几个幂函数图像
- 格式:doc
- 大小:97.47 KB
- 文档页数:1
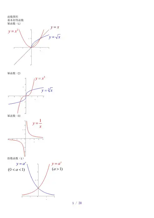
函数图形 基本初等函数 幂函数(1)幂函数(2)幂函数(3)指数函数(1)指数函数(2)指数函数(3)对数函数(1)对数函数(2)三角函数(1)三角函数(2)三角函数(3)三角函数(4)三角函数(5)反三角函数(1)反三角函数(2)反三角函数(3)反三角函数(4)反三角函数(5)反三角函数(6)反三角函数(7)反三角函数(8)双曲函数(1)双曲函数(2)双曲函数(3)双曲函数(4)双曲函数(5)双曲函数(6)双曲函数(7)反双曲函数(1)反双曲函数(2)反双曲函数(3)反双曲函数(4)反双曲函数(5)反双曲函数(6)y=sin(1/x) (1)y=sin(1/x) (2)y=sin(1/x) (3)y=sin(1/x) (4)y = [1/x](1)y = [1/x](2)y=21/xy=21/x (2)y=xsin(1/x)y=arctan(1/x)y=e1/xy=sinx (x->∞)绝对值函数 y = |x|符号函数 y = sgnx取整函数 y= [x]极限的几何解释(1)极限的几何解释(2)极限的几何解释(3)极限的性质 (1) (局部保号性)极限的性质 (2) (局部保号性)极限的性质 (3) (不等式性质) 极限的性质 (4) (局部有界性) 极限的性质 (5) (局部有界性)两个重要极限y=sinx/x (1)y=sinx/x (2)limsinx/x 的一般形式y=(1+1/x)^x (1)y=(1+1/x)^x (2)lim(1+1/x)^x 的一般形式(1)lim(1+1/x)^x 的一般形式(2)lim(1+1/x)^x 的一般形式(3)e 的值(1)e 的值(2)等价无穷小(x->0)sinx 等价于xarcsinx等价于xtanx等价于xarctanx 等价于x 1-cosx 等价于x^2/2sinx 等价于x数列的极限的几何解释海涅定理渐近线水平渐近线铅直渐近线实用标准文案精彩文档y=(x+1)/(x-1)y=sinx/x (x->∞)夹逼定理(1) 夹逼定理(2) 数列的夹逼性 (1) 数列的夹逼性 (2)。
函数图形基本初等函数幂函数(1)幂函数(2)幂函数(3)指数函数(1)指数函数(2)指数函数(3)对数函数(1)对数函数(2)三角函数(1)三角函数(2)三角函数(3)三角函数(4)三角函数(5)反三角函数(1)反三角函数(2)反三角函数(3)反三角函数(4)反三角函数(5)反三角函数(6)反三角函数(7)反三角函数(8)双曲函数(1)双曲函数(2)双曲函数(3)双曲函数(4)双曲函数(5)双曲函数(6)双曲函数(7)反双曲函数(1)反双曲函数(2)反双曲函数(3)反双曲函数(4)反双曲函数(5)反双曲函数(6)y=sin(1/x) (1)y=sin(1/x) (2)y=sin(1/x) (3)y=sin(1/x) (4)y = [1/x](1)y = [1/x](2)y=21/xy=21/x (2)y=xsin(1/x)y=arctan(1/x)y=e1/xy=sinx (x->∞)绝对值函数y = |x| 符号函数y = sgnx 取整函数y= [x]极限的几何解释(1) 极限的几何解释(2)极限的几何解释(3)极限的性质(1) (局部保号性)极限的性质(2) (局部保号性) 极限的性质(3) (不等式性质) 极限的性质(4) (局部有界性) 极限的性质(5) (局部有界性)两个重要极限y=sinx/x (1)y=sinx/x (2)limsinx/x的一般形式y=(1+1/x)^x (1)y=(1+1/x)^x (2)lim(1+1/x)^x 的一般形式(1)lim(1+1/x)^x 的一般形式(2)lim(1+1/x)^x 的一般形式(3)e的值(1)等价无穷小(x->0)sinx等价于xarcsinx等价于x tanx等价于x arctanx等价于x1-cosx等价于x^2/2sinx等价于x数列的极限的几何解释海涅定理渐近线水平渐近线铅直渐近线y=(x+1)/(x-1)y=sinx/x (x->∞) 夹逼定理(1)夹逼定理(2)数列的夹逼性(1) 数列的夹逼性(2) pi 是派的意思(如果你没有切换到公式版本)^是次方的意思,$是公式的标记符,切换到公式版(安装mathplayer)就看不到$了文案编辑词条B 添加义项?文案,原指放书的桌子,后来指在桌子上写字的人。
