6TM44220153行走马达零件图册
- 格式:pdf
- 大小:1.68 MB
- 文档页数:6
2DKMH.PS.130.A1.02 • 520L0593 • Rev. A • 05/2003OMS Orbital motor Service and parts manual Table of contens, Special versions CONTENTS© 2003 Sauer-Danfoss. All rights reserved. Printed in Europe Sauer-Danfoss accepts no responsibility for possible errors in catalogs, brochures and other printed material. Sauer-Danfoss reserves the right to alter its products without prior notice. This also applies to products already ordered provided that such alterations aren’t in conflict with agreed specifications. All trademarks in this material are properties of their respective owners. Sauer-Danfoss and the Sauer-Danfoss logotype are trademarks of the Sauer-Danfoss Group. Frontpage: P300083.TIF, Drawing 151-19.fa Special versions...................................................................................................................................................................3Cost-free repairs..................................................................................................................................................................3Comments ...........................................................................................................................................................................3Exploded view OMS series 2 .........................................................................................................................................4Exploded view OMS series 3 .........................................................................................................................................5Spare parts list.....................................................................................................................................................................6Special tools.........................................................................................................................................................................9Dismantling.......................................................................................................................................................................10Tacho connection............................................................................................................................................................11Assembling (12)3DKMH.PS.130.A1.02 • 520L0593 • Rev. A • 05/2003OMS Orbital motor Service and parts manual Contents The list of spare parts cannot be used when ordering parts for special OMS versions. In this respect, please contact the sales organisation for Sauer-Danfoss.We would point out that cost-free repairs as mentioned in Sauer-Danfoss General Condi-tions of Sale, are carried out only at Sauer-Danfoss Nordborg or at service shops autho-rised by Sauer-Danfoss.a) Only OMS series 2: After week 41.97 the guide pin has a new location. When repairing motors manufacturing before week 41.97 it will therefore be necessary to replace end cover, balance plate, tightening pin and spring washer.The series number is altering when parts in the motor are changed.The OMS series marking follows its date marking: XXX-3SPECIAL VERSIONSCOST-FREE REPAIRSCOMMENTSSERIES MARKINGOMS SERIES 3OMS Orbital motorService and parts manualExploded view OMS series 2Item 34:Item 38:Item 51:4DKMH.PS.130.A1.02 • 520L0593 • Rev. A • 05/2003OMS Orbital motorService and parts manualExploded view OMS series 3Item 34:Item 38:Item 51:5DKMH.PS.130.A1.02 • 520L0593 • Rev. A • 05/2003OMS Orbital motorService and parts manualSpare parts listSPARE PARTS LIST6DKMH.PS.130.A1.02 • 520L0593 • Rev. A • 05/2003a) see comments page 3OMS Orbital motor Service and parts manual Spare parts listSPARE PARTS LIST7DKMH.PS.130.A1.02 • 520L0593 • Rev. A • 05/2003OMS Orbital motorService and parts manualSpare parts listNBR: Buna N, Perbunan (ISO 1629) FPM: Viton (ISO 1629)* Contained in spare parts bag A, B, C or D** The number of spare parts to be held in stock for each 100 motors being in service in your district.a) see comments page 38DKMH.PS.130.A1.02 • 520L0593 • Rev. A • 05/20039DKMH.PS.130.A1.02 • 520L0593 • Rev. A • 05/2003OMS Orbital motorService and parts manual Special toolsSPECIAL TOOLS A.Main holding tool SJ 151-9000-1B:Holding tool for OMSS SJ 151F9000-1C :Holding tool for OMSW. Code number: SJ 151B9000-1D:Mandrel dor fitting shaft seal.E.:Two guide bolts F : Mandrel to remove balance plateD, E and F cannot be bought from Sauer-Danfoss A B CDEFOMS Orbital motorService and parts manualDismantlingDISMANTLING* OMSS only**) OMSS except10DKMH.PS.130.A1.02 • 520L0593 • Rev. A • 05/2003OMS Orbital motorService and parts manualDismantlingTACHO CONNECTIONAfter dismantling, clean all parts in low aromatic kerosene.Examine the parts and exchange them if necessary.Immidiately before assembly, lubricate each part with hydraulic oil and grease rubberparts with vaseline11DKMH.PS.130.A1.02 • 520L0593 • Rev. A • 05/2003OMS Orbital motorService and parts manualAssemblingASSEMBLING12DKMH.PS.130.A1.02 • 520L0593 • Rev. A • 05/2003OMS Orbital motor Service and parts manual AssemblingASSEMBLING ASSEMBLING OF TACHO CONNECTION*) OMSS onlyThe tacho connection must be reassembled in reverse order in relation to the procedure described under “disassembling the tache connection”.4 screws (pos. 51) to be tightened to 4 - 6 N.m [35.5 - 53 lbf.in].13 DKMH.PS.130.A1.02 • 520L0593 • Rev. A • 05/2003OMS Orbital motorService and parts manualNotes14DKMH.PS.130.A1.02 • 520L0593 • Rev. A • 05/2003OMS Orbital motorService and parts manualNotes15 DKMH.PS.130.A1.02 • 520L0593 • Rev. A • 05/2003Sauer-Danfoss Mobile Power and Control Systems – Market Leaders Worldwide Sauer-Danfoss is a comprehensive supplier providing complete systems to the global mobile market.Sauer-Danfoss serves markets such as agriculture, construction, road building, material handling, municipal, forestry, turf care, and many others.We offer our customers optimum solutions for their needs and develop new products and systems in close cooperation and partnership with them.Sauer-Danfoss specializes in integrating a full range of system components to provide vehicle designers with the most advanced total system design.Sauer-Danfoss provides comprehensive worldwide service for its products through an extensive network of Authorized Service Centers strategically located in all parts of the world.Sauer-Danfoss (US) Company 2800 East 13th Street Ames, IA 50010, USA Phone: +1 515 239-6000, Fax: +1 515 239 6618Sauer-Danfoss (Neumünster) GmbH & Co. OHG Postfach 2460, D-24531 Neumünster Krokamp 35, D-24539 Neumünster, Germany Phone: +49 4321 871-0, Fax: +49 4321 871 122Sauer-Danfoss (Nordborg) A/S DK-6430 Nordborg, Denmark Phone: +45 7488 4444, Fax: +45 7488 OUR PRODUCTSHydrostatic transmissionsHydraulic power steeringElectric power steeringElectrohydraulic power steering Closed and open circuit axial piston pumps and motorsGear pumps and motorsBent axis motorsOrbital motorsTransit mixer drivesPlanetary compact gearsProportional valvesDirectional spool valvesCartridge valvesHydraulic integrated circuits Hydrostatic transaxlesIntegrated systemsFan drive systemsElectrohydraulicsMicrocontrollers and software Electric motors and inverters Digital electronics and software Joysticks and control handles DisplaysSensorsDKMH.PS.130.A1.02 • 520L0593 • Rev. A • 05/2003。
马达维修手册一、简介马达是一种重要的机械装置,用于将电能、水能或其他能源转化为机械能。
它在各种机械设备和交通工具中都得到广泛应用。
然而,长时间的使用和频繁的运转可能导致马达出现故障或损坏。
因此,本手册将为您提供一些常见的马达故障排除和维修技巧。
二、马达故障常见问题及解决方法1. 马达无法启动可能原因:- 供电问题:检查电源线是否连接正确,检查电源是否通电。
- 电机损坏:检查电机绕组是否烧毁,是否有电路断路现象。
解决方法:- 确保电源连接正确并通电。
- 检查马达电机的绕组,如发现烧毁或断路,需要更换电机或修复电路。
2. 马达运转不平稳可能原因:- 轴承磨损:检查轴承是否磨损,是否需要润滑。
- 马达配重失衡:检查配重是否均匀,是否需要重新平衡。
解决方法:- 检查轴承是否磨损,并进行适当的润滑处理。
- 检查马达的配重情况,如发现失衡,需要进行重新平衡。
3. 马达过热可能原因:- 连续运行时间过长:马达长时间工作会导致过热。
- 散热系统故障:检查散热器是否清洁,散热风扇是否正常运转。
解决方法:- 合理控制马达的运行时间,避免长时间连续工作。
- 检查并清洁散热器,确保散热风扇正常工作,有需要时进行维修或更换。
4. 马达噪音过大可能原因:- 轴承磨损:轴承损坏会导致马达噪音过大。
- 马达支架松动:支架松动会引起震动和噪音。
解决方法:- 检查轴承是否磨损,如有必要,进行更换。
- 检查马达支架,确保其固定牢靠。
三、维护保养注意事项1. 定期清洁定期清洁马达以去除积尘和污垢。
使用柔软的毛刷或吸尘器清除马达外部和内部的灰尘。
请确保在清洁过程中断开电源。
2. 定期润滑一些马达需要定期润滑以减少摩擦和磨损。
请根据马达的使用说明书选择合适的润滑剂,并按照说明进行润滑。
3. 马达保护避免过度负载或长时间连续工作,以免马达受损。
使用前请确保电源电压和马达额定电压相匹配。
4. 定期检查定期检查马达的工作状态,如发现异常情况,请根据上述故障排除方法进行处理,避免问题进一步恶化。
BM1摆线液压马达BM1马达是一种小型轴配流摆线齿轮液压马达,具有体积小,重量轻的特点,适用于注塑机、道路清扫车、草坪修剪机、皮革机等多种机械的回转机构中。
BM1马达的特点:●体积小,重量轻,结构紧凑●转速范围广,无需变速机构●启动压力低,换向方便●在液压系统中可以串联或并联使用●可靠的密封控制手段,能够承受较高的背压,确保马达无泄漏●多种发兰、输出轴、油口等安装连接形式主要性能参数说明:●最大工作压力指入口最大允许压力●额定工作压力指工作压差●不应同时在最大转速和最大压力下使用马达●最大工作条件允许持续的时间为6秒●推荐用油:抗磨液压油,粘度37~73cst油液清洁度ISO18/13●最高工作油温80℃●在马达全负荷工作前,必须在0%的额定压力下磨合1小时以上●可靠的密封控制手段,马达允许的最大背压可达7Mpa,但为获得良好的寿命及综合性能,推荐使用背压不超过3.5Mpa,超过时建议接外泄油管,接外泄油管时,应确保马达内总能充满油。
