比数列,并且第一个数与第四个数的和为37,第二个数与第三个数的和为36,求这四个数。
高二数学《数列》单元检测题班级:_________ 姓名:__________ 座号:_______ 成绩:_________一、选择题:1.已知数列{}n a 的首项11a =,且()1212n n a a n -=+≥,则5a 为 ( )A .7B .15 C.30 D .312.等比数列{}n a 中,991a a 、为方程016102=+-x x 的两根,则805020a a a ⋅⋅ 的值为( )A .32B .64C .256D .±643. 若{a n }是等差数列,且a 1+a 4+a 7=45,a 2+a 5+a 8=39,则a 3+a 6+a 9的值是 ( )A .39B .20C .19.5D .334.非常数数列}{n a 是等差数列,且}{n a 的第5、10、20项成等比数列,则此等比数列的公比为 ( )A .51B .5C .2D .21 5.在等比数列}{n a 中, n a >0,且2a 4a +23a 5a +4a 6a =25,那么3a +5a =( )A 5B 10C 15D 206.S n 为等差数列{a n }的前n 项之和,若a 3=10,a 10=-4,则S 10-S 3等于 ( )A .14B .6C .12D .217.正项等比数列{a n }满足:a 2·a 4=1,S 3=13,b n =log 3a n ,则数列{b n }的前10项的和是( )A .65B .-65C .25D .-258.在等差数列}{n a 中,3a 、8a 是方程0532=--x x 的两个根,则10S 是 ( )A. 30B. 15C. 50D. 259. 若某等差数列中,前7项和为48,前14项和为72,则前21项和为 ( )A. 96B. 72 C . 60 D. 4810.已知等差数列}{n a 的通项公式为,12+=n a n 其前n 项和为S n ,则数列}{nS n 的前10项的和为 ( ) A. 120 B. 70 C. 75 D. 100二、填空题:11.等比数列的公比为2, 且前4项之和等于1, 那么前8项之和等于 ___.12.已知数列的通项公式372-=n a n ,则n S 取最小值时n = __ , 此时n S = __ .13.数列{ a n }为等差数列,a 2与a 6的等差中项为5,a 3与a 7的等差中项为7,则数列的通项a n 等于 ____ .14.数列{a n }为等差数列,S 100=145,d =21,则a 1+a 3+a 5+…+a 99的值为___ . 15.已知数列}{n a 是非零等差数列,又a 1,a 3,a 9组成一个等比数列的前三项,则1042931a a a a a a ++++的值是 。
一、选择题1.设首项为1的数列{}n a 的前n 项和为n S ,且113,2,23,21,n n n a n k k N a a n k k N *-*-⎧+=∈=⎨+=+∈⎩,若4042m S >,则正整数m 的最小值为( )A .14B .15C .16D .172.设等差数列{}n a 前n 项和为n S ,等差数列{}n b 前n 项和为n T ,若11n n S n T n -=+.则55a b =( ) A .23B .45C .32D .543.已知数列{}n a 中,12a =,()*,N n m n m a a a n m +=⋅∈,若1234480k k k k a a a a +++++++=,则k =( )A .3B .4C .5D .64.已知数列{}n a 中,其前n 项和为n S ,且满足2n n S a =-,数列{}2n a 的前n 项和为n T ,若20n n S T λ+>对*n N ∈恒成立,则实数λ的取值范围是( )A .(3,)+∞B .(1,3)-C .93,5⎛⎫⎪⎝⎭D .(1,)-+∞5.设数列{}n a 满足12a =,26a =,且()*2122n n n a a a n N ++-+=∈,若[]x 表示不超过x 的最大整数(例如[]1.61=,[]1.62-=-),则222122018232019a a a ⎡⎤⎡⎤⎡⎤+++⎢⎥⎢⎥⎢⎥⎣⎦⎣⎦⎣⎦=( )A .2018B .2019C .2020D .20216.已知数列{}n a 满足()1341n n a a n ++=≥,且19a =,其前n 项之和为n S ,则满足不等式16125n S n --<的最小整数n 是( ) A .5B .6C .7D .87.已知等差数列{}n a 的前n 和为n S ,若1239a a a ++=,636S =,则12(a = ) A .23B .24C .25D .268.已知等差数列{}n a 的前n 项和为n S ,55a =,836S =,则数列11{}n n a a +的前n 项和为( )A .11n + B .1n n + C .1n n- D .11n n -+ 9.已知递增的等差数列{}n a 的前n 项和为n S ,175a a ⋅=,266a a +=,对于n *∈N ,不等式1231111+++⋅⋅⋅+<nM S S S S 恒成立,则整数M 的最小值是( ) A .1B .2C .3D .410.对于数列{}n a ,定义11233n nn a a a T n-+++=为{}n a 的“最优值”,现已知数列{}n a 的“最优值”3n n T =,记数列{}n a 的前n 项和为n S ,则20202020S=( ) A .2019B .2020C .2021D .202211.若a ,b 是函数()()20,0f x x px q p q =-+>>的两个不同的零点,a ,b ,2-这三个数适当排序后可成等比数列,点(),2a b 在直线2100x y +-=上,则p q +的值等于( ) A .6B .7C .8D .912.已知数列{}n a 满足12a =,*11()12n na n N a +=-+∈,则2020a =( ) A .2B .13 C .12-D .3-二、填空题13.设S n 是数列{}n a 的前n 项和,且*1111,20,3n n n a a S S n N ++=+=∈,则1223910S S S S S S ++⋅⋅⋅⋅⋅+=___________.14.在平面直角坐标系xOy 中,点A 在y 轴正半轴上,点n P 在x 轴上,其横坐标为n x ,且{}n x 是首项为1、公比为2的等比数列,记*1,n n n P AP n N θ+∠=∈.若32arctan 9θ=,则点A 的坐标为________.15.设数列{}n a 的前n 项和为n S ,若1sin 12n n a n π+⎛⎫=+ ⎪⎝⎭,则2018S =______. 16.在等比数列{}n a 中,2514,2==a a ,则公比q =__________. 17.已知数列{}n a 的前n 项和是n S ,若111,n n a a a n +=+=,则1916S S -的值为________. 18.设无穷数列{a n }的前n 项和为S n ,下列有三个条件: ①m n m n a a a +⋅=; ②S n =a n +1+1,a 1≠0;③S n =2a n +1p(p 是与n 无关的参数). 从中选出两个条件,能使数列{a n }为唯一确定的等比数列的条件是______. 19.等差数列{}n a 的前n 项和为n S ,且4873a a a +-=_________. 20.若等差数列{}n a 中,10a <,n S 为前n 项和,713S S =,则当n S 最小时n =________. 三、解答题21.设数列{}n a 满足()121*4n n a n N a +=-∈-,其中11a =. (1)证明:112n a ⎧⎫-⎨⎬-⎩⎭是等比数列; (2)令32n n n a b a -=-,设数列(){}21-⋅n n b 的前n 项和为n S ,求使2021n S <成立的最大自然数n 的值.22.设数列{}n a ,{}n b 是公比不相等的两个等比数列,数列{}n c 满足*,n n n c a b n =+∈N .(1)若2,3nnn n a b ==,是否存在常数k ,使得数列{}1n n c kc +-为等比数列?若存在,求k 的值;若不存在,说明理由;(2)证明:{}n c 不是等比数列.23.已知数列{}n a 满足11a =,13(1)n n na n a +=+. (1)设nn a b n=,求证:数列{}n b 是等比数列; (2)求数列{}n a 的前n 项和n S .24.已知递增等比数列{}n a 满足:12a =,416a = . (1)求数列{}n a 的通项公式;(2)若数列{}n b 为等差数列,且满足221b a =-,3358b a =,求数列{}n b 的通项公式及前10项的和;25.设数列{}n a 的前n 项和为n S ,______.从①数列{}n a 是公比为2的等比数列,2a ,3a ,44a -成等差数列;②22n n S a =-;③122n n S +=-.这三个条件中任选一个,补充在下面问题中,并作答.(1)求数列{}n a 的通项公式; (2)若21log nn na b a +=,求数列{}n b 的前n 项和n T .26.已知数列{}n a 的前n 项和为21n S n n =++.(1)求这个数列的通项公式; (2)设()11n n n b n a a *+=∈N ,证明:对n *∀∈N ,数列{}n b 的前n 项和524n T <.【参考答案】***试卷处理标记,请不要删除一、选择题 1.C 解析:C 【分析】根据已知递推关系求出数列{}n a 的奇数项加9成等比数列,偶数项加6成等比数列,然后求出2n S 后,检验141615,,S S S 可得. 【详解】当n 为奇数时,122232(3)329n n n n a a a a ---=+=++=+,所以292(9)n n a a -+=+,又1910a +=,所以1359,9,9,a a a +++成等比数列,公比为2,1219102n n a --+=⨯,即1211029n n a --=⨯-,当n 为偶数时,122323326n n n n a a a a ---=+=++=+,所以262(6)n n a a -+=+,又2134a a =+=,所以2469,9,9,a a a +++成等比数列,公比为2,126102n n a -+=⨯,即121026n n a -=⨯-,所以210(12)10(12)9620220151212n n n n S n n n --=-+-=⨯----,714202201572435S =⨯--⨯=,816202201584980S =⨯--⨯=, 7151415243510293706S S a =+=+⨯-=,所以满足4042m S >的正整数m 的最小值为16. 故选:C . 【点睛】关键点点睛:本题考查由数列的递推关系求数列的和.解题关键是分类讨论,确定数列的奇数项与偶数项分别满足的性质,然后结合起来求得数列的偶数项的和2n S ,再检验n 取具体数值的结论.2.B解析:B 【分析】本题首先可令9n =,得出9945S T =,然后通过等差数列的性质得出959S a =以及959T b =,代入9945S T =中,即可得出结果. 【详解】因为11n n S n T n -=+,所以99914915S T -==+, 因为n S 是等差数列{}n a 前n 项和,n T 是等差数列{}n b 前n 项和, 所以()1995992a a S a +==,()1995992b b T b +==, 则95959459S a T b ==,5545a b =, 故选:B. 【点睛】关键点点睛:本题考查等差数列的相关性质的应用,主要考查等差数列前n 项和公式以及等差中项的应用,若等差数列{}n a 前n 项和为n S ,则()12n n n a a S +=,当2m n k +=时,2m n k a a a +=,考查化归与转化思想,是中档题.3.B解析:B 【分析】由已知,取1m =,则112n n n a a a a +=⋅=,得出数列{}n a 是以2为首项,2为公差的等比数列,根据等比数列的通项公式建立方程得可求得解. 【详解】因为数列{}n a 中,12a =,()*,N n m n m a a a n m +=⋅∈,所以取1m =,则112n n n a a a a +=⋅=,所以数列{}n a 是以2为首项,2为公差的等比数列,所以2nn a =,又1234480k k k k a a a a +++++++=,即12344220282k k k k +++++++=,即040238k ⨯=,解得4k =, 故选:B . 【点睛】关键点点睛:解决本题的问题的关键在于令1m =,得出数列{}n a 是以2为首项,2为公差的等比数列,利用等比数列的通项公式建立方程得解.4.D解析:D【分析】由2n n S a =-利用1112n n n S n a S S n -=⎧=⎨-≥⎩ ,得到数列{}n a 是以1为首项,12为公比的等比数列,进而得到{}2n a 是以1为首项,14为公比的等比数列,利用等比数列前n 项和公式得到n S ,n T ,将20n n S T λ+>恒成立,转化为6321nλ-<-+,从而得出答案. 【详解】当1n =时,112S a =-,得 11a =;当2n ≥时,由2n n S a =-,得112n n S a --=-,两式相减得112n n a a -=, 所以数列{}n a 是以1为首项,12为公比的等比数列. 