有理数混合运算提高350题专项练习(附答案解析)
- 格式:doc
- 大小:1.35 MB
- 文档页数:67
人教版七年级有理数的混合运算练习题40道(带答案)第一篇:人教版七年级有理数的混合运算练习题40道(带答案) 有理数的混合运算专题训练有理数的混合运算专题训练1.先乘方,再乘除,最后加减;2.同级运算,从左到右进行;3.如有括号,先做括号内的运算,按小括号、中括号、大括号依次进行。
1241141、+(-)++(-)+(-)2、(-81)÷(-2.25)⨯(-)÷16 235233、11+(-22)-3⨯(-11)45、-3⨯[-3222⨯(-3)2-2] 67、12÷[(-1)212-2)] 89、[(-0.5)2-223]⨯(-6)109、(+12)⨯(-34)-15⨯(-115)、0-23÷(-4)3-18、[(-2)2⨯(-3)]⨯112、|-53314|⨯(-327)÷14第1页有理数的混合运算专题训练1111、—22—(—2)2—23+(—2)312、-62⨯(-1)2-(-3)2÷(-1)3⨯(-3)2111413、-(-1)1997-(1-0.5)⨯÷(-)14、(-1)3-(-8)⨯+(-3)3÷[(-2)5+5]31215、-10 + 8÷(-2)2 -(-4)×(-3)1617、-14 +(1-0.5)×13×[2×(-3)2] 18 19、5⨯(-6)-(-4)2÷(-8)20217、-49 + 2×(-3)2 +(-6)÷(-19)、(-2)2-2×[(-1)2312-3×4]÷5.、(-324)2+(-3+1)⨯0第2页有理数的混合运算专题训练753521、(-+)⨯(-12)÷622、(-)⨯(-4)2-0.25⨯(-5)⨯(-4)212648112223、(-)2+⨯(--2)24、-42⨯[(-7)÷6]+(-5)3-3÷(-2)3[]2233 25、6-(-12)÷(-2)2 2627、42×(-23)+(-34)÷ 0.252829、-2⨯(-3)2-(-3)3÷3 30、(-48)÷ 8 -(-5)÷(-122)、(-8119)÷(-3)2、(-5)×6+(-125)÷(-5)3第3页有理数的混合运算专题训练31、--0.25⨯(-5)⨯4⨯(-1)32、-12211+(-)÷+(-3)2 251、【基础题】计算:(1)18-6÷(-2)⨯(-13);(3)(-9)⨯(-4)+(-60)÷12;(1)8+(-3)2⨯(-2);(3)(-4)÷(-34)⨯(-3);326(2)3+22⨯(-15);(4)(-3)2×[ -253+(-9)].(2)100÷(-2)2-(-2)÷(-23);(4)(-112133)÷(-3)-4⨯(-2).第4页有理数的混合运算专题训练1128⨯0;(-)(-)(1)36×;(2)12.7÷23(3)4⨯(-3)2+6;(5)(-2)3-13÷(-12);(7)(-2)3⨯0.5-(-1.6)2÷(-2)2;(9)[(-3)2-(-5)2 ]÷(-2);19(4)(-34)×(-8+213-3);(6)0-23÷(-4)3-18;(8)(-322)×[(-3)2-2 ];(10)16÷(-2)3-(-18)⨯(-4).第5页有理数的混合运算专题训练321(-)⨯(--)⨯0;(1)11+(-22)-3×(-11);(2)43333(3)];(-2)-32;(4)23÷[(-2)-(-4)(5)(34-78)÷(-78);(7)-72+2×(-3)2+(-6)÷(-13)2;(1)8-(-25)÷(-5);(6)(-60)⨯(34+56);(8)(-16-320+45-712)⨯(-15⨯4).(2)-13-2⨯(-1)3;第6页有理数的混合运算专题训练3222(-)⨯(-+1)⨯0;(3);(4)(-2)⨯32-(-2⨯3)431(-)(5)6+22⨯;(6)-10+8÷(-2)2-4×3;5(7)-15-[(-0.4)⨯(-2.5)]5;(1)(-8)×5-40;(3)-20÷5×14+5×(-3)÷15;(8)(-1)25-(1-0.5)×13;(2)(-1.2)÷(-13)-(-2);(4)-3[-5+(1-0.2÷35)÷(-2)];第7页有理数的混合运算专题训练3122517(5)-23÷1×(-1)2÷(1)2;(6)-+(-+)×(-2.4)33558612参考答案1、-1/52、-13、224、95、96、07、-488、-19、-1510、-15/34311、-2412、-89 13、3 14、215、-20 16、23 17、2 18、2419、-28 20、9/16 21、1 22、1023、-1/12 24、104/3 25、9 26、1427、-3128、-81又1/8129、-9 30、-2931、-1/5 