自动控制原理课后习题答案第四章
- 格式:doc
- 大小:107.00 KB
- 文档页数:5
第4章课后习题参考答案4-1(a)(b)(c)(d)4-2(1)(2)4-3(1)(2)(j 24.20 ),K=10.14 4-4 (1)(2)(3)4-5(1)0>K (2)2>K 4-6(1)(2) 闭环极点(j 7.597.0±-),K=34.77 4-7 (1)110222-=+++s s s a(2)130202-=+ss a4-8正反馈 负反馈表明K>0对于正反馈系统不稳定,负反馈系统稳定。
4-90.707ξ=,系统开环传递函数为)4(8)(+=s s s G ,系统的单位阶跃响应为)(t h =)452sin(5.012 +--t e t4-10σωj 007.17-93.2-5-10-(1) K=5;(2)不含有衰减振荡分量的K 值范围为86.00<<K 或29>K 。
4-11 系统的开环极点为0和-p ,开环零点为-z 。
由根轨迹的幅角条件, 得π)12()()(+=+∠-∠-+∠q p s s z s 。
将ωσj s +=代入,整理有pz++︒=-+---σωσωσω111tan 180tan tan取上述方程两端的正切,并利用下列关系yx yx y x tan tan 1tan tan )tan( ±=±有p z z +=++-σωωσσω2)(,则zp z z -=++222)(ωσ,这是一个圆的方程,圆心位于(-z ,j 0)处,而半径等于zp z -2(注意,圆心位于开环传递函数的零点上)。
证毕。
4-12(1)分离点-0.465,对应K=0.88;虚轴的交点j 2± (2)88.00<<K ,阶跃响应不出现超调。
4-13(1)(2)70MAX K =4-14负反馈稳定K 值范围为0<K<73.8,正反馈稳定K 值范围为0<K<35,所以确定根轨迹增益K 的范围为0<K<35。
第4章4-1 已知系统的开环传函如下,试绘制系统参数K 从0→∞时系统的根轨迹图,对特殊点要加以简单说明. (1) ()()(4)(1)(2)K s G s H s s s s +=++ (2) ()()2(4)(420)KG s H s s s s s =+++ 解:(1)有3个开环几点,1个开环零点,固有3条根轨迹分别始于0,-1,-2; 1条根轨迹终于-4,另外2条根轨迹趋于无穷远处 实轴上的根轨迹分布在-1~0之间及-4~-2之间 渐近线条数为n-m=3-1=2 渐进线的交点12041312σ++-=-=-渐近线的倾角90θ︒=±分离点22[()()]02152480d G s H s s s s ds =⇒+++= 解得: 12s =- 其它舍去求与虚轴交点:令s j ω=代入特征方程(1)(2)(4)0s s s K s ++++=中得(1)(2)(4)0j j j K j ωωωω++++= 令上式两边实部和虚部分别相等,有226430(2)0 2.83K K K ωωωω⎧=⎧-=⎪⎪⇒⎨⎨+-==±=±⎪⎪⎩⎩绘制系统根轨迹,如图4-1(1)(2)有4个开环几点,无开环零点,有4条根轨迹,分别起始于0,-4, 24j -±终于无穷远处 实轴上的根轨迹分布在-4~0之间; 渐近线条数为n-m=4-0=4 渐进线的交点04242424j j σ++++-=-=-渐近线的倾角45,135θ︒︒=±±分离点22[()()]042472800d G s H s s s s ds=⇒+++=解得: 2s =-由()()1G s H s =得21224(2)4220K=--+--⨯+, K=64绘制系统根轨迹,如图4-1(2)图4-1(1)图4-1(2)4-2 已知系统的开环传函为(2)(3)()()(1)K s s G s H s s s ++=+(1) 试绘制系统参数K 从0→∞时系统的根轨迹图,求取分离点和会和点 (2) 试证明系统的轨迹为圆的一部分解:有2个开环极点,2个开环零点,有2条根轨迹,分别起始于0,-1; 终于-2,-3;实轴上的根轨迹分布在-3~-2之间及-1~0之间分离会和点2221,2,321[()()]02401,12123(2)()()()[()()]0[2(6)4]0203602,18()()[()()]00020,d