世界各国历年GDB情况
- 格式:xlsx
- 大小:296.83 KB
- 文档页数:3
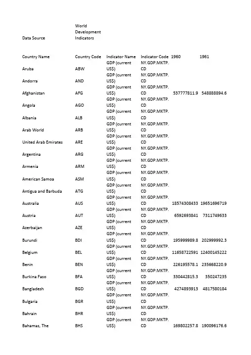
Data Source World Development IndicatorsCountry Name Country Code Indicator Name Indicator Code19601961Aruba ABW GDP (current US$)NY.GDP.MKTP.CDAndorra AND GDP (current US$)NY.GDP.MKTP.CDAfghanistan AFG GDP (current US$)NY.GDP.MKTP.CD537777811.9548888894.6 Angola AGO GDP (current US$)NY.GDP.MKTP.CDAlbania ALB GDP (current US$)NY.GDP.MKTP.CDArab World ARB GDP (current US$)NY.GDP.MKTP.CDUnited Arab Emirates ARE GDP (current US$)NY.GDP.MKTP.CDArgentina ARG GDP (current US$)NY.GDP.MKTP.CDArmenia ARM GDP (current US$)NY.GDP.MKTP.CDAmerican Samoa ASM GDP (current US$)NY.GDP.MKTP.CDAntigua and Barbuda ATG GDP (current US$)NY.GDP.MKTP.CDAustralia AUS GDP (current US$)NY.GDP.MKTP.CD1857430843319651696719 Austria AUT GDP (current US$)NY.GDP.MKTP.CD65926938417311749633 Azerbaijan AZE GDP (current US$)NY.GDP.MKTP.CDBurundi BDI GDP (current US$)NY.GDP.MKTP.CD195999989.8202999992.3 Belgium BEL GDP (current US$)NY.GDP.MKTP.CD1165872259112400145222 Benin BEN GDP (current US$)NY.GDP.MKTP.CD226195578.1235668220.9 Burkina Faso BFA GDP (current US$)NY.GDP.MKTP.CD330442815.3350247235 Bangladesh BGD GDP (current US$)NY.GDP.MKTP.CD42748939134817580184 Bulgaria BGR GDP (current US$)NY.GDP.MKTP.CDBahrain BHR GDP (current US$)NY.GDP.MKTP.CDBahamas, The BHS GDP (current US$)NY.GDP.MKTP.CD169802257.8190096176.6 Bosnia and Herzegovina BIH GDP (current US$)NY.GDP.MKTP.CDBelarus BLR GDP (current US$)NY.GDP.MKTP.CDBelize BLZ GDP (current US$)NY.GDP.MKTP.CD28072504.9829965035.39 Bermuda BMU GDP (current US$)NY.GDP.MKTP.CD84466654.0889249986.7 Bolivia BOL GDP (current US$)NY.GDP.MKTP.CD563110051.9612518906.8 Brazil BRA GDP (current US$)NY.GDP.MKTP.CD1516556991315236854859 Barbados BRB GDP (current US$)NY.GDP.MKTP.CD87383113.7193216432.38 Brunei Darussalam BRN GDP (current US$)NY.GDP.MKTP.CDBhutan BTN GDP (current US$)NY.GDP.MKTP.CDBotswana BWA GDP (current US$)NY.GDP.MKTP.CD30411449.5232902654.4 Central African Republic CAF GDP (current US$)NY.GDP.MKTP.CD112155598.4123134583.7 Canada CAN GDP (current US$)NY.GDP.MKTP.CD4109345354540767969454 Central Europe and the Baltics CEB GDP (current US$)NY.GDP.MKTP.CDSwitzerland CHE GDP (current US$)NY.GDP.MKTP.CD952274671910712712465 Channel Islands CHI GDP (current US$)NY.GDP.MKTP.CDChile CHL GDP (current US$)NY.GDP.MKTP.CD42117625224705377500 China CHN GDP (current US$)NY.GDP.MKTP.CD5918411648949557050183 Cote d'Ivoire CIV GDP (current US$)NY.GDP.MKTP.CD546203558.5618245635.1 Cameroon CMR GDP (current US$)NY.GDP.MKTP.CD618740961.9657597316.8 Congo, Rep.COG GDP (current US$)NY.GDP.MKTP.CD131731862.6151675739.2 Colombia COL GDP (current US$)NY.GDP.MKTP.CD40409483054552914130 Comoros COM GDP (current US$)NY.GDP.MKTP.CDCabo Verde CPV GDP (current US$)NY.GDP.MKTP.CDCosta Rica CRI GDP (current US$)NY.GDP.MKTP.CD507516617.3490324267.1 Caribbean small states CSS GDP (current US$)NY.GDP.MKTP.CD18592291532010807399Cuba CUB GDP (current US$)NY.GDP.MKTP.CDCuracao CUW GDP (current US$)NY.GDP.MKTP.CDCayman Islands CYM GDP (current US$)NY.GDP.MKTP.CDCyprus CYP GDP (current US$)NY.GDP.MKTP.CDCzech Republic CZE GDP (current US$)NY.GDP.MKTP.CDGermany DEU GDP (current US$)NY.GDP.MKTP.CDDjibouti DJI GDP (current US$)NY.GDP.MKTP.CDDominica DMA GDP (current US$)NY.GDP.MKTP.CDDenmark DNK GDP (current US$)NY.GDP.MKTP.CD62489468806933842099 Dominican Republic DOM GDP (current US$)NY.GDP.MKTP.CD672399700654100200 Algeria DZA GDP (current US$)NY.GDP.MKTP.CD27236376202434766866 East Asia & Pacific (developing EAP GDP (current US$)NY.GDP.MKTP.CD8064662685970824710927 East Asia & Pacific (all income EAS GDP (current US$)NY.GDP.MKTP.CD1.53588E+11 1.54225E+11 Europe & Central Asia (develo ECA GDP (current US$)NY.GDP.MKTP.CDEurope & Central Asia (all inco ECS GDP (current US$)NY.GDP.MKTP.CD4.33636E+11 4.6159E+11 Ecuador ECU GDP (current US$)NY.GDP.MKTP.CD1010325138979108806.8 Egypt, Arab Rep.EGY GDP (current US$)NY.GDP.MKTP.CDEuro area EMU GDP (current US$)NY.GDP.MKTP.CD2.45302E+11 2.70012E+11 Eritrea ERI GDP (current US$)NY.GDP.MKTP.CDSpain ESP GDP (current US$)NY.GDP.MKTP.CD1207212607513834300571 Estonia EST GDP (current US$)NY.GDP.MKTP.CDEthiopia ETH GDP (current US$)NY.GDP.MKTP.CDEuropean Union EUU GDP (current US$)NY.GDP.MKTP.CD3.59356E+11 3.91242E+11 Fragile and conflict affected sit FCS GDP (current US$)NY.GDP.MKTP.CDFinland FIN GDP (current US$)NY.GDP.MKTP.CD52241021965921659485 Fiji FJI GDP (current US$)NY.GDP.MKTP.CD112334368.4116993977.8 France FRA GDP (current US$)NY.GDP.MKTP.CD6265147494768346741504 Faeroe Islands FRO GDP (current US$)NY.GDP.MKTP.CDMicronesia, Fed. Sts.FSM GDP (current US$)NY.GDP.MKTP.CDGabon GAB GDP (current US$)NY.GDP.MKTP.CD141468977.5167637907.5 United Kingdom GBR GDP (current US$)NY.GDP.MKTP.CD7232804704276694360636 Georgia GEO GDP (current US$)NY.GDP.MKTP.CDGhana GHA GDP (current US$)NY.GDP.MKTP.CD12172300951302674325 Guinea GIN GDP (current US$)NY.GDP.MKTP.CDGambia, The GMB GDP (current US$)NY.GDP.MKTP.CDGuinea-Bissau GNB GDP (current US$)NY.GDP.MKTP.CDEquatorial Guinea GNQ GDP (current US$)NY.GDP.MKTP.CDGreece GRC GDP (current US$)NY.GDP.MKTP.CD44465281655016048786 Grenada GRD GDP (current US$)NY.GDP.MKTP.CDGreenland GRL GDP (current US$)NY.GDP.MKTP.CDGuatemala GTM GDP (current US$)NY.GDP.MKTP.CD10435999361076699904 Guam GUM GDP (current US$)NY.GDP.MKTP.CDGuyana GUY GDP (current US$)NY.GDP.MKTP.CD170216238.9185849532.9 High income HIC GDP (current US$)NY.GDP.MKTP.CD1.09229E+12 1.15611E+12 Hong Kong SAR, China HKG GDP (current US$)NY.GDP.MKTP.CD13207997551530754831 Honduras HND GDP (current US$)NY.GDP.MKTP.CD335649984356200000HPC GDP (current US$)NY.GDP.MKTP.CD1753695722717998848068 Heavily indebted poor countrieCroatia HRV GDP (current US$)NY.GDP.MKTP.CDHaiti HTI GDP (current US$)NY.GDP.MKTP.CDHungary HUN GDP (current US$)NY.GDP.MKTP.CDIndia IND GDP (current US$)NY.GDP.MKTP.CD3767927449139920452403 Not classified INX GDP (current US$)NY.GDP.MKTP.CDIreland IRL GDP (current US$)NY.GDP.MKTP.CD19393297752088012282 Iran, Islamic Rep.IRN GDP (current US$)NY.GDP.MKTP.CDIraq IRQ GDP (current US$)NY.GDP.MKTP.CD16839186971831479752 Iceland ISL GDP (current US$)NY.GDP.MKTP.CD248434097253885656.3 Israel ISR GDP (current US$)NY.GDP.MKTP.CD28870819013486954461 Italy ITA GDP (current US$)NY.GDP.MKTP.CD4038528834444842760293 Jamaica JAM GDP (current US$)NY.GDP.MKTP.CD699064357.3748043414.1 Jordan JOR GDP (current US$)NY.GDP.MKTP.CDJapan JPN GDP (current US$)NY.GDP.MKTP.CD4430734295053508617739 Kazakhstan KAZ GDP (current US$)NY.GDP.MKTP.CDKenya KEN GDP (current US$)NY.GDP.MKTP.CD791265458.8792959472.1 Kyrgyz Republic KGZ GDP (current US$)NY.GDP.MKTP.CDCambodia KHM GDP (current US$)NY.GDP.MKTP.CD637142865.7642857134.3 Kiribati KIR GDP (current US$)NY.GDP.MKTP.CDSt. Kitts and Nevis KNA GDP (current US$)NY.GDP.MKTP.CD12366635.5812483301.96 Korea, Rep.KOR GDP (current US$)NY.GDP.MKTP.CD38918490482357059045 Kosovo GDP (current US$)NY.GDP.MKTP.CDKuwait KWT GDP (current US$)NY.GDP.MKTP.CDLatin America & Caribbean (de LAC GDP (current US$)NY.GDP.MKTP.CD7309907913676800622704 Lao PDR LAO GDP (current US$)NY.GDP.MKTP.CDLebanon LBN GDP (current US$)NY.GDP.MKTP.CDLiberia LBR GDP (current US$)NY.GDP.MKTP.CD190495648183920944 Libya LBY GDP (current US$)NY.GDP.MKTP.CDSt. Lucia LCA GDP (current US$)NY.GDP.MKTP.CDLatin America & Caribbean (all LCN GDP (current US$)NY.GDP.MKTP.CD8114300082886168729870 Least developed countries: UN LDC GDP (current US$)NY.GDP.MKTP.CDLow income LIC GDP (current US$)NY.GDP.MKTP.CD2201273923622798329835 Liechtenstein LIE GDP (current US$)NY.GDP.MKTP.CDSri Lanka LKA GDP (current US$)NY.GDP.MKTP.CD14196299291454342131 Lower middle income LMC GDP (current US$)NY.GDP.MKTP.CD8682078653292286578307 Low & middle income LMY GDP (current US$)NY.GDP.MKTP.CD2.7704E+11 2.66641E+11 Lesotho LSO GDP (current US$)NY.GDP.MKTP.CD34579986.1835699985.73 Lithuania LTU GDP (current US$)NY.GDP.MKTP.CDLuxembourg LUX GDP (current US$)NY.GDP.MKTP.CD703925705.9704145671.4 Latvia LVA GDP (current US$)NY.GDP.MKTP.CDMacao SAR, China MAC GDP (current US$)NY.GDP.MKTP.CDSt. Martin (French part)MAF GDP (current US$)NY.GDP.MKTP.CDMorocco MAR GDP (current US$)NY.GDP.MKTP.CD20371546892025693487 Monaco MCO GDP (current US$)NY.GDP.MKTP.CDMoldova MDA GDP (current US$)NY.GDP.MKTP.CDMadagascar MDG GDP (current US$)NY.GDP.MKTP.CD673081724.1699161943.9 Maldives MDV GDP (current US$)NY.GDP.MKTP.CDMiddle East & North Africa (all MEA GDP (current US$)NY.GDP.MKTP.CDMexico MEX GDP (current US$)NY.GDP.MKTP.CD1305616492514153954349 Marshall Islands MHL GDP (current US$)NY.GDP.MKTP.CDMiddle income MIC GDP (current US$)NY.GDP.MKTP.CD2.58384E+11 2.4728E+11Malta MLT GDP (current US$)NY.GDP.MKTP.CDMyanmar MMR GDP (current US$)NY.GDP.MKTP.CDMiddle East & North Africa (de MNA GDP (current US$)NY.GDP.MKTP.CDMontenegro MNE GDP (current US$)NY.GDP.MKTP.CDMongolia MNG GDP (current US$)NY.GDP.MKTP.CDNorthern Mariana Islands MNP GDP (current US$)NY.GDP.MKTP.CDMozambique MOZ GDP (current US$)NY.GDP.MKTP.CDMauritania MRT GDP (current US$)NY.GDP.MKTP.CD92609222.69107726181.2 Mauritius MUS GDP (current US$)NY.GDP.MKTP.CDMalawi MWI GDP (current US$)NY.GDP.MKTP.CD162960130.5174580139.8 Malaysia MYS GDP (current US$)NY.GDP.MKTP.CD24410204622422724545 North America NAC GDP (current US$)NY.GDP.MKTP.CD5.84478E+11 6.04157E+11 Namibia NAM GDP (current US$)NY.GDP.MKTP.CDNew Caledonia NCL GDP (current US$)NY.GDP.MKTP.CDNiger NER GDP (current US$)NY.GDP.MKTP.CD449526872.6485785231.7 Nigeria NGA GDP (current US$)NY.GDP.MKTP.CD41961743804467287732 Nicaragua NIC GDP (current US$)NY.GDP.MKTP.CD227223322.1244144236.7 Netherlands NLD GDP (current US$)NY.GDP.MKTP.CD1227673417213493833740 High income: nonOECD NOC GDP (current US$)NY.GDP.MKTP.CDNorway NOR GDP (current US$)NY.GDP.MKTP.CD51632715985632460937 Nepal NPL GDP (current US$)NY.GDP.MKTP.CD508334416.853*******.6 New Zealand NZL GDP (current US$)NY.GDP.MKTP.CD54858547925670064168 High income: OECD OEC GDP (current US$)NY.GDP.MKTP.CD1.04214E+12 1.10239E+12 OECD members OED GDP (current US$)NY.GDP.MKTP.CD1.07138E+12 1.12613E+12 Oman OMN GDP (current US$)NY.GDP.MKTP.CD44234654.0545634493.27 Other small states OSS GDP (current US$)NY.GDP.MKTP.CDPakistan PAK GDP (current US$)NY.GDP.MKTP.CD37070558344054599105 Panama PAN GDP (current US$)NY.GDP.MKTP.CD415800032463700032 Peru PER GDP (current US$)NY.GDP.MKTP.CD25037085012822764382 Philippines PHL GDP (current US$)NY.GDP.MKTP.CD66846855177257047668 Palau PLW GDP (current US$)NY.GDP.MKTP.CDPapua New Guinea PNG GDP (current US$)NY.GDP.MKTP.CD230496033244832035 Poland POL GDP (current US$)NY.GDP.MKTP.CDPuerto Rico PRI GDP (current US$)NY.GDP.MKTP.CD16919000001865100000 Korea, Dem. Rep.PRK GDP (current US$)NY.GDP.MKTP.CDPortugal PRT GDP (current US$)NY.GDP.MKTP.CD31932004043417516639 Paraguay PRY GDP (current US$)NY.GDP.MKTP.CDPacific island small states PSS GDP (current US$)NY.GDP.MKTP.CDFrench Polynesia PYF GDP (current US$)NY.GDP.MKTP.CDQatar QAT GDP (current US$)NY.GDP.MKTP.CDRomania ROU GDP (current US$)NY.GDP.MKTP.CDRussian Federation RUS GDP (current US$)NY.GDP.MKTP.CDRwanda RWA GDP (current US$)NY.GDP.MKTP.CD119000023.2122000015.5 South Asia SAS GDP (current US$)NY.GDP.MKTP.CD4768955654350861320923 Saudi Arabia SAU GDP (current US$)NY.GDP.MKTP.CDSudan SDN GDP (current US$)NY.GDP.MKTP.CD11263641621222860429 Senegal SEN GDP (current US$)NY.GDP.MKTP.CD792824702.8836493103.6 Singapore SGP GDP (current US$)NY.GDP.MKTP.CD704457699.4764303120.5Solomon Islands SLB GDP (current US$)NY.GDP.MKTP.CDSierra Leone SLE GDP (current US$)NY.GDP.MKTP.CD322009478.1327834752.4 El Salvador SLV GDP (current US$)NY.GDP.MKTP.CDSan Marino SMR GDP (current US$)NY.GDP.MKTP.CDSomalia SOM GDP (current US$)NY.GDP.MKTP.CD180460950.4191660990.9 Serbia SRB GDP (current US$)NY.GDP.MKTP.CDSub-Saharan Africa (developin SSA GDP (current US$)NY.GDP.MKTP.CD2972415898130858661198 South Sudan SSD GDP (current US$)NY.GDP.MKTP.CDSub-Saharan Africa (all income SSF GDP (current US$)NY.GDP.MKTP.CD2971607633330850270054 Small states SST GDP (current US$)NY.GDP.MKTP.CD29016867813154446383 Sao Tome and Principe STP GDP (current US$)NY.GDP.MKTP.CDSuriname SUR GDP (current US$)NY.GDP.MKTP.CD9385000098400000 Slovak Republic SVK GDP (current US$)NY.GDP.MKTP.CDSlovenia SVN GDP (current US$)NY.GDP.MKTP.CDSweden SWE GDP (current US$)NY.GDP.MKTP.CD1484287029316147160123 Swaziland SWZ GDP (current US$)NY.GDP.MKTP.CD35076845.9843026042.81 Sint Maarten (Dutch part)SXM GDP (current US$)NY.GDP.MKTP.CDSeychelles SYC GDP (current