国家开放大学电大专科《微积分基础》期末试题及答案三(试卷号:2437)
- 格式:pdf
- 大小:1.07 MB
- 文档页数:2
国家开放大学电大《微积分初步》2023-2024期末试题及答案盗传必究一、填空题(每小题4分,本题共20分)1.函数x x x f -++=4)2ln(1)(的定义域是 。
2.若24sin lim 0=→kxx x ,则=k 。
3.曲线x y e =在点)1,0(处的切线方程是 。
4.=+⎰e 12d )1ln(d d x x x 。
5.微分方程1)0(,=='y y y 的特解为 。
二、单项选择题(每小题4分,本题共20分)1.设函数x x y sin =,则该函数是( )。
A .偶函数B .奇函数C .非奇非偶函数D .既奇又偶函数2.当=k ( )时,函数⎩⎨⎧=≠+=0,0,2)(2x k x x x f ,在0=x 处连续。
A .0B .1C .2D .33.下列结论中( )正确。
A .)(x f 在0x x =处连续,则一定在0x 处可微。
B .函数的极值点一定发生在其驻点上。
C .)(x f 在0x x =处不连续,则一定在0x 处不可导。
D .函数的极值点一定发生在不可导点上。
4.下列等式中正确的是( )。
A .)cos d(d sin x x x =B .)1d(d ln xx x =C .)d(d x x a x a =D .)d(2d 1x x x =5.微分方程x y y x y sin 4)(53='''+''的阶数为( )。
A .2B .3C .4D .5三、计算题(本题共44分,每小题11分)1.计算极限2386lim 222+-+-→x x x x x 。
2.设x x y 3cos ln +=,求y d 。
3.计算不定积分x x d )12(10⎰-。
4.计算定积分x x d ln 2e 1⎰。
四、应用题(本题16分)欲做一个底为正方形,容积为108立方米的长方体开口容器,怎样做法用料最省? 试题答案及评分标准(仅供参考)一、填空题(每小题4分,本题共20分)1.]4,1()1,2(-⋃-- 2.2 3.1+=x y 4.0 5.x y e =二、单项选择题(每小题4分,本题共20分)1.A 2.C 3.C 4.D 5.B三、(本题共44分,每小题11分)1.解:原式214lim )1)(2()2)(4(lim22-=--=----=→→x x x x x x x x 2.解:)sin (cos 312x x xy -+=' x x x xy d )cos sin 31(d 2-= 3.解:x x d )12(10⎰-=c x x x +-=--⎰1110)12(221)12(d )12(21 5.解:x x d ln 2e 1⎰-=21ln e x x 1e 1e e 2d 222e 12+=+-=⎰x xx 四、应用题(本题16分)解:设底边的边长为x ,高为h ,用材料为y ,由已知22108,108x h h x == x x x x x xh x y 432108442222+=⋅+=+= 令043222=-='x x y ,解得6=x 是唯一驻点, 且04322263>⨯+=''=x x y ,说明6=x 是函数的极小值点,所以当6=x ,336108==h 时用料最省。
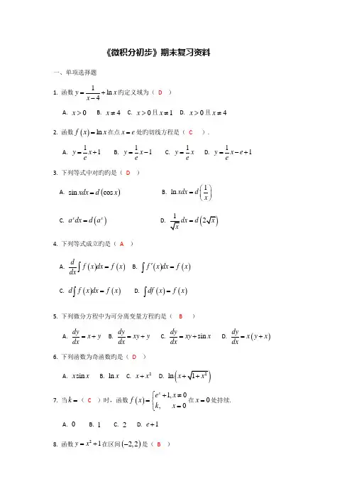
《微积分初步》期末复习资料一、单项选择题 1. 函数1ln 4y x x =+-旳定义域为( D ) A. 0x > B. 4x ≠ C. 0x >且1x ≠ D. 0x >且4x ≠ 2. 函数()ln f x x =在点x e =处旳切线方程是( C ). A. 11y x e =+ B. 11y x e =- C. 1y x e = D. 11y x e e=-+ 3. 下列等式中对旳旳是( D )A. ()sin cos xdx d x =B. 1ln xdx d x ⎛⎫=⎪⎝⎭C. ()x x a dx d a = D.(d= 4. 下列等式成立旳是( A ) A.()()df x dx f x dx =⎰B. ()()f x dx f x '=⎰C. ()()d f x dx f x =⎰D.()()df x f x =⎰5. 下列微分方程中为可分离变量方程旳是( B ) A.dy x y dx =+ B. dy xy y dx =+ C. sin dy xy x dx =+ D. ()dy x y x dx=+ 6. 