32、9111、【答案】(1)17;(2);(3)31;(4)-11552、【答案】(1)-10;(2)22;(3)-16;(4)-2233、【答案】(1)1;(2)0;(3)42;(4);(5)18;(6)0;(7)-4.64;475(8);(9)8;(10)-.322314、【答案】(1)22;(2)0;(3)-17;(4)-;(5);(6)-95;(7)74-85;(8)6.265、【答案】(1)3;(2)1;(3)-54;(4)0;(5);(6)-20;(7)-2;(8)57-.6166、【答案】(1)-80;(2)5.6;(3)-2;(4)16;(5)-;(6)-2.9第8页第二篇:有理数加减混合运算练习题250道有理数的加减运算练习题(1)(-17)-4+(-15)-16(2)(-1)+4-(-9)+5(3)(-14)+(-12)+11-(-5)(4)(-7)-(-4)-18-(-3)(5)0-7+(-9)+(-1)(6)18-(-5)-8-10(7)5+6+3+2(9)(-5)-3+(-11)-18(11)18-18+20-4(13)(-13)+15+(-1)-0(15)1-(-15)+(-13)+(-3)(17)(-6)+(-7)+5+6(19)(-7)-(-6)+(-9)+10(21)20+(-14)+(-15)-14(23)4-1+4-(-10)(25)(-14)-(-19)+(-13)-(-7)(27)3+(-4)+7+(-13)(29)2-15+2+(-7)(31)(-17)+9+(-6)-5(33)(-18)-1+(-18)-4(35)16-14+(-18)-(-18)(37)(-4)+13+7-(-11)(39)(-17)-(-3)+9+(-8)(41)(-7)+(-13)+0+(-2)(8)4+17-13-(-7)10)(-10)-(-7)-(-2)+(-10)(12)2+(-15)-(-5)+18(14)(-2)-(-2)-(-8)-10(16)(-6)-(-13)-(-6)-2(18)(-15)+(-17)-13-(-18)(20)20-12-(-18)-12(22)12+9-(-5)+7(24)(-2)-5-6+17(26)17+(-2)-7-6 28)(-17)-(-8)-(-19)-(-18)(30)(-17)-(-15)-(-2)-15(32)0+15-(-18)+(-7)(34)(-5)-(-12)-8+(-12)(36)16+(-10)-2+12(38)1-(-6)-16-(-11)(40)17+1-(-12)-7(42)(-3)-3-2-8(((43)1-16+13-15(44)15-14-15+7(45)19+(-5)+16-(-6)(46)19+18-(-13)+2(47)(-13)-(-19)+(-14)-17(48)6-14-(-17)-(-5)(49)(-7)-13+(-15)+11(50)(-5)+(-8)-(-1)-19(51)(-10)+(-5)+(-11)+9(53)14-(-2)+(-1)+(-20)(55)(-1)+13+(-17)-10(57)(-5)-14+9-18(59)(-2)+18+6-(-9)(61)(-15)-(-11)+16+5(63)(-5)-7+(-3)+5(65)6+(-6)+(-1)-9(67)2-(-13)+8-17(69)7+(-11)+(-17)-(-4)(71)12-(-15)+10-(-16)(73)(-5)-(-8)+17+3(75)14+7+3+(-5)(77)(-19)-(-8)+(-18)-(-10)(79)(-3)+(-11)+5-(-2)(81)(-14)-(-19)+16-(-15)(83)15+13+(-11)+19(85)4-17+6+(-1)(52)(-9)-18-(-19)-18 54)11-7-6-(-16)(56)6+15-15+(-3)(58)(-11)-11-(-14)+11(60)(-16)+16-(-19)-11(62)(-4)-(-18)-(-3)-11(64)(-13)+6-9-14(66)4-0-9+11(68)(-1)-8-19+(-8)(70)(-3)+0-(-16)+(-11)(72)(-17)-13-0-0(74)(-13)+11-(-16)-8(76)(-6)-(-14)-0-(-3)(78)12+(-2)-(-12)+0(80)(-4)-(-4)-11+(-5)82)(-13)-(-6)-(-19)-16(84)3+(-14)-(-8)-(-2)(86)11-8-11-17(((87)3-19+10+15(88)3+(-4)-(-9)-8(89)8+11+18-(-5)(90)(-1)-10-19+(-18)(91)1-(-7)+(-7)-(-1)(92)2-17-1+15(93)(-15)+12+(-4)-(-14)(94)7+7-(-19)-18(95)(-16)-(-