US$)NY.GDP.MKTP.CD12012025.2511592024.36 Syrian Arab Republic SYR GDP (current US$)NY.GDP.MKTP.CD857704420.5945244981 Turks and Caicos Islands TCA GDP (current US$)NY.GDP.MKTP.CDChad TCD GDP (current US$)NY.GDP.MKTP.CD313582727.6333975336.6 Togo TGO GDP (current US$)NY.GDP.MKTP.CD121128072.4126396468.7 Thailand THA GDP (current US$)NY.GDP.MKTP.CD27607509213034037872 Tajikistan TJK GDP (current US$)NY.GDP.MKTP.CDTurkmenistan TKM GDP (current US$)NY.GDP.MKTP.CDTimor-Leste TLS GDP (current US$)NY.GDP.MKTP.CDTonga TON GDP (current US$)NY.GDP.MKTP.CDTrinidad and Tobago TTO GDP (current US$)NY.GDP.MKTP.CD535673245.3584964613.1 Tunisia TUN GDP (current US$)NY.GDP.MKTP.CDTurkey TUR GDP (current US$)NY.GDP.MKTP.CD139951245178017479300 Tuvalu TUV GDP (current US$)NY.GDP.MKTP.CDTanzania TZA GDP (current US$)NY.GDP.MKTP.CDUganda UGA GDP (current US$)NY.GDP.MKTP.CD423145688.9441667041 Ukraine UKR GDP (current US$)NY.GDP.MKTP.CDUpper middle income UMC GDP (current US$)NY.GDP.MKTP.CD1.73321E+11 1.57253E+11 Uruguay URY GDP (current US$)NY.GDP.MKTP.CD12439931701549623550 United States USA GDP (current US$)NY.GDP.MKTP.CD 5.433E+11 5.633E+11 Uzbekistan UZB GDP (current US$)NY.GDP.MKTP.CDSt. Vincent and the Grenadine VCT GDP (current US$)NY.GDP.MKTP.CD13066633.8313999964.81 Venezuela, RB VEN GDP (current US$)NY.GDP.MKTP.CD86076000698923366628 Virgin Islands (U.S.)VIR GDP (current US$)NY.GDP.MKTP.CD2420000025700000 Vietnam VNM GDP (current US$)NY.GDP.MKTP.CDVanuatu VUT GDP (current US$)NY.GDP.MKTP.CDWest Bank and Gaza PSE GDP (current US$)NY.GDP.MKTP.CDWorld WLD GDP (current US$)NY.GDP.MKTP.CD1.36872E+12 1.42411E+12 Samoa WSM GDP (current US$)NY.GDP.MKTP.CDYemen, Rep.YEM GDP (current US$)NY.GDP.MKTP.CDSouth Africa ZAF GDP (current US$)NY.GDP.MKTP.CD73632404987742786646 Congo, Dem. Rep.COD GDP (current US$)NY.GDP.MKTP.CD33594041323086746936 Zambia ZMB GDP (current US$)NY.GDP.MKTP.CD698739720.8682359727.3Zimbabwe ZWE GDP (current US$)NY.GDP.MKTP.CD105299040010966466001962196319641965196619671968 546666678751111190.8800000045.5100666663813999999661673333419137333336725666374895 2445060487818272123664256052493822834470596828630474726242566675552643685724819886885429215007279652375853959025930115354272550117593038302161532647552917 7756110210837417525891699838869994070616108876822731157943166912440625313 213500006.4232749998.1260750008.3158994963165444571.4178297142.9183200000 13264015675142600173871596010668117371457608186518834721999204078821376353113 236434954.3253927697.6269819005.8289908680.2302925235.7306221953.4326323105.6 379567099.6394040667.6410321645422916789.3433889767.1450753923.9460442689.7 5081413340531945835153860546195906636557643968759872535753997483685473212252822.2237742768.5266664053.7300392162.5340000006.4390196085.7444901969.1 3185756333750090.6136194610.840069931.5444405596.0347379308.7944910180.79 94149985.9796366652.31107566650.6114339049134173373.8155102984.6150000000 669722541.3721142957.3812543072.5908874537994044553.91084059815908874537 19926293839230214772922121189226021790035102270627165113059183404533875881906 96949756.33109083059.2108383060.9114683045.1123608022.7137103729.9137300000114040245.7132758395.4139030445.6160819286.6 35644985.2238091777.0741616418.5145788670.6951465624.4158642385.2466248426.99 124482774.2129379123.8142025078.8150574795.3157930018.4163820513.7191767441.7 4197885204144657169109488829388105390957034260358632035647688312627075903184211879982759130636437961448055657215346741670164800587051774001317918942729779 5502763243548274943457943015276053790468701358034669135609977074820186 46685178504500973032715906225489069709153115758794347767205702856069993497892 645284474.6761047199921063326.3919771228102410288210829227261281281278 699373631.1723624330.9782384404814140009.4853268764.4934078958.31053076992 166521239.9172233430.9185693724.8198318063.9220613582.4237397428.3251247458 4968598031483884145659921694675790247619545276296357272081805918467519479181227.2511902566.7542578822.5592981156.2647305631.4699456618.3773841499.8 212034571922582287312429886840261440028928347162443047396312303123643078129681148316692386950667876310678897387117212481011278847969213196541952 824100000940799900102559990088810000098390000010348000001079100000 2001460839270300401029093401153136284385303985926833708704613852147113 64899406895697948230618098259785894503201521 1.034E+11 1.00276E+11 1.01276E+11 1.57741E+11 1.7543E+11 2.01677E+11 2.24506E+11 2.50955E+11 2.72046E+11 2.99829E+11 5.04649E+11 5.56483E+11 6.16261E+11 6.70609E+117.28542E+117.83848E+118.17514E+11 9585981951038389642115615089023870482552429309514255359609225821807945111621003533952073255791685656109112105 2.99642E+11 3.36151E+11 3.73876E+11 4.07973E+11 4.44881E+11 4.83268E+11 5.18078E+11 161385452091907491394821343844644247569586952872106224231647119228314755484814.27403E+11 4.70842E+115.21802E+11 5.68248E+116.15997E+11 6.61933E+11 6.8801E+11 6340580854688592032977666550868589340019920852450593689540108823033880 122912941.2129461581.5140040154.3147084750150603925.5162625885.9166952937.1 763137822528555111376794906593388 1.02161E+11 1.10597E+11 1.19466E+11 1.29847E+11182796536.6154480244.4215679855.2226474285.6245849781.7271543680.3294468564.5 806019396358544376667093387598814 1.00596E+11 1.07091E+11 1.11185E+11 1.04703E+11 138251565415407975891731296200205346296821263006721747187645166690951844212088.4246695008.7741160065.83 9122751.67910840095.2912712471.4264748333.336911000072317446.9367514285.71 53275735095949478035668029825176005790938455611129913671128899151405461143600000126280000012990999041331399936139070003214535000321610499968 194949510175757891.6194774510.5213235288.1228705875.9250176463.6229750000 1.24821E+12 1.34324E+12 1.46684E+12 1.59279E+12 1.74679E+12 1.87324E+12 2.02905E+12 1724850873197504536222747106042435078534248984501726924749892716964388 387750016410200000457000000508650000549950016598099984646800016 1961888527323763192067211559831152475307862727004854798264281270942764015713659808403767467363479 42900864970492710955085747078103360599264112466698016005101415536054016411987 22603496842430843768276660894629457041433104034393334363677332785844786154739685670609686574253897208447898398 1954399418197819940723402392482896947553 284916516.2340061650.1434267936.9523694949.4628893310.4621225962.2474399471.6 2596553912299217098134054585023663345598398001332539210853983959154192 50383891899577107430606317541701967978153851736548700118113312006587942231678 777727657826706669897948941.6972159571.2109675951611480143361083839096599759760.1657999736.8631679747.3561119775.6 60723018684694981317978174900638290950278258 1.05628E+11 1.23782E+11 1.46601E+11 868111400926589348.6998759333.6997919320116451967312325595061353295458 660000008.6728571437.1782857128.6868571428.6914285714.3962857134.31065714249 12541635.1512833301.0813416632.9513593932.4314469078.2916742338.5914600000 27459399783863726949335813414330176143663806043709470274705959553367662097199075239119894524415989232662798826 885574862208870555556398826742067 1.07118E+11 1.17399E+11 1.20363E+11 1.30028E+11 191861808200229616218929096229260776244459452261024284276820652 9918354181599489366416 1.10702E+11 1.19568E+11 1.31111E+11 1.34268E+11 1.44626E+11 24739733631294828552322545279430029531193208325284093403295320286934333489139 1458609620124138771413218407261698319328175147058818594650211801176471 94674837408 1.05686E+11 1.20358E+11 1.29168E+11 1.14863E+11 1.22092E+11 1.31139E+11 2.78758E+11 2.99673E+11 3.3344E+11 3.68383E+11 3.80917E+11 3.91144E+11 4.1381E+11 41859983.2747039981.251939979.2454879978.0756699977.3459261976.3261445975.45 741509480.8791140595.8903158753.9921600736.3968440149.5974721762.510664471312379611063265725250927983452262948325264287639561330463392953271415868 739286906.9759345863802482182.9833563472.2900264583.7956436931.1103166963632016783582 15221053213169363376682007013474121829715344243372334472655637208129363632834 2.57728E+11 2.74821E+11 3.11503E+11 3.43041E+11 3.53221E+11 3.6304E+11 3.84473E+11275494477.8343771973.2111148585.6113797356.8151897168.1172767213.3180340653.8191221777.8210695183.8 183120146.6190820152.8194740155.9229460183.7260400208.5269812781.8245160098.1 2543810831270847491928997513883187851274339276768735158509363667209742 6.47173E+11 6.83354E+117.34791E+117.97724E+118.75493E+119.26624E+11 1.01341E+12159594493.5164206537.6180036768.9215507164 531736599.9586294879.5582816396.2673383510.2702296079.9665586872.8641214226.8 4909399025516559004255529310295874422512636679266452031359375200895982 269283803.7297324163.1347119918.2564290020.4607140010.5657140010.8692859984.6 14647057370158912413861869938073121000586933228672033172508756218127817605743 60669766836510239503715920270680586810608696460205951449670310159934137 574091104.4496948970.4496098775.3735267086.3906811948.8841974030.1772230299.8 6077496268663893728372741443515654463586586373323159614180945180597621 1.18995E+12 1.28049E+12 1.39779E+12 1.51796E+12 1.66506E+12 1.78548E+12 1.93368E+12 1.21581E+12 1.30977E+12 1.43138E+12 1.55427E+12 1.70646E+12 1.83097E+12 1.98422E+12 56273199.1459912759.2861872522.4363279972.0967759970.11107151836.8188879842.44233095505454052902951304076375884712000646661063474038217808090088419 504800032559500032600800000659900032719000000800700032861400000 3199617471350547078842413811195026099956594705433960297518975583979280 4399815073487524802052713606425784398850637148669368090476007591602924 261184037.4275968039.5305312043.7344159480.3390973233.3441706905.6485160819.82094400000233360000025705000002881500000317050000035327000003941700000 3668222358390573446042356081784687464055513538784657402411666354262628400129691.1421700441.8451524124.5477012512.7176534589.6215659455220984369.1259590076.3 125000007.8128000000.1129999995148799979.7124525702.7159560018.1172200018.1 542967301956106048242969963476014751416644206305603078069409697457728685735634187777707 1328259625135123492613882826001446869619148449167616074095391677771401 857426088.8886387334.5939145912.2955834759.9984942841.5984605218.11034293671 825879877.4917216011.3893728643.5974186761.510959029401237415147142502008925203524.0328084252.76 342721625.6348546926371848127.8359379856.2375479849.8348795303329860135877719961.6929520025.6976199987.21009760051 203533070.7216147150229531201.9243725900.2257375899.4271781889.3286719887.9 33468032418384044479983740420687541623638925449383485584435550432747456906315 33458931729383944287663739690470941673193295449909434694441208970947506300610 3341909440351635039938638439474212150468455317589248919939014915894996 10350000011000000012085000013865000017110000019845000022060000017511477311189541323662113724256123260320646253020331322746340920229143383491 45927961.6554129438.3764980554.0370279971.9276859969.2974759970.1379799968.11 12642026.5713923029.2615393032.3515603032.816443034.5616632032.8116074027.35 1110565862120044741813394942891472036544134228756015802297931753746377357635713.9371767002.7392247517.6416926303432794922.5449826323453980096.7 132237468.1143255813.5166104078.4187300310.2216136231.8231706440241956916.8 3308912930354040347038891304424388937645527923081256384614376081009422 619322801.8678239320.3711897510.7736573148.7723739847.7761981451.3758899950991047619104095238110857142861214666667 8919043233103518859221117295307811945722167141191352331566467341117500000000 449158317.3516315650.9589247477.6884502338.7925381522.4967240686.61037379286 1.65312E+11 1.72539E+11 1.95122E+11 2.17578E+11 2.38939E+11 2.42266E+11 2.54963E+11 17092213181538971681197451114618891850751808775748159814980715937012096.051E+11 6.386E+11 6.858E+117.437E+118.15E+118.617E+119.425E+11 14524963.4913708298.8814758296.2415108295.3616099959.5415835088.415350000 98733978591066337551491135806969602944668100965746701047277674411470909285 36900000414000005380000066500000841000001154000001738000001.52912E+12 1.64523E+12 1.80287E+12 1.964E+122.12995E+12 2.26614E+12 2.44424E+12826985955591750478141007164161511002595323119951952071338259479214475993795 3779841410621318577428815452774043901724453266014533840633603909780525 679279728.6704339718.5822639671.3106119957612389995051340639464157373937111176016001159511700121713800013114358001281749500139700200014795999001969197019711972197319741975 78617570.3289406659.51113414331.9150841699.1186557164220112850.8 14088889231748886596183110897215955554761733333265215555549923666666152831630583830910527984358949220534276150441354346011193 1.04172E+11 1.1556E+1114720672892 31256284545315842103653329319909534733000536525440001177243677734252438647922 