信号与系统习题答案第三章
- 格式:doc
- 大小:2.18 MB
- 文档页数:37
3-1 解题过程:(1)三角形式的傅立叶级数(Fourier Series ,以下简称 FS )f ( t ) = a ++∞cos ( n ω t) + b sin ( n ω t ) a 0 ∑ n 1n 1 n =1式中ω1 =2π,n 为正整数,T 1 为信号周期T 11 t +T(a )直流分量a 0 = 0 ∫ 1 f ( t ) dtT1 t2 t +T(b )余弦分量的幅度a n = 0∫ 1f ( t ) cos ( n ω1t ) dtT1 t 02 t +T(c )正弦分量的幅度b n = 0 ∫ 1f ( t ) sin ( n ω1t ) dtT 1 t(2)指数形式的傅立叶级数+∞f ( t ) = ∑ F ( n ω1 )e jn ω1tn =其中复数频谱F n= F ( n ω1 ) = 1 ∫t 0 +T 1f ( t ) e − jn ω1t dt T 1 t 0F n =1( a n − jb n ) F − n = 1 ( a n + jb n ) 2 2由图 3-1 可知, f ( t ) 为奇函数,因而a 0 = a n = 04 Tb n = T ∫02= 2Eπ n4TE−2EEf (t ) sin ( n ω t ) dt =sin ( n ω t ) dt = cos ( n ω t = 1 − cos ( n π2T 1 ∫0 2 1 n t 1 n ) 1n = 2, 4,n = 1, 3,所以,三角形式的 FS 为2 E1 12π f ( t ) =sin ( ω1t ) +sin ( 3ω1t ) +sin ( 5ω1t ) +ω1 =π 3 5T指数形式的 FS 的系数为1n = 0, ±2, ±4,F n = − jb n jE=2 n = 0,−± 1, ±3,n π1所以,指数形式的 FS 为f ( t ) = − jE π ej ω1t+ πjE e − j ω1t − 3jE π e j 3ω1t + 3jEπ e − j 3ω1t +3-15 分析:半波余弦脉冲的表达式 f ( t ) =πτ E cos t u t+ τ 2求 f ( t ) 的傅立叶变换有如下两种方法。
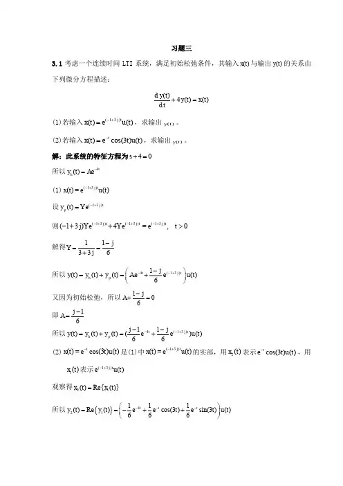
习题三3.1考虑一个连续时间LTI 系统,满足初始松弛条件,其输入)(t x 与输出)(t y 的关系由下列微分方程描述:d ()4()()d y t y t x t t+= (1)若输入(13)()()j t x t e u t -+=,求输出)(t y 。
(2)若输入()e cos(3)()t x t t u t -=,求输出)(t y 。
解:此系统的特征方程为40s += 所以4()t h y t Ae -= (1)(13)()()j tx t eu t -+=设(13)()e j t p y t Y -+= 则(13)(13)(13)(13j)e 4e e ,0j tj t j t Y Y t -+-+-+-++=>解得11336jY j -==+ 所以4(13)1()()()e e ()6t j t h p j y t y t y t A u t --+-⎛⎫=+=+ ⎪⎝⎭又因为初始松弛,所以106jA -+= 即16j A -=所以4(13)11()()()()()66t j th p j j y t y t y t e e u t --+--=+=+ (2)()cos(3)()t x t e t u t -=是(1)中(13)()()j tx t eu t -+=的实部,用2()x t 表示cos(3)()t e t u t -,用1()x t 表示(13)()j t e u t -+观察得{}21()Re ()x t x t =所以{}421111()Re ()cos(3)sin(3)()666t t t y t y t e e t e t u t ---⎛⎫==-++ ⎪⎝⎭3.2若离散时间LTI 系统的输入[]x n 与输出][n y 的关系由下述差分方程给出:][]1[25.0][n x n y n y =--求系统的单位冲激响应][n h 。
