2013年浙江专升本高等数学
- 格式:doc
- 大小:60.50 KB
- 文档页数:4
2010年暑假数学1模拟题自编版3参考答案:选择题1.A2.C3.B4.A5.D计算题1. 解:原式0cos lim 2x x e xx→-= .................2分0s i n l i m 2x x e x→+= .................4分 12=.................6分 2. 解:213ln ln(1)ln(2)22y x x x =++-+ .................3分 1131'22(1)22y x y x x =+-++ .................5分2131'[2]2(1)22x y ex x x =+-++ .................6分 3.解:2'2'0x y xy += .................3分'()y x =.................6分4. 解:22(1)'()2x x xeφ-+= .................3分2222(1)22(1)''()28(1)x x x e x x e φ-+-+=-+ ............6分5 解:当0x <时,()()0x x f t d t φ==⎰当0x π≤≤ 011()sin (1cos )22xx tdt x φ==-⎰当x π>1()sin 02x x tdt dt ππφ=+⎰⎰1=故 ()x φ= 0 , 0x <1(1cos )2x -,0x π≤≤ 1 , x π>6 解:2112123132x x x x x =⋅+⋅--+- .................3分 212ln 1ln 2233x dx x x c x x =++-+--⎰ .................6分7 解: (1)'tan 0y y x +=tan dyxdx y =-⎰⎰1ln ln cos y x c =+cos y c x = .................3分(2)令()cos y u x x =''()cos ()(sin )y u x x u x x =+-'tan 'cos sin 2y y x u x x +=='()2sin u x x =2()2cos u x x c =-+ .................5分故2(2c o s)c o s y c x x =-22c o s 2c o s c x x =- .................6分8解:221(2ln())3z u u u u v x u v y u v∂=+++⋅∂++ .................3分 222(2ln())()(2)z u x u u u v y u v y u v∂=++-+-∂++ .................6分 9解: 22(633)DV x y dxdy =--⎰⎰ 22:2D x y +≤ .............2分2203)6d r rdr πθπ=-=⎰.................6分10解:420x f x =-=420y f y =--=求得驻点为 (2,2)- .................3分2xx f A =-=,0xy f B ==,2yy f c =-=20Ac B ->,20A =-<故(,)f x y 在(2,2)-点取得极大值8 .................6分综合题1.解:(1)绝对收敛1n ∞=2lim1n pn→∞= 当2p >时,上级数收敛,当2p ≤时,发散(2)02p <≤,1n n ∞=条件收敛单调减少,趋于0,由Leibnis 判断条件收敛(3)当 0p ≤,级数发散2013浙江专升本模拟高等数学五11 / 11 2. 解: 22240014x V x dx x dx ππ=-⎰⎰ 1615π= .................6分 222200y V x dy y dy ππ=-⎰⎰22200423ydy y dy πππ=-=⎰⎰.................6分 3.证: 左边22201()2a x f x dx =⎰.................3分 22201()2ax f x dx =⎰.................4分 01()2auf u du ==⎰右边.................6分。
2013年浙江专升本数学试卷选择题:5题,每题4分。
1.设f(x)=sin(cos2x ),-∞<x<∞,则此函数是A.有界函数B.奇函数C.偶函数D.周期函数2.若函数y=f(x)是区间[1,5]上的连续函数,则该函数一定A.在区间[1,5]上可积 B 在区间(1,5)上有最小值C.在区间(1,5)上可导D.在区间(1,5)上有最大值3.dx x x x ⎰0cos =A.0B.1C.-1D.24.由曲线x y =,y=x 所围成的平面图形的面积是A.3/2B.1/2C.1/3D.15.二阶微分方程x x e y y y x cos sin 36```2=-+,则其特解的形式为 A.)sin cos (2x b x a e x + B.)2sin 2cos (2x b x a e x + C.)sin cos (2x b x a xe x + D.)2sin 2cos (2x b x a xe x + 填空题10题,每题4分1.极限=→)sin(lim 20x xIn x 2.函数x y sin =的定义域是3.已知1)(=l f ,=∆∆+-∆-→∆x x f x f x )1()1(lim 04.若函数 )(x y y =由方程y xe y sin 1+=确定,则y`=5.⎰=x x dxln 6.极限)1sin ...2sin 21(sin 1lim 22n n n n n ++∞→用定积分表示 7.∑∞=+-112)1(n n n n x 的收敛区间是 8.求常微分方程 2)()(`y x Q y x p y =+的通解9.求法向量是a=(1,-3,2)且过点(1,0,1)的平面方程10.球面x 2+y 2+(z-2)2=4与平面2x+y-z+26=0之间的距离是计算题:共8题,前四题每题7分,后四题每题8分,共60分2.)`(0,00,)(21x f x x e x f x 求⎪⎩⎪⎨⎧=≠=- 3.求xe y x 2=的单调区间和凹凸区间 4.讨论方程3x^2-1=c o s x 有几个根5.求⎰xdx x 2sin 6.求⎰++101)1ln(2dx x x 7.计算瑕积分⎰+10)1(x x dx8.把函数61)(2-+=x x x f 展开成x 的幂级数,并求收敛域证明题(共30分)9.证明:若f(x)是[-a, a]上的连续函数则⎰⎰-⎪⎩⎪⎨⎧=a a a x f x f dt t f dx x f 为奇函数,若是偶函数若)(0)(,)(2)(0 10.设f(t)是实的非负可积函数,若可积函数x (t 满足)⎰≤tds s x s f t x 0)()()(,则x(t)≤0.11.若f(x)在x=0的某个邻域中有连续的一阶导数f ”(0)=0,f ”(0)存在,证明: ).0``(61)(sin )(lim 40f x x f x f x =-+→。