下列函数为奇函数旳是( D )A. sin x xB. ln xC. 2x x + D. (ln x +7. 当k =( C )时,函数()1,0, 0x e x f x k x ⎧+≠=⎨=⎩在0x =处持续.A. 0B. 1C. 2D. 1e + 8. 函数21y x =+在区间()2,2-是( B )A. 单调下降B. 先单调下降再单调上升C. 先单调上升再单调下降D. 单调上升9. 在切线斜率为2x 旳积分曲线族中,通过点()1,4旳曲线为(A ) A. 23y x =+ B. 24y x =+ C. 22y x =+ D. 21y x =+ 10. 微分方程y y '=,()01y =旳特解为( C ) A. 20.5y x = B. xy e -= C. xy e = D. 1xy e =+ 11. 设函数sin y x x =,则该函数是( B )A. 奇函数B. 偶函数C. 非奇非偶函数D. 既奇又偶函数12. 当k =( A )时,函数()21,0, 0x x f x k x ⎧+≠=⎨=⎩在0x =处持续.A. 1B. 2C. 1-D. 013. 满足方程()0f x '=旳点一定是函数()f x 旳( C ) A. 极值点 B. 最值点 C. 驻点 D. 间断点 14. 设()f x 是持续旳奇函数,则定积分()aaf x dx -=⎰( D )A. ()02af x dx -⎰B.()0af x dx -⎰C.()0af x dx ⎰ D. 015. 微分方程1y y '=+旳通解是( B ) A. 1Cx y e-= B. 1xy Ce =- C. y x C =+ D. 212y x C =+ 16. 设()211f x x +=-,则()f x =( C )A. ()1x x +B. 2x C. ()2x x - D. ()()21x x +-17. 若函数()f x 在点0x 处可导,则( B )是错误旳.A. 函数()f x 在点0x 处有定义B. ()0lim x x f x A →= ,但()0A f x ≠C. 函数()f x 在点0x 处持续D. 函数()f x 在点0x 处可微 18. 函数()21y x =+在区间()2,2-是(D )A. 单调增长B. 单调减少C. 先单调增长后单调减少D. 先单调减少后单调增长 19.()xf x dx ''=⎰( A )A. ()()xf x f x c '-+B. ()xf x c '+C.()212x f x c '+ D. ()()1x f x c '++ 20. 下列微分方程中为可分离变量方程旳是( B ) A.dy x y dx =+ B. dy xy y dx =+ C. sin dy xy x dx =+ D. ()dy x y x dx=+ 21. 函数()222x xf x -+=旳图形有关( C )对称A. y x =B. x 轴C. y 轴D. 坐标原点 22. ()sin 1xf x x=-当( D )时,()f x 为无穷小量。
2023-2024国家开放大学电大《微积分初步》期末试题及答案
2023-2024国家开放大学电大《微积分初步》期末试题及答案
一、填空题(每小题4分,本题共20分)
1.函数的定义域是。
2.函数的间断点是= 。
3.函数的单调增加区间是。
4.若,则= 。
5.微分方程的阶数为。
二、单项选择题(每小题4分,本题共20分) 1.设函数,则该函数是()。
A.奇函数 B.偶函数 C.非奇非偶函数 D.既奇又偶函数 2.当时,下列变量中为无穷小量的是()。
A. B. C. D. 3.设,则()。
A.B.C.D.4.在切线斜率为2x的积分曲线族中,通过点(1, 4)的曲线为()。
A. B. C.y = x2 + 3 D. y = x2 + 4 5.微分方程的通解是()。
A.B.C.D.三、计算题(本题共44分,每小题11分)1.计算极限。
2.设,求。
3.计算不定积分。
4.计算定积分。
四、应用题(本题16分)欲做一个底为正方形,容积为32立方米的长方体开口容器,怎样做法用料最省?试题答案及评分标准(仅供参考)一、填空题(每小题4分,本题共20分)1.2.3.4.5.二、单项选择题(每小题4分,本题共20分)1.B 2.C 3.D 4.C 5.A 三、(本题共44分,每小题11分)1.解:原式 11分 2.解: 9分 11分 3.解:= 11分 4.解: 11分四、应用题(本题16分)解:设底边的边长为,高为,用材料为,由
