2019华中师范大学教育学院硕士研究生拟录取名单
- 格式:docx
- 大小:29.50 KB
- 文档页数:6
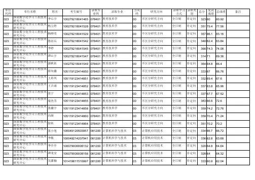
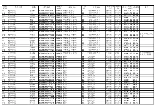
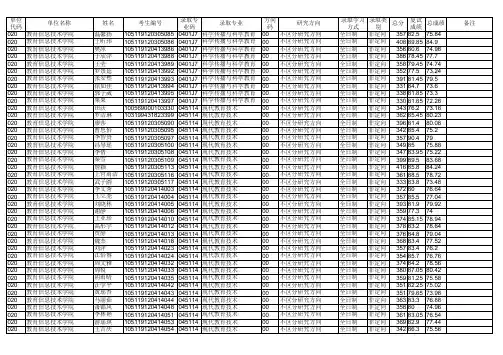
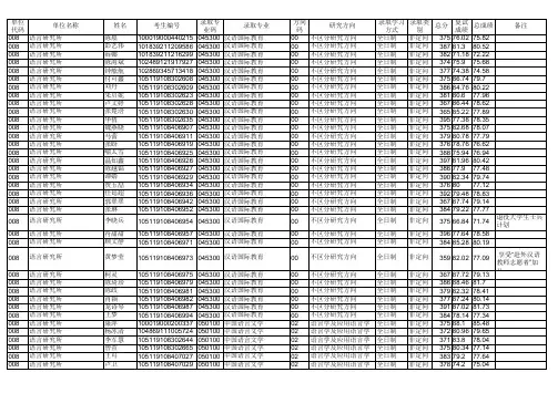
019信息管理学院袁芹105119119304833095136农业工程与信息技术00不区分研究方向全日制非定向37377.2775.67 019信息管理学院张文林105119119304834095136农业工程与信息技术00不区分研究方向全日制非定向36077.0374.01 019信息管理学院张颖105119119304841095136农业工程与信息技术00不区分研究方向全日制非定向34986.5376.49 019信息管理学院刘严冰105119119304847095136农业工程与信息技术00不区分研究方向全日制非定向37782.1278.09 019信息管理学院黄徐麟105119119304852095136农业工程与信息技术00不区分研究方向全日制非定向36174.7173.2 019信息管理学院朱杰105119119413607095136农业工程与信息技术00不区分研究方向全日制非定向36576.4874.39 019信息管理学院张姣105119119413608095136农业工程与信息技术00不区分研究方向全日制非定向37786.379.76 019信息管理学院郑仕晟105119119413609095136农业工程与信息技术00不区分研究方向全日制非定向35676.1873.19 019信息管理学院何维105119119413612095136农业工程与信息技术00不区分研究方向全日制非定向37885.5779.59 019信息管理学院杜维新105119119413613095136农业工程与信息技术00不区分研究方向全日制非定向34774.3671.38 019信息管理学院李元璋104879000101611120100管理科学与工程00不区分研究方向全日制非定向39182.7381.82 019信息管理学院张璐105119119304853120100管理科学与工程00不区分研究方向全日制非定向39977.3978.84 019信息管理学院彭雪莹105119119304864120100管理科学与工程00不区分研究方向全日制非定向36575.2573.9 019信息管理学院张倍思105119119304868120100管理科学与工程00不区分研究方向全日制非定向37674.775 019信息管理学院童科博105119119304871120100管理科学与工程00不区分研究方向全日制非定向35083.6575.46 019信息管理学院许小庆105119119304874120100管理科学与工程00不区分研究方向全日制非定向41481.9182.44 019信息管理学院刘旭105119119304899120100管理科学与工程00不区分研究方向全日制非定向36876.5974.8 019信息管理学院谭琳洁105119119304900120100管理科学与工程00不区分研究方向全日制非定向38283.5379.25 019信息管理学院姚月娇105119119304903120100管理科学与工程00不区分研究方向全日制非定向35188.1477.38 019信息管理学院杜娇丹105119119413615120100管理科学与工程00不区分研究方向全日制非定向37376.2975.28 019信息管理学院高晓娜105119119413617120100管理科学与工程00不区分研究方向全日制非定向37477.6575.94 019信息管理学院汤成105119119413622120100管理科学与工程00不区分研究方向全日制非定向37175.7674.82 019信息管理学院姜元培105119119413635120100管理科学与工程00不区分研究方向全日制非定向36182.0176.12 019信息管理学院李冰洁105119119413642120100管理科学与工程00不区分研究方向全日制非定向36475.9174.04 019信息管理学院张流源105119119413649120100管理科学与工程00不区分研究方向全日制非定向39379.0378.77 019信息管理学院董景丽105119119413654120100管理科学与工程00不区分研究方向全日制非定向37374.8974.72 019信息管理学院肖玲105119119413661120100管理科学与工程00不区分研究方向全日制非定向39274.4476.82 019信息管理学院刘曜嘉105339370110299120100管理科学与工程00不区分研究方向全日制非定向40377.5878.18 019信息管理学院朱申俊105339420410361120100管理科学与工程00不区分研究方向全日制非定向39078.8378.66 019信息管理学院刘世颖102699157050002120500图书情报与档案管理01图书馆学全日制非定向36875.174.8 