最新汉语偏旁部首大全Microsoft-Word-文档
- 格式:doc
- 大小:71.50 KB
- 文档页数:2
偏旁与部首的区别:▷部首是适应编排字典、词典的需要而产生的。
它是指汉字在结构上某些相同的部分。
从应用功能定义的。
▷偏旁是构成合体字的表意或表音的单位。
是从造字构型角度定义的。
▷部首一定是偏旁,但偏旁不一定是部首。
174个汉字部首的表意表声功能与组合规律:1.一:横部、一部,作部首时,可以表示和数目有关的字。
2.丨:竖部,本义是上下贯通,作部首时一般只表示笔画。
3.丿:撇部,作部首时,一般只表示笔画。
4.丶:点部,本义是灯炷、烛光,作部首时一般只表示笔画。
5.乙(乛、乚、):乙部或折部,作部首时一般只表笔画。
6.二:二部,作部首时,通常只表示笔画。
7.十:十部、十字头、十字旁,作部首时可表示和数目十有关的数字。
8.厂:厂部,作部首时可表示和山崖、山、石或房屋有关的事物。
9.匚(读方):匚部、左方框,作部首时可以表示和方形容器或各种其他容器有关的事物。
10.卜(读补):卜部,作部首时可以表示和占卜问卦有关的事物。
11.冂(读窘):冂部、同字框,作部首时可以表示和区域有关的事物。
12.八(丷、ハ):八部,作部首时可以表示和分解、分散、相反、相背等有关的事物。
13.人(亻、入):人部,作部首时可以表示人及和人有关的动作、行为、称呼、性格、事物等。
14.勹(读包):勹部,作部首时可以表示和人有关的事物。
15.几:几部,作部首时,可以表示茶几一类的矮小木制器具。
16.儿:儿部,作部首时,可以表示和人有关的事物。
17.亠(读头):亠部、点横部,作部首时,一般只表示笔画。
18.冫(读冰):冫部、两点水,作部首时,可以表示和温度低或水有关的事物。
19.冖(读密):冖部、秃宝盖,作部首时,可以表示和遮盖、覆盖有关的事物。
20.卩(,读决):卩部、硬耳朵,作部首时可以表示和曲膝跪着有关的事物。
21.阝(在左,读付):阝部、左耳旁,作部首时可以表示和山或地名有关的事物。
22.阝(在右,读义):阝部、右耳旁,作部首时可以表示和城市、邦国、地方、居住、姓氏有关的事物。
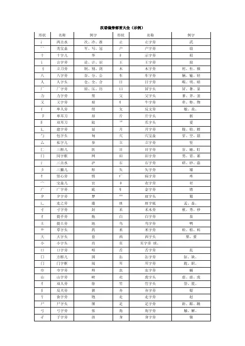
汉字偏旁部首名称大全表一、上部偏旁1.丶:点字旁2.亅:撇字旁3.二:两点水旁4.人:立人旁5.儿:儿字旁6.入:走字头7.八:八字旁8.冂:上元旁9.冖:冕字头10.冫:两点冰旁11.几:几字旁12.凵:口字旁13.刀:刀剑旁14.力:力字旁15.勹:包字头16.匕:匕首旁17.匚:匣字底18.十:十字旁19.卜:卜字旁20.厂:广字旁21.厶:夫字底22.又:又字底24.囗:围字旁25.土:土字旁26.士:土字底27.夂:后字旁28.夊:前字底29.大:大字旁30.女:女字旁31.子:子字旁32.宀:宝字旁33.寸:寸字旁34.小:小字旁35.尸:尸字旁36.屮:草字底二、下部偏旁1.一:一画底2.丨:丨字旁3.丶:点字底4.乙:乙字底5.亅:撇字底6.二:两点水底7.亠:亩字头8.人:立人底9.儿:儿字底10.入:走字底11.八:八字底12.冂:上元底14.冫:两点冰底15.几:几字底16.凵:口字底17.刀:刀剑底18.力:力字底19.勹:包字底20.匕:匕首底21.匚:匣字旁22.十:十字底23.卜:卜字底24.厂:广字底25.厶:夫字底26.又:又字旁27.口:口字底28.囗:围字底29.土:土字底30.士:土字旁31.夂:后字底32.