因为112n n a a -=,所以22114n n a a -=.又211a =,所以{}2n a 是以1为首项,14为公比的等比数列,所以1112211212n n n S ⎛⎫- ⎪⎡⎤⎛⎫⎝⎭==-⎢⎥ ⎪⎝⎭⎢⎥⎣⎦-,11414113414nn n T ⎛⎫- ⎪⎡⎤⎛⎫⎝⎭==-⎢⎥ ⎪⎝⎭⎢⎥⎣⎦-, 由20n n S T λ+>,得()()321210nnλ-++>,所以()()321321663212121n nn n n λ-+--<==-+++, 所以6332121λ-<-=-=+, 所以1λ>-.综上,实数λ的取值范围是(1,)-+∞. 故选: D 【点睛】方法点睛:数列与不等式知识相结合的考查方式主要有三种: 一是判断数列问题中的一些不等关系; 二是以数列为载体,考查不等式的恒成立问题;三是考查与数列问题有关的不等式的证明.在解决这些问题时,往往转化为函数的最值问题.5.B解析:B 【分析】由2122n n n a a a ++-+=,可得()2112n n n n a a a a +++---=,214a a -=.利用等差数列的通项公式、累加求和方法、取整函数即可得出. 【详解】2122n n n a a a ++-+=,()2112n n n n a a a a +++∴---=,214a a -=.{}1n n a a +∴-是等差数列,首项为4,公差为2. 142(1)22n n a a n n +∴-=+-=+.2n ∴≥时,()()()112211n n n n n a a a a a a a a ---=-+-+⋯⋯+-+(1)22(1)..2222(1)2n n n n n n +=+-+⋯+⨯+=⨯=+. 2(1)1n n n a n++∴=.∴当2n ≥时,2(1)11⎡⎤++⎡⎤==⎢⎥⎢⎥⎣⎦⎣⎦n n n a n . 222122018232019220172019a a a ⎡⎤⎡⎤⎡⎤∴+++=+=⎢⎥⎢⎥⎢⎥⎣⎦⎣⎦⎣⎦. 故选:B . 【点睛】本题考查了数列递推关系、等差数列的通项公式、累加求和方法、取整函数,考查了推理能力与计算能力,属于中档题.6.C解析:C 【分析】首先分析题目已知3a n+1+a n =4(n ∈N*)且a 1=9,其前n 项和为S n ,求满足不等式|S n ﹣n ﹣6|<1125的最小整数n .故可以考虑把等式3a n+1+a n =4变形得到111-13n n a a +-=-,然后根据数列b n =a n ﹣1为等比数列,求出S n 代入绝对值不等式求解即可得到答案. 【详解】对3a n+1+a n =4 变形得:3(a n+1﹣1)=﹣(a n ﹣1) 即:111-13n n a a +-=- 故可以分析得到数列b n =a n ﹣1为首项为8公比为13-的等比数列. 所以b n =a n ﹣1=8×11-3n -⎛⎫ ⎪⎝⎭a n =8×11-3n -⎛⎫ ⎪⎝⎭+1所以181********n nnS n n ⎡⎤⎛⎫--⎢⎥ ⎪⎝⎭⎢⎥⎛⎫⎣⎦=+=-⨯-+ ⎪⎛⎫⎝⎭-- ⎪⎝⎭|S n ﹣n ﹣6|=n11-6-3125⎛⎫⨯< ⎪⎝⎭解得最小的正整数n=7 故选C . 【点睛】此题主要考查不等式的求解问题,其中涉及到可化为等比数列的数列的求和问题,属于不等式与数列的综合性问题,判断出数列a n ﹣1为等比数列是题目的关键,有一定的技巧性属于中档题目.7.A解析:A 【解析】等差数列{}n a 的前n 和为n S ,1239a a a ++=,636S =,11339656362a d a d +=⎧⎪∴⎨⨯+=⎪⎩,解得1a 1,d 2,12111223a =+⨯=,故选A.8.B解析:B 【解析】设等差数列{}n a 的首项为1a ,公差为d . ∵55a =,836S = ∴114582836a d a d +=⎧⎨+=⎩∴111a d =⎧⎨=⎩∴n a n =,则11111(1)1+==-++n n a a n n n n ∴数列11n n a a +⎧⎫⎨⎬⎩⎭的前n 项和为1111111111122334111nn n n n -+-+-+⋅⋅⋅+-=-=+++ 故选B.点睛:裂项相消法是最难把握的求和方法之一,其原因是有时很难找到裂项的方向,突破这一难点的方法是根据式子的结构特点,常见的裂项技巧:(1)()1111n n k k n n k ⎛⎫=- ⎪++⎝⎭;(2)1k =; (3)()()1111212122121n n n n ⎛⎫=- ⎪-+-+⎝⎭;(4)()()11122n n n =++ ()()()11112n n n n ⎡⎤-⎢⎥+++⎢⎥⎣⎦;此外,需注意裂项之后相消的过程中容易出现丢项或多项的问题,导致计算结果错误.9.C解析:C 【分析】先求出等差数列的1a 和d ,由等差数列前n 项和公式得n S ,把1nS 拆成两项的差,用裂项相消法求得和12111nS S S +++,在n 变化时,求得M 的范围,得出结论. 【详解】∵{}n a 是等差数列,∴17266a a a a +=+=,由171765a a a a +=⎧⎨=⎩解得1715a a =⎧⎨=⎩或1751a a =⎧⎨=⎩,又{}n a 是递增数列,∴1715a a =⎧⎨=⎩,715127163a a d --===-, 1(1)(1)(2)233n n n n n n n S na d n --+=+=+=, 121113331324(2)n S S S n n +++=+++⨯⨯+3111111112324112n n n n ⎡⎤⎛⎫⎛⎫⎛⎫⎛⎫=-+-++-+- ⎪ ⎪ ⎪ ⎪⎢⎥-++⎝⎭⎝⎭⎝⎭⎝⎭⎣⎦31119311122124212n n n n ⎛⎫⎛⎫=+--=-+ ⎪ ⎪++++⎝⎭⎝⎭94<, 由不等式1231111+++⋅⋅⋅+<n M S S S S 恒成立,得94M ≥,∴最小的整数3M =. 故选:C . 【点睛】本题考查不等式恒成立问题,考查等差数列的性质,等差数列的通项公式和前n 项和公式,裂项相消法求和,本题属于中档题.10.D解析:D 【分析】根据11233n nn a a a T n-+++=,且3nn T =,得到112333n n n a a a n -+++=⋅,然后利用数列通项与前n 项和的关系求得21n a n =+,再利用等差数列求和公式求解. 【详解】 ∵11233n nn a a a T n-+++=,且3nn T =,∴112333n n n a a a n -+++=⋅,当2n ≥时,有()211213313n n n a a a n ---+++⋅=-⋅,两式相减可得:()()1113313213n n n n n a n n n ---⋅=⋅--⋅=+⋅.∴21n a n =+(2n ≥). 当1n =时,13a =适合上式. ∴21n a n =+.则数列{}n a 是以3为首项,以2为公差的等差数列. ∴()202032202012020S 202220202+⨯+⨯==⨯.∴202020222020S =. 故选:D . 【点睛】本题主要考查数列通项与前n 项和的关系以及等差数列的定义和求和公式的应用,属于中档题.11.D解析:D 【分析】由零点定义得,a b p ab q +==得0,0a b >>,因此2-只能是等比数列的中间项,从而得4ab =,由点(),2a b 在直线2100x y +-=上,得5a b +=,这样可得,p q 值.从而得出结论. 【详解】∵a ,b 是函数()()20,0f x x px q p q =-+>>的两个不同的零点,∴,a b p ab q +==,∴0,0a b >>,而a ,b ,2-这三个数适当排序后可成等比数列,只能是2-是,a b 的等比中项,即4ab =,点(),2a b 在直线2100x y +-=上,则22100a b +-=,得5a b +=, 由45ab a b =⎧⎨+=⎩,∴5,4p q ==,9p q +=.故选:D . 【点睛】本题考查函数零点的概念,考查等比数列的定义,考查韦达定理,关键是由题意分析出0,0a b >>.12.D解析:D 【分析】先利用题中所给的首项,以及递推公式,将首项代入,从而判断出数列{}n a 是周期数列,进而求得结果. 【详解】由已知得12a =,2211123a =-=+,32111213a =-=-+, 4213112a =-=--,521213a =-=-, 可以判断出数列{}n a 是以4为周期的数列,故2020505443a a a ⨯===-, 故选:D. 【点睛】该题考查的是有关数列的问题,涉及到的知识点利用递推公式判断数列的周期性,从而求解数列的某项,属于中档题.二、填空题13.【分析】由代入化简求得再结合求和方法计算可得结果【详解】因为所以所以所以又所以数列是以为首项为公差的等差数列所以所以所以所以故答案为:【点晴】由代入化简求得数列是等差数列是解题的关键解析:17【分析】由11n n n a S S ++=-代入化简求得n S ,再结合求和方法计算可得结果. 【详解】因为1120n n n a S S +++= 所以1120n n n n S S S S ++-+= 所以112n n n n S S S S ++-= 所以1112n nS S +-=又11113S a == 所以数列1n S ⎧⎫⎨⎬⎩⎭是以3为首项,2为公差的等差数列, 所以()131221nn n S =+-⨯=+ 所以121n S n =+ 所以111111212322123n n S S n n n n +⎛⎫=⋅=- ⎪++++⎝⎭所以12239101111111111123557192123217S S S S S S ⎛⎫⎛⎫++⋅⋅⋅⋅⋅⋅+=-+-+⋅⋅⋅+-=-=⎪ ⎪⎝⎭⎝⎭ 故答案为:17【点晴】由11n n n a S S ++=-代入化简求得数列1n S ⎧⎫⎨⎬⎩⎭是等差数列是解题的关键. 14.或【分析】设点的坐标利用两角差正切公式求列式解得结果【详解】设因为所以或故答案为:或【点睛】本题考查两角差正切公式等比数列考查综合分析求解能力属中档题解析:(0,2)或(0,16) 【分析】设点A 的坐标,利用两角差正切公式求3tan θ,列式解得结果. 【详解】设(0,),0A a a >,因为233443343,124,128P AP AP OAP O x x θ=-=⨯==⨯=∠∠=∠所以238442284t 21an 39a a a a a a aθ-===∴=++⋅或16 故答案为:(0,2)或(0,16)【点睛】本题考查两角差正切公式、等比数列,考查综合分析求解能力,属中档题.15.【分析】分别计算出进而得出再由可得出的值【详解】由题意可得故答案为:【点睛】本题考查数列求和找出数列的规律是解答的关键考查计算能力属于中等题 解析:1008【分析】分别计算出43k a -、42k a -、41k a -、()4k a k N *∈,进而得出43424146k k k k a a a a ---+++=,再由201845042=⨯+可得出2018S 的值.【详解】由题意可得()434243sin 112k k a k π--⎛⎫=-+= ⎪⎝⎭,()424142sin 1342k k a k k π--⎛⎫=-+=- ⎪⎝⎭,()()4141sin 211k a k k π-=-+=,4414sin 1412k k a k k π+⎛⎫=+=+ ⎪⎝⎭,()()43424141341416k k k k a a a a k k ---∴+++=+-+++=,201845042=⨯+,201820172018450534505265046504S a a a a ⨯-⨯-∴=⨯++=⨯++()30241345051008=++-⨯=.故答案为:1008. 【点睛】本题考查数列求和,找出数列的规律是解答的关键,考查计算能力,属于中等题.16.【分析】本题先用表示再建立方程组解题即可【详解】解:∵是等比数列∴∵∴解得:故答案为:【点睛】本题考查等比数列的基本量法是基础题 解析:12【分析】本题先用1a ,q 表示2a ,5a ,再建立方程组21451412a a q a a q ==⎧⎪⎨==⎪⎩解题即可. 【详解】解:∵ {}n a 是等比数列,∴ 21a a q =,451a a q∵24a =,512a =,∴ 21451412a a q a a q ==⎧⎪⎨==⎪⎩,解得:1812a q =⎧⎪⎨=⎪⎩, 故答案为:12. 【点睛】本题考查等比数列的基本量法,是基础题.17.27【分析】由得相减后得数列的奇数项与偶数项分别成等差数列由此可得通项从而求得结论【详解】∵∴相减得又所以数列的奇数项与偶数项分别成等差数列公差为1故答案为:27【点睛】易错点睛:本题考查等差数列的解析:27 【分析】由1n n a a n ++=得121n n a a n +++=+相减后得数列的奇数项与偶数项分别成等差数列,由此可得通项,从而求得结论. 【详解】∵1n n a a n ++=,∴121n n a a n +++=+,相减得21n na a +-=,又1121,1a a a =+=,20a =,211a a -=-,所以数列{}n a 的奇数项与偶数项分别成等差数列,公差为1,21n a n -=,21n a n =-,1916171819981027S S a a a -=++=++=.故答案为:27. 【点睛】易错点睛:本题考查等差数列的通项公式,解题时由已知等式中n 改写为1n +,两相减后得21n n a a +-=,这里再计算21a a -,如果2211()22n na a a a +--==,则可说明{}n a 是等差数列,象本题只能说明奇数项与偶数项分别成等差数列.