2013年普通高等学校招生全国统一考试(浙江)数学(理科)选择题部分(共50分)一、选择题:本大题共10小题,每小题5分,共50分.在每小题给出的四个选项中,只有一项是符合题目要求的.1. 已知i 是虚数单位,则(-1+i)(2-i)=A 、-3+iB 、-1+3iC 、-3+3iD 、-1+i 2. 设集合S={x|x>-2},T={x|x 2+3x -4≤0},则(C R S )∪T=A 、(-2,1]B 、(-∞,-4]C 、(-∞,1]D 、[1,+∞) 3. 已知x,y 为正实数,则A.2lgx+lgy =2lgx +2lgyB. 2lg(x+y)=2lgx ·2lgyC. 2lgx·lgy=2lgx +2lgy D. 2lg(xy)=2lgx ·2lgy4. 已知函数f(x)=Acos(ωx+ϕ)(A>0, ω>0,ϕ∈R),则“f(x)是奇函数”是“ϕ=2π”的A 、充分不必要条件B 、必要不充分条件C 、充分必要条件D 、既不充分也不必要条件 5. 某程序框图如图所示,若该程序运行后输出的值是95,则A .a=4 B.a=5 C.a=6 D.a=76. 已知α∈R ,sin α+2cos α,则tan2α= A .43 B.34 C.-34 D.-43(第5题图)7. 设△ABC ,P 0是边AB 上一定点,满足P 0B =14AB ,且对于边AB 上任一点P ,恒有00PB PC P B PC ⋅≥⋅ ,则A .∠ABC =90°B .∠BAC=90° C.AB=AC D.AC=BC 8. 已知e 为自然对数的底数,设函数f(x)=(e x -1)(x -1)k (k=1,2),则 A .当k=1时,f(x)在x=1处取到极小值 B .当k=1时,f(x)在x=1处取到极大值 C .当k=2时,f(x)在x=1处取到极小值D .当k=2时,f(x)在x=1处取到极大值9. 如图F 1、F 2是椭圆C 1:x 24+y 2=1与双曲线C 2的公共焦点,A 、B 分别是C 1、C 2在第二、四象限的公共点,若四边形AF 1BF 2为矩形,则C 2的离心率是 A 、2 B 、3 C 、32 D 、62(第9题图)10. 在空间中,过点A 作平面π的垂线,垂足为B ,记B =f π(A)。
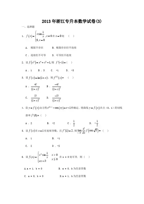
2013年浙江专升本数学试卷(3)一、选择题1.()1sin ,00,0x f x x x x ⎧⎪=≠⎨⎪=⎩在0x =处 ( )A . 极限不存在B .极限存在但不连续C .连续但不可导D .可导但不连续2.设()2421,f x x x =++则 ()=-'1f ( )A .1B .3C . -1D . -33.设()()ln 1f x x =+,则()()5f x = ( ) A .()54!1x + B .()54!1x -+ C . ()55!1x + D . ()55!1x -+4.设()y f x =由方程()2cos 1x y exy e +-=-所确定,则曲线()y f x =在点(0,1)的切线斜率(0)f '= ( ) A .2 B . -2 C .12 D . -125.设()f x 在1x =有连续导数,且()12f '=,则(0lim x d f dx +→= ( ) A . 1 B . -1C . 2D .-26. 设⎪⎩⎪⎨⎧+=bax x x x f 1sin )(2 00≤>x x 在x = 0处可导, 则 ( ) A.a = 1, b = 0 B. a = 0, b 为任意常数C. a = 0, b = 0D.a = 1, b 为任意常数7. 曲线2211x xe e y ---+=( )A.没有渐近线;B.仅有水平渐近线C.仅有铅直渐近线D. 既有水平渐近线又有铅直渐近线8. 设函数()x f 在点0可导,且()00=f ,则()=→xx f x 0lim ( ) A .()x f ' B .()0f ' C .不存在 D .∞9.设()21,1,1x x f x ax b x ⎧+≤=⎨+>⎩在1x =可导,则,a b 为( )A . 2,2a b =-=B . 0,2a b ==C . 2,0a b ==D . 1,1a b ==10. 设()f x 为可导偶函数,且()()cos g x f x =,则'2g π⎛⎫= ⎪⎝⎭( ) A . 0 B .1 C .-1 D . 211. 设||3)(23x x x x f +=, 则使)0()(n f 存在的最高阶导数n 为( )A. 0B. 1C. 2D. 312. 设()x f 为奇函数,且()20='x f ,则()=-'0x f ( )A .-2B .21C .2D .21- 13. 若()30-='x f ,则()()=∆∆+-∆+→∆xx x f x x f x 3lim 000 ( ) A .-3 B .6 C .-9 D .-12二、填空题1.设6y x k =+是曲线23613y x x =-+的一条切线,则k =2. 设()f x 在2x =连续,且(2)f =4,则2214lim ()24x f x x x →⎛⎫-= ⎪--⎝⎭ 3. 直线l 与x 轴平行,且与曲线xy x e =-相切,则切点坐标是4. 设)('31)()(lim0000x f x x f x k x f x =∆-∆+→∆, 则k = ________. 