夊:前字底33.女:女字底34.子:子字底35.寸:寸字底36.小:小字底37.尸:尸字底38.屮:草字旁三、左部偏旁1.一:一画旁2.丨:丨字头3.丶:点字旁4.乙:乙字旁5.亅:撇字旁6.二:两点水旁7.亠:亩字旁8.人:立人旁9.儿:儿字旁10.入:走字旁11.冂:上元旁12.冖:冕字头13.冫:两点冰旁14.几:几字旁15.凵:口字旁16.刀:刀剑旁17.力:力字旁18.勹:包字旁19.匕:匕首旁20.匚:匣字旁21.十:十字旁22.卜:卜字旁23.厂:广字旁24.厶:夫字旁25.又:又字旁26.口:口字旁27.囗:围字旁28.土:土字旁29.士:土字头30.夂:后字旁31.夊:前字旁32.大:大字旁33.女:女字旁34.子:子字旁35.寸:寸字旁36.小:小字旁37.尸:尸字旁38.屮:草字旁四、右部偏旁1.一:一画旁2.丨:丨字旁3.丶:点字头4.乙:乙字头5.亅:撇字头6.二:两点水头7.亠:亩字头8.人:立人头9.儿:儿字头10.入:走字头11.冂:上元头12.冖:冕字旁13.冫:两点冰头14.几:几字头15.凵:口字头16.刀:刀剑头17.力:力字头18.勹:包字头19.匕:匕首头20.匚:匣字底21.十:十字头22.卜:卜字头23.厂:广字头24.厶:夫字头25.又:又字头26.口:口字头27.囗:围字头28.土:土字头29.士:土字旁30.夂:后字头31.夊:前字头32.大:大字头33.女:女字头34.子:子字头35.寸:寸字头36.小:小字头37.尸:尸字头38.屮:草字头五、外部偏旁1.一:一画旁2.丨:丨字旁3.丶:点字旁4.乙:乙字旁5.亅:撇字底6.二:两点水旁7.亠:亩字底8.人:立人旁9.儿:儿字旁10.入:走字旁11.冂:上元底12.冖:冕字底13.冫:两点冰旁14.几:几字底15.凵:口字底16.刀:刀剑旁17.力:力字底18.勹:包字底19.匕:匕首旁20.匚:匣字旁21.十:十字底22.卜:卜字底23.厂:广字底24.厶:夫字底25.又:又字旁26.口:口字底27.囗:围字底28.土:土字底29.士:土字旁30.夂:后字底31.夊:前字底32.大:大字底33.女:女字底34.子:子字底35.寸:寸字底36.小:小字底37.尸:尸字底38.屮:草字旁。
汉字偏旁部首大全精品文档2画汉字偏旁部首大全厂字旁多与山崖或住处有关厅、厉、历、原三框多与盛物的器具有关区、字边占字头同字框八字头丷倒八字勹包字头匕匕字旁10 儿字底1 1 几字底12 点横头13 两点水多于占卜有关外、卧、占、卓、卢同、冈、用、多与分、相背有关分、并、兰、关多与包、裹的意思有关化、北、公、包、多与人有关兄、允、光凭、咒、秃高、亢、京句、旬、匀多与冰或寒冷有关冰、冷、冻、次、准冖 秃宝盖 多与覆盖有关 写、军、冠 凵 凶字框 ———— 匈、画、幽、函 卩 单耳刀 多与人或屈体有关 即、却、印 刀 刀字旁 多与刀有关 切、召、券、剪 刂立刀 刑、创、别、判 斜刀 角字头 多与人有关 危、负、争、色 力 力字旁 多与力量、用力有关 功、动、助、努 又 又字旁 多于手有关 变、叙、对、戏、劝、 厶 私字旁 ———— 云、台、丢、县 廴 建字底 多与脚的动作、行动等有关 建、延、廷人 人字头 多与人有关 今、合、全、命、令、众亻单立人 你、位、伪、亿讠 言字旁 多与说话有关 语、说、话、诉、讲、谈、让、左阝 左耳旁 多与山陵、土石或升降等有关 队、14151617181920212223 24 2526该、请 