函数图形基本初等函数幂函数(1)幂函数(2) 幂函数(3) 指数函数(1)指数函数(3)对数函数(1)对数函数(2)三角函数(2)三角函数(3)三角函数(4)反三角函数(1)反三角函数(2)反三角函数(3)反三角函数(5)反三角函数(6)反三角函数(7)双曲函数(1)双曲函数(2)双曲函数(3)双曲函数(5)双曲函数(6)双曲函数(7)反双曲函数(2)反双曲函数(3)反双曲函数(4)反双曲函数(6)y=sin(1/x)(1) y=sin(1/x)(2)WOIRD格式y=[1/x](2 )y=sin(1/x)(3)y=sin(1/x)(4)y=[1/x](1)y=21/xy=21/x(2)y=xsin(1/x)y=arctan(1/x)y=e1/xy=sinx(x->∞)绝对值函数y=|x| 符号函数y=sgnx 取整函数y=[x]极限的几何解释(1)极限的几何解释(2)极限的几何解释(3)极限的性质(1)(局部保号性) 极限的性质(2)(局部保号性)极限的性质(3)(不等式性质) 极限的性质(4)(局部有界性) 极限的性质(5)(局部有界性)两个重要极限y=sinx/x(1)y=sinx/x(2)limsinx/x的一般形式y=(1+1/x)^x(1)y=(1+1/x)^x(2)lim(1+1/x)^x的一般形式(1) lim(1+1/x)^x的一般形式(2) lim(1+1/x)^x的一般形式(3) e的值(1)e的值(2)等价无穷小(x->0)sinx等价于x arcsinx等价于xtanx等价于xarctanx等价于x1-cosx等价于x^2/2sinx等价于x数列的极限的几何解释海涅定理渐近线水平渐近线铅直渐近线WOIRD格式y=(x+1)/(x-1)数列的夹逼性(1) y=sinx/x(x->∞)数列的夹逼性(2) 夹逼定理(1)夹逼定理(2)。
函数图形基本初等函数幂函数(1)幂函数(2)幂函数(3)指数函数(1)指数函数(2)指数函数(3)对数函数(1)对数函数(2)三角函数(1)三角函数(2)三角函数(3)三角函数(4)三角函数(5)反三角函数(1)反三角函数(2)反三角函数(3)反三角函数(4)反三角函数(5)反三角函数(6)反三角函数(7)反三角函数(8)双曲函数(1)双曲函数(2)双曲函数(3)双曲函数(4)双曲函数(5)双曲函数(6)双曲函数(7)反双曲函数(1)反双曲函数(2)反双曲函数(3)反双曲函数(4)反双曲函数(5)反双曲函数(6)y=sin(1/x) (1) y=sin(1/x) (2)y=sin(1/x) (3)y=sin(1/x) (4)y = [1/x](1)y = [1/x](2)y=21/xy=21/x (2) y=xsin(1/x) y=arctan(1/x)y=e1/xy=sinx (x->∞)绝对值函数y = |x| 符号函数y = sgnx 取整函数y= [x]极限的几何解释(1) 极限的几何解释(2)极限的几何解释(3)极限的性质(1) (局部保号性) 极限的性质(2) (局部保号性)极限的性质(3) (不等式性质) 极限的性质(4) (局部有界性) 极限的性质(5) (局部有界性)两个重要极限y=sinx/x (1)y=sinx/x (2)limsinx/x的一般形式y=(1+1/x)^x (1)y=(1+1/x)^x (2)lim(1+1/x)^x 的一般形式(1) lim(1+1/x)^x 的一般形式(2) lim(1+1/x)^x 的一般形式(3) e的值(1)e的值(2)等价无穷小(x->0)sinx等价于x arcsinx等价于xarctanx等价于x1-cosx等价于x^2/2sinx等价于x数列的极限的几何解释海涅定理渐近线水平渐近线铅直渐近线y=(x+1)/(x-1)y=sinx/x (x->∞) 夹逼定理(1)夹逼定理(2) 数列的夹逼性(1) 数列的夹逼性(2)。