已知令,解得是惟一驻点,易知是函数的极小值点,此时有,所以当,时用料最省。
2023-2024国家开放大学电大《微积分初步》期末试题及答案2023-2024国家开放大学电大《微积分初步》期末试题及答案盗传必究一、填空题(每小题4分,本题共20分) 1.函数的定义域是。
2.函数的间断点是= 。
3.函数的单调增加区间是。
4.若,则= 。
5.微分方程的阶数为。
二、单项选择题(每小题4分,本题共20分) 1.设函数,则该函数是()。
A.奇函数 B.偶函数 C.非奇非偶函数 D.既奇又偶函数 2.当时,下列变量中为无穷小量的是()。
A. B. C. D. 3.设,则()。
A. B. C. D. 4.在切线斜率为2x的积分曲线族中,通过点(1, 4)的曲线为()。
A. B. C.y = x2 + 3 D. y = x2 + 4 5.微分方程的通解是()。
A. B. C. D.三、计算题(本题共44分,每小题11分) 1.计算极限。
2.设,求。
3.计算不定积分。
4.计算定积分。
四、应用题(本题16分)欲做一个底为正方形,容积为32立方米的长方体开口容器,怎样做法用料最省?试题答案及评分标准(仅供参考)一、填空题(每小题4分,本题共20分)1. 2. 3. 4. 5.二、单项选择题(每小题4分,本题共20分) 1.B 2.C 3.D 4.C 5.A三、(本题共44分,每小题11分) 1.解:原式 11分 2.解: 9分 11分 3.解:= 11分 4.解: 11分四、应用题(本题16分)解:设底边的边长为,高为,用材料为,由已知令,解得是惟一驻点,易知是函数的极小值点,此时有,所以当,时用料最省。
16分。
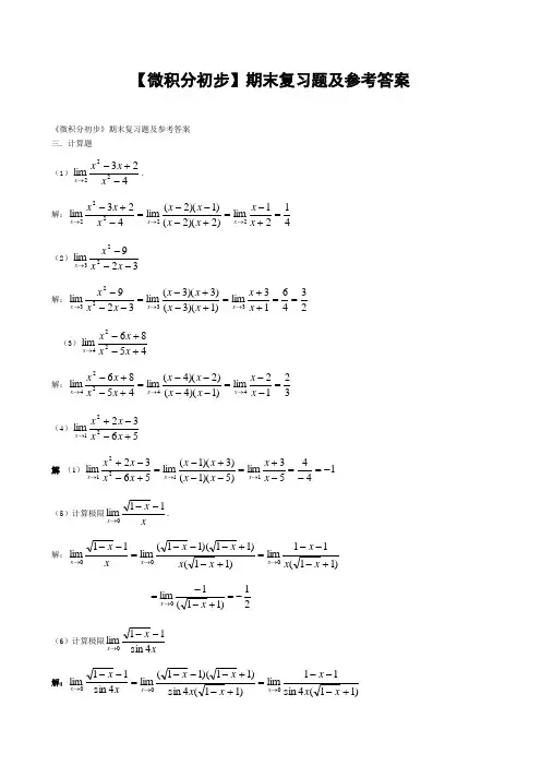
【微积分初步】期末复习题及参考答案《微积分初步》期末复习题及参考答案 三.计算题(1)423lim 222-+-→x x x x . 解:4121lim )2)(2()1)(2(lim 423lim 22222=+-=+---=-+-→→→x x x x x x x x x x x x (2)329lim 223---→x x x x解:234613lim )1)(3()3)(3(lim 329lim 33223==++=+-+-=---→→→x x x x x x x x x x x x (3)4586lim 224+-+-→x x x x x解:3212lim )1)(4()2)(4(lim 4586lim 44224=--=----=+-+-→→→x x x x x x x x x x x x x (4)5632lim 221+--+→x x x x x解 (1)14453lim )5)(1()3)(1(lim 5632lim 11221-=-=-+=--+-=+--+→→→x x x x x x x x x x x x x (5)计算极限xx x 11lim--→.解:)11(11lim )11()11)(11(lim 11lim000+---=+-+---=--→→→x x x x x x x x x x x x 21)11(1lim0-=+--=→x x(6)计算极限xx x 4sin 11lim--→解:x x x 4sin 11lim--→)11(4sin 11lim )11(4sin )11)(11(lim 00+---=+-+---=→→x x x x x x x x x81)11(4sin 44lim)11(4sin lim-=+--=+--=→→x x x x x x x x (7)设xx y 12e=,求y '.解:)1(e e 22121x x x y xx -+=')12(e 1-=x x(8)设x x y 3cos 4sin +=,求y '.解:)sin (cos 34cos 42x x x y -+='x x x 2cos sin 34cos 4-=(9)设xy x 2e1+=+,求y '. 解:2121(21ex x y x -+='+(10) 设xy 1sin e=,求y d .解:)1(1cos e )1(sin e1sin 1sin '='='x x x y x x)1(1cos e 21sin xx x -=x y y d d '=x xx xd )1(1cos e21sin-=(11)设)1ln(2x x y +-=,求)3(y '.