36612162616412520998994512711389951936915888637001921848878997789297098183804 13582798556153359722681781546491922006470861294443653103510452907839962704274 190205714.3242732571.4252842285.7246804571.4304339839.6345263492.1420986666.7 23710735895268079132712993524471737351139126479256456225624649409765928340353 330748244.1333627713.5335073027.9410331856.2504376074.1554654861.5676870139.3 478298644.7458404268.6482411179.6578595521.1674773569.6751133431.6939972701.8 847100610189927218098751842840628824586780670270981245928256319395903921528137264.853*******.557340000059090000067090000063240000059620000047305390.4453233534.359207317.5966062499.027*******.51103216372118066302.1 164900000186300000211100000235400000269500000312600000345000000 964615698.7101717171710954545451257615645126301849121002498752404697651 3745889826542327600116492044567125853900879679279057736 1.05136E+11 1.23709E+11 154400000181500000204010328.9233383640284759098.1340492903.7402158285.8 161211289.7179080099.3197523179.2270818555.8433092003.610735770861168304306 77361532.9996243298.14126954476.9165253183.6244124115.7306044205.9355168715.4 188039209.9189106529.2201450800.2230317882.8271183082.2281398705.9378660015.8 778875102428776225954699120804120 1.12911E+11 1.31122E+11 1.60164E+11 1.73569E+1120524886616 81797712268981111664106945695221153251786416387454417155355497067226476865 787188204789150621130698562023844 1.1216E+11 1.3677E+11 1.42255E+11 1.61162E+11 1361360292145548279515841285111849400398250842142630701523143893839184 1152418382116000232912339910711430951432175872764722554965172752770608 265040036.1274960699.9322128019.3410669262.9541973362.5585364635.4767102679 6405440200719837346978203678938671371951103157745881237004540513098633902853630203.2984830159.710771528871238251658152891617516665447951960863536 330391143236469835173971866811459532067650504580536535038880765057993856930052446914658389813515088999877096861140595736313027415252489912509.32.15022E+11 2.49039E+11 2.98667E+113.96867E+114.43619E+11 4.8878E+11 15009384585168661567331882315029022966364109304595794363390056476740251071473 1230500000148540010016664000001987300000234469990029256000003599300100 425725335848634875575077222330676178648487151061291320971377015557934473 1.13723E+11 1.26747E+11 1.3603E+11 1.54231E+11 1.94569E+11 2.20078E+11 2.473E+11 3.4537E+11 4.04731E+11 4.48925E+115.56983E+117.34602E+118.46161E+119.26547E+118.97547E+11 1.0089E+12 1.13744E+12 1.3633E+12 1.73072E+12 1.95767E+12 2.29278E+12 3112166848286250417027542202633185987235389175555265992594217731677257 68617435477682492054826600343787639609049616725501901516690811437965494 5.72327E+11 6.41082E+117.26608E+118.77834E+11 1.13951E+12 1.29209E+12 1.49834E+12 360387116004088165509946492797365589718066277842593489497009800115 1.14465E+117.55671E+118.55685E+119.67589E+11 1.1588E+12 1.47067E+12 1.65483E+12 1.93424E+12 10070766721113659535671253671028714754136507194868269802486727871429494515597 182182067.7219878482.2247749327.7316650509425963359.4558589870.9684268280.8 1.40725E+11 1.48949E+11 1.66564E+11 2.04283E+11 2.65382E+11 2.86526E+11 3.62001E+11318124701323802475.5381687073.1430508357.7722780701.115442160042157592937 1.12677E+11 1.30596E+11 1.47735E+11 1.69739E+11 1.91551E+11 2.06919E+11 2.47415E+11 1962050556221502858824171085782112293280246549303228944099122810106390 45168072.2552296083.6555728655.859160575.5175187768.3595796033.66115179737.7 78733538.817854000087702857.1489374185.1498775303.64108985752.2 67225714.2966331428.5764946954.7665429198.2481203226.9194159862.71104295643.4 1126609157113188347727146455977271694781363622430307250254448500002863113071269520029.2788570999.35106101302.5140153753.7169918944.1211192463.7 1715399936190400000019848000002101299968256920012831614999043645900032 249300000267800000282050000285380965.3307047633433954536494791647 2.22704E+12 2.44596E+12 2.71469E+12 3.14928E+12 3.80877E+12 4.29812E+12 4.80012E+12 31897400553800766536447600194657101074208030117556938866364610048022370 66800003272300000073100000080299996891249996810345000001124000000 30832319461322913392793480510112137751010365457570173035563083842363175972319。
《近40年世界主要经济大国GDP排名》我们从中可以看出,中国及世界主要经济大国GDP排名变化的轨迹;在此基础上,我们还可以展望中国经济的发展前景。
一、1970—2008:中国及世界主要经济大国GDP增长历程1、1970—1980:中国经济由贫穷到起跳1970年,中国GDP仅有微不足道的272亿美元,名列世界10大经济大国之后,排第13位(括苏联是第14位);而经济霸主美国这时已跃上了万亿美元级经济大国台阶。
70年代末,中国开始转向以经济建设为中心,从农村到城市都转向抓生产、抓经济,中国经济开始由贫穷到起跳。
到1980年,中国经济总量增加到了3015亿美元,名列世界10大经济大国第7位(括苏联是第8位)。
但是,发展更快的美国的经济总量已达到27956亿美元;日本也跨上了万亿美元级经济大国台阶。
2、1981—1990:中国经济徘徊不前中国经济处于探索阶段的这10年中,没有现成的经济发展模式,只有自己先探索。
以致这段时间人们思想异常活跃,政局不够稳定,姓资姓社争论不休,经济走计划还是走市场尚未作出明确的抉择。
结果是,这10年中,中国经济总量仅增长区区863亿美元,平均每年增长不足90亿美元。
这10年,中国经济徘徊不前,在世界经济大国的排名倒退到第10位(括苏联是第11位)。
这10年中,美国GDP增到58033亿美元;日本增到30522亿美元;德、法、意三国纷纷跨入万亿美元级经济大国行列;英国以9946亿美元的身价,走到了万亿美元级经济大国的门槛。
3、1991—2000:中国经济快速发展1992年春天的邓小平南巡谈话以后、特别是金秋的党的十四大召开以后,中国选定了走社会主义市场经济道路。
从此,中国经济阔步走向市场、走向世界,中国经济迅速发展起来。
到2000年,中国GDP达到10808亿美元,光荣地跨入了万亿美元级经济大国行列。
在这个光荣的10年中,中国经济先后超过了加拿大、西班牙、意大利等国而跃居世界10大经济大国第6位。
Data Source世界发展指标196019611962 Country Name Country Code Indicator Name Indicator CNY.GDP.PCAP.CD阿鲁巴ABW人均 GDP(现价美元)NY.GDP.PC550.6272984599.73615683.7692858智利CHL人均 GDP(现价美元)NY.GDP.PC88.7224976275.0489152170.12208196中国CHN人均 GDP(现价美元)NY.GDP.PC157.1933651171.6359695172.5127542科特迪瓦CIV人均 GDP(现价美元)NY.GDP.PCAP.CDCLA人均 GDP(现价美元)NY.GDP.PCAP.CDCME人均 GDP(现价美元)NY.GDP.PC115.4073134120.1198714125.0272859喀麦隆CMR人均 GDP(现价美元)刚果(布)COG人均 GDP(现价美元)NY.GDP.PC129.9667838145.8479468155.9787896NY.GDP.PC252.4583647276.1183353292.5060777哥伦比亚COL人均 GDP(现价美元)NY.GDP.PCAP.CD科摩罗COM人均 GDP(现价美元)NY.GDP.PCAP.CD佛得角CPV人均 GDP(现价美元)NY.GDP.PC380.4346913354.9134346334.8370102哥斯达黎加CRI人均 GDP(现价美元)NY.GDP.PCAP.CDCSA人均 GDP(现价美元)加勒比小国CSS人均 GDP(现价美元)NY.GDP.PC444.050902471.4653656488.0273825NY.GDP.PCAP.CD古巴CUB人均 GDP(现价美元)NY.GDP.PCAP.CD库拉索CUW人均 GDP(现价美元)开曼群岛CYM人均 GDP(现价美元)NY.GDP.PCAP.CDNY.GDP.PCAP.CD塞浦路斯CYP人均 GDP(现价美元)NY.GDP.PCAP.CD捷克共和国CZE人均 GDP(现价美元)NY.GDP.PCAP.CD德国DEU人均 GDP(现价美元)NY.GDP.PCAP.CD吉布提DJI人均 GDP(现价美元)NY.GDP.PCAP.CD多米尼克DMA人均 GDP(现价美元)丹麦DNK人均 GDP(现价美元)NY.GDP.PC1364.517161503.5370131681.029913NY.GDP.PC203.0322424190.9947668232.775625多米尼加共和国DOM人均 GDP(现价美元)NY.GDP.PC241.5052586210.608129168.9719717阿尔及利亚DZA人均 GDP(现价美元)东亚与太平洋EAP人均 GDP(现价美元)NY.GDP.PC89.8685484879.0010409471.47965617NY.GDP.PC147.112422147.2820433148.6476539 EAS人均 GDP(现价美元)东亚与太平洋地区(NY.GDP.PCAP.CD欧洲和中亚ECA人均 GDP(现价美元)NY.GDP.PC660.3521879694.8412904750.7640459 ECS人均 GDP(现价美元)欧洲与中亚地区(所NY.GDP.PC223.7909553210.8021207200.5620567厄瓜多尔ECU人均 GDP(现价美元)NY.GDP.PCAP.CD阿拉伯埃及共和国EGY人均 GDP(现价美元)NY.GDP.PC934.66449971019.4931551120.872243欧洲货币联盟EMU人均 GDP(现价美元)NY.GDP.PCAP.CD厄立特里亚ERI人均 GDP(现价美元)NY.GDP.PC396.3922533450.0532892520.2061314西班牙ESP人均 GDP(现价美元)NY.GDP.PCAP.CD爱沙尼亚EST人均 GDP(现价美元)埃塞俄比亚ETH人均 GDP(现价美元)NY.GDP.PCAP.CDNY.GDP.PC895.4398009966.57100941046.567062欧洲联盟EUU人均 GDP(现价美元)NY.GDP.PCAP.CDFCS人均 GDP(现价美元)芬兰FIN人均 GDP(现价美元)NY.GDP.PC1179.3530111327.4272241411.702398NY.GDP.PC285.5597939287.3471771291.5558315斐济FJI人均 GDP(现价美元)NY.GDP.PC1343.0826251445.1519141590.196487法国FRA人均 GDP(现价美元)法罗群岛FRO人均 GDP(现价美元)NY.GDP.PCAP.CDNY.GDP.PCAP.CD密克罗尼西亚联邦FSM人均 GDP(现价美元)NY.GDP.PC1380.3062411452.5447091513.651449英国GBR人均 GDP(现价美元)NY.GDP.PCAP.CD格鲁吉亚GEO人均 GDP(现价美元)NY.GDP.PC183.0571148189.6659249195.1135448加纳GHA人均 GDP(现价美元)NY.GDP.PCAP.CD几内亚GIN人均 GDP(现价美元)冈比亚GMB人均 GDP(现价美元)NY.GDP.PCAP.CDNY.GDP.PCAP.CD几内亚比绍共和国GNB人均 GDP(现价美元)NY.GDP.PCAP.CD35.36772768赤道几内亚GNQ人均 GDP(现价美元)希腊GRC人均 GDP(现价美元)NY.GDP.PC533.6863812597.287321630.6139413NY.GDP.PCAP.CD格林纳达GRD人均 GDP(现价美元)NY.GDP.PCAP.CD格陵兰GRL人均 GDP(现价美元)NY.GDP.PC252.0385603253.1447136261.7440955危地马拉GTM人均 GDP(现价美元)NY.GDP.PCAP.CD关岛GUM人均 GDP(现价美元)NY.GDP.PC303.796991322.6688836329.4930578圭亚那GUY人均 GDP(现价美元)高收入国家HIC人均 GDP(现价美元)NY.GDP.PC1225.7432661278.4552171363.741304NY.GDP.PC429.4438809483.1775611521.8597598中国香港特别行政区HKG人均 GDP(现价美元)NY.GDP.PC167.6294522172.1533915181.2586789洪都拉斯HND人均 GDP(现价美元)重债穷国 (HIPC)HPC人均 GDP(现价美元)NY.GDP.PC108.26152108.5278515115.5119361NY.GDP.PCAP.CD克罗地亚HRV人均 GDP(现价美元)NY.GDP.PCAP.CD海地HTI人均 GDP(现价美元)匈牙利HUN人均 GDP(现价美元)NY.GDP.PCAP.CDNY.GDP.PCAP.CD印度尼西亚IDN人均 GDP(现价美元)NY.GDP.PCAP.CD马恩岛IMN人均 GDP(现价美元)印度IND人均 GDP(现价美元)NY.GDP.PC83.8070563787.0434572191.67593045NY.GDP.PCAP.CD未分类国家INX人均 GDP(现价美元)NY.GDP.PC685.6147124739.2764064797.0062884爱尔兰IRL人均 GDP(现价美元)NY.GDP.PCAP.CD伊朗伊斯兰共和国IRN人均 GDP(现价美元)NY.GDP.PC230.9978587245.0024199254.6707674伊拉克IRQ人均 GDP(现价美元)NY.GDP.PC1414.9822691418.125871562.23073冰岛ISL人均 GDP(现价美元)以色列ISR人均 GDP(现价美元)NY.GDP.PC1365.6833431595.8601651132.382866NY.GDP.PC804.4926233887.3367446990.2601522意大利ITA人均 GDP(现价美元)NY.GDP.PC429.1363228452.8340829463.3559415牙买加JAM人均 GDP(现价美元)NY.GDP.PCAP.CD约旦JOR人均 GDP(现价美元)NY.GDP.PC478.9953402563.5867598633.6403152日本JPN人均 GDP(现价美元)NY.GDP.PCAP.CD哈萨克斯坦KAZ人均 GDP(现价美元)NY.GDP.PC97.6215300394.83525295100.6042551肯尼亚KEN人均 GDP(现价美元)NY.GDP.PCAP.CD吉尔吉斯斯坦KGZ人均 GDP(现价美元)柬埔寨KHM人均 GDP(现价美元)NY.GDP.PC111.3882427109.5186252109.5566437NY.GDP.PCAP.CD基里巴斯KIR人均 GDP(现价美元)圣基茨和尼维斯KNA人均 GDP(现价美元)NY.GDP.PC241.5500046243.8383037246.0784669NY.GDP.PC155.596947791.48059299103.5694517大韩民国KOR人均 GDP(现价美元)NY.GDP.PCAP.CD科索沃KSV人均 GDP(现价美元)NY.GDP.PCAP.CD5454.2226科威特KWT人均 GDP(现价美元)NY.GDP.PC355.2909634362.835557406.6181985拉丁美洲&加勒比海地区LAC人均 GDP(现价美元)NY.GDP.PCAP.CD老挝LAO人均 GDP(现价美元)黎巴嫩LBN人均 GDP(现价美元)NY.GDP.PCAP.CDNY.GDP.PC170.0377287160.6442367163.9470377利比里亚LBR人均 GDP(现价美元)NY.GDP.PCAP.CD利比亚LBY人均 GDP(现价美元)NY.GDP.PCAP.CD圣卢西亚LCA人均 GDP(现价美元)NY.GDP.PC369.3613841381.4342699426.8566748拉丁美洲与加勒比海LCN人均 GDP(现价美元)最不发达国家:联合NY.GDP.PCAP.CDLDC人均 GDP(现价美元)NY.GDP.PC93.7322718794.80178117100.4585184低收入国家LIC人均 GDP(现价美元)NY.GDP.PCAP.CD列支敦士登LIE人均 GDP(现价美元)斯里兰卡LKA人均 GDP(现价美元)NY.GDP.PC143.4549242143.0312875139.6734291NY.GDP.PC99.76104283103.7487135104.1106732中低等收入国家LMC人均 GDP(现价美元)NY.GDP.PC134.5555637127.8310093131.1597189中低收入国家LMY人均 GDP(现价美元)莱索托LSO人均 GDP(现价美元)NY.GDP.PC40.6148682241.2119620247.46514188NY.GDP.PCAP.CD立陶宛LTU人均 GDP(现价美元)NY.GDP.PC2242.0158172222.3663662311.798849卢森堡LUX人均 GDP(现价美元)NY.GDP.PCAP.CD拉脱维亚LVA人均 GDP(现价美元)NY.GDP.PCAP.CD中国澳门特别行政区MAC人均 GDP(现价美元)NY.GDP.PCAP.CD圣马丁(法属)MAF人均 GDP(现价美元)NY.GDP.PC164.801114159.2127036181.9528946摩洛哥MAR人均 GDP(现价美元)NY.GDP.PCAP.CDMCA人均 GDP(现价美元)NY.GDP.PCAP.CD摩纳哥MCO人均 GDP(现价美元)NY.GDP.PCAP.CD摩尔多瓦MDA人均 GDP(现价美元)NY.GDP.PC131.9930879133.8462234138.1154367马达加斯加MDG人均 GDP(现价美元)马尔代夫MDV人均 GDP(现价美元)NY.GDP.PCAP.CDNY.GDP.PCAP.CD中东与北非地区(所MEA人均 GDP(现价美元)NY.GDP.PC337.5694522354.3868978369.1352771墨西哥MEX人均 GDP(现价美元)NY.GDP.PCAP.CD马绍尔群岛MHL人均 GDP(现价美元)NY.GDP.PC141.009733133.3798534136.5197547中等收入国家MIC人均 GDP(现价美元)马其顿王国MKD人均 GDP(现价美元)NY.GDP.PCAP.CDNY.GDP.PCAP.CD马里MLI人均 GDP(现价美元)NY.GDP.PCAP.CD马耳他MLT人均 GDP(现价美元)NY.GDP.PCAP.CD缅甸MMR人均 GDP(现价美元)NY.GDP.PCAP.CD中东&北非MNA人均 GDP(现价美元)NY.GDP.PCAP.CD黑山MNE人均 GDP(现价美元)NY.GDP.PCAP.CD蒙古MNG人均 GDP(现价美元)北马里亚纳群岛MNP人均 GDP(现价美元)NY.GDP.PCAP.CDNY.GDP.PCAP.CD莫桑比克MOZ人均 GDP(现价美元)NY.GDP.PC107.8964179121.9496576122.2339867毛里塔尼亚MRT人均 GDP(现价美元)毛里求斯MUS人均 GDP(现价美元)NY.GDP.PCAP.CDNY.GDP.PC46.2281587248.3952327149.57661373马拉维MWI人均 GDP(现价美元)NY.GDP.PC299.1089253287.4146979292.0336202马来西亚MYS人均 GDP(现价美元)NY.GDP.PC2827.996342870.7258583030.339544北美NAC人均 GDP(现价美元)NY.GDP.PCAP.CD纳米比亚NAM人均 GDP(现价美元)NY.GDP.PCAP.CD新喀里多尼亚NCL人均 GDP(现价美元)尼日尔NER人均 GDP(现价美元)NY.GDP.PC134.7041892141.6572158150.8131636NY.GDP.PC92.8118686496.8115643104.1940175尼日利亚NGA人均 GDP(现价美元)NY.GDP.PC128.0438698133.3899924142.7422384尼加拉瓜NIC人均 GDP(现价美元)NY.GDP.PC1068.7845871159.3923571240.677894荷兰NLD人均 GDP(现价美元)NY.GDP.PCAP.CD高收入非经合组织国NOC人均 GDP(现价美元)NY.GDP.PC1441.755661560.3249311667.24743挪威NOR人均 GDP(现价美元)尼泊尔NPL人均 GDP(现价美元)NY.GDP.PC53.2569642154.7838673258.09590314NY.GDP.PC2312.9499922343.2922132448.628633新西兰NZL人均 GDP(现价美元)NY.GDP.PC1426.779641487.274821586.88723 OEC人均 GDP(现价美元)高收入经合组织国家NY.GDP.PC1326.7093261372.4856611462.802088经合组织成员OED人均 GDP(现价美元)NY.GDP.PC80.1734414280.784027697.21971086阿曼OMN人均 GDP(现价美元)巴基斯坦PAK人均 GDP(现价美元)NY.GDP.PC81.4011304786.8713096988.43943612NY.GDP.PC365.9921591396.1558549418.5332202巴拿马PAN人均 GDP(现价美元)NY.GDP.PC252.0972625276.2493947304.2315463秘鲁PER人均 GDP(现价美元)菲律宾PHL人均 GDP(现价美元)NY.GDP.PC254.4440452267.1635299156.6886211NY.GDP.PCAP.CD帕劳PLW人均 GDP(现价美元)NY.GDP.PC117.1840732122.3519051128.2096274巴布亚新几内亚PNG人均 GDP(现价美元)NY.GDP.PCAP.CD波兰POL人均 GDP(现价美元)NY.GDP.PC717.5147481777.2149874852.5000845波多黎各PRI人均 GDP(现价美元)NY.GDP.PCAP.CD朝鲜民主主义人民共PRK人均 GDP(现价美元)NY.GDP.PC360.4992985382.729947407.8528436葡萄牙PRT人均 GDP(现价美元)NY.GDP.PCAP.CD巴拉圭PRY人均 GDP(现价美元)NY.GDP.PCAP.CD太平洋岛国PSS人均 GDP(现价美元)NY.GDP.PCAP.CD法属波利尼西亚PYF人均 GDP(现价美元)NY.GDP.PCAP.CD卡塔尔QAT人均 GDP(现价美元)NY.GDP.PCAP.CD罗马尼亚ROU人均 GDP(现价美元)俄罗斯联邦RUS人均 GDP(现价美元)NY.GDP.PCAP.CDNY.GDP.PC40.5669358340.7197296440.97560208卢旺达RWA人均 GDP(现价美元)NY.GDP.PC83.1985575586.8821048390.79343323南亚SAS人均 GDP(现价美元)NY.GDP.PCAP.CD沙特阿拉伯SAU人均 GDP(现价美元)NY.GDP.PCAP.CDSCE人均 