2014年最新显卡天梯图
- 格式:docx
- 大小:413.59 KB
- 文档页数:5
排名型号CPU Mark数值【第1名】Intel Xeon E5-2687W@ 3.10GHz【分数:14564】【第2名】Intel Xeon E5-2690@ 2.90GHz【分数:14511】【第3名】Intel Xeon E5-2680@ 2.70GHz【分数:13949】【第4名】Intel Xeon E5-2689@ 2.60GHz【分数:13444】【第5名】Intel Xeon E5-2670@ 2.60GHz【分数:13312】【第6名】Intel Core i7-3970X@ 3.50GHz【分数:12854】2014年最新CPU天梯图【第7名】Intel Core i7-3960X@ 3.30GHz【分数:12735】【第8名】Intel Xeon E5-1660@ 3.30GHz【分数:12501】【第9名】Intel Xeon E5-2665@ 2.40GHz【分数:12444】【第10名】Intel Core i7-3930K@ 3.20GHz【分数:12088】【第11名】Intel Xeon E5-2660@ 2.20GHz【分数:11961】【第12名】Intel Xeon E5-4650@ 2.70GHz【分数:11730】【第13名】Intel Xeon E5-1650@ 3.20GHz【分数:11538】【第14名】Intel Xeon E5-2470@ 2.30GHz【分数:11149】【第15名】Intel Xeon E5-2650@ 2.00GHz【分数:10523】【第16名】@ 2.90GHz【分数:10393】【第17名】Intel Xeon E3-1270v3 @ 3.50GHz【分数:10384】【第18名】Intel Core i7-4770S@ 3.10GHz【分数:10250】【第19名】Intel Core i7-4770K@ 3.50GHz【分数:10134】【第20名】Intel Xeon E3-1280v3 @ 3.60GHz【分数:10110】【第21名】Intel Xeon E3-1240v3 @ 3.40GHz【分数:10048】【第22名】Intel Core i7-4770 @3.40GHz【分数:9959】【第23名】Intel Xeon E3-1290V2 @ 3.70GHz【分数:9942】【第24名】Intel Xeon W3690 @3.47GHz【分数:9915】【第25名】Intel Xeon E3-1280V2 @ 3.60GHz【分数:9843】【第26名】Intel Xeon E5-2640@ 2.50GHz【分数:9746】【第27名】Intel Xeon E5-2658@ 2.10GHz【分数:9738】【第28名】Intel Xeon E3-1270V2 @ 3.50GHz【分数:9730】【第29名】Intel Core i7-4930MX@ 3.00GHz【分数:9596】【第30名】Intel Core i7-3770K@ 3.50GHz【分数:9590】【第31名】Intel Xeon E3-1230v3 @ 3.30GHz【分数:9554】【第32名】AMD FX-9370 Eight-Core【分数:9514】【第33名】Intel Xeon E3-1275V2 @ 3.50GHz【分数:9497】【第34名】Intel Core i7-3770 @3.40GHz【分数:9428】【第35名】V2 @ 3.40GHz【分数:9401】【第36名】Intel Core i7 X 990 @3.47GHz【分数:9377】【第37名】Intel Core i7-4900MQ@ 2.80GHz【分数:9295】【第38名】Intel Xeon X5690 @3.47GHz【分数:9258】【第39名】Intel Xeon W3680 @3.33GHz【分数:9228】【第40名】Intel Xeon E5-1620@ 3.60GHz【分数:9186】【第41名】Intel Core i7-3920XM@ 2.90GHz【分数:9172】【第42名】AMD FX-8350 Eight-Core【分数:9111】【第43名】Intel Core i7-3770S@ 3.10GHz【分数:9084】【第44名】Intel Xeon E3-1275v3 @ 3.50GHz【分数:9043】【第45名】Intel Core i7-3820 @3.60GHz【分数:9028】【第46名】Intel Core i7-3840QM@ 2.80GHz【分数:9018】【第47名】Intel Xeon E3-1245V2 @ 3.40GHz【分数:8984】【第48名】Intel Core i7 X 980 @3.33GHz【分数:8897】【第49名】Intel Core i7-4800MQ@ 2.70GHz【分数:8895】【第50名】Intel Xeon E3-1230V2 @ 3.30GHz【分数:8887】【第51名】Intel Core i7-2700K@ 3.50GHz【分数:8874】【第52名】Intel Core i7-3940XM@ 3.00GHz【分数:8858】【第53名】Intel Xeon E5-2630@ 2.30GHz【分数:8788】【第54名】@ 3.50GHz【分数:8764】【第55名】Intel Core i7 980 @3.33GHz【分数:8729】【第56名】Intel Xeon E3-1245v3 @ 3.40GHz【分数:8714】【第57名】Intel Xeon X5675 @3.07GHz【分数:8630】【第58名】Intel Xeon W3670 @3.20GHz【分数:8620】【第59名】Intel Core i7-3740QM@ 2.70GHz【分数:8599】【第60名】Intel Core i7-3820QM@ 2.70GHz【分数:8556】【第61名】Intel Core i7 970 @3.20GHz【分数:8540】【第62名】Intel Xeon E5-2643@ 3.30GHz【分数:8521】【第63名】Intel Xeon E3-1270@ 3.40GHz【分数:8505】【第64名】Intel Core i7-2600K@ 3.40GHz【分数:8478】【第65名】Intel Xeon X5660 @2.80GHz【分数:8459】【第66名】Intel Xeon X5670 @2.93GHz【分数:8457】【第67名】Intel Core i7-3770T@ 2.50GHz【分数:8449】【第68名】Intel Core i7-4700HQ@ 2.40GHz【分数:8427】【第69名】Intel Core i7-3720QM@ 2.60GHz【分数:8355】【第70名】Intel Xeon E3-1240@ 3.30GHz【分数:8338】【第71名】Intel Core i7-2600 @3.40GHz【分数:8317】【第72名】Intel Xeon E3-1265LV2 @ 2.50GHz【分数:8306】【第73名】AMD Opteron 6376【分数:8225】【第74名】AMD FX-8320 Eight-Core【分数:8189】【第75名】Intel Xeon E3-1230@ 3.20GHz【分数:8145】【第76名】Intel Xeon E3-1245@ 3.30GHz【分数:8048】【第77名】Intel Xeon E5-2620@ 2.00GHz【分数:8039】【第78名】Intel Core i7-4702MQ@ 2.20GHz【分数:7968】【第79名】Intel Core i7-4700MQ@ 2.40GHz【分数:7938】【第80名】Intel Xeon E3-1235@ 3.20GHz【分数:7815】【第81名】Intel Xeon E3-1275@ 3.40GHz【分数:7787】【第82名】Intel Core i7-3630QM@ 2.40GHz【分数:7770】【第83名】AMD FX-8150 Eight-Core【分数:7755】【第84名】Intel Core i7-4700EQ@ 2.40GHz【分数:7601】【第85名】Intel Core i5-4670 @3.40GHz【分数:7563】【第86名】Intel Core i7-3610QM@ 2.30GHz【分数:7546】【第87名】Intel Xeon X5650 @2.67GHz【分数:7545】【第88名】Intel Core i5-4670K@ 3.40GHz【分数:7502】【第89名】Intel Core i5-4670S@ 3.10GHz【分数:7411】【第90名】Intel Core i7-2960XM@ 2.70GHz【分数:7348】【第91名】Intel Xeon X5687 @3.60GHz【分数:7336】【第92名】Intel Core i7-3615QM@ 2.30GHz【分数:7288】【第93名】Intel Xeon E5-2430@ 2.20GHz【分数:7288】【第94名】Intel Xeon E5-2420@ 1.90GHz【分数:7274】【第95名】Intel Xeon E5-1410@ 2.80GHz【分数:7233】【第96名】Intel Core i7-2860QM@ 2.50GHz【分数:7199】【第97名】Intel Core i7-3610QE@ 2.30GHz【分数:7176】【第98名】Intel Xeon W3570 @3.20GHz【分数:7176】【第99名】Intel Core i5-4570 @3.20GHz【分数:7174】【第100名】Intel Core i7-2920XM@ 2.50GHz【分数:7151】【第101名】Intel Core i5-3570K@ 3.40GHz【分数:7120】【第102名】AMD Opteron 6234【分数:7093】【第103名】Intel Core i7-3632QM@ 2.20GHz【分数:7074】【第104名】AMD FX-6350 Six-Core【分数:7039】【第105名】Intel Xeon E5649 @2.53GHz【分数:7037】【第106名】Intel Core i7-2600S@ 2.80GHz【分数:7009】【第107名】Intel Core i5-3570 @3.40GHz【分数:6996】【第108名】Intel Xeon X5677 @3.47GHz【分数:6966】【第109名】Intel Core i7-3612QM@ 2.10GHz【分数:6887】【第110名】Intel Core i5-3550 @3.30GHz【分数:6869】【第111名】AMD FX-8120 Eight-Core (【分数:6844】【第112名】Intel Xeon E3-1225V2 @ 3.20GHz【分数:6823】【第113名】Intel Core i7-2840QM@ 2.40GHz【分数:6766】【第114名】Intel Xeon W3580 @3.33GHz【分数:6762】【第115名】Intel Xeon E5645 @2.40GHz【分数:6753】【第116名】Intel Core i7-3612QE@ 2.10GHz【分数:6740】【第117名】Intel Core i7-2760QM@ 2.40GHz【分数:6714】【第118名】Intel Xeon E5640 @2.67GHz【分数:6712】【第119名】Intel Core i5-4570S@ 2.90GHz【分数:6639】【第120名】AMD FX-8120 Eight-Core【分数:6618】【第121名】Intel Core i7-2820QM@ 2.30GHz【分数:6613】【第122名】Intel Core i5-3550S@ 3.00GHz【分数:6610】【第123名】Intel Core i5-3570S@ 3.10GHz【分数:6605】【第124名】Intel Core i5-3470 @3.20GHz【分数:6603】【第125名】AMD Opteron 3380【分数:6565】【第126名】Intel Core i5-2550K@ 3.40GHz【分数:6540】【第127名】Intel Xeon W5590 @3.33GHz【分数:6517】【第128名】Intel Xeon E3-1220V2 @ 3.10GHz【分数:6464】【第129名】Intel Core i5-3450 @3.10GHz【分数:6463】【第130名】@ 2.40GHz【分数:6411】【第131名】AMD FX-6300 Six-Core【分数:6385】【第132名】Intel Core i5-2500K@ 3.30GHz【分数:6379】【第133名】Intel Core i5-4430 @3.00GHz【分数:6366】【第134名】Intel Core i5-4670T@ 2.30GHz【分数:6351】【第135名】Intel Xeon E3-1260L@ 2.40GHz【分数:6313】【第136名】Intel Core i5-3470S@ 2.90GHz【分数:6265】【第137名】Intel Xeon E3-1220@ 3.10GHz【分数:6258】【第138名】Intel Core i7 975 @3.33GHz【分数:6257】【第139名】Intel Core i5-3350P@ 3.10GHz【分数:6226】【第140名】AMD FX-6200 Six-Core【分数:6217】【第141名】Intel Core i5-2500 @3.30GHz【分数:6214】【第142名】Intel Core i7-2720QM@ 2.20GHz【分数:6197】【第143名】AMD FX-8100 Eight-Core【分数:6174】【第144名】Intel Xeon L5638 @2.00GHz【分数:6157】【第145名】Intel Core i5-3450S@ 2.80GHz【分数:6141】【第146名】AMD Opteron 6174【分数:6097】【第147名】Intel Core i7-2670QM@ 2.20GHz【分数:6069】【第148名】Intel Core i7-2635QM@ 2.00GHz【分数:6014】【第149名】@ 2.90GHz【分数:5991】【第150名】AMD Phenom II X61100T【分数:5979】【第151名】Intel Core i7 960 @3.20GHz【分数:5978】【第152名】Intel Xeon E3-1225@ 3.10GHz【分数:5940】【第153名】Intel Core i7 965 @3.20GHz【分数:5938】【第154名】Intel Xeon X5647 @2.93GHz【分数:5919】【第155名】Intel Core i5-3330 @3.00GHz【分数:5881】【第156名】Intel Core i5-2450P@ 3.20GHz【分数:5873】【第157名】AMD FX-6120 Six-Core【分数:5842】【第158名】Intel Core i5-2400 @3.10GHz【分数:5799】【第159名】AMD Opteron 6212【分数:5776】【第160名】Intel Xeon X5560 @2.80GHz【分数:5775】【第161名】Intel Core i5-3335S@ 2.70GHz【分数:5755】【第162名】Intel Core i5-3330S@ 2.70GHz【分数:5722】【第163名】AMD Phenom II X61090T【分数:5714】【第164名】Intel Xeon E5-1607@ 3.00GHz【分数:5710】【第165名】Intel Core i5-3570T@ 2.30GHz【分数:5705】【第166名】Intel Core i7-2675QM@ 2.20GHz【分数:5698】【第167名】Intel Core i5-2320 @3.00GHz【分数:5676】【第168名】 3.07GHz【分数:5664】【第169名】Intel Xeon X3470 @2.93GHz【分数:5655】【第170名】Intel Core i7-2630QM@ 2.00GHz【分数:5619】【第171名】Intel Core i7 880 @3.07GHz【分数:5509】【第172名】Intel Core i7-3615QE@ 2.30GHz【分数:5495】【第173名】Intel Xeon X3450 @2.67GHz【分数:5492】【第174名】Intel Core i7 940 @2.93GHz【分数:5478】【第175名】Intel Xeon E5-1603@ 2.80GHz【分数:5469】【第176名】Intel Core i5-2310 @2.90GHz【分数:5469】【第177名】Intel Core i7 870 @2.93GHz【分数:5434】【第178名】AMD FX-6100 Six-Core【分数:5415】【第179名】Intel Core i5-2380P@ 3.10GHz【分数:5413】【第180名】Intel Core i7 K 875 @2.93GHz【分数:5404】【第181名】AMD Phenom II X61075T【分数:5383】【第182名】Intel Core i7-2715QE@ 2.10GHz【分数:5380】【第183名】AMD Opteron 6164HE【分数:5351】【第184名】Intel Xeon W3540 @2.93GHz【分数:5323】【第185名】Intel Xeon X5550 @2.67GHz【分数:5306】【第186名】AMD Opteron 6128【分数:5210】【第187名】 2.80GHz【分数:5206】【第188名】Intel Core i7 930 @2.80GHz【分数:5187】【第189名】AMD A10-6800K APU【分数:5184】【第190名】Intel Xeon X5672 @3.20GHz【分数:5148】【第191名】Intel Core i5-2405S@ 2.50GHz【分数:5132】【第192名】Intel Core i7 860 @2.80GHz【分数:5112】【第193名】AMD Opteron 6272【分数:5104】【第194名】Intel Core i7 S 870 @2.67GHz【分数:5102】【第195名】AMD Phenom II X61065T【分数:5093】【第196名】AMD Phenom II X61055T【分数:5076】【第197名】AMD FX-4350 Quad-Core【分数:5057】【第198名】Intel Xeon X5570 @2.93GHz【分数:5027】【第199名】Intel Core i7 920 @2.67GHz【分数:5023】【第200名】Intel Xeon E5630 @2.53GHz【分数:5013】【第201名】AMD A10-6700 APU【分数:4983】【第202名】Intel Xeon X3460 @2.80GHz【分数:4975】【第203名】Intel Core i5-2500S@ 2.70GHz【分数:4971】【第204名】AMD A8-6600K APU【分数:4944】【第205名】Intel Xeon W3520 @2.67GHz【分数:4938】【第206名】AMD Phenom II X61045T【分数:4935】【第207名】Intel Xeon E5620 @2.40GHz【分数:4932】【第208名】@ 2.50GHz【分数:4928】【第209名】Intel Core2 ExtremeX9750 @ 3.16GHz【分数:4921】【第210名】AMD Phenom II X4B65【分数:4892】【第211名】Intel Core i7 S 860 @2.53GHz【分数:4864】【第212名】Intel Xeon X5482 @3.20GHz【分数:4842】【第213名】Intel Core2 ExtremeX9770 @ 3.20GHz【分数:4837】【第214名】Intel Xeon X3380 @3.16GHz【分数:4836】【第215名】Intel Core i5-2400S@ 2.50GHz【分数:4829】【第216名】AMD A10-5800B APU【分数:4798】【第217名】Intel Core i7-3540M@ 3.00GHz【分数:4780】【第218名】AMD FX-4170 Quad-Core【分数:4768】【第219名】Intel Xeon W3565 @3.20GHz【分数:4766】【第220名】AMD Phenom II X61035T【分数:4760】【第221名】AMD FX-4300 Quad-Core【分数:4755】【第222名】Intel Xeon E5530 @2.40GHz【分数:4746】【第223名】AMD Phenom II X4980【分数:4728】【第224名】AMD Phenom II X4975【分数:4711】【第225名】AMD A10-5800K APU【分数:4695】【第226名】Intel Core i5-2500T@ 2.30GHz【分数:4678】【第227名】Intel Xeon E5520 @2.27GHz【分数:4657】【第228名】 3.07GHz【分数:4653】【第229名】Intel Core i5-3380M@ 2.90GHz【分数:4631】【第230名】Intel Xeon E5-2609@ 2.40GHz【分数:4621】【第231名】Intel Xeon X3370 @3.00GHz【分数:4608】【第232名】Intel Core i5-3470T@ 2.90GHz【分数:4595】【第233名】Intel Core i7-2710QE@ 2.10GHz【分数:4580】【第234名】Intel Xeon W5580 @3.20GHz【分数:4576】【第235名】Intel Core i7-3520M@ 2.90GHz【分数:4559】【第236名】Intel Core i3-3245 @3.40GHz【分数:4544】【第237名】AMD Phenom II X4970【分数:4502】【第238名】AMD A8-6500 APU【分数:4489】【第239名】Intel Core i7-4650U@ 1.70GHz【分数:4469】【第240名】AMD Phenom II X4B99【分数:4463】【第241名】AMD A8-5600K APU【分数:4458】【第242名】Intel Core i3-3225 @3.30GHz【分数:4393】【第243名】Intel Core2 ExtremeX9650 @ 3.00GHz【分数:4388】【第244名】AMD Athlon X4 760KQuad Core【分数:4387】【第245名】Intel Core i3-3240 @3.40GHz【分数:4369】【第246名】Intel Core i7-3687U@ 2.10GHz【分数:4362】【第247名】Intel Xeon L5530 @2.40GHz【分数:4351】【第248名】AMD Athlon X4 750KQuad Core【分数:4350】【第249名】Intel Core i5-3360M@ 2.80GHz【分数:4347】【第250名】Intel Xeon X5460 @3.16GHz【分数:4328】【第251名】AMD Phenom II X440【分数:4325】【第252名】Intel Xeon L5520 @2.27GHz【分数:4324】【第253名】Intel Xeon X5450 @3.00GHz【分数:4314】【第254名】AMD Phenom II X4965【分数:4304】【第255名】Intel Core i7-3555LE@ 2.50GHz【分数:4298】【第256名】Intel Core i3-2140 @3.50GHz【分数:4285】【第257名】Intel Xeon X5698 @4.40GHz【分数:4272】【第258名】AMD A10-5700 