20)+(-5)+11(97)(-12)+4+13+(-3)(99)(-14)-(-17)+(-7)-(-4)(101)15-(-19)+18-12(103)(-16)+(-2)+8-(-13)(105)2-1+(-14)-3(107)(-14)+(-5)+8+(-5)(109)8-6+(-5)+4(111)10-(-20)+0-18(113)(-7)+(-16)+10-7(117)(-1)+15+15+2(119)12-(-7)+(-15)+(-6)(121)(-14)+(-13)+(-17)+13(123)(-20)-4+10-9(125)4-(-1)+17-(-19)(127)(-7)+(-17)+(-6)-10(129)9-12+13+7(96)9-(-14)-19-4(98)(-15)+2-(-13)-0(100)14-(-8)-5+(-2)(102)15+(-9)-7+19(104)13-16-15+(-1)(106)(-20)-(-7)-12-4(108)1+0-(-14)-(-12)110)(-12)-4-(-11)-(-5)112)10+(-20)-(-7)+20(114)(-19)-14-(-3)+(-7)116)(-19)+10-12-(-2)(118)16-(-10)-(-10)-16(120)(-7)-15-(-2)-(-14)(122)18+1-19-(-16)(124)(-4)-13-6+(-10)(126)(-18)+(-6)-8+8(128)(-18)-(-1)-0-14(130)0-18-5-(-19) ((((131)(-9)+(-2)+(-6)+(-6)(132)9+4-1-2(133)(-3)-(-11)+(-16)-(-4)(134)(-4)-11-(-11)+(-19)(135)9+(-8)+20-4(136)(-9)+0-13+6(137)(-4)-14+6-19(138)14-11-12+(-12)(139)(-1)-15+(-16)-(-4)(141)(-12)+(-14)+10+0(143)16-(-11)+11+16(145)(-2)+10+(-12)-5(147)(-7)-(-1)+(-10)-(-20)(149)(-7)-14+(-4)-(-9)(151)5+2+12+6(153)(-9)-11+(-10)+(-3)(155)(-2)+(-1)+(-10)+(-3)(157)(-7)-18+20-(-19)(159)1+4+(-9)-(-1)(161)1-5+1-(-15)(165)18+18+18+(-9)(167)11-(-15)+2-1(169)(-1)+7+(-1)-(-18)(171)(-6)-(-14)+4-4(173)(-4)+(-17)+(-3)-10(140)18+(-16)-14-(-4)(142)13-(-12)-2-(-12)(144)8-(-1)-20-1(146)8+2-(-11)+(-18)(148)15-0-(-19)+(-14)(150)0+(-11)-13-18(152)(-8)-0-19-18(154)(-12)+1-(-20)-(-19)(156)10-(-8)-1-(-8)(158)17-0-18+(-13)(160)(-8)+1-10+(-10)162)(-16)-(-19)-3-(-15)(164)10+(-8)-17-20(166)(-5)-14-0-(-4)(168)(-4)-(-10)-4+3(170)2+0-0+(-4)(172)(-17)-14-0+1(174)11+2-3-(-18)((175)7-(-14)+(-14)+3(176)3-2-13-(-11)(177)17-(-20)+(-6)+(-18)(178)18+1-14-8(179)(-5)+18+(-19)-(-17)(180)1-1-14+19(181)(-9)-(-15)+(-11)-7(182)20-(-10)-(-3)+(-12)(183)(-17)+17+10-(-8)(185)5-14+19+9(187)15-(-14)+10+(-13)(189)16+11+(-16)+6(191)(-3)-4+(-4)-(-18)(193)3+(-3)+11-16(195)9-(-20)+13-5(197)3+13+18+19(199)(-14)-3+13+(-4)(201)(-18)-(-17)+6-5(203)(-2)+3+(-13)-3(205)(-2)-2+(-6)-(-10)(207)15+0+14-5(209)(-4)-18+(-19)+(-10)(211)20+(-7)+(-20)+(-3)(213)(-7)-(-18)+(-8)-(-12)(215)18-13+(-7)-(-10)(217)15+5+(-19)-(-3)(184)(-19)+(-6)-(-10)-13(186)13