GDP(现价美元)NY.GDP.PC107.4440229113.6467911120.1940656苏丹SDN人均 GDP(现价美元)NY.GDP.PC249.4934927256.1427625255.4462678塞内加尔SEN人均 GDP(现价美元)NY.GDP.PC427.8776114448.9562503471.8774297新加坡SGP人均 GDP(现价美元)NY.GDP.PCAP.CD所罗门群岛SLB人均 GDP(现价美元)NY.GDP.PC149.0708015149.761883154.4140277塞拉利昂SLE人均 GDP(现价美元)NY.GDP.PCAP.CD萨尔瓦多SLV人均 GDP(现价美元)NY.GDP.PCAP.CD圣马力诺SMR人均 GDP(现价美元)NY.GDP.PC65.4702727368.0932775970.79549052索马里SOM人均 GDP(现价美元)塞尔维亚SRB人均 GDP(现价美元)NY.GDP.PCAP.CDNY.GDP.PC130.5448269132.3415809140.1504149撒哈拉以南非洲SSA人均 GDP(现价美元)NY.GDP.PCAP.CD南苏丹SSD人均 GDP(现价美元)撒哈拉以南非洲地区NY.GDP.PC130.3649208132.160942139.9610609 SSF人均 GDP(现价美元)NY.GDP.PC248.5519553264.8007719274.9773914小国SST人均 GDP(现价美元)NY.GDP.PCAP.CD圣多美和普林西比STP人均 GDP(现价美元)苏里南SUR人均 GDP(现价美元)NY.GDP.PC323.467879329.7465576337.5590728NY.GDP.PCAP.CD斯洛伐克共和国SVK人均 GDP(现价美元)NY.GDP.PCAP.CD斯洛文尼亚SVN人均 GDP(现价美元)NY.GDP.PC1983.1065442147.2293112315.846527瑞典SWE人均 GDP(现价美元)NY.GDP.PC100.4398026120.3449656125.5828121斯威士兰SWZ人均 GDP(现价美元)NY.GDP.PCAP.CD圣马丁(荷属)SXM人均 GDP(现价美元)NY.GDP.PC288.0581594270.2796606287.0447884塞舌尔SYC人均 GDP(现价美元)NY.GDP.PC186.750722199.3096146226.7651229阿拉伯叙利亚共和国SYR人均 GDP(现价美元)NY.GDP.PCAP.CD特克斯科斯群岛TCA人均 GDP(现价美元)乍得TCD人均 GDP(现价美元)NY.GDP.PC104.4372029109.0915357114.5403021NY.GDP.PC76.6384536979.1200333781.99461302多哥TGO人均 GDP(现价美元)NY.GDP.PC100.8961202107.6080674113.870118泰国THA人均 GDP(现价美元)NY.GDP.PCAP.CD塔吉克斯坦TJK人均 GDP(现价美元)NY.GDP.PCAP.CD土库曼斯坦TKM人均 GDP(现价美元)NY.GDP.PCAP.CD东帝汶TLS人均 GDP(现价美元)特立尼达和多巴哥TTO人均 GDP(现价美元)NY.GDP.PC631.3320208675.9814448703.7607454NY.GDP.PCAP.CD突尼斯TUN人均 GDP(现价美元)NY.GDP.PC507.9295291284.012776308.5108221土耳其TUR人均 GDP(现价美元)图瓦卢TUV人均 GDP(现价美元)NY.GDP.PCAP.CDNY.GDP.PCAP.CD坦桑尼亚TZA人均 GDP(现价美元)NY.GDP.PC62.3353765763.0355968662.03711347乌干达UGA人均 GDP(现价美元)NY.GDP.PCAP.CD乌克兰UKR人均 GDP(现价美元)NY.GDP.PC175.6452089158.8350377164.5229224中高等收入国家UMC人均 GDP(现价美元)NY.GDP.PC489.9966387602.536383656.372409乌拉圭URY人均 GDP(现价美元)美国USA人均 GDP(现价美元)NY.GDP.PC2881.0997982934.5527783107.937417NY.GDP.PCAP.CD乌兹别克斯坦UZB人均 GDP(现价美元)VCT人均 GDP(现价美元)NY.GDP.PC161.4200947170.431983174.5662992圣文森特和格林纳丁VEN人均 GDP(现价美元)NY.GDP.PC1135.5251961133.4650251208.150861委内瑞拉玻利瓦尔共NY.GDP.PC756.25753.66568911016.528926美属维京群岛VIR人均 GDP(现价美元)NY.GDP.PCAP.CD越南VNM人均 GDP(现价美元)瓦努阿图VUT人均 GDP(现价美元)NY.GDP.PCAP.CDNY.GDP.PCAP.CD约旦河西岸和加沙PSE人均 GDP(现价美元)NY.GDP.PC444.9218638456.5286187482.1603328世界WLD人均 GDP(现价美元)萨摩亚WSM人均 GDP(现价美元)NY.GDP.PCAP.CDNY.GDP.PCAP.CD也门共和国YEM人均 GDP(现价美元)NY.GDP.PC423.2720439431.3539293448.0015975南非ZAF人均 GDP(现价美元)NY.GDP.PC220.3141353197.3911749235.6326419刚果(金)COD人均 GDP(现价美元)NY.GDP.PC226.6702137215.0070573207.7847516赞比亚ZMB人均 GDP(现价美元)NY.GDP.PC280.618588282.8860008278.9637599津巴布韦ZWE人均 GDP(现价美元)196319641965196619671968664.4146993685.3074867699.5309454792.6958602765.0930096767.3241729 73.4203921484.5733973397.47009951103.181173295.4966914890.37132883 195.6490451227.4412949217.9687483232.7477985235.8672598267.2454416126.526884133.7305453135.969396139.1730804148.7210921163.593492 157.0802164164.8306189171.2731734185.3235338193.9225203199.4986938 276.541382332.4838998311.987391285.3511258291.1670233292.4874383345.4389777353.9724108374.5748196396.5118722416.0359034447.5309908 510.3622082539.6376411571.142144609.684056645.8885146633.65330191775.3703852013.2430772243.9315952443.2597912644.7866472712.6124 257.171126271.4584467227.7469052244.6166517249.5837056252.6536196 222.7192964233.8101099245.5769914231.6451766249.7574356277.3914186 74.9942486884.9722742196.78202928103.04351497.3927735395.83650769 161.4649838181.4508671197.3688168215.0468797227.5585749244.864713 818.2393892895.8441636964.27277741037.7967061106.5918571144.312498 211.0880997228.3238383457.9240662452.6758724462.1951938453.9991135159.3201647162.1128248165.0699194176.2562566 1245.6201031372.7687411484.6354881605.7748721732.2843361845.118544 609.4873841675.2416391774.7616093889.659872968.3067818950.54574061142.6648811255.2901441355.7598911458.5064811555.9674521606.520099 1522.3192421707.5039381882.0868582010.2134562034.189051907.077272 296.7886456310.8880731317.0722638316.1762679333.3105543334.650807 1756.8040621922.6975982045.4421462193.061342350.3440292537.3134631592.6144771729.3999781850.9547691959.627832023.6275641896.386749 211.0006339230.4617076266.383987269.5233398216.8797037202.7814405108.314645112.155412596.7313637 41.534523548.01815831240.3186516250.8803136256.0417178233.8545826 701.6204178784.9543484888.9219979981.65239451052.1209931134.356151281.3581927281.770219281.1256123285.8878531290.9211647313.8418113 289.3000678312.2417184332.8987343347.5905254370.187025331.505185 1449.5403151564.1742811678.1081461822.205861935.406752076.946144 577.3467078649.0642575676.8055071685.9266141723.2392256714.4829696 185.5148285200.1959029216.2041998227.2301009240.5594139253.428421 136.5704745118.6351829135.3866741144.010*******.3704057139.9969644456.781517956.6336536768.90979235 103.1604811117.8628141121.69691891.7511617598.156********.6949916 852.1353017965.135********.7737261074.5065061152.0049521124.516636245.9576002260.9718319281.3298836311.5795383 250.7568718288.12872711831.7056562297.9206432723.520953215.6941783125.6494922354.480027 1257.7431621375.9428291429.3193911513.8886741428.4464111412.470279 1126.0193371222.544541304.4538171402.4423541533.6928771651.939377 484.2984577517.6205289552.3633927615.077191636.4100359594.3058232531.701915548.2006322494.1112653412.9165818 717.8669152835.6572525919.77668821058.5035611228.909211450.619652 104.0127021108.5589324104.9921733118.556282121.3807515128.8576693 117.9156302123.730817134.3498164138.8041906143.852*******.87125 253.9588205268.6873262276.2376791299.2261047353.3406198314.6619539 141.7270489120.0012701105.1262372129.3008282156.0767884193.1149376 4980.4297214802.3421664348.8068874480.9802724166.7786014164.996411 395.883877428.8475983452.2013721482.4186757481.6866198506.9853391167.3337991178.8499053182.9741669190.4922388198.4795931205.2883404416.3542127450.7072878473.835452506.0505982505.0932034530.5196636116.875638898.44838617111.3695463119.5164565117.8980133119.601797117.3112562121.2364236152.1246263153.11396158.8878938150.1981713 113.6786855126.5880236132.8352307115.4886688120.0085429125.9990057 137.7072765149.6846342161.5210458162.9170794163.278071168.577523 52.3631102756.7356757158.8051639659.5753206261.0336614462.012208932441.0385552755.6331172780.0927192900.4332182909.6606293175.367369 197.8633756203.021*******.4618292198.2191408204.6516653214.3594774138.4002537142.6533297144.4846301152.1215707157.5089598165.5252097299.139032 397.9025126456.8517201481.4794909520.209296550.225824589.7779271 142.1808863157.4597622169.401313170.1726566170.7573137176.531141950.1030411761.76650308121.5596713157.5917458174.0773185176.4634181.7075695194.4317465 50.431277450.2266324557.7409394463.9210758264.5895066457.19447142 300.9668386312.222826333.1163247344.6492999347.6937057353.4361232 3152.0354453341.3467043579.413963882.8450244060.5727824389.849521734.7227561740.6561391855.4370612151.113591 161.6819257156.2547309175.526079177.9946583164.025*******.6567499 107.3292171112.933727116.9305279124.021077599.1666736396.95829142 152.9758475173.3654431273.5378677285.6090516299.965587306.8572244 1328.0366491541.9473651708.0963561835.8014241991.3606862185.248659 1775.5826551937.8846142164.4688232317.1948842514.0437722662.117492 49.395137748.4101100570.4013663385.1509233177.4984661369.6442393 2622.2202712813.5469762151.2949272191.3125422188.3991391885.156152 1687.5423941821.1572381955.31912123.3882972255.2460682420.378515 1555.3402641678.1733151799.0584291952.5531332071.7248482220.95266 100.947524101.615438101.2468214105.5443028162.3224926277.930823992.45750767101.7849143113.7215593121.6939232135.6467023144.273054 450.1728535469.1547172500.2043053529.1577707572.2977263598.0648637 323.7873794380.5971166438.2700655504.081509496.9345702447.5217334 168.021*******.9354477187.1178275199.9401353207.4270046224.624172132.9563421144.2307126159.2518448177.0374549195.5427857209.7524703929.11636431006.3951931111.025*******.5451331341.8131361497.672471432.5117296468.7810816520.9106594575.0076807646.8227201719.0804919183.714022188.4955868196.4785974202.11469671889.2828512229.4991732209.1588522510.906575 41.2508282841.1168718746.0262540437.5181722846.6780011348.81976891 99.94291944112.020*******.66137496.52426774103.8395426106.5215638780.9959694119.0071686118.9461191120.5476556120.2158941126.4839888128.2346145 256.8816471264.6910774261.9115725262.3415815254.8833534260.1456078 510.9838503485.3000888516.2895551566.5337779625.7155883708.2604816173.3940864187.3207633 154.802209162.7121221154.8478434159.2213846145.4785521135.2268203270.6041428278.1568327283.8191638285.45922473.5855155576.455021779.4009757281.856210784.2148300686.59325764157.010*******.2701526162.1108169170.7669744164.4134995171.5433596156.8025095149.0834348162.1336076170.7879778164.4509997171.5428101 283.6365355305.5950836326.7255205346.427807365.1665405360.0541287 349.3361026373.653487417.2246212500.665701564.6398056611.84641162492.5453462758.9434663007.5979783240.6110373490.5503373683.313694 144.7346614169.8505852179.4417386191.5298453181.6864331188.9803302 308.1952644332.3050031328.484901337.6462466333.2338125314.3510648 237.3445933256.3832013272.6835385240.58424273.9897392294.0924772116.7325801120.7733725125.9245699128.2901557130.9070451129.6798101 87.792046799.93795599109.6200412121.8335393124.8791745124.3495115 118.2057659125.9800685137.9461685161.028*******.9464158174.8134291759.8715494788.1319677807.2751306786.7575745822.9470118814.7371649214.0491618220.0096126224.6496138246.2263148 349.7607692368.8299117385.3438006445.1420905482.7563603527.167359 68.957825676.06941764110.3644674111.5892087112.7235145116.9156032 167.5039403184.9591797201.3404863215.3303173212.9132431218.4930495 583.984816740.7488127701.0707166664.2450294581.0876981574.3172968 3232.2080093423.3962823664.801873972.123094152.0198374491.424305 162.8702327173.4719103175.7350691185.355279180.4856433173.2212379 1257.846581037.3161551055.7626491073.3502881077.4515991142.492624 1069.7674421302.6634381511.3636361778.0126852271.6535433183.150183508.3449318546.1009517582.8671048619.1231671645.4203329681.8071213 484.5258205519.4096915554.7900028591.811904646.2755591684.323726 377.4279087170.4663094232.8114307253.7619344184.1347567206.7225684 209.0673411236.8778754296.3658517335.5531592352.0330754400.5186039 280.021055284.4073324296.5620914280.5736722296.0622495303.5631533196919701971197219731974 870.123169937.59096551096.2771541161.432921622.4555021513.260181 98.88988471111.8227227117.1815931130.1112649155.0784389157.9993803 271.6764349277.6624712288.6745104321.7673081416.5840739486.7126607 174.5961743171.3200388177.5821328200.5714071240.0051702299.546505 204.4579259205.9491868234.1257637289.4980973370.5124346388.1728351 308.023*******.2427887357.417814387.0407113449.9840713527.4464698 480.6270695540.4900482576.9295675647.8881765781.7384152832.2911261 681.6264373742.970792799.5583246914.5093322994.01188251272.526386 653.2380917779.5623039901.36740371088.440271224.4118712672.0183043089.0706583686.9703174883.8128315457.011296 3068.2367413366.0684293730.621814525.8174615966.2772486609.436163 279.848172328.3437923358.2343929415.7285182477.5887306580.5941525 297.9845459331.0554462336.2797085435.909848546.8955929806.7162858 104.7507893113.6221643118.6920544131.266645161.7488059179.0171854 274.7645465313.6428164339.6141689411.4832223530.8656663598.55030111246.0716721350.3617551512.9540321799.699772272.1000732548.122443 531.6002219475.1230372444.316003499.6582259593.5035872978.9128044 193.2310353211.3927522222.4902298230.9622323248.2774601228.0358189 2025.0430042196.1840412475.5629462972.1455453837.1307374317.790522 1077.67871175.9855251322.6414751662.5249132191.0099312684.1918911753.4808421913.6618422152.032452561.9785453235.1338483614.451058 2178.035252436.3416842683.9091773139.880514123.57655234.647834 357.4587473422.4135104466.0437579583.3531542768.7356717987.979665 2731.5404422821.8303623128.7362063807.6287974911.3413425257.69839551.1124488549.5955725635.4122796703.45652331159.4637272430.6190032032.347012241.9713952525.6282122891.9809013257.3058333516.420283233.6117366257.6815833273.8727174232.5687523263.6960824301.3670277103.6440391116.9194529121.098443124.6698378153.488279189.5029864 115.2817839112.4197002122.0065984120.6080525129.6922501 230.2140113228.0174922227.9552378238.0178333309.4918244377.2929222 1284.2123161424.9944971575.5991341811.4619922386.5937042697.3926761498.2764931876.5042242196.7143372860.2806883432.705941 325.4256459351.5758872356.651209367.4041328437.1768654523.8131451 351.941679371.5233846386.4376387.800654414.9062457583.2847892 