APU【分数:4251】【第259名】Intel Core i3-3220 @3.30GHz【分数:4233】【第260名】Intel Core2 QuadQ9650 @ 3.00GHz【分数:4224】【第261名】AMD Phenom II X4B60【分数:4224】【第262名】Intel Xeon E5462 @2.80GHz【分数:4220】【第263名】Intel Xeon W3530 @2.80GHz【分数:4209】【第264名】Intel Core i7-4750HQ@ 2.00GHz【分数:4185】【第265名】Intel Core X 920 @2.00GHz【分数:4173】【第266名】AMD FX-4130 Quad-Core【分数:4149】【第267名】@ 2.70GHz【分数:4145】【第268名】AMD Opteron 3350HE【分数:4130】【第269名】Intel Xeon E5440 @2.83GHz【分数:4114】【第270名】Intel Core i3-2125 @3.30GHz【分数:4108】【第271名】Intel Xeon X3360 @2.83GHz【分数:4090】【第272名】AMD A8-5500B APU【分数:4086】【第273名】Intel Xeon E5450 @3.00GHz【分数:4082】【第274名】Intel Core i5-3320M@ 2.60GHz【分数:4078】【第275名】AMD A8-5500 APU【分数:4074】【第276名】Intel Core2 QuadQ9550 @ 2.83GHz【分数:4068】【第277名】Intel Core i5-2390T@ 2.70GHz【分数:4068】【第278名】Intel Xeon X3440 @2.53GHz【分数:4066】【第279名】AMD Phenom II X420【分数:4064】【第280名】Intel Core i7-3667U@ 2.00GHz【分数:4062】【第281名】AMD FX-4100 Quad-Core【分数:4062】【第282名】Intel Core i3-2130 @3.40GHz【分数:4014】【第283名】AMD Phenom II X4955【分数:4014】【第284名】Intel Core i5-3230M@ 2.60GHz【分数:4011】【第285名】Intel Core i7 X 940 @2.13GHz【分数:4008】【第286名】Intel Core i7-2640M@ 2.80GHz【分数:4006】【第287名】@ 1.80GHz【分数:3994】【第288名】AMD Athlon X4 740Quad Core【分数:3983】【第289名】AMD Phenom II X4B97【分数:3973】【第290名】Intel Xeon E5430 @2.66GHz【分数:3965】【第291名】Intel Core2 QuadQ9705 @ 3.16GHz【分数:3947】【第292名】AMD Phenom UltraX4 24500【分数:3945】【第293名】Intel Xeon E5-2407@ 2.20GHz【分数:3943】【第294名】Intel Xeon L5410 @2.33GHz【分数:3921】【第295名】AMD Phenom II X4960T【分数:3907】【第296名】AMD Athlon II X4553【分数:3906】【第297名】Intel Core i3-2120 @3.30GHz【分数:3898】【第298名】AMD Phenom II X4B95【分数:3897】【第299名】Intel Xeon X3350 @2.66GHz【分数:3867】【第300名】Intel Core i7-3537U@ 2.00GHz【分数:3863】【第301名】Intel Core i7-2620M@ 2.70GHz【分数:3852】【第302名】Intel Xeon L3426 @1.87GHz【分数:3840】【第303名】Intel Core i5 760 @2.80GHz【分数:3830】【第304名】Intel Core i3-2105 @3.10GHz【分数:3812】【第305名】Intel Core i5-3210M@ 2.50GHz【分数:3808】【第306名】@ 1.70GHz【分数:3807】【第307名】Intel Core2 QuadQ9450 @ 2.66GHz【分数:3792】【第308名】AMD Phenom II X4B50【分数:3783】【第309名】Intel Core i7 920XM@ 2.00GHz【分数:3764】【第310名】AMD Phenom II X4B55【分数:3763】【第311名】Intel Core2 ExtremeQ6850 @ 3.00GHz【分数:3755】【第312名】AMD Phenom II X4945【分数:3755】【第313名】AMD Phenom II X4977【分数:3750】【第314名】Intel Core2 QuadQ9500 @ 2.83GHz【分数:3750】【第315名】Intel Core i7-3517U@ 1.90GHz【分数:3749】【第316名】AMD Phenom II X4B35【分数:3744】【第317名】AMD Phenom II X4840T【分数:3736】【第318名】Intel Core i5 750 @2.67GHz【分数:3733】【第319名】Intel Xeon X3230 @2.66GHz【分数:3724】【第320名】Intel Xeon L5506 @2.13GHz【分数:3715】【第321名】Intel Core i3-3220T@ 2.80GHz【分数:3703】【第322名】Intel Core i3-3210 @3.20GHz【分数:3697】【第323名】Intel Xeon X3330 @2.66GHz【分数:3681】【第324名】AMD A8-3870K APU【分数:3679】【第325名】AMD Phenom II X4B45【分数:3673】【第326名】AMD Phenom II X4973【分数:3672】【第327名】AMD Phenom II X4940【分数:3671】【第328名】Intel Core i5-2540M@ 2.60GHz【分数:3668】【第329名】Intel Core i3-3130M@ 2.60GHz【分数:3655】【第330名】AMD Athlon II X4650【分数:3653】【第331名】Intel Xeon E5-2403@ 1.80GHz【分数:3651】【第332名】Intel Core i5 680 @3.60GHz【分数:3636】【第333名】AMD Phenom FX-7750 Quad-Core【分数:3616】【第334名】Intel Xeon X5472 @3.00GHz【分数:3615】【第335名】AMD Athlon II X4651 Quad-Core【分数:3613】【第336名】Intel Core2 QuadQ9505 @ 2.83GHz【分数:3605】【第337名】Intel Core2 ExtremeQ6800 @ 2.93GHz【分数:3603】【第338名】Intel Xeon E5607 @2.27GHz【分数:3602】【第339名】Intel Core i3-2100 @3.10GHz【分数:3602】【第340名】Intel Core i5-3427U@ 1.80GHz【分数:3600】【第341名】AMD Phenom II X4B25【分数:3595】【第342名】AMD Athlon X4 645【分数:3595】【第343名】AMD Phenom II X4830【分数:3592】【第344名】Intel Core i5 K 655 @3.20GHz【分数:3582】【第345名】AMD Phenom II X410【分数:3580】【第346名】AMD A8-3850 APU【分数:3580】【第347名】Intel Core i5-4250U@ 1.30GHz【分数:3572】【第348名】AMD Phenom II X4850【分数:3568】【第349名】Intel Xeon E3-1220L@ 2.20GHz【分数:3563】【第350名】AMD Phenom II X4B40【分数:3553】【第351名】Intel Core Q 820 @1.73GHz【分数:3551】【第352名】Intel Core i5-2520M@ 2.50GHz【分数:3545】【第353名】Quad-Core AMDOpteron 2386 SE【分数:3538】【第354名】AMD Phenom II X4925【分数:3520】【第355名】AMD Athlon II X4645【分数:3517】【第356名】AMD Phenom II X4B93【分数:3517】【第357名】Intel Core i5-3437U@ 1.90GHz【分数:3504】【第358名】Intel Xeon E5-2603@ 1.80GHz【分数:3499】【第359名】Intel Xeon E5420 @2.50GHz【分数:3492】【第360名】AMD Phenom II 42TWKR Black Edition【分数:3489】【第361名】Intel Xeon X5365 @3.00GHz【分数:3488】【第362名】AMD Athlon II X4641 Quad-Core【分数:3473】【第363名】Intel Core2 ExtremeQ9300 @ 2.53GHz【分数:3468】【第364名】AMD Phenom II X4920【分数:3466】【第365名】AMD Athlon X4 640【分数:3461】【第366名】AMD Phenom II X4820【分数:3458】【第367名】AMD A10-4657MAPU【分数:3449】【第368名】Intel Core i5-2450M@ 2.50GHz【分数:3447】【第369名】AMD Phenom FX-5200 Quad-Core【分数:3436】【第370名】Intel Core2 QuadQ9400 @ 2.66GHz【分数:3415】【第371名】Intel Core i7 Q 840 @1.87GHz【分数:3399】【第372名】Intel Xeon L5420 @2.50GHz【分数:3389】【第373名】Intel Core2 QuadQ6700 @ 2.66GHz【分数:3373】【第374名】AMD Athlon II X4640【分数:3365】【第375名】AMD A10-5750MAPU【分数:3360】【第376名】AMD Phenom II X4910e【分数:3356】【第377名】Intel Xeon E5606 @2.13GHz【分数:3353】【第378名】Intel Xeon X3320 @2.50GHz【分数:3352】【第379名】AMD A6-3670 APU【分数:3352】【第380名】Intel Core 750 @2.67GHz【分数:3329】【第381名】Intel Core i5-4200U@ 1.60GHz【分数:3305】【第382名】Intel Core i5-2435M@ 2.40GHz【分数:3305】【第383名】AMD A6-3650 APU【分数:3299】【第384名】Intel Core i3-3120M@ 2.50GHz【分数:3296】【第385名】Quad-Core AMDOpteron 2378【分数:3296】【第386名】AMD Phenom II X4910【分数:3291】【第387名】Intel Core i5-2415M@ 2.30GHz【分数:3285】【第388名】AMD A8-5550M APU【分数:3285】【第389名】Intel Core i5-2515E@ 2.50GHz【分数:3282】【第390名】AMD Phenom II X3B77【分数:3276】【第391名】Intel Core i5 670 @3.47GHz【分数:3268】【第392名】AMD A8-3820 APU【分数:3266】【第393名】AMD Athlon II X4635【分数:3261】【第394名】Intel Core2 QuadQ9100 @ 2.26GHz【分数:3259】【第395名】AMD Athlon II X4631 Quad-Core【分数:3258】【第396名】Intel Core i5-2430M@ 2.40GHz【分数:3257】【第397名】Intel Core i7 Q 740 @1.73GHz【分数:3252】【第398名】Intel Xeon X3430 @2.40GHz【分数:3244】【第399名】AMD Phenom II X4810【分数:3244】【第400名】Intel Core2 QuadQ8400 @ 2.66GHz【分数:3241】【第401名】Intel Xeon X5355 @2.66GHz【分数:3230】【第402名】AMD Phenom 9850BQuad-Core【分数:3229】【第403名】Intel Xeon E5410 @2.33GHz【分数:3228】【第404名】Intel Core i5-3337U@ 1.80GHz【分数:3219】【第405名】Intel Core i7 Q 820 @1.73GHz【分数:3218】【第406名】AMD Phenom II X4B15e【分数:3217】【第407名】Intel Xeon E5507 @2.27GHz【分数:3212】【第408名】AMD A8-3800 APU【分数:3197】【第409名】Intel Core i5-2410M@ 2.30GHz【分数:3189】【第410名】Intel Core2 QuadQ9300 @ 2.50GHz【分数:3185】【第411名】Intel Xeon X3220 @2.40GHz【分数:3181】【第412名】Intel Core i5 660 @3.33GHz【分数:3166】【第413名】AMD Athlon II X4630【分数:3158】【第414名】Intel Core i5 650 @3.20GHz【分数:3149】【第415名】AMD A10-4600MAPU【分数:3146】【第416名】Intel Core i5-3317U@ 1.70GHz【分数:3140】【第417名】Intel Xeon E5506 @2.13GHz【分数:3133】【第418名】AMD A10-5757MAPU【分数:3132】【第419名】Intel Pentium G2030@ 3.00GHz【分数:3131】【第420名】Intel Pentium G2130@ 3.20GHz【分数:3126】【第421名】Intel Core i5 661 @3.33GHz【分数:3124】【第422名】Intel Core i7-2637M@ 1.70GHz【分数:3119】【第423名】Intel Core i5-2510E@ 2.50GHz【分数:3116】【第424名】AMD Phenom II X4805【分数:3106】【第425名】AMD Athlon X4 620【分数:3086】【第426名】AMD Opteron 2427【分数:3069】【第427名】AMD Athlon X3 450【分数:3064】【第428名】AMD Athlon X4 630【分数:3063】【第429名】Intel Core i7 Q 720 @1.60GHz【分数:3062】【第430名】Intel Pentium G2120@ 3.10GHz【分数:3055】【第431名】AMD Phenom II X3715【分数:3054】【第432名】Intel Core i3-3110M@ 2.40GHz【分数:3054】【第433名】Intel Core2 QuadQ8300 @ 2.50GHz【分数:3048】【第434名】AMD Phenom 9950Quad-Core【分数:3041】【第435名】Intel Core i3-2120T@ 2.60GHz【分数:3039】【第436名】AMD Phenom II X4905e【分数:3033】【第437名】AMD Athlon II X3460【分数:3029】【第438名】AMD Phenom II X405e【分数:3021】【第439名】AMD Phenom II X3740【分数:3012】【第440名】AMD Phenom 2 X412000【分数:3005】【第441名】Intel Core Q 720 @1.60GHz【分数:3002】【第442名】Intel Core i3-2100T@ 2.50GHz【分数:2998】【第443名】AMD Phenom 7950Quad-Core【分数:2991】【第444名】AMD Phenom II X4840【分数:2981】【第445名】Intel Core2 QuadQ6600 @ 2.40GHz【分数:2974】【第446名】Intel Xeon E5405 @2.00GHz【分数:2962】【第447名】AMD R-464L APU【分数:2960】【第448名】Intel Core i7-2617M@ 1.50GHz【分数:2959】【第449名】Quad-Core AMDOpteron 2374 HE【分数:2951】【第450名】Quad-Core AMDOpteron 2356【分数:2946】【第451名】AMD Phenom 9850Quad-Core【分数:2945】【第452名】AMD Athlon II X4620【分数:2944】【第453名】AMD Opteron 4122【分数:2942】【第454名】AMD Opteron 6134【分数:2938】【第455名】AMD A6-3620 APU【分数:2922】【第456名】Intel Xeon E5345 @2.33GHz【分数:2909】【第457名】Intel Core i3 550 @3.20GHz【分数:2907】【第458名】AMD Athlon II X4620e【分数:2906】【第459名】Intel Core i7 M 640@ 2.80GHz【分数:2903】【第460名】Intel Core i3 560 @3.33GHz【分数:2897】【第461名】AMD Athlon X4 635【分数:2891】【第462名】Intel Core i7-2655LE@ 2.20GHz【分数:2882】【第463名】AMD Athlon II X4615e【分数:2868】【第464名】AMD A8-3550MXAPU【分数:2866】【第465名】Intel Core i3-2370M@ 2.40GHz【分数:2864】【第466名】Intel Core i7-2677M@ 1.80GHz【分数:2862】【第467名】AMD A6-3600 APU【分数:2859】【第468名】Intel Pentium G860@ 3.00GHz【分数:2852】【第469名】AMD Phenom II X3B75【分数:2851】【第470名】AMD Phenom 9750Quad-Core【分数:2850】【第471名】Intel Core i3-2310E@ 2.10GHz【分数:2838】【第472名】Intel Pentium G2020@ 2.90GHz【分数:2838】【第473名】AMD Phenom FX-5000 Quad-Core【分数:2837】【第474名】Celeron Dual-CoreQ8300 @ 2.50GHz【分数:2837】【第475名】Intel Pentium G870@ 3.10GHz【分数:2833】【第476名】Intel Core2 QuadQ8200 @ 2.33GHz【分数:2829】【第477名】AMD Athlon II X3455【分数:2826】【第478名】AMD A10-5745MAPU【分数:2822】【第479名】AMD Phenom II X920Quad-Core【分数:2821】【第480名】Quad-Core AMDOpteron 2350【分数:2820】【第481名】Intel Core i7 E 610 @2.53GHz【分数:2800】【第482名】Intel Xeon X5272 @3.40GHz【分数:2796】【第483名】B05e【分数:2781】【第484名】Intel Celeron G1620@ 2.70GHz【分数:2768】【第485名】Intel E3000 @3.40GHz【分数:2767】【第486名】AMD Athlon II X4610e【分数:2765】【第487名】AMD Phenom II X3720【分数:2752】【第488名】AMD Athlon II X4600e【分数:2751】【第489名】Intel Pentium 1403 @2.60GHz【分数:2747】【第490名】Intel Core i7 M 620@ 2.67GHz【分数:2734】【第491名】Intel Core i5-2557M@ 1.70GHz【分数:2734】【第492名】Intel Xeon E5504 @2.00GHz【分数:2733】【第493名】AMD A8-4500M APU【分数:2726】【第494名】AMD Phenom X4Quad-Core GP-9830【分数:2715】【第495名】Intel Core i5 M 580@ 2.67GHz【分数:2705】【第496名】Quad-Core AMDOpteron 1381【分数:2704】【第497名】Intel Pentium G850@ 2.90GHz【分数:2690】【第498名】AMD Phenom X4Quad-Core GP-9930【分数:2690】【第499名】AMD Athlon II X4605e【分数:2688】【第500名】Intel Core i3-2350M@ 2.30GHz【分数:2676】【第501名】Intel Core i3 540 @3.07GHz【分数:2673】【第502名】B73【分数:2669】【第503名】Intel Core i3-2328M@ 2.20GHz【分数:2662】【第504名】AMD Phenom 9750BQuad-Core【分数:2660】【第505名】Intel Xeon E5335 @2.00GHz【分数:2657】【第506名】AMD Athlon II X3450【分数:2653】【第507名】Quad-Core AMDOpteron 1352【分数:2653】【第508名】Intel Core i5-3339Y@ 1.50GHz【分数:2651】【第509名】Quad-Core AMDOpteron 1356【分数:2647】【第510名】AMD Phenom II X4900e【分数:2646】【第511名】Intel Core i3-2348M@ 2.30GHz【分数:2646】【第512名】AMD A8-5557M APU【分数:2640】【第513名】Quad-Core AMDOpteron 2380【分数:2640】【第514名】AMD Athlon X3 455【分数:2636】【第515名】Intel Xeon X3210 @2.13GHz【分数:2631】【第516名】AMD Phenom 9650Quad-Core【分数:2627】【第517名】Intel Pentium G2010@ 2.80GHz【分数:2619】【第518名】AMD Phenom 9450eQuad-Core【分数:2618】【第519名】Intel Core i5 M 560@ 2.67GHz【分数:2611】【第520名】AMD Athlon II X3440【分数:2609】【第521名】Intel Pentium G645@ 2.90GHz【分数:2609】【第522名】445【分数:2606】【第523名】Intel Core i3-3227U@ 1.90GHz【分数:2606】【第524名】AMD Phenom 9600BQuad-Core【分数:2604】【第525名】AMD Athlon II X46400e【分数:2594】【第526名】Intel Pentium