解:)1(1122'+-+-='x x x x y])1(1211[11222'++-+-=x x x x]1221[1122+-+-=x xx x 112+-=x21131)3(-=+-='y(12)x x y xy 2cos ln e =+,求y '.解:方程两边对自变量x 求导,视y 为中间变量,有x x yx y y x y xy 2sin 2ln )(e -=+'+'+ 于是xy xy y xyx y x x e 2sin 2)ln e (---='+整理方程解出y ',得xx x yx y x x x x y x yx y xy xy xy xyln e e 2sin 2ln e e 2sin 22+++-=+++-='(13)设x x x y cos ln +=,求y '.解:)sin (cos 12321x x x y -+=' x x tan 2321-= (14)设)(x y y =是由方程422=-+xy y x 确定的隐函数,求y d .解:方程两边对x 求导,得0)(22='+-'+y x y y y xxy xy y --='22于是得到x xy xy y d 22d --=(15)设2e ecos y x y x=++,求y d .解:方程两边对x 求导,得y y y x y x'='++-2e esinyx y yx2e e sin --='于是得到x yx y yxd 2e e sin d --= (16)x x d )12(10⎰-解:c x x x x x +-=--=-⎰⎰111010)12(221)1d(2)12(21d )12( (17)x x x d 1sin2⎰解:c x x x x x x +=-=⎰⎰1cos 1d 1sin d 1sin2(18)x x x d )e 4(e 22ln 0+⎰解:)e d(4)e 4(d )e 4(e 22ln 022ln 0x x x x x ++=+⎰⎰=3152)64216(31)e 4(2ln 03=-=+x (19)x xx d 12⎰-;解:x x x d 12⎰-=u ux x d 121)1d(112122⎰⎰-=---)1(2x u -= =c x c u +--=+-21(20)x x xd )e (1e 2⎰+解:u u x xx x x d 1)e 1(d )e (11d )e (1e 222⎰⎰⎰=++=+ (x u e 1+=) =c c u x ++-=+-e111 (21)x xxd ln e12⎰解:[方法1]换元换限. 令x uln =, 则x xu d 1d =, 且当1=x 时, 0=u , e =x 时, 1=u , 于是有 31)01(3131d d ln 3313102e12=-===⎰⎰u u u x x x [方法2] 只凑微分不换元, 不换积分限.)d(ln ln d ln e 12e12x x x xx⎰⎰=31])1(ln )e [(ln 31)(ln 3133e13=-==x (22)x x d sin 23⎰π因为x x d sin 203⎰π=x x x x x x x x d sin cos d sin d sin ]cos 1[20220202⎰⎰⎰-=-πππ对于积分1cos d sin 2020=-=⎰ππx x x对于积分x x x d sin cos 202⎰π用凑微分法,[方法1] 令x ucos =, 则x x u d sin d -=, 且当0=x 时, 1=u , 2π=x 时,0=u , 于是有3131d d sin cos 1312202==-=⎰⎰u u u x x x π[方法2] 只凑微分不换元, 不换积分限.31cos 31dcos cos d sin cos 203202202=-=-=⎰⎰πππx x x x x x(23)xx xd ln 51e1⎰+解:27)136(101)ln 51(101)ln 51()ln 51(51d ln 51121e1=-=+=++=+⎰⎰ee x x d x x x x(24)x x x d e 10⎰解:1e e d e e d e 10111=-=-=⎰⎰xx x x x x x x(25)⎰π20d sin x x x解:1sin d cos cos d sin 20202020==+-=ππππ⎰⎰xx x x x x x x四.应用题(1)欲做一个底为正方形,容积为108立方米的长方体开口容器,怎样做法用料最省? 