2254.6048662492.8946372742.5486343152.2190633783.3417974227.175496 825.5234491960.0319*******.4697171384.7384371893.1812422166.181451 254.9604819268.6425082264.2380383282.2236582311.6258359343.0486798 152.1322392155.187761162.8826297172.010*******.9779916240.2644799505.4834072536.1302881581.8204696680.3794827839.8473343916.4445443 79.1359047984.6585741784.1833690796.72963819139.600737215.954891 109.5299325114.404194120.6968307125.201015146.442233166.5642458 1291.349921459.8147621673.3271582043.0974712380.7260032471.720172 340.4678385370.1264155449.3730214541.5624484831.2491371388.887219 2039.1962952538.1876213203.9213613955.3655745356.7905776936.249815 1587.7695791806.4226951815.936272278.8400382819.4511843721.524668 1813.3881262029.9332982221.4220562573.602613088.2145373488.922244 645.6806933751.5893307812.3226492974.02019974.32679491196.021869 486.509885424.084711430.8933204482.6762714558.4737864685.173**** ****.09822003.6470472234.2616662917.6589763931.3016274281.359928134.193724142.4974185152.5537034174.3980326199.6953219228.7611814 141.8548978102.3136237135.297620968.9281984593.927682977.76126294 325.9297662340.7138791414.0851271680.8807191804.939813 348.091536363.1745466441.1046622517.6152435546.0129639710.9629959 236.9905308291.8590112316.8310915339.2753501426.3040608588.79071323989.8032883829.3586714800.8199395131.3322395832.20509713160.55885 551.3158248583.5312253631.216691697.1489958887.39182171152.05019 221.9046588227.5786122234.3004567245.8320079251.460663307.6961627 579.1665678614.0967531668.8021246733.7130746937.40915511188.528803130.3624563132.5484216138.06546131.5018366156.63974192.8490757 4236.7798734827.846725639.881057354.3504138439.804295 160.4265604183.5121135186.7067455198.5799198219.6642732269.0896165 137.3868516148.4032238151.0479806159.9213973185.7614361230.875592 183.9135976196.2990365206.3066415225.3587048278.4306919345.3951475 65.2303488566.5930137772.5947250575.25042926110.3689039134.3906156 3658.9006834260.9911544397.1722325439.4342727383.029*******.449186233.5987368247.3747023266.5719685304.1043089366.5724246441.5229 12479.7252613812.1359116732.9258821421.9646122707.45604 165.0493941169.070663177.432718192.9684658231.1202433260.5214115 325.977418350.7133722399.2933639476.8465062627.84646131104.959424 633.0844767670.7484507717.0582055801.0900976950.40396251200.983354 192.6191969206.2401839216.871556238.7577748295.5494396366.7926949 60.2905760962.9380355574.1357955382.573892594.1066377488.46943115828.4448343874.0611461975.7208631143.6666761245.318421178.9185881182.2105436191.9350101217.5928643266.1697431321.3443681 60.3632390264.1360296778.3056956584.386111889.44795632106.9450059 380.6983942392.0440713403.7116102468.0907948694.1571775839.9236991 4698.9733655139.9700555524.6147276016.7413316656.7520287221.8451542533.7907793322.3674253640.8268224246.2733374361.7378334941.316643 145.8464571147.2852795152.8675218159.2328444197.3310482208.0951822 120.931167223.5068005159.8115407208.6445298251.5179041401.6785695 322.2283434324.4478065334.8688256344.3448447415.38313560.7221099 2446.3354542711.3620143129.6274233801.9730924980.9597585845.028883 2875.2358443284.4380893708.9698354378.2630725641.025*******.810213 69.6674030374.9148907774.7707384384.9107093178.8840047896.71500058 2077.8955432301.5879452761.5923073280.0004784302.0527634584.120072 2626.0701422903.8616433190.8958173666.2700264392.9413944857.244621 2406.6757122649.4309192902.7232763330.6184383985.016074416.5476 342.5001673354.1062183401.9046458472.557281598.60418231954.894616149.8369615169.3644479174.259839148.868854898.36638912132.5890734 637.7087275666.1279125730.4384809780.1930049867.768819964.8447801 487.1641307548.3432894594.7165702641.1059353745.9528204914.5406927 241.7023028186.767559201.0305643211.3956642258.3574707343.2340593232.4411012265.1344479286.7340024333.3738535489.750672537.32034721661.8669451852.3178572044.3923122246.5122092432.2752722614.568984795.7593714921.62125291050.3368871284.8937141724.6708761973.731953 211.6541263220.8516713239.1488397267.2755576332.8435847438.2726937366.5073559430.9457231575.3190561800.4967276 2273.5197822299.0515422594.7939992754.8698813524.6136494390.613645 2760.0676033250.8810363913.3363675585.77855315633.1174 51.8322539758.5690005257.6353372261.8672027370.8745948572.97728172 114.2922542120.9894082125.7649181123.6718567138.3880943163.6853265 805.1775222864.11731441121.7133061455.4352262170.3918766428.790824137.1242264151.314964159.9868082168.4350518202.4334382252.4130222 240.2582503242.9632934243.3097655285.4195999318.1913189347.9989785 812.2616559925.28134361074.5090431370.6828561927.7584292359.28379 184.7052571301.1592454235.2662069308.173271453.6880952 164.5322306171.5766134162.414597176.4236643213.3814324235.2685263 288.6232317303.2749618309.1726057320.9380065357.1789358402.7095072 88.6833992891.7588814695.21153778119.4572225143.7755728128.2941938191.7647649220.0347944217.8942577239.492553298.5706516378.954805191.7263749219.9476176217.8085544239.3832002298.4440086378.7765862 386.0844301417.1105075451.1239745511.1041061595.2092496806.0094131 634.7682803663.826747724.0792668771.8443215825.63274621005.2087593972.0027494493.4486634869.6196525718.1906286926.9705477675.24265 243.0661062251.5228537297.4864261310.6688442455.9999182526.9598234 314.1798528343.8811821400.5826885546.5706109644.0939568737.7706478 364.0402098335.5463471392.4394704448.0579087458.4306249705.6591157132.119071128.7457325134.6432605153.4020682165.5783267163.1126061 131.5697521120.0539215131.0988164149.3510118176.4737531237.8139473 186.9124731192.1586577194.2870346209.3788474269.8700005332.1323273830.8400313868.7668701937.67999331118.3496981331.9703582048.039641 256.3805736280.7173972323.5604409422.6355992506.7609842645.4371606 573.0681351491.3994389456.5430211560.1342289688.4265615930.164658 127.5327882133.34233145.7957956149.2695714165.9249372199.2577251 238.3240868254.0194562270.6733168302.6729166383.7739434476.2697294 717.0600492760.5894615996.054849775.96677641404.6299981448.240452 4802.6424855246.9617465623.5884456109.6924196741.1011337242.324202 185.9961125203.9643145219.2874903298.3343776322.5691138348.139**** ****.8056191211.5551721304.5590141387.1770541636.6471582364.38332 3605.8020483476.1904763619.718314040.7894744185.7142864393.333333734.9564919800.4699378866.4659709979.64857271171.5979311323.660167 754.9138848810.7661943874.4494048897.38176841202.4683591477.0232 258.6190224243.7635593272.0760665292.2956445362.8285429430.6908308 474.882125426.802812381.530122417.7108172524.8245047606.5918077 347.0788607361.9085608404.5651934480.4582727573.7101701667.2724903。
国家(亿USD)1973197419751976197719781979198019811982198319841985美国13700149001620018100201002280025400277003100032300351003900041800中国1368142316121516172314821766189419412032228525743067日本42494716512957647094996710400109001200011200122001290013800德国3855430947485030581171668529919677467515745870177089法国2615282235563673405450016050690360525746550352175435巴西793105112371527176220082250235026362817203320902229英国1830197723642272256532514225541951504910465743884643意大利1691192321942165248230363793459841504117426942194357俄罗斯联邦印度870101310021045123613971557189619692042222121592366加拿大1289157517072028207821472387268930073079333834713557西班牙76494411141151128615592084226019691903166016711755澳大利亚6448989811060111211941360151217851957178719511821墨西哥55372088089081810251345194425011737148917561845大韩民国137192215296379511656638715762845932966印度尼西亚172272321393484543551780925947854876873荷兰6697929321017118814531664180815201468142113331332土耳其257356446513587651894688710645617600672瑞士1099100610311028981995沙特阿拉伯1444504656387408011117164318391529128911931039瑞典552614770831878971114713211205106397710161063波兰710比利时4725546497028181000114912531035910861823852挪威223269326356411460525637629619608611643阿根廷5257245245125685816937707878431040791884奥地利293349398426511616734815705707715674688南非284357369355394453559807868801860852671阿拉伯联合酋长国147192249238312436493466428418406泰国108137149170198240274324348366400418389丹麦300333396437489593692697604589592577612哥伦比亚103124131153195233279334364390387383349委内瑞拉玻利瓦尔194291314363423465558671755767786560579希腊213242272297345422520542499521471458456马来西亚8210199118140167216249255273307346318芬兰192246291315331358439530518522503521550智利1641557299134154207276326243198192165中国香港特别行政8094100129157183225288309322298334355以色列92126123125138136175218232246274260241新加坡37525663667593119141160177196190葡萄牙149173191201212232263325316301269249268尼日利亚152248278363360365473642599498350282284阿拉伯埃及共和国9690114134146149182229234256281306347菲律宾101138149171196227275325356371332314307爱尔兰73779292109142178211200208201195206捷克共和国巴基斯坦6388113133151178197237281307287312311阿尔及利亚87132156177210264332423443452488537579哈萨克斯坦罗马尼亚秘鲁107135164155142122155207250248191198188科威特54130120131141155247286251216209217214卡塔尔8242533364156788776656762乌克兰匈牙利8896109127142166191222227231210204206越南141伊拉克65130161194233277396476326368375425442孟加拉国8112519410196133156181198181172197216安哥拉68摩洛哥62779096111132159188153154139128129斯洛伐克共和国61615858阿曼51621262727376073767988100厄瓜多尔26394757697896119140132112114118克罗地亚阿塞拜疆卢森堡26323134384755605046454445斯里兰卡29363836412734404448526060多米尼加共和国232936404648556673808610350白俄罗斯苏丹3139486075818476959385100125保加利亚200201198170174176斯洛文尼亚危地马拉26323644556169798687919597乌拉圭4041353741497210211092514947突尼斯27354345516072878481848384乌兹别克斯坦塞尔维亚立陶宛黎巴嫩哥斯达黎加15172024313540482626404648加纳25292828323740444240414445中国澳门特别行政区10101212也门共和国肯尼亚25303335455362736964606261埃塞俄比亚7376858094巴拿马14161820212528384348495154约旦9121416212633404448505251拉脱维亚喀麦隆18232831344458677673747881塞浦路斯5671013222122222324玻利维亚13212427323844455956546254土库曼斯坦科特迪瓦253139476379911028476686870巴拉圭10131517212634465854564432坦桑尼亚萨尔瓦多14171923293135363434353738特立尼达和多巴哥13202425313646626880787874爱沙尼亚阿富汗172224263033373635赤道几内亚111111赞比亚24292427252834394039332723尼泊尔10121615141619192324242626波斯尼亚和黑塞哥维那博茨瓦纳2344568111110121211洪都拉斯9101113171923262829313336加蓬7152230282430433936343633乌干达17212424292421121322223635刚果(金)7996102961231541511441251371107972牙买加19242930332624273033362421刚果(布)56888912172022212222格鲁吉亚塞内加尔15172223232632353231282730冰岛11151416222528333432272829阿尔巴尼亚1920巴布亚新几内亚13151415161923252524262624柬埔寨76莫桑比克353536323445纳米比亚222018191614毛里求斯781012111111111011马里6589111216181513131313亚美尼亚布基纳法索78910111517191818161516马其顿王国马达加斯加17192322242735403635352929津巴布韦33404443444452678085786456乍得67999111010988910马耳他34556810131212121111蒙古2326272122老挝1824巴哈马76667811131416172023海地尼加拉瓜11151618222116212525283127贝宁56778912141313111110摩尔多瓦塔吉克斯坦科索沃卢旺达33678910121314151617尼日尔9101011131821252220181514吉尔吉斯斯坦马拉维45678911121212121211几内亚黑山毛里塔尼亚3455556778877斯威士兰2333334565654斐济46777810121212111211巴巴多斯33445679910111112多哥466688*********厄立特里亚莱索托1211233444443布隆迪334456891010111012塞拉利昂66767101111111310119中非共和国3345567877769马尔代夫000111佛得角111111不丹11222伯利兹1111112222222圣卢西亚1121222利比里亚4566778989889安提瓜和巴布达111111222冈比亚1111122222222东帝汶塞舌尔0000111121122几内亚比绍共和国1111111122211所罗门群岛1111112222232瓦努阿图1111111格林纳达111111111圣基茨和尼维斯0000000011111圣文森特和格林纳0000001111111萨摩亚1111科摩罗111111多米尼克000111111汤加00000111111密克罗尼西亚联邦1圣多美和普林西比帕劳基里巴斯0110000000000马绍尔群岛00000图瓦卢伊朗伊斯兰共和国2584434896367487308629009711215147215311707波多黎各7077829099112128144160168173192203新西兰127138127134152183204229240237238213242古巴100114130138142178196199202210222240229利比亚阿拉伯叙利亚共和32526876779399131155163176175164巴林313536373937海峡群岛文莱达鲁萨兰国4111214171928494443383835百慕大333445567891010约旦河西岸和加沙摩纳哥567781012141211111011列支敦士登2223345555555阿鲁巴马恩岛安道尔共和国2222334444333法罗群岛格陵兰1222344544444圣马力诺苏里南345678991010101010圭亚那3455555665545吉布提3法属波利尼西亚467781012141313131415新喀里多尼亚5688881012109889开曼群岛北马里亚纳群岛朝鲜民主主义人民共和国关岛库拉索美属萨摩亚缅甸马约特岛美属维京群岛444455678891010南苏丹圣马丁(法属)索马里5578566678789圣马丁(荷属)特克斯科斯群岛直布罗陀19861987198819891990199119921993199419951996199719981999 4420047000506005440057500593006260065800699007340077500826008740093000 2978270430953440356937954227440555927280856195271020010800 2050024900302003020031000354003850044100485005330047100432003910044300 1010012600136001350017100181002060020100215002520024400216002180021300 75859179100001010012400125001370013000137001570015700142001470014600 26812941330442564620407339064383546276908397871284385869 57047005851185941010010600109009811106001160012200136001460015000 617077638591894811300120001270010300106001130012700120001220012100 50655168509446024351395139553917404927101959 25342839301830123266274829332842333036663998423242874643 36894215498255555827598257955637564559056138637561686613 24403095365240275210560461265098515159686224572660086179 18341904238530243141329332863150325937094036437640123903 12941403183122302627314536364032421728673329401542124812 