G2020T@ 2.50GHz【分数:2594】【第527名】Intel Core i3 530 @2.93GHz【分数:2592】【第528名】Intel Celeron G1610@ 2.60GHz【分数:2586】【第529名】Intel Core2 QuadQ9000 @ 2.00GHz【分数:2585】【第530名】Quad-Core AMDOpteron 1354【分数:2563】【第531名】Intel Pentium G840@ 2.80GHz【分数:2555】【第532名】AMD Phenom IIN950 Quad-Core【分数:2549】【第533名】AMD Phenom II X3710【分数:2548】【第534名】Intel Core i3-2330M@ 2.20GHz【分数:2538】【第535名】AMD Phenom IIN970 Quad-Core【分数:2535】【第536名】Intel Xeon X5260 @3.33GHz【分数:2523】【第537名】Intel Pentium G640@ 2.80GHz【分数:2517】【第538名】Intel Xeon L5320 @1.86GHz【分数:2505】【第539名】AMD Athlon X4 605e【分数:2505】【第540名】Intel Xeon E5240 @3.00GHz【分数:2492】【第541名】Intel Celeron G555 @2.70GHz【分数:2486】【第542名】AMD Athlon II X3435【分数:2485】【第543名】AMD Phenom 9550Quad-Core【分数:2476】【第544名】Intel Pentium G645T@ 2.50GHz【分数:2472】【第545名】Intel Xeon E5603 @1.60GHz【分数:2463】【第546名】AMD Athlon X3 435【分数:2461】【第547名】Intel Xeon E3120 @3.16GHz【分数:2459】【第548名】Intel Core i5 M 480@ 2.67GHz【分数:2457】【第549名】Intel Core i7-2610UE@ 1.50GHz【分数:2454】【第550名】AMD A6-5200 APU【分数:2449】【第551名】AMD A8-3510MXAPU【分数:2440】【第552名】Intel Pentium G630@ 2.70GHz【分数:2432】【第553名】Intel Core2 DuoE8600 @ 3.33GHz【分数:2424】【第554名】Intel Xeon L5240 @3.00GHz【分数:2420】【第555名】AMD A10-4655MAPU【分数:2409】【第556名】AMD A6-6400K APU【分数:2407】【第557名】Intel Core i5 M 460@ 2.53GHz【分数:2400】【第558名】Intel Core i3-2310M@ 2.10GHz【分数:2391】【第559名】Intel Core i5 520M @2.40GHz【分数:2391】【第560名】AMD Phenom II X48700e【分数:2377】【第561名】425【分数:2376】【第562名】Intel Core2 DuoT9900 @ 3.06GHz【分数:2370】【第563名】Intel Core i5 540M @2.53GHz【分数:2364】【第564名】Intel Core2 DuoE8290 @ 2.83GHz【分数:2353】【第565名】AMD Phenom IIN930 Quad-Core【分数:2347】【第566名】AMD Athlon II X3415e【分数:2341】【第567名】AMD Athlon II X2280【分数:2336】【第568名】Intel Core i3 M 390@ 2.67GHz【分数:2335】【第569名】Intel Celeron G540 @2.50GHz【分数:2329】【第570名】Intel Celeron G550 @2.60GHz【分数:2328】【第571名】AMD Phenom X4Quad-Core GP-9600【分数:2328】【第572名】Intel Core i7 L 640 @2.13GHz【分数:2327】【第573名】Intel Pentium 2020M@ 2.40GHz【分数:2327】【第574名】AMD Phenom 9600Quad-Core【分数:2322】【第575名】AMD Athlon X3 445【分数:2314】【第576名】Intel Pentium G6951@ 2.80GHz【分数:2311】【第577名】AMD A8-4555M APU【分数:2311】【第578名】AMD Phenom II X3705e【分数:2310】【第579名】Intel Core i5-2467M@ 1.60GHz【分数:2298】【第580名】Intel Core2 DuoE8500 @ 3.16GHz【分数:2287】【第581名】700e【分数:2286】【第582名】Intel Core i3-3217U@ 1.80GHz【分数:2285】【第583名】Quad-Core AMDOpteron 2376【分数:2283】【第584名】AMD A6-3430MXAPU【分数:2275】【第585名】AMD Phenom 9350eQuad-Core【分数:2266】【第586名】AMD Athlon II X2B28【分数:2264】【第587名】Intel Pentium G620@ 2.60GHz【分数:2260】【第588名】AMD Phenom II X620Dual-Core【分数:2258】【第589名】AMD Athlon X3 440【分数:2256】【第590名】Quad-Core AMDOpteron 8354【分数:2255】【第591名】AMD Athlon X3 425【分数:2255】【第592名】Intel Core2 ExtremeX9100 @ 3.06GHz【分数:2254】【第593名】Intel Core2 DuoE8435 @ 3.06GHz【分数:2251】【第594名】Quad-Core AMDOpteron 2393 SE【分数:2246】【第595名】Intel Core i5 520 @2.40GHz【分数:2244】【第596名】AMD Athlon II X3425e【分数:2239】【第597名】Intel Core2 DuoE8335 @ 2.93GHz【分数:2238】【第598名】AMD Phenom 8850Triple-Core【分数:2237】【第599名】Intel Core2 T9550 @2.66GHz【分数:2235】【第600名】AMD Phenom 9500Quad-Core【分数:2233】。
GeForce GTX 780 Ti $639.99GeForce GTX TITAN Black$1,399.99GeForce GTX 780$476.99GeForce GTX Titan $999.99Radeon R9 295X2$1,499.99Quadro K6000$4,999.00GeForce GTX TITAN ZNA Radeon R9 290X $479.99Radeon R9 290$359.99GeForce GTX 770$304.99GeForce GTX 680$490.00Radeon HD 7990$999.99GeForce GTX 670$449.99GeForce GTX 690$1,999.99Radeon HD 7970 / R9 280X$299.99*Radeon HD 8990NA GeForce GTX 760$225.99GeForce GTX 580$289.88*GeForce GTX 660 Ti $399.00Radeon HD 7950$256.00GeForce GTX 880M NA GeForce GTX 775M NA Radeon R9 270X $179.99GeForce GTX 760 TiNA GRID K520NA GeForce GTX 570$676.59*GeForce GTX 480$199.99*GeForce GTX 780MNA8,9908,7978,0478,0007,7157,6557,6326,8006,3816,1905,7155,5255,3865,1775,1435,0124,9864,9734,6874,6544,6524,5304,5164,4484,4404,3814,3504,347GeForce GTX 680MXNAFirePro W8000$1,150.00*Radeon HD 7870$189.99FirePro S7000NA Radeon R9 270$168.00Radeon HD 8970M NA FirePro W7000 AdapterNA GeForce GTX 660$172.35GeForce GTX 590$749.99*FirePro W7000$749.99Quadro K5000$1,724.00Radeon HD 7970MNAGRID K2$3,199.00Radeon HD 7850$169.99GeForce GTX 750 Ti $129.99GeForce GTX 870M NA GeForce GTX 470$189.99*GeForce GTX 650 Ti BOOSTNA GeForce GTX 560 Ti $182.54*GeForce GTX 680MNAQuadro 6000$1,599.00Radeon HD 6970$99.99Tesla C2050NA Tesla C2050 / C2070NA Radeon HD 6990$729.99*Tesla C2075$2,269.99*GeForce GTX 750$109.24Radeon HD 6950$469.99*4,3414,3104,2614,2534,2194,1654,1284,1194,0524,0144,0013,8113,7613,7233,6623,6613,5673,5473,5473,5393,5203,4873,4783,4233,3713,3623,2783,181GeForce GTX 560$130.74Quadro K5100M NA Radeon R7 260X $118.00Radeon HD 7790$169.00Radeon R7 260$109.99FirePro W5000$434.99GeForce GTX 465$263.28*GeForce GTX 770M NA GeForce GTX 860M NA Quadro K4100M NA Quadro K5000M NA Quadro K4000$749.99FirePro M6100 FireGL VNA GeForce GTX 650 Ti$109.99FirePro V7900$709.99GeForce GTX 460$143.03*Quadro 5000$940.00Radeon HD 5970$329.99*Radeon HD 5870$199.99*FirePro V9800$2,499.00*Radeon HD 6870$297.59*GeForce GTX 460 v2$199.99*GeForce GT 645NA GeForce GTX 675MXNA FirePro V8800$424.99*GeForce GTX 580M NA Quadro K3100M NA Radeon HD 5850$123.53*3,0993,0523,0233,0172,9812,9592,9502,9282,8872,8292,8192,8152,7902,7072,6942,6662,6442,6402,6122,5952,5802,5732,5552,5462,5042,4552,3252,283GeForce GTX 485M NA GeForce GTX 560 SE $89.99*GeForce GTX 675M NA GeForce GTX 460 SE$159.99*Radeon HD 6850$149.99*GeForce GTX 745NA GeForce GTX 555NA Quadro K4000M NA Radeon HD 7770$99.99GeForce GTX 850M NA GeForce GTX 670MX NA GeForce GTX 765M NA GeForce GTX 480M NA Radeon HD 5830$159.99*Radeon HD 6790$124.99*GeForce GTX 470M NA GeForce GTX 570MNA Quadro 4000$425.00GeForce GTX 670M NA GeForce GTX 550 Ti $287.59*GeForce GTX 645NA Radeon HD 6900M NA GeForce GTX 650$88.78Radeon HD 8870MNA Radeon HD 8670D + 7700 DualNA Quadro 4000M NA GeForce GT 755M NA GeForce GTX 760MNA2,2832,2802,2712,2682,2382,1902,1862,1582,1542,1332,1192,1112,0602,0372,0322,0082,0001,9321,9311,9291,9121,8711,8391,8021,7881,7511,697Radeon HD 5770$99.99*Radeon HD 6770$221.59*FirePro W600$494.99Quadro K2000$425.99FirePro M6000 Mobility ProNA Quadro K2000D $425.99Radeon HD 7750$99.99Quadro K3000M NA GeForce GTX 560MNA FirePro V7800$599.99*GeForce GTS 450$64.99GeForce GTX 660M NA Radeon HD 7870M NA GeForce GT 750M NA Radeon HD 4890$109.99*FirePro V5900$439.99*GeForce GT 740$89.99Radeon HD 7560D + 7670 DualNA FirePro M4000NA Radeon R7 250$79.99Radeon HD 5750$69.41*Quadro K2100M NA FirePro M40003NA Radeon HD 4870$59.99*GeForce GTX 460M NA Radeon HD 7850MNA Radeon HD 8670D + 6670 DualNA1,6961,6811,6741,6711,6691,6591,6441,6331,5941,5471,5441,5431,5351,5331,5311,5151,5141,4491,4121,4031,4001,3981,3841,3841,3771,3741,3431,336GeForce GT 730$59.99FirePro V5800$289.99*Quadro 5010M NA Radeon HD 6750$59.99*Quadro 2000$295.00FirePro V4900$154.99GeForce GT 650M NA Quadro 3000M NA GeForce GT 640$79.99Quadro 2000D $424.00*FirePro V8750$1,230.99*GeForce GT 545$55.59*GeForce GTX 285$179.99*Radeon HD 7660D + 6670 DualNA Radeon HD 4870 X2NA Radeon HD 4800 SerisiNA GeForce GTX 275$110.99Radeon HD 7670NA GeForce GTX 280$119.99*Mobility Radeon HD 5870NA GeForce GT 745M NA Radeon HD 4850 X2NA GeForce GT 745A NA Quadro 2000 DNA Radeon HD 7560D + 6670 DualNA GeForce GTX 260$95.38*Intel Iris Pro 5200NA Quadro FX 5800$648.99*1,3281,3171,3061,3041,3001,2961,2961,2911,2871,2771,2771,2711,2631,2391,2281,2111,2091,2021,1991,1761,1741,1621,1461,1351,1301,1211,1181,106GeForce 840MNA Radeon HD 7660D + 6570 DualNA Quadro K1100M NA FirePro V4800$159.99*Quadro K2000M NA Quadro 2000M NA Radeon HD 4770NA Radeon HD 5670$69.99*Radeon HD 7520G + 7700M DualNA FirePro V8700$199.99*GeForce GT 445M NA Radeon HD 7670A NA Radeon HD 6670$59.99Radeon HD 4850$89.99*GeForce GTX 295$289.99*Radeon HD 7660D + 7670 DualNA GeForce GT 640M NA GeForce GT 645M NA Radeon HD 7690M NA Quadro FX 4800$299.99*GeForce GT 730M NA Radeon HD 7570NA Radeon HD 7660G N HD 7660G + HD7700M N HD 7700M DNA Radeon HD 5600/5700NA Radeon R7 240$62.82Radeon HD 6800MNA Radeon HD 8650G + 8600/8700M DualNA1,1031,1001,0951,0881,0811,0661,0631,0611,0601,0561,0541,0491,0451,0371,0361,0241,0221,0121,003988987986966965964963962Radeon HD8570NA Radeon HD 8570D + R7 200 DualNA Radeon HD 4830$59.99*GeForce GT 635NA GeForce GT 555MNA Radeon HD 7660G + 7730M DualNA GeForce GT 720NA Radeon HD 6700M NA GeForce 9800 GTX+NA Radeon HD 8570NA GeForce 9800 GTX/9800 GTX+$89.99*GeForce GTS 250$114.99*GeForce GT 740MNA Radeon HD 8650G + 7670M DualNA GeForce GT 640M LE$849.99*FirePro V3900$114.99GeForce GTS 240$64.99*GeForce 8800 GTS 512NA Radeon HD 7640G N HD 7640G + HD7600M N HD 7600M DNA Radeon HD 7660G + 7600M DualNA Radeon E6760$239.99*Radeon HD 3870 X2NA Quadro K600$159.99Radeon HD 8550G + 8600/8700M DualNA GeForce GT 340$52.99*Radeon HD 7670M $629.99*Quadro FX 3800$255.00*962951948943933931927925925917912904900879871865852852850849843843842837837836835Radeon HD 7560D + 6570 DualNA Radeon HD 7660GNA Radeon HD 7660G + 7700M DualNA GeForce GT 440$69.99*Radeon HD 7600M + 7600M DualNA GeForce 9800 GTX NA Radeon HD 8650G NA GeForce 9800 GX2NA Quadro FX 3800MNA Radeon HD 8650G + 8750M DualNA GeForce 8800 Ultra NA GeForce GT 550MNAGRID K1$1,970.00Radeon HD 7660D NA Radeon HD 8670DNA NVS 5400MNA Radeon HD 3850 X2NA Radeon HD 7650A $262.00*GeForce 8800 GTX NA GeForce GT 140NA Radeon HD 8570 + 8670D DualNA Intel HD 5200NA Quadro K1000MNA Radeon HD 8550G + 8750M DualNA NVS 510$339.99Radeon HD 7660G N HD 7660G + HD7600M N HD 7600M DNA GeForce GTS 360MNA833831831823823821818815807807800798797797794791790786780779779777774772770766760。
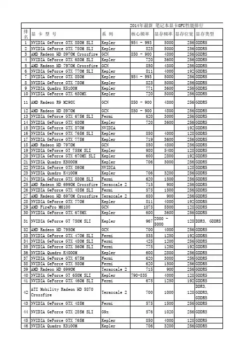
显卡天梯图显卡是电脑中的重要组件之一,也是影响电脑游戏和图形处理性能的关键因素之一。
而天梯图(Ladder Chart)则是一个用于对比不同显卡性能的图表,通过天梯图可以清晰地了解各种显卡的性能差异。
本文将介绍一些常见显卡在天梯图上的排名以及其特点。
目前,市面上的显卡主要分为两大阵营,即NVIDIA和AMD。
NVIDIA的显卡主要以GeForce系列为主,而AMD则以Radeon系列为主。
下面我们来看一下各系列显卡在天梯图上的表现。
首先,我们来看NVIDIA的GeForce系列显卡。
在高端显卡上,目前最强的两款显卡分别是RTX 3090和RTX 3080。
这两款显卡采用了NVIDIA最新的Ampere架构,拥有强大的图形处理能力和光线追踪技术支持,适合高负荷的游戏和图形渲染任务。
在中端显卡中,RTX 3070和3060 Ti也拥有不错的性能表现,价格相对较为亲民。
而对于入门级玩家,GTX 1660 Super和GTX 1650 Super则是不错的选择,具备良好的性价比。
作为NVIDIA的竞争对手,AMD的Radeon系列显卡也有着不俗的表现。
在高端领域,RX 6900 XT和RX 6800 XT两款显卡拥有强大的性能,能够媲美NVIDIA的旗舰显卡。
而RX 6700 XT则是一款定位于中高端市场的显卡,提供了出色的游戏性能和价格竞争力。
对于入门级用户,RX 5500 XT和RX 5600 XT是不错的选择,能够满足一般游戏需求。
除了以上的主流显卡外,还有一些其他品牌也在显卡市场上崭露头角。
比如英伟达(EVGA)、华硕(ASUS)、微星(MSI)等。
这些品牌在设计和散热方面进行了一些创新,提供了更好的使用体验和稳定性。
虽然显示性能是选择显卡的重要因素,但在购买显卡时还需考虑一些其他因素,比如功耗、散热性能、接口数量等。
同时,还需要检查自己的电脑是否能够适应所选显卡的功耗和接口需求。
总结而言,显卡天梯图是一个很好的比较各种显卡性能的工具。