外泄油管路应有一定的节流保持0.35Mpa以上的背压。
接外泄油管除可以保持较低的背压外,还可以使马达内产生的磨损污染带走,并可产生一定的冷却作用。
产品订货信息订货参见尺寸及外形图,根据所选用的马达的具体型式从下表中选择对应编号,如需特殊连接方式,请与力科公司联系。
BM1 马达外形连接尺寸排量(ml/r) 50 63 80 100 125 160 200 L (mm) 147 149 150 153 155 162 168 标准旋向:面对输出轴,当A口进油B口回油,马达顺时针旋转。
BM2摆线液压马达BM2马达是一种轴配流摆线齿轮液压马达,适用于注塑机和小型车辆、机械的驱动。
BM2马达的特点:∙采用镶齿定转子副设计,运转平稳,使用寿命长∙启动压力低,换向方便∙在液压系统中可以串联或并联使用∙可靠的密封控制手段,能够承受较高的压力,确保马达无泄漏∙多种发兰、输出轴、油口等安装连接形式∙体积小,结构紧凑主要性能参数说明:●最大工作压力指入口最大允许压力●额定工作压力指工作压差●不应同时在最大转速和最大压力下使用马达●最大工作条件允许持续的时间为6秒●推荐用油:抗磨液压油,粘度37~73cst,油液清洁度ISO18/13●最高工作油温80℃●在马达全负荷工作前,必须在30%的额定压力下磨合1小时以上●可靠的动密封控制手段,马达允许的最大背压可达7Mpa,为获得良好的寿命及综合性能,建议不超过3.5Mpa,超过时需接外泄油管,接外泄管时,应确保马达内总能充满油。
序号编号名称1 21036 油封2 19614 二轴二档齿轮3 GB154-79-A-6 旋盖式油杯4 0068DS 压力开关5 0735320111 轴承(双联)6 F91409-9 一轴盖7 12JS160T-1702095 单H阀支座8 1.166:1 二级传动9 1.25:1 二级传动10 1.294:1 二级传动11 1.458:1 二级传动12 1/2钢珠 1/2钢珠13 19694-20 一轴14 12JS160T-1702055 倒档拨叉16 104(欧曼) 里程表传感器17 105(斯太尔) 里程表传感器18 10643/40 轴承19 10JS160-1707052 加长轴盖20 10JS160-1707052 加长中间轴盖21 11066 双头螺栓23 11203(C04002) 分离轴承座24 12817 分离拨叉25 12845 90度管接头26 12880 45度弯管接头27 20840 右取力齿齿轮28 F99674 弹簧隔套29 F96189(F96119) 防尘罩30 F91410 一轴轴承盖油封31 21264 齿轮32 GB21-76 小六角头螺栓33 12JS160T-1701015 变速箱壳体34 12JS160T-1701015 12档变速箱壳体35 12JS160T-1701057 隔套36 12JS160T-1701083 倒档中间齿轮37 12JS160T-1701084 杯型倒档垫圈39 12JS160T-1701105 二轴40 12JS160T-1707106 减速齿41 12JS160T-1701106 主轴齿轮垫圈42 12JS160T-1701107 倒档齿轮卡环43 12JS160T-1701108 滑套44 12JS160T-1701116 一轴齿轮46 12JS160T-1701121 六角键47 12JS160T-1701122 二轴齿轮花键垫48 12JS160T-1701123 二轴齿轮隔垫49 12JS160T-1701124 轴承支座50 12JS160T-1701125 二轴倒档齿轮垫片51 12JS160T-1701170 1/2档同步器52 12JS160T-1702010 上盖总成53 12JS160T-1702015 上盖54 12JS160T-1702051 倒档导块55 12JS160T-1702054 导块56 FL 气缸修理包57 12JS160T-1702063 倒档拨叉轴58 F99675 定位环59 F99660(原厂) 双H气阀60 12JS160T-1702057 3/4档拨叉61 F96036-1 压缩弹簧62 19615 中间轴二档齿63 GB21-76 六角头螺栓64 GB21-76 小六角头螺栓65 420308E 轴承66 0041KS 压力开关67 12JS160T-1703022 气路控制阀68 12JS160T-1703052 单H阀70 12JS160T-1707025 二轴轴承总成71 12JS160T-1707030 副箱驱动齿72 12JS160T-1707047 焊接轴(花)73 12JS160T-1707050(光) 焊接轴(短)74 12JS160T-1707060 换档气缸75 12JS160T-1707060 副箱气缸总成76 12JS160T-1707105 副箱主轴77 12JS160T-1707106 减速齿78 12JS160T-1707107 副箱主轴垫圈79 12JS160T-1707108 副箱主轴齿轮压板80 12JS160T-1707140 付箱同步器81 12JS160T-1708010-1 换档手柄82 12JS160T-1708010-1 换档手柄83 12JS160T-1708010-11(尖头) 12档换档手柄(尖头)84 12JS160T-1708010-14(粗丝) 12档换档手柄85 12JS160T-1708010-15(细丝) 12档换档手柄86 12JS160T-1708010-3 换档手柄(预选阀)88 12JS160T双H操纵总成 12JS160T双H操纵总成89 12JS160变速箱总成变速箱总成90 12JS200-1701050 中间轴三档齿轮91 12JS200T-1701048 中间轴92 12JS200T-1701051 中间轴四档齿95 12JS200T-1701052 中间轴五档齿轮96 12JS200T-1701056 中间轴传动齿轮97 12JS200T-1701080 倒档轴总成98 12JS200T-1701083 倒档中间轴齿轮100 12JS200T-1701110 二轴倒档齿轮102 12JS200T-1701111 二轴一档齿轮103 12JS200T-1701112 二轴二档齿轮104 12JS200T-1701113 二轴三档齿轮105 12JS200T-1701114 二轴四档齿轮106 12JS200T-1701115 二轴五档齿(48齿) 108 12JS200T-1701115-1(48齿)二轴五档齿109 12JS200T-1701116 一轴齿轮110 12JS200T-1701116-1 一轴齿轮(50齿) 111 12JS200T-1701116-1(60齿)一轴齿轮112 12JS200T-1707030 驱动齿113 1.070:1 二级传动114 FL 全套止动环115 FJ90-1701054 中间轴五档齿116 F99902-5 法兰盘(180*4*49端齿)117 F99702-1 空档开关柱肖118 19709 密封套119 F99672 端垫120 19694-18 一轴121 F99588 "1/2,5/6档倒块"122 F96194-6 双H操作装置壳体123 19694 一轴124 FJ95-1701040 一轴盖125 F96006 凸缘螺母126 F91444 油封(双H)127 3220 换档拨叉锁止螺钉128 3*10 园柱销130 370309Y 单列向心球轴承133 1.107:1 二级传动134 14332 副箱主轴垫圈135 14334 后盖定位销136 14374 园磁铁137 14749 二轴齿轮花键垫片138 14750 止动环139 14897 同步器弹簧140 150212K 轴承141 15276 大通气塞(1/4)142 15410-12 离合器壳体143 15410-15 离合器壳体144 15410-17 离合器壳145 15410-28 离合器壳146 1565 离合器手空盖147 15899 开关启动销148 15917 螺塞150 15953 左取力齿轮151 16118 二轴滑套153 16132 低倒档拨叉轴154 16133 1/2档拨叉轴155 16135 1/2档拨叉156 16136 3/4档拨叉157 16138 付箱轴承定位盘158 1634 联锁销159 16374 碗形塞片160 16403 杯型倒档垫圈161 16405 倒档中间轴162 16463 齿轮隔套163 165 气管164 16566 二轴导套165 16596 底取力器窗口盖166 16628 止动环167 16656 中间轴制动器壳168 16658 中间轴制动器活塞170 16660 O型密封圈171 16723 止动环173 16748 二轴三档齿轮174 16749 中间轴三档齿轮177 16750 二轴二档齿轮178 16751 中间轴二档齿轮181 16752 二轴一档齿轮182 16753 中间轴一档齿轮185 16754 二轴低档齿186 16756 二轴倒档齿189 16757 倒档中间齿轮190 16763 止动环191 16775 副箱拨叉192 16778 范围档气缸193 16993 范围档拨叉轴194 16JS200-1701175 3/4档同步器195 16JS200T-1702015 上盖196 17106 铜垫圈197 17109 二轴六角键198 17177 随动杆199 17376 加长中间轴盖200 17384 轴承垫圈202 17568 一轴齿轮203 180*4*49 高110 法兰盘(180*4*49 高110) 204 180*4*49 高90 法兰盘(180*4*49 高90) 206 18222 付箱加长中间轴总成207 18643 4/5档拨叉轴209 18686 变速器壳体210 18701 二轴齿轮调整垫212 18729 二轴213 18869 付箱驱动齿轮214 19198 中间轴止动环215 192310E 短园柱滚子轴承216 192311 轴承217 192312 轴承(J90一轴)218 