不能混淆,误以为{}n a 是等差数列.这是易错的地方.18.①③【分析】选①②在①中令在②中令联立方程由方程无解推出矛盾;选①③在③中由通项与前项和之间的关系求出公比在①中令在③中用表示出联立方程求出确定数列;选②③由通项与前项和之间的关系即可作出判断【详解解析:①③ 【分析】选①②,在①中令1m n ==,在②中令1n =联立方程,由方程无解推出矛盾;选①③,在③中由通项与前n 项和之间的关系求出公比,在①中令1m n ==,在③中用12,a a 表示出12,S S 联立方程,求出1,a p 确定数列{}n a ;选②③,由通项与前n 项和之间的关系即可作出判断. 【详解】在①中,令1m n ==,得221a a =;在②中,11n n S a +=+,当2n ≥时, 11n n S a -=+,两式相减,得1n n n a a a +=-,即12n n a a +=;在③中,11112,2n n n n S a S a p p++=+=+,两式相减,得 1122n n n a a a ++=-,即 12n n a a +=,若选①②,则22112,1a a a a ⎧=⎨=+⎩即 2211111,10a a a a =--+=, 2(1)41130∆=--⨯⨯=-<,方程无解,故不能选①②作为条件;若选①③,则由12n n a a +=知,数列{}n a 的公比为2,由 221111221212a a a a p a a a p ⎧⎪=⎪⎪=+⎨⎪⎪+=+⎪⎩得1212a p =⎧⎪⎨=-⎪⎩,所以数列 {}n a 是首项为2,公比为2的等比数列; 若选②③作为条件,则无法确定首项,数列{}n a 不唯一,故不能选②③作为条件. 综上所述,能使数列{}n a 为唯一确定的等比数列的条件是①③. 故答案为:①③ 【点睛】思路点睛:本题考查利用递推关系求数列中的项,涉及等比数列的判定和通项公式,遇到和与项的递推关系时,一般有两种方法:(1)消去和,得到项的递推关系;(2)消去项,得到和的递推关系.19.【分析】首先设出等差数列的首项和公差根据其通项公式得到再根据其求和公式得到从而得到结果【详解】设等差数列的首项为公差为则有因为所以故答案为:【点睛】思路点睛:该题考查的是有关等差数列的问题解题思路如 解析:13313S 【分析】首先设出等差数列的首项和公差,根据其通项公式,得到487733a a a a +-=,再根据其求和公式,得到13713S a =,从而得到结果. 【详解】设等差数列的首项为1a ,公差为d ,则有48711117333(7)(6)318=3a a a a d a d a d a d a +-=+++-+=+, 因为11313713()132a a S a +==,所以487133313a a a S +-=, 故答案为:13313S . 【点睛】思路点睛:该题考查的是有关等差数列的问题,解题思路如下:(1)首先设出等差数列的首项和公差;(2)利用等差数列的通项公式,得到项之间的关系,整理得出487733a a a a +-=; (3)利用等差数列的求和公式,求得13713S a =; (4)比较式子,求得结果.20.10【分析】根据条件确定中项的符号变化规律即可确定最小时对应项数【详解】单调递增因此即最小故答案为:10【点睛】本题考查等差数列性质等差数列前项和性质考查基本分析求解能力属中档题解析:10 【分析】根据条件确定{}n a 中项的符号变化规律,即可确定n S 最小时对应项数. 【详解】7138910111213101103()0S S a a a a a a a a =∴+++++=∴+= 17130,a S S <=∴{}n a 单调递增,因此10110,0a a <>即10n =,n S 最小 故答案为:10 【点睛】本题考查等差数列性质、等差数列前n 项和性质,考查基本分析求解能力,属中档题.三、解答题21.(1)证明见解析;(2)最大自然数6n =. 【分析】(1)根据题中条件,可得1112n a +--的表达式,根据等比数列的定义,即可得证;(2)由(1)可得1122n n a -=-,则可得2n n b =,根据错位相减求和法,可求得n S 的表达式,根据n S 的单调性,代入数值,分析即可得答案. 【详解】解:(1)∵()1621*44n n n n a a n N a a +-=-=∈--, ∴()()1116323346312311122162262822224n n n n n n n n n n n n n n n n a a a a a a a a a a a a a a a a +++----⎛⎫----+--======- ⎪-----+----⎝⎭--即11122112n n a a +--=--, ∴112n a ⎧⎫-⎨⎬-⎩⎭是首项为113132212a a --==--,公比为2的等比数列. (2)由(1)知,1122n n a -=-, 即321112222n n n n n n n a a b a a a ---==-==---, ∴()()21212-⋅=-⋅nn n b n ,()123123252212n n S n =⋅+⋅+⋅++-⋅,① ()23412123252212n n S n +=⋅+⋅+⋅++-⋅,②①减②得()()()112311421222222122221212n nn n n S n n +++--=⋅++++--⋅=+⋅--⋅-()13226n n +=-⋅-.∴()12326n n S n +=-⋅+.∴()()()21112122322210++++-=-⋅--⋅=+>n n n n n S S n n n ,∴n S .单调递增.∵7692611582021S =⨯+=<,87112628222021S =⨯+=>.故使2021n S <成立的最大自然数6n =. 【点睛】解题的关键是根据所给形式,进行配凑和整理,根据等比数列定义,即可得证,求和常用的方法有:①公式法,②倒序相加法,③裂项相消法,④错位相减法等,需熟练掌握. 22.(1)存在,2k =或3k =;(2)证明见解析. 【分析】(1)若数列{}1n n c kc +-为等比数列,则有()()()21211n n n n n n c kc c kc c kc +++--=-⋅-,其中2n ≥且*n ∈N ,将23nnn c =+代入上式,整理得1(2)(3)2306n n k k --⋅⋅=化简即可得出答案;(2)证{}n c 不是等比数列只需证2213c c c ≠⋅,验证其不成立即可.【详解】解:(1)由题意知,若数列{}1n n c kc +-为等比数列,则有()()()21211n n n n n n c kc c kc c kc +++--=-⋅-,其中2n ≥且*n ∈N , 将23nnn c =+代入上式,得()()()211221111232323232323n n n n n n n n n n n n k k k ++++++--⎡⎤⎡⎤⎡⎤+-+=+-+⋅+-+⎣⎦⎣⎦⎣⎦, 即21111(2)2(3)3(2)2(3)3(2)2(3)3n n n n n n k k k k k k ++--⎡⎤⎡⎤⎡⎤-+-=-+-⋅-+-⎣⎦⎣⎦⎣⎦,整理得1(2)(3)2306n nk k --⋅⋅=,解得2k =或3k =.(2)设数列{}n a ,{}n b 的公比分别为,,p q p q ≠且,0p q ≠,11,0a b ≠, 则1111n n n c a pb q --=+,为证{}n c 不是等比数列,只需证2213c c c ≠⋅, 事实上()22222221111112c a p b q a p a b pq b q =+=++,()()()222222221311111111c c a b a p b q a p a b p q b q ⋅=+⋅+=+++,由于p q ≠,故222p q pq +>,又11,0a b ≠,从而2213c c c ≠⋅,所以{}n c 不是等比数列. 【点睛】方法点睛:等差、等比数列的证明经常利用定义法和等比中项法,通项公式法和前n 项和公式法经常在选择题、填空题中用来判断数列是否为等差、等比数列不能用来证明.23.(1)证明见解析;(2)(21)3144n n n S -=+.【分析】(1)将13(1)n n na n a +=+变形为131n n a an n+=+,得到{}n b 为等比数列,(2)由(1)得到{}n a 的通项公式,用错位相减法求得n S 【详解】(1)由11a =,13(1)n n na n a +=+,可得131n na a n n+=+, 因为nn a b n=则13n n b b +=,11b =,可得{}n b 是首项为1,公比为3的等比数列, (2)由(1)13n n b -=,由13n na n-=,可得13n n a n -=⋅, 01211323333n n S n -=⋅+⋅+⋅++⋅,12331323333n n S n =⋅+⋅+⋅++⋅,上面两式相减可得:0121233333n n n S n --=++++-⋅13313n n n -=-⋅-, 则(21)3144n n n S -=+.【点睛】数列求和的方法技巧:(1)倒序相加:用于等差数列、与二项式系数、对称性相关联的数列的求和. (2)错位相减:用于等差数列与等比数列的积数列的求和. (3)分组求和:用于若干个等差或等比数列的和或差数列的求和.(4) 裂项相消法:用于通项能变成两个式子相减,求和时能前后相消的数列求和.24.(1)2nn a =;(2)21n b n =-,数列{}n b 前10项的和10100S =.【分析】(1)利用等比数列的通项公式,结合已知12a =,416a =,可以求出公比,这样就可以求出数列{}n a 的通项公式;(2)由数列{}n a 的通项公式,可以求出21a -和 358a 的值,这样也就求出2b 和 3b 的值,这样可以求出等差数列{}n b 的公差,进而可以求出通项公式,利用前n 项和公式求出数列{}n b 前10项的和.【详解】(1)设等比数列的公比为q ,由已知12a =,34121616q a a q =⇒⋅=⇒=,所以112n n n a q a -=⋅=,即数列{}n a 的通项公式为2n n a =;(2)由(1)知2nn a =,所以2221213b a =-=-=,333552588b a ==⨯=, 设等差数列{}n b 的公差为d ,则322d b b -==,12121n d b b n b =-=∴=-, 设数列{}n b 前10项的和为10S ,则11010910910101210022S d b ⨯⨯=+⋅=⨯+⨯=, 所以数列{}n b 的通项公式21n b n =-,数列{}n b 前10项的和10100S =. 【点睛】方法点睛:数列求和的常用方法:(1)公式法:即直接用等差、等比数列的求和公式求和.(2)错位相减法:若{}n a 是等差数列,{}n b 是等比数列,求1122n n a b a b a b ++⋅⋅⋅. (3)裂项相消法:把数列的通项拆成两项之差,相消剩下首尾的若干项.常见的裂顶有()11111n n n n =-++,()1111222n n n n ⎛⎫=- ⎪++⎝⎭,()()1111212122121n n n n ⎛⎫=- ⎪-+-+⎝⎭等.(4)分组求和法:把数列的每一项分成若干项,使其转化为等差或等比数列,再求和. (5)倒序相加法.25.(1)条件性选择见解析,2n n a =;(2)332n nn T +=-. 【分析】(1)选①:由题意可得32442a a a =+-,再利用等比数列的公比为2可求1a ,进而可求数列{}n a 的通项公式;选②:22n n S a =-,令1n =可求1a ,当2n ≥时,可得1122n n S a --=-,与已知条件两式相减可求得()122n n a a n -=≥,进而可求数列{}n a 的通项公式;选③:122n n S +=-,当1n =时,112S a ==,当2n ≥时,122n n S -=-,与已知条件两式相减可求得2nn a =,检验12a =也满足,进而可求数列{}n a 的通项公式;(2)由(1)知2nn a =,则221log 1log 2122n n n n n n a n b a +++===,利用乘公比错位相减即可求和. 【详解】(1)选①:因为2a ,3a ,44a -成等差数列, 所以32442a a a =+-,又因为数列{}n a 的公比为2,所以2311122242a a a ⨯=+⨯-,即1118284a a a =+-,解得12a =, 所以1222n n n a -=⨯=.选②:因为22n n S a =-,当1n =时,1122S a =-,解得12a =. 当2n ≥时,1122n n S a --=-,所以()()111222222n n n n n n n a S S a a a a ---=-=---=-. 即()122n n a a n -=≥.所以数列{}n a 是首项为2,公比为2的等比数列. 故1222n n n a -=⨯=.选③:因为122n n S +=-,所以当1n =时,112S a ==,当2n ≥时,122nn S -=-,所以()()1122222n n nn n n a S S +-=-=---=,当1n =时,1122a ==依然成立.