5. 设函数y = y(x)由方程0)cos(=++xy e y x 确定, 则=dx dy ____ __ 6. 已知f(-x) =-f(x), 且k x f =-)('0, 则=)('0x f ____ __7.若()f x 为可导的偶函数,则()0f '=8.若sin cos t t x e t y e t-⎧=⎪⎨=⎪⎩,则22d y dx = 9.设y =,则dy = 10. 已知x x f dx d 112=⎥⎦⎤⎢⎣⎡⎪⎭⎫ ⎝⎛, 则=⎪⎭⎫ ⎝⎛21'f _______ 11. 设y = f(x)由方程1)cos(2-=-+e xy ey x 所确定, 则曲线y = f(x)在点(0, 1)处的法线方程为_______ 12. 当 2y ax =与ln y x =相切时,a 的值为___________ 13.()⎩⎨⎧>+≤=002,,x x b ax x x x x f 若若,函数()x f 于点0x x =处连续而且可微,则系数a =______,b =________三、计算题1.求下列函数的导数x x e y x +=1 122-+-=x x e yy = 4)sin(=++xy e y x x y e y ln = ()2y f x b =+,求y '';2.已知2sin()0xy y π-=,求01|x y y =='及01|x y y ==-'';3.求13cos x y e x -= 的微分;4.求02lim sin x x x e e x x x-→---5.()113ln 0lim sin 3x x x ++→6.2011lim()sin x x x x→- 7.求由曲线33cos sin x a y a αα⎧=⎪⎨=⎪⎩所确定的函数的导数dy dx ; 8.设()x x f 111+=,且()()x f x g 111+=,计算()x f '和()x g ';9.()x y y =是由方程组⎪⎩⎪⎨⎧=+-++=01sin 3232y t e t t x y 所确定的隐函数,求022=τdx y d ; 10.设()f x 有连续的导函数,且()()00,0f f b '==若()()sin ,0,0f x a x x F x x A x +⎧≠⎪=⎨⎪=⎩在0x =连续,求常数A 。
76 浙江省专升本高等数学考试极限题分析初探金友良从2005年起,我们浙江省专升本考试独立组卷,至今已有14年。
通过专升本考试,选拨普通高等学校高职高专应届优秀毕业生到本科院校进一步深造学习,为高职高专人才培养构建立交桥模式做出了贡献。
我们学校每年都进行专升本考试复习辅导,本人开设高等数学专升本复习多年,一直对高等数学专升本考试进行研究,对高等数学每部分的考试题目都进行了系统地、针对性地归纳及总结。
由于极限是高等数学中最重要的一个概念,极限思想始终贯穿整个微积分学,极限运算是微积分运算中最基础的部分,有着重要的地位。
本文就浙江省高等数学专升本考试第一部分极限题进行了收集、分析、归纳,整理了几种常考的极限运算基本方法,试图使学生从中掌握解题规律,提高运算能力。
1 精细解读浙江省专升本高等数学教学大纲,明确极限题考试的基本要求1)理解极限的概念(只要求极限的描述性定义),能根据极限概念描述函数的变化趋势。
理解函数在一点处极限存在的充分必要条件,会求函数在一点处的左极限与右极限。
2)理解极限的唯一性、有界性和保号性,掌握极限的四则运算法则。
3)理解无穷小量、无穷大量的概念,掌握无穷小量的性质,无穷小与无穷大的关系。
会利用等价无穷小替换求极限。
4)理解夹逼定理与单调有界准则,掌握两个重要极限,并能利用这两个重要极限公式求极限。
5)会利用初等函数的连续性求函数的极限。
6)掌握洛必达法则,会利用洛必达法则求各种未定式的极限。
7)理解导数定义与定积分定义,并会利用两个定义求极限。
2 分析历年试题,筛查考试热点1)利用极限的四则运算法则求极限。
2)利用左右极限求函数在某一点处的极限。
3)利用两个重要极限公式求极限。
4)利用导数的定义求极限。
5)利用洛必达法则求极限。
6)利用等价无穷小量求极限。
7)利用定积分概念求极限。
3 典型试题解析1)利用极限的四则运算法则求极限。
利用极限的四则运算法则求极限是极限运算中最基础的方法之一,我们教师一定要强调要用这四则运算法则的一个前提条件是要保证每个极限都存在,且求商的极限时,分母极限不能为零,同时根据不同的题型,熟练掌握不同的解题方法。
浙江省专升本高等数学教材一、引言高等数学是一门与工程技术领域相紧密结合的学科,对于专升本学生来说,精通高等数学知识对于他们的学业发展至关重要。
本文将介绍浙江省专升本高等数学教材的主要内容和特点,以帮助学生更好地掌握这门学科。
二、数学分析数学分析是高等数学的核心部分,包括极限、连续、微积分等内容。
浙江省专升本高等数学教材在数学分析方面采用了系统、全面的教学内容,重点讲解了极限的运算规则、连续函数的性质以及微分和积分的基本概念和方法。
教材使用清晰的例题和详细的解析,帮助学生理解和掌握数学分析的各个概念。
三、线性代数线性代数是高等数学的重要分支,对于专升本学生来说,线性代数的学习对于理解工程技术领域中的矩阵运算、向量空间等概念至关重要。
浙江省专升本高等数学教材的线性代数部分着重介绍了矩阵的基本运算、矩阵方程的解法以及向量空间的性质。
教材注重将理论与实践相结合,通过实际问题的应用案例,帮助学生更好地理解线性代数的相关概念。
四、概率论与数理统计概率论与数理统计是高等数学的重要分支,也是专升本学生必须掌握的内容之一。
浙江省专升本高等数学教材的概率论与数理统计部分全面介绍了概率的基本概念、随机变量的概率分布以及统计推断等相关内容。
教材采用简洁明了的语言,配备大量的概念解释和实例分析,使学生能够轻松理解和掌握概率论与数理统计的核心知识。
五、多元函数微积分多元函数微积分是高等数学的重要内容之一,对于专升本学生来说,掌握多元函数微积分的技巧和方法对于工程技术领域的应用至关重要。
浙江省专升本高等数学教材的多元函数微积分部分囊括了二元函数的极限、偏导数、多元函数的微分以及重要的积分定理等内容。
教材通过丰富的例题和解析,引导学生掌握多元函数微积分的核心概念和运算方法。
六、常微分方程常微分方程是高等数学的重要分支,在专升本数学教材中也占有重要的位置。