G s H s s ds KK K s G s H s s s a d G s H s s s a s a dsa a a a s KG s H s sd G s H s s ds a s s =⇒+===-+⨯-++=+=⇒+++=⇒-+≥⇒≤≥===⇒=≤≤=23s ==解得:当10.634s =-时 由()()1G s H s =得(0.6342)(0.6343)10.070.6340.6341K K -+-+=⇒=-⨯-+当2 2.366s =-时 同理 K=13.9 绘制系统根轨迹 如图4-2证明:如果用s j αβ=+代入特征方程1()()0G s H s +=中,并经整理可得到以下方程式:2233()24αβ++=(注:实部虚部相等后消K 可得)显然,这是个圆的方程式,其圆心坐标为3(,0)2-,半径为2图4-24-3 已知系统的开环传函()()(1)(3)KG s H s s s =++(1) 试绘制系统参数K 从0→∞时系统的根轨迹图(2) 为了使系统的阶跃响应呈现衰减振荡形式,试确定K 的范围 解:有2个开环极点,无开环零点,有2条根轨迹,分别起始于-1,-3; 终于无穷远处;实轴上的根轨迹分布-3~-1之间; 渐近线条数2; 渐近线的交点13022σ+-=-=- 渐近线的倾角90θ︒=± 分离会和点[()()]0240d G s H s s ds=⇒+=解:S=-2由()()1G s H s =得1,12123KK ==-+⨯-+绘制系统根轨迹图4-3由图知 当1<K<+∞时系统的响应呈现衰减振荡形式4-4 设负反馈控制系统的开环传函为2(2)()()()K s G s H s s s a +=+试分别确定使系统根轨迹有一个,两个和三个实数分离点的a 值,分别画出图形 解:求分离点2[()()]0[2(6)4]0d G s H s s s a s a ds=⇒+++=解得s=0,或分离点为实数2203602a a a ⇒-+≥⇒≤或18a ≥当a=18时 实数分离点只有s=0 如图4-4(1)当a>18时 实数分离点有三个,分别为1,2,3(6)0,4a s -+=如图4-4(2)当a=2时2()()K G s H s s =分离点[()()]00d G s H s s ds=⇒= 即分离点只有一个s=0 如图4-4(3) 当02a ≤≤分离点有一个s=0 如图4-4(4) 当a<0时 分离点有1230,s s s ===(舍去)如图4-4(5)综上所述:当a=18,0≤a ≤2时,系统有一个分离点 当a >18时,系统有三个实数分离点 当a <0时,系统有两个分离点a=18图4-4(1) a=2图4-4(2)图4-4(3) a=1图4-4(4)图4-4(5)4-65 已知系统的开环传递函数为3(1)(3)()()K S S G S H S S++=(1)绘制系统的根轨迹。
第四章 习题4-1 绘制具有下列开环传递函数的负反馈系统的根轨迹1、()()()()54*++=s s s K s H s G解:首先确定开环传递函数中的零极点的个数各是多少。
由开环传递函数可知 m=0,n=3,n -m=3。
即,有限零点为0个,开环极点为3个。
其中,3个开环极点的坐标分别为:p 1=0,p 2=-4,p 3=-5。
然后,在[s]平面上画出开环极点的分布情况,根据根轨迹方程的幅角条件:首先确定实轴上的闭环系统的根轨迹。
如图所示。
接着再通过所需参数的计算画出比较精确的根轨迹通过画实轴上的根轨迹图可知,有3条闭环根轨迹,分别从p 1=0,p 2=-4,p 3=-5出发奔向无穷远处的零点。
在这一过程中,从p 1=0,p 2=-4两个极点出发的根轨迹在实轴上相遇后进入复平面,因此,有必要进行分离点的坐标计算,渐进线在实轴上的坐标点和渐进线的角度计算,以及与虚轴交点的计算。
根据公式有:渐进线303054011-=----=--=∑∑==mn zp n i mj jiσ()() ,,331212ππππϕ±±=+=-+=k mn k a从p 1=0,p 2=-4两个极点出发的根轨迹在实轴上相遇后将沿着±60º进入复平面,分离点:设:()1=s N ;()()()s s s s s s s D 2095423++=++=;()0'=s N ;()201832'++=s s s D则有:()()()()()0201832''=++-=⋅-⋅s s s D s N s D s N[s ]0201832=++s s解得方程的根为s 1= -4.5275(不合题意舍去);s 2= -1.4725 得分离点坐标:d = -1.4725。