附:数据排行排名型号CPU Mark数值【第1名】Intel Xeon E5-2687W @ 3.10GHz 【分数:14564】【第2名】Intel Xeon E5-2690 @ 2.90GHz 【分数:14511】【第3名】Intel Xeon E5-2680 @ 2.70GHz 【分数:13949】【第4名】Intel Xeon E5-2689 @ 2.60GHz 【分数:13444】【第5名】Intel Xeon E5-2670 @ 2.60GHz 【分数:13312】【第6名】Intel Core i7-3970X @ 3.50GHz 【分数:12854】【第7名】Intel Core i7-3960X @ 3.30GHz 【分数:12735】【第8名】Intel Xeon E5-1660 @ 3.30GHz 【分数:12501】【第9名】Intel Xeon E5-2665 @ 2.40GHz 【分数:12444】【第10名】Intel Core i7-3930K @ 3.20GHz 【分数:12088】【第11名】Intel Xeon E5-2660 @ 2.20GHz 【分数:11961】【第12名】Intel Xeon E5-4650 @ 2.70GHz 【分数:11730】【第13名】Intel Xeon E5-1650 @ 3.20GHz 【分数:11538】【第14名】Intel Xeon E5-2470 @ 2.30GHz 【分数:11149】【第15名】Intel Xeon E5-2650 @ 2.00GHz 【分数:10523】【第16名】Intel Xeon E5-2667 @ 2.90GHz 【分数:10393】【第17名】Intel Xeon E3-1270 v3 @ 3.50GHz 【分数:10384】【第18名】Intel Core i7-4770S @ 3.10GHz 【分数:10250】【第19名】Intel Core i7-4770K @ 3.50GHz 【分数:10134】【第20名】Intel Xeon E3-1280 v3 @ 3.60GHz 【分数:10110】【第21名】Intel Xeon E3-1240 v3 @ 3.40GHz 【分数:10048】【第22名】Intel Core i7-4770 @ 3.40GHz 【分数:9959】【第23名】Intel Xeon E3-1290 V2 @ 3.70GHz 【分数:9942】【第24名】Intel Xeon W3690 @ 3.47GHz 【分数:9915】【第25名】Intel Xeon E3-1280 V2 @ 3.60GHz 【分数:9843】【第26名】Intel Xeon E5-2640 @ 2.50GHz 【分数:9746】【第27名】Intel Xeon E5-2658 @ 2.10GHz 【分数:9738】【第28名】Intel Xeon E3-1270 V2 @ 3.50GHz 【分数:9730】【第29名】Intel Core i7-4930MX @ 3.00GHz 【分数:9596】【第30名】Intel Core i7-3770K @ 3.50GHz 【分数:9590】【第31名】Intel Xeon E3-1230 v3 @ 3.30GHz 【分数:9554】【第32名】AMD FX-9370 Eight-Core 【分数:9514】【第33名】Intel Xeon E3-1275 V2 @ 3.50GHz 【分数:9497】【第34名】Intel Core i7-3770 @ 3.40GHz 【分数:9428】【第35名】Intel Xeon E3-1240 V2 @ 3.40GHz 【分数:9401】【第36名】Intel Core i7 X 990 @ 3.47GHz 【分数:9377】【第37名】Intel Core i7-4900MQ @ 2.80GHz 【分数:9295】【第38名】Intel Xeon X5690 @ 3.47GHz 【分数:9258】【第39名】Intel Xeon W3680 @ 3.33GHz 【分数:9228】【第40名】Intel Xeon E5-1620 @ 3.60GHz 【分数:9186】【第41名】Intel Core i7-3920XM @ 2.90GHz 【分数:9172】【第42名】AMD FX-8350 Eight-Core 【分数:9111】【第43名】Intel Core i7-3770S @ 3.10GHz 【分数:9084】【第44名】Intel Xeon E3-1275 v3 @ 3.50GHz 【分数:9043】【第45名】Intel Core i7-3820 @ 3.60GHz 【分数:9028】【第46名】Intel Core i7-3840QM @ 2.80GHz 【分数:9018】【第47名】Intel Xeon E3-1245 V2 @ 3.40GHz 【分数:8984】【第48名】Intel Core i7 X 980 @ 3.33GHz 【分数:8897】【第49名】Intel Core i7-4800MQ @ 2.70GHz 【分数:8895】【第50名】Intel Xeon E3-1230 V2 @ 3.30GHz 【分数:8887】【第51名】Intel Core i7-2700K @ 3.50GHz 【分数:8874】【第52名】Intel Core i7-3940XM @ 3.00GHz 【分数:8858】【第53名】Intel Xeon E5-2630 @ 2.30GHz 【分数:8788】【第54名】Intel Xeon E3-1280 @ 3.50GHz 【分数:8764】【第55名】Intel Core i7 980 @ 3.33GHz 【分数:8729】【第56名】Intel Xeon E3-1245 v3 @ 3.40GHz 【分数:8714】【第57名】Intel Xeon X5675 @ 3.07GHz 【分数:8630】【第58名】Intel Xeon W3670 @ 3.20GHz 【分数:8620】【第59名】Intel Core i7-3740QM @ 2.70GHz 【分数:8599】【第60名】Intel Core i7-3820QM @ 2.70GHz 【分数:8556】【第61名】Intel Core i7 970 @ 3.20GHz 【分数:8540】【第62名】Intel Xeon E5-2643 @ 3.30GHz 【分数:8521】【第63名】Intel Xeon E3-1270 @ 3.40GHz 【分数:8505】【第64名】Intel Core i7-2600K @ 3.40GHz 【分数:8478】【第65名】Intel Xeon X5660 @ 2.80GHz 【分数:8459】【第66名】Intel Xeon X5670 @ 2.93GHz 【分数:8457】【第67名】Intel Core i7-3770T @ 2.50GHz 【分数:8449】【第68名】Intel Core i7-4700HQ @ 2.40GHz 【分数:8427】【第69名】Intel Core i7-3720QM @ 2.60GHz 【分数:8355】【第70名】Intel Xeon E3-1240 @ 3.30GHz 【分数:8338】【第71名】Intel Core i7-2600 @ 3.40GHz 【分数:8317】【第72名】Intel Xeon E3-1265L V2 @ 2.50GHz 【分数:8306】【第73名】AMD Opteron 6376 【分数:8225】【第74名】AMD FX-8320 Eight-Core 【分数:8189】【第75名】Intel Xeon E3-1230 @ 3.20GHz 【分数:8145】【第76名】Intel Xeon E3-1245 @ 3.30GHz 【分数:8048】【第77名】Intel Xeon E5-2620 @ 2.00GHz 【分数:8039】【第78名】Intel Core i7-4702MQ @ 2.20GHz 【分数:7968】【第79名】Intel Core i7-4700MQ @ 2.40GHz 【分数:7938】【第80名】Intel Xeon E3-1235 @ 3.20GHz 【分数:7815】【第81名】Intel Xeon E3-1275 @ 3.40GHz 【分数:7787】【第82名】Intel Core i7-3630QM @ 2.40GHz 【分数:7770】【第83名】AMD FX-8150 Eight-Core 【分数:7755】【第84名】Intel Core i7-4700EQ @ 2.40GHz 【分数:7601】【第85名】Intel Core i5-4670 @ 3.40GHz 【分数:7563】【第86名】Intel Core i7-3610QM @ 2.30GHz 【分数:7546】【第87名】Intel Xeon X5650 @ 2.67GHz 【分数:7545】【第88名】Intel Core i5-4670K @ 3.40GHz 【分数:7502】【第94名】Intel Xeon E5-2420 @ 1.90GHz 【分数:7274】【第95名】Intel Xeon E5-1410 @ 2.80GHz 【分数:7233】【第96名】Intel Core i7-2860QM @ 2.50GHz 【分数:7199】【第97名】Intel Core i7-3610QE @ 2.30GHz 【分数:7176】【第98名】Intel Xeon W3570 @ 3.20GHz 【分数:7176】【第99名】Intel Core i5-4570 @ 3.20GHz 【分数:7174】【第100名】Intel Core i7-2920XM @ 2.50GHz 【分数:7151】【第101名】Intel Core i5-3570K @ 3.40GHz 【分数:7120】【第102名】AMD Opteron 6234 【分数:7093】【第103名】Intel Core i7-3632QM @ 2.20GHz 【分数:7074】【第104名】AMD FX-6350 Six-Core 【分数:7039】【第105名】Intel Xeon E5649 @ 2.53GHz 【分数:7037】【第106名】Intel Core i7-2600S @ 2.80GHz 【分数:7009】【第107名】Intel Core i5-3570 @ 3.40GHz 【分数:6996】【第108名】Intel Xeon X5677 @ 3.47GHz 【分数:6966】【第109名】Intel Core i7-3612QM @ 2.10GHz 【分数:6887】【第110名】Intel Core i5-3550 @ 3.30GHz 【分数:6869】【第111名】AMD FX-8120 Eight-Core ( 【分数:6844】【第112名】Intel Xeon E3-1225 V2 @ 3.20GHz 【分数:6823】【第113名】Intel Core i7-2840QM @ 2.40GHz 【分数:6766】【第114名】Intel Xeon W3580 @ 3.33GHz 【分数:6762】【第115名】Intel Xeon E5645 @ 2.40GHz 【分数:6753】【第116名】Intel Core i7-3612QE @ 2.10GHz 【分数:6740】【第117名】Intel Core i7-2760QM @ 2.40GHz 【分数:6714】【第118名】Intel Xeon E5640 @ 2.67GHz 【分数:6712】【第119名】Intel Core i5-4570S @ 2.90GHz 【分数:6639】【第120名】AMD FX-8120 Eight-Core 【分数:6618】【第121名】Intel Core i7-2820QM @ 2.30GHz 【分数:6613】【第122名】Intel Core i5-3550S @ 3.00GHz 【分数:6610】【第123名】Intel Core i5-3570S @ 3.10GHz 【分数:6605】【第124名】Intel Core i5-3470 @ 3.20GHz 【分数:6603】【第125名】AMD Opteron 3380 【分数:6565】【第126名】Intel Core i5-2550K @ 3.40GHz 【分数:6540】【第127名】Intel Xeon W5590 @ 3.33GHz 【分数:6517】【第128名】Intel Xeon E3-1220 V2 @ 3.10GHz 【分数:6464】【第129名】Intel Core i5-3450 @ 3.10GHz 【分数:6463】【第130名】Intel Core i7-3635QM @ 2.40GHz 【分数:6411】【第131名】AMD FX-6300 Six-Core 【分数:6385】【第132名】Intel Core i5-2500K @ 3.30GHz 【分数:6379】【第133名】Intel Core i5-4430 @ 3.00GHz 【分数:6366】【第134名】Intel Core i5-4670T @ 2.30GHz 【分数:6351】【第135名】Intel Xeon E3-1260L @ 2.40GHz 【分数:6313】【第136名】Intel Core i5-3470S @ 2.90GHz 【分数:6265】【第137名】Intel Xeon E3-1220 @ 3.10GHz 【分数:6258】【第138名】Intel Core i7 975 @ 3.33GHz 【分数:6257】【第139名】Intel Core i5-3350P @ 3.10GHz 【分数:6226】【第140名】AMD FX-6200 Six-Core 【分数:6217】【第141名】Intel Core i5-2500 @ 3.30GHz 【分数:6214】【第142名】Intel Core i7-2720QM @ 2.20GHz 【分数:6197】【第143名】AMD FX-8100 Eight-Core 【分数:6174】【第144名】Intel Xeon L5638 @ 2.00GHz 【分数:6157】【第145名】Intel Core i5-3450S @ 2.80GHz 【分数:6141】【第146名】AMD Opteron 6174 【分数:6097】【第147名】Intel Core i7-2670QM @ 2.20GHz 【分数:6069】【第148名】Intel Core i7-2635QM @ 2.00GHz 【分数:6014】【第149名】Intel Core i5-3475S @ 2.90GHz 【分数:5991】【第150名】AMD Phenom II X6 1100T 【分数:5979】【第151名】Intel Core i7 960 @ 3.20GHz 【分数:5978】【第152名】Intel Xeon E3-1225 @ 3.10GHz 【分数:5940】【第153名】Intel Core i7 965 @ 3.20GHz 【分数:5938】【第154名】Intel Xeon X5647 @ 2.93GHz 【分数:5919】【第155名】Intel Core i5-3330 @ 3.00GHz 【分数:5881】【第156名】Intel Core i5-2450P @ 3.20GHz 【分数:5873】【第157名】AMD FX-6120 Six-Core 【分数:5842】【第158名】Intel Core i5-2400 @ 3.10GHz 【分数:5799】【第159名】AMD Opteron 6212 【分数:5776】【第160名】Intel Xeon X5560 @ 2.80GHz 【分数:5775】【第161名】Intel Core i5-3335S @ 2.70GHz 【分数:5755】【第162名】Intel Core i5-3330S @ 2.70GHz 【分数:5722】【第163名】AMD Phenom II X6 1090T 【分数:5714】【第164名】Intel Xeon E5-1607 @ 3.00GHz 【分数:5710】【第165名】Intel Core i5-3570T @ 2.30GHz 【分数:5705】【第166名】Intel Core i7-2675QM @ 2.20GHz 【分数:5698】【第167名】Intel Core i5-2320 @ 3.00GHz 【分数:5676】【第168名】Intel Core i7 950 @ 3.07GHz 【分数:5664】【第169名】Intel Xeon X3470 @ 2.93GHz 【分数:5655】【第170名】Intel Core i7-2630QM @ 2.00GHz 【分数:5619】【第171名】Intel Core i7 880 @ 3.07GHz 【分数:5509】【第172名】Intel Core i7-3615QE @ 2.30GHz 【分数:5495】【第173名】Intel Xeon X3450 @ 2.67GHz 【分数:5492】【第174名】Intel Core i7 940 @ 2.93GHz 【分数:5478】【第175名】Intel Xeon E5-1603 @ 2.80GHz 【分数:5469】【第176名】Intel Core i5-2310 @ 2.90GHz 【分数:5469】【第177名】Intel Core i7 870 @ 2.93GHz 【分数:5434】【第178名】AMD FX-6100 Six-Core 【分数:5415】【第179名】Intel Core i5-2380P @ 3.10GHz 【分数:5413】【第180名】Intel Core i7 K 875 @ 2.93GHz 【分数:5404】【第181名】AMD Phenom II X6 1075T 【分数:5383】【第182名】Intel Core i7-2715QE @ 2.10GHz 【分数:5380】【第183名】AMD Opteron 6164 HE 【分数:5351】【第189名】AMD A10-6800K APU 【分数:5184】【第190名】Intel Xeon X5672 @ 3.20GHz 【分数:5148】【第191名】Intel Core i5-2405S @ 2.50GHz 【分数:5132】【第192名】Intel Core i7 860 @ 2.80GHz 【分数:5112】【第193名】AMD Opteron 6272 【分数:5104】【第194名】Intel Core i7 S 870 @ 2.67GHz 【分数:5102】【第195名】AMD Phenom II X6 1065T 【分数:5093】【第196名】AMD Phenom II X6 1055T 【分数:5076】【第197名】AMD FX-4350 Quad-Core 【分数:5057】【第198名】Intel Xeon X5570 @ 2.93GHz 【分数:5027】【第199名】Intel Core i7 920 @ 2.67GHz 【分数:5023】【第200名】Intel Xeon E5630 @ 2.53GHz 【分数:5013】【第201名】AMD A10-6700 APU 【分数:4983】【第202名】Intel Xeon X3460 @ 2.80GHz 【分数:4975】【第203名】Intel Core i5-2500S @ 2.70GHz 【分数:4971】【第204名】AMD A8-6600K APU 【分数:4944】【第205名】Intel Xeon W3520 @ 2.67GHz 【分数:4938】【第206名】AMD Phenom II X6 1045T 【分数:4935】【第207名】Intel Xeon E5620 @ 2.40GHz 【分数:4932】【第208名】Intel Core i5-24050S @ 2.50GHz 【分数:4928】【第209名】Intel Core2 Extreme X9750 @ 3.16GHz 【分数:4921】【第210名】AMD Phenom II X4 B65 【分数:4892】【第211名】Intel Core i7 S 860 @ 2.53GHz 【分数:4864】【第212名】Intel Xeon X5482 @ 3.20GHz 【分数:4842】【第213名】Intel Core2 Extreme X9770 @ 3.20GHz 【分数:4837】【第214名】Intel Xeon X3380 @ 3.16GHz 【分数:4836】【第215名】Intel Core i5-2400S @ 2.50GHz 【分数:4829】【第216名】AMD A10-5800B APU 【分数:4798】【第217名】Intel Core i7-3540M @ 3.00GHz 【分数:4780】【第218名】AMD FX-4170 Quad-Core 【分数:4768】【第219名】Intel Xeon W3565 @ 3.20GHz 【分数:4766】【第220名】AMD Phenom II X6 1035T 【分数:4760】【第221名】AMD FX-4300 Quad-Core 【分数:4755】【第222名】Intel Xeon E5530 @ 2.40GHz 【分数:4746】【第223名】AMD Phenom II X4 980 【分数:4728】【第224名】AMD Phenom II X4 975 【分数:4711】【第225名】AMD A10-5800K APU 【分数:4695】【第226名】Intel Core i5-2500T @ 2.30GHz 【分数:4678】【第227名】Intel Xeon E5520 @ 2.27GHz 【分数:4657】【第228名】Intel Xeon W3550 @ 3.07GHz 【分数:4653】【第229名】Intel Core i5-3380M @ 2.90GHz 【分数:4631】【第230名】Intel Xeon E5-2609 @ 2.40GHz 【分数:4621】【第231名】Intel Xeon X3370 @ 3.00GHz 【分数:4608】【第232名】Intel Core i5-3470T @ 2.90GHz 【分数:4595】【第233名】Intel Core i7-2710QE @ 2.10GHz 【分数:4580】【第234名】Intel Xeon W5580 @ 3.20GHz 【分数:4576】【第235名】Intel Core i7-3520M @ 2.90GHz 【分数:4559】【第236名】Intel Core i3-3245 @ 3.40GHz 【分数:4544】【第237名】AMD Phenom II X4 970 【分数:4502】【第238名】AMD A8-6500 APU 【分数:4489】【第239名】Intel Core i7-4650U @ 1.70GHz 【分数:4469】【第240名】AMD Phenom II X4 B99 【分数:4463】【第241名】AMD A8-5600K APU 【分数:4458】【第242名】Intel Core i3-3225 @ 3.30GHz 【分数:4393】【第243名】Intel Core2 Extreme X9650 @ 3.00GHz 【分数:4388】【第244名】AMD Athlon X4 760K Quad Core 【分数:4387】【第245名】Intel Core i3-3240 @ 3.40GHz 【分数:4369】【第246名】Intel Core i7-3687U @ 2.10GHz 【分数:4362】【第247名】Intel Xeon L5530 @ 2.40GHz 【分数:4351】【第248名】AMD Athlon X4 750K Quad Core 【分数:4350】【第249名】Intel Core i5-3360M @ 2.80GHz 【分数:4347】【第250名】Intel Xeon X5460 @ 3.16GHz 【分数:4328】【第251名】AMD Phenom II X4 40 【分数:4325】【第252名】Intel Xeon L5520 @ 2.27GHz 【分数:4324】【第253名】Intel Xeon X5450 @ 3.00GHz 【分数:4314】【第254名】AMD Phenom II X4 965 【分数:4304】【第255名】Intel Core i7-3555LE @ 2.50GHz 【分数:4298】【第256名】Intel Core i3-2140 @ 3.50GHz 【分数:4285】【第257名】Intel Xeon X5698 @ 4.40GHz 【分数:4272】【第258名】AMD A10-5700 APU 【分数:4251】【第259名】Intel Core i3-3220 @ 3.30GHz 【分数:4233】【第260名】Intel Core2 Quad Q9650 @ 