浙江省专升本高等数学教材的常微分方程部分以系统、逻辑性强的方式,介绍了一阶常微分方程和高阶常微分方程的求解方法、解的存在唯一性以及特殊的微分方程类型。
2013年浙江省普通高校“专升本”联考《高等数学》试卷题 号一 二 三 四 总 分 得 分考试说明:1、考试时间为150分钟;2、满分为150分;3、答案请写在试卷纸上,用蓝色或黑色墨水的钢笔、圆珠笔答卷,否则无效;4、密封线左边各项要求填写清楚完整。
选择题:5题,每题4分。
1.设f(x)=sin(cos2x ),-∞<x<∞,则此函数是A.有界函数B.奇函数B. C.偶函数 D.周期函数2.若函数y=f(x)是区间[1,5]上的连续函数,则该函数一定A.在区间[1,5]上可积 B 在区间(1,5)上有最小值B. C.在区间(1,5)上可倒 D.在区间(1,5)上有最大值3.dx x x x ⎰0cos =A.0B.1C.-1D.24.由曲线x y =,y=x 所围成的平面图形的面积是A.3/2B.1/2C.1/3D.15.二阶微分方程x x e y y y x cos sin 36```2=-+,则其特解的形式为A.)sin cos (2x b x a e x +B.)2sin 2cos (2x b x a e x +C.)sin cos (2x b x a xe x +D.)2sin 2cos (2x b x a xe x + 填空题10题,每题4分1.极限=→)sin(lim 20x xIn x 2.函数x y sin =的定义域是3.已知1)(=l f ,=∆∆+-∆-→∆x x f x f x )1()1(lim 04.若函)(x y y =由方程y xe y sin 1+=确定,则y`=5.⎰=x x dxln6.极限)1sin ...2sin 21(sin 1lim 22n n n n n ++∞→用定积分表示 7.∑∞=+-112)1(n n n n x 的收敛区间是 8.求常微方程方程2)()(`y x Q y x p y =+的通解9.求法向量是a=(1,-3,2)且过点(1,0,1)的平面方程10.球面x 2+y 2+(z-2)2=4与平面2x+y-z+26=0之间的距离是计算题:共8题,貌似前四题每题7分,后四题每题8分1设π,若f(x)连续,求a 2.)`(0,00,)(21x f x x e x f x 求⎪⎩⎪⎨⎧=≠=- 3.求xe y x 2=的单调区间和凹凸区间 4.讨论方程3x2-1=cosx 有几个根5.求⎰xdx x 2sin6.求⎰++101)1ln(2dx xx 7.计算瑕积分⎰+10)1(x x dx8.把函数61)(2-+=x x x f 展开成x 的幂级数,并求收敛域9.证明:若f(x)是[-a,a]上的连续函数则⎰⎰-⎪⎩⎪⎨⎧=a a a x f x f dt t f dx x f 为奇函数,若是偶函数若)(0)(,)(2)(010.设f(t)是实的非负可积函数,若可积函数x (t 满足)⎰≤t ds s x s f t x 0)()()(,则x(t)≤0.11.若f(x)在x=0的某个邻域中有连续的一阶导数f`(0)=0,f``(0)存在,证明: ).0``(61)(sin )(lim 40f x x f x f x =-+→。
浙江省专升本高等数学常用公式在浙江省的专升本高等数学考试中,常用公式是我们必须掌握的重要知识点之一、下面我将介绍一些浙江省专升本高等数学中常用的公式。
1.三角函数常用公式-正弦函数的三角恒等式:- $\sin(A \pm B) = \sin A \cos B \pm \cos A \sin B$- $\sin 2A = 2\sin A \cos A$- $\sin A \pm \sin B = 2\sin \frac{A \pm B}{2}\cos \frac{A \mp B}{2}$-余弦函数的三角恒等式:- $\cos(A \pm B) = \cos A \cos B \mp \sin A \sin B$- $\cos 2A = \cos^2 A - \sin^2 A = 2\cos^2 A - 1 = 1 -2\sin^2 A$-正切函数的三角恒等式:- $\tan(A \pm B) = \frac{\tan A \pm \tan B}{1 \mp \tan A\tan B}$- $\tan 2A = \frac{2\tan A}{1 - \tan^2 A}$2.数列求和公式-等差数列求和公式:- $S_n = \frac{n}{2}(a_1 + a_n)$,其中 $S_n$ 是前 n 项和,$a_1$ 是首项,$a_n$ 是第 n 项。
-等比数列求和公式:- $S_n = \frac{a_1(1 - q^n)}{1 - q}$,其中 $S_n$ 是前 n 项和,$a_1$ 是首项,$q$ 是公比。
-平方数列求和公式:- $S_n = \frac{n(n+1)(2n+1)}{6}$3.二次函数相关公式-一次函数的斜率公式:- $k = \frac{y_2 - y_1}{x_2 - x_1}$-一次函数的截距公式:- $b = y - kx$,其中 b 是截距,(x, y) 是直线上的一点。
浙江省 2013 年选拔优秀高职高专毕业生进入本科学习统一考试高等数学请考生按规定用笔将所有试题的答案涂、写在答题纸上。
选择题部分注意事项:1.答题前,考生务必将自己的姓名、 准考证号用黑色字迹的签字笔或钢笔填写在答题纸规定的位置上。
2.每小题选出答案后,用2B 铅笔把答题纸上对应题目的答案标号涂黑,如需改动,用橡皮擦干净后,再选涂其它答案标号。
不能答在试题卷上。
一、选择题: 本大题共5小题,每小题4分,共 20分。
在每小题给出的四个选项中,只有一项是符合题目要求的。
1.设()sin(cos 2),x f x x =-∞<<+∞,则此函数是 AA.有界函数B.奇函数C.偶函数D.周期函数 解:正弦函数都是有界的。
2.若函数y=f(x)是区间[1,5]上的连续函数,则该函数一定 A A.在区间[1,5]上可积 B 在区间(1,5)上有最小值 C.在区间(1,5)上可导 D.在区间(1,5)上有最大值 解:连续必定可积。