27防、际、阿、阳、阵、阶、随、院、陵、隆、附28右阝右耳旁多与城镇、地名等有关邦、那、邮、邻、郎、郑3画29工工字旁多与工具、技能有关巧、功、式、左30土土字旁多与泥土有关址、至、尘、块、坛、地31士士字旁多与男性有关吉、壮、志、壳、声32艹草字头多与花草植物有关菜、花、苗、茶、药、芽、茶、芬33廾弄字底多与双手有关异、弃、弈、葬、卉34大大字头多与人有关牵、夸、夺、尖、奔、奇、奖、美335 扌提手旁多与手或手的动作有关扎、打、扑、扔、扣、执、扩、扬、扫、扶、技、批、抄、折、抓、护36寸寸字旁多与手或手的动作有关对、寺、寻、导、封、耐、辱、射37弋 yì 弋字旁————式、鸢、贰、弑38小小字头多与小有关少、尘、尖、39口口字旁多与口或表语气有关吃、吗、叫、厅、问、呼、喂、马、吧、呢、啦、呀40囗方框儿多指围起来园、圆、回、团、围、图、国、固41巾巾字旁多与布、织物有关布、帮、市、帆、帐、希、帖、帜42山山字旁多与山、搞有关岗、岔、岛、岸、岩、岳、岭、峰、43彳双立人多与行走或道路有关行、往、恨、街、得、律、很、循44彡三撇多与毛发、图画、纹饰等有关形、彩、彰、影、须、彪、衫、参、45犭反犬旁多与兽类动物有关猫、狗、猴、猪、狼、猥、狮、狈46夕夕字旁多与夜暮有关多、梦、岁、名47夂折文多与脚的动作、行为有关各、复、夏、处、冬48饣食字旁多与食物或吃有关饥、饭、饮、饯、饱、蚀、饺、饼49丬将字旁————壮、妆、状、将50广广字旁多与房屋或场所有关庄、庆、床、库、应、庐、店、庙、府、废、度、席、底52门门字框多与门有关闩、闭、闪、闯、闲、间、阀、问53氵三点水多与水有关汁、汇、汉、江、汛、汔、池、汤、汪、沛、沃、沟、河、泽、泼、海54忄竖心旁多与内心活动有关忆、忙、怀、快、怄、怖、性、怕55宀宝盖多与房屋有关宁、它、安、字、完、宝、室、宫56辶走之多与行走、行动有关达、边、进、过、还、运、近、迎57彐横山————归、刍、寻、当、灵、录、帚、彗58尸尸字头多与人有关尼、层、屁、尿、尾、屈、屋、居59弓弓字旁多与弓有关引、弗、弛、张、弧、弦、弯、弹60女女字旁多与女人有关奶、妇、她、好、妈、妙、妖、妨、妹、姑、妻、委、姓、姐、妮、娃61子子字旁多与小孩有关孙、孟、享、学、孩、孔、孝62纟绞丝旁多与丝、线、织有关纠、红、纤、约、级、纪、纬、纯、纱、纲、纸、、纷、纺、线、组、练63飞飞字旁——64马马字旁多与马或牲畜有关驮、驯、闯、驰、驱、驴、驶、驹65幺yāo 幺字部多与小有关幻、幼66巛三拐多与水有关邕、甾、巡、巢4画67王王字部王玉旁今偏旁“王”多是“玉”,多与玉有关全、弄、玩、环、现、玫、珑、皇、珍、玲、玻、珠、班、球、琏、理68韦韦字旁多与熟牛皮或皮制品有关韧、韫、韩69木木字旁多与树木有关本、未、札、朴、机、朵、杂、杜、权、材、村、束、杨、杈、杯、果70犬犬字旁多与犬有关状、哭、臭、献71歹歹字旁多与死人有关歼、残、殃、殊、殒、殖、毙72车车子旁多与车或车轮有关轧、轨、军、转、斩、轮、软、轰、轴、轻、载、辗、较、辆、辅、输73戈戈字旁多与兵器有关戊、戌、戏、戒、我、或、载、战74比比字头————毕、皆、毖75瓦瓦字旁多与陶器有关瓯、瓮、瓷、瓶、甑76止止字旁多与足有关正、此、步、武、歧、肯、歪、耻77攴 pū 攴字旁多与扑打有关敲78攵反文收、攻、改、败、放、政、故、致、教、救、敏、敢、敬、数、敷79日日字旁多与太阳、时间有关旦、早、旱、时、旷、旺、昔、明、昏、昂、春、昨、晒、晃、晓、晌、80“冒”的上半部分冒字头多于帽子有关冒、曼、最81水氺水字旁多与水有关永、汆、浆、尿、泰、泵、泉、黎82贝贝字旁多与钱财有关财、货、贪、贫、购、资、贱、贵、83 见 见字旁 多与看见有关 观、规、觅、视、览、觉 84 牛 牛字旁多与牛有关 牟、牵、犁、犀、犟摹、摩、攀爪爫 爪字头 多与手或手的动作有关 妥、采、受、爬、乳、爱94 月 月字旁 1 .