-(-15)-(-12)-4(188)(-7)+4-18-7(190)(-13)-7-(-19)-(-20)(192)(-17)+(-4)-5+(-4)(194)5-18-5+(-16)(196)11-(-17)-6-18(198)(-8)+9-(-11)-1(200)7-9-7-(-2)(202)2+(-14)-(-16)+(-17)(204)5-(-9)-16+10(206)(-13)-13-7+(-6)(208)(-8)+17-(-13)-14(210)(-17)-1-4-2(212)2+(-19)-4-(-5)(214)13-14-6+(-7)(216)10+(-5)-(-14)+9(218)4-19-(-19)-(-13) (219)13-11+(-15)+(-6)(220)(-11)-(-4)-(-9)-5(221)15+10+(-8)+20(222)(-6)+(-4)-(-7)-(-14)(223)(-5)-10+(-19)+4(224)(-15)-4-(-14)-(-8)(225)(-6)-(-18)+17-18(226)19+(-5)-(-5)+5(227)19+(-14)+8-19(229)(-12)-3+12-1(231)13+(-12)+9+(-5)(233)(-17)-(-2)+16+5(235)17+(-17)+4-5(237)12-1+(-6)-(-13)(239)(-5)-(-20)+(-2)-3(241)(-2)+17+(-5)-(-6)(243)(-12)-7+(-15)+(-9)(245)16+5+8+(-1)(247)9-1+12-(-13)(249)(-7)+17+13-18(228)(-17)-(-8)-19+5 230)12+2-(-1)-(-1)(232)(-2)-3-(-15)-(-6)(234)11-14-17-9(236)19+13-6+8(238)(-4)-19-(-18)+13(240)(-13)+(-15)-17+18(242)(-11)-(-2)-5-9(244)(-14)-(-2)-13-(-11)(246)4+(-4)-15-15(248)17-15-2+5(250)(-18)+(-6)-(-18)+0 6(第三篇:七年级有理数加减混合运算练习题七年级有理数加减混合运算练习题(答案)有理数加法原则一:所有正数求和,所有负数求和,最后计算两个数的差,取绝对值较大的数的符号。
有理数的混合运算练习题(含答案)(共17套)有理数混合运算练习题及答案 第1套同步练习(满分100分)1.计算题:(10′×5=50′)(1)3.28-4.76+121-43;(2)2.75-261-343+132;(3)42÷(-121)-143÷(-0.125);(4)(-48) ÷82-(-25) ÷(-6)2;(5)-52+(1276185+-)×(-2.4).2.计算题:(10′×5=50′)(1)-23÷153×(-131)2÷(132)2;(2)-14-(2-0.5)×31×[(21)2-(21)3];(3)-121×[1-3×(-32)2]-( 41)2×(-2)3÷(-43)3(4)(0.12+0.32) ÷101[-22+(-3)2-321×78];(5)-6.24×32+31.2×(-2)3+(-0.51) ×624.【素质优化训练】1.填空题:(1)如是0,0>>c b b a ,那么ac 0;如果0,0<<cbb a ,那么ac0;(2)若042=-++++c c b a ,则abc= ; -a 2b 2c 2=;(3)已知a ,b 互为相反数,c ,d 互为倒数,x 的绝对值等于2,那么x 2-(a+b)+cdx=.2.计算:(1)-32-;)3(18)52()5(223--÷--⨯-(2){1+[3)43(41--]×(-2)4}÷(-5.043101--);(3)5-3×{-2+4×[-3×(-2)2-(-4) ÷(-1)3]-7}.【生活实际运用】甲用1000元人民币购买了一手股票,随即他将这手股票转卖给乙,获利10%,而后乙又将这手股票反卖给甲,但乙损失了10%.最后甲按乙卖给甲的价格的九折将这手股票卖给了乙,在上述股票交易中( )A .甲刚好亏盈平衡;B .甲盈利1元;C .甲盈利9元;D .甲亏本1.1元.参考答案【同步达纲练习】1.(1)-0.73 (2)-121; (3)-14; (4)-181; (5)-2.92.(1)-351 (2)-1161; (3)- 5437; (4)1; (5)-624.【素质优化训练】1.(1)>,>; (2)24,-576; (3)2或6.[提示:∵x =2 ∴x 2=4,x=±2].2.(1)-31;(2)-8;2719(3)224 【生活实际运用】 B有理数的四则混合运算练习 第2套◆warmup知识点 有理数的混合运算(一)1.