3.π0cos x xdx ⎰= DA. 0B.1C.-1D.-2解:000cos sin sin sin cos 2x xdx xd x x x xdx x πππππ==-==-⎰⎰⎰4.由曲线y =y x =所围成的平面图形的面积是 D A.3/2 B.1/2 C.1/3 D.1/6 解:交点为()()0,0,1,1,)13122002121132326S x dx x x ⎛⎫==-=-= ⎪⎝⎭⎰5.二阶微分方程263sin cos x y y y e x x '''+-=,则其特解的形式为B A 2(cos sin )x e a x b x + B.)2sin 2cos (2x b x a e x +C.2(cos sin )x xe a x b x +D.2(cos 2sin 2)xxe a x b x + 解:22363sin cos sin 22xx y y y e x x e x '''+-==,齐次方程的特征方程为:212603,2r r r r +-=⇒=-=,而2λ=,所以22ϖ±不是特征根,故选择B非选择题部分注意事项:1.用黑色字迹的签字笔或钢笔将答案写在答题纸上,不能答在试题卷上。
2013年专升本(高等数学一)真题试卷(题后含答案及解析) 题型有:1. 选择题 2. 填空题 3. 解答题选择题1.( )A.eB.1C.eD.-e正确答案:C2.设y=3+x2,则y’=( )A.2xB.3+2xC.3D.x2正确答案:A3.设y=2x3,则dy=( )A.2x2dxB.6x2dxC.3x2dxD.x2dx正确答案:B4.设y=-2ex,则y’=( )A.exB.2exC.-exD.-2ex正确答案:D5.设y=3+sinx,则y’=( )A.-cosxB.cosxC.1-cosxD.1+cosx正确答案:B6.( )A.x2B.2x2C.xD.2x正确答案:A7.( )A.B.-3ln|x|+CC.D.3ln|x|+C正确答案:D8.( )A.B.0C.D.1正确答案:B9.设z=3x2+5y,则( )A.5yB.3xC.6xD.6x+5正确答案:C10.微分方程(y’)2=x的阶数为( ) A.1B.2C.3D.4正确答案:A填空题11.=________。
正确答案:2e12.设y=(x+3)2,则y’=________。
正确答案:2(x+3)13.设y=2ex-1,则y”=________。
正确答案:2ex-114.设y=5+lnx,则dy=________。
正确答案:15.∫cos(x+2)dx=________。
正确答案:sin(x+2)+C16.∫012exdx=________。
正确答案:2(e-1)17.过坐标原点且与平面2x-y+z+1=0平行的平面方程为________。
正确答案:2x-y+z=018.设z=xy,则dz=________。
正确答案:ydx+xdy19.幂级数的收敛半径R=________。
正确答案:120.设区域D={(x,y)|x2+y2≤4},则=________。
正确答案:π解答题21.设函数f(x)=在x=1处连续,求a。
正确答案:(x2-2x+3)=2。
00020# 高等数学(一)试题第1页(共3页)绝密★考试结束前浙江省2013年7月高等教育自学考试高等数学(一)试题课程代码:00020请考生按规定用笔将所有试题的答案涂、写在答题纸上。
选择题部分注意事项:1. 答题前,考生务必将自己的考试课程名称、姓名、准考证号用黑色字迹的签字笔或钢笔填写在答题纸规定的位置上。
2. 每小题选出答案后,用2B 铅笔把答题纸上对应题目的答案标号涂黑。
如需改动,用橡皮擦干净后,再选涂其他答案标号。
不能答在试题卷上。
一、单项选择题(本大题共5小题,每小题2分,共10分)在每小题列出的四个备选项中只有一个是符合题目要求的,请将其选出并将“答题纸”的相应代码涂黑。
错涂、多涂或未涂均无分。
1.下列各对函数中,表示同一个函数的是A.211x f x x -与g(x)=x -1 B.f(x)=lg x 2与g(x)=2lg xC.21cos f x x -与g(x)=sin xD.f(x)=| x |与g(x)=2x 2.x=1是函数11x f x x --的A.连续点B.可去间断点C.跳跃间断点D.第二类间断点3.下列函数中在给定的区间上满足罗尔定理条件的是A.f(x)=xe -x ,[0,1]B.,010,1x x f x x00020# 高等数学(一)试题第2页(共3页)C.45,1,123fx x [-] D.f(x)=| x |,[-1,1]4.设221x x f t dt a a f x -,为连续函数,则f(x)等于A.2a 2xB.a 2x lnaC.2xa 2x -1D.2a 2x lna 5.设函数f(x,y)=a(x -y)-x 2-y 2在点(2,-2)处取到极值,则A.a=2,(2,-2)为极大值点B.a=4,(2,-2)为极大值点C.a=-4,(2,-2)为极小值点D.a=4,(2,-2)为极小值点非选择题部分注意事项:用黑色字迹的签字笔或钢笔将答案写在答题纸上,不能答在试题卷上。
2013年浙江省高等职业技术教育招生考试数学试卷一、单项选择题(本大题共18小题,每小题2分,共36分)在每小题列出的四个备选答案中,只有一个是符合题目要求的。
错涂、多涂或未涂均无分. 1.全集{},,,,,,,U a b c d e f g h =,集合{},,,M a c e h =,则ðUM ( )A .{},,,a c e hB .{},,,b d f gC .{},,,,,,,a b c d e f g hD .空集∅2.已知()2223f x x =-,则()0f =( ) A .0 B .3- C .23-D .1-3.下列四个直线方程中有三个方程表示的是同一条直线,则表示不同直线的方程是( ) A .210x y -+=B .121x y+=- C .21y x =+D .()120y x -=-4.对于二次函数223y x x =--,下述结论中不正确的是( ) A .开口向上 B .对称轴为1x =C .与x 轴有两交点D .在区间(),1-∞上单调递增5.函数()f x = )A .()2,+∞B .)2,+∞⎡⎣C .](),22,-∞-+∞⎡⎣D .实数集R6.