所以2nn a =. (2)由(1)知2nn a =,则221log 1log 2122n n n n n n a n b a +++===, 所以2323412222n n n T +=++++, ① 231123122222n n n n n T ++=++++, ② ①-②得23111111122222n n n n T ++⎛⎫=++++- ⎪⎝⎭ 212111111111111121222211111222221122n n n n n n n n n -+++++⎛⎫-- ⎪+++⎝⎭=+-=+-=+---- 13322n n ++=-. 所以332n nn T +=-. 所以数列{}n b 的前n 项和332n n n T +=-. 【点睛】方法点睛:数列求和的方法(1)倒序相加法:如果一个数列{}n a 的前n 项中首末两端等距离的两项的和相等或等于同一个常数,那么求这个数列的前n 项和即可以用倒序相加法(2)错位相减法:如果一个数列的各项是由一个等差数列和一个等比数列的对应项之积构成的,那么这个数列的前n 项和即可以用错位相减法来求;(3)裂项相消法:把数列的通项拆成两项之差,在求和时,中间的一些项可相互抵消,从而求得其和;(4)分组转化法:一个数列的通项公式是由若干个等差数列或等比数列或可求和的数列组成,则求和时可用分组转换法分别求和再相加减;(5)并项求和法:一个数列的前n 项和可以两两结合求解,则称之为并项求和,形如()()1nn a f n =-类型,可采用两项合并求解. 26.(1)*3,(1)2,(2,)n n a n n n N =⎧=⎨≥∈⎩;(2)证明见解析. 【分析】(1)利用*1,(1),(2,)n n nn S n a S S n n N -=⎧=⎨-≥∈⎩求解即可;(2)利用n a 求n b ,当1n =时,1151224b =≤显然成立,当2n ≥时,利用列项相消法求和判断即可. 【详解】解:(1)当1n =时,111113a S ==++=;当2n ≥时,1n n n a S S -=-22(1)[(1)(1)1]n n n n =++--+-+2n =,所以*3,(1)2,(2,)n n a n n n N =⎧=⎨≥∈⎩; (2)由(1)易知*1,(1)121(2,),4(1)n n b n n N n n ⎧⎪=⎪=⎨≥∈⎪+⎪⎩ 当1n =时,1151224b =≤显然成立. 当2n ≥时,1111()4(1)41n b n n n n ==-++, 123n n T b b b b =+++ 11111111[()()()]12423341n n =+-+-++-+ 1111()12421n =+-+ 515244(1)24n =-<+; 故结论成立.【点睛】关键点睛:本题考查数列求通项公式,利用数列求和证明不等式.利用列项相消法求和是解决本题的关键.。
高中数学学习材料金戈铁骑整理制作高一数学必修五第二单元:数列单元过关试卷命制学校:沙市五中 命制老师:雷燕一、选择题(本大题共12小题,每小题5分,共60分,在每小题给出的四个选项中,只有一项是符合题目要求的)1. 2011是等差数列:1,4,7,10,…的第几项( ) (A )669 (B )670 (C )671 (D )6722.数列{a n }满足a n =4a n-1+3,a 1=0,则此数列的第5项是( ) (A )15 (B )255 (C )20 (D )83.等比数列{a n }中,如果a 6=6,a 9=9,那么a 3为( ) (A )4 (B )23 (C )916 (D )2 4.在等差数列{a n }中,a 1+a 3+a 5=105,a 2+a 4+a 6=99,则a 20=( ) (A )-1 (B )1 (C )3 (D )75.在等差数列{a n }中,已知a 1=2,a 2+a 3=13,则a 4+a 5+a 6=( ) (A )40 (B )42 (C )43 (D )456.记等差数列的前n 项和为S n ,若S 2=4,S 4=20,则该数列的公差d=( ) (A)2 (B)3 (C)6 (D)77.等差数列{a n }的公差不为零,首项a 1=1,a 2是a 1和a 5的等比中项,则数列的前10项之和是( ) (A )90 (B )100 (C )145 (D )1908.在数列{a n }中,a 1=2,2a n+1-2a n =1,则a 101的值为( ) (A )49 (B )50 (C )51 (D )529.计算机是将信息转化成二进制数进行处理的,二进制即“逢二进一”,如(1101)2表示二进制的数,将它转化成十进制的形式是1×23+1×22+0×21+1×20=13,那么将二进制数16111⋅⋅⋅位转换成十进制数的形式是( )(A )217-2 (B )216-1 (C )216-2 (D )215-110.在等差数列{a n }中,若a 1+a 2+a 3=32,a 11+a 12+a 13=118,则a 4+a 10=( ) (A )45 (B )50 (C )75 (D )60二、填空题(本大题共4小题,每小题5分,共20分,请把正确的答案填在题中的横线上) 11.(2011·江西高考)已知数列{a n }的前n 项和S n 满足:S n +S m =S n+m ,且a 1=1,那么a 10=_______12.等比数列{a n }满足a n >0,n=1,2,…,且a 5·a 2n-5=22n(n ≥3),则当n ≥1时,log 2a 1+log 2a 3+…+log 2a 2n-1=____ 13.等差数列{a n }前m 项的和为30,前2m 项的和为100,则它的前3m 项的和为______. 14.(2011·广东高考)已知{a n }是递增等比数列,a 2=2,a 4-a 3=4,则此数列的公比q=______. 15.两个等差数列{a n }, {b n },12n 12n a a a 7n 2b b b n 3++⋯++=++⋯++,则55a b =______. 三、解答题(本大题共6小题,共70分,解答时应写出必要的文字说明、证明过程或演算步骤) 16. (12分)已知等差数列{a n }的公差d =1,前n 项和为S n .(1)若1,a 1,a 3成等比数列,求a 1; (2)若S 5>a 1a 9,求a 1的取值范围.17.(10分)已知数列{a n }是等差数列,a 2=3,a 5=6,求数列{a n }的通项公式与前n 项的和M n . 18.(12分)等比数列{a n }的前n 项和为S n ,已知S 1,S 3,S 2成等差数列. (1)求{a n }的公比q ; (2)若a 1-a 3=3,求S n .19.(12分)数列{a n }的前n 项和为S n ,数列{b n }中,b 1=a 1,b n =a n -a n-1(n ≥2),若a n +S n =n ,c n =a n -1. (1)求证:数列{c n }是等比数列; (2)求数列{b n }的通项公式.20.(12分)如果有穷数列a 1,a 2,a 3,…,a m (m 为正整数)满足条件a 1=a m , a 2=a m-1,…,a m =a 1,即a i =a m-i+1(i=1,2,…,m),我们称其为“对称数列”.例如,数列1,2,5,2,1与数列8,4,2,2,4,8都是“对称数列”. (1)设{b n }是7项的“对称数列”,其中b 1,b 2,b 3,b 4是等差数列,且b 1=2,b 4=11.依次写出{b n }的每一项;(2)设{c n }是49项的“对称数列”,其中c 25,c 26,…,c 49是首项为1,公比为2的等比数列,求{c n }各项的和S.21.(12分)已知数列{a n }的前n 项和为()nn n 1S ,S 312=-(*n N ∈),等差数列{b n }中,b n >0(*n N ∈),且b 1+b 2+b 3=15,又a 1+b 1,a 2+b 2,a 3+b 3成等比数列. (1)求数列{a n },{b n }的通项公式; (2)求数列{a n +b n }的前n 项和T n .(选做题)22.(12分)某商店为了促进商品销售,特定优惠方式,即购买某种家用电器有两种付款方式可供顾客选择,家用电器价格为2 150元.第一种付款方式:购买当天先付150元,以后每月这一天都交付200元,并加付欠款利息,每月利息按复利计算,月利率为1%;第二种付款方式:购买当天先付150元,以后每个月付款一次,10个月付清,每月付款金额相同,每月利息按复利计算,月利率1%.试比较两种付款方法,计算每月所付金额及购买这件家用电器总共所付金额.答案解析1.【解析】选C.∵2011=1+(n-1)×(4-1),∴n=671.2.【解析】选B.由a n =4a n-1+3,a 1=0,依次求得a 2=3,a 3=15,a 4=63,a 5=255.3.【解析】选A.等比数列{a n }中,a 3,a 6,a 9也成等比数列,∴a 62=a 3a 9,∴a 3=4. 4.【解析】选B.a 1+a 3+a 5=105,∴a 3=35,同理a 4=33, ∴d=-2,a 1=39,∴a 20=a 1+19d=1.5.【解析】选B.设公差为d,由a 1=2,a 2+a 3=13,得d=3,则a 4+a 5+a 6= (a 1+3d)+(a 2+3d)+(a 3+3d) =(a 1+a 2+a 3)+9d=15+27=42.6.【解析】选B.S 4-S 2=a 3+a 4=20-4=16,∴a 3+a 4-S 2=(a 3-a 1)+(a 4-a 2)=4d=16-4=12,∴d=3.7.【解析】选B.设公差为d,∴(1+d)2=1×(1+4d), ∵d ≠0,∴d=2,从而S 10=100.8.【解题提示】利用等差数列的定义. 【解析】选D.∵2a n+1-2a n =1,∴n 1n 1a a 2+-=, ∴数列{a n }是首项a 1=2,公差1d 2=的等差数列, ∴()1011a 21011522=+-=. 9.【解析】选B.形式为:1×215+1×214+1×213+…+1×21+1×20=216-1.10.【解析】选B.由已知a 1+a 2+a 3+a 11+a 12+a 13=150,∴3(a 1+a 13)=150,∴a 1+a 13=50,∴a 4+a 10=a 1+a 13=50. 11.【解题提示】结合S n +S m =S n+m ,对m,n 赋值,令n=9,m=1,即得S 9+S 1=S 10,即得a 10=1. 【解析】选A.∵S n +S m =S n+m ,∴令n=9,m=1,即得S 9+S 1=S 10,即S 1=S 10-S 9=a 10, 又∵S 1=a 1,∴a 10=1.12.【解题提示】由已知可先求得通项公式,再由对数的性质进行运算. 【解析】选C.a 5·a 2n-5=22n(n ≥3),∴a n 2=22n,a n >0,∴a n =2n,log 2a 1+log 2a 3+…+log 2a 2n-1 =1+3+…+(2n-1)=n 2.13.【解题提示】利用等差数列前n 项和的性质【解析】由题意可知S m ,S 2m -S m ,S 3m -S 2m 成等差数列,2(S 2m -S m )=S m +S 3m -S 2m ∴S 3m =3(S 2m -S m )=3×(100-30)=210. 答案:21014.【解题提示】由等比数列的通项公式,可得关于公比q 的方程,从而求出q.【解析】由a 4-a 3=4得a 2q 2-a 2q=4,即2q 2-2q=4,解得q=2或q=-1(由数列是递增数列,舍去). 答案:215.【解题提示】利用等差数列的前n 项和的有关性质进行运算.【解析】设两个等差数列{a n },{b n }的前n 项和分别为A n ,B n .则()()195919599a a a A 7926529b b b B 93122+⨯+====++.答案:6512三、解答题: 16.【解析(1)因为数列{a n }的公差d =1,且1,a 1,a 3成等比数列,所以a 21=1×(a 1+2), 即a 21-a 1-2=0,解得a 1=-1或a 1=2. (2)因为数列{a n }的公差d =1,且S 5>a 1a 9, 所以5a 1+10>a 21+8a 1,即a 21+3a 1-10<0,解得-5<a 1<2. 故a 1的取值范围为(-5,2).17.【解析】设{a n }的公差为d, ∵a 2=3,a 5=6,∴11a d 3a 4d 6+=⎧⎨+=⎩,∴a 1=2,d=1, ∴a n =2+(n-1)=n+1.()2n 1n n 1n 3nM na d .22-+=+=18.【解析】(1)依题意有a 1+(a 1+a 1q)=2(a 1+a 1q+a 1q 2)由于a 1≠0,故2q 2+q=0,又q ≠0,从而1q 2=-. (2)由已知得a 1-a 1(12-)2=3, 故a 1=4从而n n n 141()812S 113212--==----[][()](). 19.【解析】(1)∵a 1=S 1,a n +S n =n,① ∴a 1+S 1=1,得11a 2=. 又a n+1+S n+1=n+1 ② ①②两式相减得2(a n+1-1)=a n -1, 即n 1n a 11a 12+-=-,也即n 1n c 1c 2+=,故数列{c n }是等比数列. (2)∵111c a 12=-=-, ∴n n n n n 11c ,a c 1122=-=+=-, n 1n 11a 12--=-.故当n ≥2时,n n n 1n 1n n 111b a a 222--=-=-=.又111b a 2==,即n n 1b 2=.20.【解题提示】利用等比数列的前n 项和公式进行计算.