指数函数经典习题大全
- 格式:doc
- 大小:1.03 MB
- 文档页数:15
指数函数练习题1. 某公司A股股票价格的年度涨幅可以用指数函数来描述。
假设2018年初该公司A股的价格为100元,且每年涨幅为8%(即每年增长8%)。
求该公司A股股价在2022年年底的预估值。
解析:设年份为x,股价为y。
根据题意可得指数函数的表达式为y = 100 * (1+0.08)^x。
将x取值为2022,代入函数中计算股价y的值即可。
经过计算,该公司A股在2022年年底的预估值为100 * (1+0.08)^4 ≈ 128.68元。
2. 某房地产项目的销售价格按指数函数递增。
2019年初,该项目的售价为200万元,每年涨幅为5%。
问:如果按照这个增长速度,到2025年年底,该房地产项目的售价会达到多少万元?解析:设年份为x,售价为y。
根据题意可得指数函数的表达式为y = 200 * (1+0.05)^x。
将x取值为2025,代入函数中计算售价y的值即可。
经过计算,到2025年年底,该房地产项目的售价预计会达到200 * (1+0.05)^6 ≈ 267.03万元。
3. 某农田的耕地面积按指数函数递减。
2017年初,该农田的耕地面积为1000亩,每年减少3%。
问:如果按照这个减少速度,到2021年年底,该农田的耕地面积会缩小到多少亩?解析:设年份为x,耕地面积为y。
根据题意可得指数函数的表达式为y = 1000 * (1-0.03)^x。
将x取值为2021,代入函数中计算耕地面积y的值即可。
经过计算,到2021年年底,该农田的耕地面积预计会缩小到1000* (1-0.03)^4 ≈ 837.34亩。
4. 某存款账户的余额按指数函数递增。
2010年初,该账户的余额为10万元,每年增长2%。
问:如果按照这个增长速度,到2030年年底,该存款账户的余额会增长到多少万元?解析:设年份为x,余额为y。
根据题意可得指数函数的表达式为y = 10 * (1+0.02)^x。
将x取值为2030,代入函数中计算余额y的值即可。
指数函数习题新泰一中闫辉一、选择题1.下列函数中指数函数的个数是 ( ).①②③④A.0个 B.1个 C.2个 D.3个2.若,,则函数的图象一定在()A.第一、二、三象限 B.第一、三、四象限C.第二、三、四象限 D.第一、二、四象限3.已知,当其值域为时,的取值范围是()A. B.C. D.4.若,,下列不等式成立的是()A. B. C. D.5.已知且,,则是()A.奇函数 B.偶函数C.非奇非偶函数 D.奇偶性与有关6.函数()的图象是()7.函数与的图象大致是( ).8.当时,函数与的图象只可能是()9.在下列图象中,二次函数与指数函数的图象只可能是()10.计算机成本不断降低,若每隔3年计算机价格降低 ,现在价格为8100元的计算机,则9年后的价格为( ).A.2400元 B.900元 C.300元 D.3600元二、填空题1.比较大小:(1);(2) ______ 1;(3) ______2.若,则的取值范围为_________.3.求函数的单调减区间为__________.4.的反函数的定义域是__________.5.函数的值域是__________ .6.已知的定义域为 ,则的定义域为__________.7.当时, ,则的取值范围是__________.8.时,的图象过定点________ .9.若 ,则函数的图象一定不在第_____象限.10.已知函数的图象过点 ,又其反函数的图象过点(2,0),则函数的解析式为____________.11.函数的最小值为____________.12.函数的单调递增区间是____________.13.已知关于的方程有两个实数解,则实数的取值范围是_________.14.若函数(且)在区间上的最大值是14,那么等于_________.三、解答题1.按从小到大排列下列各数:,,,,,,,2.设有两个函数与,要使(1);(2),求、的取值范围.3.已知 ,试比较的大小.4.若函数是奇函数,求的值.5.已知,求函数的值域.6.解方程:(1);(2).7.已知函数(且)(1)求的最小值;(2)若,求的取值范围.8.试比较与的大小,并加以证明.9.某工厂从年到年某种产品的成本共下降了19%,若每年下降的百分率相等,求每年下降的百分率10.某工厂今年1月、2月、3月生产某产品分别为1万件、1.2件、1.3万件,为了估测以后每个月的产量,以这三个月的产品数量为依据,用一个函数模拟该产品的月产量与月份数的关系,模拟函数可以选用二次函数或函数(其中、、为常数),已知四月份该产品的产量为1.37万件,请问用以上哪个函数作为模拟函数较好?请说明理由.11.设,求出的值.12.解方程.参考答案:一、1.B 2.A 3.D 4.B 5.A 6.B 7.D 8.A 9.A 10.A二、1.(1)(2)(3)2. 3. 4.(0,1) 5.6. 7.8.恒过点(1,3) 9.四 10.11. 12. 13. 14.或三、1.解:除以外,将其余的数分为三类:(1)负数:(2)小于1的正数:,,(3)大于1的正数:,,在(2)中,;在(3)中,;综上可知说明:对几个数比较大小的具体方法是:(1)与0比,与1比,将所有数分成三类:,,,(2)在各类中两两比2.解:(1)要使由条件是,解之得(2)要使,必须分两种情况:当时,只要,解之得;当时,只要,解之得或说明:若是与比较大小,通常要分和两种情况考虑.3.4.解:为奇函数,,即,则,5.解:由得,即,解之得,于是,即,故所求函数的值域为6.解:(1)两边同除可得,令,有,解之得或,即或,于是或(2)原方程化为,即,由求根公式可得到,故7.解:(1),当即时,有最小值为(2),解得当时,;当时,.8.当时, > ,当时, > .9.解:设每年下降的百分率为,由题意可得,,,故每年下降的百分率为10%10.解:设模拟的二次函数为,由条件,,,可得,解得又由及条件可得,解得下面比较,与1.37的差,比的误差较小,从而作为模拟函数较好11.解:故12.解:令 ,则原方程化为 解得 或 ,即 或 (舍去),习题二1. 求不等式2741(0x x aa a -->>,1)a ≠且中x 的取值范围.2. . 指数函数xb y a ⎛⎫= ⎪⎝⎭的图象如图所示,求二次函数2y ax bx =+的顶点的横坐标的取值范围.3. 函数()xf x a =(0a >,且1a ≠)对于任意的实数x ,y 都有( ) A.()()()f xy f x f y =B.()()()f xy f x f y =+ C.()()()f x y f x f y +=D.()()()f x y f x f y +=+oyx14. 若11()()23x x <,则x 满足( )A.0x > B.0x < C.0x ≤D.0x ≥5. (1)已知12()3a a -+=,求33a a -+;(2)已知21xa=,求33x xx xa a a a--++; (3)已知31xa -+=,求2362a ax x ---+的值.6. 已知函数()xf x a =(0a >,1a ≠)在[]22-,上函数值总小于2,求实数a 的取值范围. 7 已知函数()xxf x a a -=+(0a >,1a ≠),且(1)3f =,则(0)(1)(2)f f f ++的值是 . 8. 若关于x 的方程22210xx a a +++=g 有实根,试求a 的取值范围.9. 当0a >且1a ≠时,函数2()3x f x a-=-必过定点 .10. 设311x y a +=,22x y a -=其中0a >,且1a ≠.确定x 为何值时,有:(1)12y y =; (2)12y y >.11 当0a ≠时,函数y ax b =+和axy b =的图象是( )12. 函数()y f x =的图象与2xy =的图象关于x 轴对称,则()f x 的表达式为 . 13. 若函数()()()21021x F x f x x ⎛⎫=+≠ ⎪-⎝⎭g 是偶函数,且()f x 不恒等于0,则()f x 为( ) A.奇函数 B.偶函数C.可能是奇函数,也可能是偶函数 D.非奇非偶函数14. 已知函数()()2211xf xg x x =-=-,,构造函数()F x 定义如下:当()()f x g x ≥时,()()F x f x =;当()()f x g x <时,()()F x g x =-,那么()F x ( )A.有最大值1,无最小值 B.有最小值0,无最大值 C.有最小值1-,无最大值D.无最小值,也无最大值15. 当0x >时,函数()()21xf x a =-的值总大于1,则实数a 的取值范围是 .16. 已知函数()f x 满足对任意实数12x x <有()()12f x f x <且()()()1212f x x f x f x +=g 若写出一个满足这些条件的函数则这个函数可以写为 .习题三一、选择题(每小题4分,共计40分) 1.下列各式中成立的一项是( )A .7177)(m n mn = B .3339= C .43433)(y x y x +=+ D .31243)3(-=-2.化简)31()3)((656131212132b a b a b a ÷-的结果( )A .a 9-B .a -C .a 6D .29a3.设指数函数)1,0()(≠>=a a a x f x,则下列等式中不正确...的是 ( )A .f (x +y )=f(x )·f (y )B .)()(y f x f y x f =-)( C .)()]([)(Q n x f nx f n∈=D .)()]([·)]([)]([+∈=N n y f x f xy f nnn4.函数210)2()5(--+-=x x y( )A .}2,5|{≠≠x x xB .}2|{>x xC .}5|{>x xD .}552|{><<x x x 或 5.若指数函数xa y =在[-1,1]上的最大值与最小值的差是1,则底数a 等于( )A .215+ B .215- C .215± D .251± 6.方程)10(2||<<=a x ax 的解的个数为 ( )A. 0个B. 1个C. 2个D. 0个或1个 7.函数||2)(x x f -=的值域是( )A .]1,0(B .)1,0(C .),0(+∞D .R8.函数⎪⎩⎪⎨⎧>≤-=-0,0,12)(21x x x x f x ,满足1)(>x f 的x 的取值范围 ( )A .)1,1(-B . ),1(+∞-C .}20|{-<>x x x 或D .}11|{-<>x x x 或9.已知2)(xx e e x f --=,则下列正确的是 ( )A .奇函数,在R 上为增函数B .偶函数,在R 上为增函数C .奇函数,在R 上为减函数D .偶函数,在R 上为减函数 10.函数22)21(++-=x x y 得单调递增区间是( )A .]1,(--∞B .),2[+∞C .]2,21[D . ]21,1[-二、填空题(每小题4分,共计28分)11.已知0.622,0.6a b ==,则实数a b 、的大小关系为 .12:不用计算器计算48373271021.097203225.0+-⎪⎭⎫⎝⎛++⎪⎭⎫ ⎝⎛--π=___________. 13.不等式x x 283312--<⎪⎭⎫ ⎝⎛的解集是__________________________.14.已知{}2,1,0,1,2,3n ∈--,若11()()25n n ->-,则=n ___________.15.不等式2221212-++⎪⎭⎫ ⎝⎛<⎪⎭⎫⎝⎛a x axx 恒成立,则a 的取值范围是 .16.定义运算:⎩⎨⎧>≤=⊗)()(b a b b a a b a ,则函数()xx x f -⊗=22的值域为_________________17.如图所示的是某池塘中的浮萍蔓延的面积(2m )与时间t (月)的关系:ty a =,有以下叙述: ① 这个指数函数的底数是2;② 第5个月时,浮萍的面积就会超过230m ; ③ 浮萍从24m 蔓延到212m 需要经过1.5个月; ④ 浮萍每个月增加的面积都相等;⑤ 若浮萍蔓延到22m 、23m 、26m 所经过的时间 分别为1t 、2t 、3t ,则123t t t +=. 其中正确的是 . 三、解答题:(10+10+12=32分) 18.已知17a a -+=,求下列各式的值: (1)33221122a a a a----; (2)1122a a-+; (3)22(1)a a a -->.19.已知函数)1(122>-+=a a a y x x在区间[-1,1]上的最大值是14,求a 的值.t/月20.(1)已知m x f x+-=132)(是奇函数,求常数m 的值; (2)画出函数|13|-=xy 的图象,并利用图象回答:k 为何值时,方程|31|x k -=无解?有一解?有两解?参考答案题号 1 2 3 4 5 6 7 8 9 10 答案BADDCCADAC二、填空题(4*7=28分)11.b a >; 12.100; 13.}24|{-<>x x x 或; 14.-1或2 15.(-2, 2) ; 16.]1,0( 17.①②⑤ 三、解答题:(10+10+12=32分) 18.解: (1)原式=11113312222111112222()()()(1)1718a a a a a a a a a aa a--------++==++=+=--。