与虚轴的交点:在交点处,s=j ω,同时也是闭环系统的特征根,必然符合闭环特征方程,于是有:()020********=++--=+++*=*K j j K s s sj s ωωωω整理得: 0203=-ωω;092=-*ωK 解得01=ω;203,2±=ω;18092==*ωK 最后,根据以上数据精确地画出根轨迹。
自动控制原理第二版第四章课后答案【篇一:《自动控制原理》第四章习题答案】4-1 系统的开环传递函数为g(s)h(s)?k*(s?1)(s?2)(s?4) 试证明点s1??1?j3在根轨迹上,并求出相应的根轨迹增益k*和开环增益k。
解若点s1在根轨迹上,则点s1应满足相角条件?g(s)h(s)??(2k?1)?,如图解4-1所示。
对于s1= -1+j3,由相角条件?g(s1)h(s1)?0??(?1?j3?1)??(?1?j3?2)??(?1?j3?4)? 0??2??3??6???满足相角条件,因此s1= -1+j3在根轨迹上。
将s1代入幅值条件: g(s1)h(s1?k*?1?1?j3?1??1?j3?2??1?j3?4k8*解出: k=12 ,k=*?324-2 已知开环零、极点如图4-2 所示,试绘制相应的根轨迹。
解根轨如图解4-2所示:4-3 单位反馈系统的开环传递函数如下,试概略绘出系统根轨迹。
⑴ g(s)?ks(0.2s?1)(0.5s?1)k(s?5)s(s?2)(s?3)* ⑵ g(s)?⑶ g(s)?k(s?1)s(2s?1)解⑴ g(s)?ks(0.2s?1)(0.5s?1)=10ks(s?5)(s?2)系统有三个开环极点:p1?0,p2= -2,p3 = -5①实轴上的根轨迹:???,?5?, ??2,0?0?2?57?????a??33②渐近线: ????(2k?1)????,?a?33?③分离点:1d?1d?5?1d?2?0解之得:d1??0.88,d2?3.7863(舍去)。
④与虚轴的交点:特征方程为 d(s)=s3?7s2?10s?10k?0?re[d(j?)]??7?2?10k?0令 ? 3im[d(j?)]????10??0?解得?????k?7。
根轨迹如图解4-3(a)所j)与虚轴的交点(0,?示。
⑵根轨迹绘制如下:①实轴上的根轨迹:??5,?3?, ??2,0?0?2?3?(?5)????0a??2②渐近线: ????(2k?1)????a?22?③分离点: 1d?1d?2?1d?3?1d?5用试探法可得 d??0.886。
4-1 已知系统的零、极点分布如图,大解:(5)(7)(8)4-2 已知开环传递函数,试用解析法绘制出系统的根轨迹,并判断点(-2+j0),(0+j1),(-3+j2)是否在根轨迹上。
解:K r (s+1)G(s)=K rΦ(s)=s+1+Kr K r =0s=-1-K r系统的根轨迹s=-1K r =→∞s=-∞s=-2+j0s=0+j14-3 已知系统的开环传递函数,试绘制出根轨迹图。
解: 1p 1=0 p 2=-1 2p 1~p 2 z 1=-1.5 z 2z 1~p 3 3)根轨迹的渐近线 n-m= 1 θ= + 180o4)分离点和会合点A (s )B'(s )=A'(s )B (s )A(s)=s 3+6s 2+5s B(s)=s 2+7s+8.25A(s)'=3s 2+12s+5B(s)'=2s+7s 1=-0.63s 2=-2.5s 3=-3.6s 4=-7.28解得K s(s+1)(s+4)(2) G(s)=r (s+1.5)1)开环零、极点p 1=0p 2=-1p3=-42)实轴上根轨迹段p 1~p 2z 1=-1.5p 3~z 13)根轨迹的渐近线n-m= 2θ= +90o 2σ=-1-4+1.5=-1.754)分离点和会合点 A(s)=s 3+5s 2+4s B(s)=s+1.5 A(s)'=3s 2+10s+4 B(s)'=1 解得 