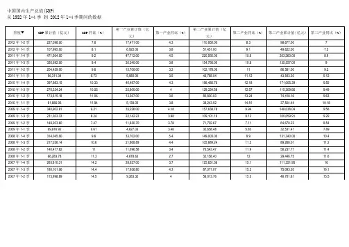
中国历年国内生产总值(GDP)(1952-2012)
- 格式:xls
- 大小:40.50 KB
- 文档页数:50
中国历年gdp一览表(1952-2018)
-----生产总值和人均gdp增长飞速
排行榜123网讯,我国的GDP增长情况一直是国人关注的焦点,国家发改委在2019年9月24日发布会上,叙述了我国从1952年到2018年,我国GDP 总量从679.1亿元到90.03万亿元实现了174倍的增长,而人均GDP119元提高到6.46万元,也达到了实际70倍的增长,在人均可支配收入上也增长了59.2倍。
其次,随着经济稳定发展和综合国力的增强,我国已经成为了世界第二大经济体,货物贸易第一大国,外汇储备第一大国,服务贸易第二大国,使用外资第二大国和对外投资第二大国。
下面跟随小编一起来看看中国历年gdp一览表的详细情况吧。
中国历年gdp一览表(1952-2018)
(数据来源于国家统计局)。
建国以来我国历年国内生产总值(GDP)增长率一览GDP 是英文 Gross Domestic Product 的缩写,译为国内生产总值,指一国(或地区) 一年内在其境内生产出的全部最终产品和劳务的市场价值总和。
GDP 是宏观经济中最受关注的经济统计数字,因为它被认为是衡量国民经济发展情况最重要的一个指标。
GDP 反映的是国民经济各部门的增加值的总额。
国家统计局发布的季度 GDP 是以生产法为基础核算的结果。
从理论上说,按支出法、收入法与生产法计算的 GDP 在量上是相等的,但实际核算中常有误差,因而要加上一个统计误差项来进行调整,使其达到一致。
实际统计中,一般以国民经济核算体系的支出法为基本方法,即以支出法所计算出的国内生产总值为标准。
依照《中华人民共和国统计法》第一章第九条的规定,统计机构和统计人员对在统计工作中知悉的国家秘密、商业秘密和个人信息,应当予以保密。
国民经济核算人员在进行 GDP 核算时对所使用的未经公开的专业统计数据和行政记录数据严格保密,在 GDP 核算数据发布前对当期 GDP 数据也严格保密。
季度 GDP 初步核算数一般于季后 15 天左右完成;季度GDP 初步核实数在年度 GDP 初步核实数发布后 45 天内完成;季度 GDP 最终核实数在年度 GDP 最终核实数发布后 45 天内完成。
对于主要统计指标的发布,国家统计局会在年初发布的《经济统计信息发布日程表》中说明发布日期,GDP 数据将按规定日程发布。
GNP 是英文 Gross National Product 的缩写,译为国民生产总值。
GNP 是一个国民概念,指某国国民所拥有的全部生产要素在一定时期内所生产的最终产品的市场价值。
因此,一个在日本工作的美国公民的收入不计入美国的 GDP 中,而计入日本的 GDP 中。
在 1991 年之前,美国均是采用 GNP 作为经济总产出的基本测量指标,后来因为大多数国家都采用 GDP,加之国外净收入数据不足,GDP 相对于 GNP 来说是衡量国内就业潜力的更好指标,易于测量,所以美国才改用GDP。
中国历年GDP增长速度(1952-2010)已有 5490 次阅读2011-2-21 20:42|个人分类:学术笔记|系统分类:人文社科|关键词:GDP,经济增长,中国经济1.GDP定义国内生产总值(英语:Gross Domestic Product,英语简称GDP;亦称本地生产总值),是一个领土面积内的经济情况的度量。
是指在一定时期内(一个季度或一年),一个国家或地区的经济中所生产出的全部最终产品和劳务的价值,常被公认为衡量国家经济状况的最佳指标。
2.GDP计算公式GDP = C+I+G+X-MC=私人消费(老百姓花费的总数)I=投资(存到银行的钱)G=政府消费支出(政府的花费)X=出口(出口到国外总值)M=进口(从国外进口货物总值)3.中国历年GDP变化数据统计年度指标值(亿元)涨跌额201039798357080 2009340506.926461.5 2008314045.448235.1 2007265810.349495.9 2006216314.431377 2005184937.423339.1 2004159878.324055.5 2003135822.815490.1 2002120332.710677.5 2001109655.210440.6 200099214.69537.5 199989677.15274.8 199884402.35429.3 1997789737796.4 199671176.610382.9 199560793.712595.8 199448197.912864 199335333.98410.4 199226923.55142 199121781.53113.7 199018667.81675.5 198916992.31949.5 198815042.82984.2198712058.61783.4198610275.21259.2198590161807.919847208.11245.419835962.7639.319825323.4431.819814891.634619804545.648319794062.6417.419783645.2443.319773201.9258.219762943.7-53.619752997.3207.419742789.96919732720.9202.819722518.191.719712426.4173.719702252.7314.819691937.9214.819681723.1-50.819671773.9-94.119661868151.919651716.1262.119641454220.719631233.38419621149.3-70.719611220-23719601457181959143913219581307239195710684019561028118195591051195485935195382414519526790图一:1993-2010中国GDP同比增长速率图二:1952-2010中国GDP总额变化。