指数函数习题一、选择题1.概念运算⎩⎨⎧>≤=⊗ba b b a a b a ,那么函数x x f 21)(⊗=的图象大致为( )2.函数f (x )=x 2-bx +c 知足f (1+x )=f (1-x )且f (0)=3,那么f (b x )与f (c x )的大小关系是( )A .f (b x )≤f (c x )B .f (b x )≥f (c x )C .f (b x )>f (c x )D .大小关系随x 的不同而不同3.函数y =|2x -1|在区间(k -1,k +1)内不单调,那么k 的取值范围是( )A .(-1,+∞)B .(-∞,1)C .(-1,1)D .(0,2)4.设函数f (x )=ln[(x -1)(2-x )]的概念域是A ,函数g (x )=lg(a x -2x -1)的概念域是B ,假设A ⊆B ,那么正数a 的取值范围( )A .a >3B .a ≥3C .a > 5D .a ≥ 55.已知函数⎩⎨⎧>≤--=-77)3)(3()(6x a x x a x f x ,假设数列{a n }知足a n =f (n )(n ∈N *),且{a n }是递增数列,那么实数a 的取值范围是( )A .[94,3) B .(94,3) C .(2,3)D .(1,3) 6.已知a >0且a ≠1,f (x )=x 2-a x ,当x ∈(-1,1)时,均有f (x )<12,那么实数a 的取值范围是( ) A .(0,12]∪[2,+∞) B .[14,1)∪(1,4] C .[12,1)∪(1,2] D .(0,14)∪[4,+∞) 二、填空题7.函数y =a x (a >0,且a ≠1)在[1,2]上的最大值比最小值大a 2,那么a 的值是________. 8.假设曲线|y |=2x +1与直线y =b 没有公共点,那么b 的取值范围是________.9.(2020·滨州模拟)概念:区间[x 1,x 2](x 1<x 2)的长度为x 2-x 1.已知函数y =2|x |的概念域为[a ,b ],值域为[1,2],那么区间[a ,b ]的长度的最大值与最小值的差为________.三、解答题10.求函数y =2342x x ---+的概念域、值域和单调区间.11.(2020·银川模拟)假设函数y =a 2x +2a x -1(a >0且a ≠1)在x ∈[-1,1]上的最大值为14,求a 的值.12.已知函数f (x )=3x ,f (a +2)=18,g (x )=λ·3ax -4x 的概念域为[0,1].(1)求a 的值;(2)假设函数g (x )在区间[0,1]上是单调递减函数,求实数λ的取值范围.指数函数答案1.解析:由a ⊗b =⎩⎪⎨⎪⎧ a a ≤b b a >b 得f (x )=1⊗2x =⎩⎪⎨⎪⎧ 2x x ≤0,1 x >0.答案:A2. 解析:∵f (1+x )=f (1-x ),∴f (x )的对称轴为直线x =1,由此得b =2.又f (0)=3,∴c =3.∴f (x )在(-∞,1)上递减,在(1,+∞)上递增.若x ≥0,那么3x ≥2x ≥1,∴f (3x )≥f (2x ).若x <0,那么3x <2x <1,∴f (3x )>f (2x ).∴f (3x )≥f (2x ).答案:A3.解析:由于函数y =|2x -1|在(-∞,0)内单调递减,在(0,+∞)内单调递增,而函数在区间(k -1,k +1)内不单调,因此有k -1<0<k +1,解得-1<k <1.答案:C4. 解析:由题意得:A =(1,2),a x -2x >1且a >2,由A ⊆B 知a x -2x >1在(1,2)上恒成立,即a x -2x -1>0在(1,2)上恒成立,令u (x )=a x -2x -1,那么u ′(x )=a x ln a -2x ln2>0,因此函数u (x )在(1,2)上单调递增,那么u (x )>u (1)=a -3,即a ≥3.答案:B5. 解析:数列{a n }知足a n =f (n )(n ∈N *),那么函数f (n )为增函数,注意a 8-6>(3-a )×7-3,因此⎩⎪⎨⎪⎧ a >13-a >0a 8-6>3-a ×7-3,解得2<a <3.答案:C6. 解析:f (x )<12⇔x 2-a x <12⇔x 2-12<a x ,考查函数y =a x 与y =x 2-12的图象,当a >1时,必有a -1≥12,即1<a ≤2, 当0<a <1时,必有a ≥12,即12≤a <1, 综上,12≤a <1或1<a ≤2. 答案:C7. 解析:当a >1时,y =a x 在[1,2]上单调递增,故a 2-a =a 2,得a =32.当0<a <1时,y =a x 在[1,2]上单调递减,故a -a 2=a 2,得a =12.故a =12或32. 答案:12或328. 解析:别离作出两个函数的图象,通过图象的交点个数来判定参数的取值范围.曲线|y |=2x +1与直线y =b 的图象如下图,由图象可得:若是|y |=2x +1与直线y =b 没有公共点,那么b 应知足的条件是b ∈[-1,1]. 答案:[-1,1]9. 解析:如图知足条件的区间[a ,b ],当a =-1,b =0或a =0,b =1时区间长度最小,最小值为1,当a =-1,b =1时区间长度最大,最大值为2,故其差为1. 答案:110. 解:要使函数成心义,那么只需-x 2-3x +4≥0,即x 2+3x -4≤0,解得-4≤x ≤1.∴函数的概念域为{x |-4≤x ≤1}.令t =-x 2-3x +4,那么t =-x 2-3x +4=-(x +32)2+254, ∴当-4≤x ≤1时,t max =254,现在x =-32,t min =0,现在x =-4或x =1. ∴0≤t ≤254.∴0≤-x 2-3x +4≤52. ∴函数y =2341()2x x --+[28,1].由t =-x 2-3x +4=-(x +32)2+254(-4≤x ≤1)可知, 当-4≤x ≤-32时,t 是增函数, 当-32≤x ≤1时,t 是减函数. 依照复合函数的单调性知:y =1()2在[-4,-32]上是减函数,在[-32,1]上是增函数. ∴函数的单调增区间是[-32,1],单调减区间是[-4,-32]. 11. 解:令a x =t ,∴t >0,那么y =t 2+2t -1=(t +1)2-2,其对称轴为t =-1.该二次函数在[-1,+∞)上是增函数.①若a >1,∵x ∈[-1,1],∴t =a x ∈[1a,a ],故当t =a ,即x =1时,y max =a 2+2a -1=14,解得a =3(a =-5舍去).②假设0<a <1,∵x ∈[-1,1],∴t =a x ∈[a ,1a ],故当t =1a,即x =-1时, y max =(1a+1)2-2=14. ∴a =13或-15(舍去). 综上可得a =3或13. 12. 解:法一:(1)由已知得3a +2=18⇒3a =2⇒a =log 32.(2)现在g (x )=λ·2x -4x ,设0≤x 1<x 2≤1,因为g (x )在区间[0,1]上是单调减函数,因此g (x 1)-g (x 2)=(2x 1-2x 2)(λ-2x 2-2x 1)>0恒成立,即λ<2x 2+2x 1恒成立.由于2x 2+2x 1>20+20=2,因此实数λ的取值范围是λ≤2.法二:(1)同法一.(2)现在g (x )=λ·2x -4x ,因为g (x )在区间[0,1]上是单调减函数,因此有g ′(x )=λln2·2x -ln4·4x =ln2[-2·(2x )2+λ·2x ]≤0成立.设2x =u ∈[1,2],上式成立等价于-2u 2+λu ≤0恒成立.因为u ∈[1,2],只需λ≤2u 恒成立,因此实数λ的取值范围是λ≤2.。
2.1 指数函数一、选择题1、若指数函数在上是减函数,那么()A、B、C、D、2、已知,则这样的()A、存在且只有一个B、存在且不只一个C、存在且D、根本不存在3、函数在区间上的单调性是()A、增函数B、减函数C、常数D、有时是增函数有时是减函数4、下列函数图象中,函数,与函数的图象只能是()5、函数,使成立的的值的集合是()A、B、C、D、6、函数使成立的的值的集合()A、是B、有且只有一个元素C、有两个元素D、有无数个元素7、若函数(1)x y a b =+-(0a >且1a ≠)的图象不经过第二象限,则有 ( )A 、1a >且1b <B 、01a <<且1b ≤C 、01a <<且0b >D 、1a >且0b ≤8、F(x)=(1+)0)(()122≠⋅-x x f x 是偶函数,且f(x)不恒等于零,则f(x)( ) A 、是奇函数 B 、可能是奇函数,也可能是偶函数C 、是偶函数D 、不是奇函数,也不是偶函数二、填空题9、 函数的定义域是_________。
10、 指数函数的图象经过点,则底数的值是_________。
11、 将函数的图象向_________平移________个单位,就可以得到函数的图象。
12、 函数,使是增函数的的区间是_________三、解答题13、已知函数是任意实数且, 证明:14、已知函数 222xx y -+= 求函数的定义域、值域15、已知函数(1)求的定义域和值域; (2)讨论的奇偶性; (3)讨论的单调性。
参考答案一、选择题B;2、A;3、B;4、C;5、C;6、C;7、D;8、A 二、填空题9、10、11、右、212、三、解答题13、证明:即14、 解:由222xx y -+=得 012222=+⋅-x x y ∵x ∈R, ∴△≥0, 即 0442≥-y , ∴12≥y , 又∵0>y ,∴1≥y 15、 解:(1)的定义域是R ,令,解得的值域为(2)是奇函数。