解:[]0.25[1][]h n h n n δ=-+因为该系统是因果的,所以0n <时,[]0h n =2231[0]0.25[1][0]01111[1]0.25[0][1]1044111[2]0.25[1][2]0444111[3]0.25[2][3]0444 (111)[]0.25[1][]0444n nh h h h h h h h h n h n n δδδδδ-=-+=+==+=⨯+==+=⨯+==+=⨯+==-+=⨯+=综上,1[][]4n h n u n = 3.3系统S 为两个系统1S 与2S 的级联:S1:因果LTI 系统,[]0.5[1][]w n w n x n =-+; S2: 因果LTI 系统,[][1][]y n ay n bw n =-+][n x 与][n y 的关系由下列差分方程给出:[]0.125[2]0.75[1][]y n y n y n x n +---=(1) 确定a 与b 。
第三章习题答案da3.1 计算下列各对信号的卷积积分()()()y t x t h t =*:(a) ()()()()t tx t e u t h t e u t αβ==(对αβ≠和αβ=两种情况都做)。
(b) 2()()2(2)(5)()tx t u t u t u t h t e =--+-=(c) ()3()()()1tx t eu t h t u t -==-(d) 5,0()()()(1),0tt t e t x t h t u t u t e e t -⎧<⎪==--⎨->⎪⎩(e) []()sin ()(2)()(2)x t t u t u t h t u t π=--=--(f) ()x t 和()h t 如图P3.1(a)所示。
(g) ()x t 和()h t 如图P3.1(b)所示。
图P3.1 解:(a) ()()0()()()(0)t ttty t x t h t eed eed t βτατβαβτττ------=*==>⎰⎰当αβ≠时,()1()()ttey t e u t αβββα----=-当αβ=时,()()t y t te u t α-=(b) 由图PS3.1(a)知, 当1t ≤时,252()2()22(2)2(5)021()22t t t t t y t ed ed e e e ττττ----⎡⎤=-=-+⎣⎦⎰⎰ 当13t ≤≤时,252()2()22(2)2(5)121()22t t t t t y t ed ed e e e ττττ-----⎡⎤=-=-+⎣⎦⎰⎰ 当36t ≤≤时,52()2(5)211()2t t t y t ed e e ττ---⎡⎤=-=-⎣⎦⎰ 当6t >时,()0y t =(c) 由图PS3.1(b)知,当1t ≤时,()0y t = 当1t >时,133(1)01()13t t y t ed e ττ----⎡⎤==-⎣⎦⎰3(1)1()1(1)3t y t e u t --⎡⎤∴=--⎣⎦(d) 由图PS3.1(d)知: 当0t ≤时,11()tt t t y t e d e eττ--==-⎰当01t <≤时,055(1)1014()(2)255t ttt t y t e d e e d e eeτττττ-----=+-=+--⎰⎰当1t >时,555(1)(1)111()(2)2255t tt tt t y t e ed eeeeτττ------=-=-+-⎰(e) 如下图所示:(f) 令()11()(2)3h t h t t δ⎡⎤=+--⎢⎥⎣⎦,则11()()()(2)3y t x t h t x t =*-- 由图PS3.1(h)知,11424()()()()(21)333t t y t x t h t a b d a t b ττ-=*=+=-+⎰2411()(21)(2)()3333a y t tb a t b a t b x t ∴=-+---=+= (g) ()x t 是周期信号,由此可推知()()()y t x t h t =*也是周期的,且周期也为2。
3-1 求图3-1所示对称周期矩形信号的傅利叶级数〔三角形式和指数形式〕。