s=-0.62 5)系统根轨迹K s(s+1)2(3) G(s)=r1)开环零、极点p 1=0p 2=-1p 3=-12)实轴上根轨迹段p 1~p 2p 3~-∞3)根轨迹的渐近线n-m=34θ= +180+60o ,闭环特征方程为s 3+2s 2+s+K r =05)分离点和会合点A(s)=s 3+2s 2+s B(s)=1A(s)'=3s 2+4s+1B(s)'=0解得s=-0.336)系统根轨迹1p 1=0p2p 1~p 2p 4=-15p 3~z 143)根轨迹的渐近线n-m=3(4) G(s)=3σ=-3-7-15+8=-5.67θ= +180o +60o , K r =0 ω1=0K r =638 ω2,3=±6.25)分离点和会合点A(s)=s 4+25s 3+171s 2+315s B(s)=s+8A(s)'=4s 3+75s 2+342s+315B(s)'=2s+7解得s=-1.44)根轨迹与虚轴的交点闭环特征方程为s 4+25s 3+171s 2+323s+8K r =04-5 已知系统的开环传递函数。
(a)(b)(c)σ=,渐近线与实轴夹角90度(d)渐近线与实轴交点0a1230, 0, 1p p p ===-1. 实轴上的根轨迹(,1) (0,0)-∞-2. 渐近线:3n m -=3条根轨迹趋向无穷远处的渐近线相角为180(21)60,180 (0,1)3a q q ϕ︒+=±=±︒︒= 渐近线与实轴的交点为11001133n mi ii j a p zn mσ==---===--∑∑ 3. 分离点(会合点):系统的特征方程为21+()10(1)KG s s s =+=+即 232=(1)K s s s s -+=--2=320dKs s ds--=(32)0s s +=根 10s =,20.667s =-(舍去)4. 与虚轴的交点:令 s j ω= 代入特征方程 21+()10(1)KG s s s =+=+2(1)=0s s K ++2()(1)=0j j K ωω++2(1)=0j K ωω-++2=0K j ωω--2=00K ωω⎧-⎨=⎩=0ω (舍去)与虚轴没有交点,即只有根轨迹上的起点,也即开环极点 1,20p = 在虚轴上。
4.5 开环传递函数为2()(6)(645)K G s s s s s =+++ 开环极点为123,40, 6, 36p p p j ==-=-±1. 实轴上的根轨迹:(6,0)-2. 渐近线:4n m -=,共有4条渐近线,4条根轨迹趋向无穷远处的渐近线相角180(21)45,135 4a q ϕ︒+=±=±︒±︒ 渐近线与实轴的交点为116363634n mi ii j a p zj jn mσ==---+--===--∑∑3. 分离点(会合点):系统的特征方程为21+()10(6)(645)KG s s s s s =+=+++ 即 2432(6)(645)(1281270)K s s s s s s s s =-+++=-+++=0dKds根 13s =-,2,33s j =- 4. 与虚轴的交点:令 s j ω= 代入特征方程 21+()10(6)(645)KG s s s s s =+=+++4324231281270081012270=0s j j j K K j j ωωωωωωωωω=--++=-+=-+令,得实部: 虚部:解得:=0= 4.74=1316.25K ωω±(舍去),,5. 出射角:出射角公式11,()180(2)()1r nr mj r rp i j i j p z p p k θ==≠=±+∠︒--∠-+∑∑极点23+2s j =-的出射角为 22211,2(63.41180(21)()(0)=16.690)180(21)=90mnp i j i j j k p z p p k θ==≠-︒+︒+=±︒++∠--∠-±︒︒++-︒∑∑Locus of E xample 4-5 in P 72ReI m。
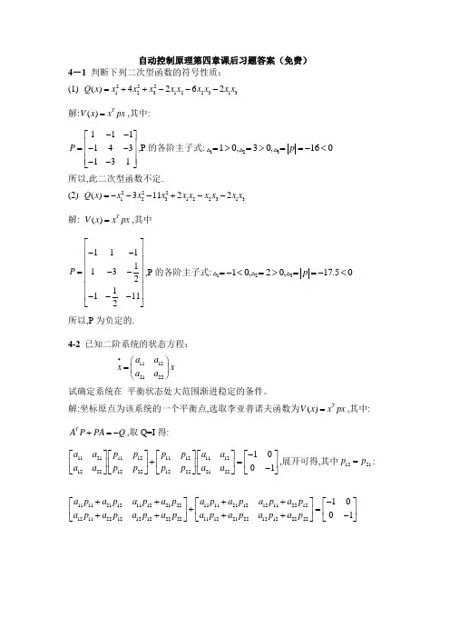