19242 二轴三档齿轮219 19243 中间轴三档齿220 19246 二轴一档齿221 19247 中间轴一档齿222 19254 驱动齿223 19466 付箱减速齿轮垫片225 19549 中间轴226 19552 中间轴传动齿轮228 101(斯太尔王) 里程表传感器229 FL纸垫 FL纸垫(梁山)230 209(奔驰) 里程表传感器231 FJ95-1701105 二轴232 FJ95-1701030 一轴233 F99980 上盖234 20482 齿轮235 20459 齿轮236 F99882 付箱主轴237 F99679-8 横向换档杆238 F99679 横向换档杆239 102308E 轴承240 F99671 倒档锁柱塞241 19694-19 一轴242 F99664 低倒档拨叉243 F99660 双H气阀244 19726 减速齿245 F99585-1 拨头246 19694-13 一轴247 19694-1 长一轴248 F96119 防尘罩249 20815 起吊弯板250 F96037-2 压缩弹簧251 F96035-2 摇臂252 19668 中间轴承挡板253 F96005 垫片254 0.919:1 二级传动255 12JS160-1707107 副箱主轴垫圈260 143(奥龙德龙) 里程表传感器263 14327 止动环264 420离合器压盘(重沃) 420离合器压盘(重沃) 265 GB25-76 小六角头头部带孔螺栓267 102309E 轴承268 42308E 轴承269 42509 轴承270 4300924 同步器齿套271 430拉式大马力离合器片 430拉式大马力离合器片272 430拉式环 430拉式环273 430离合器片 430离合器片274 430离合器压盘(重澳) 430离合器压盘(重澳) 275 4425 拉簧276 460 气管277 5*14 弹性销278 50118E 轴承279 502706 轴承(吊机)280 50312(5J80卡簧) 50312(5J80卡簧)281 50314 轴承(J90二轴后轴承)282 51003 油管283 51016 油管总成284 5202 倒档中间轴后螺母285 52621 管线束290 5521 分离轴承291 55506 气管292 55519 气管293 5J80拨叉口肖子 5J80拨叉口肖子294 5J80倒档卡簧 5J80倒档卡簧295 5J80二三档卡簧 5J80二三档卡簧296 5J80四五档齿座 5J80四五档齿座297 5J80四五档卡簧 5J80四五档卡簧298 5J80一轴锁片 5J80一轴锁片299 6*35 园柱销(双H)300 6205 轴承301 6308 轴承302 680 气管304 717813 组合轴承305 720 气管306 7508(32208) 轴承307 7612 轴承308 791.0071.0068 倒档开关(压力开关) 309 791.0071.0069(高低) 压力开关310 7935 小通气塞311 7992 里程表被动齿轮轴套312 7档换档手柄(预选阀) 7档换档手柄313 810 气管314 78CT5737F3 分离轴承315 85CT5740F3 分离轴承318 85T-1707140 小八档1/2档同步器319 85TC5765F2 分离轴承320 85TC5787F3 分离轴承321 8677 离合器分离轴套322 8677-1 轴套323 86NL6395FO 分离轴承(9JS180用) 324 8774 倒档锁弹簧325 8774-1 弹簧326 8774-3 弹簧327 8858 一轴螺母328 8968 倒档锁螺塞329 9247/84 轴承330 9293 耳簧(轴承回位弹簧)335 9901271.0041 空档开关(压力天关) 337 99012710041 压力开关(空档)340 996914 角接触型离合器分离球轴承341 9JS150T-1701105 二轴342 9JS150T-1702054 倒档拨叉343 9JS180-1701040-3 一轴盖344 9JS180球碗 9JS180球碗345 9JS200-1701170 1/2档同步器346 A-3674(15410) 离合器壳体347 A-3674(380) 离合器壳体348 A-5000 随动阀349 A-5010-1(八档) 八档换档手柄350 A-5010-2/九档换档手柄/九档351 A-5065(A-C09005) 高低档同步器总成352 A-5119 付箱加长中间轴焊接总成354 A-C03001 单杆双H总成355 A-C03001-1 双杆右置双H总成356 A-C03001-2 单杆右置双H总成357 A-C03001-3 双杆左置双H总成358 A-C03002 空气滤清调节器和螺塞总成359 A-C04009 分离拨叉焊接轴总成(单槽)360 A-C04009-1 拨叉轴焊接总成(普通) 361 A-C0409(JS180用) 拨叉轴焊接总成362 A-C09001 后盖壳体总成363 A-C09016 副箱气缸总成364 A-C09016-1 换档汽缸365 C01019 (轴承)止动环366 C01020 (轴承)止动环367 C01021 (轴承)止动环368 C01025 隔套(左中间轴总成)369 C01026 摩擦齿轮371 C01032 主轴后轴承盖油封372 C01033 新型止动环374 C03015 垫密圈375 C03030 园柱销376 C03031-1 花键套377 C03032-3 换档接头378 C03033-2 端盖379 C03034-1 档板衬垫380 C03035 选档拨头381 C03035-1 选档拨头382 C03036-1 窗口盖383 C03037-1 窗口衬垫384 C03038-1 选档接头385 C03039-1 垫圈386 C03040-1 定位螺钉387 C03044 止动螺钉388 C03052 三通管接头389 C04002-2 分离轴承座390 C04012-2 分离拨叉393 C04012-5 分离拨叉394 C04015-1 分离拨叉调整螺栓395 C04016-1 "卡板(平,马蹄形)"396 C04016-2 卡板(弯形)397 DS100-1701029 轴承(一轴)398 DS100-1701031 一轴齿轮399 DS100-1701040 一轴盖400 DS100-1701040-1 一轴盖401 DS100-1701052 中间轴四档齿402 DS100-1701053 中间轴五档齿403 DS100-1701054 中间轴六档齿404 DS100-1701056 倒档中间齿轮405 DS100-1701056 中间轴传动齿406 DS100-1701070 后盖壳体407 DS100-1701085 轴承(倒档中间轴)408 DS100-1701105 二轴409 DS100-1701110 二轴倒档齿410 DS100-1701111 二轴一档齿411 DS100-1701112 二轴二档齿412 DS100-1701113 二轴三档齿413 DS100-1701113 二轴三档齿轮414 DS100-1701114 二轴四档齿轮415 DS100-1701114 二轴四档齿416 DS100-1701115 二轴五档齿轮417 DS100-1701115 二轴五档齿418 DS100-1701116 二轴六档齿419 DS100-1701116 二轴六档齿轮420 DS100-1701121 二轴倒档档板421 DS100-1701125 调整垫422 DS100-1701126 花键垫423 DS100-1701130 滑套424 DS100-1701130 倒档及一二三档滑套425 DS100-1701131 长六角键426 DS100-1701132 短六角键427 DS100-1701133 挡板428 DS100-1702056 二三档拨叉429 DS100-1702058 6/7档拨叉430 DS100B-1701031 一轴齿431 DS100B-1701052 中间轴四档齿432 DS100B-1701053 中间轴五档齿433 DS100B-1701054 中间轴超速档齿(6) 434 DS100B-1701056 中间轴传动齿435 DS100B-1701114 二轴四档齿436 DS100B-1701115 二轴五档齿轮437 DS100B-1701116 二轴六档齿438 DS100lB-1701056 中间轴传动齿439 DS118-1701110 二轴倒档齿440 DS118-1701111 二轴一档齿441 F500A-1802191 油封(取力器)443 F91005-1 里程表接头444 F91054 里程表主动齿轮445 F91055 里程表被动齿轮446 F91345 横向换档杆衬套447 F91409 一轴盖449 F91409-1 一轴盖450 F91409-12 一轴盖451 F91409-13 一轴盖452 F91409-14 一轴盖453 F91409-16 一轴盖454 F91409-17 一轴盖455 F91409-2 一轴盖456 F91409-5 一轴盖457 12JS200T-1707048 焊接轴(长)458 12880(气缸) 45度管接头459 12JS200T-1707050 焊接轴(短)460 FL纸垫(原厂) FL纸垫(原厂)461 21036 油封462 FL-FJ95纸垫 FJ95纸垫463 12JS200T-1707051 200T焊接轴(短)464 12881 三通管接头465 12JS160T-1702064 "1/2,3/4档拨叉轴"466 20840 右中间轴取力齿467 12JS200T-1707105 200T副箱主轴468 FJ90-1701040-2 一轴盖469 20490 随动阀柱销470 F99967 输出轴后盖472 F99902-15 法兰盘(165*4*49端齿)473 F99902-11 法兰盘(175*8*49)474 