解:设底边的边长为x ,高为h ,用材料为y ,由已知22108,108x h h x == x x xx x xh x y 432108442222+=⋅+=+= 令043222=-='xx y ,解得6=x 是唯一驻点, 且04322263>⨯+=''=x x y ,说明6=x 是函数的极小值点,所以当6=x ,361082==h 用料最省. (2)用钢板焊接一个容积为43m 的正方形的水箱,已知钢板每平方米10元,焊接费40元,问水箱的尺寸如何选择,可使总费最低?最低总费是多少?解:设水箱的底边长为x ,高为h ,表面积为S ,且有24x h =所以,164)(22xx xh x x S +=+= 2162)(xx x S -=' 令0)(='x S ,得2=x ,因为本问题存在最小值,且函数的驻点唯一,所以,当1,2==h x 时水箱的面积最小.此时的费用为 1604010)2(=+⨯S (元)顺便推荐一本我近期看过的觉得不错的书《此时此刻相爱的能力》。
最新国家开放大学电大《微积分初步》期末试题题库及答案盗传必究题库一一、填空题(每小题4分,本题共20分)1. 函a/(x + l) = x 2+2x + 7,则f(x)= c 「 sin 3x2.1im ----- = __________ .x3. 曲线y = x 2在点(1, 1)处的切线的斜率是.24. J ](sinxcos2x-x )dx = _____________5. _________________________________________ 微分方程9" +(y )4 cosx = e*的阶数为 二、单项选择题(每小题4分,本题共20分) 1 .函数f (x ) = ―1—的定义域是()・ln (x-l ) A. (l,+oo) B. (0,l)D(l,+8) C ・(1,2)D (2,+8) D. (0,2)u(2,+oo)A. 0B. 1C. 2D. -1 3.下列结论中正确的是( )・A. X 。
是/3)的极值点,则知必是/的驻点B. 使f\x )不存在的点x 0 一定是/3)的极值点・)时,函数f (x )= .3 [xsin — + 1,xk.'A 。
在x = 0处连续.x = 0C.若r(x o) = O,则Xo必是,⑴的极值点D.X。
是/3)的极值点,旦尸Oo)存在,则必有.广(工0)= 04.若函数 /'(x) = x +J^(x > 0),贝0 J /'(x)dx=().A.x + Vx + c12 2 |B.—x + —x2 +c2 3C.x2 +x + c31D.x2 + — x2 +c25.微分方程* = 0的通解为()・A.y = 0B.y - cC.y = x + cD.y = ex三、计算题(本题共44分,每小题11分)1 •计算极限Iim-V--5V + 6 .13 X2 -92.设y = x4x + cos3x,求⑪.3.计算不定积分j x sin xdx4.计算定积分j^e x(l + e x)2dx四、应用题(本题16分)用钢板焊接一个容积为411?的底为正方形的无盖水箱,已知钢板每平方米10元,焊接费40元,问水箱的尺寸如何选择,可使总费最低?最低总费是多少?试题答案及评分标准(仅供参考)一、填空题(每小题4分,本题共20分)1 291.x +62. 33.—4.5. 22 3二、单项选择题(每小题4分,木题共20分)四、应用题(木题16分)4解:设水箱的底边长为X ,高为h,表面积为S,且有h = — x 2 所以Sl+4劝“ +皿X10分因为本问题存在最小值,且函数的驻点唯一,所以,当x = 2,h = 1时水箱的表面积最小.题库二一、填空题(每小题4分,本题共20分)1. 函数f(x} = ―1— + V4-X 2的定义域是ln(x + l)---------l.c2.B3.D 4-A5.B 三、计算题(本题共44分,每小题11分)1.解:原式=lim-仃 一 2)(x — 3) = = La (x + 3)(x -3) a x + 3 6 11分2.解:V = 2/-3sin3x23 1 dy = (—x 2 -3sin3x)dx11分3.解:Jx sinxdx = -x cos x + J cos xdx = -x cos x + sinx + c11分4.解: Pe x (l + e x )2dx = J ,n2(l + e x )2d(l + e x ) = -(l + e x )3ln219T11分此时的费用为2X 10+40=160 (元) 16分io_x + i(ri.设函数歹=——-—,则该函数是(A.奇函数B.偶函数C.非奇非偶函数D.既奇又偶函数2.当XT 0时,下列变量中为无穷小量的是(A.B. x sinxC. ln(l + x)D.3.设y = lg2x 则dy =(A. —dx2xB. —dxXC. In10 、 --- dxD. xlnlO^4. 在切线斜率为2x的积分曲线族中,通过点(1,4)的曲线为()。