019信息管理学院林晓晴102849211417612120500图书情报与档案管理01图书馆学全日制非定向36574.8774.5 019信息管理学院余俊橙102869420816666120500图书情报与档案管理01图书馆学全日制非定向36883.3881.42 019信息管理学院张小雨105119119304911120500图书情报与档案管理01图书馆学全日制非定向39086.0481.22 019信息管理学院胡皖莹105119119304913120500图书情报与档案管理01图书馆学全日制非定向36686.3278.45 019信息管理学院于果105119119304915120500图书情报与档案管理01图书馆学全日制非定向36485.6577.94 019信息管理学院从光丽105119119413682120500图书情报与档案管理01图书馆学全日制非定向36881.176.59 019信息管理学院李金玲105119119413691120500图书情报与档案管理01图书馆学全日制非定向37783.9878.83 019信息管理学院卓雯斐105119119413692120500图书情报与档案管理01图书馆学全日制非定向36683.6777.39 019信息管理学院明振鑫105119119304924120500图书情报与档案管理02情报学全日制非定向38279.477.6 019信息管理学院陈晓华105119119304925120500图书情报与档案管理02情报学全日制非定向38284.5479.66019信息管理学院弓越105119119304934120500图书情报与档案管理02情报学全日制非定向40380.7280.65 019信息管理学院邵葹甜105119119304936120500图书情报与档案管理02情报学全日制非定向36389.4479.34 019信息管理学院宋若曦105119119304938120500图书情报与档案管理02情报学全日制非定向38387.5880.99 019信息管理学院何树文105119119304941120500图书情报与档案管理02情报学全日制非定向37987.0680.3 019信息管理学院徐彤105119119304946120500图书情报与档案管理02情报学全日制非定向40687.5983.76019信息管理学院王斌清105119119304949120500图书情报与档案管理02情报学全日制非定向29374.6465.02退役大学生士兵计划019信息管理学院代沁泉105119119304954120500图书情报与档案管理02情报学全日制非定向40674.7978.64 019信息管理学院刘星月105119119304959120500图书情报与档案管理02情报学全日制非定向39373.9976.76 019信息管理学院任卫强105119119304964120500图书情报与档案管理02情报学全日制非定向42785.7485.54 019信息管理学院李婷105119119304967120500图书情报与档案管理02情报学全日制非定向38577.6177.24 019信息管理学院龙存钰105119119304969120500图书情报与档案管理02情报学全日制非定向38775.2476.54 019信息管理学院陈健瑶105119119304972120500图书情报与档案管理02情报学全日制非定向39879.9579.74 019信息管理学院余佳琪105119119304973120500图书情报与档案管理02情报学全日制非定向38580.1978.28 019信息管理学院郭诚105119119304974120500图书情报与档案管理02情报学全日制非定向38781.6679.1 019信息管理学院邹晶晶105119119304977120500图书情报与档案管理02情报学全日制非定向39670.775.8 019信息管理学院罗小路105119119304987120500图书情报与档案管理02情报学全日制非定向37387.679.8 019信息管理学院李映萱105119119413700120500图书情报与档案管理02情报学全日制非定向36681.9876.71 019信息管理学院彭媛105119119413704120500图书情报与档案管理02情报学全日制非定向39881.0580.18 019信息管理学院平晓亚105119119413706120500图书情报与档案管理02情报学全日制非定向39981.9980.68 019信息管理学院杜瑾105119119413712120500图书情报与档案管理02情报学全日制非定向37982.0878.31 019信息管理学院王珂莹105119119413713120500图书情报与档案管理02情报学全日制非定向38481.7878.79 019信息管理学院刘继月105119119413727120500图书情报与档案管理02情报学全日制非定向38083.2178.88 019信息管理学院顾佳云105119119413733120500图书情报与档案管理02情报学全日制非定向37477.7475.98019信息管理学院何烘105119119413740120500图书情报与档案管理02情报学全日制非定向31074.0566.82退役大学生士兵计划019信息管理学院卢瑞娜105119119413758120500图书情报与档案管理02情报学全日制非定向37678.7876.63 