【解析】(1)设数列{b n }的公差为d ,则b 4=b 1+3d=2+3d=11,解得d=3, ∴数列{b n }为2,5,8,11,8,5,2. (2)S=c 1+c 2+…+c 49 =2(c 25+c 26+…+c 49)-c 25 =2(1+2+22+…+224)-1 =2(225-1)-1=226-3.21.【解析】(1)a 1=1,a n =S n -S n-1=3n-1,n>1,∴a n =3n-1(*n N ∈),∴数列{a n }是以1为首项,3为公比的等比数列,∴a 1=1,a 2=3,a 3=9,在等差数列{b n }中, ∵b 1+b 2+b 3=15,∴b 2=5.又因a 1+b 1,a 2+b 2,a 3+b 3成等比数列,设等差数列{b n }的公差为d, ∴(1+5-d )(9+5+d)=64,解得d=-10或d=2, ∵b n >0(*n N ∈),∴舍去d=-10,取d=2,∴b 1=3. ∴b n =2n+1(*n N ∈). (2)由(1)知 ∴T n =a 1+b 1+a 2+b 2+…+a n +b n =(a 1+a 2+…+a n )+(b 1+b 2+…+b n )()n n 32n 113132++-=+- n 231n 2n 22=++-. 22.【解题提示】第一种付款方式是等差数列模型,第二种付款方式是等比数列模型,分别计算出实际共付金额,再比较得出结论.【解析】第一种方式:购买时先付150元,欠2 000元,按要求知10次付清,则 第1次付款金额为a 1=200+2 000×0.01=220(元); 第2次付款金额为a 2=200+(2 000-200)×0.01=218(元) ……第n 次付款金额为a n =200+[2 000-(n-1)×200]×0.01=220-(n-1)×2(元).不难看出每次所付款金额顺次构成以220为首项,-2为公差的等差数列,所以10次付款总金额为()10109S 102202 2 1102⨯=⨯+⨯-= (元),实际共付2 260元.第二种方式:购买时先付150元,欠2 000元,则10个月后增值为2 000×(1+0.01)10=2 000×(1.01)10(元). 设每月付款x 元,则各月所付的款额连同最后一次付款时生成的利息之和分别是(1.01)9x,(1.01)8x,…,x,其构成等比数列,和为()101011.01S x 11.01-=-·. 应有()1010S 2 0001.01=⨯,所以x ≈211.2,每月应付211.2元,10次付款总金额为2 112元,实际共付2 262元,所以第一种方式更省钱.【方法技巧】分清类型解数列应用题解数列应用题要明确问题是属于哪一种类型,即明确是等差数列问题还是等比数列问题,是求a n还是求S n,特别要弄清项数为多少,试题中常见的数列类型有:(1)构造等差、等比数列模型,然后再应用数列的通项公式及求和公式求解;。
高二数学单元测试题(数列)一.选择题:本大题共10小题,每小题5分,共50分.1.数列K ,161,81,41,21--的一个通项公式可能是( )A .n n 21)1(-B .n n 21)1(-C .n n 21)1(1--D .n n 21)1(1--2.在等差数列{}n a 中,22a =,3104,a a =则=( )A .12B .14C .16D .183.如果等差数列{}n a 中,34512a a a ++=,那么127...a a a +++=( )(A )14 (B )21 (C )28 (D )35 4.设数列{}n a 的前n 项和3S n n =,则4a 的值为( )(A ) 15 (B) 37 (C) 27 (D )64 5.设等比数列{}n a 的公比2q =,前n 项和为n S ,则42S a =( ) A .2 B .4 C .215D .217 6.设n S 为等比数列{}n a 的前n 项和,已知3432S a =-,2332S a =-,则公比q =( ) (A )3 (B )4 (C )5 (D )6 7. 已知,231,231-=+=b a 则b a ,的等差中项为( ) A .3 B .2 CD8.已知}{n a 是等比数列,22a =,514a =,则12231n n a a a a a a ++++=L ( )A .32(12)3n -- B .16(14)n -- C .16(12)n -- D .32(14)3n -- 9.若数列}{n a 的通项公式是(1)(32)n n a n =--,则1220a a a ++⋅⋅⋅+= ( ) (A )30(B )29 (C )-30 (D )-2910.已知等比数列{}n a 满足0,1,2,n a n >=L ,且25252(3)n n a a n -⋅=≥,则当1n ≥时,2123221log log log n a a a -+++=L ( )A. (21)n n -B. 2(1)n +C. 2nD. 2(1)n -二.填空题:本大题共4小题,每小题5分,满分20分.11.已知数列{}n a 满足: 35a =,121n n a a +=- (n ∈N*),则1a = ________. 12.已知{}n a 为等比数列,472a a +=,568a a =-,则110a a +=________.13.设等差数列{}n a 的公差d 不为0,19a d =.若k a 是1a 与2k a 的等比中项,则k =______. 14. 已知数列{}n a 的首项12a =,122nn n a a a +=+,1,2,3,n =…,则 2012a = ________. 三.解答题:本大题共6小题,满分80分.15.(12分)一个等比数列{}n a 中,14232812a a a a +=+=,,求这个数列的通项公式. 17.(14分)等差数列{}n a 满足145=a ,207=a ,数列{}n b 的前n 项和为n S ,且22n n b S =-. (Ⅰ) 求数列{}n a 的通项公式; (Ⅱ) 证明数列{}n b 是等比数列.18.(14分)已知等差数列{}n a 满足:25a =,5726a a +=,数列{}n a 的前n 项和为n S . (Ⅰ)求n a 及n S ;(Ⅱ)设{}n n b a -是首项为1,公比为3的等比数列,求数列{}n b 的前n 项和n T .19. (14分)设{}n a 是公比为正数的等比数列,12a =,324a a =+. (Ⅰ)求{}n a 的通项公式; (Ⅱ)求数列{(21)}n n a +的前n 项和S n . 20.(14分)已知数列{}n a 的前n 项和为n S ,点,n S n n ⎛⎫ ⎪⎝⎭在直线11122y x =+上. (Ⅰ)求数列{}n a 的通项公式; (Ⅱ)设13(211)(211)n n n b a a +=--,求数列{}n b 的前n 项和为n T ,并求使不等式20n kT >对一切*n ∈N 都成立的最大正整数k 的值.。
新课标高中数学人教A 版必修5第二章单元素质测试题——数列与等差数列(训练时间90分钟,满分100分) 姓名__________评价__________一、选择题(本大题共8小题,每小题5分,共40分. 以下给出的四个备选答案中,只有一个正确)1.(10安徽文5)设数列{}n a 的前n 项和2n S n =,则8a 的值( )A. 15B. 16C. 49D.642.(07辽宁文5)设等差数列{}n a 的前n 项和为n S ,若39S =,636S =,则789a a a ++=( ) A .63B .45C .36D .273.(09安徽理5)已知{}n a 为等差数列,1a +3a +5a =105,246a a a ++=99.以n S 表示{}n a 的前n 项和,则使得n S 达到最大值的n 是( )A.21B.20C.19D. 184.(11全国Ⅰ文6) 设为n S 等差数列{}n a 的前n 项和,若11=a ,公差24,22=-=+k k S S d ,则=k ( )A. 8B. 7C. 6D.5 5.(08江西理5)在数列{}n a 中,12a =,11ln(1)n n a a n+=++,则n a =( ) A .2ln n + B .2(1)ln n n +- C .2ln n n + D .1ln n n ++ 6.(11安徽文7)若数列}{n a 的通项公式是=+++--=1021),23()1(a a a n a n n 则( )A.15B.12C.-12D.-157.(12全国Ⅰ理5)已知等差数列{}n a 的前n 项和为n S ,55a =,515S =,则数列11{}n n a a + 的前100项和为( )A.100101 B.99101C.99100D.101100 8.(12浙江理7)设S n 是公差为d (d ≠0)的无穷等差数列{a n }的前n 项和,则下列命题错.误.的是( )A .若d <0,则数列{S n }有最大项B .若数列{S n }有最大项,则d <0C .若数列{S n }是递增数列,则对任意的n ∈N*,均有S n >0D .若对任意的n ∈N*,均有S n >0,则数列{S n }是递增数列二、填空题(本大题共3小题,每小题5分,共15分.把答案填在对应题号后的横线上)9.(11天津文11)已知{}n a 为等差数列,n S 为其前n 项和,*n N ∈,若32016,20,a S ==则10S 的值为_______.10.(12广东理11)已知递增的等差数列{}n a 满足11a =,2324a a =-,则n a =________.11.(09宁夏理14)等差数列{}n a 的前n 项和为n S ,且53655,S S -=则4a = . 三、解答题(本大题共4小题,共45分. 解答应写出文字说明,证明过程或演算步骤) 12.(本题满分9分,11福建文17)已知等差数列{}n a 中,3131-==a a ,. (Ⅰ)求数列{}n a 的通项公式;(Ⅱ)若数列{}n a 的前k 项和35-=k S ,求k 的值.13.(本题满分12分,09全国Ⅱ文17) 已知等差数列{}n a 中,,0,166473=+-=a a a a 求{}n a 前n 项和n S .14.(本题满分12分,10浙江文19)设1a ,d 为实数,首项为1a ,公差为d 的等差数{}n a 的前n 项和为n S ,满足01565=+S S .(Ⅰ)若55=S ,求n S 及1a ; (Ⅱ)求d 的取值范围.15.(本题满分12分,12全国Ⅰ文18)已知数列{}n a 中,11=a ,前n 项和.32n n a n S +=(Ⅰ)求;,32a a (Ⅱ)求{}n a 的通项公式.新课标高中数学人教A 版必修5第二章单元素质测试题——数列与等差数列(参考答案) 一、选择题答题卡: 题号 1 2 3 4 5 6 7 8 答案ABBDAAAC二、填空题9. 110 . 10.12-n . 11. 31. 三、解答题12. 解:(Ⅰ)设等差数列{}n a 的公差为d ,则1(1).n a a n d =+- 由121,312 3.a a d ==-+=-可得 解得.2-=d从而,1(1)(2)32.n a n n =+-⨯-=- (Ⅱ)由(Ⅰ)可知32n a n =-, 所以2[1(32)]2.2n n n S n n +-==-进而由2135235,S k k =--=-可得即22350k k --=,解得7 5.k k ==-或 又*,7k N k ∈=故为所求.13.解法一:设等差数列{}n a 的公差为d ,则,,,2,256545753d a a d a a d a a d a a +=-=+=-=根据题意,得⎩⎨⎧=++--=+-016)2)(2(5555d a d a d a d a ,即⎪⎩⎪⎨⎧=-=-021645225a d a . 解之得.2,05±==d a①当2,05==d a 时,8451-=-=d a a ,n n n n n d n n na S n 9)1(82)1(21-=-+-=-+=; ②当2,05-==d a 时,8451=-=d a a ,.9)1(82)1(21n n n n n d n n na S n +-=--=-+= 解法二:设等差数列{}n a 的公差为d ,则06473=+=+a a a a .由⎩⎨⎧=+-=0167373a a a a 得⎩⎨⎧-==4473a a 或⎩⎨⎧=-=4473a a①当4,473-==a a 时,.8,102)3(,2,841337=+-=-+=-=∴-=-=a n d n a a d a a d n.92)8102(2)(21n n n n a a n S n n +-=++-=+=②当4,473=-=a a 时,.8,102)3(,2,841337-=-=-+==∴=-=a n d n a a d a a d n.92)8102(2)(21n n n n a a n S n n -=--=+=14.解:(Ⅰ)由55=S 和01565=+S S 得36-=S ..8566-=-=∴S S a⎩⎨⎧-=+==+=∴8551051615d a a d a S .解之得.3,71-==d an n n n n d n n na S n 21723)1(2372)1(21+-=--=-+=. .7,2172312=+-=∴a n n S n(Ⅱ)解:56150,S S += 11(510)(615)150.a d a d \+++=即2211291010.a da d +++=因为1a 可求,即关于1a 的一元二次方程有解, 所以08)110(2481222≥-=+⨯⨯-=∆d d d . 解之得22-≤d 或22≥d .故d 的取值范围为(][)∞+-∞-,,2222 . 15. 解:(Ⅰ)根据题意得2234a S =,即22134a a a =+, .3312==∴a a又3335a S =,332135a a a a =++, .6)(23213=+=∴a a a(Ⅱ)11=a ,1>n 时,113132--+-+=-=n n n n n a n a n S S a , 整理得.111--+=n n a n n a 即.111-+=-n n a a n n 1122332211a a a a a a a a a a a a n n n n n n n ⋅⋅⋅⋅=∴----- .2)1(23)2)(1(3)2)(1()1(1132431211n n n n n n n n n n n n n n +=⋅----⋅+=⋅⋅--⋅-⋅-+= 11=a 满足上式.故{}n a 的通项公式为.2)1(nn a n +=。