指数函数习题及答案一.选择题1.若函数f (x )=()xa 1-在R 上是减函数,那么实数a 的取值范围是( )A .a >1 且1≠aB .1<a <2C .a >1且2≠aD .a >02.已知0>a ,41=--a a ,则22-+a a 的值是( )A .14B .16C .18D .203.一套邮票现价值a 元,每过一年都将增值00b ,则10年后其价值为( ) A .()00110b a + B .()00101b a +C .()[]10001b a + D .()1001ba +4.设f (x )=x)21(,x ∈R ,那么f (x )是( ) A .偶函数且在(0,+∞)上是减函数B .偶函数且在(0,+∞)上是增函数C .奇函数且在(0,+∞)上是减函数D .奇函数且在(0,+∞)上是增函数 5.函数y =-2-x的图象一定过哪些象限( )A .一、二象限B .二、三象限C .三、四象限D .一、四象限 6.函数y =a x 在[0,1]上的最大值与最小值和为3,则函数y =123-⋅x a 在[0,1]上的最大值是( )A .3B .1C .6D .23 7.下列函数中值域为(0,+∞)的是( ) A .y =x15B .y =x )31( C .y =12+-xD .y =12-x8.若-1<x <0,则不等式中成立的是( )A .5-x <5x <0.5x B .0.5x <5-x <5x C .5x <5-x <0.5xD .5x <0.5x <5-x9.当a ≠0时,函数y a x b=+和y b ax=的图象只可能是( )10.设指数函数)1,0()(≠>=a a a x f x,则下列等式中不正确的是( )A .)()()(y f x f y x f ⋅=+B .)()(y f x f y x f =-)( C .)()]([)(Q n x f nx f n∈= D .)()]([·)]([)(+∈=N n y f x f xy f nnn二.填空题11.已知函数f (x )=21)31(x -,其定义域是________________.12.函数f (x )=a x -1+3的图象一定过定点P ,则P 点的坐标是____________.13.函数121+⎪⎭⎫⎝⎛=x y ,[]1,2-∈x 的值域是_____________.14.函数y =x-3的图象与函数________________的图象关于y 轴对称. 三.解答题(共6小题,共80分) 15.(本小题12分)(1)计算:3122726141-⎪⎭⎫ ⎝⎛+⎪⎭⎫⎝⎛- (2)化简:2433221---÷⎪⎪⎭⎫ ⎝⎛⋅a b b a16.(12分)(1) 解不等式145-+<x x a a(a>0且a ≠1)(2)函数⎪⎩⎪⎨⎧>≤-=-0,0,12)(21x x x x f x ,求满足1)(>x f 的x 的取值范围17.(14分) 求函数2233x x y -++=的单调区间和最值(单调区间请加以证明).18.(1)已知m x f x +-=132)(是奇函数,求常数m 的值; (2)画出函数|13|-=xy 的图象,并利用图象回答:k 为何值时,方程k x=-|13|无解?有一解?有两解?19.(14分)已知函数4()42xx f x =+ (1)试求()(1)f a f a +-的值.(2)求1232007()()()()2008200820082008f f f f +++⋅⋅⋅+的值. 20.(14分)已知函数11)(+-=x x a a x f (a >1).(1)判断函数f (x )的奇偶性; (2)求f (x )的值域;(3)证明f (x )在(-∞,+∞)上是增函数.<指数函数>参考答案1—10 BCDAC CBDAD9.[-1,1] 10.(1,4) 11.27 12.[41,2] 13.x y 3= 14.1415.1>a 时,x>2;10<<a 时,x<2. 16.1-a17.解:单调增区间:(,1]-∞;单调减区间:[1,)+∞;值域:(,81]-∞。
指 数 函 数一、 选择题1不论a 取何正实数,函数f (x )=a x +1-2恒过点( )A .(-1,-1)B .(-1,0)C .(0,-1)D .(-1,-3)2使不等式23x -1>2成立的x 的取值为( )A .(23,+∞) B .(1,+∞) C .(13,+∞) D .(-13,+∞)3为了得到函数y =3×(13)x 的图象,可以把函数y =(13)x 的图象( )A .向左平移3个单位长度B .向右平移3个单位长度C .向左平移1个单位长度D .向右平移1个单位长度4在同一平面直角坐标系中,函数f (x )=ax 与g (x )=a x (a >0且a ≠1)的图象可能是( ) 5函数y =a x (a >0且a ≠1)在[0,1]上的最大值与最小值的和为3,则a 的值为( )A.12 B .2 C .4 D.146函数y =a x -1的定义域是(-∞,0],则a 的取值范围为( )A .a >0B .A <1C .0<a <1D .a ≠17设y 1=40.9,y 2=80.48,y 3=(12)-1.5,则( )A .y 3>y 1>y 2B .y 2>y 1>y 3C .y 1>y 2>y 3D .y 1>y 3>y 2 8若⎝⎛⎭⎫142a +1<⎝⎛⎭⎫143-2a ,则实数a 的取值范围是( )A.⎝⎛⎭⎫12,+∞B.()1,+∞ C .(-∞,1) D.⎝⎛⎭⎫-∞,129设函数f(x)定义在实数集上,它的图象关于直线x =1对称,且当x ≥1时,f(x)=3x -1,则有() A .f(13)<f(32)<f(23) B .f(23)<f(32)<f(13) C .f(23)<f(13)<f(32) D .f(32)<f(23)<f(13)10如果函数f(x)=(1-2a)x 在实数集R 上是减函数,那么实数a 的取值范围是( )A .(0,12) B .(12,+∞) C .(-∞,12) D .(-12,12)二、填空题11 函数y =-2-x 的图象一定过第________象限12 已知函数f(x)=a -12x +1,若f(x)为奇函数,则a =________.13 设a>0,f(x)=e x a +ae x (e>1),是R 上的偶函数,则a =________.14 下列空格中填“>、<或=”.(1)1.52.5________1.53.2,(2)0.5-1.2________0.5-1.5.对 数 函 数一、 选择题1.函数f (x )=lg(x -1)+4-x 的定义域为( )A .(1,4]B .(1,4)C .[1,4]D .[1,4)2.若log a 2<1,则实数a 的取值范围是( )A .(1,2)B .(0,1)∪(2,+∞)C .(0,1)∪(1,2)D .(0,12) 3设a =2log 3,b =21log 6,c =6log 5,则( ) A .a <c <b B .b <c <a C .a <b <c D .b <a <c 4已知a >0且a ≠1,则函数y =a x 与y =log a (-x )的图象可能是( )5.函数y =log 2x 在[1,2]上的值域是( )A .RB .[0,+∞)C .(-∞,1]D .[0,1] 6若log a 2<log b 2<0,则下列结论正确的是( )A .0<a <b <1B .0<b <a <1C .a >b >1D .b >a >1二、填空题7 函数y =log 12(x -1)的定义域是________. 8 若函数f (x )=log a x (0<a <1)在区间[a,2a ]上的最大值是最小值的3倍,则a 的值为________.9 已知g (x )=,00ln e >≤⎩⎨⎧x x x x则g [g (13)]=________. 10 函数y =log a (x +2)+3(a >0且a ≠1)的图象过定点________. 11函数y =log 13(-x 2+4x +12)的单调递减区间是________.12已知函数f (x )=⎩⎪⎨⎪⎧ 3x , x ≤0,log 2x , x >0,则=_________________.13 将函数x 2log y =的图象向左平移3个单位,得到图象1C ,再将1C 向上平移2个单位得到图象2C ,则2C 的解析式为 .。
2.函数f (x )=x 2-bx +c 满足f (1+x )=f (1-x )且A .f (b x )≤f (c x) B .f (b x )≥f (c x) lg(a x -2x-5 ≥5 [9,(9,1,,1[1,[1,,1)上的最大值比最小值大,则234x x ---+11.(2011·银川模拟)若函数y =a 2x +2a x-1(a >0且a ≠1)在x ∈[-1,1]上的最大值为14,求a 的值.的值.12.已知函数f (x )=3x ,f (a +2)=18,g (x )=λ·3ax -4x的定义域为[0,1]. (1)求a 的值;的值;(2)若函数g (x )在区间[0,1]上是单调递减函数,求实数λ的取值范围.的取值范围.指数函数答案指数函数答案1.1.解析:由解析:由a ⊗b =îïíïìa a ≤bba >b得f (x )=1⊗2x=îïíïì2xx,1x答案:答案:A A 2. 2. 解析:∵解析:∵f (1(1++x )=f (1(1--x ),∴f (x )的对称轴为直线x =1,由此得b =2. 又f (0)(0)==3,∴c =3.3.∴∴f (x )在(-∞,-∞,1)1)1)上递减,在上递减,在上递减,在(1(1(1,+∞)上递增.,+∞)上递增.,+∞)上递增.若x ≥0,则3x ≥2x ≥1,∴f (3x )≥f (2x).若x <0<0,则,则3x<2x<1<1,∴,∴f (3x)>f (2x). ∴f (3x )≥f (2x ). 答案:答案:A A3.3.解析:由于函数解析:由于函数y =|2x-1|1|在在(-∞,-∞,0)0)0)内单调递减,在内单调递减,在内单调递减,在(0(0(0,+∞)内单调递增,而函数在,+∞)内单调递增,而函数在区间区间((k -1,k +1)1)内不单调,所以有内不单调,所以有k -1<0<k +1,解得-,解得-1<1<k <1. 答案:答案:C C4. 4. 解析:由题意得:解析:由题意得:A =(1,2)(1,2),,a x -2x >1且a >2>2,由,由A ⊆B 知a x -2x>1在(1,2)(1,2)上恒成立,即上恒成立,即a x -2x -1>0在(1,2)(1,2)上恒成立,令上恒成立,令u (x )=a x -2x -1,则u ′(x )=a x ln a -2x ln2>0ln2>0,所以函数,所以函数u (x )在(1,2)(1,2)上单调递增,则上单调递增,则u (x )>u (1)(1)==a -3,即a ≥3.≥3. 答案:答案:B B5. 5. 解析:数列解析:数列解析:数列{{a n }满足a n =f (n )(n ∈N *),则函数f (n )为增函数,为增函数,注意a 8-6>(3>(3--a )×7-)×7-33,所以îïíïìa >13-a >0a8-6-a -3,解得2<a <3.答案:答案:C C6. 6. 解析:解析:f (x )<12⇔x 2-a x <12⇔x 2-12<a x ,考查函数y =a x 与y =x 2-12的图象,的图象,当a >1时,必有a -1≥12,即1<a ≤2,≤2,当0<a <1时,必有a ≥12,即12≤a <1<1,,综上,12≤a <1或1<a ≤2.≤2.答案:答案:C C7. 7. 解析:当解析:当a >1时,y =a x 在[1,2][1,2]上单调递增,故上单调递增,故a 2-a =a 2,得a =32.当0<a <1时,y =ax 在[1,2][1,2]上单调递减,故上单调递减,故a -a 2=a 2,得a =12.故a =12或32.答案:12或328. 8. 解析:分别作出两个函数的图象,通过图象的交点个数来判断参数的取值范围.解析:分别作出两个函数的图象,通过图象的交点个数来判断参数的取值范围.解析:分别作出两个函数的图象,通过图象的交点个数来判断参数的取值范围.曲线曲线||y |=2x+1与直线y =b 的图象如图所示,由图象可得:如果的图象如图所示,由图象可得:如果||y |=2x+1与直线y =b 没有公共点,则b 应满足的条件是b ∈[-1,1]1,1].. 答案:答案:[[-1,1]9. 9. 解析:如图满足条件的区间解析:如图满足条件的区间解析:如图满足条件的区间[[a ,b ],当a =-=-11,b =0或a =0,b =1时区间长度最小,最小值为1,当a =-=-11,b =1时区间长度最大,最大值为2,故其差为1. 答案:答案:1 110. 10. 解:要使函数有意义,则只需-解:要使函数有意义,则只需-x 2-3x +4≥0,即x 2+3x -4≤0,解得-4≤x ≤1.≤1. ∴函数的定义域为∴函数的定义域为{{x |-4≤x ≤1}.≤1}. 令t =-x 2-3x +4,则t =-x 2-3x +4=-=-((x +32)2+254,∴当-4≤x ≤1时,t max =254,此时x =-32,t min =0,此时x =-=-44或x =1.∴0≤t ≤254.∴0≤-x 2-3x +4≤52.∴函数y =2341()2x x ---+的值域为的值域为[[28,1]1]..+)+(≤-时,≤234()2x x ---+在,-32]-32,-32,,-32][1a,,1a ]=1a,即(1a+=13或-15(或13.。