在0°~360°范围内,与1050°终边相同的角是( ) A .330B .60C .210D .3007.AB AC BC --=( ) A .2BCB .2CBC .0D .08.若4sin 5α=-,α为第四象限角,则cos α=( )A .45-B .45C .35D .35-9.直线a 平行于平面β,点A β∈,则过点A 且平行于a 的直线( ) A .只有一条,且一定在平面β内 B .只有一条,但不一定在平面β内 C .有无数条,但不都是平面β内 D .有无数条,都在平面β内10.根据数列2,5,9,19,37,75……的前六项找出规律,可得7a =( ) A .140B .142C .146D .14911.已知点()1,2A -,()3,0B ,则下列各点在线段AB 垂直平分线上的是( ) A .()1,4B .()2,1C .()3,0D .()0,112.条件“a b =”是结论“221ax by +=所表示曲线为圆”的( ) A .充分非必要条件 B .必要非充分条件 C .充要条件D .既非充分又非必要条件13.乘积()()()sin 110cos 320tan 700-⋅⋅-的最后结果为( )A .正数B .负数C .正数或负数D .零14.函数sin cos y x x =+的最大值和最小正周期分别为( )A .2,2πB πC .2,πD π15.若直线1:260l x y ++=与直线2:310l x ky +-=互相垂直,则k =( ) A .32-B .32C .23-D .2316.在ABC ∆中,若::1:2:3A B C ∠∠∠=,则三边之比::a b c =( )A .1:2:3B .1:C .1:4:9D .217.用1,2,3,4,5五个数字组成五位数,共有不同的奇数( ) A .36个B .48个C .72个D .120个18.直线4320x y -+=与圆()()224116x y -+-=的位置关系是( ) A .相切 B .相交C .相离D .不确定二、填空题(本大题共8小题,每小题3分,共24分)19.已知log 162a =,28b=,则ba-= .20.双曲线2214x y -=的焦距为 . 21.求值:tan 75tan15+=. 22.已知等比数列的前n 项和公式为112n n S =-,则公比q = . 23.已知0,0,23x y x y >>+=,则xy 的最大值等于 . 24.经过点()2,1P -,且斜率为0的直线方程一般式为 .25.用平面截半径5R =的球,所得小圆的半径4r =,则截面与球心的距离等于 .26.给出120α=-,在所给的直角坐标系中画出角α的图象 .三、解答题(本大题共8小题,共60分)解答应写出文字说明及演算步骤.27.(本题满分6分)比较()4x x -与()22x -的大小.28.(本题满分6分)已知椭圆的中心在原点,有一个焦点与抛物线28y x =-的焦点重合,且椭圆的离心率23e =,求椭圆的标准方程..29.(本题满分7分)在等差数列{}n a 中,已知21a =,720a =. (1)求12a 的值;(2)求123456a a a a a a +++++的值.30.(本题满分8分)若角α的终边是一次函数()20y x x =≥所表示的曲线,求sin 2α.31.(本题满分8分) 在平面直角坐标系中,若()()()1,1,2,0,0,1A B C --,求ABC ∆的面积ABC S ∆.32.(本题满分7分)如图在棱长为2的正方体''''ABCD A B C D -中,求: (1)二面角''B A D D --的平面角的正切值.(2)三棱锥'A BCC -的体积.33.(本题满分8分)若展开式()1nx +中第六项的系数最大,求展开式的第二项.34.(本题满分10分)有60(m )长的钢材,要制作一个如图所示的窗框.(1)求窗框面积()2y m 与窗框宽()x m 的函数关系式; (2)求窗框宽()x m 为多少时,窗框面积()2y m 有最大值;(3)求窗框的最大面积.BCAD'A'C'D'B。
2013年浙江省高等职业技术教育招生考试数学试卷(A)参考答案及评分标准一、 单项选择题(每小题2分,共36分) 题号 1 2 3 4 5 6 7 8 9 10 11 12 13 14 15 16 17 18 答案 B C B D C A B C A D D B B B A D C B三、解答题(本大题共8小题,共60分)27.(6分)用作差比较法:222(4)(2)(4)(44)4x x x x x x x −−−=−−−+=−0< …………………………(5分)所以2(4)(2)x x x −−<…………………………………………(1分)28. (6分)⇒=⇒=2282p p 抛物线焦点F 的坐标为⇒−)0,2(F 椭圆的焦距2,4=c …………3分因为椭圆的离心率5,33222=−==⇒==c a b a a c e ……………………………2分 所以椭圆的标准方程15922=+y x …………………………………………1分 29. (7分)(1)3911514,519271122127=+=⇒−=−==−−=d a a d a a a a d ……………4分.(2).5201)54321(61654321=+++++=+++++d a a a a a a a ………3分. 30. (8分)在角α的终边【)0(2≥=x x y 】上取一点)2,1(P ………………………………2分552212sin 22=+=α…………………………………………………………2分 55211cos 22=+=α ………………………………………………………2分 所以54cos sin 22sin =⋅=ααα………………………………………………………2分 31. (8分 5)10()02(22=++−−=BC …………………………………………………2分 直线BC 的一般式方程为52122102222=+++=⇒=++−BC A d y x …………4分 所以ABC Δ的面积2521=⋅=−ΔBC A ABC d BC S ……………………………………2分 32. (7分)(1)平移DD`至AA`,由条件知```BA A D ⊥ ``AA A D ⊥……………………………2分 `AA B ∴∠为两面角 B-A`D`-D 的平面角………………………………………………1分 故在`Rt AA B Δ中,tan `1`AB AA B A A∠==…………………………………………1分 (2)三棱锥'BCC A −的体积 3431'''=⋅=Δ−AA S V BCC BCC A ………………………2分 33. (8分) 由条件“展开式n x )1(+中第六项的系数最大”可推知幂指数10=n .