数列综合训练题( )1.在等差数列}{n a 中,836a a a +=,则=9S (A )0 (B )1 (C )1- (D )以上都不对 A( )2.在等比数列}{n a 中,3a 和 5a 是二次方程 052=++kx x 的两个根,则642a a a 的值为 (A )55± (B )55 (C ) 55- (D )25 【答案】A( )3.设n S 为等差数列}{n a 的前n 项和。
已知)6(144,324,3666>===-n S S S n n 。
则n 等于 (A )16 (B ) 17 (C ) 18 (D )19【答案】B 解析:216)144324(36)(6)(166=-+=+=-+-n n n a a S S S , 361=+n a a ,3242)(1=+=n n a a n S ( )4.在数列}{n a 中,已知)(,5,1*1221N n a a a a a n n n ∈-===++,则2013a 等于(A )4- (B )5- (C ) 4 (D )1-【答案】C 解析:n n n n a a a a -=-=+++123Θ,n n n a a a =-=∴++36,200845a a ==。
( )5. 由公差为d 的等差数列a 1、a 2、a 3…重新组成的数列a 1+a 4, a 2+a 5, a 3+a 6…是A .公差为d 的等差数列B .公差为2d 的等差数列C .公差为3d 的等差数列D .非等差数列考查等差数列的性质.【答案】B (a 2+a 5)-(a 1+a 4)=(a 2-a 1)+(a 5-a 4)=2d .(a 3+a 6)-(a 2+a 5)=(a 3-a 2)+(a 6-a 5)=2d .依次类推.( )6. 已知三角形的三边构成等比数列,它们的公比为q ,则q 的取值范围是 A. B. C. D .)251,251(++- 【答案】D 设三边为2,,,a aq aq 则222a aq aq a aq aq aq aq a ⎧+>⎪+>⎨⎪+>⎩,即222101010q q q q q q ⎧--<⎪-+>⎨⎪+->⎩得q q R q q <<⎪⎪∈⎨⎪⎪><⎪⎩或,即1122q -<< ( )7. 在ABC ∆中,tan A 是以4-为第三项, 4为第七项的等差数列的公差,tan B 是以13为第三项,9为第六项的等比数列的公比,则这个三角形是( )A .钝角三角形B .锐角三角形C .等腰直角三角形D .以上都不对 【答案】B 374,4,2,tan 2,a a d A =-===361,9,3,tan 33b b q B ==== tan tan()1C A B =-+=,,,A B C 都是锐角( )8.三个数c b a ,,成等比数列,且)0(>=++m m c b a ,则b 的取值范围是 (A )]3,0[m (B )]3,[m m -- (C ))3,0(m (D )]3,0()0,[m m ⋃- 【答案】D 解析:设bq c q b a ==,,则有bmq q b m bq b q b =++∴≠=++11,0,Θ。
xx学校xx月考卷一、选择题(共12小题,每小题5.0分,共60分)1.设等差数列{an}的前n项和为Sn,Sm-1=-2,Sm=0,Sm+1=3,则m等于()A.3B.4C.5D.62.下列命题中一定正确的是()A.若a,b,c是等差数列,则lg a,lg b,lg c是等比数列B.若a,b,c是等比数列,则lg a,lg b,lg c是等差数列C.若a,b,c是等差数列,则10a,10b,10c是等比数列D.若a,b,c是等比数列,则10a,10b,10c是等差数列3.在等差数列{an}中,若a3+a4+a5+a6+a7=450,则a2+a8=()A.45B.75C.180D.3004.等差数列{an}的前m项的和是30,前2m项的和是100,则它的前3m项的和是() A.130B.170C.210D.2605.在等比数列{an}中,an>0,且a1+a2=1,a3+a4=9,则a4+a5的值为()A.16B.27C.36D.816.设公差为-2的等差数列{an},如果a1+a4+a7+…+a97=50,那么a3+a6+a9+…+a99等于()A.-182B.-78C.-148D.-827.若数列{an}满足3an+1=3an+1,则数列是()A.公差为1的等差数列B.公差为的等差数列C.公差为-的等差数列D.不是等差数列8.等比数列{an}的各项均为正数,且a2a9=9,数列{bn}满足bn=log3an,则数列{bn}前10项和为()A.10B.12C.8D.2+log359.某种细胞开始时有2个,一小时后分裂成4个并死去1个,两小时后分裂成6个并死去1个,三小时后分裂成10个并死去1个,…按照这种规律进行下去,100小时后细胞的存活数是( )个.A . 2100-1B . 2100+1C . 299-1D . 299+110.等差数列{an }的前n 项和为Sn ,已知am -1+am +1-a =0,S 2m -1=38,则m 等于( )A . 38B . 20C . 10D . 911.在等差数列{an }中,d =2,an =11,Sn =35,则a 1为( )A . 5或7B . 3或5C . 7或-1D . 3或-112.已知等差数列{an }中,前15项之和为S 15=90,则a 8等于( )A . 6B .C . 12D .二、填空题(共4小题,每小题5.0分,共20分)13.已知等比数列{an }的公比为正数,且a 3·a 9=2a ,a 2=1,则a 1=____________. 14.等差数列{an },{bn }的前n 项和分别是Sn ,Tn ,如果=,则=__________. 15.等比数列{an }中,若a 2,a 9是方程3x 2-11x +6=0的两根,则log 2(a 1a 2…a 10)=__________.16.设数列{an }为公比q >1的等比数列,若a 4,a 5是方程4x 2-8x +3=0的两根,则a 6+a 7=________.三、解答题(共6小题,每小题12.0分,共72分) 17.某人买了一辆价值13.5万元的新车,专家预测这种车每年按10%的速度贬值.(1) 用一个式子表示n (n ∈N *)年后这辆车的价值;(2) 如果他打算用满4年时卖掉这辆车,他大概能得到多少钱?18.成等差数列的三个正数的和等于15,并且这三个数分别加上2、5、13后成为等比数列{bn}中的b3、b4、b5.(1)求数列{bn}的通项公式;(2)数列{bn}的前n项和为Sn,求证:数列是等比数列.19.已知等差数列{an}满足:a3=7,a5+a7=26,{an}的前n项和为Sn.(1)求an及Sn;(2)令bn=(n∈N*),求数列{bn}的前n项和Tn.20.已知a,b,c成等差数列,证明a2(b+c),b2(c+a),c2(a+b)也能构成等差数列.21.根据各个数列的首项和递推公式,写出它的前五项,并归纳出通项公式.(1)a1=0,an=an+(2n-1)(n∈N*);+1(2)a1=1,an=(n∈N*).+122.某商店采用分期付款的方式促销一款价格每台为6 000元的电脑.商店规定,购买时先支付货款的,剩余部分在三年内按每月底等额还款的方式支付欠款,且结算欠款的利息.已知欠款的月利率为0.5%,到第一个月底,货主在第一次还款之前,他欠商店多少元?假设货主每月还商店a元,写出在第i(i=1,2,…,36)个月末还款后,货主对商店欠款数的表达式.答案解析1.【答案】C=3,故d=1,【解析】am=2,am+1因为Sm=0,故ma1+d=0,故a1=-,=5,因为am+am+1=2a1+(2m-1)d故am+am+1=-(m-1)+2m-1=5,即m=5.2.【答案】C【解析】A、D显然错误,当a,b,c中有负数时,其对数无意义,故B错误;对于C,若a,b,c成等差数列,则2b=a+c,∴ 10a·10c=10a+c=102b=(10b)2,∴ 10a,10b,10c是等比数列.3.【答案】C【解析】由题设a3+a4+a5+a6+a7=450得a5=90,∴a2+a8=2a5=180.4.【答案】C【解析】设Sn是等差数列{an}的前n项和,则Sm,S2m-Sm,S3m-S2m成等差数列,∴ 2(S2m-Sm)=Sm+S3m-S2m,代入数值解得S3m=210.故选C.5.【答案】B【解析】由已知a1+a2=1,a3+a4=9,∴q2=9.∴q=3(q=-3舍去),∴a4+a5=(a3+a4)q=27.6.【答案】D【解析】a3+a6+a9+…+a99=(a1+2d)+(a4+2d)+(a7+2d)+…+(a97+2d)=(a1+a4+…+a97)+2d×33=50+2×(-2)×33=-82.7.【答案】B【解析】由3an+1=3an+1,得3an+1-3an=1,即an+1-an=.所以数列{an}是公差为的等差数列.8.【答案】A【解析】b1+b2+…+b10=log3a1+log3a2+…+log3a10=log3(a1·a2·…·a10)=log3(a2a9)5=5log39=10.9.【答案】B【解析】由题意得1个,2个,3个,4个,5个…小时后分别有3,5,9,17,33…,可知,3=2+1,5=22+1,9=23+1,17=24+1,33=25+1,∴ 100小时后细胞存活数为2100+1个.10.【答案】C【解析】因为{an}是等差数列,所以am-1+am+1=2am,由am-1+am+1-a=0,得2am-a=0,由S2m-1=38知am≠0,所以am=2,又S2m-1=38,即=38,即(2m-1)×2=38,解得m=10,故选C.11.【答案】D【解析】由条件可得,解得a1=3或-1.12.【答案】A【解析】∵S15=×15=×15=15a8=90,∴a8=6,故选A.13.【答案】【解析】设公比为q,由已知得a1q2·a1q8=2(a1q4)2,即q2=2,∵等比数列{an}的公比为正数,∴q=,∴故a1===.14.【答案】【解析】======.15.【答案】5【解析】由根与系数的关系,得a2a9=2,又a2a9=a1a10=a3a8=a4a7=a5a6,∴ log2(a1a2…a10)=log225=5.16.【答案】18【解析】由题意得a4=,a5=,∴q==3.∴a6+a7=(a4+a5)q2=(+)×32=18.17.【答案】(1)an=13.5×(0.9)n-1万元;(2) 9.8万元.【解析】(1) 从第一年起,每年车的价值(万元)依次设为:a1,a2,a3,…,an,由题意,得a1=13.5,a2=13.5(1-10%),a3=13.5(1-10%)2,….由等比数列定义,知数列{an}是等比数列,首项a1=13.5,公比q=(1-10%)=0.9,∴an=a1·qn-1=13.5×(0.9)n-1.∴n年后车的价值为an=13.5×(0.9)n-1万元.(2) 由(1)得a4=a1·q3=13.5×0.93≈9.8(万元),∴用满4年时卖掉这辆车,大概能得到9.8万元.18.【答案】(1)解设成等差数列的三个正数分别为a-d,a,a+d,依题意,得a-d+a+a+d=15,解得a=5.所以{bn}中的b3,b4,b5依次为7-d,10,18+d.依题意,有(7-d)(18+d)=100,解得d=2或d=-13(舍去).故{bn}的第3项为5,公比为2.由b3=b1·22,即5=b1·22,解得b1=.所以{bn}是以为首项,2为公比的等比数列,其通项公式为bn=·2n-1=5·2n-3.(2)证明数列{bn}的前n项和Sn==5·2n-2-,即Sn+=5·2n-2.所以S1+=,==2.因此是以为首项,2为公比的等比数列.【解析】19.【答案】(1)设等差数列{an}的首项为a1,公差为d.因为a3=7,a5+a7=26,所以解得所以an=3+2(n-1)=2n+1,=3n+×2=n2+2n.Sn所以,an=2n+1,Sn=n2+2n.(2)由(1)知an=2n+1,所以bn===·=·,所以Tn=·(1-+-+…+-)=·(1-)=,即数列{bn}的前n项和Tn=.【解析】20.【答案】证明∵a,b,c成等差数列,∴a+c=2b.∴a2(b+c)+c2(a+b)=a2b+a2c+c2a+c2b=(a2b+c2b)+(a2c+c2a)=b(a2+c2)+ac(a+c)=b(a2+c2)+2abc=b(a2+c2+2ac)=b (a +c )2=b ·(a +c )·(a +c ) =2·b 2(a +c ). ∴a 2(b +c ),b 2(c +a ),c 2(a +b )能构成等差数列.【解析】21.【答案】(1)an =(n -1)2(2)an =【解析】(1)a 1=0,a 2=1,a 3=4,a 4=9,a 5=16,∴an =(n -1)2.(2)a 1=1,a 2=,a 3==,a 4=,a 5==,∴an =. 22.【答案】(1) 4 020(元) ;(2)yi =4 000(1+0.5%)i -a (i =1,2,…,36).【解析】(1) 因为购买电脑时,货主欠商店的货款,即6 000×=4 000(元), 又按月利率0.5%到第一个月底的欠款数应为4 000(1+0.5%)=4 020(元).(2)设第i 个月底还款后的欠款数为yi ,则有y 1=4 000(1+0.5%)-a , y 2=y 1(1+0.5%)-a =(1+0.5%)2-a (1+0.5%)-a ,y 3=y 2(1+0.5%)-a =4 000(1+0.5%)3-a (1+0.5%)2-a (1+0.5%)-a , …yi =yi -1(1+0.5%)-a =4 000(1+0.5%)i -a (1+0.5%)i -1-a (1+0.5%)i -2-…-a ,由等比数列的求和公式,得yi =4 000(1+0.5%)i -a(i =1,2,…,36).。