幂函数图像及性质一、什么是幂函数在数学中,幂函数是一种形式为 f(x) = x^a 的函数,其中 a 是实数。
当 a = 1 时,幂函数就是我们熟悉的一次函数,而当a > 1 时,幂函数的图像呈现出特定的形状。
二、幂函数的图像特点1. 当 a > 1 时•当 a > 1 时,幂函数的图像呈现出向上凹曲的形状。
•随着 x 的增大,函数值快速增加,增长迅猛。
•函数图像在第一象限,并在原点围绕原点对称。
2. 当 a = 1 时•当 a = 1 时,幂函数就是一次函数,函数图像为一条过原点的直线。
3. 当 0 < a < 1 时•当 0 < a < 1 时,函数的增长趋于缓慢,图像在第一象限被压缩,所占的范围变小。
三、幂函数的性质1. 定义域和值域•对于幂函数 f(x) = x^a,当 a 为奇数时,定义域为实数集,值域也为实数集;当 a 为偶数时,定义域为非负实数集,值域也为非负实数集。
2. 奇偶性•当 a 为奇数时,幂函数是奇函数,关于原点对称;•当 a 为偶数时,幂函数是偶函数,关于 y 轴对称。
3. 单调性•当 a > 1 时,幂函数是增函数;•当 0 < a < 1 时,幂函数是减函数。
4. 特殊情况•当 a < 0 时,幂函数的图像为反比例函数的图像。
四、实例分析示例 1考虑函数 f(x) = x^2,这是一个以原点为中心向上开口的抛物线图像。
随着 x 的增大,函数值快速增加,形成一个向上凸起的形状。
示例 2当考虑函数 f(x) = x^0.5 时,函数的图像呈现出一个缓慢上升的曲线,范围也变小了,整体呈现出一种被压缩的状态。
五、总结幂函数是数学中非常重要的一类函数,通过本文的讨论,我们了解了幂函数的图像特点和性质。
无论是在理论研究还是实际应用中,对于幂函数的理解都具有重要的意义。
希望本文内容能够帮助读者更深入地理解幂函数及其性质。
幂函数9种图像总结
幂函数的图像总结有9种:
1、当b>1时,y=x^b的图像是从原点开始向右上方延伸的曲线;
2、当0<b<1时,y=x^b的图像是从原点开始向右下方延伸的曲线;
3、当b=-1时,y=x^b的图像是一条水平线;
4、当b<-1时,y=x^b的图像是一条折线,从原点开始先向右上方,再向右下方延伸;
5、当b=0时,y=x^b的图像是一条垂直线;
6、当b>0且b不是整数时,y=x^b的图像是一条弯曲的折线,从原点开始向右上方延伸;
7、当b<0且b不是整数时,y=x^b的图像是一条弯曲的折线,从原点开始向右下方延伸;
8、当b是正整数时,y=x^b的图像是一条折线,从原点开始向右上方延伸;
9、当b是负整数时,y=x^b的图像是一条折线,从原点开始向右下方延伸。
幂函数的认识
对于课本上的幂函数,相信大家都可以熟练地画出它们的图像,并且能说出它们的性质。
但是对于其它的幂函数,你们也能画出它们的图像,并且能说出它们的性质吗?比如y=x -2,y=x 2/3,y=x -2/3,等等。
下面听听我的看法吧!
如果您仔细研究了幂函数的图像及性质,就会发现,其实课本上介绍的不仅仅是五个幂函数,而是所有的幂函数。
为什么这样说呢?画函数的图像,无非就是根据其定义域、值域、单调性、奇偶性等等来解决。
课本上介绍的五个幂函数,实际上是四类幂函数,即0<a<1、a=1、a>1、a<0 四种情形。
比如y=x -2这个函数,我们知道,-2是小于0的,所以她的定义域是())(+∞⋃∞-,00,,我们可以先画出它在第一象限的图像,它的图像与y=x -1的图像是相似的,所以先画出第一象限的图像,再看它的奇偶性,因为(-x)-2=x-2,所以它是偶函数。
而偶函数的图像是关于y 轴对称的,所以可以根据对称性画出剩余部分的图像。
如果x 不能小于0,那么只要画出第一象限的图像就可以了。
所以说,幂函数的图像只要按照下面四步做就可以了:第一步,根据a 的取值画出第一象限的图像;第二步,研究其定义域,如果x 不能小于0,那么所画的第一象限的图像即为该函数的图像,否则,进行下一步;第三步,研究其奇偶性,如果它是奇函数,则根据图像关于原点对称,可以画出其余的图像;如果它是偶函数,则根据图像关于y 轴对称,可以画出其余的图像。
幂函数并不神秘,试试吧!。