多与月亮或时间有关 朗、朦、胧85 牜提牛旁 牡、牦、物、牧、牲、特、犊86 告字头 告、靠87 手 手字旁 多与手或手的动作有关 拜、拿、拳、掌、掰、 88 毛字旁 多与毛发有关 尾、毫、毯、毽、麾89 气字头 多与气体有关 气、氛、氢、氧、氮90 片字旁 多与剖开或片状物有关 版、牌、牒91 斤字旁 多与斧有关 所、斧、断、斯、新、欣92 93 父 父字头 多与父亲有关 爷、爸、爹、斧肉月旁 2 .更多的是与身体、器官肌肉有关肌、肝、肚、肠、肤、肺、朋、股、肪、育、肩、肥、胆、胃、胡、背95欠欠字边多与人或人的动作有关次、欢、软、欣、炊、欲、款、欺歌、歇96风风字边多与风有关飘、飕、飒、飓97殳 shū 殳字边多与打、杀、撞击有关殴、段、般、毁、殿、毅98文文字头多与花纹有关斑、斓、齐、吝、斋、紊、99方方字旁多是“旗”去掉“其”剩余的部分,多与旗帜有关於、放、施、旅、族、旋、旗、房、旁100火火字旁多与火有关灭、灰、灯、灶、灾、、炬、炊、炼101灬四点底点、烈、热、煮、焦、然、照、煎、熬、熟、燕102斗斗字边多与量器有关料、斜、斛、斟103户户字头多与门户有关启、肩、所、房、扁、扇、扉、雇104礻示字旁多与祭祀、祝愿有关礼、社、祈、神、祖、祥、祸、福105示示字底祟、祭、禁、禀106心心字底多与内心活动有关志、忘、忍、态、忠、念、思、怎、怨、急、怒、恐、恶、虑、恩、息107肀肃字头————肃、隶、肆、肄聿 yù 聿字旁108母毋母字旁多与母亲或生育有关每、毒、贯、毓、5画109石石字旁多与石头、坚硬有关岩、矿、码、研、砖、砌、砾、砸110龙龙字头多与龙有关龚、龛、垄、聋111业业字头————邺、凿112目目字旁多与眼睛有关盯、盲、看、盼、眉、眠、眼、睛113田田字旁多与田地或耕作有关亩、男、界、留、畦、略、甸、胃114罒四字头多与网或网的作用有关罗、罚、罢、署、置、罪、罩115皿皿字底多与器皿有关盘、盆、盈、盏、盐、监、益、盛116钅金字旁多与金属有关针、钉、钓、钞、钟、钢、钥、钱矢字旁 多与箭有关 知、矩、矫、短、矮 禾木旁 多与庄稼(农作物)有关 秀、秆、季、香、种、 秧 白字旁 多与白色或明亮有关 皑、皎、皓、皙、的、皆 瓜字旁 多与瓜有关 瓢、瓣、瓤、呱 鸟字旁 多与鸟有关 鸡、鸣、鸥、鸦、莺、鸭、鸳、鸵、 鹤、鹰 病字旁 多与疾病有关 疔、、疗疟、疮、疯、疫、疾、疼、 痕、痨、痘、痢、痛、瘦 立字旁 多与站立有关 亲、竖、站、竦、端、意、竞 穴字头 多与房室或洞穴有关 究、穷、空、突、窗、窍、 衣字旁 多与衣服有关 补、初、衬、衫、袄、袜、袖、被 疋字旁 ———— 蛋、疏、楚、疑 117 矢118 禾 秋、科、119 白120 瓜121 鸟鸿、鸽、122 疒疲、痒、123 立124 穴窄、容125 衤126 疋127 皮128 矛6画皮字旁多与皮或皮肤有关皱、颇、皲、坡、披矛字旁多与矛或刺杀动作有关柔、矜129耒 l ěi 