计算:(1)(-8)×5-40=_____;(2)(-1.2)÷(-13)-(-2)=______.2.计算:(1)-4÷4×14=_____;(2)-212÷114×(-4)=______.3.当||a a=1,则a____0;若||a a =-1,则a______0.4.(教材变式题)若a<b<0,那么下列式子成立的是( ) A .1a <1b B .ab<1 C .a b <1 D .ab>1 5.下列各数互为倒数的是( )A .-0.13和-13100B .-525和-275C .-111和-11D .-414和4116.(体验探究题)完成下列计算过程:(-25)÷113-(-112+15)解:原式=(-25)÷43-(-1-12+15)=(-25)×()+1+12-15=____+1+52 10 -=_______.◆Exersising7.(1)若-1<a<0,则a______1a;(2)当a>1,则a_______1a;(3)若0<a≤1,则a______1a.8.a,b互为相反数,c,d互为倒数,m的绝对值为2,则||4a bm++2m2-3cd值是()A.1 B.5 C.11 D.与a,b,c,d值无关9.下列运算正确的个数为()(1)(+34)+(-434)+(-6)=-10 (2)(-56)+1+(-16)=0(3)0.25+(-0.75)+(-314)+34=-3(4)1+(-3)+5+(-7)+9+(-1)=4 A.3个 B.4个 C.2个 D.1个10.a,b为有理数,在数轴上的位置如右上图所示,则()A.1a>1b>1 B.1a>1>-1bC.1>-1a>1bD.1>1a>1b11.计算:(1)-20÷5×14+5×(-3)÷15 (2)-3[-5+(1-0.2÷35)÷(-2)](3)[124÷(-114)]×(-56)÷(-316)-0.25÷14ob a◆Updating 12.(经典题)对1,2,3,4可作运算(1+2+3)×4=24,现有有理数3,4,-6,10,请运用加,减,乘,除法则写出三种不同的计算算式,使其结果为24. (1)____________ (2)____________ (3)____________ 答案: 课堂测控1.(1)-80 (2)535 2.(1)-14(2)83.>,< 4.D 5.C 6.34,-310,1[总结反思]先乘除,后加减,有括号先算括号内的. 课后测控 7.(1)> (2)> (3)≤ 8.B 9.B 10.B11.解:(1)原式=-20×15×14+5×(-3)×115=-1-1=-2(2)原式=124×(-45)×(-56)×(-619)-14÷14=124×(-419)-1=-1114-1=-11114(3)原式=-3[-5+(1-15×53)÷(-2)]=-3[-5+23×(-12)]=-3[-5-13]=15+1=16[解题技巧]除法转化为乘法,先乘除,后加减,有括号先算括号内的. 拓展测控 12.解:(1)4-(-6)÷3×10 (2)(10-6+4)×3 (3)(10-4)×3-(-6)[解题思路]运用加,减,乘除四种运算拼凑得24点.有理数的混合运算习题 第3套一.选择题1. 计算3(25)-⨯=( ) A.1000 B.-1000 C.30 D.-302. 计算2223(23)-⨯--⨯=( )A.0B.-54C.-72D.-183. 计算11(5)()555⨯-÷-⨯=A.1B.25C.-5D.354. 下列式子中正确的是( ) A.4232(2)(2)-<-<- B. 342(2)2(2)-<-<- C. 4322(2)(2)-<-<-D. 234(2)(3)2-<-<-5. 422(2)-÷-的结果是( ) A.4B.-4C.2D.-26. 如果210,(3)0a b -=+=,那么1ba +的值是( )A.-2B.-3C.-4D.4二.填空题1.有理数的运算顺序是先算 ,再算 ,最算 ;如果有括号,那么先算 。
有理数的混合运算(一)填空4.23-17-(+23)=______.5.-7-9+(-13)=______.6.-11+|12-(39-8)|=______.7.-9-|5-(9-45)|=______.8.-5.6+4.7-|-3.8-3.8|=______.9.-|-0.2|+[0.6-(0.8-5.4)]=______.12.9.53-8-(2-|-11.64+1.53-1.36|)=______.13.73.17-(812.03-|219.83+518|)=______.36.38×(-7)+5[(-2)3(-32)-(-22)]-38×339÷(-3)38=______.48.(-2)×{(-3)×[(-5)+2×(0.3-0.3)÷83-3]+4}=______.112.413-74-(-5+26).116.-84-(16-3)+7.118.