20458(19630) 一轴齿轮475 12JS200T-1707106 200T减速齿轮476 F99702 空档开关销478 12JS160T-1702058-2 5/6档拨叉479 12JS200T-1707107 副箱主轴垫片480 12JS160-1701106 主轴齿轮垫圈481 F99673 弹簧座482 19694-20 一轴483 12JS200T-1701105 二轴484 F99670 定位柱塞485 F99666 侧板486 12JS160T-1702057 3/4档拨叉487 12JS220T双杆左置操纵机构 12JS220T双杆左置操纵机构488 F99679-6 横向换档杆489 19694-17 一轴490 F99589 "3/4,7/8档导块"491 133(奥龙) 里程表传感器492 19694-16 一轴493 F99902 法兰盘(165*8*49)普通494 F99585 拨头495 135长一轴盖 135长一轴盖496 12JS160-1703022 气路控制阀497 F96141 弹簧压盖498 F99975 后盖壳体499 137(奔驰) 里程表传感器500 F96085 压缩弹簧501 F96084 压缩弹簧503 138(奔驰) 里程表传感器504 19673 中间轴四方键505 12JS160T-1702056 1/2档拨叉506 F96035 LRC外换档臂507 141(豪沃) 里程表传感器508 FL12档纸垫 FL12档纸垫509 19631 中间轴传动齿轮510 F93060(A-C09018) 里程表接头总成511 14282 倒档止推垫圈515 14283 倒档中间轴垫圈517 3/4钢珠 3/4钢珠518 42111 轴承519 14287 滚针轴承524 23653 齿轮526 42307E 短园柱滚子轴承527 14317 止动环531 0.885:1 二级传动532 420离合器片 420离合器片533 12JS160A总成 12JS160A总成534 12JS160T-1703018-1 拨头535 14331 副箱主轴齿轮垫片536 12JS160T-1703021 接头(随动阀上用) 545 GE25ES 关节轴承546 J80-1701015 壳体547 J80-1701030 一轴548 J80-1701030B-4 一轴549 J80-1701052 付轴四档齿551 J80-1701056 付轴传动齿轮552 J80-1701105 二轴553 J80-1701116 2/3档同步器554 J80-1701127 二轴二档齿轮557 J80-1701131 二轴三档齿轮558 J80-1701132 二轴四档齿轮560 J80-1701140 4/5档同步器561 J80-1701141 4/5同步器齿套562 J80-1701146 螺母563 J80A-1701030B-4 一轴564 J80一轴螺母(Q39156) J80一轴螺母565 J90-1701040-2 一轴盖566 J90-1701051B 中间轴三档齿(24齿) 567 J90-1701052 中间轴四档齿轮(35齿) 568 J90-1701107 二轴倒档齿轮(46齿)569 J90-1701109 二轴倒档齿座570 J90-1701110 二轴一档齿(51齿)571 J90-1701112 二轴三档齿(36齿)572 J90-1701113 二轴四档齿(33齿)573 J90-1701116 二轴倒档轴承座574 J90-1701117 倒档齿轮档挡板575 J90-1701119 一三四档轴承座576 J90-1701120 二轴二档轴承座577 J90-1701122 平头销578 J90-1701123 二轴前螺母579 J90-1701130 1/2档同步器580 J90-1701136 同步器滑块581 J90-1701137 压簧(同步器弹簧)582 J90-1701140 3/4档同步器583 J90-1701150 5/6档同步器584 J90-1701170 二轴后螺母585 J90A-1701030-1 一轴(24齿)586 J90A-1701054 中间轴传动齿轮(51齿) 587 J90A-1701114 二轴五档齿轮(29齿) 588 J90二轴后螺母 J90二轴后螺母589 J90二轴前螺母 J90二轴前螺母590 J90换档拨块 J90换档拨块591 JS100-1601022-1 分离拨叉轴592 JS100-1601022-3 拨叉轴593 JS100-1701015 变速箱壳体594 JS100-1701015 壳体595 JS100-1701030-1 一轴596 JS100-1701031 一轴齿轮599 JS100-1701048 中间轴600 JS100-1701049 中间轴一档齿轮602 JS100-1701051 中间轴三档齿轮603 JS100-1701056 中间轴传动齿轮604 JS100-1701082 倒档中间轴齿轮605 JS100-1701082 倒档中间轴齿轮606 JS100-1701083 杯形垫圈607 JS100-1701111 二轴倒档齿轮608 JS100-1701112 二轴一档齿轮610 JS100-1701113 一档齿轮花键垫612 JS100-1701131 二轴二档613 JS100-1702017 横向换档杆614 JS100-1702017-1 横向拉杆615 JS100A-1701031 一轴齿轮617 JS100A-1701051 中间轴三档齿618 JS100A-1701056 中间轴传动齿620 JS100A-1701131 二轴四档齿轮621 JS100A-1702015 上盖622 JS100A-1702053 5/6档导块623 JS100A-1702054 3/4档拨头624 JS100A-1702055 1/2档拨叉625 JS100A-1702056 3/4拨叉626 JS100A-1702064 倒挡拨叉轴627 JS100A-1702065 1/2档拨叉轴628 JS100A-1702066 3/4档拨叉轴629 JS100A-1702072 摇动拨头630 JS100A-1702073 支轴承肖631 JS118-1701030 一轴齿轮634 JS118-1701050 中间轴二档齿轮635 JS118-1701056 中间轴传动齿轮638 JS118-1701130 二轴二档齿轮639 JS118-1707047 加长中间轴642 JS118-1707121 副箱减速齿轮643 JS118A-1701030 一轴齿轮646 JS118A-1701050 中间轴二档齿轮647 JS118A-1701050-1 中间轴二档齿轮649 JS118A-1701051 中间轴超速齿轮650 JS118A-1701056 中间轴传动齿轮652 JS118A-1701130 二轴二档齿轮654 JS118A-1701130-2 二轴二档齿655 JS118A-1701131 二轴超速齿轮657 JS118TB-1701056 中间轴传动齿658 JS118TB-1701130 二轴二档齿660 JS118TC-1701050 中间轴二档齿轮661 JS118TC-1701051 中间轴超速档齿662 JS118TC-1701130 二轴二档齿663 JS118TC-1701130-1 二轴二档齿664 JS118TC-1701131 一轴齿轮665 JS118TC-1701131-1 一轴齿轮666 JS118TC-1701132 二轴超速档齿667 JS119-1701051 中间轴一档齿轮668 JS119-1701052 中间轴二档齿轮669 JS119-1701053 中间轴三档齿轮670 JS119-1701054 中间轴传动齿轮671 JS119-1701083 倒档中间齿轮672 JS119-1701109 二轴倒档齿673 JS119-1701110 二轴低档齿轮674 JS119-1701111 二轴一档齿轮675 JS119-1701112 二轴二档齿轮676 JS119-1707030 驱动齿677 JS119-1707047 加长中间轴678 JS119T-1701030 一轴齿轮679 JS119T-1701030B 一轴齿轮680 JS119T-1701048 中间轴681 JS119T-1701049 中间轴一档齿轮682 JS119T-1701050 中间轴二档齿轮683 JS119T-1701051 中间轴三档齿轮684 JS119T-1701054 中间轴传动齿轮685 JS119T-1701110 二轴低档齿轮686 JS119T-1701109 二轴倒档齿轮687 JS119T-1701111 二轴一档齿轮688 JS119T-1701112 二轴一档齿轮689 JS119T-1701113 二轴三档齿轮690 JS119T-1707030B 驱动齿691 JS119T-1707030B 驱动齿692 JS119TB-1701051 中间轴超速齿轮693 JS119TB-1701113 二轴三档齿轮694 JS125T-1701026 二轴导套695 JS130-1701020 窗口盖696 JS130T-1701020 窗口盖697 JS130T-1701031 一轴齿轮699 JS130T-1701031-1 一轴齿轮700 JS130T-1701031B 一轴齿轮701 JS130T-1701031B 一轴齿轮702 JS130T-1701048 中间轴703 JS130T-1701050 中间轴二档齿轮704 JS130T-1701051 中间轴三档齿轮705 JS130T-1701055 四方键706 JS130T-1701056 中间轴传动齿轮707 JS130T-1701105 二轴708 JS130T-1701105-1 二轴709 JS130T-1701105B 二轴710 JS130T-1701108 二轴倒档滑套711 JS130T-1701112 