耒字旁多与农具或耕作有关耕、耘、耗、耙、耦、耧130老老字头多与老人或年老有关考、耆、131耳耳字旁多与耳朵有关取、闻、耸、聋、职、聊、联、聪132臣臣字旁多与屈身或奴隶有关卧、監133覀西字头本义是覆盖,但多与本义无关覆、要、栗、贾、票、粟134页页字边多与头有关顶、顷、项、顺、须、顽、顾、顿、烦、颅、领、颈、颊、频、颗、题135虍虎字头多与虎有关彪、虞、虏、虐、虑136虫虫字旁多与爬虫、虫子有关虾、虽、虻、蚤、蚂、蚕、蚜、蚊、蛋、蛇、蛙、蛳、蛐、蛛137缶f ǒ u 缶字旁多与瓦器有关缸、缺、罐、罄、罅138舌舌字旁多与舌头有关舐、甜、舔、乱139竹子头多与竹子有关竿、笔、笋、笆、笼、笛、符、筐、等、筑、答、筹、筒、简、签、算140臼臼字旁多与臼类或坑类有关舀、舂、舅、臾、141自自字头多与鼻子有关臭、息142血血字旁多与血有关衅、衄143舟舟字旁多与船有关舰、舱、般、航、盘、舶、舷、舵144衣衣字旁多与衣服有关衰、衷、袭、袋、裁、裂、装、裳145羊羊字旁多与羊有关差、养、羚、善、群、羞、着、翔146美字头美、羔、恙、盖、羡、147米米字旁多与米或粮食有关类、籽、粉、料、粘、粗、粟、粳、糖、糕、糊、粹、精、粮148艮gěn 艮字边多与就食有关,也表声即、既、艰、垦、恳、暨149羽羽字旁多与羽毛有关翅、扇、翘、翡、翠、翱、翼、翻150糸紧字底多与丝及织的行为有关系、素、索、紧、累、紫、絮、繁7画151麦麦字旁多与麦子有关麦、麸152走走字旁多与跑或快走有关赳、赶、起、越、趁、趋、超、趣153赤赤字旁多与红色有关赭、赫、赦、郝154豆豆字旁多与豆类有关,也表声豇、豉、壹、短、登、豌155酉 yǒu 酉字旁多与酒有关酒、配、酝、酬、酷、醋、酸、酿156辰辰字旁多与农事有关,也表声蜃、辱、唇、晨、157豕shī 豕字旁多与猪有关家、豪、豫、豳158足足字旁多与脚或脚的动作有关趴、距、趾、跃、践、跌、跑、跨、跳、跪、路、跟、踢、踏159身身字旁多与身体有关射、躬、、躯、躲、躺160釆bi àn 番字旁多与兽足或辨别有关悉、、番、釉、释161谷谷字旁多与山谷有关,也表声豁、欲162豸shǐ 豸字旁多与兽类有关豺、豹、貂、貉163 角角字旁多与角类或量器有关触、解、斛、觞、觚164 言言字底多与说话、言语有关詈、誊、誉、誓、謦、警、譬165 辛辛字旁多与劳苦或辛辣有关辜、辞、辟、辣、辨、辩8 画以上166 雨雨字头多与天气、气象有关雪、雷、零、雾、需、震、霉、霖、霜、霞、露、霸167 齿齿字旁多与牙齿有关龄、龈、龇、龋168 隹 zhuī 隹字旁多与鸟类有关难、雀、售、集、雄、雅、焦、雇169 鱼字旁多与鱼类有关鲁、鲜、鲤、鲨、鲫、鲸、鳃、鳞170 革字旁多与皮革有关勒、靴、鞋、、鞍、鞭171 骨字旁多与骨头有关骼、髓、骸、172 鬼字旁多与鬼有关魂、魁、魄、魔173 音音字旁多与声音、音乐有关章、竟、韵、韶174 麻麻字头多表音摩、磨、糜、魔。
Word 版常用偏旁部首名称表我们习惯把组成汉字的零件叫偏旁,同一类偏旁归在一同叫部首。
一般说来,在上称“头”,如花字中的“艹”,称草字头;在下称“底”,如盆字中的“皿”,称皿子底;在左称“旁”,如铁字中的“钅”,称金字旁;在右称“边”,如料字中的“斗”,称斗字边;在外称“框”,如冈字中的“冂”,称同字框,有些偏旁,在不一样的地点,形体有所改变,称呼也不同样,如“人”在“会”字中,称人字头,在“仙”字中,称单立人。
为了方便教课,我们从3500 个常用的和次常用的汉字中,选用174 个常用偏旁,并加以命名。