图3-1解 由图3-1可知,)(t f 为奇函数,因而00==a a n2112011201)cos(2)sin(242,)sin()(4T T T n t n T n Edt t n E T T dt t n t f T b ωωωπωω-====⎰⎰所以,三角形式的傅利叶级数〔FS 〕为T t t t E t f πωωωωπ2,)5sin(51)3sin(31)sin(2)(1111=⎥⎦⎤⎢⎣⎡+++=指数形式的傅利叶级数〔FS 〕的系数为⎪⎩⎪⎨⎧±±=-±±==-= ,3,1,0,,4,2,0,021n n jE n jb F n n π所以,指数形式的傅利叶级数为T e jE e jE e jE e jE t f t j t j t j t j πωππππωωωω2,33)(11111=++-+-=--3-2 周期矩形信号如图3-2所示。
假设:图3-22T-2-重复频率kHz f 5= 脉宽s μτ20=幅度V E 10=求直流分量大小以及基波、二次和三次谐波的有效值。
解 对于图3-2所示的周期矩形信号,其指数形式的傅利叶级数〔FS 〕的系数⎪⎭⎫⎝⎛=⎪⎭⎫ ⎝⎛====⎰⎰--22sin 12,)(1112212211τωττωππωττωωn Sa T E n n E dt Ee T T dt e t f T F tjn TT t jn n那么的指数形式的傅利叶级数〔FS 〕为∑∑∞-∞=∞-∞=⎪⎭⎫ ⎝⎛==n tjn n tjn n e n Sa TE eF t f 112)(1ωωτωτ其直流分量为TE n Sa T EF n ττωτ=⎪⎭⎫ ⎝⎛=→2lim100 基波分量的幅度为⎪⎭⎫ ⎝⎛⋅=+-2sin 2111τωπEF F 二次谐波分量的幅度为⎪⎭⎫ ⎝⎛⋅=+-22sin 122τωπEF F 三次谐波分量的幅度为⎪⎭⎫ ⎝⎛⋅=+-23sin 32133τωπE F F 由所给参数kHz f 5=可得s T s rad 441102,/10-⨯==πω将各参数的值代入,可得直流分量大小为V 110210201046=⨯⨯⨯--基波的有效值为())(39.118sin 210101010sin 210264V ≈=⨯⨯⨯- πππ二次谐波分量的有效值为())(32.136sin 251010102sin 21064V ≈=⨯⨯⨯- πππ三次谐波分量的有效值为())(21.1524sin 32101010103sin 2310264V ≈=⨯⨯⨯⨯- πππ3-3 假设周期矩形信号)(1t f 和)(2t f 的波形如图3-2所示,)(1t f 的参数为s μτ5.0=,s T μ1= ,V E 1=; )(2t f 的参数为s μτ5.1=,s T μ3= ,V E 3=,分别求:〔1〕)(1t f 的谱线间隔和带宽〔第一零点位置〕,频率单位以kHz 表示; 〔2〕)(2t f 的谱线间隔和带宽; 〔3〕)(1t f 与)(2t f 的基波幅度之比; 〔4〕)(1t f 基波与)(2t f 三次谐波幅度之比。
《信号与系统》课程习题与解答第三章习题(教材上册第三章p160-p172)3-1~3-3,3-5,3-9,3-12,3-13,3-15~3-17,3-19,3-22,3-24,3-25,3-29,3-32第三章习题解答3-2 周期矩形信号如题图3-2所示。
若:求直流分量大小以及基波、二次和三次谐波的有效值。
解:直流分量⎰⎰--=⨯==2222301105)(1ττv Edt dt t f T a TTf(t)为偶函数,∴0=n b)(2cos )(222T n Sa T E tdt n t f T a n πττωττ⎰-==)(21T n Sa T E a F n n πςτ== 基波 =1a )1.0s i n (20)(2πππττ=T Sa T E有效值 39.11.0sin 22021≈=ππa二次谐波有效值 32.122≈a三次谐波有效值 21.123≈a3-3 若周期矩形信号)(1t f 和 )(2t f 波形如题图3-2所示,)(1t f 的参数为s μτ5.0=,s T μ1=,E=1V ;)(2t f 的参数为s μτ5.1=,s T μ3=,E=3V ,分别求:(1))(1t f 的谱线间隔和带宽(第一零点位置),频率单位以kHz 表示; (2))(2t f 的谱线间隔和带宽; (3) )(1t f 和 )(2t f 的基波幅度之比; (4) )(1t f 基波与)(2t f 三次谐波幅度之比。