二轴一档齿轮712 JS130T-1701112B 二轴一档齿713 JS130T-1701130 二轴二档齿轮714 JS130T-1701131 二轴三档齿轮716 JS130T-1701140 1/2档同步器717 JS130T-1701150 3/4档同步器719 JS130T-1701170 1/2档同步器(新) 720 JS130T-1701180 3/4同步器722 JS130T-1702015 上盖723 JS130T-1702055 1/2档拨叉724 JS130T-1702055-1 1/2档拨叉725 JS130T-1702056 3/4拨叉726 JS130T-1702056-1 3/4档拨叉727 JS130T-1707047 加长中间轴(14齿) 728 JS130T-1707121 副箱减速齿轮730 JS130TA-1701031 一轴齿轮731 JS130TA-1701051 中间轴四档齿轮733 JS130TA-1701051B 中间轴四档齿轮734 JS130TA-1701056 中间轴传动齿轮735 JS130TA-1701131 二轴四档齿轮736 JS130TA-1702055 倒档拨叉738 JS130TA-1702056-1 3/4档拨叉739 JS135-1701030 一轴齿轮740 JS135-1701052 中间轴二档齿轮741 JS135-1701083 倒档中间轴齿轮742 JS135-1701109 二轴倒档齿轮743 JS135-1701112 二轴二档齿轮744 JS135-1701113 二轴二档齿轮745 JS135T-1701113B 二轴三档齿轮746 JS135TA-1701030 一轴齿轮747 JS135TA-1701113 二轴超速齿轮748 JS150-1701030 一轴齿轮749 JS150T-1701030 一轴齿轮750 JS150T-1701030B 一轴齿轮751 JS150T-1701050 中间轴二档齿752 JS150T-1701050B 中间轴二档齿轮753 JS150T-1701054 中间轴传动齿754 JS150T-1701055 隔套755 JS150T-1701105 二轴756 JS150T-1701105B 二轴757 JS150T-1701109 二轴倒档齿758 JS150T-1701110 二轴低档齿759 JS150T-1701111 二轴一档齿轮760 JS150T-1701111B 二轴一档齿轮761 JS150T-1701112 二轴二档齿轮762 JS150T-1701112B 二轴二档齿轮763 JS150T-1701113 二轴三档齿764 JS150T-1701113B 二轴三档齿轮765 JS150T-1701140 1/2档同步器766 JS150T-1701150 3/4档同步器767 JS150T-1702055 1/2档拨叉768 JS150T-1702056 3/4拨叉769 JS150T-1707030 驱动齿770 JS150T-1707030B 副箱驱动齿771 JS150TA-1701030B 一轴齿轮773 JS150TA-1701111B 二轴一档齿轮774 JS150TA-1701113B 二轴三档齿轮775 JS180-1601021-1 分离拨叉776 JS180-1601021-2 分离拨叉777 JS180-1601021-4 分离拨叉778 JS180-1601021-5 分离拨叉779 JS180-1601021-6 分离拨叉780 JS180-1601021-7 分离拨叉781 JS180-1601021-8 分离拨叉782 JS180-1601021—6 分离拨叉783 JS180-1601023-1 分离拨叉轴784 JS180-1601023-3 分离拨叉轴785 JS180-1601024-1 JS180T型板786 JS180-1601024-2 JS180T型板787 JS180-1701030-1 一轴788 JS180-1701040-1 一轴盖789 JS180-1701040-4 一轴盖790 JS180-1701040-4 一轴盖791 JS180-1701048-1 一轴盖792 JS180-1701105 二轴793 JS180-1701159 法兰盘794 JS180-1701159-1 法兰盘795 JS180-1701159-2 法兰盘796 JS180-1701159-3 法兰盘798 JS180-1707015 后盖总成799 JS180-1707015-2 后盖(带花键轴)800 JS180-1707030 驱动齿801 JS180-1707047 焊接轴802 "JS180-1707047(光,短)" 焊接轴803 "JS180-1707047-1(花,长)" 焊接轴804 JS180-1707051 止动环805 JS180-1707060 换档汽缸806 JS180-1707105 副箱主轴807 JS180-1707106 减速齿808 JS180-1707107 垫片809 JS180-1707108 压板810 JS180-1707109 组合轴承811 JS180-1707111 衬套812 JS180-1707155 后轴承盖(油封座) 813 JS180A-1701030 一轴814 JS180A-1701030 一轴815 JS180A-1701036 一轴螺母816 JS180A-1701040 一轴盖818 JS180T-1701056 中间传动齿819 JS180T-1707030 驱动齿820 JS180T-1707121 减速齿轮821 JS220-1701082 倒档中间轴822 JS220-1707015 后盖823 JS220-1707031 副箱定位盘824 JS220-1707060 副箱换档气缸825 JS220-1707109 组合轴承826 JS220-1707159 法兰盘(180*4*28)827 JS220-1707159-1 法兰盘828 JS220-1707159-3 法兰盘829 JS220-1707159-4 法兰盘830 JS220-1707159-7 法兰盘831 JS220T-1707109 组合轴承832 LF10 里程表主动齿833 LF12 里程表被动齿轮834 LF14被动里程表被动齿轮835 LF14主动里程表主动齿轮836 LF16 里程表被动齿轮837 LF16 里程表主动齿轮838 LF18 里程表主动839 LF18 里程表被动齿轮840 LF2 里程表主动齿轮841 LF22 里程表被动齿轮842 LF27 里程表被动齿轮843 LF28 里程表主动齿轮844 LF29 里程表被动齿轮845 LF4被动里程表被动齿轮846 LF4主动里程表主动齿轮847 LF5 里程表主动848 LF5被动里程表被动齿轮849 LF7 里程表被动齿轮850 M10*1*50 摇臂螺栓851 M10*1*50 螺栓(摇臂)852 M10*22(带孔) M10*22头部带孔六角螺栓853 M16*1.5*45 挡板螺栓854 NJ1011EM 轴承(QH70取力器空心轴上) 855 Q1231630 双头螺栓856 Q150B1025 六角头螺栓857 Q170B1016 六角头头部带孔螺栓858 Q351B12 小六角扁螺母859 Q361B10 I型六角头螺母860 Q40310 弹簧垫圈861 Q43370 倒档齿轮卡圈(J90)862 Q5510628 平键863 Q61304 方槽锥形螺塞(主箱放油孔)864 Q614B06 方头锥形螺塞(副箱放油孔)865 Q614B10 注油螺塞866 Q614B12 方头锥形螺塞(主箱油面观察孔)867 Q618B01 方头锥形螺塞868 Q618B01 六角头锥形螺塞869 Q701B45 弯颈式润脂嘴角870 Q72318T5 垫密圈871 QF60-4211103 空心齿轮轴872 QH50(G169) 取力器873 QH50(G430) 取力器874 QH50-4211301 取力器拨叉875 QH50B(G1142) 取力器876 QH70取力器取力器878 T115F-1701032 一轴齿轮880 T115F-1701052 中间轴超速齿轮881 T115F-1701056 中间轴传动齿轮884 T115F-1701132 二轴超速齿轮886 T116E-1701032 一轴齿887 T116E-1701052 左中间轴超速档齿888 T116E-1701053 右中间轴超速档齿889 T116E-1701056 中间轴传动齿890 X-1-1008 六角尼龙螺母(M16*1.5)厚891 X-6-11 半园键892 X-6-E 半园键893 X-7-603 分离拨叉六角螺母894 X-7-810 螺母895 Z25516 定位环896 Z25516-2 定位环897 变速杆大和尚头变速杆大和尚头898 变速箱短拉杆变速箱短拉杆899 变速箱维修专用工具变速箱维修专用工具900 短拉杆和尚头短拉杆和尚头901 红胶3+3 红胶3+3902 换档气缸双缸大盖总成换档气缸双缸大盖总成903 换档助力器换档助力器904 换档助力器修理包换档助力器修理包905 技术服务费用技术服务费用906 加长90度接头加长90度接头907 离合器分离环(内径90 外径135)大离合器分离环(内径90 外径135)大908 离合器分离环(内径90 外径135)小离合器分离环(内径90 外径135)小909 驱动齿O型圈驱动齿O型圈(JS180驱动齿)910 双H操纵花键套双H操纵花键套911 双H操纵油封座总成双H操纵油封座总成912 双H小花键轴双H小花键轴913 小八档换档手柄小八档换档手柄914 直快速接头直快速接头915 F91409-8 一轴盖。