指数函数每日一练习题一、选择题1. 已知函数f(x) = 2^x,那么f(3)的值为()A. 6B. 8C. 9D. 122. 下列函数中,哪一个不是指数函数?()A. y = 3^xB. y = x^2C. y = 4^(x+1)D. y = (1/2)^xA. 当a > 1时,函数单调递增B. 当a < 1时,函数单调递增C. 当a > 1时,函数单调递减D. 当a < 1时,函数单调递减二、填空题1. 函数f(x) = 3^(2x1)的底数是______,指数是______。
2. 若a^x = b(a > 0且a ≠ 1),则x = ______。
3. 已知函数f(x) = 2^x,那么f(x+1) = ______。
三、解答题1. 已知函数f(x) = 5^x,求f(2)的值。
2. 设函数g(x) = (1/3)^x,求g(1)的值。
3. 已知函数h(x) = 2^(x1),求h(3)的值。
4. 比较大小:2^3 和 3^2。
5. 已知函数f(x) = 4^x,求f(x+2)的值。
6. 设函数g(x) = 10^x,求g(0)的值。
7. 已知函数h(x) = (1/2)^(x+1),求h(2)的值。
8. 比较大小:(1/2)^4 和 (1/4)^2。
9. 已知函数f(x) = 3^x,求f(x1)的值。
10. 设函数g(x) = 2^(x+3),求g(1)的值。
四、应用题1. 如果一个细菌每20分钟分裂成两个,那么经过4小时后,细菌的数量是多少倍?2. 一种放射性物质每经过5年,其剩余质量减少到原来的一半。
求经过20年后,这种物质剩余质量是原来的多少倍。
3. 一个电子产品的价格每年下降20%,三年后该产品的价格是原价的多少?4. 在一个生态系统中,某种动物的数量每三年增长1.5倍。
如果目前有100只这种动物,那么十年后这个种群的数量大约是多少?五、综合题1. 已知函数f(x) = 2^x和g(x) = 3^x,比较f(2)和g(1)的大小。
指数函数习题新泰一中闫辉一、选择题1.以下函数中指数函数的个数是( ).①②③④A.0 个B.1 个C.2 个D.3 个2.假设,,那么函数的图象必然在〔〕A.第一、二、三象限 B .第一、三、四象限C.第二、三、四象限D.第一、二、四象限3.,当其值域为时,的取值范围是〔〕A. B .C.D.4.假设,,以下不等式成立的是〔〕A. B . C . D .5.且,,那么是〔〕A.奇函数 B .偶函数C.非奇非偶函数 D .奇偶性与有关6.函数〔〕的图象是〔〕7.函数与的图象大体是().8.当时,函数与的图象只可能是〔〕9.在以以下图象中,二次函数与指数函数的图象只可能是〔〕10.计算机本钱不断降低 , 假设每隔 3 年计算机价格降低 , 现在价格为 8100 元的计算机 , 那么 9 年后的价格为 ( ).A.2400 元 B.900 元C.300 元D.3600 元二、填空题1.比较大小:〔1〕;〔2〕______ 1 ;〔3〕______2.假设,那么的取值范围为 _________.3.求函数的单调减区间为__________.4.的反函数的定义域是__________.5.函数的值域是__________.6.的定义域为, 那么的定义域为 __________.7.当时,, 那么的取值范围是 __________. 8.时,的图象过定点 ________ .9.假设, 那么函数的图象必然不在第 _____象限 .10.函数的图象过点, 又其反函数的图象过点 (2,0),那么函数的剖析式为 ____________.11.函数的最小值为 ____________.12.函数的单调递加区间是 ____________.13.关于的方程有两个实数解 , 那么实数的取值范围是 _________.14.假设函数〔且〕在区间上的最大值是14,那么等于_________.三、解答题1.按从小到大排列以下各数:,,,,,,,2.设有两个函数与,要使〔 1〕;〔 2〕,求、的取值范围.3., 试比较的大小.4.假设函数是奇函数,求的值.5.,求函数的值域.6.解方程:〔1〕;〔2〕.7.函数〔且〕〔1〕求的最小值;〔2〕假设,求的取值范围.8.试比较与的大小,并加以证明.9.某工厂从年到年某种产品的本钱共下降了19%,假设每年下降的百分率相等,求每年下降的百分率10.某工厂今年 1 月、 2 月、 3 月生产某产品分别为 1 万件、 1.2 件、 1.3 万件,为了估测今后每个月的产量,以这三个月的产品数量为依据,用一个函数模拟该产品的月产量与月份数的关系,模拟函数可以采纳二次函数或函数〔其中、、为常数〕,四月份该产品的产量为 1.37 万件,请问用以上哪个函数作为模拟函数较好?请说明原由.11.设,求出的值.12.解方程.参照答案:一、1.B 2.A 3.D4.B5.A 6.B 7.D8.A 9.A 10.A二、 1.〔 1〕〔2〕〔3〕2.3.4.〔0,1〕5.6.7 .8.恒过点〔 1,3〕 9 .四 10 .11.12.13.14.或三、 1.解:除以外,将其余的数分为三类:〔1〕负数:〔2〕小于 1 的正数:,,〔3〕大于 1 的正数:,,在〔 2〕中,;在〔 3〕中,;综上可知说明:对几个数比较大小的详尽方法是:〔1〕与 0 比,与 1 比,将所有数分成三类:,,,〔2〕在各样中两两比2.解:〔 1〕要使由条件是,解之得〔2〕要使,必定分两种情况:当时,只要,解之得;当时,只要,解之得或说明:假设是与比较大小,平时要分和两种情况考虑.3.4.解:为奇函数,,即,那么,5.解:由得,即,解之得,于是,即,故所求函数的值域为6.解:〔 1〕两边同除可得,令,有,解之得或,即或,于是或〔2〕原方程化为,即,由求根公式可获取,故7.解:〔 1〕,当即时,有最小值为〔2〕,解得当时,;当时,.8.当时,>,当时,>.9.解:设每年下降的百分率为,由题意可得,,,故每年下降的百分率为 10%10.解:设模拟的二次函数为,由条件,,,可得,解得又由及条件可得,解得下面比较,与的差,比的误差较小,从而作为模拟函数较好11.解:故12.解:令,那么原方程化为解得或,即或〔舍去〕,习题二1.求不等式 a2 x 7a4x1( a 0 ,且 a1) 中 x 的取值范围.x2.. 指数函数y b的图象以以下图,求二次函数 y ax2bx 的极点的横坐标的取值范围.ay1o x3. 函数f ( x)a x〔a0 ,且 a 1〕关于任意的实数x ,y都有〔〕A. f (xy) f ( x) f ( y)B. f (xy ) f ( x) f ( y)C. f ( x y) f (x) f ( y)D. f (x y) f (x) f ( y)4. 假设(1)x(1) x,那么 x 满足〔〕23A. x 0B. x0 C. x≤ 0D. x ≥ 0 5. (1) (a a 1) 23,求 a3 a 3;(2) a2 x 2 1,求 a3x aa x a 3xx;(3) x31 a ,求 a22ax 3x 6的值.6.函数 f (x) a x〔a0 ,a1〕在2,2 上函数值总小于 2,求实数 a 的取值范围.7 函数 f ( x)a x a x〔 a0, a1〕,且 f (1)3,那么 f(0) f (1) f (2)的值是.8. 假设关于x的方程22x2x ga a10 有实根,试求 a 的取值范围.9.当 a0 且 a 1 时,函数 f ( x)a x2 3 必过定点.10.设 y1a3x1, y2a2x其中 a0 ,且 a 1 .确定x为何值时,有:〔1〕 y1y2;〔2〕 y1y2.11 当a0时,函数 y ax b 和 y b ax的图象是〔〕y y11x xO OABy y11O xOxCD12.函数 y f x的图象与 y2x的图象关于 x 轴对称,那么f x 的表达式为.13.假设函数 Fx12gf x x0是偶函数,且f x 不恒等于 0,那么f x 为〔〕2x1A.奇函数B.偶函数C.可能是奇函数,也可能是偶函数D.非奇非偶函数14. 函数 f x 2x1,g x 1 x2,构造函数 F x 定义以下:当 f x ≥ g x 时, F x f x ;当f xg x 时, F xg x ,那么 F x 〔〕A.有最大值 1,无最小值 B.有最小值 0,无最大值C.有最小值 1,无最大值D.无最小值,也无最大值15. 当 x 0 时,函数 f xa 2x1,那么实数 a 的取值范围是1 的值总大于 .16. 函数f x 满足对任意实数x 1x 2 有 f x 1f x 2 且 f x 1 x 2f x 1 gf x 2 假设写出一个满足这些条件的函数那么这个函数可以写为.习题三一、选择题〔每题4 分,共计 40 分〕1.以下各式中成立的一项为哪一项〔〕A . ( n) 713n 7 m 7 B .3933 C .4 x 3 y 3( x y) 4 D .12( 3)4 33m211 11 52.化简 (a 3 b 2 )( 3a 2 b 3) (1a 6b 6 ) 的结果3A . 9aB .aC . 6aD . 9a 2 3.设指数函数f ( x) a x ( a 0, a1) ,那么以低等式中不正确 的是...A . f ( x +y )= f(x ) · f ( y )B . f 〔 xy 〕 f ( x)f ( y)C . f ( nx)[ f ( x)] n (nQ )D . [ f (xy)] n[ f ( x)] n ·[f ( y)] n5)01 4.函数 y(x( x 2)2〔〕〔〕( n N )〔〕A . { x | x 5, x 2}B . { x | x 2}C . { x | x 5}D . { x | 2 x 5或 x 5}5.假设指数函数ya x 在 [ -1,1] 上的最大值与最小值的差是 1,那么底数 a 等于〔〕A .5 1 B .5 1 C .5 1 D .1522226.方程 a |x| x 2 (0a 1) 的解的个数为〔〕A. 0 个个C. 2个D. 0个或 1个7.函数 f (x) 2|x|的值域是〔〕A . (0,1]B . (0,1)C . (0, )D . R2 x1, x 08.函数 f (x)1,满足 f ( x)1的 x 的取值范围〔〕x 2 , x 0A . ( 1,1)B . ( 1, )C . { x | x 0或 x 2}D. { x | x 1或 x1}9. f (x)e x e x〔〕,那么以下正确的选项是2A .奇函数,在 R 上为增函数B .偶函数,在 R 上为增函数C .奇函数,在 R 上为减函数 D.偶函数,在 R 上为减函数10.函数 y( 1) x 2 x 2得单调递加区间是〔 〕2C .[ 1,2]D . [ 1,1]A .( , 1]B .[2,)22二、填空题〔每题 4 分,共计 28 分〕11. a2 ,b 2 ,那么实数 a 、b 的大小关系为 .12:不用计算器计算272 100.12927233 037=___________.481x 2813.不等式3 2 x 的解集是 __________________________ .314. n2, 1,0,1,2,3 ,假设 ( 1)n( 1)n,那么 n ___________ .251 x 2ax2 x a 215.不等式1恒成立,那么 a 的取值范围是.2216.定义运算:aa (a b)2 x的值域为 _________________b(a,那么函数 f x 2xb b)17. 以以下图的是某池塘中的浮萍延长的面积( m 2 ) 与时间 t ( 月 ) 的关系 : y a t , 有以下表达 :① 这个指数函数的底数是 2;y/m 2 ② 第 5 个月时 , 浮萍的面积就会高出30m 2 ;8③ 浮萍从 4m 2 延长到 12m 2需要经过1.5 个月;④ 浮萍每个月增加的面积都相等;⑤ 假设浮萍延长到2m 2、 3m 2 、 6m 24所经过的时间分别为 t 1 、 t 2 、 t 3 ,那么t 1t 2t 3 .21其中正确的选项是.0 1 2 3t/ 月三、解答题:〔 10+10+12=32 分〕18. aa 17 ,求以下各式的值:3 31122〔 1〕a1 a1 ; 〔 2〕 a 2a 2 ; 〔 3〕 a 2 a 2 ( a 1) .a2a 219. 函数y a 2 x2a x1(a1)在区间[-1,1]上的最大值是14,求a的值.20. 〔 1〕 f ( x)2m 是奇函数,求常数 m 的值;3x1〔 2〕画出函数 y | 3x 1 | 的图象,并利用图象答复:k 为何值时,方程 | 3x 1| k 无解?有一解?有两解?参照答案一、选择题〔 4*10=40 分〕题号 1 2 3 4 5 6 7 8 9 10答案BADDCCADAC二、填空题〔 4*7=28 分〕11. a b ;; 13. { x | x 4或 x2} ; 14.-1或 215.(-2, 2); 16.(0,1]17.①②⑤三、解答题:〔 10+10+12=32 分〕111118.解 : 〔1〕原式 (a2)3(a 2 )3( a2a 2 )(a a 11)a a18 。