自动控制原理第四章课后习题答案(免费)4-1 判断下列二次型函数的符号性质:(1) 222123122313()4262Q x x x x x x x x x x =++--- 解:()T V x x px =,其中:111143131P --⎡⎤⎢⎥=--⎢⎥⎢⎥--⎣⎦,P 的各阶主子式:12310,30,160p =>=>==-< 所以,此二次型函数不定.(2) 222123122313()31122Q x x x x x x x x x x =---+-- 解: ()T V x x px =,其中111113211112P ⎡⎤⎢⎥--⎢⎥⎢⎥=--⎢⎥⎢⎥⎢⎥---⎣⎦,P 的各阶主子式:12310,20,17.50p =-<=>==-< 所以,P 为负定的.4-2 已知二阶系统的状态方程:11122122a a x x a a •⎛⎫= ⎪⎝⎭试确定系统在 平衡状态处大范围渐进稳定的条件。
解:坐标原点为该系统的一个平衡点,选取李亚普诺夫函数为()T V x x px =,其中:T A P PA Q +=-,取Q=I 得:112111121112111212221222122221221001a a p p p p a a a a p p p p a a -⎡⎤⎡⎤⎡⎤⎡⎤⎡⎤+=⎢⎥⎢⎥⎢⎥⎢⎥⎢⎥-⎣⎦⎣⎦⎣⎦⎣⎦⎣⎦,展开可得,其中1221p p =:11112112111221221111211212112212121122121212222211122122121222221001a p a p a p a p a p a p a p a p a p a p a p a p a p a p a p a p ++++-⎡⎤⎡⎤⎡⎤+=⎢⎥⎢⎥⎢⎥++++-⎣⎦⎣⎦⎣⎦()211211111121121112122222121222111222121211212222111222121211212211221212112122122212221120200a p p a p a p a a p a p a p p a p a p a p a p a a p a p a p a p a a p a p a p --⎧=⎪+=-⎧⎪⎪+=---⎪⎪→=⎨⎨+++=⎪⎪⎪⎪+++=+++=⎩⎪⎩()()21121212112212122111221122211112221122221112212211122112120222a p a p a a p a a a a a a a a p a a a a a a a a a a ----⇒++⋅+⋅=+=+--1222211112211122112221122()()a a a a p p a a a a a a +⇒==+-解之得:221122211221221111221122211222112221121112221122112212212()()2()()a a a a a a p a a a a a a a a a a a a p a a a a a a ⎧-++=⎪+-⎪⇒⎨-++⎪=-⎪+-⎩要使矩阵P 为正定的,则应使:1112112212210,0p p p p p =>=->于是得:22112212212112211221221()()04()()a a a a a a a a a a ++->+-,即:112212*********,00a a a a p a a ->>⇒+< 综上所述在平衡点出渐进稳定的充要条件为:1122112212210,0a a a a a a +<-> 系统为线性的,所以满足上述条件即可满足大范围渐进稳定.4-3 以李雅普诺夫第二方法确定下列系统原点的稳定性:(1)1123x x •-⎛⎫= ⎪-⎝⎭解:求平衡点,12120230x x x x -+=-=,可得00e x ⎛⎫= ⎪⎝⎭为唯一的平衡点。
第 四 章4-4 设单位反馈控制系统开环传递函数如下,试概略绘出相应的闭环根轨迹图(要求确定分离点坐标d): (1))15.0)(12.0()(++=s s s K s G (2))12()1()(++=s s s K s G 解:(1))5)(2()15.0)(12.0()(*++=++=s s s K s s s K s G ,K K 10*= ① n =3,根轨迹有3条分支;② 起点:p1=0,p2=-2,p3=-5;没有零点,终点:3条根轨迹趋向于无穷远处。