序号偏旁名称作形旁时多表示的意义例字2 画1厂厂字旁多与山崖或住所相关厅、厉、历、原2匚三框多与盛物的用具相关区、医、匠3卜卜字边多于占卜相关外、卧、仆4├ 占字头占、卓、卢5冂同字框————同、冈、用、网6八八字头多与分、相背相关分、公、兮7丷倒八字并、兰、关8勹包字头多与包、裹的意思相关包、句、旬、匀9匕匕字旁————化、北、10儿儿字底多与人相关兄、允、光11几几字底————凭、咒、秃12亠点横头————高、亢、京13冫两点水多与冰或严寒相关冰、冷、冻、次、准14冖秃宝盖多与覆盖相关写、军、冠15凵凶字框————匈、画、幽、函16卩单耳刀多与人或屈体相关即、却、印17刀刀字旁多与刀相关切、召、券、剪18刂立刀刑、创、别、判19斜刀角字头多与人相关危、负、争、色20力力字旁多与力量、使劲相关功、动、助、努21又又字旁多于手相关变、叙、对、戏、劝、22厶私字旁————云、台、丢、县23廴建字底多与脚的动作、行动等相关建、延、廷24人人字头多与人相关今、合、全、命、令、众25亻单立人你、位、伪、亿26讠言字旁多与说话相关语、说、话、诉、讲、谈、让、该、请27左阝左耳旁多与山陵、土石或起落等相关队、防、际、阿、阳、阵、阶、随、院、陵、隆、附28右阝右耳旁多与城镇、地名等相关邦、那、邮、邻、郎、郑29工工字旁多与工具、技术相关巧、功、式、左30土土字旁多与泥土相关址、至、尘、块、坛、地31士士字旁多与男性相关吉、壮、志、壳、声32艹草字头多与花草植物相关菜、花、苗、茶、药、芽、茶、芬33廾弄字底多与双手相关异、弃、弈、葬、卉34大大字头多与人相关牵、夸、夺、尖、奔、奇、奖、美335 扌提手旁多与手或手的动作相关扎、打、扑、扔、扣、执、扩、扬、扫、扶、技、批、抄、折、抓、护36寸寸字旁多与手或手的动作相关对、寺、寻、导、封、耐、辱、射37弋 yì弋字旁————式、鸢、贰、弑38小小字头多与小相关少、尘、尖、39口口字旁多与口或表语气相关吃、吗、叫、厅、问、呼、喂、马、吧、呢、啦、呀40囗方框儿多指围起来园、圆、回、团、围、图、国、固41巾巾字旁多与布、织物相关布、帮、市、帆、帐、希、帖、帜42山山字旁多与山、搞相关岗、岔、岛、岸、岩、岳、岭、峰、43彳双立人多与行走或道路相关行、往、恨、街、得、律、很、循44彡三撇多与毛发、图画、纹饰等相关形、彩、彰、影、须、彪、衫、参、45犭反犬旁多与兽类动物相关猫、狗、猴、猪、狼、猥、狮、狈46夕夕字旁多与夜暮相关多、梦、岁、名47夂折文多与脚的动作、行为相关各、复、夏、处、冬48饣食字旁多与食品或吃相关饥、饭、饮、饯、饱、蚀、饺、饼49丬将字旁————壮、妆、状、将50广广字旁多与房子或场所相关庄、庆、床、库、应、庐、店、庙、府、废、度、席、底52门门字框多与门相关闩、闭、闪、闯、闲、间、阀、问53氵三点水多与水相关汁、汇、汉、江、汛、汔、池、汤、汪、沛、沃、沟、河、泽、泼、海54忄竖心旁多与心里活动相关忆、忙、怀、快、怄、怖、性、怕55宀宝盖多与房子相关宁、它、安、字、完、宝、室、宫56辶走之多与行走、行动相关达、边、进、过、还、运、近、迎57彐横山————归、刍、寻、当、灵、录、帚、彗58尸尸字头多与人相关尼、层、屁、尿、尾、屈、屋、居59弓弓字旁多与弓相关引、弗、弛、张、弧、弦、弯、弹60女女字旁多与女人相关奶、妇、她、好、妈、妙、妖、妨、妹、姑、妻、委、姓、姐、妮、娃61子子字旁多与儿童相关孙、孟、享、学、孩、孔、孝62纟绞丝旁多与丝、线、织相关纠、红、纤、约、级、纪、纬、纯、纱、纲、纸、、纷、纺、线、组、练63飞飞字旁——64马马字旁多与马或牲口相关驮、驯、闯、驰、驱、驴、驶、驹65幺yāo 幺字部多与小相关幻、幼66 