019信息管理学院崔丽丽105119119413770120500图书情报与档案管理02情报学全日制非定向38779.4678.22 019信息管理学院易亚105119119413771120500图书情报与档案管理02情报学全日制非定向40682.4281.69 019信息管理学院沈瑞玲105119119413782120500图书情报与档案管理02情报学全日制非定向37581.0477.42 019信息管理学院刘明105119119413795120500图书情报与档案管理02情报学全日制非定向38684.7380.21 019信息管理学院何俊雨105119119413796120500图书情报与档案管理02情报学全日制非定向38887.1281.41 019信息管理学院王秋博105119119413799120500图书情报与档案管理02情报学全日制非定向38681.979.08 019信息管理学院杨慧娟105119119413806120500图书情报与档案管理02情报学全日制非定向38880.9878.95 019信息管理学院罗思静105119119304989120500图书情报与档案管理03档案学全日制非定向36883.4177.52 019信息管理学院李昕然105119119413821120500图书情报与档案管理03档案学全日制非定向40173.377.44 019信息管理学院何欣欣105119119413827120500图书情报与档案管理03档案学全日制非定向35978.9874.67 019信息管理学院严舞月105119119413832120500图书情报与档案管理03档案学全日制非定向37179.9476.5019信息管理学院凯吴沙·艾斯卡尔100029517407740125500图书情报00不区分研究方向全日制非定向22979.8879.17019信息管理学院谢蓓100029517420530125500图书情报00不区分研究方向全日制非定向22874.3974.71 019信息管理学院李晓岗102849251408431125500图书情报00不区分研究方向全日制非定向23172.1773.14 019信息管理学院李晓静104869104003561125500图书情报00不区分研究方向全日制非定向22378.477.59 019信息管理学院潘港辉104869104012144125500图书情报00不区分研究方向全日制非定向24073.9775.18 019信息管理学院董文慧104869104012170125500图书情报00不区分研究方向全日制非定向22875.9975.99 019信息管理学院刘亚楠104869104012315125500图书情报00不区分研究方向全日制非定向2277575.13 019信息管理学院高娟105119519304997125500图书情报00不区分研究方向全日制非定向23672.1876.07 019信息管理学院徐言瑾105119519304998125500图书情报00不区分研究方向全日制非定向23178.5477.62 019信息管理学院赵艳105119519305009125500图书情报00不区分研究方向全日制非定向22672.0674.02019信息管理学院汪策105119519305010125500图书情报00不区分研究方向全日制非定向18472.965.96退役大学生士兵计划019信息管理学院任芷芸105119519305034125500图书情报00不区分研究方向全日制非定向24775.579.6 019信息管理学院江晨雨105119519305047125500图书情报00不区分研究方向全日制非定向23580.0679.02 019信息管理学院宗莹萍105119519305048125500图书情报00不区分研究方向全日制非定向24881.4482.18 019信息管理学院姚韩105119519305065125500图书情报00不区分研究方向全日制非定向25372.6679.66 019信息管理学院孙丽洁105119519305067125500图书情报00不区分研究方向全日制非定向23573.6476.46 019信息管理学院蒋瑞丽105119519305074125500图书情报00不区分研究方向全日制非定向24280.280.48 019信息管理学院余非凡105119519305076125500图书情报00不区分研究方向全日制非定向23579.4678.78 019信息管理学院雷黄圆105119519305077125500图书情报00不区分研究方向全日制非定向24376.1879.07 019信息管理学院袁芷洁105119519305079125500图书情报00不区分研究方向全日制非定向22972.9674.98 019信息管理学院韩梦晨105119519305081125500图书情报00不区分研究方向全日制非定向23078.3677.34 019信息管理学院赵昕彤105119519413839125500图书情报00不区分研究方向全日制非定向24277.9479.58 019信息管理学院贾超105119519413844125500图书情报00不区分研究方向全日制非定向23376.3677.14 