③ 实轴上的根轨迹:[-2,0],(5,-∞-];④ 渐进线:373520-=--=a σ,πππϕ,33)12(±=+=K a ; ⑤ 分离点:051211=++++d d d求解得:79.31-=d (舍去),88.02-=d ; 作出根轨迹如图所示:(2)*(1)(1)()(21)(0.5)K s K s G s s s s s ++==++,*0.5K K =① n =2,根轨迹有2条分支; ② 起点:p1=0,p2=-0.5,;终点:11z =-,1n m -=条根轨迹趋向于无穷远处。
③ 实轴上的根轨迹:[-0.5,0],(,1-∞-];④ 分离点:1110.51d d d +=++求解得:10.29d =-,2 1.707d =-; 作出根轨迹如图所示:4-6 设单位反馈控制系统的开环传递函数如下,要求:确定 )20)(10()()(2+++=*s s s z s K s G 产生纯虚根为±j1的z值和*K 值。
解:020030)()20)(10()(**234*2=++++=++++=z K s K s s s z s K s s s s D 令j s =代入0)(=s D ,并令其实部、虚部分别为零,即:02001)]1(Re[*=+-=z K j D ,030)]1(Im[*=+-=K j D解得:63.6,30*==z K画出根轨迹如图所示:4-10 设单位反馈控制系统的开环传递函数)102.0)(101.0()(++=s s s K s G要求:(1) 画出准确根轨迹(至少校验三点);(2) 确定系统的临界稳定开环增益K c;(3) 确定与系统临界阻尼比相应的开环增益K 。
4-1如果单位反馈控制系统的开环传递函数G(s) 彳s 1试用解析法绘出K从零向无穷大变化时的闭环根轨迹图,并判断下列点是否在根轨迹上(2, j 0),(0+j 1),( 3+j2)。
解:根轨迹如习题4-1答案图所示。
(-2,+j 0)在根轨迹上;(0,+ j1), (-3,根轨迹上。
4-2设单位反馈控制系统的开环传递函数。
解:解析法:K=0 时:s=-1/2 , 0; K=1: s=-1 ± 2/2 ; K=-^:s=-m, -1/3。
题4-2答案图所示。
+j 2)不在试用解析法给出开环增益G(s)K(3s 1)s(2s 1)K从零增加到无穷时的闭环根轨迹图。
根轨迹如习习题4-1答案图习题4-2答案图4-3已知系统的开环传递函数G(s)H(s)黑,试按根轨迹规则画出该系统的根轨迹图,并确定使系统处于稳定时的K值范围。
解:分离点:;会合点:;与虚轴交点:土j。
稳定的K值范围:K>1o 根轨迹如习题4-3答案图所示。
习题4-3答案图4-4已知一单位反馈系统的开环传递函数为与虚轴交点和;使系统稳定的开环增益为v K v (即 v K *v 。
G(s)(1) 试粗略画出K *由0到a 的根轨迹图;解:稳定性分析:系统不稳定。
根轨迹如习题4-4答案图所示。
Root Locus864s xA y a g m-4 -6-8 ________________________ | ________________________ : ________________________ -10 -5 0 5Real Axis习题4-4答案图迹图,并确定使系统稳定的开环增益范围。
K 2 (s 1)(s 1)(s 4)2(2)分析该系统的稳定性。
-2 4-5设控制系统的开环传递函数为G(s)H(s)K (s 1) s(s 1)(s 2 4s 16),试绘制系统根轨解:渐近线:=60°,180=-2/3 ;复数极点出射角m55° ;分离会合点和;4-6已知系统的特征方程为(s 1)(s 3)(s 1)(s 3) K(s24) 0试概略绘出K由O TR时的根轨迹(计算出必要的特征参数) 。
点),3(j -不在根轨迹上。
(3)求5.0=ξ等超调线与根轨迹的交点方法一 ︒=60β,设等超调线与根轨迹交点A s 坐标实部为σ-,则σσ3,j s B A ±-=,有 162)3)(3(2++=++-+as s j s j s σσσσ 令等式两边s 各次项系数分别相等,得⎩⎨⎧==⇒⎪⎩⎪⎨⎧==4216422a aσσσ 方法二 由特征方程01622=++as s ,按照典型二阶系统近似计算得:⎩⎨⎧==⇒⎪⎩⎪⎨⎧==442162a an n n ωξωω 另外,把n n n n j j s ωωωξξω87.05.012+-=-+-=代入特征方程也可求得同样结果。