11131400187423052638308232993621423451715576516334544454 8017598881015114412821391158017692021227421579541400 18612270242623932949303433623275351241904180386540264115 75787290910711507151015911804130716951815189826932498 14261786193218652382241025102441270231593048264627262682 8708578839531168131313631322134314251577165014581610 14071715193820432444257826702020217525372765253225472588 739639688822646837923940108413911567157217291678 11861476160316222028207923192220241928452758249825562545 772924100110081176119712831182124514891602158215111590 1109111112627661414189722882368257425802722292929892835 9821231132013171648172019311884201423862347207821332123 7951040114612491120120213051304135815111437148813431332 339364363415507516542556593657736788757844 43150561772385398211151250144316801819150911191226 8641074113211011358136715021406153618201844170417371739 3493643923954034124935588179259721067984862 589453584421470517585581565749683858913980 538626727755933100311081038111213051380134713531332 28232235338844049159266974588810091002722791 72390010721168138912531102873100613081283123012981303 177209246284316364445477552713758828794730 40950559668876988810401200135514421590176316691633 2973554394465255926586597479601051108510981108 1852082533043614314906006928089471046958860 382475556598777880106293798411651212115712291264 202234228238285273327214237281353362321348 359405350396431370419466519602676784848907 299332379426443454530544641741828823722830 278329366380478483542508554670740812881964387284331389456578649595639622 319334385402400455486515519606633624622630 637667591556620457480499425418469482482486269249249234213204210222221169 381404415383288251264301355353353421356 180239124206263345361348449537559592568515 179224207243184110199239248272315304259301 5154606574697672748191113103124 641747827815775739656526482446502419316 238261286292331341380394424456459465480483 26336725463659699132163207247268272287 400437434484101105179 212238256268301310317332338379407423441457 647480931031225853415075776462 170187222228258278285268304330366334400397 799510198117131143161197253273270293299 73788494117113125125129138153158141157 10391919510411312015118620221323623316724818210310914622023323525123189885040333132404446 66839310012713715415817620720618519421264677070809097103117130139151158157 615854677197113130145164181196212217174178170163149140148141152121 160206155153124114708912813890117113107 2032842302172071091041089713189101131132174127125127144209212204217223 727178847794104114130147158178194183 5974828493112129150175193205240254240 90971011011231311551461561801962072182291341381301311291341391471501712141621761051038674707984101113110 33272845557596117137158172174 5558616974728696106117118128141158 5751525259666460546569697577 141821253035465359666667625956596554424358686376 72808483868282587190120131141129 9810410811412113414188697685898178 5656494953586673777993101109115 6265614140425356626769727982 57687774684845515256616673 1061231251111121241141359287979896105 3137434656586966749393899698 4043464749535657606774798583 24303132323232262524252625 921011039810810511211083110121117128126 3537404453626469698187897973 514443504643455365779397 38404244485360698195103111120125 48484543515455464953585760683847515657 11111122123559 1723374033343233333533393231 2930353536393437414445494950131928374147 1420263138394142434848525259 3842403630313435343940475254 3433384260545644425057534547 3963655343332932405860636660 81778990949182107585658616247 2833384446413549495865758788 182322242827291918212523192477633727252731353628 4250504957566057394951475152 3954605664687061637073748387 222221232111712202430222734 263137353238445055465249383525283435343135 5224212325272020222232384244 1519212224252828333535363434 1519212227293233364044424243 171919202424282718252625262623211312131516161918 202426263131222319242624283045472326344444373637 3326242531273034303240353737 6267788388866866697186856469 1112151417191915121416151715 1418202125283027303637363839 29303236262413891513121111 1811679101113151819171315 2527283132313131333436505460352118212730323841 29392610101518183032333436371316161518191621152022222324363123241718171916122625191613121091311192224242619202081314192019 192223222523231616192018212027262320171718181612 1212141619221821121423271818 192024242730333334373938363589101010141513131414141414 567711121314141716171615 1312111213141516182021211719 1314151717171616171920222425 111214141616171210131515161655567777 34445677788888 12111111111211991091098 571197878999977 111213131514141391111101011 11222233445556 22333345455556 22333222333344 23344456666777 22334455566677 8101084322112344 23344445555667 2233377878888822334445555666 12222322233322 22333344556655 11112222222333 12222233333334 11112222222333 11222222233333 11111111222322 22223233222222 11122222222233 11111111222222 111112222222221111111111 00000000111111 111111111111110000000000 198812791163114011606016719081106105310271047 220239262283306323346369397426453482541578 300395442430445418407458543628689649552577 242252275270286243221224284304250254257284289320339307286255279307273305 13311410699123130133137101114138145152159 31343739424648525658616362665963 2428273035374241414751524146 1213141516161718192027293133283234373942 1518202025252726273131282929 81112111415161719242523252791011121314151717910121416 5678101112101012121212121111 689910101091012121112119 1011136444467999954444344567777 4445555555555 2325272632333637354040363838 1215212225272931303636333231101011121316171820910101192000200120022003200420052006200720082009201020112012 99000102300105900110900118000125600133100139600142200138600144500150900 120001320014500164001930022600271003490045200499005930073200 473004160039800430004660045700436004360048500504005490058700 189001880020100242002730027700290003320036200330003260035700 133001340014500179002060021400226002580028300262002550027700 644755365042552566388822109001370016500162002140024800 148001470016100186002200022800244002810026400217002250024300 110001120012300151001740017900187002130023100211002040021900 25973066345143035910764098991300016600122001490018600 47474924522861767216834294911240012200136001680018500 7249715473478659992211300128001420015000134001580017400 58036089686388381040011300124001440015900146001380014900 416938043971468461556965749885711060092421130013700 5814622164917003759884899523104001090088241040011600 533450465759643872208449951810500931483411010011200 165016041957234825682859364643225102539670808468 385140074378538360996385677778268708793477428363 266619602325303039224830530964727303614673117731 249925502786325036303725391243415032492352946357 188418301886214625033156356638494763376745085768 247322742510314736213706399146254862405846195381 171319041982216825283039341742535294430946985145 232723252528311736173774400045965074473446675115 168317091919224926003041340039354539374841784858 284226871020129615311832214126083267307136874460 192119172075253929143050325037504142381837664185 132911851111168221912471261028622739283036354082 104310331098124314781806222125823148270329763602 122711551269142616131764207124702726263531893456 160116051739212624472577274431143439311131223327 100498798294911721465162720762445236228883317 1171122992983611251455183523043156329439383165 124412981461192922802401262130493412321829912987 9389281008110212471380156618682227192923782787 121812461352164318911958207924612720239723652661 7526866737409571231154717311796172621632486 169116661638158616591778189920712154209322452437 124912291130118712661340145516712017194921742429 95991190693410931235139116841668175921322397 117312031323161918541918201823172519234122722375 4604805916778781122146916592071168619682359 998976879829788897107513051628189021892295 8107638148399141031122214941736168319962248 97510571236159118692033223726002637223120532173 58864478495311401301148318052254196219772152 7407237238329801096127514321639161817692111 5485525716808501023117213581710138116201887 18322224630843257181010491334115314801862 371402458595755989122616932001161116161798 53353956861369779492310721268126915391767 377349381479594808101611471474105912431766 178175194235317430605795115097612731730 313380424501649861107814271800117213641652 46452766483510191103112513611542126612861400 31232735139645452960971091197210641240 2591891902583134515708656428111154 47147047651956660361968479689410041106 91891141401982824186048427558251010 3703774044985695956567528899099081002 287303346458561613690841979872871960 199199200215247309368419606469578718 159213247284326369417455542520580670 215231265341410448499593699634609639 5357627387132210330489443529634 203202226292341377426513578519530595163157171189207244283324407421496592 240249266213220340360413458468516556 127124146178231302370453608493552551 124134150178217274364465580546670551 129139160207253289332421518486477535 200205231292338357389473546491469495 193187208219240272302341391377413469 228209136120137174196234304305394467 215221231275312323344389449435442459 13811497101120143170223279328393454 61114151196237252292390478401384450 114122142186226260301391473368363427 173177192201218219224251301349390422 159164168175186200225263298294362410 5053627689107204246285260322392 61657079103118146181207213283364 9699107118139168191217269251310338 127130131149161187225272305306322336 82827886101123152196266320297317 116118123129142155171198230241268307 859096102114126151171220238264288 788393112138160199288337259240283 10196109136158166180207237222225255 9397106133158170184218253235231247 848179818895115131167173197244 293545606881103127193187200241 104105115137155164174198234230229241 71645056707593122169143183239 102104108117128141143168207214229237 131138143150158171186201214207214231 828890112129161185217280197209225 57627398120139168220239192188222 25434857687797119142172203 13172130528296126184122145198 323637445472107115146128162192 55606163738191103126129160189 55576784100109124153185171166181 56606181100103113124134115149176 717678828997109123138141153173 51474961728795116145109132171 625862637992100119144158172168 43475557657288100117112131156 90919794101113123132134124139151 322830354661778411996120147 31323440516477102128108116144 47495369808794113134128129143 877989110133163167204169121126141 37414457758491107130121119130 3531303539495663807995129 3740434753637386104104112129 4241424757667180999792128 39353449667380888889111123 4645485664636578968897113 2426334449535971879094106 19212428364964921178694102 2628334351555868848388102 3634384855606682989391102 394544554450557394858799 676863575858545344587599 141720274453617084718595 403943515660647586818289 111314162025344256466286 171818202427354254587283 636570697177808382777878 373532283742496064656673 394140414549525764626673232428364043475567666673 131517202630344461545870 91112162123283752505665 182527343637394756545664 171716182126313747535664 181922273134364354535460 141516192225283851474859 171727242628313541475157 312931343729284238424751 101213172123273745414146 131313161822303436303641 151312192426293130303740 171718232730313436293238 262625272830323437364137 131315171921222532323236 67791111121314192126 77691214141616172224 8888911121316182023 689101112141720191922 101010111314151720202022 68891110131519192121 5668910111316161719 45567891213131517 899101111121314131415 777889101111111212 55545567991012 8889910121314121211 8765667810101111 3333354578911 66777910101081010 2225566788810 443344566678 333344456678 555667788888 444455677777 445556677777 223344556566 223344455556 333344445555 222223333344 222223333333 11111112222 111111222222 111111111122 111111122222 000000000000 1013115411641354163219202229286133823310 617692716748792828862884926952963 5165296558671022113110951340130711741425 306317336359382426527586608 339284198241334440565718932624 193211216218251289333404526539591 80798597112135159185219193229 64626773868897115 605658667995115122144107124 3537394245495459615858 413328313640262729364143476066612525273135374046494819191916161923282934411113151923252832371112131517172023242211111214161717211713889111314151719981113151826293539447777881517192023 6666778810103427。