3.00GHz 【分数:4224】【第261名】AMD Phenom II X4 B60 【分数:4224】【第262名】Intel Xeon E5462 @ 2.80GHz 【分数:4220】【第263名】Intel Xeon W3530 @ 2.80GHz 【分数:4209】【第264名】Intel Core i7-4750HQ @ 2.00GHz 【分数:4185】【第265名】Intel Core X 920 @ 2.00GHz 【分数:4173】【第266名】AMD FX-4130 Quad-Core 【分数:4149】【第267名】Intel Core i5-3340M @ 2.70GHz 【分数:4145】【第268名】AMD Opteron 3350 HE 【分数:4130】【第269名】Intel Xeon E5440 @ 2.83GHz 【分数:4114】【第270名】Intel Core i3-2125 @ 3.30GHz 【分数:4108】【第271名】Intel Xeon X3360 @ 2.83GHz 【分数:4090】【第272名】AMD A8-5500B APU 【分数:4086】【第273名】Intel Xeon E5450 @ 3.00GHz 【分数:4082】【第274名】Intel Core i5-3320M @ 2.60GHz 【分数:4078】【第275名】AMD A8-5500 APU 【分数:4074】【第276名】Intel Core2 Quad Q9550 @ 2.83GHz 【分数:4068】【第277名】Intel Core i5-2390T @ 2.70GHz 【分数:4068】【第278名】Intel Xeon X3440 @ 2.53GHz 【分数:4066】【第283名】AMD Phenom II X4 955 【分数:4014】【第284名】Intel Core i5-3230M @ 2.60GHz 【分数:4011】【第285名】Intel Core i7 X 940 @ 2.13GHz 【分数:4008】【第286名】Intel Core i7-2640M @ 2.80GHz 【分数:4006】【第287名】Intel Core i7-4500U @ 1.80GHz 【分数:3994】【第288名】AMD Athlon X4 740 Quad Core 【分数:3983】【第289名】AMD Phenom II X4 B97 【分数:3973】【第290名】Intel Xeon E5430 @ 2.66GHz 【分数:3965】【第291名】Intel Core2 Quad Q9705 @ 3.16GHz 【分数:3947】【第292名】AMD Phenom Ultra X4 24500 【分数:3945】【第293名】Intel Xeon E5-2407 @ 2.20GHz 【分数:3943】【第294名】Intel Xeon L5410 @ 2.33GHz 【分数:3921】【第295名】AMD Phenom II X4 960T 【分数:3907】【第296名】AMD Athlon II X4 553 【分数:3906】【第297名】Intel Core i3-2120 @ 3.30GHz 【分数:3898】【第298名】AMD Phenom II X4 B95 【分数:3897】【第299名】Intel Xeon X3350 @ 2.66GHz 【分数:3867】【第300名】Intel Core i7-3537U @ 2.00GHz 【分数:3863】【第301名】Intel Core i7-2620M @ 2.70GHz 【分数:3852】【第302名】Intel Xeon L3426 @ 1.87GHz 【分数:3840】【第303名】Intel Core i5 760 @ 2.80GHz 【分数:3830】【第304名】Intel Core i3-2105 @ 3.10GHz 【分数:3812】【第305名】Intel Core i5-3210M @ 2.50GHz 【分数:3808】【第306名】Intel Core i7-3517UE @ 1.70GHz 【分数:3807】【第307名】Intel Core2 Quad Q9450 @ 2.66GHz 【分数:3792】【第308名】AMD Phenom II X4 B50 【分数:3783】【第309名】Intel Core i7 920XM @ 2.00GHz 【分数:3764】【第310名】AMD Phenom II X4 B55 【分数:3763】【第311名】Intel Core2 Extreme Q6850 @ 3.00GHz 【分数:3755】【第312名】AMD Phenom II X4 945 【分数:3755】【第313名】AMD Phenom II X4 977 【分数:3750】【第314名】Intel Core2 Quad Q9500 @ 2.83GHz 【分数:3750】【第315名】Intel Core i7-3517U @ 1.90GHz 【分数:3749】【第316名】AMD Phenom II X4 B35 【分数:3744】【第317名】AMD Phenom II X4 840T 【分数:3736】【第318名】Intel Core i5 750 @ 2.67GHz 【分数:3733】【第319名】Intel Xeon X3230 @ 2.66GHz 【分数:3724】【第320名】Intel Xeon L5506 @ 2.13GHz 【分数:3715】【第321名】Intel Core i3-3220T @ 2.80GHz 【分数:3703】【第322名】Intel Core i3-3210 @ 3.20GHz 【分数:3697】【第323名】Intel Xeon X3330 @ 2.66GHz 【分数:3681】【第324名】AMD A8-3870K APU 【分数:3679】【第325名】AMD Phenom II X4 B45 【分数:3673】【第326名】AMD Phenom II X4 973 【分数:3672】【第327名】AMD Phenom II X4 940 【分数:3671】【第328名】Intel Core i5-2540M @ 2.60GHz 【分数:3668】【第329名】Intel Core i3-3130M @ 2.60GHz 【分数:3655】【第330名】AMD Athlon II X4 650 【分数:3653】【第331名】Intel Xeon E5-2403 @ 1.80GHz 【分数:3651】【第332名】Intel Core i5 680 @ 3.60GHz 【分数:3636】【第333名】AMD Phenom FX-7750 Quad-Core 【分数:3616】【第334名】Intel Xeon X5472 @ 3.00GHz 【分数:3615】【第335名】AMD Athlon II X4 651 Quad-Core 【分数:3613】【第336名】Intel Core2 Quad Q9505 @ 2.83GHz 【分数:3605】【第337名】Intel Core2 Extreme Q6800 @ 2.93GHz 【分数:3603】【第338名】Intel Xeon E5607 @ 2.27GHz 【分数:3602】【第339名】Intel Core i3-2100 @ 3.10GHz 【分数:3602】【第340名】Intel Core i5-3427U @ 1.80GHz 【分数:3600】【第341名】AMD Phenom II X4 B25 【分数:3595】【第342名】AMD Athlon X4 645 【分数:3595】【第343名】AMD Phenom II X4 830 【分数:3592】【第344名】Intel Core i5 K 655 @ 3.20GHz 【分数:3582】【第345名】AMD Phenom II X4 10 【分数:3580】【第346名】AMD A8-3850 APU 【分数:3580】【第347名】Intel Core i5-4250U @ 1.30GHz 【分数:3572】【第348名】AMD Phenom II X4 850 【分数:3568】【第349名】Intel Xeon E3-1220L @ 2.20GHz 【分数:3563】【第350名】AMD Phenom II X4 B40 【分数:3553】【第351名】Intel Core Q 820 @ 1.73GHz 【分数:3551】【第352名】Intel Core i5-2520M @ 2.50GHz 【分数:3545】【第353名】Quad-Core AMD Opteron 2386 SE 【分数:3538】【第354名】AMD Phenom II X4 925 【分数:3520】【第355名】AMD Athlon II X4 645 【分数:3517】【第356名】AMD Phenom II X4 B93 【分数:3517】【第357名】Intel Core i5-3437U @ 1.90GHz 【分数:3504】【第358名】Intel Xeon E5-2603 @ 1.80GHz 【分数:3499】【第359名】Intel Xeon E5420 @ 2.50GHz 【分数:3492】【第360名】AMD Phenom II 42 TWKR Black Edition 【分数:3489】【第361名】Intel Xeon X5365 @ 3.00GHz 【分数:3488】【第362名】AMD Athlon II X4 641 Quad-Core 【分数:3473】【第363名】Intel Core2 Extreme Q9300 @ 2.53GHz 【分数:3468】【第364名】AMD Phenom II X4 920 【分数:3466】【第365名】AMD Athlon X4 640 【分数:3461】【第366名】AMD Phenom II X4 820 【分数:3458】【第367名】AMD A10-4657M APU 【分数:3449】【第368名】Intel Core i5-2450M @ 2.50GHz 【分数:3447】【第369名】AMD Phenom FX-5200 Quad-Core 【分数:3436】【第370名】Intel Core2 Quad Q9400 @ 2.66GHz 【分数:3415】【第371名】Intel Core i7 Q 840 @ 1.87GHz 【分数:3399】【第372名】Intel Xeon L5420 @ 2.50GHz 【分数:3389】【第373名】Intel Core2 Quad Q6700 @ 2.66GHz 【分数:3373】【第378名】Intel Xeon X3320 @ 2.50GHz 【分数:3352】【第379名】AMD A6-3670 APU 【分数:3352】【第380名】Intel Core 750 @ 2.67GHz 【分数:3329】【第381名】Intel Core i5-4200U @ 1.60GHz 【分数:3305】【第382名】Intel Core i5-2435M @ 2.40GHz 【分数:3305】【第383名】AMD A6-3650 APU 【分数:3299】【第384名】Intel Core i3-3120M @ 2.50GHz 【分数:3296】【第385名】Quad-Core AMD Opteron 2378 【分数:3296】【第386名】AMD Phenom II X4 910 【分数:3291】【第387名】Intel Core i5-2415M @ 2.30GHz 【分数:3285】【第388名】AMD A8-5550M APU 【分数:3285】【第389名】Intel Core i5-2515E @ 2.50GHz 【分数:3282】【第390名】AMD Phenom II X3 B77 【分数:3276】【第391名】Intel Core i5 670 @ 3.47GHz 【分数:3268】【第392名】AMD A8-3820 APU 【分数:3266】【第393名】AMD Athlon II X4 635 【分数:3261】【第394名】Intel Core2 Quad Q9100 @ 2.26GHz 【分数:3259】【第395名】AMD Athlon II X4 631 Quad-Core 【分数:3258】【第396名】Intel Core i5-2430M @ 2.40GHz 【分数:3257】【第397名】Intel Core i7 Q 740 @ 1.73GHz 【分数:3252】【第398名】Intel Xeon X3430 @ 2.40GHz 【分数:3244】【第399名】AMD Phenom II X4 810 【分数:3244】【第400名】Intel Core2 Quad Q8400 @ 2.66GHz 【分数:3241】【第401名】Intel Xeon X5355 @ 2.66GHz 【分数:3230】【第402名】AMD Phenom 9850B Quad-Core 【分数:3229】【第403名】Intel Xeon E5410 @ 2.33GHz 【分数:3228】【第404名】Intel Core i5-3337U @ 1.80GHz 【分数:3219】【第405名】Intel Core i7 Q 820 @ 1.73GHz 【分数:3218】【第406名】AMD Phenom II X4 B15e 【分数:3217】【第407名】Intel Xeon E5507 @ 2.27GHz 【分数:3212】【第408名】AMD A8-3800 APU 【分数:3197】【第409名】Intel Core i5-2410M @ 2.30GHz 【分数:3189】【第410名】Intel Core2 Quad Q9300 @ 2.50GHz 【分数:3185】【第411名】Intel Xeon X3220 @ 2.40GHz 【分数:3181】【第412名】Intel Core i5 660 @ 3.33GHz 【分数:3166】【第413名】AMD Athlon II X4 630 【分数:3158】【第414名】Intel Core i5 650 @ 3.20GHz 【分数:3149】【第415名】AMD A10-4600M APU 【分数:3146】【第416名】Intel Core i5-3317U @ 1.70GHz 【分数:3140】【第417名】Intel Xeon E5506 @ 2.13GHz 【分数:3133】【第418名】AMD A10-5757M APU 【分数:3132】【第419名】Intel Pentium G2030 @ 3.00GHz 【分数:3131】【第420名】Intel Pentium G2130 @ 3.20GHz 【分数:3126】【第421名】Intel Core i5 661 @ 3.33GHz 【分数:3124】【第422名】Intel Core i7-2637M @ 1.70GHz 【分数:3119】【第423名】Intel Core i5-2510E @ 2.50GHz 【分数:3116】【第424名】AMD Phenom II X4 805 【分数:3106】【第425名】AMD Athlon X4 620 【分数:3086】【第426名】AMD Opteron 2427 【分数:3069】【第427名】AMD Athlon X3 450 【分数:3064】【第428名】AMD Athlon X4 630 【分数:3063】【第429名】Intel Core i7 Q 720 @ 1.60GHz 【分数:3062】【第430名】Intel Pentium G2120 @ 3.10GHz 【分数:3055】【第431名】AMD Phenom II X3 715 【分数:3054】【第432名】Intel Core i3-3110M @ 2.40GHz 【分数:3054】【第433名】Intel Core2 Quad Q8300 @ 2.50GHz 【分数:3048】【第434名】AMD Phenom 9950 Quad-Core 【分数:3041】【第435名】Intel Core i3-2120T @ 2.60GHz 【分数:3039】【第436名】AMD Phenom II X4 905e 【分数:3033】【第437名】AMD Athlon II X3 460 【分数:3029】【第438名】AMD Phenom II X4 05e 【分数:3021】【第439名】AMD Phenom II X3 740 【分数:3012】【第440名】AMD Phenom 2 X4 12000 【分数:3005】【第441名】Intel Core Q 720 @ 1.60GHz 【分数:3002】【第442名】Intel Core i3-2100T @ 2.50GHz 【分数:2998】【第443名】AMD Phenom 7950 Quad-Core 【分数:2991】【第444名】AMD Phenom II X4 840 【分数:2981】【第445名】Intel Core2 Quad Q6600 @ 2.40GHz 【分数:2974】【第446名】Intel Xeon E5405 @ 2.00GHz 【分数:2962】【第447名】AMD R-464L APU 【分数:2960】【第448名】Intel Core i7-2617M @ 1.50GHz 【分数:2959】【第449名】Quad-Core AMD Opteron 2374 HE 【分数:2951】【第450名】Quad-Core AMD Opteron 2356 【分数:2946】【第451名】AMD Phenom 9850 Quad-Core 【分数:2945】【第452名】AMD Athlon II X4 620 【分数:2944】【第453名】AMD Opteron 4122 【分数:2942】【第454名】AMD Opteron 6134 【分数:2938】【第455名】AMD A6-3620 APU 【分数:2922】【第456名】Intel Xeon E5345 @ 2.33GHz 【分数:2909】【第457名】Intel Core i3 550 @ 3.20GHz 【分数:2907】【第458名】AMD Athlon II X4 620e 【分数:2906】【第459名】Intel Core i7 M 640 @ 2.80GHz 【分数:2903】【第460名】Intel Core i3 560 @ 3.33GHz 【分数:2897】【第461名】AMD Athlon X4 635 【分数:2891】【第462名】Intel Core i7-2655LE @ 2.20GHz 【分数:2882】【第463名】AMD Athlon II X4 615e 【分数:2868】【第464名】AMD A8-3550MX APU 【分数:2866】【第465名】Intel Core i3-2370M @ 2.40GHz 【分数:2864】【第466名】Intel Core i7-2677M @ 1.80GHz 【分数:2862】【第467名】AMD A6-3600 APU 【分数:2859】【第468名】Intel Pentium G860 @ 3.00GHz 【分数:2852】【第473名】AMD Phenom FX-5000 Quad-Core 【分数:2837】【第474名】Celeron Dual-Core Q8300 @ 2.50GHz 【分数:2837】【第475名】Intel Pentium G870 @ 3.10GHz 【分数:2833】【第476名】Intel Core2 Quad Q8200 @ 2.33GHz 【分数:2829】【第477名】AMD Athlon II X3 455 【分数:2826】【第478名】AMD A10-5745M APU 【分数:2822】【第479名】AMD Phenom II X920 Quad-Core 【分数:2821】【第480名】Quad-Core AMD Opteron 2350 【分数:2820】【第481名】Intel Core i7 E 610 @ 2.53GHz 【分数:2800】【第482名】Intel Xeon X5272 @ 3.40GHz 【分数:2796】【第483名】AMD Phenom II X4 B05e 【分数:2781】【第484名】Intel Celeron G1620 @ 2.70GHz 【分数:2768】【第485名】Intel E3000 @ 3.40GHz 【分数:2767】【第486名】AMD Athlon II X4 610e 【分数:2765】【第487名】AMD Phenom II X3 720 【分数:2752】【第488名】AMD Athlon II X4 600e 【分数:2751】【第489名】Intel Pentium 1403 @ 2.60GHz 【分数:2747】【第490名】Intel Core i7 M 620 @ 2.67GHz 【分数:2734】【第491名】Intel Core i5-2557M @ 1.70GHz 【分数:2734】【第492名】Intel Xeon E5504 @ 2.00GHz 【分数:2733】【第493名】AMD A8-4500M APU 【分数:2726】【第494名】AMD Phenom X4 Quad-Core GP-9830 【分数:2715】【第495名】Intel Core i5 M 580 @ 2.67GHz 【分数:2705】【第496名】Quad-Core AMD Opteron 1381 【分数:2704】【第497名】Intel Pentium G850 @ 2.90GHz 【分数:2690】【第498名】AMD Phenom X4 Quad-Core GP-9930 【分数:2690】【第499名】AMD Athlon II X4 605e 【分数:2688】【第500名】Intel Core i3-2350M @ 2.30GHz 【分数:2676】【第501名】Intel Core i3 540 @ 3.07GHz 【分数:2673】【第502名】AMD Phenom II X3 B73 【分数:2669】【第503名】Intel Core i3-2328M @ 2.20GHz 【分数:2662】【第504名】AMD Phenom 9750B Quad-Core 【分数:2660】【第505名】Intel Xeon E5335 @ 2.00GHz 【分数:2657】【第506名】AMD Athlon II X3 450 【分数:2653】【第507名】Quad-Core AMD Opteron 1352 【分数:2653】【第508名】Intel Core i5-3339Y @ 1.50GHz 【分数:2651】【第509名】Quad-Core AMD Opteron 1356 【分数:2647】【第510名】AMD Phenom II X4 900e 【分数:2646】【第511名】Intel Core i3-2348M @ 2.30GHz 【分数:2646】【第512名】AMD A8-5557M APU 【分数:2640】【第513名】Quad-Core AMD Opteron 2380 【分数:2640】【第514名】AMD Athlon X3 455 【分数:2636】【第515名】Intel Xeon X3210 @ 2.13GHz 【分数:2631】【第516名】AMD Phenom 9650 Quad-Core 【分数:2627】【第517名】Intel Pentium G2010 @ 2.80GHz 【分数:2619】【第518名】AMD Phenom 9450e Quad-Core 【分数:2618】【第519名】Intel Core i5 M 560 @ 2.67GHz 【分数:2611】【第520名】AMD Athlon II X3 440 【分数:2609】【第521名】Intel Pentium G645 @ 2.90GHz 【分数:2609】【第522名】AMD Athlon II X3 445 【分数:2606】【第523名】Intel Core i3-3227U @ 1.90GHz 【分数:2606】【第524名】AMD Phenom 9600B Quad-Core 【分数:2604】【第525名】AMD Athlon II X4 6400e 