解:(1))(1t f s μτ5.0= s T μ1= E=1V 谱线间隔:khZ T 10001==∆带宽:KHzB f 20001==τ(2) )(2t f s μτ5.1= s T μ3= E=3V间隔:khZ T 310001==∆谱线带宽:KHzB f 320001==τ(3) )(1t f 基波幅度:ππτ2)2cos(4201==⎰dt t T E T a )(2t f 基波幅度:ππτ6)2cos(4201==⎰dt t T E T a幅度比:1:3(4) )(2t f 三次谐波幅度:ππτ2)23cos(4203-=⨯=⎰dt t T E T a 幅度比:1:13-5 求题图3-5所示半波余弦信号的傅立叶级数。
第一章 习 题1-1 画出下列各信号的波形:(1) f 1(t)=(2-e -t )U(t); (2) f 2(t)=e -t cos10πt×[U(t -1)-U(t-2)]。
答案(1))(1t f 的波形如图1.1(a )所示.(2) 因t π10cos 的周期s T 2.0102==ππ,故)(2t f 的波形如图题1.1(b)所示.1-2 已知各信号的波形如图题1-2所示,试写出它们各自的函数式。
答案)1()]1()([)(1-+--=t u t u t u t t f)]1()()[1()(2----=t u t u t t f)]3()2()[2()(3----=t u t u t t f1-3 写出图题1-3所示各信号的函数表达式。
答案2002121)2(21121)2(21)(1≤≤≤≤-⎪⎩⎪⎨⎧+-=+-+=+=t t t t t t t f)2()1()()(2--+=t u t u t u t f)]2()2([2sin )(3--+-=t u t u t t f π)3(2)2(4)1(3)1(2)2()(4-+---++-+=t u t u t u t u t u t f1-4 画出下列各信号的波形:(1) f 1(t)=U(t 2-1); (2) f 2(t)=(t-1)U(t 2-1);(3) f 3(t)=U(t 2-5t+6); (4)f 4(t)=U(sinπt)。
答案(1) )1()1()(1--+-=t u t u t f ,其波形如图题1.4(a)所示.(2))1()1()1()1()]1()1()[1()(2---+--=--+--=t u t t u t t u t u t t f 其波形如图题1.4(b)所示.(3))3()2()(3-++-=t u t u t f ,其波形如图1.4(c)所示.(4) )(sin )(4t u t f π=的波形如图题1.4(d)所示.1-5 判断下列各信号是否为周期信号,若是周期信号,求其周期T 。
郑君⾥信号与系统习题答案第三章傅⾥叶变换⼀.周期信号的傅⾥叶级数⼆.傅⾥叶变换例题例题1:傅⾥叶级数——频谱图 ?例题2:傅⾥叶变换的性质 ?例题3:傅⾥叶变换的定义 ?例题4:傅⾥叶变换的性质 ?例题5:傅⾥叶变换的性质 ?例题6:傅⾥叶变换的性质例题7:傅⾥叶变换的性质、频响特性 ?例题8:傅⾥叶变换的性质 ?例题9:抽样定理–例题10:周期信号的傅⾥叶变换例3-1 周期信号 1. 画出单边幅度谱和相位谱;()?--??? ??++=328cos 265sin cos 3ππt t t t f 形式频谱:离散性、谐波性、收敛性周期矩形脉冲信号的频谱特点定义及傅⾥叶变换存在的条件典型⾮周期信号的频谱冲激函数和阶跃信号的傅⾥叶变换性质→应⽤:调制和解调→频分复⽤周期信号的傅⾥叶变换:由⼀些冲激函数组成抽样信号的傅⾥叶变换→抽样定理→应⽤:时分复⽤2. 画出双边幅度谱和相位谱。
双边幅度谱和相位谱例3-2 分析:f (t )不满⾜绝对可积条件,故⽆法⽤定义求其傅⾥叶变换,只能利⽤已知典型信号的傅⾥叶变换和性质求解。
下⾯⽤三种⽅法求解此题。