指数函数习题及答案Document serial number【NL89WT-NY98YT-NC8CB-NNUUT-NUT108】指数函数习题一、选择题1.定义运算ab=,则函数f(x)=12x的图象大致为( )2.函数f(x)=x2-bx+c满足f(1+x)=f(1-x)且f(0)=3,则f(b x)与f(c x)的大小关系是( )A.f(b x)≤f(c x)B.f(b x)≥f(c x)C.f(b x)>f(c x)D.大小关系随x的不同而不同3.函数y=|2x-1|在区间(k-1,k+1)内不单调,则k的取值范围是( ) A.(-1,+∞)B.(-∞,1)C.(-1,1) D.(0,2)4.设函数f(x)=ln[(x-1)(2-x)]的定义域是A,函数g(x)=lg(-1)的定义域是B,若AB,则正数a的取值范围( )A.a>3 B.a≥3C.a> D.a≥5.已知函数f(x)=若数列{a n}满足a n=f(n)(n∈N*),且{a n}是递增数列,则实数a的取值范围是( )A.[,3) B.(,3)C.(2,3) D.(1,3)6.已知a>0且a≠1,f(x)=x2-a x,当x∈(-1,1)时,均有f(x)<,则实数a 的取值范围是( )A.(0,]∪[2,+∞)B.[,1)∪(1,4]C.[,1)∪(1,2]D.(0,)∪[4,+∞)二、填空题7.函数y=a x(a>0,且a≠1)在[1,2]上的最大值比最小值大,则a的值是________.8.若曲线|y|=2x+1与直线y=b没有公共点,则b的取值范围是________.9.(2011·滨州模拟)定义:区间[x1,x2](x1<x2)的长度为x2-x1.已知函数y=2|x|的定义域为[a,b],值域为[1,2],则区间[a,b]的长度的最大值与最小值的差为________.三、解答题10.求函数y=211.(2011·银川模拟)若函数y=a2x+2a x-1(a>0且a≠1)在x∈[-1,1]上的最大值为14,求a的值.12.已知函数f(x)=3x,f(a+2)=18,g(x)=λ·3ax-4x的定义域为[0,1].(1)求a的值;(2)若函数g(x)在区间[0,1]上是单调递减函数,求实数λ的取值范围.指数函数答案1.解析:由ab=得f(x)=12x=答案:A2.解析:∵f (1+x )=f (1-x ),∴f (x )的对称轴为直线x =1,由此得b =2. 又f (0)=3,∴c =3.∴f (x )在(-∞,1)上递减,在(1,+∞)上递增. 若x ≥0,则3x ≥2x ≥1,∴f (3x )≥f (2x ). 若x <0,则3x <2x <1,∴f (3x )>f (2x ). ∴f (3x )≥f (2x ). 答案:A3.解析:由于函数y =|2x -1|在(-∞,0)内单调递减,在(0,+∞)内单调递增,而函数在区间(k -1,k +1)内不单调,所以有k -1<0<k +1,解得-1<k <1. 答案:C4.解析:由题意得:A =(1,2),a x -2x >1且a >2,由AB 知a x -2x >1在(1,2)上恒成立,即a x -2x -1>0在(1,2)上恒成立,令u (x )=a x -2x -1,则u ′(x )=a x ln a -2x ln2>0,所以函数u (x )在(1,2)上单调递增,则u (x )>u (1)=a -3,即a ≥3. 答案:B5.解析:数列{a n }满足a n =f (n )(n ∈N *),则函数f (n )为增函数, 注意a 8-6>(3-a )×7-3,所以,解得2<a <3. 答案:C6.解析:f (x )<x 2-a x <x 2-<a x ,考查函数y =a x 与y =x 2-的图象, 当a >1时,必有a -1≥,即1<a ≤2, 当0<a <1时,必有a ≥,即≤a <1, 综上,≤a <1或1<a ≤2. 答案:C7.解析:当a >1时,y =a x 在[1,2]上单调递增,故a 2-a =,得a =.当0<a <1时,y =a x 在[1,2]上单调递减,故a -a 2=,得a =.故a =或. 答案:或8.解析:分别作出两个函数的图象,通过图象的交点个数来判断参数的取值范围.曲线|y |=2x +1与直线y =b 的图象如图所示,由图象可得:如果|y |=2x +1与直线y =b 没有公共点,则b 应满足的条件是b ∈[-1,1]. 答案:[-1,1]9.解析:如图满足条件的区间[a ,b ],当a =-1,b =0或a =0,b =1时区间长度最小,最小值为1,当a =-1,b =1时区间长度最大,最大值为2,故其差为1. 答案:110.解:要使函数有意义,则只需-x 2-3x +4≥0,即x 2+3x -4≤0,解得-4≤x ≤1.∴函数的定义域为{x |-4≤x ≤1}.令t =-x 2-3x +4,则t =-x 2-3x +4=-(x +)2+,∴当-4≤x ≤1时,t max =,此时x =-,t min =0,此时x =-4或x =1. ∴0≤t ≤.∴0≤≤.∴函数y =2341()2x x --+[,1].由t =-x 2-3x +4=-(x +)2+(-4≤x ≤1)可知,当-4≤x ≤-时,t 是增函数, 当-≤x ≤1时,t 是减函数. 根据复合函数的单调性知:y =1()2[-4,-]上是减函数,在[-,1]上是增函数.∴函数的单调增区间是[-,1],单调减区间是[-4,-].11.解:令a x =t ,∴t >0,则y =t 2+2t -1=(t +1)2-2,其对称轴为t =-1.该二次函数在[-1,+∞)上是增函数.①若a >1,∵x ∈[-1,1],∴t =a x ∈[,a ],故当t =a ,即x =1时,y max =a 2+2a -1=14,解得a =3(a =-5舍去). ②若0<a <1,∵x ∈[-1,1],∴t =a x∈[a ,],故当t =,即x =-1时, y max =(+1)2-2=14. ∴a =或-(舍去). 综上可得a =3或.12.解:法一:(1)由已知得3a +2=183a =2a =log 32. (2)此时g (x )=λ·2x -4x , 设0≤x 1<x 2≤1,因为g (x )在区间[0,1]上是单调减函数,所以g (x 1)-g (x 2)=(2x 1-2x 2)(λ-2x 2-2x 1)>0恒成立,即λ<2x 2+2x 1恒成立.由于2x 2+2x 1>20+20=2,所以实数λ的取值范围是λ≤2. 法二:(1)同法一.(2)此时g (x )=λ·2x -4x ,因为g (x )在区间[0,1]上是单调减函数,所以有g ′(x )=λln2·2x -ln4·4x =ln2[-2·(2x )2+λ·2x ]≤0成立. 设2x =u ∈[1,2],上式成立等价于-2u 2+λu ≤0恒成立. 因为u ∈[1,2],只需λ≤2u 恒成立, 所以实数λ的取值范围是λ≤2.。
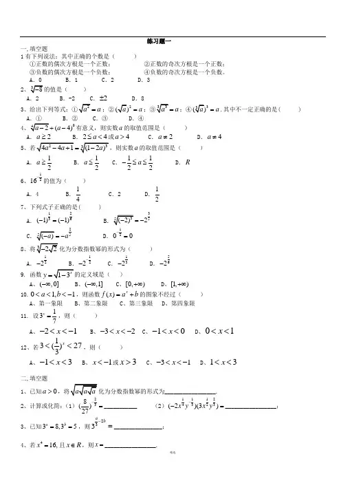
练习题一一,填空题1有下列说法:其中正确的个数是( )①正数的偶次方根是一个正数; ②正数的奇次方根是一个正数; ③负数的偶次方根是一个负数; ④负数的奇次方根是一个负数。
A .0 B .1 C .2 D .32 )A .2B .-2C .2±D .83a =;②2a =a =;④3a =.其中不一定正确的是( ) A .① B .② C .③ D .④40(4)a -有意义,则实数a 的取值范围是( )A .2a ≥B .24a ≤<或4a >C .2a ≠D .4a ≠5=a 的取值范围是( ) A .12a ≥ B .12a ≤ C .1122a -≤≤ D .R 6、1216-的值为( )A .4B .14 C .2 D .127、下列式子正确的是( )A .1236(1)(1)-=- B 352=-C 25a =- D .120-=8化为分数指数幂的形式为( ) A .122- B .122-- C .132- D .562-9. 函数y = )A 、(,0]-∞B 、(,1]-∞C 、[0,)+∞D 、[1,)+∞ 10.01,1a b <<<-,则函数()xf x a b =+的图象不经过( ) A 、第一象限 B 、第二象限 C 、第三象限 D 、第四象限 11. 设137x=,则( ) A 、21x -<<- B 、32x -<<- C 、10x -<< D 、01x << 12、若13()273x<<,则( )A 、13x -<<B 、1x <-或3x >C 、31x -<<-D 、13x <<二,填空题1、已知0a >_________________.2、计算或化简:(1)238()27-=___________ (2)12113342(2)(3)x y x y --=_________________;3、已知38,35ab==,则233a b -=________________;4、若45、求下列各式的值:(1=____________; (2=_________ (3=____________6.若0a >,且1a ≠,则函数21x y a -=+的图象一定过定点___________.7. 比较下列各组数的大小:(1)0.2_______253) ; (2)0.63()4-_______343()4-;(3)134()5-_______0.35()4; (4)0.53()2_______22()58. 已知0.80.81m n>>,则m 、n 、0的大小关系为___________.9. 0.70.50.80.8,0.8, 1.3,ab c ===则a 、b 、c 的大小关系为___________.10. 函数121x y =-的定义域是___________,值域是___________.11. 某厂2004年的产值为a 万元,预计产值每年以5%递增,该厂到2016年的 产值是( ) A 、13(15%)a +万元 B 、12(15%)a +万元 C 、11(15%)a +万元 D 、1210(15%)9+万元 6、函数y =的定义域是___________,值域是___________, 增区间是___________,减区间是___________.三解答题1. 函数()xf x a b =+的图象如图所示(1)求,a b 的值; (2)当[2,4]x ∈时,求()f x 的最大值与最小值。