2023-2024国家开放大学电大《微积分初步》期末试题及答案
一、填空题(每小题4分,本题共20分)
1.函数的定义域是o
2.函数的间断点是=o
3.函数的单调增加区间是o
4.若,则二°
5.微分方程的阶数为o
二、单项选择题(每小题4分,本题共20分)1 .设函数,则该函数是()
o
A.奇函数
B.偶函数
C.非奇非偶函数
D.既奇又偶函数2.当时,下列变量中为无穷小量的是()o
A. B. C. D. 3.设,贝()o
A. B. C. D. 4.在切线斜率为2x的积分曲线族中,通过点(1, 4)的曲线为()o
A. B. C. y = x2 + 3 D. y = x2 + 4 5.微分方程的通解是()。
A. B. C. D.三、计算题(本题共44分,何小题11分)1 .计算极限。
2.设,求。
3.计算不定积分。
4.计算定积分。
四、应用题(本题16分)欲做一个底为正方形,容积为32立方米的长方体开口容器,怎样做法用料最省?试题答案及评分标准(仅供参考)一、填空题(每小题4分,木题共20分)1. 2. 3. 4. 5.二、单项选择题(每小题4分,本题共20分)1. B2. C3. D4. C5. A三、(本题共44分,每小题11分)1.解:原式11分2.解:9分11分3.解:二11分4.解:11分四、应用题(本题16分)解:设底边的边长为,高为,用材料为,由己知令,解得是惟一驻点,易知是函数的极小值点,此时有,所以当,时用料最省。
微积分初步考试试题1、填空题 (1)函数)2ln(1)(-=x x f 的定义域是 .答案:2>x 且3≠x . (2)函数24)2ln(1)(x x x f -++=的定义域是 .答案:]2,1()1,2(-⋃--(3)函数74)2(2++=+x x x f ,则=)(x f.答案:3)(2+=x x f(4)若函数⎪⎩⎪⎨⎧≥<+=0,0,13sin )(x k x xx x f 在0=x 处连续,则=k .答案:1=k(5)函数x x x f 2)1(2-=-,则=)(x f . 答案:1)(2-=x x f(6)函数1322+--=x x x y 的间断点是 .答案:1-=x (7)=∞→xx x 1sinlim . 答案:1 (8)若2sin 4sin lim0=→kxxx ,则=k .答案:2=k (9)曲线1)(+=x x f 在)2,1(点的切斜率是 .答案:21 (10)曲线xx f e )(=在)1,0(点的切线方程是 . 答案:e x y +=(11)已知x x x f 3)(3+=,则)3(f '= .答案:3ln 33)(2x x x f +=')3(f '=27()3ln 1+(12)已知x x f ln )(=,则)(x f ''= .答案:x x f 1)(=',)(x f ''=21x- (13)若x x x f -=e )(,则='')0(f.答案:x x x x f --+-=''e e 2)(='')0(f 2-(14)函数y x =-312()的单调增加区间是 . 答案:),1(+∞(15)函数1)(2+=ax x f 在区间),0(∞+内单调增加,则a 应满足 . 答案:0>a(16)若)(x f 的一个原函数为2ln x ,则=)(x f . 答案:x2 (17)若⎰+=c x x x f 2sin d )(,则)(x f . 答案:x 2cos 2(18)若______________d os ⎰=x x c 答案:c x +sin (19)=⎰-2de x.答案:c x +-2e(20)='⎰x x d )(sin.答案:c x +sin (21)若⎰+=c x F x x f )(d )(,则⎰=-x x f d )32( .答案:c x F +-)32(21(22)若⎰+=c x F x x f )(d )(,则⎰=-x x xf d )1(2 .答案:c x F +--)1(212 (23).