巛三拐多与水相关邕、甾、巡、巢67王王字部王玉旁今偏旁“王”多是“玉”,多与玉相关全、弄、玩、环、现、玫、珑、皇、珍、玲、玻、珠、班、球、琏、理68韦韦字旁多与熟牛皮或皮制品相关韧、韫、韩69木木字旁多与树木相关本、未、札、朴、机、朵、杂、杜、权、材、村、束、杨、杈、杯、果70犬犬字旁多与犬相关状、哭、臭、献71歹歹字旁多与死人相关歼、残、殃、殊、殒、殖、毙72车车子旁多与车或车轮相关轧、轨、军、转、斩、轮、软、轰、轴、轻、载、辗、较、辆、辅、输73戈戈字旁多与兵器相关戊、戌、戏、戒、我、或、载、战74比比字头————毕、皆、毖75瓦瓦字旁多与陶器相关瓯、瓮、瓷、瓶、甑76止止字旁多与足相关正、此、步、武、歧、肯、歪、耻77攴 pū攴字旁多与扑打相关敲78攵反文收、攻、改、败、放、政、故、致、教、救、敏、敢、敬、数、敷79日日字旁多与太阳、时间相关旦、早、旱、时、旷、旺、昔、明、昏、昂、春、昨、晒、晃、晓、晌、80“冒”的上半部分冒字头多于帽子相关冒、曼、最81水氺水字旁多与水相关永、汆、浆、尿、泰、泵、泉、黎82贝贝字旁多与钱财相关财、货、贪、贫、购、资、贱、贵、83见见字旁多与看见相关观、规、觅、视、览、觉84牛牛字旁多与牛相关牟、牵、犁、犀、犟85牜提牛旁牡、牦、物、牧、牲、特、犊86告字头告、靠87手手字旁多与手或手的动作相关拜、拿、拳、掌、掰、摹、摩、攀88毛毛字旁多与毛发相关尾、毫、毯、毽、麾89气气字头多与气体相关气、氛、氢、氧、氮90片片字旁多与剖开或片状物相关版、牌、牒91斤斤字旁多与斧相关所、斧、断、斯、新、欣92爪爫爪字头多与手或手的动作相关妥、采、受、爬、乳、爱93父父字头多与父亲相关爷、爸、爹、斧94月月字旁 1 .多与月亮或时间相关朗、朦、胧肉月旁 2 .更多的是与身体、器官肌肉相关肌、肝、肚、肠、肤、肺、朋、股、肪、育、肩、肥、胆、胃、胡、背95欠欠字边多与人或人的动作相关次、欢、软、欣、炊、欲、款、欺歌、歇96风风字边多与风相关飘、飕、飒、飓97殳 shū殳字边多与打、杀、撞击相关殴、段、般、毁、殿、毅98文文字头多与花纹相关斑、斓、齐、吝、斋、紊、99方方字旁多是“旗”去掉“其”节余的部分,多与旌旗相关於、放、施、旅、族、旋、旗、房、旁100 火火字旁多与火相关灭、灰、灯、灶、灾、、炬、炊、炼101 灬四点底点、烈、热、煮、焦、然、照、煎、熬、熟、燕102 斗斗字边多与量器相关料、斜、斛、斟103 户户字头多与门户相关启、肩、所、房、扁、扇、扉、雇104 礻示字旁多与祭祀、祝福相关礼、社、祈、神、祖、祥、祸、福105 示示字底祟、祭、禁、禀106 心心字底多与心里活动相关志、忘、忍、态、忠、念、思、怎、怨、急、怒、恐、恶、虑、恩、息107 肀肃字头————肃、隶、肆、肄聿 yù聿字旁108 母毋母字旁多与母亲或生育相关每、毒、贯、毓、5画109石石字旁多与石头、坚硬相关岩、矿、码、研、砖、砌、砾、砸110龙龙字头多与龙相关龚、龛、垄、聋111业业字头————邺、凿112目目字旁多与眼睛相关盯、盲、看、盼、眉、眠、眼、睛113田田字旁多与田地或耕种相关亩、男、界、留、畦、略、甸、胃114罒四字头多与网或网的作用相关罗、罚、罢、署、置、罪、罩115皿皿字底多与器皿相关盘、盆、盈、盏、盐、监、益、盛116钅金字旁多与金属相关针、钉、钓、钞、钟、钢、钥、钱117矢矢字旁多与箭相关知、矩、矫、短、矮118禾禾木旁多与庄稼(农作物)相关秀、秆、季、香、种、秋、科、秧119白白字旁多与白色或光亮相关皑、皎、皓、皙、的、皆120瓜瓜字旁多与瓜相关瓢、瓣、瓤、呱