【分数:2594】【第526名】Intel Pentium G2020T @ 2.50GHz 【分数:2594】【第527名】Intel Core i3 530 @ 2.93GHz 【分数:2592】【第528名】Intel Celeron G1610 @ 2.60GHz 【分数:2586】【第529名】Intel Core2 Quad Q9000 @ 2.00GHz 【分数:2585】【第530名】Quad-Core AMD Opteron 1354 【分数:2563】【第531名】Intel Pentium G840 @ 2.80GHz 【分数:2555】【第532名】AMD Phenom II N950 Quad-Core 【分数:2549】【第533名】AMD Phenom II X3 710 【分数:2548】【第534名】Intel Core i3-2330M @ 2.20GHz 【分数:2538】【第535名】AMD Phenom II N970 Quad-Core 【分数:2535】【第536名】Intel Xeon X5260 @ 3.33GHz 【分数:2523】【第537名】Intel Pentium G640 @ 2.80GHz 【分数:2517】【第538名】Intel Xeon L5320 @ 1.86GHz 【分数:2505】【第539名】AMD Athlon X4 605e 【分数:2505】【第540名】Intel Xeon E5240 @ 3.00GHz 【分数:2492】【第541名】Intel Celeron G555 @ 2.70GHz 【分数:2486】【第542名】AMD Athlon II X3 435 【分数:2485】【第543名】AMD Phenom 9550 Quad-Core 【分数:2476】【第544名】Intel Pentium G645T @ 2.50GHz 【分数:2472】【第545名】Intel Xeon E5603 @ 1.60GHz 【分数:2463】【第546名】AMD Athlon X3 435 【分数:2461】【第547名】Intel Xeon E3120 @ 3.16GHz 【分数:2459】【第548名】Intel Core i5 M 480 @ 2.67GHz 【分数:2457】【第549名】Intel Core i7-2610UE @ 1.50GHz 【分数:2454】【第550名】AMD A6-5200 APU 【分数:2449】【第551名】AMD A8-3510MX APU 【分数:2440】【第552名】Intel Pentium G630 @ 2.70GHz 【分数:2432】【第553名】Intel Core2 Duo E8600 @ 3.33GHz 【分数:2424】【第554名】Intel Xeon L5240 @ 3.00GHz 【分数:2420】【第555名】AMD A10-4655M APU 【分数:2409】【第556名】AMD A6-6400K APU 【分数:2407】【第557名】Intel Core i5 M 460 @ 2.53GHz 【分数:2400】【第558名】Intel Core i3-2310M @ 2.10GHz 【分数:2391】【第559名】Intel Core i5 520M @ 2.40GHz 【分数:2391】【第560名】AMD Phenom II X4 8700e 【分数:2377】【第561名】AMD Athlon II X3 425 【分数:2376】【第562名】Intel Core2 Duo T9900 @ 3.06GHz 【分数:2370】【第563名】Intel Core i5 540M @ 2.53GHz 【分数:2364】【第568名】Intel Core i3 M 390 @ 2.67GHz 【分数:2335】【第569名】Intel Celeron G540 @ 2.50GHz 【分数:2329】【第570名】Intel Celeron G550 @ 2.60GHz 【分数:2328】【第571名】AMD Phenom X4 Quad-Core GP-9600 【分数:2328】【第572名】Intel Core i7 L 640 @ 2.13GHz 【分数:2327】【第573名】Intel Pentium 2020M @ 2.40GHz 【分数:2327】【第574名】AMD Phenom 9600 Quad-Core 【分数:2322】【第575名】AMD Athlon X3 445 【分数:2314】【第576名】Intel Pentium G6951 @ 2.80GHz 【分数:2311】【第577名】AMD A8-4555M APU 【分数:2311】【第578名】AMD Phenom II X3 705e 【分数:2310】【第579名】Intel Core i5-2467M @ 1.60GHz 【分数:2298】【第580名】Intel Core2 Duo E8500 @ 3.16GHz 【分数:2287】【第581名】AMD Phenom II X3 700e 【分数:2286】【第582名】Intel Core i3-3217U @ 1.80GHz 【分数:2285】【第583名】Quad-Core AMD Opteron 2376 【分数:2283】【第584名】AMD A6-3430MX APU 【分数:2275】【第585名】AMD Phenom 9350e Quad-Core 【分数:2266】【第586名】AMD Athlon II X2 B28 【分数:2264】【第587名】Intel Pentium G620 @ 2.60GHz 【分数:2260】【第588名】AMD Phenom II X620 Dual-Core 【分数:2258】【第589名】AMD Athlon X3 440 【分数:2256】【第590名】Quad-Core AMD Opteron 8354 【分数:2255】【第591名】AMD Athlon X3 425 【分数:2255】【第592名】Intel Core2 Extreme X9100 @ 3.06GHz 【分数:2254】【第593名】Intel Core2 Duo E8435 @ 3.06GHz 【分数:2251】【第594名】Quad-Core AMD Opteron 2393 SE 【分数:2246】【第595名】Intel Core i5 520 @ 2.40GHz 【分数:2244】【第596名】AMD Athlon II X3 425e 【分数:2239】【第597名】Intel Core2 Duo E8335 @ 2.93GHz 【分数:2238】【第598名】AMD Phenom 8850 Triple-Core 【分数:2237】【第599名】Intel Core2 T9550 @ 2.66GHz 【分数:2235】【第600名】AMD Phenom 9500 Quad-Core 【分数:2233】。
2014CPU天梯图排名CPU型号大全,1799款CPU综合得分2014年度初期包含1799种CPU天梯图排名已经出炉,下面电脑维修之家小编为大家介绍一下2014年CPU型号大全,1799款CPU综合得分。
共1799款天梯综合得分,各位网友对号入座,看看自己的CPU能得多少分吧。
天梯1名Intel 至强E5-2687W v2 @ 3.40GHz 17097分天梯2名Intel 至强E5-2690 v2 @ 3.00GHz 16164分天梯3名Intel 至强E5-2687W @ 3.10GHz 14634分天梯4名Intel 至强E5-2690 @ 2.90GHz 14451分天梯5名Intel 酷睿i7-4960X @ 3.60GHz 14176分天梯6名Intel 至强E5-2689 @ 2.60GHz 13910分天梯7名Intel 至强E5-2670 @ 2.60GHz 13312分天梯8名Intel 酷睿i7-4930K @ 3.40GHz 13092分天梯9名Intel 至强E5-2680 @ 2.70GHz 12973分天梯10名Intel 酷睿i7-3970X @ 3.50GHz 12802分天梯11名Intel 酷睿i7-3960X @ 3.30GHz 12732分天梯12名Intel 至强E5-1660 @ 3.30GHz 12484分天梯13名Intel 至强E5-2665 @ 2.40GHz 12472分天梯14名Intel 至强E5-2650 v2 @ 2.60GHz 12366分天梯15名Intel 酷睿i7-3930K @ 3.20GHz 12094分天梯16名Intel 至强E5-2660 @ 2.20GHz 11979分天梯17名Intel 至强E5-4650 @ 2.70GHz 11801分天梯18名Intel 至强E5-1650 v2 @ 3.50GHz 11755分天梯19名Intel 至强E5-1650 @ 3.20GHz 11634分天梯20名Intel 至强E5-2470 @ 2.30GHz 11149分天梯21名Intel 至强E5-2650 @ 2.00GHz 10569分天梯22名Intel 至强E5-2667 @ 2.90GHz 10482分天梯23名Intel 酷睿i7-4820K @ 3.70GHz 10423分天梯24名AMD FX-9590 Eight-酷睿10414分天梯25名Intel 至强E5-2630 v2 @ 2.60GHz 10329分天梯26名Intel 至强E3-1275 v3 @ 3.50GHz 10160分天梯27名Intel 酷睿i7-4770K @ 3.50GHz 10148分天梯28名Intel 至强E3-1270 v3 @ 3.50GHz 10118分天梯29名Intel 至强E3-1280 v3 @ 3.60GHz 10110分天梯30名Intel 酷睿i7-4771 @ 3.50GHz 10017分天梯31名Intel 酷睿i7-4770 @ 3.40GHz 9971分天梯32名Intel 至强E3-1290 V2 @ 3.70GHz 9942分天梯33名Intel 至强W3690 @ 3.47GHz 9880分天梯34名Intel 至强E3-1240 v3 @ 3.40GHz 9870分天梯36名Intel 至强E3-1280 V2 @ 3.60GHz 9795分天梯37名AMD FX-9370 Eight-酷睿9763分天梯38名Intel 至强E5-2640 @ 2.50GHz 9761分天梯39名Intel 至强E5-2658 @ 2.10GHz 9738分天梯40名Intel 酷睿i7-4960HQ @ 2.60GHz 9721分天梯41名Intel 至强E3-1270 V2 @ 3.50GHz 9646分天梯42名Intel 酷睿i7-4930MX @ 3.00GHz 9628分天梯43名Intel 酷睿i7-3770K @ 3.50GHz 9577分天梯44名Intel 至强E5-1620 v2 @ 3.70GHz 9556分天梯45名Intel 至强E3-1230 v3 @ 3.30GHz 9533分天梯46名Intel 至强E3-1275 V2 @ 3.50GHz 9446分天梯47名Intel 至强E3-1245 v3 @ 3.40GHz 9433分天梯48名Intel 酷睿i7-4850HQ @ 2.30GHz 9433分天梯49名Intel 酷睿i7-3770 @ 3.40GHz 9421分天梯50名Intel 酷睿i7 X 990 @ 3.47GHz 9393分天梯51名Intel 至强W3680 @ 3.33GHz 9362分天梯52名Intel 至强E3-1240 V2 @ 3.40GHz 9360分天梯53名Intel 酷睿i7-4900MQ @ 2.80GHz 9323分天梯54名Intel 至强X5690 @ 3.47GHz 9258分天梯55名Intel 酷睿i7-3920XM @ 2.90GHz 9196分天梯56名Intel 至强E5-1620 @ 3.60GHz 9172分天梯57名AMD Opteron 6282 SE 9116分天梯58名Intel 酷睿i7-3770S @ 3.10GHz 9097分天梯59名AMD FX-8350 Eight-酷睿9081分天梯60名Intel 酷睿i7-3940XM @ 3.00GHz 9052分天梯61名Intel 酷睿i7-3820 @ 3.60GHz 9003分天梯62名Intel 酷睿i7-3840QM @ 2.80GHz 9001分天梯63名Intel 至强E3-1265L v3 @ 2.50GHz 8998分天梯64名Intel 至强E3-1245 V2 @ 3.40GHz 8983分天梯65名Intel 酷睿i7 X 980 @ 3.33GHz 8922分天梯66名Intel 至强E3-1230 V2 @ 3.30GHz 8900分天梯67名Intel 酷睿i7-2700K @ 3.50GHz 8876分天梯68名Intel 至强E5-2630 @ 2.30GHz 8875分天梯69名Intel 酷睿i7-4770T @ 2.50GHz 8809分天梯70名Intel 酷睿i7 980 @ 3.33GHz 8770分天梯71名Intel 至强E3-1280 @ 3.50GHz 8762分天梯72名Intel 至强E3-1290 @ 3.60GHz 8704分天梯73名Intel 至强W3670 @ 3.20GHz 8650分天梯74名Intel 至强X5675 @ 3.07GHz 8630分天梯75名Intel 酷睿i7-4800MQ @ 2.70GHz 8594分天梯76名Intel 酷睿i7 970 @ 3.20GHz 8568分天梯78名Intel 酷睿i7-3820QM @ 2.70GHz 8517分天梯79名Intel 至强E5-2643 @ 3.30GHz 8515分天梯80名Intel 酷睿i7-2600K @ 3.40GHz 8469分天梯81名Intel 至强X5670 @ 2.93GHz 8457分天梯82名AMD Opteron 6376 8442分天梯83名Intel 0000 @ 2.80GHz 8415分天梯84名Intel 至强X5660 @ 2.80GHz 8356分天梯85名Intel 酷睿i7-3720QM @ 2.60GHz 8350分天梯86名Intel 至强E3-1240 @ 3.30GHz 8338分天梯87名Intel 酷睿i7-2600 @ 3.40GHz 8313分天梯88名Intel 至强E3-1265L V2 @ 2.50GHz 8306分天梯89名Intel 酷睿i7-3770T @ 2.50GHz 8280分天梯90名Intel 至强E3-1270 @ 3.40GHz 8182分天梯91名Intel 酷睿i7-4700HQ @ 2.40GHz 8161分天梯92名AMD FX-8320 Eight-酷睿8132分天梯93名Intel 酷睿i7-4750HQ @ 2.00GHz 8066分天梯94名Intel 至强E3-1230 @ 3.20GHz 8014分天梯95名Intel 至强E5-2620 @ 2.00GHz 8010分天梯96名Intel 至强E3-1245 @ 3.30GHz 7978分天梯97名Intel 酷睿i7-4700MQ @ 2.40GHz 7930分天梯98名Intel 至强E3-1275 @ 3.40GHz 7919分天梯99名Intel 酷睿i7-4702HQ @ 2.20GHz 7846分天梯100名Intel 酷睿i7-3630QM @ 2.40GHz 7754分天梯101名AMD FX-8150 Eight-酷睿7729分天梯102名Intel 酷睿i7-4702MQ @ 2.20GHz 7672分天梯103名Intel 至强X5650 @ 2.67GHz 7580分天梯104名Intel 酷睿i7-4765T @ 2.00GHz 7540分天梯105名Intel 酷睿i7-3610QM @ 2.30GHz 7528分天梯106名Intel 酷睿i5-4670K @ 3.40GHz 7518分天梯107名Intel 酷睿i5-4670 @ 3.40GHz 7500分天梯108名Intel 至强E5-2420 @ 1.90GHz 7395分天梯109名Intel 酷睿i7-2960XM @ 2.70GHz 7386分天梯110名Intel 酷睿i7-4700EQ @ 2.40GHz 7352分天梯111名Intel 至强X5687 @ 3.60GHz 7336分天梯112名Intel 酷睿i7-3615QM @ 2.30GHz 7312分天梯113名Intel 至强E3-1235 @ 3.20GHz 7302分天梯114名Intel 至强E5-2430 @ 2.20GHz 7288分天梯115名Intel 至强E3-1220 v3 @ 3.10GHz 7255分天梯116名Intel 至强E5-1410 @ 2.80GHz 7233分天梯117名Intel 至强E3-1225 v3 @ 3.20GHz 7179分天梯118名Intel 酷睿i7-2860QM @ 2.50GHz 7128分天梯120名AMD Opteron 6234 7093分天梯121名Intel 酷睿i7-2600S @ 2.80GHz 7089分天梯122名Intel 酷睿i7-3632QM @ 2.20GHz 7078分天梯123名Intel 至强E5649 @ 2.53GHz 7037分天梯124名Intel 酷睿i5-4570 @ 3.20GHz 7028分天梯125名AMD FX-6350 Six-酷睿6993分天梯126名Intel 酷睿i5-3570 @ 3.40GHz 6993分天梯127名Intel 酷睿i7-3612QE @ 2.10GHz 6988分天梯128名Intel 至强X5677 @ 3.47GHz 6966分天梯129名Intel 酷睿i7-2920XM @ 2.50GHz 6916分天梯130名Intel 酷睿i7-3612QM @ 2.10GHz 6902分天梯131名Intel 酷睿i5-3550 @ 3.30GHz 6849分天梯132名AMD FX-8140 Eight-酷睿6845分天梯133名Intel 至强W3580 @ 3.33GHz 6836分天梯134名Intel 酷睿i7-2760QM @ 2.40GHz 6834分天梯135名Intel 至强E3-1225 V2 @ 3.20GHz 6833分天梯136名Intel 酷睿i7-2840QM @ 2.40GHz 6766分天梯137名Intel 至强E5640 @ 2.67GHz 6712分天梯138名Intel 至强E5645 @ 2.40GHz 6708分天梯139名Intel 酷睿i5-4570S @ 2.90GHz 6654分天梯140名Intel 至强W3570 @ 3.20GHz 6638分天梯141名Intel 酷睿i5-3550S @ 3.00GHz 6631分天梯142名Intel 酷睿i5-3570S @ 3.10GHz 6605分天梯143名AMD FX-8120 Eight-酷睿6603分天梯144名Intel 酷睿i5-2550K @ 3.40GHz 6600分天梯145名Intel 酷睿i7-2820QM @ 2.30GHz 6580分天梯146名Intel 酷睿i5-3470 @ 3.20GHz 6579分天梯147名AMD Opteron 3380 6565分天梯148名Intel 至强E3-1220 V2 @ 3.10GHz 6519分天梯149名Intel 至强W5590 @ 3.33GHz 6517分天梯150名Intel 酷睿i7-3610QE @ 2.30GHz 6512分天梯151名Intel 酷睿i5-4570R @ 2.70GHz 6474分天梯152名Intel 酷睿i5-3450 @ 3.10GHz 6451分天梯153名Intel 酷睿i7-3635QM @ 2.40GHz 6410分天梯154名Intel 酷睿i5-4440 @ 3.10GHz 6409分天梯155名AMD FX-6300 Six-酷睿6402分天梯156名Intel 酷睿i5-2500K @ 3.30GHz 6370分天梯157名Intel 酷睿i5-4670T @ 2.30GHz 6351分天梯158名Intel 至强E3-1260L @ 2.40GHz 6313分天梯159名Intel 酷睿i5-4430 @ 3.00GHz 6300分天梯160名Intel 至强E3-1220 @ 3.10GHz 6248分天梯162名Intel 酷睿i7 975 @ 3.33GHz 6246分天梯163名Intel 酷睿i5-2500 @ 3.30GHz 6232分天梯164名Intel 酷睿i5-3350P @ 3.10GHz 6205分天梯165名Intel 酷睿i5-3340 @ 3.10GHz 6203分天梯166名AMD FX-6200 Six-酷睿6186分天梯167名AMD FX-8100 Eight-酷睿6163分天梯168名AMD Opteron 6174 6097分天梯169名Intel 酷睿i5-3470S @ 2.90GHz 6074分天梯170名Intel 酷睿i5-2450P @ 3.20GHz 6072分天梯171名Intel 酷睿i5-3450S @ 2.80GHz 6070分天梯172名Intel 至强L5638 @ 2.00GHz 6057分天梯173名Intel 酷睿i7-2635QM @ 2.00GHz 6039分天梯174名Intel 酷睿i7-2670QM @ 2.20GHz 6033分天梯175名Intel 酷睿i5-3475S @ 2.90GHz 5991分天梯176名Intel 酷睿i7 960 @ 3.20GHz 5974分天梯177名AMD Phenom II X6 1100T 5970分天梯178名Intel 至强X5647 @ 2.93GHz 5919分天梯179名Intel 至强E3-1225 @ 3.10GHz 5895分天梯180名Intel 酷睿i5-3330 @ 3.00GHz 5890分天梯181名Intel 酷睿i7 965 @ 3.20GHz 5826分天梯182名AMD FX-6120 Six-酷睿5811分天梯183名Intel 酷睿i5-2400 @ 3.10GHz 5790分天梯184名AMD Opteron 6212 5776分天梯185名Intel 酷睿i5-3335S @ 2.70GHz 5767分天梯186名Intel 至强E5-1607 @ 3.00GHz 5722分天梯187名AMD Phenom II X6 1090T 5709分天梯188名Intel 酷睿i5-3330S @ 2.70GHz 5692分天梯189名Intel 酷睿i7-2675QM @ 2.20GHz 5690分天梯190名Intel 酷睿i7 950 @ 3.07GHz 5685分天梯191名Intel 酷睿i7 880 @ 3.07GHz 5681分天梯192名Intel 酷睿i5-2320 @ 3.00GHz 5679分天梯193名Intel 至强X3470 @ 2.93GHz 5655分天梯194名Intel 酷睿i7-2630QM @ 2.00GHz 5601分天梯195名Intel 至强W3540 @ 2.93GHz 5521分天梯196名Intel 至强X5560 @ 2.80GHz 5510分天梯197名Intel 酷睿i7-3615QE @ 2.30GHz 5495分天梯198名Intel 酷睿i5-2310 @ 2.90GHz 5489分天梯199名Intel 酷睿i7 940 @ 2.93GHz 5482分天梯200名Intel 酷睿i5-2380P @ 3.10GHz 5470分天梯201名Intel 至强E5-1603 @ 2.80GHz 5463分天梯202名Intel 酷睿i7 870 @ 2.93GHz 5462分天梯203名Intel 至强X3450 @ 2.67GHz 5431分天梯204名AMD FX-6100 Six-酷睿5419分天梯205名Intel 酷睿i5-3570T @ 2.30GHz 5414分天梯206名AMD Phenom II X6 1075T 5393分天梯207名Intel 酷睿i7-2715QE @ 2.10GHz 5380分天梯208名Intel 酷睿i7 K 875 @ 2.93GHz 5380分天梯209名Intel 