指数函数精典习题姓名函数图象:作出以下函数图象(1)2xy=(2)1()2xy=(3)12xy+=(4)21xy=+(5)2xy-=(6)||2xy=(7)||2xy-=(8)221xy-=+解析式、定义域、值域、识图问题1、若集合{}{}23,,2,xA y y x RB y y x x R==∈==-+∈,A B⋂=________.2、若3()(),012xf x x=<<,则有()A、()1f x> B、0()1f x<< C、1() 1.5f x<< D、0() 1.5f x<<3、函数12xy+=的图象是下图中的()、4、函数y=)A、(,0]-∞ B、(,1]-∞ C、[0,)+∞ D、[1,)+∞5、函数2xy-=的值域是()A、(0,1)B、(0,1]C、(0,)+∞ D、(,)-∞+∞6、01,1a b<<<-,则函数()xf x a b=+的图象不经过()A、第一象限B、第二象限C、第三象限D、第四象限7、若13()273x<<,则()A、13x-<< B、1x<-或3x> C、31x-<<- D、13x<<8.函数⎪⎩⎪⎨⎧>≤-=-,,12)(21xxxxfx,满足1)(>xf的x的取值范围()A.)1,1(-B.),1(+∞- C.}2|{-<>xxx或 D.}11|{-<>xxx或9、已知0a>_________________.10、已知指数函数()y f x=,且3()225f-=()y f x=的解析式是()A、32y x= B、5xy-= C、5y x= D、5xy=11、求函数11()()()1,[3,2]42x xf x x=-+∈-的值域画出函数|13|-=xy的图象,并利用图象回答:k为何值时,方程|3x-1|=k无解?有一解?有两解?比较大小问题1、比较下列各组数的大小:(1)0.2_______25 ; (2)0.63()4-_______343()4-;(3)134()5-_______0.35()4;(4)0.53()2_______2、设1.50.90.4812314,8,2y y y-⎛⎫=== ⎪⎝⎭,则()A、312y y y>> B、213y y y>> C、132y y y>> D、123y y y>>3、设.)32(,)32(2.15.1-==ba那么实数a、b与1的大小关系正确的是 ( )A. 1<<ab B. 1<<ba C. ab<<1 D. ba<<14、311213,32,2-⎪⎭⎫⎝⎛的大小顺序有小到大依次为_____________。
指数函数(经典题、易错题)指数函数(经典题、易错题)一.选择题(共22小题)1.若函数,且0≤x≤1,则有()A.f(x)≥1B.C.D.2.函数y=()x2+2x﹣1的值域是()A.(﹣∞,4)B.(0,+∞)C.(0,4]D.[4,+∞)3.函数的值域为()A.(0,1]B.(0,+∞)C.(1,+∞)D.(﹣∞,+∞)4.函数y=4x+2x+1+5,x∈[1,2]的最大值为()A.20B.25C.29D.315.函数y=3|x|﹣1的定义域为[﹣1,2],则函数的值域为()A.[2,8]B.[0,8]C.[1,8]D.[﹣1,8]6.函数的值域是()A.(0,+∞)B.(0,1)C.(0,1]D.[1,+∞)7.(2011?山东)若点(a,9)在函数y=3x的图象上,则tan的值为()A.B.C.1D.8.设a、b、c、d都是大于零且不等于1的实数,y=ax、y=bx、y=cx、y=dx在同一坐标系中的图象如图(1)所示,则a、b、c、d的大小关系是()A.a>b>c>dB.a>b>d>cC.a>d>c>bD.a>c>b>d9.如图,设a,b,c,d>0,且不等于1,y=ax,y=bx,y=cx,y=dx在同一坐标系中的图象如图,则a,b,c,d的大小顺序()A.a<b<c<dB.a<b<d<cC.b<a<d<cD.b<a<c<d10.(2012?四川)函数y=ax﹣a(a>0,a≠1)的图象可能是()A.B.C.D.11.把函数y=2x﹣2+3的图象按向量平移,得到函数y=2x+1﹣1的图象,则向量=()A.(﹣3,﹣4)B.(3,4)C.(﹣3,4)D.(3,﹣4)12.函数y=3x﹣1的图象大致是()A.B.C.D.13.函数f(x)=4x+5×2x﹣1+1的值域是()A.(0,1)B.[1,+∞)C.(1,+∞)D.[0,1]14.已知a=,b=,c=,则下列关系中正确的是()A.a<b<cB.c<a<bC.a<c<bD.b<a<c15.若a>0,a≠1,则函数y=ax﹣1的图象一定过点()A.(0,1)B.(1,1)C.(1,0)D.(0,﹣1)16.已知a,b∈R,且a>b,则下列不等式中恒成立的是()A.a2>b2B.()a<()bC.lg(a﹣b)>0D.>117.函数的单调增区间为()A.[﹣1,+∞)B.(﹣∞,﹣1]C.(﹣∞,+∞)D.(﹣∞,0]18.函数y=ax﹣1+1(0<a≠1)的图象必经过点()A.(0,1)B.(1,1)C.(1,2)D.19.已知a=30.2,b=0.2﹣3,c=3﹣0.2,则a,b,c的大小关系是()A.a>b>cB.b>a>cC.c>a>bD.b>c>a20.(2005?山东)下列大小关系正确的是()A.0.43<30.4<log40.3B.0.43<log40.3<30.4C.log40.3<0.43<30.4D.log40.3<30.4<0.4321.设,则a,b,c的大小关系是()A.a>b>cB.b>a>cC.b>c>aD.c>b>a22.比较a,b,c的大小,其中a=0.22,b=20.2,c=log0.22()A.B.c>a>bC.a>b>cD.b>a>c二.填空题(共2小题)23.函数的单调递增区间是_________ .24.(2005?上海)方程4x+2x﹣2=0的解是_________ .指数函数(经典题、易错题)参考答案与试题解析一.选择题(共22小题)1.若函数,且0≤x≤1,则有()A.f(x)≥1B.C.D.考点:指数函数的定义、解析式、定义域和值域.1091931专题:计算题.分析:结合指数函数数在[0,1]上的单调性可求.解答:解:∵0≤x≤1且函数单调递减∴故选D点评:本题主要考查了指数函数的单调性的应用,属于基础试题.2.函数y=()x2+2x﹣1的值域是()A.(﹣∞,4)B.(0,+∞)C.(0,4]D.[4,+∞)考点:指数函数的定义、解析式、定义域和值域.1091931专题:计算题.分析:本题是一个复合函数,求其值域可以分为两步来求,先求内层函数的值域,再求函数的值域,内层的函数是一个二次型的函数,用二次函数的性质求值域,外层的函数是一个指数函数,和指数的性质求其值域即可.解答:解:由题意令t=x2+2x﹣1=(x+1)2﹣2≥﹣2∴y=≤=4∴0<y≤4故选C点评:本题考查指数函数的定义域和值域、定义及解析式,解题的关键是掌握住复合函数求值域的规律,由内而外逐层求解.以及二次函数的性质,指数函数的性质.3.函数的值域为()A.(0,1]B.(0,+∞)C.(1,+∞)D.(﹣∞,+∞)考点:指数函数的定义、解析式、定义域和值域.1091931专题:计算题.分析:画出f(x)的图象,由f(x)图象f(x)可得的值域.解答:解:函数的图象如图:由f(x)的图象可得:f(x)的值域为(0,+∞).故选B.点评:本题考查指数函数的值域,用到了指数函数的图象.4.函数y=4x+2x+1+5,x∈[1,2]的最大值为()A.20B.25C.29D.31考点:指数函数的定义、解析式、定义域和值域;函数的最值及其几何意义.1091931专题:计算题.分析:由x∈[1,2],知2≤2x≤4,把y=4x+2x+1+5转化为y=(2x+1)2+4,当2x=4时,ymax=(4+1)2+4=29.解答:解:∵x∈[1,2],∴2≤2x≤4,∴y=4x+2x+1+5=(2x)2+2×2x+5=(2x+1)2+4,当2x=4时,ymax=(4+1)2+4=29.故选C.点评:本题考查指数函数的性质和应用,解题时要认真审题,注意配方法的合理运用.5.函数y=3|x|﹣1的定义域为[﹣1,2],则函数的值域为()A.[2,8]B.[0,8]C.[1,8]D.[﹣1,8]考点:指数函数的定义、解析式、定义域和值域.1091931专题:计算题.分析:设t=|x|可得出t∈[0,2],根据指数函数的单调性求出值域即可.解答:解:设t=|x|∵函数y=3|x|﹣1的定义域为[﹣1,2],∴t∈[0,2]∴y=3t﹣1∴y=3t﹣1在t∈[0,2]的值域为[0,8]故选B.点评:本题考查了指数函数的定义域和值域,求出函数y=3t﹣1的定义域是解题的关键,属于基础题.6.函数的值域是()A.(0,+∞)B.(0,1)C.(0,1]D.[1,+∞)考点:指数函数的定义、解析式、定义域和值域.1091931专题:计算题.分析:本题是一个复合函数,求其值域可以分为两步来求,先求内层函数的值域,再求函数的值域,内层的函数是一个二次型的函数,用二次函数的性质求值域,外层的函数是一个指数函数,和指数的性质求其值域即可.解答:解:由题意令t=x2≥0∴y=≤=1∴0<y≤1故选C点评:本题考查指数函数的定义域和值域、定义及解析式,解题的关键是掌握住复合函数求值域的规律,由内而外逐层求解.以及二次函数的性质,指数函数的性质.7.(2011?山东)若点(a,9)在函数y=3x的图象上,则tan的值为()A.B.C.1D.考点:指数函数的图像与性质.1091931专题:计算题.分析:先将点代入到解析式中,解出a的值,再根据特殊三角函数值进行解答.解答:解:将(a,9)代入到y=3x中,得3a=9,解得a=2.∴=.故选D.点评:对于基本初等函数的考查,历年来多数以选择填空的形式出现.在解答这些知识点时,多数要结合着图象,利用数形结合的方式研究,一般的问题往往都可以迎刃而解.8.设a、b、c、d都是大于零且不等于1的实数,y=ax、y=bx、y=cx、y=dx在同一坐标系中的图象如图(1)所示,则a、b、c、d的大小关系是()A.a>b>c>dB.a>b>d>cC.a>d>c>bD.a>c>b>d考点:指数函数的图像与性质.1091931专题:综合题.分析:通过作直线x=1与图象交于四点,利用这几个点的位置关系,从而确定a,b,c,d的大小关系.解答:解:∵a1=a,∴作直线x=1与图象分别交于A,B,C,D点,则它们纵坐标分别为:a,b,c,d由图a>b>c>d故选A.点评:本题考查了指数函数的图象与性质,同时考查了数形结合的思想方法,是个基础题.9.如图,设a,b,c,d>0,且不等于1,y=ax,y=bx,y=cx,y=dx在同一坐标系中的图象如图,则a,b,c,d的大小顺序()A.a<b<c<dB.a<b<d<cC.b<a<d<cD.b<a<c<d考点:指数函数的图像与性质.1091931专题:数形结合.分析:要比较a、b、c、d的大小,根据函数结构的特征,作直线x=1,与y=ax,y=bx,y=cx,y=dx 交点的纵坐标就是a、b、c、d,观察图形即可得到结论.解答:解:作辅助直线x=1,当x=1时,y=ax,y=bx,y=cx,y=dx的函数值正好是底数a、b、c、d直线x=1与y=ax,y=bx,y=cx,y=dx交点的纵坐标就是a、b、c、d观察图形即可判定大小:b<a<d<c故选:C.点评:本题主要考查了指数函数的图象与性质,同时考查了数形结合的数学思想,分析问题解决问题的能力,属于基础题.10.(2012?四川)函数y=ax﹣a(a>0,a≠1)的图象可能是()A.B.C.D.考点:指数函数的图像变换.1091931专题:计算题.分析:a>1时,函数y=ax﹣a在R上是增函数,且图象过点(1,0),故排除A,B.当1>a>0时,函数y=ax﹣a在R上是减函数,且图象过点(1,0),故排除D,由此得出结论.解答:解:函数y=ax﹣a(a>0,a≠1)的图象可以看成把函数y=ax的图象向下平移a个单位得到的.当a>1时,函数y=ax﹣a在R上是增函数,且图象过点(1,0),故排除A,B.