产品手册S 系列内容内容1一般说明 (4)1.1关于手册 (4)1.2预期用途 (4)1.3保修 (4)1.4产品标识 (4)1.5出版日期 (4)1.6公司声明 (5)2安全说明 (6)2.1警告符号 (6)3马达说明 (7)3.1工作原理 (7)3.2产品标识代码 (8)3.2.1马达型号代码 (8)3.2.2加工 ID (10)3.3技术数据 (10)3.4马达接口 (13)3.4.1主尺寸 (13)3.4.2双速马达尺寸 (14)3.4.3轴连接尺寸 (15)3.4.4壳体接口 (17)3.4.5扭力臂 (18)3.5转动方向 (19)3.6自由轮功能 (19)3.7单速:1N00 (20)3.8双速阀:2N0R/2N0L (20)3.9保持制动器 (21)3.10密封保护器 (22)3.11冲洗马达壳体 (22)3.12附件 (23)3.12.1速度传感器 (23)3.12.2锁紧套 (23)4系统设计 (25)4.1马达液压回路 (25)4.1.1简单回路 (25)4.1.2反压运转 (25)4.1.3静压制动 (25)4.1.4短路运转 (26)4.2液压油口 (26)4.3液压油 (27)4.3.1液压油类型 (27)4.3.2液压油属性 (28)4.3.3液压油洁净度 (28)4.4工作压力 (28)4.4.1壳体压力 (28)4.4.2先导压力 (28)4.4.3工作管路压力 (29)内容5马达尺寸 (31)5.1性能 (31)5.1.1转速和流速 (31)5.1.2扭矩和功率 (31)5.2性能图表 (32)5.2.1性能曲线 (32)5.2.2压力损失 (35)5.2.3壳体泄漏 (36)5.2.4制动扭矩 (37)5.3使用寿命 (37)6安装说明 (39)6.1安装马达 (39)6.2冲洗液压系统 (39)6.3排气程序 (39)6.4试运转程序 (40)7操作说明 (41)7.1磨合期 (41)7.2使用 (41)7.3工作温度 (41)7.4拆下马达 (41)8特别说明 (42)8.1存放马达 (42)一般说明关于手册本手册所包含技术说明适用于 Black Bruin S 系列液压马达。
序号名称图片1 平面钢板 PLATE 7.5"X2.5" FE ZN2 平面钢条 LONG BAR 12.5" FE ZN3 短角钢 SHORT ANGLE BAR 7.5”FE ZN4 方形架 CHASSIS RAIL 8" FE ZN5 长角钢 LONG ANGLE BAR 15” FE ZN6 支撑铁条(3.5"角钢) 3.5" MOUNTING BAR FE ZN7 扇形片 PIVOT FE ZN8 十字钢片 PLUS GRSSES "+" FE ZN9 L形角架 GUSSET FE ZN10 六角螺母柱 1/2" FULLY THREADED BEAMS AL11 六角螺母柱1"FULLY THREADED BEAMS AL12 2"六角螺母柱2"PARTIALLY THREADED BEAMS AL13 3"六角螺母柱3"PARTIALLY THREADED BEAMS AL14 离盒器方轴SQUARE SHAFT 11mm(FE NI)15 2"四方轴 SQUARE BAR 2" FE ZN16 3"四方轴 SQUARE BAR 3" FE ZN17 12"四方轴 SQUARE BAR 12" FE ZN18 1/4"螺丝 SCREW 8-32X1/4" BUTTON HEAD HEX19 3/8"螺丝 SCREW 8-32X3/8" BUTTON HEAD HEX20 1/2"螺丝 SCREW 8-32X1/2" BUTTON HEAD HEX21 3/4"螺丝 SCREW 8-32X3/4" BUTTON HEAD HEX22 螺丝 SCREW8-32X1" FE BZN23 马达螺丝 SCREW 6-32X1/4"BUTTON HEAD HEX24 马达螺丝 SCREW 6-32X1/2"BUTTON HEAD HEX25 自锁螺母(带爪) KEPS NUT FE ZN26 防松螺母(带尼龙) LOCK NUT FE ZN27 平面钢介子WASHER STEEL SAE FLAT 8# SIZE L28 介子 WASHER29 跳线夹(跳线连接帽) JUMP CAPS,W/TP30 限位杯士 COLLAR AL31 机米螺丝 SCREW #8X1/8 FH(+) BLACK ZN32 4.6MM塑胶定位套4.6MM PLASTIC COLLAR33 8MM塑胶定位套8MM PLASTIC COLLAR34 线夹(扎带) 4" WIRE TIES(PA)35 轴承片 BEARING PLATE36 轴承块 BEARING BLOCK37 琐板片 LOCK PLATE INSERT(FE) 锁板底座 LOCK PLATE BASE(POM)38 橡胶齿轮 INTAKE ROLLER(NRB)橡胶齿内套A INTAKE ROLLER ATTACHMENT A橡胶齿内套B INTAKE ROLLER ATTACHMENT B橡胶齿组装INTAKE ROLLER ASSY39 12齿齿轮 12 TOOTH GEAR(POM)40 36齿齿轮 36 TOOTH GEAR (POM)41 60齿齿轮 60 TOOTH GEAR (POM)42 84齿齿轮 84 TOOTH GEAR(POM)43 10齿链齿轮SPROCKETS 10 TEETG44 15齿链齿轮SPROCKETS 15 TEETG45 24齿链齿轮SPROCKETS 24 TEETG46 40齿链齿轮SPROCKETS 40 TEETG47 48齿链齿轮SPROCKETS 48 TEETG48 链条 CHAIN LINKS49 张紧轮50 负重轮51 履带驱动轮/惰轮DRIVE WHEEL52 履带条(坦克履带) TANK TREAD LINKS车轮腿轮53 马达 MOTOR ASSY54 伺服器 SERVO ASSY55 齿轮A(1M11K24501)(POM ) GEAR A (POM) 齿轮B(1M11L24601)(POM ) GEAR B (POM) 齿轮C(1M11K24701)(POM ) GEAR C (POM) 齿轮D(1)(1M11K30301)( PA) GEAR D (1)(PA)56 Y型线57 延长线58 控制器CONTROLLER ASSY59 遥控器60 六角L型扳手 HEX L KEY DRIVER3/32"STEELBZNL61 六角L型扳手 HEX L KEY DRIVER5/64"STEELBZNL62 扳手 WRENCH1/4"+3/16" STEEL序号套装中英文名套装包含部件说明/套装外观图片/套装内部所有部件图片1 ARM7主控器套装CortexMicrocontroller1、ARM Cortex-M3(ARM7内核)处理器,嵌入式无线技术,支持无线驱动、无线调试、无线下载功能2、8个3线马达口,2个2线马达口,1个IIC智能接口(将连接未来新的智能传感器),2个UART串行接口(连接LCD模块及未来新品),8个Hi-res模拟输入口,12个可作为中断口的高速数字输入/输出口,2个数据口(可支持75MHz晶体控制方式)3、编程软件使用easyC V4 或者ROBOTC for Cortex&PICARM7主控器配套遥控器套装VEXnet Joystick1、该遥控器为使用Cortex-M3(ARM7)主控器的机器人遥控器,使用WiFi技术,只与VEX Cortex-M3(ARM7)主控器配合使用2、2个X-Y操纵杆,8个方向按钮,4个触发按钮,1个3轴加速计,1个控制器,1个用于连接另一个遥控器的数据口,1个程序口(用于与主控器连接),3、使用电池为6个AAA电池(未包含在套装内)注意:当用两个遥控器共同控制一个机器人时,必须使用相同的信号传输方式,即晶体与WiFi不能同时混用,编程时,1为带有usb key的遥控器,2为没有usb key的遥控器2结构件套装Hardware Kit包括方形架4个、平面钢条4根、长角钢4个、车底防撞栏杆2个、平面钢板2个、各型号螺母柱共26根、扇形片2个、十字钢片2个、L型角架2个、平面钢介子30个、介子10个、轴承块6个、轴承片16个、各尺寸四方轴共10个、限位杯士16个、限位螺丝16个、各尺寸塑料定位套40个、自锁螺母65个、防松螺母14个、各尺寸螺丝140个、锁板片4个。
6SM290119 (1/2)S/MITEM 序号JESUNG NO 第星编号Q'TY数量SEAL KIT 密封组件RSP区别REMARK备注1PS006034BODY 座体1O 2PS006052OIL SEAL 油封1●X I PS020036ROTARY KIT转子组件1O I-A PS006104CYLINDER BLOCK KIT 缸体组件1X I-A-3PS006045CYLINDER BLOCK 缸体1X 4PS006039SHAFT轴1X 5PS006029TAPER BEARING 圆锥轴承1X 6PS006005BUSHING 轴套1X 7PS006030SHOE PLATE 滑靴盘1X I-A-8PS006040SPRING 弹簧9X I-B PS006105RETAINER KIT 定位组件1X I-B-9PS006041SET PLATE 安装盘1X I-C PS006106PISTON KIT柱塞组件1X I-C-10PS006031PISTON SHOE ASS'Y 柱塞蹄块总成9X I-B-11PS006042BALL GUIDE 球导座1X 12PS006035REAR COVER 马达端盖1X 13PS006032PIN 销2X 14PS006062O-RINGO 型圈1●X 15PS006028TAPER BEARING 轴承1X I-A-16PS006043VALVE PLATE阀盘1X II PS006068RELIEF VALVE ASS'Y KIT溢流阀总成组件2X II-17PS006036RELIEF VALVE ASS'Y 溢流阀总成2X 18PS006055SOCKET BOLT 螺栓4X 19PS006056PLUG 螺塞1X 20PS006044PLUG 螺塞1X 21PT006052O-RING O 型圈1●X 22PS006027SHIM垫片AR X II-24PS006007BACK UP RING 支承环2●X