2-4-6 已知单位负反馈系统的开环传递函数为)1(4/)()(2++=s s a s s G(1)试绘制参数a 由+∞→0变化的闭环根轨迹图;(2)求出临界阻尼比1=ξ时的闭环传递函数。
【解】:(1)系统特征方程为01)144(04401)1(4)(2232=+++⇒=+++⇒=+++s s s a a s s s s s a s等效开环传递函数为: 22)5.0(25.0)144()(+=++='s s a s s s as Ga 由∞→0变化为一般根轨迹。
① 开环极点5.0,03,21=-=-p p 。
② 渐近线与实轴的交点:31-=-σ,渐近线倾角:︒︒︒=300,180,60θ。
③ 实轴上的根轨迹在区间]0,(-∞。
④ 分离点 由 0)()()()(='-'s Q s P s Q s P 得 025.0232=++s s 解得5.01-=s 为起点,17.0612-=-=s 为分离点。
074.0=a 。
⑤ 根轨迹与虚轴的交点 令ωj s =,代入特征方程得⎩⎨⎧==⇒⎩⎨⎧=+-=+-⇒=++--15.0025.0025.0025.025.02323a a a j j ωωωωωωω⑥ 该系统根轨迹如题2-4-6解图所示。
4-1如果单位反馈控制系统的开环传递函数1)(+=s K s G 试用解析法绘出K 从零向无穷大变化时的闭环根轨迹图,并判断下列点是否在根轨迹上: (2,j 0),(0+j 1),(3+j 2)。
解:根轨迹如习题4-1答案图所示。
(-2,+j 0)在根轨迹上;(0,+j 1), (-3, +j 2) 不在根轨迹上。
习题4-1答案图4-2设单位反馈控制系统的开环传递函数。
)12()13()(++=s s s K s G 试用解析法给出开环增益K 从零增加到无穷时的闭环根轨迹图。
解: 解析法:K =0时:s=-1/2,0;K =1:s=-1±2/2;K =-∞:s=-∞,-1/3。
根轨迹如习题4-2答案图所示。
习题4-2答案图4-3 已知系统的开环传递函数)1()1()()(-+=s s s K s H s G ,试按根轨迹规则画出该系统的根轨迹图,并确定使系统处于稳定时的K 值范围。
解:分离点:;会合点: ;与虚轴交点:±j 。
稳定的K 值范围:K >1。
根轨迹如习题4-3答案图所示。
习题4-3答案图4-4已知一单位反馈系统的开环传递函数为2*)4)(1)(1()(+-+=s s s K s G (1)试粗略画出K *由0到∞的根轨迹图;(2)分析该系统的稳定性。
解:稳定性分析:系统不稳定。
根轨迹如习题4-4答案图所示。
Root LocusReal AxisI m a g i n a r y A x i s习题4-4答案图4-5 设控制系统的开环传递函数为)164)(1()1()()(2*++-+=s s s s s K s H s G ,试绘制系统根轨迹图,并确定使系统稳定的开环增益范围。
解:渐近线:=60°,180°;=-2/3;复数极点出射角55°;分离会合点和;与虚轴交点和;使系统稳定的开环增益为 <K < (即 <K *<。
习题4-5答案图4-6 已知系统的特征方程为0)4()3)(1)(3)(1(2=++--++s K s s s s试概略绘出K 由0→∞时的根轨迹(计算出必要的特征参数)。
第 四 章
4-4 设单位反馈控制系统开环传递函数如下,试概略绘出相应的闭环根轨迹图(要求确定分离点坐标d): (1))15.0)(12.0()(++=
s s s K s G (2))12()1()(++=s s s K s G 解:(1))5)(2()15.0)(12.0()(*
++=++=s s s K s s s K s G ,K K 10*= ① n =3,根轨迹有3条分支;
② 起点:p1=0,p2=-2,p3=-5;没有零点,终点:3条根轨迹趋向于无穷远处。
③ 实轴上的根轨迹:[-2,0],(5,-∞-];
④ 渐进线:
373520-=--=
