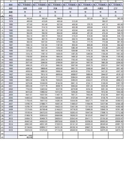
各地区城镇居民家庭人均可支配收入(1985-2011年度数据)
- 格式:xlsx
- 大小:17.59 KB
- 文档页数:4
我国财政支农资金对农民收入增长的关系研究--基于VAR模型的实证分析吴其勉【摘要】“三农”问题是我国经济持续发展的关键问题,其中农民的增收问题又是“三农”问题中的核心,只有解决好农民的收入问题,农业、农村问题才能根本解决。
文章选取我国1985—2011年的时间序列数据,基于VAR模型运用协整检验、格兰杰因果检验、脉冲响应分析等方法描述财政支农资金与农民收入增长之间的关系。
结果表明我国财政支农资金对农民收入增长有长期的推动作用,但从短期来看,财政支农支出不是农民收入增长的原因,而农民收入增长是财政支农支出的原因;财政支农资金对农民人均纯收入的增长有积累效应,随着时间的推移这种效应不断增大,但总体来看,这种正向冲击还是偏弱。
最后依据以上的分析,提出有利益于提高农民收入的政策建议。
% The issues of agriculture,countryside and peasant are the key elements of sustainable economic development in China. Increasing peasant income is the core problem of the issue of agriculture,countryside and peasant. Only by increasing peasant income,can the agriculture and countryside problems be solved. To describe the relationship between peasant income and capital of finance support agriculture,the author se-lected the time series data 1985-2011 and applied the Co-integration Test,Granger Causality Test,Impulse Response Analysis based on the VAR model. The result shows that capital of finance support agriculture has a long-term role in increasing peasant income,but in the short run,fiscal expenditure for agriculture is not the reason of peasant income growing. And the increase of peasant income isthe reason of fiscal ex-penditure for agriculture. The expenditure has a cumulative effect on per capita net income growth. And with the passageof time,the effect is increasing,but overall,the positive shock is weak. Finally we can put forward suggestions on policy for increasing peasant income.【期刊名称】《广西财经学院学报》【年(卷),期】2013(000)003【总页数】7页(P112-118)【关键词】财政支农资金;农民收入;协整检验;脉冲响应分析【作者】吴其勉【作者单位】福建师范大学经济学院,福建福州 350007【正文语种】中文【中图分类】F812.8改革开放以来,党和政府十分重视“三农问题”,从2004年到2013年的中央一号文件连续十年聚焦“三农”问题。
我国城乡居民收入差距分析摘要:改革开放以来,我国的经济建设和社会进步是有目共睹的,但是由于城乡二元结构等原因,导致城乡的发展很不平衡,居民的收入差距持续扩大,我国已成为城乡收入差距最悬殊的国家之一,这一问题严重制约了我国建设社会主义和谐社会进程。
本文将研究上述问题,通过模型分析以期得出解决城乡收入差距不断扩大的有效途径。
关键字:城乡收入差距现状分析模型途径RESEARCH ON THE INCOME DIFFERENCE BETWEEN URBAN AND RURAL RESIDENTS INCHINAAbstract:Since reform and opening-up, the income level of the urban and rural residents of our country has been improved notably. But there is a big problem, that is, the development among cities and rural areas are not the same, there are so many differences .Nowadays, our country has been one of countries which have the largest differences in development among urban and rural. It has influenced the progress of society with socialism in our country. This model is hoped to find an effective solution to solve out this problem through the analytic model.Keywords: income inequality; model; way一、研究背景和意义生产、分配、交换、消费四个环节之间相互联系,构成了社会再生产,而收入差距作为反映分配方向的工具,成为衡量社会经济是否稳定发展的关键。