世界各国历年GDP总序国家名称1960196119621963196419651世界13498.2814007.8615028.2116139.6217646.9219234.04 2高收入10349.8510947.8411823.1912735.1213912.1215108.32 3低中等收入3456.013256.593370.423566.973917.434346.99 4中等收入3248.263035.023128.763275.413671.124059.82 5中高收入2434.042200.442309.562411.602712.093002.53 6欧洲联盟3653.693977.894345.544787.205305.335777.56 7美国5205.315390.515797.486116.706569.127120.82 8中国613.78501.01464.64502.80586.13697.09 9日本443.07535.09607.23694.98817.49909.50 10中等偏下收入11德国12法国626.51683.47763.14855.51949.071021.61 13巴西151.66152.37199.26230.21212.12217.90 14联合王国723.28766.94806.02854.44933.881005.96 15意大利403.85448.43503.84577.11631.75679.78 16俄罗斯联邦17印度18加拿大410.93407.68419.79446.57488.83539.10 19西班牙120.72138.34161.39190.75213.44247.57 20澳大利亚187.88198.71200.96217.33240.07262.11 21墨西哥130.56141.54152.21169.36200.70218.30 22韩国38.9223.5727.4638.6433.5830.18 23印尼24荷兰122.77134.94146.47158.91186.99210.01 25土耳其139.9580.1789.19103.52111.73119.46 26瑞士95.23107.13118.80130.64144.81153.47 27沙特阿拉伯28瑞典148.43161.47175.11189.54211.37232.60 29波兰30比利时116.59124.00132.64142.60159.60173.71 31挪威51.6356.3260.6765.1071.5980.59 32收入低229.76237.76256.28305.13265.16307.34 33阿根廷244.51182.72256.05283.45 34奥地利65.9373.1277.5683.7491.7099.94 35南非73.4277.2182.4691.49100.43109.71 36阿拉伯联合大公国37泰国27.6130.3433.0935.4038.8943.89 38丹麦62.4969.3478.1383.1795.07106.79 39哥伦比亚40.4145.5349.6948.3959.9257.90 40委内瑞拉86.0889.2398.73106.6391.1496.03 41希腊44.4750.1653.2859.4966.8076.01 42马来西亚24.4124.2325.4427.0829.0031.88 43芬兰52.2459.2263.4168.8677.6785.89 44智利42.1247.0555.0354.8357.9460.54 45中国香港特区13.2115.3117.2519.7522.7524.41 46以色列28.8734.8725.9729.9234.0536.63 47新加坡 6.507.457.528.488.559.74 48葡萄牙31.9334.1836.6839.0642.3646.87 49尼日利亚41.9644.6749.0951.6655.5358.7450阿拉伯埃及共和国41.4443.3440.0341.6047.8251.12 51菲律宾66.8572.5744.0048.7552.7157.84 52爱尔兰19.3920.8822.6024.3127.6729.46 53捷克共和国54巴基斯坦37.0740.5542.3345.4151.3058.85 55阿尔及利亚27.2424.3520.0127.0329.0931.36 56哈萨克斯坦57罗马尼亚58秘鲁25.0428.2332.0035.0542.4150.26 59科威特18.2819.0120.7220.97 60卡塔尔61乌克兰62匈牙利63越南64伊拉克16.8418.3119.5419.7823.4025.59 65孟加拉国42.7548.1850.8153.1953.8659.07 66安哥拉67摩洛哥20.3720.2623.8026.5727.9829.48 68斯洛伐克共和国69阿曼0.440.460.560.600.620.63 70厄瓜多尔10.109.799.5910.3811.5612.38 71克罗地亚72阿塞拜疆73卢森堡7.047.047.427.919.039.22 74斯里兰卡14.2014.5414.5912.4113.2216.98 75多米尼加共和国 6.72 6.548.249.4110.268.88 76白俄罗斯77苏丹11.2612.2313.2813.5113.8814.47 78保加利亚79斯洛文尼亚80危地马拉10.4410.7711.4412.6312.9913.31 81乌拉圭12.4415.5017.0915.3919.7518.89 82突尼斯8.668.8010.2710.269.91 83乌兹别克斯坦84塞尔维亚85立陶宛86黎巴嫩87哥斯达黎加 5.08 4.90 4.79 5.12 5.43 5.93 88加纳12.1713.0213.8215.4017.3120.53 89中国澳门特别行政区,90也门共和国91肯尼亚7.917.938.689.279.999.98 92埃塞俄比亚93巴拿马 4.16 4.64 5.05 5.60 6.01 6.60 94约旦 6.00 95拉脱维亚96喀麦隆 6.19 6.58 6.997.247.828.14 97塞浦路斯98玻利维亚 5.63 6.13 6.707.218.139.09 99土库曼斯坦100科特迪瓦 5.46 6.18 6.457.619.219.13101巴拉圭 4.44 102坦桑尼亚103萨尔瓦多 6.26 6.367.067.468.228.78 104特里尼达和多巴哥 5.36 5.85 6.19 6.787.127.37 105爱沙尼亚106阿富汗 5.38 5.49 5.477.518.0010.07 107赤道几内亚0.090.110.130.65 108赞比亚 6.99 6.82 6.797.048.2310.61 109尼泊尔 5.08 5.32 5.74 4.97 4.967.35 110波斯尼亚和黑塞哥维那111博茨瓦纳0.300.330.360.380.420.46 112洪都拉斯 3.36 3.56 3.88 4.10 4.57 5.09 113加蓬 1.41 1.68 1.83 1.54 2.16 2.25 114乌干达 4.23 4.42 4.49 5.16 5.898.85 115刚果民主。
历年世界各国GDP排名?(一)?1949年中国GDP世界排名第X位:179.56亿美元(50年国家外汇储备:1.57亿美元)人口5.42亿1952年中国GDP世界排名第X位:276亿美元[679亿](外汇储备:1.08亿美元)人口5.75亿1962年中国GDP世界排名第X位:467亿美元[1149.3亿](外汇储备:0.81亿美元)人口6.73亿1970年中国GDP世界排名第13位:916亿美元[2252.7亿](外汇储备:0.88亿美元)人口8.30亿1978年中国GDP世界排名第15位:2683亿美元(国家外汇储备:1.67亿美元)人口9.63亿1980年中国GDP世界排名第7位:3332亿美元(国家外汇储备:-12.96亿美元)人口9.87亿1990年中国GDP世界排名第10位:3638亿美元(国家外汇储备:110.93亿美元)人口11.43亿1995年中国GDP世界排名第7位:6913亿美元(国家外汇储备:735.97亿美元)人口12.11亿2000年中国GDP世界排名第6位:10801亿美元(国家外汇储备:1655.74亿美元)人口12.67亿2001年中国GDP世界排名第6位:11592亿美元(国家外汇储备:2121.65亿美元)人口12.76亿2002年中国GDP世界排名第6位:12371亿美元(国家外汇储备:2864.07亿美元)人口12.85亿2003年中国GDP世界排名第7位:14099亿美元(国家外汇储备:4032.51亿美元)人口12.92亿2004年中国GDP世界排名第6位:19787亿美元(国家外汇储备:6099.32亿美元)人口12.99亿2005年中国GDP世界排名第5位:22564亿美元(国家外汇储备:8189亿美元)人口13.09亿2006年中国GDP世界排名第4位:26448亿美元(国家外汇储备:10663亿美元)人口13.10亿2007年中国GDP世界排名第3位:29330亿美元/预测(汇率按7.8计算)(国家外汇储备:12020亿(二)历年世界各国GDP排名1970——2009世界GDP排名1970年世界各国(地区)GDP总值排名(除苏联外,按当时汇率)01----美国--------1,0255亿美元02----日本----------2068亿美元03----西德----------2037亿美元04----法国----------1470亿美元05----英国----------1236亿美元07---加拿大----------851亿美元08--澳大利亚---------429亿美元09---墨西哥----------396亿美元10---西班牙----------390亿美元11----瑞典-----------357亿美元12----荷兰-----------351亿美元13----中国-----------272亿美元★★★★★1980年世界各国(地区)GDP总值排名(除苏联外,按当时汇率)01----美国---------2,7956亿美元02----日本---------1,0279亿美元03----西德-----------8261亿美元04----法国-----------6824亿美元05----英国-----------5367亿美元06---意大利----------4546亿美元07----中国-----------3015亿美元★★★★★08---加拿大----------2689亿美元09---西班牙----------2218亿美元10---阿根廷----------2090亿美元1990年世界各国(地区)GDP总值排名(除苏联外,按当时汇率)01----美国---------5,8033亿美元02----日本---------3,0522亿美元03----德国---------1,5470亿美元05---意大利--------1,1045亿美元06----英国-----------9946亿美元07---加拿大----------5827亿美元08---西班牙----------5115亿美元09----巴西-----------4650亿美元10----中国-----------3878亿美元★★★★★1995年世界各国(地区)GDP总值排名(按当时汇率)01----美国---------7,4005亿美元02----日本---------5,2929亿美元03----德国---------2,4166亿美元04----法国---------1,5257亿美元05----英国---------1,1032亿美元06---意大利--------1,0661亿美元07----中国-----------7006亿美元★★★★★08----巴西-----------6756亿美元09---加拿大----------5760亿美元10---西班牙----------5709亿美元2000年世界各国(地区)GDP总值排名(按当时汇率)01----美国---------9,8247亿美元02----日本---------4,7661亿美元03----德国---------1,8752亿美元04----英国---------1,4409亿美元06----中国---------1,0808亿美元★★★★★07---意大利--------1,0776亿美元09---加拿大----------7242亿美元08----巴西-----------5998亿美元10---墨西哥----------5814亿美元2001年世界各国(地区)GDP总值排名 TOP 40(重新整理) 01----美国--------10,1714亿美元02----日本---------4,2451亿美元03----德国---------1,8738亿美元04----英国---------1,4063亿美元05----法国---------1,3027亿美元06----中国---------1,1590亿美元★★★★★07---意大利--------1,1409亿美元08---加拿大----------6771亿美元09---墨西哥----------6178亿美元10---西班牙----------5775亿美元11----巴西-----------5025亿美元12----印度-----------4775亿美元13----韩国-----------4221亿美元14----荷兰-----------3749亿美元15--澳大利亚---------3685亿美元16---俄罗斯----------3099亿美元18----台湾-----------2644亿美元19----瑞士-----------2473亿美元20---比利时----------2276亿美元21----瑞典-----------2101亿美元22---奥地利----------1887亿美元23----波兰-----------1745亿美元24-沙特阿拉伯--------1732亿美元25----挪威-----------1654亿美元26----丹麦-----------1628亿美元27----香港-----------1626亿美元28---土耳其----------1476亿美元29-印度尼西亚--------1453亿美元30--委内瑞拉---------1249亿美元31----芬兰-----------1219亿美元32----伊朗-----------1188亿美元33----希腊-----------1163亿美元34----泰国-----------1147亿美元35----南非-----------1132亿美元36---以色列----------1103亿美元37---葡萄牙----------1084亿美元38---爱尔兰----------1011亿美元39----埃及------------975亿美元2002年世界各国(地区)GDP总值排名(按当时汇率)01----美国--------10,3831亿美元02----日本---------3,9934亿美元03----德国---------1,9841亿美元04----英国---------1,5636亿美元05----法国---------1,4313亿美元06----中国---------1,2371亿美元★★★★★07---意大利--------1,1843亿美元08---加拿大----------7167亿美元09---西班牙----------6531亿美元10---墨西哥----------6304亿美元2003年世界各国(地区)GDP总值排名(按2004年1月1日汇率)01----美国--------10,8572亿美元02----日本---------4,2907亿美元03----德国---------2,3862亿美元04----英国---------1,7750亿美元05----法国---------1,7316亿美元06---意大利--------1,4554亿美元07----中国---------1,3720亿美元★★★★★08---加拿大----------8505亿美元09---西班牙----------8271亿美元10---墨西哥----------6116亿美元2004年01----美国--------117423.51亿美元--面积--963.14万Km2--人口--29523万--人均-39709美元zo/@]v02----日本---------59487.61亿美元--面积---37.78万Km2--人口--12733万--人均-46719美元QBve:}03----德国---------25862.04亿美元--面积---35.70万Km2--人口---8242万--人均-31378美元u%05----英国---------19448.58亿美元--面积---24.48万Km2--人口---6027万--人均-32269美元:XB04----法国---------18516.13亿美元--面积---54.70万Km2--人口---6043万--人均-30640美元:"&xEN06----中国---------16492.12亿美元--面积--959.70万Km2--人口-131185万--人均--1257美元5t07---意大利--------15758.59亿美元--面积---30.12万Km2--人口---5806万--人均-27417美元(pw08---西班牙---------8361.00亿美元--面积---50.48万Km2--人口---4028万--人均-20757美元W09---加拿大---------8343.90亿美元--面积--998.47万Km2--人口---3251万--人均-25665美元-p)<-10---墨西哥---------6260.80亿美元--面积--197.26万Km2--人口--10496万--人均--5965美元=udmEz国家 2005年国内生产总值(按名义汇率计算) 单位:百万美元1 美国 14,486,6242 日本 4,663,8233 德国 2,730,1094 英国 2,227,5515 中国 2,054,8806 法国1,972,7248 加拿大 1,034,5329 西班牙 1,019,02410 印度 719,819 2006年世界经济排名排名国家 06年GDP1 美国 14,979,1692 日本 5,083,3673 德国 2,812,5584 中国 2,587,9995 英国 2,292,1496 法国 2,108,3077 意大利 1,728,4748 西班牙 1,069,4999 加拿大 1,057,29110 印度 778,521 2007年1 美国 139800 462802 日本 52900 414803 中国 33700 25204 德国 32800 397105 英国 25700 424306 法国 25200 412008 西班牙 14100 308209 加拿大 13600 4147010 俄罗斯 11400 8030 2008年— World 78,360,000 —欧盟 18,930,0001 美国 14,330,0002 日本 4,844,0003 中国 4,222,0004 德国 3,818,0005 法国 2,978,0006 英国 2,787,0007 意大利 2,399,0008 俄罗斯 1,757,0009 西班牙 1,683,00010 巴西 1,665,000 2009年2009年世界各国GDP排名1、美国 14.8万亿2、中国 5.2万亿3、日本 5万亿4、德国 3.5万亿5、法国 2.5万亿6、意大利 2.2万亿7、英国 2万亿8、加拿大 1.5万亿9、西班牙 1.4万亿10、印度 1.3万亿。
世界⼤经济体历年GDP总量排名据世界银⾏数据WDI 世界银⾏(WDI )_1960-2011年世界10⼤经济体GDP 及所占世界经济⽐重(世界银⾏WDI 数据,GDP 单位/亿美元,占世界GDP ⽐重/%)年份世界第1位第2位第3位第4位第5位2011 ?美国 150,940.00 21.572 中国 72,980.97 10.430 ?⽇本 58,671.54 8.385 ?德国35,705.56 5.103 27,730.322010 ?美国 145,867.36 23.108 中国 59,266.12 9.389 ?⽇本 54,588.37 8.648 ?德国32,805.30 5.197 25,600.022009 ?美国140,439.00 24.17 ?⽇本 50,329.83 8.66 中国 49,912.56 8.59 ?德国33,300.32 5.73 26,245.02008 ?美国142,969.00 23.34 ?⽇本 48,798.61 7.97 中国 45,218.27 7.38 ?德国36,345.26 5.93 28,317.92007 ?美国139,950.00 25.08 ?⽇本 43,779.43 7.85 中国 34,940.55 6.26 ?德国133,362.00 26.97 ?⽇本 43,625.90 8.82 ?德国 29,185.55 5.90 中国27,129.51 5.49 24,441.42005 ?美国125,797.00 27.57⽇本 45,522.00 9.98 ?德国27,883.90 6.11英国22,801.14 5 22,569.02004 ?美国 118,123.00 28 ?⽇本 46,059.21 10.92 ?德国 27,452.15 6.51 ?英国22,024.90 5.22 20,556.72003 ?美国 110,892.00 29.613 ?⽇本 42,290.97 11.294 ?德国 24,422.12 6.522 ?英国18,608.10 4.969 18,000.162002 ?美国 105,902.00 31.814 ?⽇本 39,183.35 11.771 ?德国 20,169.21 6.059 ?英国16,120.56 4.843 14,573.262001 ?美国 102,339.00 31.970 ?⽇本 40,954.84 12.794 ?德国 18,909.71 5.907 ?英国14,708.91 4.595 13,397.632000 ?美国 98,988.00 31.970 ?⽇本 46,674.48 12.794 ?德国 19,002.21 5.907 ?英国14,775.81 4.595 13,279.641999 ?美国 93,010.00 29.809 ?⽇本 43,687.35 14.001 ?德国 21,436.18 6.870 ?法国14,574.54 4.671 15,025.561998 ?美国 87,410.00 29.064 ?⽇本 38,570.28 12.825 ?德国 21,844.84 7.263 ?法国14,717.08 4.893 14,559.491997 ?美国 82,789.00 27.400 ?⽇本 42,618.42 14.105 ?德国 21,605.91 7.151 ?法国14,243.94 4.714 13,590.281996 ?美国 77,839.00 25.678 ?⽇本 46,425.44 15.315 ?德国 24,384.98 8.044 ?法国 15,736.01 5.191 ? 12,596.031995 ?美国 73,593.00 24.785 ?⽇本 52,643.80 17.730 ?德国 25,227.92 8.496 ?法国15,699.83 5.287 11,571.191994 ?美国 70,305.00 26.277 ?⽇本 47,789.92 17.862 ?德国 21,462.94 8.022 ?法国13,642.88 5.099 10,605.861993 ?美国 66,143.00 26.554 ?⽇本 43,500.12 17.464 ?德国 20,044.60 8.047 ?法国 12,910.57 5.183 ? 10,209.891992 ?美国 62,915.00 25.629 ?⽇本 37,961.14 15.464 ?德国 20,621.42 8.400 ?法国 13,727.52 5.592 ? 12,658.001990 ?美国 57,548.00 26.272 ?⽇本 30,580.38 13.961 ?德国 17,144.70 7.827 ?法国 12,444.59 5.681 ? 11,334.071989 ?美国⽇本德国法国54,396.00 27.732 29,726.67 15.155 13,538.00 6.902 10,081.57 5.14 8,947.521988美国50,607.00 27.071⽇本29,710.33 15.893德国13,559.92 7.254法国10,034.07 5.3688,590.521987美国46,990.00 28.116⽇本24,486.75 14.651德国12,562.62 7.517法国9,223.66 5.5197,762.931986美国44,250.00 30.08020,208.87 13.737德国10,124.79 6.882法国7,598.87 5.1656,170.031985美国41,848.00 33.660⽇本13,641.64 10.973德国7,088.84 5.702法国5,430.64 4.368 4,642.68 1984美国39,004.00 32.954⽇本12,755.63 10.777德国7,017.00 5.928法国5,202.19 4.395 4,388.31 1983美国35,069.00 30.761⽇本12,001.86 10.527德国7,458.02 6.542法国5,479.14 4.806 4,656.77美国32,277.00 28.924⽇本11,004.10 9.861德国7,515.03 6.734法国5,733.56 5.138 4,909.57 1981美国31,038.00 27.543⽇本11,837.91 10.505德国7,746.28 6.874法国6,044.13 5.363 5,150.30 1980美国27,675.00 25.187⽇本10,709.97 9.747德国9,196.09 8.369法国6,911.41 6.290 5,419.10 1979 97,739.53美国25,435.00 26.023⽇本10,221.90 10.458德国8,528.90 8.726法国1978 84,200.91美国22,760.00 27.031⽇本9,820.78 11.664德国7,165.63 8.510法国5,017.99 5.960 3,251.23 1977 71,374.46美国20,136.00 28.212⽇本6,989.68 9.793德国5,811.10 8.142法国4,068.51 5.700 2,565.49 1976 63,110.76美国18,091.00 28.665⽇本5,679.26 8.999德国5,029.73 7.970法国3,687.82 5.843 2,271.55 1975 58,003.63美国16,234.00 27.988⽇本5,053.17 8.712德国4,747.96 8.1863,570.26 6.155 2,364.25 1974 51,961.98美国14,859.00 28.596⽇本4,647.05 8.943德国4,309.26 8.293法国2,828.34 5.443 1,977.28 1973 44,996.12美国13,693.00 30.432⽇本4,186.40 9.304德国3,855.12 8.568法国2,625.80 5.836 1,830.43 1972 36,807.23美国12,250.00 33.282⽇本3,081.37 8.372德国2,901.22 7.882法国2,018.51 5.484 1,622.00 1971 31,844.71美国11,131.00 34.954德国2,419.14 7.597⽇本法国1,643.16 5.16 1,411.73 1970 28,794.82美国10,248.00 35.590德国2,088.70 7.254⽇本2,059.95 7.154法国1,469.87 5.105 1,247.95 1969 26,483.51美国9,733.85 36.754⽇本1,722.04 6.502法国1,407.25 5.314英国1,126.77 4.255970.851968 24,066.67美国9,014.56 37.457⽇本1,466.01 6.091法国1,298.47 5.395英国1,047.03 4.351879.421967 22,324.648,250.56 36.957⽇本1,237.82 5.545法国1,194.66 5.351英国1,111.85 4.98811.331966 20,986.81美国7,807.61 37.202法国1,105.97 5.270英国1,070.91 5.103⽇本1,056.28 5.033 758.79 1965 19,343.76美国7,120.82 36.812法国1,021.61 5.281英国1,005.96 5.200⽇本909.50 4.702 697.09 1964 17,776.14美国6,569.12 36.955法国949.07 5.339英国933.88 5.254817.49 4.599631.751963 16,224.49美国6,116.70 37.700法国855.51 5.273英国854.44 5.266⽇本694.98 4.284577.111962 15,077.01美国5,797.48 38.452英国806.02 5.346法国763.14 5.062⽇本607.23 4.028503.841961 14,038.85?美国?英国?法国?⽇本5,390.51 38.397 766.94 5.463 683.47 4.868 535.09 3.811 501.01 1960 13,523.32美国5,205.31 38.491英国723.28 5.348法国626.51 4.633中国613.78 4.539 443.07。