⽅法⼀:利⽤傅⾥叶变换的微分性质⽅法⼆:利⽤傅⾥叶变换的积分性质⽅法三:线性性质⽅法⼀:利⽤傅⾥叶变换的微分性质要注意直流,设f A(t )为交流分量,f D(t )为直流分量,则其中()?+-+? -++=ππππ328cos 2265cos cos 3t t t t f ?++??? ??-+=38cos 2315cos cos 3ππt t t()。
的傅⾥叶变换求信号 )(ωF t f ()()()t f t f t f D A +=()()()ωωωD A F F F +=()()()[]2321=∞+∞-=f f t f D ()()ωπδω3=D F ()()t f t f A'='()??? ??-='211t G t f A ()ωωωωj Ae F j -??=∴2Sa⽅法⼆:利⽤傅⾥叶变换的积分性质⽅法三:利⽤线性性质进⾏分解此信号也可以利⽤线性性质进⾏分解,例如例3-3已知信号f (t )波形如下,其频谱密度为F (j ω),不必求出F (j ω)的表达式,试计算下列值:()ωωωωj e F j A -??=∴2Sa ()()()()ωπδωωωωωω32Sa +??? ??=+=∴-j e F F F j D为)()(21t f t f ()ωωωj e F -??? ??=2Sa 2()()()ωωωπωωωπωωωj e e j F j j --??? ??+=??? ???+=∴2Sa 2Sa 11 ()[]()()ωωωπδωωωj e F F F j -??? ??+=+=∴2Sa 311()[])1(2)1()()1()(-+--++-=t u t u t u t t u t f ()ωωπδj 1-()2121ωωωωωj e e j j j j ---+-()ωωωπδj e j -+22()()()ωπδωωω312+-=∴-j e F j ()()01=ωωF ()()?∞∞-ωωd 2F -t tj d ω(()?∞-====∴5.1d 00t t f F F ωω令t =0,则则例3-4按反褶-尺度-时移次序求解已知⽅法⼆:按反褶-时移-尺度次序求解已知⽅法三利⽤傅⾥叶变换的性质其它⽅法⾃⼰练习。
第三章习题基础题3.1 证明cos t , cos(2)t , …, cos()nt (n 为正整数),在区间(0,2)π的正交集。
它是否是完备集?解:(积分???)此含数集在(0,2)π为正交集。
又有sin()nt 不属于此含数集02sin()cos()0nt mt dt π=⎰,对于所有的m 和n 。
由完备正交函数定义所以此函数集不完备。
3.2 上题的含数集在(0,)π是否为正交集?解:由此可知此含数集在区间(0,)π内是正交的。
3.3实周期信号()f t 在区间(,)22T T-内的能量定义为222()TT E f t dt -=⎰。
如有和信号12()()f t f t +(1)若1()f t 与2()f t 在区间(,)22T T-内相互正交,证明和信号的总能量等于各信号的能量之和;(2)若1()f t 与2()f t 不是相互正交的,求和信号的总能量。
解:(1)和信号f(t)的能量为[]222222222221212222()12()()()()()()T T T T T T T T T T E f t dt dtf t dt f t dt f t f t dtf t f t -----===+++⎰⎰⎰⎰⎰(少乘以2)由1()f t 与2()f t 在区间内正交可得2122()()0T T f t f t dt -=⎰则有 22221222()()T T T T E f t dt f t dt --=+⎰⎰即此时和信号的总能量等于各信号的能量之和。
和信号的能量为(2)[]222222222221212222()12()()()()()()T T T T T T T T T T E f t dt dtf t dt f t dt f t f t dtf t f t -----===+++⎰⎰⎰⎰⎰(少乘以2吧?)由1()f t 与2()f t 在区间(,)22T T-内不正交可得2122()()0T T f t f t dt K -=≠⎰则有2222222212122222()()()()T T T T T T T T E f t dt f t dt K f t dt f t dt ----=++≠+⎰⎰⎰⎰即此时和信号的总能量不等于各信号的能量之和。