……………2分. 即二项式为10)1(+x …………………………………………………………1分. 其通项公式为)10,9,8,7,6,5,4,3,2,1,0(1010101==−−+r x C T r r r ……………………2分.所以展开式的第二项为91101101110x xC T ==−+……………………………………3分.34.(10分) (1)面积)(2m y 与窗框宽x ()m 的函数关系式为x x x x y 3023)2360(2+−=−= )200(<<x …………………………………………………………………………………4分.(2)当窗框宽)(102m a b x =−=时,窗框面积)(2m y 有最大值.…………………………3分. (3) 窗框面积)(2m y 的最大值,)(1504422maxm a b ac y =−=……………………3分。
绝密★启用前2013年成人高等学校招生全国统一考试数 学(文史财经类)考生注意:本试题分第Ⅰ卷(选择题)第Ⅱ卷(非选择题)两部分,满分150分,考试时间120分钟.第Ⅰ卷(选择题,共85分)一、选择题:本大题共17小题,每小题5分,共85分。
在每小题给出的四个选项中,只有一项是符合题目要求的,将所选项的字母填涂在答题卡相应题号的信息点上............。
(1)函数1)3sin(2)(++=πx x f 的最大值为( )。
(A )-1(B )1(C )2(D )3(2)下列函数中,为减函数的是( )。
(A )3x y =(B )x y sin =(C )3x y -=(D )x y cos =(3)(3)设集合{}1|2==x x A ,{}1|3==x x B ,则A ∩B =( )。
(A )φ(B ){}1(C ){}1- (D ){}1,1- (4)函数x x f cos 1)(+=的最小正周期是( )。
(A )2π(B )π (C )π23(D )2π(5)函数1+=x y 与xy 1=的图像交点个数为( )。
(A )0(B )1(C )2(D )3(6)若20πθ<<,则( )。
(A )θθcos sin >(B )θθ2cos cos < (C )θθ2sin sin <(D )θθ2sin sin >(7)抛物线x y 42-=的准线方程为( )。
(A )1-=x(B )1=x(C )1=y(D )1-=y(8)不等式1||<x 的解集为( )。
(A ){}1|>x x(B ){}1|<x x (C ){}11|<<-x x(D ){}1|-<x x(9)过点)1,2(且与直线0=y 垂直的直线方程为( )。
(A )2=x(B )1=x(C )2=y (D )1=y(10)()52y x -的展开式中,23y x 的系数为( )。
2013年成人高考专升本高等数学一考试真题及参考答案第一篇:2013年成人高考专升本高等数学一考试真题及参考答案2013年成人高考专升本高等数学一考试真题及参考答案一、选择题:每小题4分,共40分,在每小题给出的四个选项中,只有一项是符合题目要求。
参考答案:C参考答案:A参考答案:B参考答案:D参考答案:B参考答案:A参考答案:D参考答案:B参考答案:C参考答案:A二、填空题:本大题共10小题。
每小题4分,共40分,将答案填在题中横线上。
参考答案:2e参考答案:2(x+3)参考答案:2ex-1参考答案:参考答案:sin(x+2)+C参考答案:2(e-1)参考答案:2x-y+x=0参考答案:ydx+xdy参考答案:1参考答案:π三、解答题:本大翘共8个小题,共70分。
解答应写出推理,演算步骤。
第二篇:2012年成人高考专升本高等数学一考试真题及参考答案2012年成人高考专升本高等数学一考试真题及参考答案一、选择题:每小题4分,共40分,在每小题给出的四个选项中,只有一项是符合题目要求。
参考答案:A参考答案:C参考答案:D参考答案:A参考答案:B参考答案:D参考答案:C参考答案:B参考答案:A参考答案:B二、填空题:本大题共10小题。
每小题4分,共40分,将答案填在题中横线上。
第11题参考答案:0 第12题设y=sin(x+2),则Y'=_________ 参考答案:cos(x+2)第13题设y=ex-3,则dy=_________.第14题参考答案:5sinx+C 第15题第16题曲线Y=x2-x在点(1,0)处的切线斜率为_________.参考答案:1 第17题设y=x3+2,则y''=__________.参考答案:6x 第18题设z=x2-y,则dz=_________.参考答案:2xdx-dy 第19题过点M(1,2,3)且与平面2x—Y+z=0平行的平面方程为_________.参考答案:2x—y+z=3 第20题参考答案:3π三、解答题:本大翘共8个小题,共70分。
浙江省普通高校“专升本”统考科目:
《高等数学》考试大纲
考试要求
考生应按本大纲的要求,掌握“高等数学”中函数、极限和连续、一元函数微分学、一元函数积分学、无穷级数、常微分方程、向量代数与空间解析几何的基本概念、基本理论和基本方法。
考生应注意各部分知识的结构及知识的联系;具有一定的抽象思维能力、逻辑推理能力、运算能力和空间想象能力;能运用基本概念、基本理论和基本方法进行推理、证明和计算;能运用所学知识分析并解决一些简单的实际问题。
考试内容
一、函数、极限和连续
(一)函数
1.理解函数的概念,会求函数的定义域、表达式及函数值,会作出一些简单
的分段函数图像。
2.掌握函数的单调性、奇偶性、有界性和周期性。
3.理解函数y =ƒ(x )与其反函数y =ƒ-1(x )之间的关系(定义域、值域、图像),
会求单调函数的反函数。
4.掌握函数的四则运算与复合运算; 掌握复合函数的复合过程。
5.掌握基本初等函数的性质及其图像。
6.理解初等函数的概念。
7.会建立一些简单实际问题的函数关系式。
(二)极限