至强X5570 @ 2.93GHz 5369分天梯210名Intel 至强X5550 @ 2.67GHz 5355分天梯211名AMD Opteron 6164 HE 5351分天梯212名AMD FX-4350 Quad-酷睿5231分天梯213名AMD Opteron 6128 5210分天梯214名Intel 酷睿i5-2300 @ 2.80GHz 5209分天梯215名Intel 酷睿i7 930 @ 2.80GHz 5176分天梯216名Intel 至强X5672 @ 3.20GHz 5148分天梯217名Intel 酷睿i5-2405S @ 2.50GHz 5132分天梯218名AMD Phenom II X6 1065T 5122分天梯219名Intel 至强E5630 @ 2.53GHz 5104分天梯220名AMD Opteron 6272 5104分天梯221名Intel 酷睿i7 860 @ 2.80GHz 5098分天梯222名AMD A10-6800K APU 5096分天梯223名AMD Phenom II X6 1055T 5053分天梯224名Intel 酷睿i7 S 870 @ 2.67GHz 5052分天梯225名Intel 酷睿i5-2500S @ 2.70GHz 5026分天梯226名Intel 酷睿i7 920 @ 2.67GHz 5023分天梯227名Intel 至强W3520 @ 2.67GHz 4990分天梯228名Intel 至强X3460 @ 2.80GHz 4975分天梯229名Intel 至强E5540 @ 2.53GHz 4971分天梯230名AMD Athlon II X4 559 4951分天梯231名Intel 酷睿i3-4130 @ 3.40GHz 4933分天梯232名Intel 酷睿i5-24050S @ 2.50GHz 4928分天梯233名Intel 至强E5620 @ 2.40GHz 4928分天梯234名Intel 酷睿i3-4330 @ 3.50GHz 4925分天梯235名Intel 酷睿2 Extreme X9750 @ 3.16GHz 4921分天梯236名AMD Phenom II X6 1045T 4910分天梯237名Intel 酷睿i7-4600M @ 2.90GHz 4892分天梯238名Intel 酷睿i7 S 860 @ 2.53GHz 4864分天梯239名Intel 酷睿i5-2400S @ 2.50GHz 4859分天梯240名AMD A8-6600K APU 4851分天梯241名Intel 酷睿i7-3540M @ 3.00GHz 4840分天梯242名Intel 酷睿i3-3250 @ 3.50GHz 4831分天梯243名Intel 至强E5530 @ 2.40GHz 4825分天梯244名Intel 至强X5482 @ 3.20GHz 4810分天梯246名AMD A10-5800B APU 4798分天梯247名AMD FX-4170 Quad-酷睿4793分天梯248名Intel 酷睿2 Extreme X9770 @ 3.20GHz 4787分天梯249名AMD Phenom II X6 1035T 4775分天梯250名Intel 至强W3565 @ 3.20GHz 4756分天梯251名Intel 至强X3380 @ 3.16GHz 4755分天梯252名AMD Phenom II X4 980 4745分天梯253名AMD A10-6700 APU 4726分天梯254名AMD FX-4300 Quad-酷睿4722分天梯255名AMD A10-5800K APU 4693分天梯256名AMD Phenom II X4 975 4687分天梯257名Intel 至强W5580 @ 3.20GHz 4680分天梯258名Intel 酷睿i5-2500T @ 2.30GHz 4678分天梯259名Intel 至强W3550 @ 3.07GHz 4674分天梯260名Intel 酷睿i5-4288U @ 2.60GHz 4673分天梯261名Intel 至强E5520 @ 2.27GHz 4643分天梯262名Intel 至强E5-2609 @ 2.40GHz 4631分天梯263名Intel 酷睿i3-4340 @ 3.60GHz 4618分天梯264名Intel 至强X3370 @ 3.00GHz 4608分天梯265名AMD Athlon X4 760K Quad 酷睿4593分天梯266名Intel 酷睿i5-3470T @ 2.90GHz 4588分天梯267名Intel 酷睿i7-3520M @ 2.90GHz 4584分天梯268名Intel 酷睿i7-2710QE @ 2.10GHz 4580分天梯269名AMD Phenom II X4 B65 4548分天梯270名Intel 酷睿i5-3380M @ 2.90GHz 4532分天梯271名Six-酷睿AMD Opteron 2431 4516分天梯272名AMD Phenom II X4 970 4501分天梯273名AMD Phenom II X4 B99 4463分天梯274名AMD A8-6500 APU 4443分天梯275名Intel 酷睿i5-4200M @ 2.50GHz 4428分天梯276名Intel 酷睿i3-3225 @ 3.30GHz 4399分天梯277名Intel 酷睿i5-4258U @ 2.40GHz 4381分天梯278名Intel 酷睿i3-3245 @ 3.40GHz 4375分天梯279名AMD Athlon X4 750K Quad 酷睿4368分天梯280名Intel 至强X5460 @ 3.16GHz 4360分天梯281名AMD A8-5600K APU 4357分天梯282名Intel 酷睿2 Extreme X9650 @ 3.00GHz 4352分天梯283名Intel 至强L5530 @ 2.40GHz 4351分天梯284名Intel 酷睿i7-4650U @ 1.70GHz 4345分天梯285名Intel 酷睿X 920 @ 2.00GHz 4339分天梯286名Intel 至强X5450 @ 3.00GHz 4335分天梯288名Intel 酷睿i7-3687U @ 2.10GHz 4326分天梯289名AMD Phenom II X4 40 4325分天梯290名Intel 至强L5520 @ 2.27GHz 4324分天梯291名Intel 酷睿i5-3360M @ 2.80GHz 4308分天梯292名Intel 酷睿i7-3555LE @ 2.50GHz 4298分天梯293名Intel 酷睿i5-3340M @ 2.70GHz 4293分天梯294名AMD Phenom II X4 965 4287分天梯295名Intel 酷睿i3-2140 @ 3.50GHz 4285分天梯296名Intel 至强W3530 @ 2.80GHz 4275分天梯297名Intel 至强X5698 @ 4.40GHz 4272分天梯298名Intel 酷睿i3-3240 @ 3.40GHz 4247分天梯299名AMD A10-5700 APU 4246分天梯300名Intel 酷睿2 Quad Q9650 @ 3.00GHz 4228分天梯301名Intel 酷睿i3-3220 @ 3.30GHz 4219分天梯302名Intel 至强E5450 @ 3.00GHz 4203分天梯303名Intel 酷睿i5-3320M @ 2.60GHz 4114分天梯304名Intel 酷睿i7 X 940 @ 2.13GHz 4110分天梯305名AMD Phenom II X4 20 4090分天梯306名AMD A8-5500B APU 4086分天梯307名AMD FX-4130 Quad-酷睿4080分天梯308名Intel 酷睿i3-2125 @ 3.30GHz 4075分天梯309名Intel 酷睿2 Quad Q9550 @ 2.83GHz 4071分天梯310名Intel 至强X3440 @ 2.53GHz 4066分天梯311名AMD Phenom II X4 B60 4061分天梯312名AMD A8-5500 APU 4060分天梯313名AMD FX-4100 Quad-酷睿4054分天梯314名Intel 酷睿i3-2130 @ 3.40GHz 4022分天梯315名Intel 至强X3360 @ 2.83GHz 4021分天梯316名AMD Phenom II X4 955 4017分天梯317名AMD Opteron 3350 HE 4004分天梯318名Intel 酷睿i7-3667U @ 2.00GHz 3999分天梯319名Intel 酷睿i5-3230M @ 2.60GHz 3999分天梯320名Intel 酷睿i7-2640M @ 2.80GHz 3996分天梯321名Intel 至强E5462 @ 2.80GHz 3985分天梯322名AMD Athlon X4 740 Quad 酷睿3974分天梯323名AMD Phenom II X4 B97 3973分天梯324名Intel 酷睿i5-2390T @ 2.70GHz 3970分天梯325名Intel 至强E5440 @ 2.83GHz 3960分天梯326名AMD Athlon II X4 555 3956分天梯327名Intel 酷睿2 Quad Q9705 @ 3.16GHz 3947分天梯328名AMD Phenom Ultra X4 24500 3945分天梯330名Intel 至强L3426 @ 1.87GHz 3943分天梯331名Intel 酷睿i3-4130T @ 2.90GHz 3938分天梯332名Intel 至强E5430 @ 2.66GHz 3922分天梯333名Intel 至强L5410 @ 2.33GHz 3921分天梯334名Intel 酷睿i5-4300U @ 1.90GHz 3917分天梯335名AMD Phenom II X4 960T 3914分天梯336名Intel 酷睿i7-3537U @ 2.00GHz 3911分天梯337名Intel 酷睿i7-4500U @ 1.80GHz 3908分天梯338名AMD Athlon II X4 553 3906分天梯339名Intel 酷睿i3-2120 @ 3.30GHz 3881分天梯340名Intel 酷睿i5 760 @ 2.80GHz 3870分天梯341名Intel 至强X3350 @ 2.66GHz 3867分天梯342名Intel 酷睿i7-2620M @ 2.70GHz 3847分天梯343名AMD Phenom II X4 B50 3813分天梯344名Intel 酷睿i3-2105 @ 3.10GHz 3811分天梯345名Intel 酷睿i5-3210M @ 2.50GHz 3809分天梯346名Intel 酷睿2 Quad Q9450 @ 2.66GHz 3807分天梯347名Intel 酷睿i3-3210 @ 3.20GHz 3796分天梯348名Intel 酷睿i3-3240T @ 2.90GHz 3793分天梯349名Intel Pentium G3430 @ 3.30GHz 3782分天梯350名AMD Phenom II X4 B55 3763分天梯351名AMD Phenom II X4 977 3750分天梯352名AMD Phenom II X4 945 3740分天梯353名Intel 酷睿i5 750 @ 2.67GHz 3733分天梯354名AMD Phenom II X4 B95 3731分天梯355名AMD Phenom II X4 840T 3729分天梯356名Intel 酷睿i7-3517U @ 1.90GHz 3727分天梯357名Intel 酷睿2 Quad Q9500 @ 2.83GHz 3715分天梯358名Intel 至强L5506 @ 2.13GHz 3715分天梯359名Intel 至强X3230 @ 2.66GHz 3706分天梯360名Intel 酷睿i3-3220T @ 2.80GHz 3705分天梯361名Intel 酷睿2 Extreme Q6850 @ 3.00GHz 3704分天梯362名AMD Phenom II X4 10 3703分天梯363名AMD A8-3870K APU 3685分天梯364名Intel 至强X3330 @ 2.66GHz 3681分天梯365名AMD Phenom II X4 973 3672分天梯366名AMD Phenom II X4 B35 3664分天梯367名AMD Athlon II X4 650 3663分天梯368名AMD Phenom II X4 940 3662分天梯369名AMD Athlon II X4 651 Quad-酷睿3659分天梯370名Intel 酷睿i3-3130M @ 2.60GHz 3655分天梯372名AMD Phenom II X4 B45 3637分天梯373名Intel 至强L5420 @ 2.50GHz 3631分天梯374名Intel 酷睿i5-2540M @ 2.60GHz 3628分天梯375名AMD Phenom FX-7750 Quad-酷睿3616分天梯376名Intel 至强X5472 @ 3.00GHz 3615分天梯377名AMD Phenom II X4 850 3612分天梯378名Intel 酷睿i5-4350U @ 1.40GHz 3604分天梯379名Intel 酷睿i3-2100 @ 3.10GHz 3604分天梯380名Intel 至强E5607 @ 2.27GHz 3602分天梯381名AMD Athlon X4 645 3595分天梯382名AMD Phenom II X4 830 3591分天梯383名Intel 酷睿2 Quad Q9505 @ 2.83GHz 3590分天梯384名Intel 酷睿i5-4250U @ 1.30GHz 3586分天梯385名Intel 酷睿i5-3427U @ 1.80GHz 3580分天梯386名Intel 至强E3-1220L @ 2.20GHz 3563分天梯387名Intel 酷睿i7 920XM @ 2.00GHz 3556分天梯388名AMD Phenom II X4 B40 3553分天梯389名AMD A8-3850 APU 3552分天梯390名AMD Phenom II X4 B93 3549分天梯391名Intel 酷睿2 Extreme Q9300 @ 2.53GHz 3548分天梯392名AMD Phenom II X4 B25 3544分天梯393名Intel 酷睿2 Extreme Q6800 @ 2.93GHz 3543分天梯394名Intel 酷睿i5-2520M @ 2.50GHz 3542分天梯395名Quad-酷睿AMD Opteron 2386 SE 3538分天梯396名Quad-酷睿AMD Opteron 2384 3538分天梯397名Intel 酷睿i5-3437U @ 1.90GHz 3531分天梯398名AMD Phenom II X4 925 3516分天梯399名Intel 酷睿i3-4000M @ 2.40GHz 3508分天梯400名AMD Athlon II X4 645 3507分天梯401名AMD Athlon II X4 641 Quad-酷睿3499分天梯402名Intel 至强E5-2603 @ 1.80GHz 3496分天梯403名AMD Phenom II 42 TWKR Black Edition 3489分天梯404名Intel 至强X5365 @ 3.00GHz 3488分天梯405名Intel 酷睿i7-3689Y @ 1.50GHz 3479分天梯406名AMD Phenom II X4 820 3462分天梯407名AMD Athlon X4 640 3461分天梯408名AMD Phenom II X4 920 3456分天梯409名Intel 酷睿i7-3517UE @ 1.70GHz 3449分天梯410名AMD A10-4657M APU 3449分天梯411名Intel 酷睿i5-2450M @ 2.50GHz 3444分天梯412名Intel 酷睿2 Quad Q9400 @ 2.66GHz 3421分天梯413名Intel 000 @ 1.73GHz 3419分天梯414名Intel 酷睿i7 Q 840 @ 1.87GHz 3406分天梯415名Intel 至强E5420 @ 2.50GHz 3405分天梯416名Intel 酷睿i5 680 @ 3.60GHz 3397分天梯417名Intel 酷睿i5 K 655 @ 3.20GHz 3385分天梯418名Intel 至强X3320 @ 2.50GHz 3372分天梯419名AMD Athlon II X4 640 3360分天梯420名Intel 酷睿i5-4200U @ 1.60GHz 3359分天梯421名Intel 至强E5606 @ 2.13GHz 3353分天梯422名Intel 酷睿2 Quad Q6700 @ 2.66GHz 3352分天梯423名AMD A6-3670 APU 3351分天梯424名AMD A10-5750M APU 3347分天梯425名Intel 酷睿750 @ 2.67GHz 3329分天梯426名Intel 酷睿i5-2515E @ 2.50GHz 3313分天梯427名Intel 酷睿2 Quad Q9100 @ 2.26GHz 3313分天梯428名AMD Phenom II X4 910 3310分天梯429名Intel 酷睿i3-3120M @ 2.50GHz 3307分天梯430名Intel Pentium G3420 @ 3.20GHz 3303分天梯431名AMD Phenom II X4 910e 3296分天梯432名AMD A10-5757M APU 3278分天梯433名AMD Phenom II X3 B77 3276分天梯434名Intel 酷睿i5-3337U @ 1.80GHz 3276分天梯435名AMD Athlon II X4 635 3272分天梯436名Intel 至强X3430 @ 2.40GHz 3268分天梯437名Intel 酷睿i5-2430M @ 2.40GHz 3254分天梯438名Intel 酷睿i5-2435M @ 2.40GHz 3250分天梯439名Intel 至强X5355 @ 2.66GHz 3247分天梯440名AMD A6-3650 APU 3245分天梯441名Intel 酷睿2 Quad Q8400 @ 2.66GHz 3241分天梯442名Intel 酷睿i7 Q 740 @ 1.73GHz 3239分天梯443名Intel 酷睿i7 Q 820 @ 1.73GHz 3237分天梯444名Intel 酷睿i5-2415M @ 2.30GHz 3233分天梯445名AMD Phenom II X4 810 3231分天梯446名AMD Phenom 9850B Quad-酷睿3229分天梯447名AMD Athlon II X4 631 Quad-酷睿3222分天梯448名Intel 酷睿i5 670 @ 3.47GHz 3219分天梯449名AMD A8-3820 APU 3216分天梯450名Intel 至强E5507 @ 2.27GHz 3214分天梯451名Intel 至强E5410 @ 2.33GHz 3209分天梯452名Intel 酷睿i7-2630UM @ 1.60GHz 3204分天梯453名AMD A8-3800 APU 3203分天梯454名Intel 酷睿i5 661 @ 3.33GHz 3198分天梯455名Intel 酷睿i5-2410M @ 2.30GHz 3189分天梯456名Intel 酷睿2 Quad Q9300 @ 2.50GHz 3186分天梯457名Intel 酷睿i3-2120T @ 2.60GHz 3184分天梯458名Quad-酷睿AMD Opteron 2378 3176分天梯459名Intel 酷睿i5 660 @ 3.33GHz 3169分天梯460名AMD A8-5550M APU 3167分天梯461名AMD Athlon II X4 630 3165分天梯462名Intel Pentium G3220 @ 3.00GHz 3159分天梯463名Intel 酷睿i5 650 @ 3.20GHz 3153分天梯464名AMD A10-4600M APU 3144分天梯465名Intel 酷睿i7-2637M @ 1.70GHz 3132分天梯466名Intel Pentium G2130 @ 3.20GHz 3126分天梯467名Intel 酷睿i5-3317U @ 1.70GHz 3122分天梯468名Intel 至强E5506 @ 2.13GHz 3122分天梯469名Intel 至强X3220 @ 2.40GHz 3118分天梯470名Intel 酷睿i5-2510E @ 2.50GHz 3116分天梯471名AMD Phenom II X4 805 3113分天梯472名AMD Phenom II X4 B15e 3082分天梯473名Intel 酷睿i7 Q 720 @ 1.60GHz 3073分天梯474名Intel 酷睿i3-3110M @ 2.40GHz 3073分天梯475名AMD Opteron 2427 3069分天梯476名AMD Athlon X3 450 3064分天梯477名AMD Athlon X4 630 3063分天梯478名Intel Pentium G2030 @ 3.00GHz 3061分天梯479名Intel 酷睿i5-3439Y @ 1.50GHz 3057分天梯480名AMD Phenom II X3 715 3054分天梯481名Intel Pentium G2120 @ 3.10GHz 3043分天梯482名Intel 酷睿2 Quad Q8300 @ 2.50GHz 3039分天梯483名AMD Phenom 9950 Quad-酷睿3039分天梯484名AMD Phenom II X4 905e 3033分天梯485名AMD Phenom II X4 05e 3021分天梯486名AMD Athlon X4 620 3021分天梯487名AMD Phenom II X3 740 3012分天梯488名AMD Phenom 2 X4 12000 3005分天梯489名AMD Phenom 7950 Quad-酷睿2991分天梯490名AMD Phenom II X4 840 2981分天梯491名Intel 酷睿2 Quad Q6600 @ 2.40GHz 2973分天梯492名Intel 至强E5405 @ 2.00GHz 2969分天梯493名AMD R-464L APU 2960分天梯494名AMD Phenom II X3 B75 2958分天梯495名AMD Athlon II X3 460 2954分天梯496名AMD Athlon II X4 620 2954分天梯498名Quad-酷睿AMD Opteron 2374 HE 2951分天梯499名Quad-酷睿AMD Opteron 2356 2946分天梯500名AMD Opteron 4122 2942分天梯501名AMD Opteron 6134 2938分天梯502名Intel 至强E5345 @ 2.33GHz 2936分天梯503名AMD Phenom 9850 Quad-酷睿2936分天梯504名Intel 酷睿i7 M 640 @ 2.80GHz 2928分天梯505名Intel Celeron G1630 @ 2.80GHz 2924分天梯506名AMD A6-3620 APU 2915分天梯507名AMD A8-5557M APU 2909分天梯508名AMD Athlon II X4 620e 2906分天梯509名Intel 酷睿i3 550 @ 3.20GHz 2898分天梯510名AMD Athlon X4 635 2891分天梯511名Intel 酷睿i7-2655LE @ 2.20GHz 2882分天梯512名Intel Pentium G870 @ 3.10GHz 2871分天梯513名AMD Athlon II X4 615e 2868分天梯514名AMD A8-3550MX APU 2866分天梯515名Intel 酷睿i3-2370M @ 2.40GHz 2865分天梯516名Intel 酷睿i3 560 @ 