必修5 数列2.等差数列{}n a 中,()46810129111120,3a a a a a a a ++++=-则的值为A .14B .15C .16D .173.等差数列{}n a 中,12910S S a =>,,则前 项的和最大.解:0912129=-=S S S S , 10111211111030,00a a a a a a ∴++=∴=∴=>,,又4.已知等差数列{}n a 的前10项和为100,前100项和为10,则前110项和为 .解:∵ ,,,,,1001102030102010S S S S S S S ---成等差数列,公差为D 其首项为10010=S ,6.设等差数列{}n a 的前n 项和为n S ,已知001213123<>=S S a ,,.①求出公差d 的范围;②指出1221S S S ,,, 中哪一个值最大,并说明理由. 解:①)(6)(610312112a aa a S +=+=36(27)0a d =+>②12671377666()013000S a a S a a a S =+>=<∴<>∴, 最大。
1. 已知等差数列{}n a 中,12497116a a a a ,则,===+等于( )A .15B .30C .31D .64794121215a a a a a +=+∴= A2. 设n S 为等差数列{}n a 的前n 项和,971043014S S S S ,则,=-== .543. 已知等差数列{}n a 的前n 项和为n S ,若=+++=118521221a a a a S ,则 . 4. 等差数列{}n a 的前n 项和记为n S ,已知50302010==a a ,. ①求通项n a ;②若n S =242,求n . 解:d n a a n )1(1-+=111020193012305021019502n a d a a a a n a d d +==⎧⎧==∴∴=+⎨⎨+==⎩⎩,解方程组5.甲、乙两物体分别从相距70m 的两处同时相向运动,甲第一分钟走2m ,以后每分钟比前一分钟多走1m ,乙每分钟走5m ,①甲、乙开始运动后几分钟相遇? ②如果甲乙到对方起点后立即折返,甲继续每分钟比前一分钟多走1m ,乙继续每分钟走5m ,那么,开始运动几分钟后第二次相遇?故第一次相遇是在开始运动后7分钟. 故第二次相遇是在开始运动后15分钟 10.已知数列{}n a 中,,31=a 前n 和1)1)(1(21-++=n n a n S . ①求证:数列{}n a 是等差数列; ②求数列{}n a 的通项公式; ③设数列⎭⎬⎫⎩⎨⎧+11n n a a 的前n 项和为n T ,是否存在实数M ,使得M T n ≤对一切正整数n 都成立? 若存在,求M 的最小值,若不存在,试说明理由.12122(1)(1)()2n n n n n n n a n a a a a a ++++∴+=++∴=+ ∴数列{}n a 为等差数列.②1)1(311-+==+n n a n na a ,{}212121522n a a a a a ∴=-=∴-=即等差数列的公差为1(1)3(1)221n a a n d n n ∴=+-=+-⋅=+121n +++n 三、等比数列 知识要点1. 定义:如果一个数列从第二项起,每一项与它的前一项的比等于同一个常数,那么这个数列叫做等比数列,这个常数叫做等比数列的公比,记为()0q q ≠,.2. 递推关系与通项公式mn m n n n n n q a a q a a qa a --+⋅=⋅==推广:通项公式:递推关系:111 3. 等比中项:若三个数c b a ,,成等比数列,则称b 为a 与c 的等比中项,且ac b ac b =±=2,注:是成等比数列的必要而不充分条件. 4. 前n 项和公式)1(11)1()1(111≠⎪⎩⎪⎨⎧--=--==q q qa a qq a q na S n nn5. 等比数列的基本性质,),,,(*∈N q p n m 其中①q p n m a a a a q p n m ⋅=⋅+=+,则若,反之不成立! ②)(2*+--∈⋅==N n a a a a a qm n m n n mn mn , ③{}n a 为等比数列,则下标成等差数列的对应项成等比数列.④若项数为()*2n n N ∈,则S q S =偶奇.⑤nn m n m S S q S +=+⋅.⑥ ,,,时,n n n n n S S S S S q 2321---≠仍成等比数列. 6. 等比数列与等比数列的转化 ①{}n a 是等差数列⇔{})10(≠>c c cna ,是等比数列;②{}n a 是正项等比数列⇔{})10(log ≠>c c a n c ,是等差数列;③{}n a 既是等差数列又是等比数列⇔{}n a 是各项不为零的常数列. 7. 等比数列的判定法 ①定义法:⇒=+(常数)q a a nn 1{}n a 为等比数列; ②中项法:⇒≠⋅=++)0(221n n n n a a a a {}n a 为等比数列;③通项公式法:⇒⋅=为常数)q k q k a nn ,({}n a 为等比数列; ④前n 项和法:⇒-=为常数)(q k q k S nn ,)1({}n a 为等比数列. 性质运用1.103107422222)(++++++=n n f 设()()()n N f n *∈,则等于1342222(81)(81)(81)(81)7777n n n n A B C D +++----....D2.已知数列{}n a 是等比数列,且===m m m S S S 323010,则, .3.⑴在等比数列{}n a 中,143613233+>==+n n a a a a a a ,,. ①求n a ,②若n n n T a a a T 求,lg lg lg 21+++= .⑵在等比数列{}n a 中,若015=a ,则有等式n n a a a a a a -+++=+++292121)29(*∈<N n n ,成立,类比上述性质,相应的在等比数列{}n b 中,若119=b ,则有等式成立.解:⑴①由等比数列的性质可知:16341616163233321a a a a a a a a a a ⋅=⋅=+=>==又,解得,②由等比数列的性质可知,{}n a lg 是等差数列,因为⑵由题设可知,如果0=m a 在等差数列中有n m n a a a a a a --+++=+++122121)12(*∈-<N n m n ,成立,我们知道,如果q p n m a a a a q p n m +=++=+,则若,而对于等比数列{}n b ,则有q p n m a a a a q p n m ⋅=⋅+=+,则若所以可以得出结论,若n m n m b b b b b b b --==1221211 ,则有)12(*∈-<N n m n ,成立,在本题中 n n b b b b b b -=372121 则有)37(*∈<N n n ,1.{a n }是等比数列,下面四个命题中真命题的个数为 ( ) ①{a n 2}也是等比数列;②{ca n }(c ≠0)也是等比数列;③{na 1}也是等比数列;④{ln a n }也是等比数列. A .4 B .3C .2D .12.等比数列{a n }中,已知a 9 =-2,则此数列前17项之积为 ( ) A .216 B .-216 C .217 D .-2173.等比数列{a n }中,a 3=7,前3项之和S 3=21, 则公比q 的值为 ( )A .1B .-21 C .1或-1 D .-1或214.在等比数列{a n }中,如果a 6=6,a 9=9,那么a 3等于 ( )A .4B .23 C .916 D .25.若两数的等差中项为6,等比中项为5,则以这两数为两根的一元二次方程为 ( )A .x 2-6x +25=0B .x 2+12x +25=0C .x 2+6x -25=0D .x 2-12x +25=06.某工厂去年总产a ,计划今后5年内每一年比上一年增长10%,这5年的最后一年该厂的总产值是 ( )A .1.1 4 aB .1.1 5 aC .1.1 6 aD .(1+1.1 5)a7.等比数列{a n }中,a 9+a 10=a (a ≠0),a 19+a 20=b ,则a 99+a 100等于 ( ) A .89abB .(ab )9C .910abD .(ab )108.已知各项为正的等比数列的前5项之和为3,前15项之和为39,则该数列的前10项之和为( )A .32B .313C .12D .159.某厂2001年12月份产值计划为当年1月份产值的n 倍,则该厂2001年度产值的月平均增长率为 ( ) A .11n B .11n C .112-n D .111-n10.已知等比数列{}n a 中,公比2q =,且30123302a a a a ⋅⋅⋅⋅=,那么36930a a a a ⋅⋅⋅⋅等于 ( )A .102 B .202 C .162 D .15211.等比数列的前n 项和S n =k ·3n +1,则k 的值为 ( )A .全体实数B .-1C .1D .312.某地每年消耗木材约20万3m ,每3m 价240元,为了减少木材消耗,决定按%t 征收木材税,这样每年的木材消耗量减少t 25万3m ,为了既减少木材消耗又保证税金收入每年不少于90万元,则t 的范围是 ( )A .[1,3]B .[2,4]C .[3,5]D .[4,6]一、选择题: BDCAD BACDB BC13.在等比数列{a n }中,已知a 1=23,a 4=12,则q =_____ ____,a n =____ ____.14.在等比数列{a n }中,a n >0,且a n +2=a n +a n +1,则该数列的公比q =___ ___.15.在等比数列{a n }中,已知a 4a 7=-512,a 3+a 8=124,且公比为整数,求a 10= .16.数列{n a }中,31=a 且n a a n n (21=+是正整数),则数列的通项公式=n a .二、填空题:13.2, 3·2n -2. 14.251+.15.512 .16.123-n . 17.已知数列满足a 1=1,a n +1=2a n +1 (n ∈N *).(1)求证数列{a n +1}是等比数列;(2)求{a n }的通项公式. (1)证明由a n +1=2a n +1得a n +1+1=2(a n +1)又a n +1≠0 ∴111+++n n a a =2即{a n +1}为等比数列.(2)解析: 由(1)知a n +1=(a 1+1)q n-1即a n =(a 1+1)q n -1-1=2·2n -1-1=2n -118.在等比数列{a n }中,已知对n ∈N *,a 1+a 2+…+a n =2n -1,求a 12+a 22+…+a n 2.解析: 由a 1+a 2+…+a n =2n -1 ① n ∈N *,知a 1=1且a 1+a 2+…+a n -1=2n -1-1 ②由①-②得a n =2n -1,n ≥2 又a 1=1,∴a n =2n -1,n ∈N *212221)2()2(-+=n n nn a a =4 即{a n 2}为公比为4的等比数列 ∴a 12+a 22+…+a n 2=)14(3141)41(21-=--nn a 19.在等比数列{a n }中,已知S n =48,S 2n =60,求S 3n .解析一: ∵S 2n ≠2S n ,∴q ≠1 根据已知条件121(1)481(1)601n na q qa q q ⎧-=⎪-⎪⎨-=⎪⎪-⎩①②②÷①得:1+q n =45即q n =41 ③ ③代入①得q a -11=64 ④解析二:∵{a n}为等比数列∴(S2n-S n)2=S n(S3n-S2n)20.求和:S n=1+3x+5x2+7x3+…+(2n-1)x n-1 (x≠0).解析:当x=1时,S n=1+3+5+…+(2n-1)=n2当x≠1时,∵S n=1+3x+5x2+7x3+…+(2n-1)x n-1,①等式两边同乘以x得:xS n=x+3x2+5x3+7x4+…+(2n-1)x n.②21.在等比数列{a n}中,a1+a n=66,a2·a n-1=128,且前n项和S n=126,求n及公比q.解析:∵a1a n=a2a n-1=128,又a1+a n=66,∴a1、a n是方程x2-66x+128=0的两根,解方程得x1=2,x2=64,∴a1=2,a n=64或a1=64,a n=2,显然q≠1.22.某城市1990年底人口为50万,人均住房面积为16 m2,如果该市每年人口平均增长率为1%,每年平均新增住房面积为30万m2,求2000年底该市人均住房的面积数.(已知1.015≈1.05,精确到0.01 m2)解析:依题意,每年年底的人口数组成一个等比数列{a n}:a1=50,q=1+1%=1.01,n=11 则a11=50×1.0110=50×(1.015)2≈55.125(万),又每年年底的住房面积数组成一个等差数列{b n}:b1=16×50=800,d=30,n=11∴b11=800+10×30=1100(万米2)因此2000年底人均住房面积为:1100÷55.125≈19.95(m2)。