当1>a>0时,函数y=ax﹣a在R上是减函数,且图象过点(1,0),故排除D,故选C.点评:本题主要考查指数函数的图象变换,指数函数的单调性和特殊点,体现了分类讨论的数学思想,属于中档题.11.把函数y=2x﹣2+3的图象按向量平移,得到函数y=2x+1﹣1的图象,则向量=()A.(﹣3,﹣4)B.(3,4)C.(﹣3,4)D.(3,﹣4)考点:指数函数的图像变换.1091931专题:计算题.分析:我们可以用待定系数法解答本题,先设出平移向量的坐标,根据函数图象的平移法则,我们可以求出平移后函数的解析式,根据已知我们可构造出一个关于h,k的二元一次方程组,解方程组即可求出平移向量的坐标.解答:解:设平移向量=(h,k)则函数y=2x﹣2+3的图象平移后得到的函数解析式为:y=2x﹣h﹣2+3+k即x﹣h﹣2=x+1且3+k=﹣1解得h=﹣3,k=﹣4故向量=(﹣3,﹣4)故选A点评:本题考查的知识点是函数图象的平移变换,其中根据平移法则“左加右减,上加下减”构造关于h,k的二元一次方程组,是解答本题的关键.12.函数y=3x﹣1的图象大致是()A.B.C.D.考点:指数函数的图像变换.1091931专题:作图题.分析:可利用排除法解此选择题,由特殊点(0,0)在函数图象上可排除A、B;由特殊性质函数的值域为(﹣1,+∞),排除C,即可得正确选项解答:解:由函数y=3x﹣1的图象过(0,0)点,排除A、B,由函数y=3x﹣1的值域为(﹣1,+∞),排除C故选 D点评:本题考查了指数函数的图象变换,排除法解选择题13.函数f(x)=4x+5×2x﹣1+1的值域是()A.(0,1)B.[1,+∞)C.(1,+∞)D.[0,1]考点:指数函数的单调性与特殊点.1091931专题:计算题.分析:令2x=t,t>0,则函数f(x)=t2+t+1,利利用二次函数的性质求出值域.解答:解:令2x=t,t>0,则函数f(x)=t2+t+1=﹣>﹣=1,且由二次函数的性质知,函数f(x)=﹣无最大值,故值域为(1,+∞).故选 C.点评:本题考查指数函数的单调性和值域,二次函数的值域的求法,体现了换元的思想.14.已知a=,b=,c=,则下列关系中正确的是()A.a<b<cB.c<a<bC.a<c<bD.b<a<c考点:指数函数的单调性与特殊点.1091931专题:常规题型.分析:利用幂的运算性质将a化简;由于三个数同底;研究指数函数的单调性,判断出三个数的大小.解答:解:∵∵是同底数的幂考查指数函数是减函数故选D点评:本题考查指数函数的单调性取决于底数的范围、考查利用指数函数的单调性比较幂的大小.15.若a>0,a≠1,则函数y=ax﹣1的图象一定过点()A.(0,1)B.(1,1)C.(1,0)D.(0,﹣1)考点:指数函数的单调性与特殊点.1091931专题:计算题.分析:令令x﹣1=0求出x的值,代入解析式求出定点的坐标.解答:解:令x﹣1=0得,x=1,代入数y=ax﹣1=1,∴函数y=ax﹣1的图象一定过点(1,1),故选B.点评:本题考查了指数函数的图象过定点(0,1)的应用,令指数为零求解即可,是基础题.16.已知a,b∈R,且a>b,则下列不等式中恒成立的是()A.a2>b2B.()a<()bC.lg(a﹣b)>0D.>1考点:指数函数的单调性与特殊点.1091931专题:计算题.分析:不妨设 a=﹣1,b=﹣2,代入各个选项进行检验可得 A、C、D 都不正确,只有B正确,从而得到结论.解答:解:令 a=﹣1,b=﹣2,代入各个选项进行检验可得 A、C、D 都不正确,只有B正确,故选B.点评:本题考查不等式的性质,通过给变量取特殊值,举反例来说明某个命题不正确,是一种简单有效的方法.17.函数的单调增区间为()A.[﹣1,+∞)B.(﹣∞,﹣1]C.(﹣∞,+∞)D.(﹣∞,0]考点:指数函数的单调性与特殊点.1091931专题:计算题.分析:分别判断出各段函数在其定义区间的单调性,根据同增异减口诀,先判断内层函数的单调性,再判断外层函数单调性,若两函数单调性相同,则此复合函数在此定义域上为增函数,反之则为减函数.解答:解:外层函数是,内层函数是y=x2+2x由题意可得外层函数是减函数∵根据复合函数同增异减的性质∴只要找到y=x2+2x的减区间即可∵y=x2+2x的对称轴是x=﹣1∴它的减区间为(﹣∞,﹣1)∴函数的增区间为(﹣∞,﹣1).点评:复合函数的单调性一般是看函数包含的两个函数的单调性(1)如果两个都是增的,那么函数就是增函数(2)一个是减一个是增,那就是减函数(3)两个都是减,那就是增函数.18.函数y=ax﹣1+1(0<a≠1)的图象必经过点()A.(0,1)B.(1,1)C.(1,2)D.(0,2)考点:指数函数的单调性与特殊点.1091931专题:计算题.分析:由a0=1,可得当x=1时,函数y=ax﹣1+1=a0+1=2,从得到函数y=ax﹣1+1(0<a≠1)的图象必经过的定点坐标.解答:解:由a0=1,可得当x=1时,函数y=ax﹣1+1=a0+1=2,故函数y=ax﹣1+1(0<a≠1)的图象必经过点(1,2),故选C.点评:本题主要考查指数函数的单调性及特殊点,属于基础题.19.已知a=30.2,b=0.2﹣3,c=3﹣0.2,则a,b,c的大小关系是()A.a>b>cB.b>a>cC.c>a>bD.b>c>a考点:指数函数单调性的应用.1091931专题:计算题.分析:先取中间量1,利用指数函数的图象性质,判断c最小,排除C、D;再将a、b两数变形比较,即可得正确选项解答:解:利用指数函数的图象性质知a>1,b>1,而c<1,故c最小,排除C、D∵a=<31=3,b==53=125∴b>a故选B点评:本题主要考查了幂的大小的比较,利用指数函数图象和幂的运算性质比较大小的技巧20.(2005?山东)下列大小关系正确的是()A.0.43<30.4<log40.3B.0.43<log40.3<30.4C.log40.3<0.43<30.4D.log40.3<30.4<0.43考点:指数函数单调性的应用.1091931专题:常规题型.分析:结合函数y=0.4x,y=3x,y=log4x的单调性判断各函数值与0和1的大小,从而比较大小.解答:解:∵0<0.43<0.40=1,30.4>30=1,log40.3<log0.41=0∴log40.3<0.43<30.4故选C点评:本题是指数函数与对数函数的单调性的简单应用,在比较指数(对数)式的大小时,若是同底的,一般直接借助于指数(对数)函数的单调性,若不同底数,也不同指(真)数,一般与1(0)比较大小.21.设,则a,b,c的大小关系是()A.a>b>cB.b>a>cC.b>c>aD.c>b>a考点:指数函数单调性的应用.1091931专题:证明题.分析:先利用指数函数y=为R上的单调减函数,比较a、b的大小,排除A、B,再利用幂函数y=x3在R上为增函数,比较b、c的大小,即可得正确选项解答:解:考察函数y=为R上的单调减函数,∴,即a<b,排除A、B;∵b3=,c3==,∴b3>c3,考察幂函数y=x3在R上为增函数,∴b>c,排除D;故选 C点评:本题主要考查了指数函数、幂函数的图象和性质,利用函数的单调性比较大小的方法和技巧,属基础题22.比较a,b,c的大小,其中a=0.22,b=20.2,c=log0.22()A.b>c>aB.c>a>bC.a>b>cD.b>a>c考点:指数函数单调性的应用;不等式比较大小.1091931专题:计算题.分析:将log0.22看作函数y=log0.2x当x=2时所对应的函数值小于零,将a=0.22看作函数y=0.2x 当x=2时所对应的函数值小于1,将b=20.2看作函数y=2x当x=0.2时所对应的函数值大于1.解答:解:根据对数函数的性质可知c=log0.22<0根据指数函数的性质可知0<0.22<1,20.2>1∴b>a>c故选D点评:本题主要考查在数的比较中,我们要注意函数思想的应用.二.填空题(共2小题)23.函数的单调递增区间是(﹣1,+∞).考点:指数函数综合题.1091931专题:计算题.分析:令t=x2+2x﹣3,则y=3t,本题即求函数t=x2+2x﹣3的增区间,由二次函数的性质可得函数t=x2+2x﹣3的增区间为(﹣1,+∞).解答:解:函数=,令t=x2+2x﹣3,则y=3t.故本题即求函数t=x2+2x﹣3的增区间.由二次函数的性质可得函数t=x2+2x﹣3的增区间为(﹣1,+∞),故答案为(﹣1,+∞).点评:本题主要考查指数型复合函数的单调性的应用,二次函数的性质,属于中档题.24.(2005?上海)方程4x+2x﹣2=0的解是0 .考点:指数函数综合题.1091931专题:计算题;转化思想.分析:先换元,转化成一元二次方程求解,进而求出x的值.解答:解:令t=2x,则t>0,∴t2+t﹣2=0,解得t=1或t=﹣2(舍)即2x=1;即x=0;故答案为0.点评:考查了指数运算,对于不是同底的指数问题,首先换成同一底数,体现了换元的思想,在换元中注意新变量的取值范围.属容易题.。
指数函数基础练习题一、选择题1. 若 f(x) = 2^x,则 f(3) 的值为:A. 2B. 4C. 8D. 162. 若 g(x) = 5^x,则 g(0) 的值为:A. 0B. 1C. 5D. 103. 若 h(x) = (1/3)^x,则 h(2) 的值为:A. 1/9B. 1/6C. 1/3D. 9/14. 若 k(x) = 10^x,则 k(-1) 的值为:A. 0.1B. 1C. 10D. 1005. 若 p(x) = e^x,则 p(1) 的值为:A. 1B. eC. e^2D. e^-1二、填空题1. 若 f(x) = 2^x,解方程 f(x) = 64,x 的值为 _______。
2. 若 g(x) = 5^x,解不等式 g(x) < 1,x 的取值范围为 _______。
3. 若 h(x) = (1/4)^x,解不等式 h(x) > 16,x 的取值范围为 _______。
4. 若 k(x) = 10^x,解方程 k(x) = 1000,x 的值为 _______。
5. 若 p(x) = e^x,解方程 p(x) = 5,x 的值约为 _______(保留两位小数)。
三、计算题1. 计算 f(2) + f(0) + f(-1) 的值。
2. 计算 g(3) - g(2) 的值。
3. 计算 h(1/2) + h(1/3) 的值。
4. 计算 k(-2) - k(0) 的值。
5. 若指数函数 f(x) = a * b^x,已知 f(0) = 3,f(2) = 27,求 a 和 b 的值。
四、解答题1. 将函数 f(x) = 4 * 2^x 的图像完整地画在坐标系中,并标出至少三个点的坐标。
2. 设函数 f(x) = 3 * 5^x,求函数 f(x) 的反函数,并说明反函数的定义域和值域。
3. 证明:指数函数 f(x) = b^x (其中 b > 0 且b ≠ 1)的图像经过点(0, 1)。
考点9指数函数【题组一定义辨析】1.下列函数中指数函数的个数是。
①y =2x ;②y =x 2;③y =2x +1;④y =x x ;⑤y =(6a –3)x 12(23a a >≠,且.【答案】2【解析】只有①⑤是指数函数;②底数不是常数,故不是指数函数;③1222x x y +==⨯是2与指数2x y =的乘积;④中底数x 不是常数,不符合指数函数的定义,所以指数函数的个数是2.2.下列函数中,指数函数的个数为。
①112x y -⎛⎫= ⎪⎝⎭②y =a x ()01a a >≠且;③y =1x ;④2112xy ⎛⎫=- ⎪⎝⎭【答案】1【解析】由指数函数的定义可判定,只有②正确.3.函数2(232)xy a a a =-+是指数函数,则a 的取值范围是。