a σ,πππϕ,33)12(±=+=K a ; ⑤ 分离点:051211=++++d d d
求解得:79.31-=d (舍去),88.02-=d ; 作出根轨迹如图所示:
(2)
*(1)(1)()(21)(0.5)K s K s G s s s s s ++=
=++,*0.5K K =
① n =2,根轨迹有2条分支; ② 起点:p1=0,p2=-0.5,;终点:
11z =-,1n m -=条根轨迹趋向于无穷远处。
③ 实轴上的根轨迹:[-0.5,0],(,1-∞-];
④ 分离点:1110.51d d d +=++
求解得:1
0.29d =-,2 1.707d =-; 作出根轨迹如图所示:
4-6 设单位反馈控制系统的开环传递函数如下,要求:
确定 )20)(10()()(2+++=*s s s z s K s G 产生纯虚根为±j1的z值和*K 值。
解:
020030)()20)(10()(**234*2=++++=++++=z K s K s s s z s K s s s s D 令j s =代入0)(=s D ,并令其实部、虚部分别为零,即:
02001)]1(Re[*=+-=z K j D ,030)]1(Im[*=+-=K j D
解得:63.6,30*==z K
画出根轨迹如图所示:
4-10 设单位反馈控制系统的开环传递函数
)102.0)(101.0()(++=
s s s K s G
要求:
(1) 画出准确根轨迹(至少校验三点);
(2) 确定系统的临界稳定开环增益K c;
(3) 确定与系统临界阻尼比相应的开环增益K 。
分析:利用解析法,采用逐个描点的方法画出系统闭环根轨迹。
然后将s j ω=代入特征方程中,求解纯虚根的开环增益,或是利用劳斯判据求解临界稳定的开环增益。
对于临界阻尼比相应的开环增益即为实轴上的分离点对应的开环增益。
解:(1)5000()(50)(100)K G s s s s =++
① n =3,根轨迹有3条分支,且均趋于无穷远处;
② 实轴上的根轨迹:[-50,0],(,1-∞-00]; ③ 渐进线:50100503a σ--=
=-,
(21),33a k ππϕπ+==±; ④ 分离点:11150100d d d +=++
求解得:121.3d =-,278.8d =-(舍去); 作出根轨迹如图所示:
(2)临界开环增益c K 为根轨迹与虚轴交点对应的开环增益。
32()150********D s s s s K =+++
令s j ω=,代入()0D s =,并令其实部、虚部分别为零,即
2Re[()]15050000D j K ωω=-+=,3Im[()]50000D j ωωω=-+=
解得:1,23500070.71,0ωω=±=±=(舍去) 150c K =
(3)系统处于临界阻尼比1ζ=,相应闭环根位于分离点处,即要求分离点d 对应的K 值。
将s =d =-21.3代入幅值条件:
0.0110.0219.622K s s s =++=
4-14 设系统开环传递函数如下,试画出b 从零变到无穷时的根轨迹图。
(1)
))(4(20
)(b s s s G ++= (2)
)10()(30)(++=s s b s s G 解:(1)
22()4420420(4)0D s s s bs b s s b s =++++=++++= 做等效开环传递函数
*2(4)(4)()420(24)(24)b s b s G s s s s j s j ++=
=+++++-
① n=2,有2条根轨迹分支,n-m=1条趋于无穷远处;
② 实轴上的根轨迹:(,4-∞-];
③ 分离点11124244d j d j d +=
+++-+
整理得212840
8.47
0.47()d d d d +-==-=舍去
出射角:1
000180arctan 290135p θ=+-= 根轨迹如图所示:
(2)2
()(10)30()40300D s s s s b s s b =+++=++= 做等效开环传递函数 *23030()40(40)b b G s s s s s =
=++
① n=2,有2条根轨迹分支,且均趋于无穷远处; ② 实轴上的根轨迹:[40,0-]; ③ 分离点11040d d +=+
整理得20d =-
根轨迹如图所示:。