______d )2cos (sin 112=+-⎰-x x x x x答案:32- (24)=+⎰e 12d )1ln(d d x x x. 答案:0 (25)x x d e 02⎰∞-= .答案:21 (26)已知曲线)(x f y =在任意点x 处切线的斜率为x1,且曲线过)5,4(,则该曲线的方程是 .答案:12+=x y (27)由定积分的几何意义知,x x a ad 022⎰-= .答案:42a π(28)微分方程1)0(,=='y y y 的特解为 . 答案:xy e =(29)微分方程03=+'y y 的通解为 . 答案:x c y 3e-=(30)微分方程x y xy y sin 4)(7)4(3=+''的阶数为 .答案:42.单项选择题(1)设函数2e e xx y +=-,则该函数是( ).A .奇函数B .偶函数C .非奇非偶函数D .既奇又偶函数答案:B(2)下列函数中为奇函数是().A .x x sinB .2e e x x +- C .)1ln(2x x ++ D .2x x +答案:C(3)函数)5ln(4+++=x x xy 的定义域为( ). A .5->x B .4-≠x C .5->x 且0≠x D .5->x 且4-≠x答案:D(4)设1)1(2-=+x x f ,则=)(x f ( ) A .)1(+x x B .2x C .)2(-x x D .)1)(2(-+x x 答案:C(5)当=k ( )时,函数⎩⎨⎧=≠+=0,,2)(x k x e x f x 在0=x 处连续.A .0B .1C .2D .3 答案:D(6)当=k ( )时,函数⎩⎨⎧=≠+=0,,1)(2x k x x x f ,在0=x 处连续.A .0B .1C .2D .1- 答案:B (7)函数233)(2+--=x x x x f 的间断点是( ) A .2,1==x xB .3=xC .3,2,1===x x xD .无间断点 答案:A (8)若x x f xcos e)(-=,则)0(f '=( ). A. 2 B. 1 C. -1 D. -2答案:C(9)设y x =lg 2,则d y =( ).A .12d x x B .1d x x ln10 C .ln10xx d D .1d x x答案:B(10)设)(x f y =是可微函数,则=)2(cos d x f ( ). A .x x f d )2(cos 2' B .x x x f d22sin )2(cos ' C .x x x f d 2sin )2(cos 2' D .x x x f d22sin )2(cos '- 答案:D(11)若3sin )(a x x f +=,其中a 是常数,则='')(x f ( ).A .23cos a x + B .a x 6sin + C .x sin - D .x cos 答案:C(1)函数2)1(+=x y 在区间)2,2(-是( ) A .单调增加 B .单调减少 C .先增后减 D .先减后增 答案:D(12)满足方程0)(='x f 的点一定是函数)(x f y =的( ). A .极值点 B .最值点 C .驻点 D . 间断点 答案:C(13)下列结论中( )不正确. A .)(x f 在0x x =处连续,则一定在0x 处可微. B .)(x f 在0x x =处不连续,则一定在0x 处不可导. C .可导函数的极值点一定发生在其驻点上.D .函数的极值点可能发生在不可导点上. 答案:A(14)下列函数在指定区间(,)-∞+∞上单调增加的是( ). A .x sin B .xe C .2x D .x -3 答案:B(15)下列等式成立的是( ). A .)(d )(d x f x x f =⎰ B .)(d )(x f x x f ='⎰C .)(d )(d dx f x x f x =⎰D .)()(d x f x f =⎰ 答案:C(16)以下等式成立的是( )A . )1d(d ln xx x = B .)(cos d d sin x x x =C .x xxd d = D .3ln 3d d 3xxx =答案:D(17)=''⎰x x f x d )(( )A. c x f x f x +-')()(B. c x f x +')(C.c x f x +')(212D. c x f x +'+)()1( 答案:A(18)下列定积分中积分值为0的是( ).A .x xx d 2e e 11⎰--- B .x xx d 2e e 11⎰--+ C .x x x d )cos (3⎰-+ππD .x x x d )sin (2⎰-+ππ答案:A(19)设)(x f 是连续的奇函数,则定积分=⎰aax x f -d )(( )A .0B .