1.理解极限的概念(只要求极限的描述性定义),能根据极限概念描述函数的
变化趋势。
理解函数在一点处极限存在的充分必要条件,会求函数在一点处的左极限与右极限。
2.理解极限的唯一性、有界性和保号性,掌握极限的四则运算法则。
3.理解无穷小量、无穷大量的概念,掌握无穷小量的性质,无穷小量与无穷
大量的关系。
会比较无穷小量的阶(高阶、低阶、同阶和等价)。
会运用等价无穷小量替换求极限。
4.理解极限存在的两个收敛准则(夹逼准则与单调有界准则),掌握两个重要
极限:
1sin lim 0=→x x x ,e )11(lim =+∞→x x x
, 并能用这两个重要极限求函数的极限。
(三)连续
1.理解函数在一点处连续的概念,函数在一点处连续与函数在该点处极限存
在的关系。
会判断分段函数在分段点的连续性。
2.理解函数在一点处间断的概念,会求函数的间断点,并会判断间断点的类
型。
3.理解“一切初等函数在其定义区间上都是连续的”,并会利用初等函数的连
续性求函数的极限。
4.掌握闭区间上连续函数的性质:最值定理(有界性定理),介值定理(零点存
在定理)。
会运用介值定理推证一些简单命题。
二、一元函数微分学
(一)导数与微分
1.理解导数的概念及其几何意义,了解左导数与右导数的定义,理解函数的
可导性与连续性的关系,会用定义求函数在一点处的导数。
2.会求曲线上一点处的切线方程与法线方程。
3.熟记导数的基本公式,会运用函数的四则运算求导法则,复合函数求导法
则和反函数求导法则求导数。
会求分段函数的导数。
4.会求隐函数的导数。
掌握对数求导法与参数方程求导法。
5.理解高阶导数的概念,会求一些简单的函数的n 阶导数。
6.理解函数微分的概念,掌握微分运算法则与一阶微分形式不变性,理解可
微与可导的关系,会求函数的一阶微分。
(二)中值定理及导数的应用
1.理解罗尔(Rolle)中值定理、拉格朗日(Lagrange)中值定理及它们的几何意义,
理解柯西(Cauchy)中值定理、泰勒(Taylor)中值定理。
会用罗尔中值定理证明方程根的存在性。
会用拉格朗日中值定理证明一些简单的不等式。
2.掌握洛必达(L’Hospital)法则,会用洛必达法则求“
00”,“∞∞”,“∞⋅0”,“∞-∞”,“∞1”,“00”和“0
∞”型未定式的极限。
3.会利用导数判定函数的单调性,会求函数的单调区间,会利用函数的单调
性证明一些简单的不等式。
4.理解函数极值的概念,会求函数的极值和最值,会解决一些简单的应用问
题。
5.会判定曲线的凹凸性,会求曲线的拐点。
6.会求曲线的渐近线(水平渐近线、垂直渐近线和斜渐近线)。
7.会描绘一些简单的函数的图形。
三、一元函数积分学
(一)不定积分
1.理解原函数与不定积分的概念及其关系,理解原函数存在定理,掌握不定
2.熟记基本不定积分公式。
3.掌握不定积分的第一类换元法(“凑”微分法),第二类换元法(限于三角换元
与一些简单的根式换元)。
4.掌握不定积分的分部积分法。
5.会求一些简单的有理函数的不定积分。
(二)定积分
1.理解定积分的概念与几何意义, 掌握定积分的基本性质。
2.理解变限积分函数的概念,掌握变限积分函数求导的方法。
3.掌握牛顿—莱布尼茨(Newton —Leibniz)公式。
4.掌握定积分的换元积分法与分部积分法。
5.理解无穷区间上有界函数的广义积分与有限区间上无界函数的瑕积分的概
念,掌握其计算方法。
6.会用定积分计算平面图形的面积以及平面图形绕坐标轴旋转一周所得的旋
转体的体积。
四、无穷级数
(一)数项级数
1.理解级数收敛、级数发散的概念和级数的基本性质,掌握级数收敛的必要
条件。
2.熟记几何级数∑∞=-11n n aq ,调和级数∑∞
=11n n 和p —级数∑∞=11n p n 的敛散性。
会用正项级数的比较审敛法与比值审敛法判别正项级数的敛散性。
3.理解任意项级数绝对收敛与条件收敛的概念。
会用莱布尼茨(Leibnitz) 判
别法判别交错级数的敛散性。
(二)幂级数
1.理解幂级数、幂级数收敛及和函数的概念。
会求幂级数的收敛半径与收敛
区间。
2.掌握幂级数和、差、积的运算。
3.掌握幂级数在其收敛区间内的基本性质:和函数是连续的、和函数可逐项
求导及和函数可逐项积分。
4.熟记e x ,sin x ,cos x ,ln(1+x ),x
-11的麦克劳林(Maclaurin)级数,会将一些简单的初等函数展开为x -x 0的幂级数。
五、常微分方程
(一)一阶常微分方程
1.理解常微分方程的概念,理解常微分方程的阶、解、通解、初始条件和特
2.掌握可分离变量微分方程与齐次方程的解法。
3.会求解一阶线性微分方程。
(二)二阶常系数线性微分方程
1.理解二阶常系数线性微分方程解的结构。
2.会求解二阶常系数齐次线性微分方程。
3.会求解二阶常系数非齐次线性微分方程(非齐次项限定为(Ⅰ) f (x )x n x P λe )(=,
其中)(x P n 为x 的n 次多项式,λ为实常数;(Ⅱ))sin )(cos )(()(x x Q x x P e x f m n x ωωλ+=,其中λ,ω为实常数,)(x P n ,)(x Q m 分别为x 的n 次,m 次多项式)。
六、向量代数与空间解析几何
(一)向量代数
1.理解向量的概念,掌握向量的表示法,会求向量的模、非零向量的方向余
弦和非零向量在轴上的投影。
2.掌握向量的线性运算(加法运算与数量乘法运算),会求向量的数量积与向
量积。
3.会求两个非零向量的夹角,掌握两个非零向量平行、垂直的充分必要条件。
(二)平面与直线
1.会求平面的点法式方程与一般式方程。
会判定两个平面的位置关系。
2.会求点到平面的距离。
3.会求直线的点向式方程、一般式方程和参数式方程。
会判定两条直线的位
置关系。
4.会求点到直线的距离,两条异面直线之间的距离。
5.会判定直线与平面的位置关系。
试卷结构
试卷总分:150分
考试时间:150分钟
试卷内容比例:
函数、极限和连续 约20%
一元函数微分学 约30%
一元函数积分学 约30%
无穷级数、常微分方程 约15%
向量代数与空间解析几何 约5%
试卷题型分值分布:
选择题共 5题,每小题 4 分,总分20分;
填空题共10题,每小题 4 分,总分40分; 计算题共 8题, 总分60分;
综合题共 3题,每小题10分,总分30分。