121鸟鸟字旁多与鸟相关鸡、鸣、鸥、鸦、莺、鸭、鸳、鸵、鸿、鸽、鹤、鹰122疒病字旁多与疾病相关疔、、疗疟、疮、疯、疫、疾、疼、疲、痒、痕、痨、痘、痢、痛、瘦123立立字旁多与站立相关亲、竖、站、竦、端、意、竞124穴穴字头多与房室或洞窟相关究、穷、空、突、窗、窍、窄、容125衤衣字旁多与衣服相关补、初、衬、衫、袄、袜、袖、被126疋疋字旁————蛋、疏、楚、疑127皮皮字旁多与皮或皮肤相关皱、颇、皲、坡、披128矛矛字旁多与矛或刺杀动作相关柔、矜6画129耒 l ěi 耒字旁多与农具或耕种相关耕、耘、耗、耙、耦、耧130老老字头多与老人或年迈相关考、耆、131耳耳字旁多与耳朵相关取、闻、耸、聋、职、聊、联、聪132臣臣字旁多与屈身或奴隶相关卧、監133覀西字头本意是覆盖,但多与本意没关覆、要、栗、贾、票、粟134页页字边多与头相关顶、顷、项、顺、须、顽、顾、顿、烦、颅、领、颈、颊、频、颗、题135虍虎字头多与虎相关彪、虞、虏、虐、虑136虫虫字旁多与爬虫、虫子相关虾、虽、虻、蚤、蚂、蚕、蚜、蚊、蛋、蛇、蛙、蛳、蛐、蛛137缶f ǒu 缶字旁多与瓦器相关缸、缺、罐、罄、罅138 舌舌字旁多与舌头相关舐、甜、舔、乱139 竹子头多与竹子相关竿、笔、笋、笆、笼、笛、符、筐、等、筑、答、筹、筒、简、签、算140 臼臼字旁多与臼类或坑类相关舀、舂、舅、臾、141 自自字头多与鼻子相关臭、息142 血血字旁多与血相关衅、衄143 舟舟字旁多与船相关舰、舱、般、航、盘、舶、舷、舵144 衣衣字旁多与衣服相关衰、衷、袭、袋、裁、裂、装、裳145 羊羊字旁多与羊相关差、养、羚、善、群、羞、着、翔146 美字头美、羔、恙、盖、羡、147 米米字旁多与米或粮食相关类、籽、粉、料、粘、粗、粟、粳、糖、糕、糊、粹、精、粮148艮gěn 艮字边多与就食相关,也表声即、既、艰、垦、恳、暨 149 羽羽字旁多与羽毛相关翅、扇、翘、翡、翠、翱、翼、翻150糸紧字底多与丝及织的行为相关系、素、索、紧、累、紫、絮、繁7画151麦麦字旁多与麦子相关麦、麸152走走字旁多与跑或快走相关赳、赶、起、越、趁、趋、超、趣153赤赤字旁多与红色相关赭、赫、赦、郝154豆豆字旁多与豆类相关,也表声豇、豉、壹、短、登、豌155酉yǒu 酉字旁多与酒相关酒、配、酝、酬、酷、醋、酸、酿156 辰辰字旁多与农事相关,也表声蜃、辱、唇、晨、157豕shī豕字旁多与猪相关家、豪、豫、豳158 足足字旁多与脚或脚的动作相关趴、距、趾、跃、践、跌、跑、跨、跳、跪、路、跟、踢、踏159 身身字旁多与身体相关射、躬、、躯、躲、躺160釆bi àn 番字旁多与兽足或鉴别相关悉、、番、釉、释161谷谷字旁多与山谷相关,也表声豁、欲162豸shǐ豸字旁多与兽类相关豺、豹、貂、貉163 角角字旁多与角类或量器相关触、解、斛、觞、觚164 言言字底多与说话、语言相关詈、誊、誉、誓、謦、警、譬165 辛辛字旁多与劳累或辛辣相关辜、辞、辟、辣、辨、辩8画以上166 雨雨字头多与天气、气象相关雪、雷、零、雾、需、震、霉、霖、霜、霞、露、霸167 齿齿字旁多与牙齿相关龄、龈、龇、龋168 隹 zhuī隹字旁多与鸟类相关难、雀、售、集、雄、雅、焦、雇169 鱼鱼字旁多与鱼类相关鲁、鲜、鲤、鲨、鲫、鲸、鳃、鳞170 革革字旁多与皮革相关勒、靴、鞋、、鞍、鞭171 骨骨字旁多与骨头相关骼、髓、骸、髌172 鬼鬼字旁多与鬼相关魂、魁、魄、魔173 音音字旁多与声音、音乐相关章、竟、韵、韶174 麻麻字头多表音摩、磨、糜、魔。