⎰-d )(ax x f C .⎰ax x f 0d )( D .⎰0-d )(2ax x f答案:A(20)下列无穷积分收敛的是( ). A .⎰∞+0d in x x s B .⎰∞+1d 1x xC .⎰∞+1d 1x xD .⎰∞+-02d e x x答案:D(21)微分方程0='y 的通解为( ).A .Cx y =B .C x y += C .C y =D .0=y 答案:C(22)下列微分方程中为可分离变量方程的是( )A. y x x y +=d d ;B. y xy x y +=d d ;C. x xy x y sin d d +=;D. )(d d x y x xy += 答案:B 3、计算题(1)423lim 222-+-→x x x x . 解:4121lim )2)(2()1)(2(lim 423lim 22222=+-=+---=-+-→→→x x x x x x x x x x x x (2)329lim 223---→x x x x解:234613lim )1)(3()3)(3(lim 329lim 33223==++=+-+-=---→→→x x x x x x x x x x x x(3)4586lim 224+-+-→x x x x x解:3212lim )1)(4()2)(4(lim 4586lim 44224=--=----=+-+-→→→x x x x x x x x x x x x x(4)设xx y 12e =,求y '.解: )1(e e 22121xx x y xx -+=')12(e 1-=x x(5)设x x y 3cos 4sin +=,求y '.解:)sin (cos 34cos 42x x x y -+='x x x 2c o s s i n 34c o s4-= (6)设xy x 2e 1+=+,求y '. 解:2121(21exx y x -+='+ (7)设x x x y cos ln +=,求y '.解:)sin (cos 12321x x x y -+=' x x tan 2321-=(8)x x d )12(10⎰-解:c x x x x x +-=--=-⎰⎰111010)12(221)1d(2)12(21d )12( (9)x x x d 1sin2⎰解:c x x x x x x +=-=⎰⎰1cos 1d 1sin d 1sin2(10)x x x d )e 4(e 22ln 0+⎰解:)e d(4)e 4(d )e 4(e 22ln 022ln 0x x x x x ++=+⎰⎰=3152)64216(31)e 4(2ln 03=-=+x (11)x xxd ln 51e1⎰+ 解:27)136(101)ln 51(101)ln 51()ln 51(51d ln 51121e1=-=+=++=+⎰⎰ee x x d x x x x(12)x x x d e 10⎰解:1ee d e ed e 101101=-=-=⎰⎰x xx xx x x x(13)⎰π20d sin x x x解:1sin d cos cos d sin 20202020==+-=ππππ⎰⎰xx x x x x x x4、应用题(1)欲做一个底为正方形,容积为108立方米的长方体开口容器,怎样做法用料最省? 解:设底边的边长为x ,高为h ,用材料为y ,由已知22108,108xh h x == x x x x x xh x y 432108442222+=⋅+=+=令043222=-='x x y ,解得6=x 是唯一驻点,且04322263>⨯+=''=x x y , 说明6=x 是函数的极小值点,所以当6=x ,361082==h 用料最省. (2)用钢板焊接一个容积为43m 的正方形的水箱,已知钢板每平方米10元,焊接费40元,问水箱的尺寸如何选择,可使总费最低?最低总费是多少? 解:设水箱的底边长为x ,高为h ,表面积为S ,且有24xh = 所以,164)(22xx xh x x S +=+= 2162)(x x x S -=' 令0)(='x S ,得2=x ,因为本问题存在最小值,且函数的驻点唯一,所以,当1,2==h x 时水箱的面积最小. 此时的费用为 1604010)2(=+⨯S (元)。