3.33GHz 2864分天梯517名AMD Phenom 9750 Quad-酷睿2856分天梯518名Intel 酷睿i7-2677M @ 1.80GHz 2843分天梯519名AMD Athlon II X3 455 2841分天梯520名Intel Pentium G860 @ 3.00GHz 2840分天梯521名Intel 酷睿i3-2310E @ 2.10GHz 2838分天梯522名Celeron Dual-酷睿Q8300 @ 2.50GHz 2837分天梯523名AMD A6-3600 APU 2834分天梯524名Intel 酷睿i3-2100T @ 2.50GHz 2827分天梯525名AMD Phenom II X920 Quad-酷睿2821分天梯526名Quad-酷睿AMD Opteron 2350 2820分天梯527名Intel 酷睿2 Quad Q8200 @ 2.33GHz 2817分天梯528名Intel 酷睿i7-2617M @ 1.50GHz 2808分天梯529名Intel 酷睿i7 E 610 @ 2.53GHz 2800分天梯530名Intel 至强X5272 @ 3.40GHz 2796分天梯531名Intel Pentium G2020 @ 2.90GHz 2787分天梯532名AMD Phenom II X4 B05e 2781分天梯533名Intel Celeron G1620 @ 2.70GHz 2774分天梯534名Intel E3000 @ 3.40GHz 2767分天梯535名Intel 至强E5504 @ 2.00GHz 2765分天梯536名AMD Athlon II X4 610e 2765分天梯537名AMD Athlon II X4 600e 2751分天梯538名Intel Pentium 1403 @ 2.60GHz 2747分天梯540名AMD Athlon II X4 605e 2722分天梯541名AMD Phenom II X3 720 2721分天梯542名Intel 酷睿i7 M 620 @ 2.67GHz 2718分天梯543名AMD Phenom X4 Quad-酷睿GP-9830 2715分天梯544名AMD A8-4500M APU 2709分天梯545名Intel Pentium G850 @ 2.90GHz 2708分天梯546名Intel 至强X3210 @ 2.13GHz 2706分天梯547名Quad-酷睿AMD Opteron 1381 2704分天梯548名Intel 酷睿i5-2557M @ 1.70GHz 2692分天梯549名AMD Phenom X4 Quad-酷睿GP-9930 2690分天梯550名AMD A10-5745M APU 2685分天梯551名Intel 酷睿i5 M 580 @ 2.67GHz 2679分天梯552名Intel 酷睿i3 540 @ 3.07GHz 2676分天梯553名Intel 酷睿i3-2350M @ 2.30GHz 2672分天梯554名AMD Phenom II X3 B73 2669分天梯555名AMD Phenom FX-5000 Quad-酷睿2663分天梯556名AMD Athlon II X3 450 2659分天梯557名Quad-酷睿AMD Opteron 1352 2653分天梯558名Quad-酷睿AMD Opteron 1356 2647分天梯559名AMD Phenom II X4 900e 2646分天梯560名Intel 酷睿i3-2348M @ 2.30GHz 2644分天梯561名Quad-酷睿AMD Opteron 2380 2640分天梯562名AMD Athlon X3 455 2636分天梯563名AMD Phenom 9650 Quad-酷睿2631分天梯564名AMD Athlon II X3 445 2629分天梯565名Intel Pentium G2010 @ 2.80GHz 2623分天梯566名Intel 酷睿i5 M 560 @ 2.67GHz 2623分天梯567名AMD Phenom 9450e Quad-酷睿2618分天梯568名Intel Pentium G645 @ 2.90GHz 2608分天梯569名Intel Pentium 2030M @ 2.50GHz 2608分天梯570名Intel Pentium G2020T @ 2.50GHz 2604分天梯571名AMD Athlon II X4 6400e 2594分天梯572名Intel 酷睿i3 530 @ 2.93GHz 2593分天梯573名AMD Athlon II X3 440 2588分天梯574名Intel 至强E5335 @ 2.00GHz 2586分天梯575名Intel 酷睿i3-3227U @ 1.90GHz 2571分天梯576名AMD Phenom 9600B Quad-酷睿2568分天梯577名Intel Celeron G1610 @ 2.60GHz 2567分天梯578名Quad-酷睿AMD Opteron 1354 2563分天梯579名Intel Pentium G840 @ 2.80GHz 2560分天梯580名AMD Phenom II N950 Quad-酷睿2551分天梯581名Intel 酷睿i3-2330M @ 2.20GHz 2543分天梯582名Intel 酷睿i3-2328M @ 2.20GHz 2538分天梯583名AMD Phenom II X3 710 2536分天梯584名AMD Phenom II N970 Quad-酷睿2535分天梯585名AMD Phenom 9550 Quad-酷睿2511分天梯586名AMD A10-4655M APU 2510分天梯587名AMD Athlon X4 605e 2505分天梯588名Intel 至强L5320 @ 1.86GHz 2505分天梯589名Intel 酷睿i5-4570T @ 2.90GHz 2503分天梯590名Intel Pentium G645T @ 2.50GHz 2496分天梯591名Intel Pentium G640 @ 2.80GHz 2496分天梯592名Intel 酷睿2 Quad Q9000 @ 2.00GHz 2494分天梯593名Intel 至强E5240 @ 3.00GHz 2492分天梯594名Intel Celeron G555 @ 2.70GHz 2486分天梯595名Intel 酷睿i5 E 520 @ 2.40GHz 2486分天梯596名Intel 至强X5260 @ 3.33GHz 2485分天梯597名AMD Athlon II X3 435 2475分天梯598名Intel 至强E5603 @ 1.60GHz 2463分天梯599名AMD Athlon X3 435 2461分天梯600名Intel 至强E3120 @ 3.16GHz 2459分天梯601名AMD Athlon X2 370K Dual 酷睿2456分天梯602名Intel 酷睿i7-2610UE @ 1.50GHz 2454分天梯603名AMD A6-5200 APU 2450分天梯604名Intel 酷睿i5 M 480 @ 2.67GHz 2445分天梯605名AMD A8-3510MX APU 2442分天梯606名Intel 酷睿i3-4010U @ 1.70GHz 2421分天梯607名Intel 至强L5240 @ 3.00GHz 2420分天梯608名Intel 酷睿2 Duo E8600 @ 3.33GHz 2417分天梯609名Intel 酷睿i3-2310M @ 2.10GHz 2411分天梯610名Intel 至强L3110 @ 3.00GHz 2411分天梯611名Intel Pentium G630 @ 2.70GHz 2398分天梯612名AMD A6-6400K APU 2385分天梯613名Intel 酷睿i5-4210Y @ 1.50GHz 2382分天梯614名Intel 酷睿i5 M 460 @ 2.53GHz 2381分天梯615名AMD Phenom II X4 8700e 2377分天梯616名Intel 酷睿i5 540M @ 2.53GHz 2373分天梯617名Intel 酷睿i5-3339Y @ 1.50GHz 2373分天梯618名AMD Athlon II X3 425 2369分天梯619名Intel 酷睿i5 520M @ 2.40GHz 2369分天梯620名Intel 酷睿2 Duo T9900 @ 3.06GHz 2360分天梯621名AMD A8-5545M APU 2359分天梯622名Intel 酷睿2 Duo E8290 @ 2.83GHz 2353分天梯623名AMD Athlon II X3 415e 2352分天梯624名Intel 酷睿i7 L 640 @ 2.13GHz 2352分天梯625名Intel 酷睿i3 M 390 @ 2.67GHz 2352分天梯626名AMD Phenom 9600 Quad-酷睿2341分天梯627名AMD Phenom X4 Quad-酷睿GP-9600 2328分天梯628名Intel Pentium 2020M @ 2.40GHz 2323分天梯629名AMD Phenom II N930 Quad-酷睿2322分天梯630名AMD Athlon X3 445 2314分天梯631名Intel Pentium G6951 @ 2.80GHz 2311分天梯632名AMD Phenom II X3 705e 2310分天梯633名Intel Celeron G540 @ 2.50GHz 2303分天梯634名Intel Celeron G550 @ 2.60GHz 2300分天梯635名AMD Phenom 9350e Quad-酷睿2299分天梯636名Intel 酷睿i5-2467M @ 1.60GHz 2298分天梯637名Intel 酷睿2 Duo E8500 @ 3.16GHz 2291分天梯638名Intel 酷睿2 Duo E8435 @ 3.06GHz 2288分天梯639名AMD Phenom II X3 700e 2286分天梯640名Quad-酷睿AMD Opteron 2376 2283分天梯641名AMD A6-3430MX APU 2275分天梯642名Intel 酷睿i3-3217U @ 1.80GHz 2268分天梯643名Intel Celeron G1610T @ 2.30GHz 2268分天梯644名Intel Pentium G620 @ 2.60GHz 2264分天梯645名AMD A8-3530MX APU 2264分天梯646名Intel 酷睿i5-2537M @ 1.40GHz 2263分天梯647名AMD Athlon II X2 B28 2259分天梯648名AMD Phenom II X620 Dual-酷睿2258分天梯649名AMD Athlon X3 440 2256分天梯650名Quad-酷睿AMD Opteron 8354 2255分天梯651名AMD Athlon X3 425 2255分天梯652名AMD Athlon II X2 280 2252分天梯653名AMD A8-3520M APU 2250分天梯654名Quad-酷睿AMD Opteron 2393 SE 2246分天梯655名Intel 酷睿i5 520 @ 2.40GHz 2244分天梯656名Intel 酷睿2 Extreme X9100 @ 3.06GHz 2243分天梯657名AMD Athlon II X3 425e 2239分天梯658名Intel 酷睿2 Duo E8335 @ 2.93GHz 2238分天梯659名AMD Phenom 8850 Triple-酷睿2237分天梯660名AMD A8-4555M APU 2232分天梯661名AMD Phenom 9500 Quad-酷睿2229分天梯662名Intel 至强E5310 @ 1.60GHz 2228分天梯663名AMD A6-5400B APU 2225分天梯664名Intel 酷睿i3-2312M @ 2.10GHz 2223分天梯665名AMD Phenom 8850B Triple-酷睿2218分天梯666名Intel 酷睿2 Duo E8700 @ 3.50GHz 2212分天梯667名AMD A4-6300 APU 2211分天梯668名AMD Phenom X2 Dual-酷睿GE-5560 2206分天梯669名Intel 至强E3110 @ 3.00GHz 2203分天梯670名Intel Celeron G530 @ 2.40GHz 2185分天梯671名AMD Phenom II X2 560 2182分天梯672名Intel 酷睿i3 E 330 @ 2.13GHz 2182分天梯673名AMD A6-5400K APU 2180分天梯674名Pentium Dual-酷睿E6800 @ 3.33GHz 2179分天梯675名Intel 酷睿2 Duo E8400 @ 3.00GHz 2169分天梯676名AMD A6-5357M APU 2167分天梯677名Intel 酷睿i5 M 450 @ 2.40GHz 2166分天梯678名Intel Pentium G630T @ 2.30GHz 2161分天梯679名AMD Phenom 9150e Quad-酷睿2156分天梯680名AMD Phenom II X2 565 2149分天梯681名Intel Pentium G6960 @ 2.93GHz 2145分天梯682名Intel Pentium @ 1.50GHz 2132分天梯683名AMD Phenom II X640 Dual-酷睿2128分天梯684名AMD Phenom 8750 Triple-酷睿2127分天梯685名Intel Celeron G540T @ 2.10GHz 2114分天梯686名Intel 酷睿i5 M 430 @ 2.27GHz 2110分天梯687名Intel 至强5160 @ 3.00GHz 2108分天梯688名AMD Phenom II P960 Quad-酷睿2103分天梯689名AMD A6-3410MX APU 2100分天梯690名Intel Pentium G620T @ 2.20GHz 2097分天梯691名Intel 酷睿i3 M 380 @ 2.53GHz 2090分天梯692名AMD A6-3420M APU 2080分天梯693名AMD A4-5300 APU 2077分天梯694名AMD Phenom II X2 511 2073分天梯695名Intel 酷睿2 Duo T9800 @ 2.93GHz 2072分天梯696名AMD Phenom II X2 555 2066分天梯697名AMD Phenom II X2 521 2065分天梯698名AMD Phenom II N870 Triple-酷睿2064分天梯699名AMD Athlon II X3 420e 2062分天梯700名AMD A8-3500M APU 2058分天梯701名AMD Athlon II X3 400e 2054分天梯702名AMD Phenom II X2 550 2048分天梯703名Intel 酷睿i3 M 370 @ 2.40GHz 2043分天梯704名AMD Phenom II X2 B57 2040分天梯705名AMD Phenom 8650 Triple-酷睿2036分天梯706名Intel 酷睿2 Duo E8300 @ 2.83GHz 2034分天梯707名Pentium Dual-酷睿E6700 @ 3.20GHz 2024分天梯708名Intel 酷睿i7 L 620 @ 2.00GHz 2022分天梯709名Intel Pentium B980 @ 2.40GHz 2012分天梯710名Intel 酷睿2 Duo E7600 @ 3.06GHz 2010分天梯711名AMD Phenom 8450e Triple-酷睿2010分天梯712名Intel Pentium B970 @ 2.30GHz 2004分天梯713名Intel 酷睿2 Extreme X9000 @ 2.80GHz 1999分天梯714名AMD Athlon X2 340 Dual 酷睿1999分天梯715名Intel 至强E5320 @ 1.86GHz 1996分天梯716名AMD Athlon II X2 270 1994分天梯717名Intel 至强W3505 @ 2.53GHz 1987分天梯718名Intel Pentium 2127U @ 1.90GHz 1985分天梯719名AMD Athlon II X3 405e 1984分天梯720名AMD A6-3500 APU 1981分天梯721名Intel 酷睿2 Duo E6850 @ 3.00GHz 1978分天梯722名AMD A4-5150M APU 1973分天梯723名Intel 酷睿i7 610 @ 2.53GHz 1969分天梯724名AMD GX-415GA SOC 1968分天梯725名Intel 酷睿2 Duo P9700 @ 2.80GHz 1963分天梯726名AMD A6-3400M APU 1961分天梯727名AMD A6-5350M APU 1953分天梯728名AMD Phenom 8750B Triple-酷睿1946分天梯729名Intel 酷睿i3-2375M @ 1.50GHz 1945分天梯730名AMD Phenom II X2 545 1938分天梯731名Intel 酷睿2 Extreme X6800 @ 2.93GHz 1937分天梯732名AMD Phenom II P920 Quad-酷睿1932分天梯733名Intel 酷睿2 Duo T9600 @ 2.80GHz 1931分天梯734名Dual-酷睿AMD Opteron 2224 SE 1919分天梯735名AMD Phenom X4 Quad-酷睿GP-9500 1918分天梯736名Intel 酷睿i3 M 350 @ 2.27GHz 1917分天梯737名AMD Phenom II N850 Triple-酷睿1914分天梯738名AMD Athlon X2 260 1910分天梯739名AMD A4-5000 APU 1909分天梯740名Pentium Dual-酷睿E5800 @ 3.20GHz 1907分天梯741名Intel Pentium B960 @ 2.20GHz 1902分天梯742名Pentium Dual-酷睿E6600 @ 3.06GHz 1900分天梯743名Intel 酷睿i7 U 660 @ 1.33GHz 1893分天梯744名Intel Celeron 1005M @ 1.90GHz 1892分天梯745名Intel 酷睿2 Duo P9600 @ 2.66GHz 1884分天梯746名AMD Phenom 8600B Triple-酷睿1884分天梯747名AMD Phenom II N660 Dual-酷睿1881分天梯748名Intel 酷睿2 Duo E7500 @ 2.93GHz 1874分。
下面这张图是2014年比较权威的桌面CPU性能天梯图,最强王者是6核12线程的Intel酷睿i73970X,中关村报价7500大洋。
排名第二和第三的分别是Intelcorei7-3960X、i7-3930X。
AMD最牛逼的CPU是FX-9590,动态加速可达5Ghz,性能超过了i7早中期CPU,不过这款CPU的TDP高达恐怖的250W。
2014CPU性能天梯图附:2014年最新桌面CPU规格表:Intel、AMD计算机硬件系统中用于放置主板及其他主要部件的容器(Mainframe)。
通常包括CPU、内存、硬盘、光驱、电源、以及其他输入输出控制器和接口,如USB控制器、显卡、网卡、声卡等等。
位于主机箱内的通常称为内设,而位于主机箱之外的通常称为外设(如显示器、键盘、鼠标、外接硬盘、外接光驱等)。
通常,主机自身(装上软件后)已经是一台能够独立运行的计算机系统,服务器等有专门用途的计算机通常只有主机,没有其他外设。
主机组成部分1.机箱(必备)机箱作为电脑配件中的一部分,就是主机的外壳,它起的主要作用是放置和固定各电脑配件,起到一个承托和保护作用,此外,电脑机箱具有电磁辐射的屏蔽的重要作用,现在的高配机箱具有防辐射、防尘、加强散热、静音等多中功能。
但由于机箱不像CPU、显卡、主板等配件能迅速提高整机性能,所以在DIY中一直不被列为重点考虑对象。
但是机箱也并不是好无作用,一些用户买了杂牌机箱后,因为主板和机箱形成回路,导致短路,使系统变得很不稳定。
台式电脑机箱2.电源(主机供电系统,没有电源计算机将无法工作)计算机属于弱电产品,也就是说部件的工作电压比较低,一般在正负12伏以内,并且是直流电。
而普通的市电为220伏(有些国家为110伏)交流电,不能直接在计算机部件上使用。
因此计算机和很多家电一样需要一个电源部分,负责将普通市电转换为计算机可以使用的电压,一般安装在机箱内部。
计算机的核心部件工作电压非常低,并且由于计算机工作频率非常高,因此对电源的要求比较高。
显卡性能天梯图显卡性能天梯图是一个用于比较和评估显卡性能的图表,它按照性能从低到高的顺序排列了各种显卡型号,使用户能够直观地了解和选择合适的显卡。
下面将为大家介绍一下显卡性能天梯图。
显卡是计算机中非常重要的一个组件,它负责处理显示器上的图像和视频内容。
随着计算机图形技术的发展,人们对于显卡性能的要求也越来越高。
显卡性能天梯图就是根据显卡的核心频率、显存容量、架构等要素来评估显卡性能的一种工具。
在显卡性能天梯图中,显卡型号按照性能从低到高的顺序排列,通常以直线或折线的形式呈现。
用户可以通过读取图表中的数据,快速找到适合自己需求的显卡型号,并且比较不同型号之间的性能差异。
显卡性能天梯图通常包括以下要素:1. 显卡型号:列出了各种常见的显卡型号,以及它们的性能等级。
2. GPU核心频率:显示显卡的核心处理器主频,频率越高通常意味着性能越强。
3. 显存容量:显示显卡的显存大小,越大的显存可以更好地支持高分辨率和复杂图形。
4. 架构:显示显卡的架构类型,不同的架构对于性能和功耗的影响不同。
5. 性能等级:通过对各种显卡型号进行性能评估,将它们划分为不同的等级,方便用户比较和选择。
通过显卡性能天梯图,用户可以根据自己的需求选择合适的显卡,无论是进行日常办公、玩游戏还是进行专业图形处理,都能够找到满足需求的显卡型号。
同时,用户还可以比较不同型号之间的性能差异,选择性价比更高的显卡。
显卡性能天梯图也是显卡行业的重要参考工具,通过对各种显卡型号的性能进行排名和比较,可以直观地展现显卡市场的竞争态势和技术发展趋势。
同时,对于显卡制造商来说,了解市场需求和用户的喜好,调整产品线和推出更具竞争力的产品也是很有帮助的。
总而言之,显卡性能天梯图为用户提供了一个直观、方便的工具,帮助他们了解和选择合适的显卡。
它提供了各种显卡型号的性能比较,让用户能够根据自己的需求选择合适的显卡,并且帮助显卡制造商了解市场需求和调整产品线。
显卡性能天梯图对于显卡行业和用户来说都是非常有价值的参考工具。
一:显卡天梯图
显卡天梯图每季度都会更新,因此这是2014年第二季度的一个最新的显卡天梯图的排列,通过这份最新的显卡天梯图应该就可以对现在的显卡有一个比较明确的认识了。
目前这份2014最新台式机显卡排名罗列出了主流的显卡性能的排名,可以帮助我们了解目前主流的AMD和英伟达的显卡性能到底怎么样,此外,显卡排名不仅可以横向比较AMD 和NV的显卡孰优孰劣,还可以进行AMD和NV各自阵营显卡竖向的比较,显卡排名在硬件玩家中非常有用,不管对于小白还是经验者。
上半年新新发布的显卡比较多,如定位中端的GTX750,GTX750Ti,和定位低端的GT740,GT730等显卡,AMD的动作也比较频繁,如AMD的旗舰双芯显卡R9 295X2都是目前最新的新卡,性能方面可以参照下面的天梯图。
二:CPU和显卡搭配
从下图来看,显卡上升图把显卡性能等级分析的很清楚,一般来说显卡的选择是和CPU 有密切相关的,高端的CPU肯定会搭配高端显卡,低端CPU肯定搭配低端显卡,这已经是不争的事实。
如果用高端的CPU搭配低端显卡,那么会导致显卡拖CPU的性能,从而使得CPU不能发挥出最佳的性能,同理高端的显卡搭配低端的CPU也一样。
下面图是现在Intel酷睿四代的处理器搭配的显卡图:
想要无线上网更加流畅的朋友,建议到广东电信网厅办理宽带,新装前三月可享受免费提速,最高提至100M,手机平板电脑上网0费用。