019信息管理学院白庆宇105119519413845125500图书情报00不区分研究方向全日制非定向24374.8678.54 019信息管理学院苗苑105119519413846125500图书情报00不区分研究方向全日制非定向22782.2278.29 019信息管理学院王湘元105119519413864125500图书情报00不区分研究方向全日制非定向2407176.4 019信息管理学院叶诗颖105119519413868125500图书情报00不区分研究方向全日制非定向24376.179.04 019信息管理学院罗伟成105119519413873125500图书情报00不区分研究方向全日制非定向23076.1676.46 019信息管理学院邱玉群105119519413902125500图书情报00不区分研究方向全日制非定向22876.276.08 019信息管理学院朱瑞105119519413903125500图书情报00不区分研究方向全日制非定向23575.8277.33 019信息管理学院李婧雯105119519413908125500图书情报00不区分研究方向全日制非定向22475.975.16 019信息管理学院马新宇105119519413913125500图书情报00不区分研究方向全日制非定向23774.1477.06 019信息管理学院杨苗苗105119519413920125500图书情报00不区分研究方向全日制非定向23870.4675.78 019信息管理学院齐涵涵105119519413925125500图书情报00不区分研究方向全日制非定向2237373.8019信息管理学院陈丽娇105119519413934125500图书情报00不区分研究方向全日制定向23275.0676.42少数民族高层次骨干人才计划019信息管理学院蒋青莹105119519413938125500图书情报00不区分研究方向全日制非定向20772.0870.23退役大学生士兵计划019信息管理学院雷万禄105119519413939125500图书情报00不区分研究方向全日制非定向23276.9677.18019信息管理学院罗慧玉105119519413955125500图书情报00不区分研究方向全日制非定向22875.7675.9 019信息管理学院沈樱洋105119519413958125500图书情报00不区分研究方向全日制非定向2377979 019信息管理学院金鑫105119519413967125500图书情报00不区分研究方向全日制非定向22673.674.64 019信息管理学院李锐105119519413968125500图书情报00不区分研究方向全日制非定向24579.3680.74 019信息管理学院杜紫娟105119519413970125500图书情报00不区分研究方向全日制非定向23877.4878.59 019信息管理学院马晓阳105119519413975125500图书情报00不区分研究方向全日制非定向22477.9675.98019信息管理学院古丽布斯坦·吐尔洪105119519413984125500图书情报00不区分研究方向全日制定向19975.0869.83少数民族高层次骨干人才计划019信息管理学院孟璇105119519413985125500图书情报00不区分研究方向全日制非定向23382.2879.51。
2019级华中师范大学学科思政专业经验贴我是2019年一战华中师范大学学科思政专业,本科是三本民办,本科专业是网络与新媒体,属于三跨,跨专业跨地区跨学校,初试总分371分,英语二63,政治63,333教育综合128,806思想政治教学论117.今年华中学科思政400分以上24人,380-400有70个人,360-380有78个人,今年的复试分数线是373分,而我无缘华中的复试,经过调剂拟录取到淮北师范大学。
下面我就我所经历过的掌握的情况,给下届的学弟学妹提供一些血泪教训和经验,让你们少走弯路,最后都能够成功的到达彼岸。
19考研竞争已经很激烈了,估计20年更加猛烈。
1、择校择专业尽量不要三跨,跨专业跨学校跨地区其实是最难的,我已经深切地感受到,在选学校选专业方面,你们一定要深思熟虑,要考虑清楚,也可以稍微采取听一下父母的意见,获得父母的支持。
因为这一年你要静下心来复习,就必须要有充足的物质条件。
我之所以选华中师范,主要是因为它是211,教育部直属的六所师范院校,本科三本,考研的话学历会提升一个档次,而选学科思政,本科是传媒类,跨考思政主要是因为喜欢,因为浓厚的兴趣,以后想从事老师的工作,所以通过考研作为一个跳板转行,所以一定要想清楚你为什么要考研,以及以后的发展规划。
2、各科复习方法2.1英语二华中的学科思政是考英语二的,英语二比英语一要简单些,从单词的角度来说,以及从真题的阅读的出题答案设置的陷阱来说,以及具体解题方法来说,英语二都比英语一要简单点。
我在这里奉劝学弟学妹的是,以过来人的经验来看,我就是吃了亏才明白的,能尽早开始复习的一定要尽早开始,不要拖拖拉拉,等到后悔的时候以经来不及了,英语这个要靠平时的积累,是一点点提升上去的,不可能是速成就能有很大提高的。
虽然有这种方法能快速提高的人,但那并不是你,因为每个人的基础不一样。
现在已经四月中旬了,能开始的就赶紧开始吧,拖到最后堆到一起会让你压力很大,最后撑不住的时候你可能都快要想放弃。