数列单元测试题命题人:X晓光一、选择题(本大题共10个小题,每题5分,共50分,在每题给出的四个选项中,只有一项为哪一项符号题目要求的。
)1.等差数列{a n}的前n项和为S n,且满足S3-3S2=1,那么数列{a n}的公差是()2A. 12B.1C.2D.32.设等比数列{a n}的前n项和为S n,假设8a2+a5=0,那么以下式子中数值不能确定的是()A. a5S5a n S n+1+1a5S5a n S na3B.S3C.a n D.S n3.设数列{a n}满足a1=0,a n+a n+1=2,那么a2021的值为() A.2B.1C.0D.-24.数列{a n}满足log3a n+1=log3a n+1(n∈N+1(n∈N () *)且a2+a4+a6=9,那么log1(a5+a7+a9)的值是(a5+a7+a9)的值是3A.-5B.-15C.5D.155.两个等差数列{a n}和{b n}的前n项和分别为A n和B n,且时,n的值可以是() A n=B n7n+45a n,那么使得为正偶数n+3b nA.1B.2C.5D.3或1116.各项都是正数的等比数列{a n}的公比q≠1,且a2,a3,a1成等差数列,那么2 a3+a4a4+a5的值为()1-5 A.2B. 5+12C.5-12D.5+1或25-127.数列{a n}为等差数列,假设值n为() a11n有最大值,那么使得S n>0的最大a10<-1,且它们的前n项和SA.11B.19C.20D.218.等比数列{a n}中,a1=512,公比q=-那么Πn中最大的是() 12,用Πn表示它的前n项之积:Πn=a1·a2·⋯·a n,A.Π11B.Π10C.Π9D.Π89.等差数列{a n}的前n项和为S n,假设a1=1,S3=a5,a m=2021,那么m=()A.1004B.1005C.1006D.1007n,那么在数列{a10.数列{a n}的通项公式为a n=6n-4,数列{b n}的通项公式为b n=2100项中与数列{b n}中一样的项有()A.50项B.34项C.6项D.5项二、填空题(本大题共5个小题,每题5分,共25分,把正确答案填在题中横线上)+1=1-11.数列{a n}满足:a n 1,a1=2,记数列{a n}的前n项之积为P n,那么P2021=________.a n12.秋末冬初,流感盛行,XX市某医院近30天每天入院治疗流感的人数依次构成数列{a n},n(n∈N*),那么该医院30天入院治疗流感的人数a1=1,a2=2,且a n+2-a n=1+(-1)共有________人.-1-13.等比数列{a n}中,各项都是正数,且a1,12a3,2a2成等差数列,那么a3+a10a1+a8=________.14.在如图的表格中,每格填上一个数字后,使每一横行成等差数列,每一纵列成等比数列,且从上到下所有公比相等,那么a+b+c的值为________.acb6122-(2n+1)x+115.数列{a n}中,a1=1,a n、a n=0的两个根,那么数列{b n}的前+1是方程xb nn项和S n=________.三、解答题(本大题共6个小题,共75分,解容许写出文字说明,证明过程或演算步骤)2-2n+q(p,q∈R),n∈N*. 16.(本小题总分值12分)等差数列{a n}的前n项和为S n=pn(1)求q的值;(2)假设a3=8,数列{b n}满足a n=4log2b n,求数列{b n}的前n项和.17.(本小题总分值12分)等差数列{a n}的各项均为正数,a1=3,前n项和为S n,{b n}为等比数列,b1=1,且b2S2=64,b3S3=960.(1)求a n与b n;(2)求11++⋯+S1S21的值.S n-2-118.(本小题总分值12分)数列{b n}前n项和为S n,且b1=1,b n+1=3S n.(1)求b2,b3,b4的值;(2)求{b n}的通项公式;(3)求b2+b4+b6+⋯+b2n的值.19.(本小题总分值12分)f(x)=mx(m为常数,m>0且m≠1).设f(a1),f(a2),⋯,f(a n)⋯(n ∈N)是首项为m 2,公比为m的等比数列.(1)求证:数列{a n}是等差数列;(2)假设b n=a n f(a n),且数列{b n}的前n项和为S n,当m=2时,求S n;(3)假设c n=f(a n)lgf(a n),问是否存在m,使得数列{c n}中每一项恒小于它后面的项?假设存在,求出m的取值X围;假设不存在,请说明理由.-3-11120.(本小题总分值13分)将函数f(x)=sin4x·s in4(x+2π)·s in2(x+3π)在区间(0,+∞)内的全部最值*).点按从小到大的顺序排成数列{a n}(n∈N(1)求数列{a n}的通项公式; (2)设b n=2n a n,数列{b n}的前n项和为T n,求T n的表达式.21.(本小题总分值14分)数列{a n}的前n项和为S n,且S n=n(n+1)(n∈N(1)求数列{a n}的通项公式;*).(2)假设数列{b n}满足:a n=b1b2b3+2+1+3+1+⋯+3+133b nn+1,求数列{bn}的通项公式;3a nb n(3)令c n=4(n∈N*),求数列{c n}的前n项和T n.-4-数列单元测试题命题人:X晓光一、选择题(本大题共10个小题,每题5分,共50分,在每题给出的四个选项中,只有一项为哪一项符号题目要求的。
高一数学《数列》单元测试卷
班级:_____________ 姓名:
一、选择题(每小题5分,共60分)
1、数列⋯--,9
24
,715,58,1的一个通项公式是
A .12)1(3++-=n n n a n
n B .1
2)
3()1(++-=n n n a n n
C .121)1()1(2
--+-=n n a n n D .1
2)2()1(++-=n n n a n n
2、已知数列{n a }的通项公式)(43*
2N n n n a n ∈--=,则4a 等于( ).
A 、 1
B 、2
C 、 3
D 、 0 3、在等比数列}{n a 中,,8,1641=-=a a 则=7a ( )
A 、 4-
B 、 4±
C 、2-
D 、2±
4、已知等差数列}{n a 的公差为2,若1a ,3a ,4a 成等比数列,则2a 等于( ) A 、 4- B 、6- C 、 8- D 、 10-
5、等差数列{a n }中,39||||,a a =公差0,d <那么使前n 项和n S 最大的n 值为( ) A 、5 B 、6 C 、 5 或6 D 、 6或7
6、n S 等差数列}a {n 的前n 项和,已知
5935
5,9a S
a S ==则( ). A .1
B .1-
C .2
D .
1
2
7、若两个等差数列{a n }、{b n }的前n 项和分别为A n 、B n ,且满足5524-+=n n B A n n ,则1313
a b 的值为( ) (A )
5160 (B )60
51
(C )2019 (D )87
8、已知方程0)2)(2(2
2=+-+-n x x m x x 的四个根组成一个首项为
4
1
的等差数列,则=-n m
A 、1
B 、
43 C 、21 D 、8
3 9、若一个凸多边形的内角度数成等差数列,最小角为100°,最大角为140°,这个凸多边形的边数为
A .6
B .8
C .10
D .12
10、若{}n a 是等比数列,前n 项和21n n S =-,则2222
123n a a a a ++++=L
A.2(21)
n
-
B.21(21)3n -
C.41n -
D.1(41)3
n
-
11、数列{a n }前n 项和是S n ,如果S n =3+2a n (n ∈N *
),则这个数列是 A .等比数列 B .等差数列
C .除去第一项是等比
D .除去最后一项为等差
12、等比数列{}n a 中,0n a >,a 5a 6=9,则313233310log log log log a a a a +++⋅⋅⋅+=( ) A.12 B.10 C.8 D.32log 5+
二、填空题(每小题5分,共20分)
13、在-9和3之间插入n 个数,使这n +2个数组成和为-21的等差数列,则
n =_______. 14、在等差数列{a n }中,已知1231215,78,155,n n n n a a a a a a S --++=++==
则___________________.n =
15、已知数列{}n a 满足1n n a a n +=+,1a =1,则n a = 16、已知2(),1
x f x x =+
则111()()()(1)(2)(2008)____________.200820072
f f f f f f +++++++=L L
三、解答题(共70分)
17、(本小题满分10分)等比数列{}n a 中前n 项和为n S ,42S =,86S =,求17181920a a a a +++的值.
18、(本小题满分12分)有四个数,前三个数成等差数列,后三个数成等比数列,并且第一个数与第四个数的和为37,第二个数与第三个数的和为36,求这四个数。
19、(本小题满分12分) 数列{}n a 中,18a =,42a =,且满足2120n n n a a a ++-+=
(1)求数列{}n a 的通项公式; (2)设12||||||n n S a a a =+++L ,求n S 。
20、(本小题满分12分)已知数列{n a }中,1a =2,123n n a a +=+. (1)求n a ; (2)令n n b n a =g ,求数列{n b }的前n 项和n S .
21、(本小题满分12分)已知数列{}n a 前n 项和2
n S n n =+
(1)求数列{}n a 的通项公式;(2)令1
1
n n n b a a +=
,求数列{n b }的前n 项和n T .
22、(本小题满分12分)设数列{}n a 的前n 项和为n S ,已知111,42n n a S a +==+。
(1)设12n n n b a a +=-,求证:数列{}n b 是等比数列;(2) 求数列{}n a 的通项公式。
《数列》单元考试卷参考答案
一. 填空题: 13. 7 14. 10. 15. 12
n a =+
16. 4015 17、d=
3
2
,n=50 18、解:由已知,得
5111
3162,(13)
242,13
n a a -⎧⋅=⎪
⎨-=⎪
-⎩①②
由①得181162a =,解得 12a =.将12a =代入②得
()21324213
n =--,即 3243n =,解得 n =5.∴ 数列{}n a 的首项12a =,项数n =5.
19、解析:(1)、由41014185a S =⎧⎨=⎩ ∴ 11314,
1
101099185,2
a d a d +=⎧⎪
⎨+⋅⋅⋅=⎪⎩ 153a d =⎧⎨=⎩ 23+=∴n a n (2)、设新数列为{n b },由已知,223+⋅=n
n b
n n G n n n 2)12(62)2222(3321+-=+++++=∴Λ*)(,62231N n n n ∈-+⋅=+
20.解:(1)1
1(1)2(1)(2)21(2)
n n
n S n n a S S n n n -==⎧⎧==⎨⎨
-≥-≥⎩⎩Q
前三项:2,3,5不成等差数列,所以数列{}n a 不是等差数列. (2)由(1)知当2n ≥时,1 2.n n a a +-=
111
111(),2n n n n a a a a ++∴
=-
1223123341
2111111111111[()()()]6211111111111()(),62623213423
3 1.
n n n n n n n b a a a a a a a a a a a a a a n n b +++=+++=+-+-++-=
+-=+-=-<++∴<L L
21、解:(1)由题意得(a 1+d )(a 1+13d )=(a 1+4d )2(d >0) 解得d =2,∴a n =2n -1,b n =3n -1.
(2)当n =1时,c 1=3 当n ≥2时,,1n n n n a a b c -=+ 1
32-⋅=n n c ,⎩⎨⎧≥⋅==-)2(32)1(31
n n c n n
22005200612200632323233c c c ∴++⋯+=+⨯+⨯+⋯+⨯=
22、解:(I )12a =,22a c =+,323a c =+,
因为1a ,2a ,3a 成等比数列, 所以2(2)2(23)c c +=+, 解得0c =或2c =.
当0c =时,123a a a ==,不符合题意舍去,故2c =. (II )当2n ≥时,由于
21a a c -=, 322a a c -=,
L L
1(1)n n a a n c --=-,
所以1(1)
[12(1)]2
n n n a a n c c --=+++-=
L . 又12a =,2c =,故22(1)2(23)n a n n n n n =+-=-+=L ,
,.。