历年世界各国GDP 总值排名-更新至2012年2012年世界各国经济GDP 排名排名 (2012年末汇率年末汇率))01----美 国------15.83万亿美元,实际增长率为2.2% ★★★★★★★★★★★★★★★ 1.9(美国对中国美国对中国)) 02----中 国------8.3万亿美元, 实际增长率为7.8%03----日 本------5.3万亿美元, 实际增长率为1.7% ★★★★★★★★★★ 0.638倍(日本对中国日本对中国)) 04----德 国------3.4万亿美元, 实际增长率为0.7%05----法 国------2.6万亿美元, 实际增长率为0.4%06----英 国------2.5万亿美元, 实际增长率为-0.3%07----巴 西------2.3万亿美元, 实际增长率为1.03%08----意大利-----2.1万亿美元, 实际增长率为-2.3%09----俄罗斯-----2.0万亿美元, 实际增长率为3.5%10----印 度------1.8万亿美元, 实际增长率为5.3%国内生产总值(Gross Domestic Product ,简称GDP)是指在一定时期内(一个季度或一年),一个国家或地区的经济中所生产出的全部最终产品和劳务的价值,常被公认为衡量国家经济状况的最佳指标。
它不但可反映一个国家的经济表现,还可以反映一国的国力与财富。
中日钓鱼岛之争背后真正的原因是什么,难道仅是一个荒岛及其周边的资源问题嘛?据外媒报道,中日钓鱼岛之争背后真正的原因是美国挑起货币战争。
我们先看一下1970年之后中日美等世界大国的GDP 排名情况及中国GDP 增速变化情况。
1970年世界各国年世界各国((地区地区))GDP 总值排名(除苏联外,按当时汇率,下同) 01----美国--------1,0255亿美元 ★★★★★★★★★★★★★★★ 37.7倍(美国对中国美国对中国)) 02----日本----------2068亿美元 ★★★★★★★★★★ 7.6倍(日本对中国日本对中国))03----德国----------2037亿美元04----法国----------1470亿美元05----英国----------1236亿美元06----意大利--------1077亿美元07----加拿大---------851亿美元08----澳大利亚-------429亿美元09----墨西哥---------396亿美元10----西班牙---------390亿美元11----瑞典-----------357亿美元12----荷兰-----------351亿美元13----中国-----------272亿美元1980年世界各国年世界各国((地区地区))GDP 总值排名01----美国---------2,7956亿美元 ★★★★★★★★★★★★★★★ 13.37倍(美国对中国美国对中国))02----日本---------1,0279亿美元 ★★★★★★★★★★ 3.4倍(日本对中国日本对中国))03----西德-----------8261亿美元04----法国-----------6824亿美元05----英国-----------5367亿美元06----意大利---------4546亿美元07----中国-----------3015亿美元08----加拿大---------2689亿美元09----西班牙---------2218亿美元10----阿根廷---------2090亿美元1990年世界各国年世界各国((地区地区))GDP 总值排名01----美国---------5,8033亿美元 ★★★★★★★★★★★★★★★ 14.96倍(美国对中国美国对中国))02----日本---------3,0522亿美元 ★★★★★★★★★★ 7.87倍(日本对中国日本对中国))03----德国---------1,5470亿美元04----法国---------1,2198亿美元05----意大利-------1,1045亿美元06----英国-----------9946亿美元07----加拿大---------5827亿美元08----西班牙---------5115亿美元09----巴西-----------4650亿美元10----中国-----------3878亿美元1995年世界各国年世界各国((地区地区))GDP 总值排名01----美国---------7,4005亿美元 ★★★★★★★★★★★★★★★ 12.97倍(美国对中国美国对中国))02----日本---------5,2929亿美元 ★★★★★★★★★★ 7.55倍(日本对中国日本对中国))03----德国---------2,4166亿美元04----法国---------1,5257亿美元05----英国---------1,1032亿美元06----意大利-------1,0661亿美元07----中国-----------7006亿美元08----巴西-----------6756亿美元09----加拿大---------5760亿美元10----西班牙---------5709亿美元2000年世界各国年世界各国((地区地区))GDP 总值排名01----美国---------9,8247亿美元 ★★★★★★★★★★★★★★★ 9倍(美国对中国美国对中国)) 02----日本---------4,7661亿美元 ★★★★★★★★★★ 4.41倍(日本对中国日本对中国))03----德国---------1,8752亿美元04----英国---------1,4409亿美元05----法国---------1,3133亿美元06----中国---------1,0808亿美元07----意大利--------1,0776亿美元09----加拿大----------7242亿美元08----巴西------------5998亿美元10----墨西哥----------5814亿美元2001年世界各国年世界各国((地区地区))G DP 总值排名01----美国--------10,1714亿美元 ★★★★★★★★★★★★★★★ 8.77倍(美国对中国美国对中国))02----日本---------4,2451亿美元 ★★★★★★★★★★ 3.66倍(日本对中国日本对中国))03----德国---------1,8738亿美元04----英国---------1,4063亿美元05----法国---------1,3027亿美元06----中国---------1,1590亿美元07----意大利-------1,1409亿美元08----加拿大---------6771亿美元09----墨西哥---------6178亿美元10----西班牙---------5775亿美元11----巴西-----------5025亿美元12----印度-----------4775亿美元13----韩国-----------4221亿美元14----荷兰-----------3749亿美元15----澳大利亚-------3685亿美元16----俄罗斯---------3099亿美元17----阿根廷---------2687亿美元18----台湾-----------2644亿美元19----瑞士-----------2473亿美元20----比利时---------2276亿美元21----瑞典-----------2101亿美元22----奥地利---------1887亿美元23----波兰-----------1745亿美元24----沙特阿拉伯-----1732亿美元25----挪威-----------1654亿美元2002年世界各国年世界各国((地区地区))GDP 总值排名01----美国--------10,3831亿美元 ★★★★★★★★★★★★★★★ 8.6倍(美国对中国美国对中国))02----日本---------3,9934亿美元 ★★★★★★★★★★ 3.23倍(日本对中国日本对中国))03----德国---------1,9841亿美元04----英国---------1,5636亿美元05----法国---------1,4313亿美元06----中国---------1,2371亿美元07----意大利-------1,1843亿美元08----加拿大---------7167亿美元09----西班牙---------6531亿美元10----墨西哥---------6304亿美元2003年世界各国年世界各国((地区地区))GDP 总值排名01----美国--------10,8572亿美元 ★★★★★★★★★★★★★★★ 7.9倍(美国对中国美国对中国))02----日本---------4,2907亿美元 ★★★★★★★★★★ 3.12倍(日本对中国日本对中国))03----德国---------2,3862亿美元04----英国---------1,7750亿美元05----法国---------1,7316亿美元06----意大利-------1,4554亿美元07----中国---------1,3720亿美元08----加拿大---------8505亿美元09----西班牙---------8271亿美元10----墨西哥---------6116亿美元2004年世界各国年世界各国((地区地区))GDP 总值排名总值排名01----美国--------117423.51亿美元 ★★★★★★★★★★★★★★★ 7.11倍(美国对中国美国对中国)) 02----日本---------59487.61亿美元 ★★★★★★★★★★ 3.6倍(日本对中国日本对中国))03----德国---------25862.04亿美元05----英国---------19448.58亿美元04----法国---------18516.13亿美元06----中国---------16492.12亿美元07----意大利-------15758.59亿美元08----西班牙--------8361.00亿美元09----加拿大--------8343.90亿美元10----墨西哥--------6260.80亿美元2005年世界各国年世界各国((地区地区))GDP 总值排名01----美国 ---------14,4866.2亿美元 ★★★★★★★★★★★★★★★ 7.05倍(美国对中国美国对中国))02----日本 ---------4,6638.23亿美元 ★★★★★★★★★★ 2.27倍(日本对中国日本对中国))03----德国 ---------2,7301.09亿美元04----英国 ---------2,2275.51亿美元05----中国 ---------2,0548.80亿美元06----法国----------1,9727.24亿美元07----意大利 -------1,7096.68亿美元08----加拿大 -------1,0345.32亿美元09----西班牙 -------1,0190.24亿美元10----印度 ----------7198.19亿美元2006年世界各国年世界各国((地区地区))GDP 总值排名01----美国 --------14.979万亿美元 ★★★★★★★★★★★★★★★ 5.78倍(美国对中国美国对中国))02----日本 ---------5.083万亿美元 ★★★★★★★★★★ 1.96倍(日本对中国日本对中国))03----德国 ---------2.812万亿美元04----中国 ---------2.587万亿美元05----英国 ---------2.292万亿美元06----法国 ---------2.108万亿美元07----意大利 -------1.728万亿美元08----西班牙 -------1.069万亿美元09----加拿大 -------1.057万亿美元10----印度 ---------0.778万亿美元2007年世界各国年世界各国((地区地区))GDP 总值排名总值排名01----美国 ---------13.980万亿美元 ★★★★★★★★★★★★★★★ 4.148倍(美国对中国美国对中国))02----日本 ---------5.290万亿美元 ★★★★★★★★★★ 1.56倍(日本对中国日本对中国))03----中国 ---------3.370万亿美元04----德国 ---------3.280万亿美元05----英国 ---------2.570万亿美元06----法国 ---------2.520万亿美元07----意大利------- 2.090万亿美元08----西班牙 -------1.410万亿美元09----加拿大------- 1.360万亿美元10----俄罗斯------- 1.140万亿美元2008年世界各国年世界各国((地区地区))GDP 总值排名01----美国---------14.330万亿美元 ★★★★★★★★★★★★★★★3.393.39倍(美国对中国美国对中国))02----日本----------4.844万亿美元 ★★★★★★★★★★ 1.06倍(日本对中国日本对中国))03----中国----------4.222万亿美元04----德国----------3.818万亿美元05----法国----------2.978万亿美元06----英国----------2.787万亿美元07----意大利--------2.399万亿美元08----俄罗斯--------1.757万亿美元09----西班牙--------1.683万亿美元10----巴西----------1.665万亿美元2009年世界各国年世界各国((地区地区))GDP 总值排名01----美国---------14.8万亿美元 ★★★★★★★★★★★★★★★ 2.8倍(美国对中国美国对中国))02----日本----------5万亿美元 ★★★★★★★★★★ 1.02倍(日本对中国日本对中国))03----中国----------4.9万亿美元04----德国----------3.5万亿美元05----法国----------2.5万亿美元06----意大利--------2.2万亿美元07----英国----------2万亿美元08----加拿大--------1.5万亿美元09----西班牙--------1.4万亿美元10----印度----------1.3万亿美元2010年世界各国年世界各国((地区地区))GDP 总值排名01----美国---------14.624万亿美元 ★★★★★★★★★★★★★★★ 2.52.5((美国对中国美国对中国))02----中国---------5.745万亿美元03----日本---------5.390万亿美元 ★★★★★★★★★★ 0.93倍(日本对中国日本对中国))04----德国---------3.305万亿美元05----法国---------2.555万亿美元06----英国---------2.258万亿美元07----意大利-------2.036万亿美元08----巴西---------2.023万亿美元09----加拿大-------1.563万亿美元10----俄罗斯-------1.476万亿美元11----印度---------1.430万亿美元12----西班牙-------1.374万亿美元13----澳大利亚-----1.219万亿美元2011年世界各国年世界各国((地区地区))GDP 总值排名总值排名01----美国---------15.924万亿美元 ★★★★★★★★★★★★★★★ 2.152.15((美国对中国美国对中国)) 02----中国----------7.426万亿美元03----日本----------5.974万亿美元 ★★★★★★★★★★ 0.8倍(日本对中国日本对中国))04----德国----------3.305万亿美元05----法国----------2.555万亿美元06----英国----------2.258万亿美元07----意大利--------2.023万亿美元08----巴西----------2.023万亿美元09----加拿大--------1.563万亿美元10----俄罗斯--------1.476万亿美元11----印度----------1.430万亿美元12----西班牙--------1.374万亿美元13----澳大利亚------1.219万亿美元14----墨西哥--------1.004万亿美元15----韩国----------0.986万亿美元2012年世界各国经济GDP 排名排名 (2012年末汇率年末汇率))01----美 国------15.83万亿美元,实际增长率为2.2% ★★★★★★★★★★★★★★★ 1.9(美国对中国美国对中国)) 02----中 国------8.3万亿美元, 实际增长率为7.8%03----日 本------5.3万亿美元, 实际增长率为1.7% ★★★★★★★★★★ 0.638倍(日本对中国日本对中国)) 04----德 国------3.4万亿美元, 实际增长率为0.7%05----法 国------2.6万亿美元, 实际增长率为0.4%06----英 国------2.5万亿美元, 实际增长率为-0.3%07----巴 西------2.3万亿美元, 实际增长率为1.03%08----意大利-----2.1万亿美元, 实际增长率为-2.3%09----俄罗斯-----2.0万亿美元, 实际增长率为3.5%10----印 度------1.8万亿美元, 实际增长率为5.3%表面现象及日本简单短视的思维:日本在70年代之前,GDP一度领先中国7倍多,中国改革开放后,80年代初期,追赶日本,但还是落后日本近3.5倍;80-90年代,由于中国基础薄弱,政局不稳,摸索发展路线的同时,让中国再一次失去近10年的良好发展时期,中国经济在缓慢提升的同时,也导致日本再次把中国远远甩在后面,比例一直保持7倍多至90年代中期。
1970年世界各国(地区)GDP总值排名(除苏联外,按当时汇率)01--美国1,0255亿美元02--日本2068亿美元03--西德2037亿美元04--法国1470亿美元05--英国1236亿美元06--意大利1077亿美元07--加拿大851亿美元08--澳大利亚429亿美元09--墨西哥396亿美元10--西班牙390亿美元1980年世界各国(地区)GDP总值排名(除苏联外,按当时汇率)01--美国2,7956亿美元02--日本1,0279亿美元03--西德8261亿美元04--法国6824亿美元05--英国5367亿美元06--意大利4546亿美元07--中国3015亿美元09--西班牙2218亿美元 07--中国7006亿美元08--加拿大2689亿美元10--阿根廷2090亿美元1990年世界各国(地区)GDP 总值排名(除苏联外,按当时汇率) 01--美国5,8033亿美元02--日本3,0522亿美元03--德国1,5470亿美元04--法国1,2198亿美元05--意大利1,1045亿美元06--英国9946亿美元07--加拿大5827亿美元08--西班牙5115亿美元09--巴西4650亿美元10--中国3878亿美元1995年世界各国(地区)GDP 总值排名(按当时汇率)01--美国7,4005亿美元02--日本5,29亿美元03--德国2,4166亿美元04--法国1,5257亿美元05--英国1,1032亿美元06--意大利1,0661亿美元07--中国7006亿美元08--巴西6756亿美元 06--中国1,1590亿美元09--加拿大5760亿美元10--西班牙5709亿美元2000年世界各国(地区)GDP 总值排名(按当时汇率) 01--美国9,8247亿美元02--日本4,7661亿美元03--德国1,8752亿美元04--英国1,4409亿美元05--法国1,3133亿美元06--中国1,08亿美元07--意大利1,0776亿美元09--加拿大7242亿美元08--巴西5998亿美元10--墨西哥5814亿美元2001年世界各国(地区)GDP 总值排名(按当时汇率) 01--美国10,1714亿美元02--日本4,2451亿美元03--德国1,8738亿美元04--英国1,4063亿美元05--法国1,3027亿美元08--加拿大6771亿美元09--墨西哥6178亿美元10--西班牙5775亿美元2002年世界各国(地区)GDP总值排名(按当时汇率)01--美国10,3831亿美元02--日本3,9934亿美元03--德国1,9841亿美元04--英国1,5636亿美元05--法国1,4313亿美元06--中国1,2371亿美元07--意大利1,1843亿美元08--加拿大7167亿美元09--西班牙6531亿美元10--墨西哥6304亿美元2003年世界各国(地区)GDP总值排名(按2004年1月1日汇率)01--美国10,8572亿美元02--日本4,2907亿美元03--德国2,3862亿美元04--英国1,7750亿美元06--意大利1,4554亿美元07--中国1,3720亿美元08--加拿大8505亿美元09--西班牙8271亿美元10--墨西哥6116亿美元2004年全球各国的GDP排名01--美国11,6675亿美元02--日本4,6234亿美元03--德国2,7144亿美元04--英国2,1409亿美元05--法国2,0026亿美元06--意大利1,6723亿美元07--中国1,6493亿美元08--西班牙9914亿美元09--加拿大9798亿美元10--印度6919亿美元2005年全球各国的GDP排名01--美国14,4866亿美元02--日本4,663,8亿美元(按当时汇率)(按当时汇率)03--德国2,7301亿美元05--中国2,0549亿美元06--法国1,9727亿美元07--意大利1,7097亿美元08--加拿大1,0345亿美元09--西班牙1,0190亿美元10--印度7198亿美元2006年全球各国的GDP排名(按当时汇率)01--美国13,2217亿美元02--日本4,9114亿美元03--德国2,8582亿美元04--中国2,6847亿美元05--英国2,3414亿美元06--法国2,1537亿美元07--意大利1,7840亿美元08--加拿大1,0889亿美元09--西班牙1,0812亿美元10--印度8000亿美元2007年全球各国GDP的排行(按当时汇率)01--美国13,9800亿美元02--日本5,2900亿美元03--中国3,3700亿美元04--德国3,2800亿美元05--英国2,5700亿美元06--法国2,5200亿美元07--大利2,0900亿美元08--西班牙1,4100亿美元09--加拿大1,3600亿美元10--俄罗斯1,1400亿美元2008年全球各国GDP的排行(按当时汇率)01--美国14,3300亿美元02--日本4,8440亿美元03--中国4,2220亿美元04--德国3,8180亿美元05--法国2,9780亿美元06--英国2,7870亿美元07--大利2,3990亿美元08--俄罗斯---1,7570亿美元09--西班牙---1,6830亿美元10--巴西1,6650亿美元2009年全球各国GDP的排行(按当时汇率)8/901--美国15,9242亿美元10--印度1,9468亿美元01--美国14,1500亿美元 03--中国4,4170亿美元04--德国3,8130亿美元05--法国2,9780亿美元06--英国2,7870亿美元07--意大利2,3990亿美元08--俄罗斯1,7570亿美元09--西班牙1,4100亿美元10--巴西1,3600亿美元2010年全球各国GDP 的排行(按当时汇率) 01--美国14,6242亿美元02--中国5,7451亿美元03--日本5,3901亿美元04--德国3,3059亿美元05--法国2,5554亿美元06--英国2,2586亿美元07--意大利2,0367亿美元08--巴西2,0235亿美元09--加拿大1,5637亿美元02--日本5,4800亿美元10--俄罗斯1,4770亿美元2011年全球各国GDP的排行(按当时汇率)02--中国7,4261亿美元03--日本5,9743亿美元04--德国3,3059亿美元05--法国2,5554亿美元06--英国2,2587亿美元07--意大利2,0237亿美元08--巴西2,0235亿美元09--加拿大1,5637亿美元10--俄罗斯1,4770亿美元2012年全球各国GDP的排行(按年末汇率)01--美国15,6534亿美元02--中国8,2502亿美元03--日本5,9844亿美元04--德国3,3667亿美元05--法国2,5804亿美元06--英国2,4338亿美元07--巴西2,4251亿美元10/901--美国15,9242亿美元 10--印度1,9468亿美元 11/908--意大利1,9805亿美元 09--俄罗斯1,9536亿美元。
1950-2013年世界各国历年gdp1950年——1959年世界主要经济体历年GDP排名??单位:亿美元。
资料来源:各国中央统计部门,IMF,UN,WB 数据库。
1950年:美国3002英国361法国287西德232印度211加拿大169日本109?巴西59?1951年:美国3473英国405法国361西德284印度225加拿大205日本151?巴西67?1952年:美国3677英国438法国421西德325中国304加拿大251印度221?日本172?巴西731953年:美国3897英国473法国437西德349中国316加拿大262印度240日本194巴西77韩国131954年:美国3911英国498法国463西德375中国330加拿大266印度227日本216巴西84韩国141955年:美国4262英国538法国498西德427中国349加拿大289日本232印度231巴西91韩国141956年:美国4501英国586法国549西德473中国395加拿大325印度276日本261巴西95韩国141957年:美国4749英国618法国589西德515中国410?加拿大349?日本301?印度284西班牙132巴西106韩国171958年:美国4820英国653法国597西德555中国502加拿大358日本320印度316西班牙152巴西121韩国191959年:美国5225英国685西德610法国553中国550加拿大384日本366印度333西班牙136巴西134韩国19?1960年:美国5433英国734西德726法国615中国556日本4448加拿大410意大利403印度376澳大利亚193?巴西145?墨西哥130西班牙120韩国201961年:美国5633西德826英国777法国665日本535中国495意大利448加拿大407印度399澳大利亚196?巴西145?墨西哥141西班牙138韩国211962年:美国6051西德902英国815法国746日本608意大利503中国467?印度429?加拿大419澳大利亚207巴西190西班牙161墨西哥152?韩国231963年:美国6386西德959英国865法国836日本694意大利577中国502印度492加拿大446澳大利亚226巴西220西班牙190墨西哥169?韩国271964年:美国6858西德1057?英国940?法国927日本816意大利631中国591印度574加拿大488澳大利亚249西班牙213?巴西202?墨西哥200韩国291965年:美国7437西德1150英国1018法国1001日本909中国697意大利679印度606加拿大539澳大利亚267西班牙247墨西哥218?巴西208韩国301966年:美国8150西德1221法国1085英国1081日本1053中国760意大利736加拿大603印度513澳大利亚288西班牙286?巴西259?墨西哥243韩国361967年:美国8617西德1240日本1235法国1173英国1126意大利811中国723加拿大647印度510澳大利亚317西班牙316?巴西293?墨西哥265韩国421968年:美国9425日本1469西德1336法国1280英国1073意大利879加拿大707中国702印度540澳大利亚346?巴西325?西班牙314墨西哥293韩国521969年:美国10199日本1736西德1522法国1398英国1159意大利970中国790加拿大778印度594澳大利亚388?巴西360.7?西班牙360.3墨西哥325韩国65单位:亿美元。