II-25PS006061O-RINGO 型圈2●X 26PS006046FRICTION PLATE 摩擦板1X 27PS006047STEEL PLATE 钢板1X 28PS006048PARKING PISTON 制动柱塞1X 29PS006003O-RING O 型圈2●X 30PS006049SPRING弹簧18X 31PS006050TIME DELAY VALVE 延时阀1X 32PS006037SOCKET BOLT 螺栓3X 33PS006051PLUG 螺塞2X 34PT006050O-RING O 型圈2●X 35PS006057CHECK VALVE 单向阀2X 36PS006059SPRING 弹簧2X 37PS006060PLUG 螺塞2X 38PS006025O-RING O 型圈2●X II-39PS006002O-RING O 型圈2●X II-40PS006006BACK UP RING 支承环2●X 43PS006033SEAL KIT密封组件1●ODESCRIPTION 零件名称6SM290119 (2/2)S/MITEM 序号JESUNG NO 第星编号Q'TY 数量SEAL KIT 密封组件RSP 区别REMARK 备注1PS006090PISTON SHAFT 驱动轴1O 2PS006098PIN 定位销2O 3PS006092PLATE板1O 4PS006093TAPER BEARING 圆锥轴承1O 5PS006086GEAR CASE 齿轮箱1O 6PS006096PLUG 螺塞2O 7PS006094OIL SEAL 油封1O 8PS006095TAPER BEARING 圆锥轴承1O 9PS006012COLLAR轴环2O I PS006079#2 CARRIER ASS'Y 行星架总成#21O I-10PS006085SPRING PIN 弹簧销3O I-11PS006080#2 CARRIER 行星架#21O I-20PS006081#2 PLANT GEAR 行星齿轮#23O I-21PS006082#2 PLANT SHAFT 行星轴#23O I-22PS006083BUSHING 轴套3O I-23PS006084THRUST WASHER 垫片3O 12PS006078#2 SUN GEAR 太阳齿轮21O 13PS006097RING GEAR 齿圈1O II PS006070#1 CARRIER ASS'Y 行星架总成#11O II-14PS006071#1 CARRIER 行星架#11O II-24PS006072#1 PLANT GEAR 行星齿轮#13O II-25PS006073SNAP RING 卡簧3O II-26PS006074#1 PLANT SHAFT 行星轴#13O II-27PS006075BUSHING 轴套3O II-28PS006076THRUST WASHER 垫片6O II-29PS006077COLLAR 轴环1O 15PS006069#1 SUN GEAR 太阳齿轮11O 16PS006099BOLT SOCKET 内六角螺栓6O 17PS006088PLUG螺塞1O 18PS006089BAR-LEVER GAUGE 油位尺1O 19PS006091PIPE-LEVER GAUGE油位管1ODESCRIPTION零件名称。
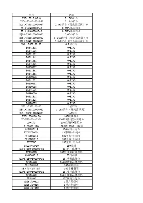
6TM44220153(1/3)
T/M
ITEM 序号
JESUNG NO 第星编号
Q'TY 数量SEAL KIT 密封组件
RSP 区别REMARK 备注
24PT006024O-RING O 型圈3●
X 26PT006026REAR COVER 马达端盖1O 27PT006027PLUG 螺塞9O 28PT006028SPOOL 阀杆1O 29PT006029SPRING 弹簧1O 30PT006030STOPPER 阻塞1O 31PT006031SNAP RING 挡圈1O 32PT006032CHECK 单向阀1O 33PT006033SPRING 弹簧1O 34PT006034SEAT 座1O 35PT006035SNAP RING 挡圈1O 36PT006036CHECK 单向阀2O 37PT006037SPRING 弹簧2O 38PT006038PLUG 螺塞2O 39PT006039O-RING O 型圈2●X 40PT006040BACK UP RING 支承环2●
X III PT006095MAIN SPOOL KIT 主阀杆组件1O III-41PT008042MAIN SPOOL 主阀杆1X 42PT006042SPRING SEAT 弹簧座2O 43PT006043SPRING 弹簧2O 44PT006044PLUG 螺塞2O 45PT006045O-RING
O 型圈2●X 46PT006046RELEIF V/V ASS'Y 溢流阀总成2O 47PT006047STEEL BALL 钢珠1O 48PT006048CHECK SEAT 单向阀座1O 49PT006049PLUG 螺塞1O 50PS006051PLUG 螺塞2O 51PT006050O-RING O 型圈2●X 52PT006051HEX PLUG 六角螺塞1O 53PT006052O-RING O 型圈1●X 55PS002036PIN
销4O 58PT006056WRENCH BOLT 扭力螺栓8O III-84PT006085ORIFICE 节流2X 87PT006101
REAR COVER
端盖总成组件
1
O
DESCRIPTION 零件名称
6TM44220153
6TM44220153(2/3)
T/M
ITEM 序号
JESUNG NO 第星编号Q'TY 数量SEAL KIT 密封组件
RSP 区别REMARK 备注
1PT006001SHAFT CASING 外壳1O 2PT006002EXPAND 衬环1O 3PT006003OIL SEAL 油封1●
O 4PT006004SHAFT
轴1O 5PT006098ROLLER BEARING 滚柱轴承1O I PT006090SWASH PISTON KIT 斜盘柱塞组件1O I-6PT006006SWASH PISTON 斜盘柱塞1X I-7PT006007SPRING
弹簧1X 8PT006008SWASH STEEL BALL 钢珠2O 9PT006009SWASH PLATE 斜盘1O II PT006099ROTARY KIT
转子组件
1O II-A PT006092CYLINDER BLOCK KIT 缸体组件1X II-A-11PT006011CYLINDER BLOCK 缸体1X II-A-12PT006012SPRING SEAT 弹簧座2X II-A-13PT006013SPRING 弹簧1X II-A-14PT006014SNAP RING 挡圈1X II-A-15PT006015
PIN
销3X II-B PT006093RETAINER KIT 定位组件1X II-B-16PT006016BALL GUIDE 钢珠导座1X II-B-17PT006017
SET PLATE 安装盘1X II-C PT006094PISTON KIT 柱塞组件1X II-C-18PT006018
PISTON ASS'Y 柱塞总成9X 19PT006019FRICTION PLATE 摩擦片3O 20PT006020PARKING PLATE 制动板3O 21PT006021PARKING PISTON 制动柱塞1O 22PT006022O-RING O 型圈1●X 23PT006023O-RING O 型圈1●X 25PT006025O-RING O 型圈1●X 54PT006053BALL BEARING 滚珠轴承1O II-A-56PT006100
VALVE PLATE 配流盘1X 57PT006055SPRING 弹簧8O 85PT006086BACK UP RING 支承环1●X 86PT006087BACK UP RING 支承环1●X 88PT006106SPACER 隔垫1O 89PT006096
SEAL KIT
密封组件
1
●O
DESCRIPTION 零件名称
6TM44220153(3/3)
T/M
ITEM 序号
JESUNG NO 第星编号
Q'TY 数量SEAL KIT 密封组件
RSP 区别REMARK 备注
59PT006057RING GEAR 齿圈
1O 60PT006058ANGULAR BEARING 角接触球轴承1O 61PT006059STEEL BALL 钢珠105O 62PT006060PLUG
螺塞2O 63PT006061FLOATING SEAL 浮动油封1O 64PT006062NUT 螺母1O 65PT006063WASHER 垫片4O 66PT006064COLLAR(A)
套环(A)4O 67PT006065PLANETARY GEAR(A)行星齿轮(A)4O 68PT006066NEEDLE BEARING 滚针轴承4O 69PT006067PLATE 金属板1O 70PT006068BOLT 螺栓4O 71PT006069SUN GEAR 太阳齿轮1O 72PT006070SNAP RING 挡圈1O 73PT006071CARRIER 行星架1O 74PT007024SPRING PIN 弹簧销3O 75PT006074COLLAR(B)
套环(B)3O 76PT006075PLANETARY GEAR(B)行星齿轮(B)3O 77PT006077NEEDLE BEARING 滚针轴承3O 78PT006078DRIVE GEAR 驱动齿轮1O 79PT006080THRUST PLATE 止推板1O 80PT006081RING GEAR COVER 齿圈盖1O 81PT006082PLUG 螺塞7O 82PT006083O-RING O 型圈1O 83PT006084
WRENCH BOLT
扭力螺栓
12
O
DESCRIPTION 零件名称。