3.4 求下列周期信号的基波角频率Ω和周期T 。
(1)100j te(2) ]2/)3(cos[-t π(3))4sin()2cos(t t + (4)cos(2)cos(3)cos(5)t t t πππ++(5))4/sin()2/cos(t t ππ+ (6) )5/cos()3/cos()2/cos(t t t πππ++解:(1)角频率为Ω=100rad s ,周期22100T s ππ==Ω (2)角频率为2rad s πΩ=,周期42T s π==(3)角频率为2rad s πΩ=,周期2T s ππ==Ω(先求T ,后求omg 吧?) (4)角频率为rad s πΩ=,周期22T s π==Ω(5)角频率为4rad s πΩ=,周期28T s π==Ω(6)角频率为30radsπΩ=,周期260T sπ==Ω3.5 用直接计算傅里叶系数的方法,求图示周期函数的傅里叶系数(三角形式或指数形式)。
解:(1)周期T=4,2TπΩ=2π=,则有1, 4k-1 t 4k+1f(t)=0, 4k+1 t 4k+3⎧⎨⎩(k是整数;怎么求的边界条件?)由此可得222()cos()()TTna f t n t d tT-=Ω⎰221()cos()22n tf t dtπ-=⎰111cos()22ntdtπ-=⎰2sin(),0,1,2,2nnnππ==22221()sin()()()sin()22TTnn tb f t n t d t f t dtπ--=Ω=⎰⎰111sin()0,1,2,22n tdtnπ-==⎰(X?)(2)周期T=2,2Tπππ==,则有sin(),221()0,2122t k t kf tk t kπ≤≤+⎧=⎨+<<+⎩由此可得:1121022111()()()sin()221,0,1,2,2(1)Tjn t jn t jn tTnnjn tF f t e d t f t e dt t e dtTennππ-Ω-Ω-Ω---Ω===+==±±-⎰⎰⎰(积分?3.6如图所示是4个周期相同的信号(1)用直接求傅里叶系数的方法求图(a )所示信号的傅里叶级数(三角形式); (2)将图(a )的函数1()f t 左(或右)移,就得图(b )的函数2()f t ,利用(1)的结果求2()f t 的傅里叶级数;(3)利用以上结果求图(c )的函数3()f t 的傅里叶级数; (4)利用以上结果求图(d )的信号4()f t 的傅里叶级数;解:(1)由1()f t 的波形可知12,2()0,2T t kT t kT T f t T kT t kT T ⎧≤≤+⎪⎪=⎨⎪+<<+⎪⎩ 令2T πΩ=,则有220212112121211222cos()sin()sin(),1,2,1cos()1cos()()cos()sin()4()()()()()2211cos()1cos()sin()4()T TT n n n n n n b n t dt t n t dt n T T T n n n f t n t n t n n T Tf t f t f t f t n n t n t n n πππππππππ-∞∞==∞∞===Ω=Ω=-=-=+Ω-Ω=+=--=+Ω-Ω⎰⎰∑∑∑∑2210222cos()()cos()T TT n a n t f t dt n t dtT T -=Ω=Ω⎰⎰2cos()1,1,2,()n n n ππ-==22102222sin()()sin()cos(),1,2,T T T n b n t f t dt t n t dtT T T n n n ππ-=Ω=Ω=-=⎰⎰则1()f t 的傅里叶级数为12111cos()1cos()()cos()sin()4()n n n n f t n t n t n n ππππ∞∞==-=+Ω-Ω∑∑(2)由2()f t 和1()f t 的波形图可知21()()2T f t f t =+或21()()2Tf t f t =- 则2()f t 的傅里叶数为21()()2Tf t f t =+2111cos()1cos()cos ()sin ()4()22n n n T n T n t n t n n ππππ∞∞==-⎡⎤⎡⎤=+Ω+-Ω+⎢⎥⎢⎥⎣⎦⎣⎦∑∑ 2111cos()1cos()cos()sin()4()n n n n n t n n t n n n ππππππ∞∞==-=+Ω+-Ω+∑∑ 2111cos()1cos()cos()cos()cos()sin()4()n n n n n n t n n t n n ππππππ∞∞==-=+Ω-Ω∑∑21111cos()1cos()sin()4()n n n n t n t n n πππ∞∞==-=+-Ω--Ω∑∑(3)由3()f t 的波形可知32()()f t f t =-则3()f t 的傅里叶级数为32()()f t f t =-21111cos()1cos()sin()4()n n n n t n t n n πππ∞∞==-=+-Ω--Ω∑∑ 21111cos()1cos()sin()4()n n n n t n t n n πππ∞∞==-=+Ω+Ω∑∑(4)有4()f t 的波形可知423()()()f t f t f t =+则4()f t 的傅里叶级数为[]4232121cos()1()()()cos()2()n n f t f t f t n t n ππ∞=-=+=+Ω∑3.7试画出图示信号的奇分量和偶分量解:(1)由1()f t 的波形求得1()f t -的波形 则奇分量的波形为()od f t =11()()2f t f t --偶分量的波形为()ed f t =11()()2f t f t +-(2)由2()f t 的波形求得2()f t -的波形 则奇分量的波形为()od f t =11()()2f t f t --偶分量的波形为()ed f t =11()()2f t f t +-3.8利用奇偶性判断图示各周期信号的傅里叶级数中所含有的频率分量。
解:(1) 由1()f t 的波形可知1()f t =1()f t -=1()2tf t -±则有 24()cos()t n a f t n t dt t =Ω⎰ ,0,1,2,n =…0n b =0242460a a a b b b ========……则1()f t 的傅里叶级数中含有的频率分量为奇次余弦波。
(2) 由2()f t 的波形可知 22()()f t f t =-- 则有 0n a =24()sin(),0,1,2,t n b f t n t dt n t =Ω=⎰…则2()f t 的傅里叶级数中含有的频率分量为正弦波。
(3) 由3()f t 的波形可知33()()f t f t =-则有 0n b =24()cos(),0,1,2,t n a f t n t dt n t =Ω=⎰…即3()f t 的傅里叶级数中含有的频率分量为奇次余弦波。
(4) 由4()f t 的波形可知,4()f t 为奇谐函数,即44()()2tf t f t =-±则有 0242460a a a b b b ========……即4()f t 的傅里叶级数中只含有奇次谐波,包括正弦波和余弦波。
3.9 如图的周期性方波电压作用于RL 电路,试求电流()i t 的前五次谐波。
解:由()s u t 的波形图可知周期22,1T Tππ=Ω==,则有 1,2222()30,2222{s k t k u t k t k ππππππππ-≤≤+=+≤≤+由此可得傅立叶级数的系数 222()cos()Tn s Ta u t n t dt T -=Ω⎰1()cos()su t nt dt πππ-=⎰221cos()nt dt πππ-=⎰ 221021,2,sin()2{n dt n n n πππππ-=====⎰时, a 0时,a n因()s u t 为偶数,则0,1,2,n b n ==则电路激励()s u t 的前五次谐波为5011222()cos(5)cos cos(3)cos(5)2235s n nau t a t t t t πππ==+=+-+∑ 由电路得系统微分方程为'()()()s i t i t u t +=欲求电流()i t 的前五次谐波,即求此微分方程激励的前五次谐波的特解。