【答案】12⎧⎫⎨⎬⎩⎭【解析】 函数2(232)x y a a a =-+是指数函数,22321a a ∴-+=且0a >,1a ≠,由22321a a -+=解得1a =或12a =,12a ∴=,4.已知函数2()(1)(1)x f x a a a =+-+为指数函数,则a =.【答案】1【解析】 函数()()()211xf x a a a =+-+为指数函数,21110a a a ⎧+-=∴⎨+>⎩解得1a =【题组二定义域】1.函数()1f x x =+-的定义域为__________.【答案】(2,1)-【解析】函数()1f x x =-x 满足:2650140210xx x x ⎧--≥⎪⎪⎛⎫->⎨⎪⎝⎭⎪⎪-≠⎩,解得6121x x x -≤≤⎧⎪>-⎨⎪≠⎩即21x -<<.故答案为:(2,1)-2.函数31()log f x x=的定义域为。
【答案】{}1|0x x <<【解析】要使函数有意义,则01220x x x >⎧⎪≠⎨⎪-≥⎩,解得0<x <1,3.设函数()f x =,则函数2(log )y f x =的定义域为。
指数函数习题新泰一中闫辉一、选择题1.下列函数中指数函数的个数是 ( ).①②③④A.0个 B.1个 C.2个 D.3个2.若,,则函数的图象一定在()A.第一、二、三象限 B.第一、三、四象限C.第二、三、四象限 D.第一、二、四象限3.已知,当其值域为时,的取值范围是()A. B.C. D.4.若,,下列不等式成立的是()A. B. C. D.5.已知且,,则是()A.奇函数 B.偶函数C.非奇非偶函数 D.奇偶性与有关6.函数()的图象是()7.函数与的图象大致是( ).8.当时,函数与的图象只可能是()9.在下列图象中,二次函数与指数函数的图象只可能是()10.计算机成本不断降低,若每隔3年计算机价格降低 ,现在价格为8100元的计算机,则9年后的价格为( ).A.2400元 B.900元 C.300元 D.3600元二、填空题1.比较大小:(1);(2) ______ 1;(3) ______2.若,则的取值范围为_________.3.求函数的单调减区间为__________.4.的反函数的定义域是__________.5.函数的值域是__________ .6.已知的定义域为 ,则的定义域为__________.7.当时, ,则的取值范围是__________.8.时,的图象过定点________ .9.若 ,则函数的图象一定不在第_____象限.10.已知函数的图象过点 ,又其反函数的图象过点(2,0),则函数的解析式为____________.11.函数的最小值为____________.12.函数的单调递增区间是____________.13.已知关于的方程有两个实数解,则实数的取值范围是_________.14.若函数(且)在区间上的最大值是14,那么等于_________.三、解答题1.按从小到大排列下列各数:,,,,,,,2.设有两个函数与,要使(1);(2),求、的取值范围.3.已知 ,试比较的大小.4.若函数是奇函数,求的值.5.已知,求函数的值域.6.解方程:(1);(2).7.已知函数(且)(1)求的最小值;(2)若,求的取值范围.8.试比较与的大小,并加以证明.9.某工厂从年到年某种产品的成本共下降了19%,若每年下降的百分率相等,求每年下降的百分率10.某工厂今年1月、2月、3月生产某产品分别为1万件、1.2件、1.3万件,为了估测以后每个月的产量,以这三个月的产品数量为依据,用一个函数模拟该产品的月产量与月份数的关系,模拟函数可以选用二次函数或函数(其中、、为常数),已知四月份该产品的产量为1.37万件,请问用以上哪个函数作为模拟函数较好?请说明理由.11.设,求出的值.12.解方程.参考答案:一、1.B 2.A 3.D 4.B 5.A 6.B 7.D 8.A 9.A 10.A二、1.(1)(2)(3)2. 3. 4.(0,1) 5.6. 7.8.恒过点(1,3) 9.四 10.11. 12. 13. 14.或三、1.解:除以外,将其余的数分为三类:(1)负数:(2)小于1的正数:,,(3)大于1的正数:,,在(2)中,;在(3)中,;综上可知说明:对几个数比较大小的具体方法是:(1)与0比,与1比,将所有数分成三类:,,,(2)在各类中两两比2.解:(1)要使由条件是,解之得(2)要使,必须分两种情况:当时,只要,解之得;当时,只要,解之得或说明:若是与比较大小,通常要分和两种情况考虑.3.4.解:为奇函数,,即,则,5.解:由得,即,解之得,于是,即,故所求函数的值域为6.解:(1)两边同除可得,令,有,解之得或,即或,于是或(2)原方程化为,即,由求根公式可得到,故7.解:(1),当即时,有最小值为(2),解得当时,;当时,.8.当时, > ,当时, > .9.解:设每年下降的百分率为,由题意可得,,,故每年下降的百分率为10%10.解:设模拟的二次函数为,由条件,,,可得,解得又由及条件可得,解得下面比较,与1.37的差,比的误差较小,从而作为模拟函数较好11.解:故12.解:令 ,则原方程化为 解得 或 ,即 或 (舍去),习题二1. 求不等式2741(0x x aa a -->>,1)a ≠且中x 的取值范围.2. . 指数函数xb y a ⎛⎫= ⎪⎝⎭的图象如图所示,求二次函数2y ax bx =+的顶点的横坐标的取值范围.3. 函数()xf x a =(0a >,且1a ≠)对于任意的实数x ,y 都有( ) A.()()()f xy f x f y =B.()()()f xy f x f y =+ C.()()()f x y f x f y +=D.()()()f x y f x f y +=+oyx14. 若11()()23x x <,则x 满足( )A.0x > B.0x < C.0x ≤D.0x ≥5. (1)已知12()3a a -+=,求33a a -+;(2)已知21xa=,求33x xx xa a a a--++; (3)已知31xa -+=,求2362a ax x ---+的值.6. 已知函数()xf x a =(0a >,1a ≠)在[]22-,上函数值总小于2,求实数a 的取值范围. 7 已知函数()xxf x a a -=+(0a >,1a ≠),且(1)3f =,则(0)(1)(2)f f f ++的值是 . 8. 若关于x 的方程22210xx a a +++=g 有实根,试求a 的取值范围.9. 当0a >且1a ≠时,函数2()3x f x a-=-必过定点 .10. 设311x y a +=,22x y a -=其中0a >,且1a ≠.确定x 为何值时,有:(1)12y y =; (2)12y y >.11 当0a ≠时,函数y ax b =+和axy b =的图象是( )12. 函数()y f x =的图象与2xy =的图象关于x 轴对称,则()f x 的表达式为 . 13. 若函数()()()21021x F x f x x ⎛⎫=+≠ ⎪-⎝⎭g 是偶函数,且()f x 不恒等于0,则()f x 为( ) A.奇函数 B.偶函数C.可能是奇函数,也可能是偶函数 D.非奇非偶函数14. 已知函数()()2211xf xg x x =-=-,,构造函数()F x 定义如下:当()()f x g x ≥时,()()F x f x =;当()()f x g x <时,()()F x g x =-,那么()F x ( )A.有最大值1,无最小值 B.有最小值0,无最大值 C.有最小值1-,无最大值D.无最小值,也无最大值15. 当0x >时,函数()()21xf x a =-的值总大于1,则实数a 的取值范围是 .16. 已知函数()f x 满足对任意实数12x x <有()()12f x f x <且()()()1212f x x f x f x +=g 若写出一个满足这些条件的函数则这个函数可以写为 .习题三一、选择题(每小题4分,共计40分) 1.下列各式中成立的一项是( )A .7177)(m n mn = B .3339= C .43433)(y x y x +=+ D .31243)3(-=-2.化简)31()3)((656131212132b a b a b a ÷-的结果( )A .a 9-B .a -C .a 6D .29a3.设指数函数)1,0()(≠>=a a a x f x,则下列等式中不正确...的是 ( )A .f (x +y )=f(x )·f (y )B .)()(y f x f y x f =-)( C .)()]([)(Q n x f nx f n∈=D .)()]([·)]([)]([+∈=N n y f x f xy f nnn4.函数210)2()5(--+-=x x y( )A .}2,5|{≠≠x x xB .}2|{>x xC .}5|{>x xD .}552|{><<x x x 或 5.若指数函数xa y =在[-1,1]上的最大值与最小值的差是1,则底数a 等于( )A .215+ B .215- C .215± D .251± 6.方程)10(2||<<=a x ax 的解的个数为 ( )A. 0个B. 1个C. 2个D. 0个或1个 7.函数||2)(x x f -=的值域是( )A .]1,0(B .)1,0(C .),0(+∞D .R8.函数⎪⎩⎪⎨⎧>≤-=-0,0,12)(21x x x x f x ,满足1)(>x f 的x 的取值范围 ( )A .)1,1(-B . ),1(+∞-C .}20|{-<>x x x 或D .}11|{-<>x x x 或9.已知2)(xx e e x f --=,则下列正确的是 ( )A .奇函数,在R 上为增函数B .偶函数,在R 上为增函数C .奇函数,在R 上为减函数D .偶函数,在R 上为减函数 10.函数22)21(++-=x x y 得单调递增区间是( )A .]1,(--∞B .),2[+∞C .]2,21[D . ]21,1[-二、填空题(每小题4分,共计28分)11.已知0.622,0.6a b ==,则实数a b 、的大小关系为 .12:不用计算器计算48373271021.097203225.0+-⎪⎭⎫⎝⎛++⎪⎭⎫ ⎝⎛--π=___________. 13.不等式x x 283312--<⎪⎭⎫ ⎝⎛的解集是__________________________.14.已知{}2,1,0,1,2,3n ∈--,若11()()25n n ->-,则=n ___________.15.不等式2221212-++⎪⎭⎫ ⎝⎛<⎪⎭⎫⎝⎛a x axx 恒成立,则a 的取值范围是 .16.定义运算:⎩⎨⎧>≤=⊗)()(b a b b a a b a ,则函数()xx x f -⊗=22的值域为_________________17.如图所示的是某池塘中的浮萍蔓延的面积(2m )与时间t (月)的关系:ty a =,有以下叙述: ① 这个指数函数的底数是2;② 第5个月时,浮萍的面积就会超过230m ; ③ 浮萍从24m 蔓延到212m 需要经过1.5个月; ④ 浮萍每个月增加的面积都相等;⑤ 若浮萍蔓延到22m 、23m 、26m 所经过的时间 分别为1t 、2t 、3t ,则123t t t +=. 其中正确的是 . 三、解答题:(10+10+12=32分) 18.已知17a a -+=,求下列各式的值: (1)33221122a a a a----; (2)1122a a-+; (3)22(1)a a a -->.19.已知函数)1(122>-+=a a a y x x在区间[-1,1]上的最大值是14,求a 的值.t/月20.(1)已知m x f x+-=132)(是奇函数,求常数m 的值; (2)画出函数|13|-=xy 的图象,并利用图象回答:k 为何值时,方程|31|x k -=无解?有一解?有两解?参考答案题号 1 2 3 4 5 6 7 8 9 10 答案BADDCCADAC二、填空题(4*7=28分)11.b a >; 12.100; 13.}24|{-<>x x x 或; 14.-1或2 15.(-2, 2) ; 16.]1,0( 17.①②⑤ 三、解答题:(10+10+12=32分) 18.解: (1)原式=11113312222111112222()()()(1)1718a a a a a a a a a aa a--------++==++=+=--。