-0.182+3.105-(0.318-6.065).119.-2.9+[1.7-(7+3.7-2.1)].121.34.23-[194.6-(5.77-5.4)].125.23.6+[3.9-(17.8-4.8+15.4)].134.(-3)2÷2.5.135.(-2.52)×(-4).136.(-32)÷(-2)2.173.(-1)2×5+(-1)×52-12×5+(-1×5)2.174.(-2)(-3)(-36)+(-1)20×63.178.(-32)÷(3×2)×(-3-2).180.3×(-2)2+(-2×3)2+(-2+3)2.188.2+42×(-8)×16÷32.190.[5.78+3.51-(0.7)2]÷(0.2)3×11.191.(1.25)4÷(0.125)4×0.0036-(0.6)2.194.(-42×26+132×2)÷(-3)7×(-3)5.195.(3-9)4×23×(-0.125)2.201.741×[(-30)2-(-402)]3÷(1250)2.211.[(-5)3+3.4×2-2×4+53]2.213.(24-5.1×3-3×5+33)2.234.(-5)×(-3)×(-4)2+(-2)3×(-8)×(-3)-(-12)×3÷24.240.-18-23×[(-4)3÷(-43)+0.2×8+(-3)2÷(-32)].(四)用符号“>”,“<”,“≥”,“≤”,“=”之一填空241.当两个数和的绝对值______这两个数差的绝对值时,这两个数同号.242.一个正数与一个负数差的绝对值______这两个数绝对值的和.243.一个正数与一个负数和的绝对值______这两个数绝对值的差.244.一个正数与一个负数差的绝对值______这两个数绝对值的差.245.一个正数与一个负数和的绝对值______这两个数绝对值的和.246.当两个数和的绝对值______这两个数差的绝对值时,这两个数异号.247.当两数和的绝对值______这两个数差的绝对值时,这两个数至少有一个是零.248.当两数和的绝对值______这两个数的绝对值之和时,这两个数可以是任意的有理数.249.当两数差的绝对值______这两个数的绝对值之和时,这两个数可以是任意的有理数.250.当两个数和的绝对值______这两个数绝对值的差时,这两个数可以是任意的有理数.251.当两个数差的绝对值______这两个数绝对值的差时,这两个数可以是任意的有理数.252.欲使两个数的绝对值的和等于这两个数的和的绝对值,这两个数必须是怎样的数?253.欲使两个数和的绝对值不小于这两个数的差的绝对值,这两个数必须是怎样的数?254.欲使两数和的绝对值不大于这两数差的绝对值,这两个数必须是怎样的数?255.欲使两数和的绝对值不小于这两个数的绝对值的和,这两个数必须是怎样的数?256.一个盛有水的圆柱形水桶,其底面半径为1.6分米①.现将一个半径为1.2分米的铁球沉没在桶内水面下,问桶内水面升高多少分米?(列综合算式计算,球的体积公式为,其中V表示体积,R表示球的半径)257.一个盛有水的长方体状容器,它的底面是边长为2.4分米的正方形,现将一个半径是1.2分米的铁球放在容器内,正好铁球体积的1/3在水面下,问放入铁球后,水面升高了多少分米?(列综合算式计算,球的体积公式为V表示体积,R表示球的半径,π取3.14。
有理数的混合运算练习题(含答案)(共17套)有理数混合运算练习题及答案 第1套同步练习(满分100分)1.计算题:(10′×5=50′)(1)3.28-4.76+121-43;(2)2.75-261-343+132;(3)42÷(-121)-143÷(-0.125);(4)(-48)÷82-(-25)÷(-6)2;(5)-52+(1276185+-)×(-2.4).2.计算题:(10′×5=50′)(1)-23÷153×(-131)2÷(132)2;(2)-14-(2-0.5)×31×[(21)2-(21)3];(3)-121×[1-3×(-32)2]-( 41)2×(-2)3÷(-43)3(4)(0.12+0.32)÷101[-22+(-3)2-321×78];(5)-6.24×32+31.2×(-2)3+(-0.51)×624.【素质优化训练】1.填空题:(1)如是0,0>>c b b a ,那么ac0;如果0,0<<cbb a ,那么ac 0;(2)若042=-++++c c b a ,则abc= ;-a 2b 2c 2=;(3)已知a ,b 互为相反数,c ,d 互为倒数,x 的绝对值等于2,那么x 2-(a+b)+cdx=.2.计算:(1)-32-;)3(18)52()5(223--÷--⨯-(2){1+[3)43(41--]×(-2)4}÷(-5.043101--);(3)5-3×{-2+4×[-3×(-2)2-(-4)÷(-1)3]-7}.【生活实际运用】甲用1000元人民币购买了一手股票,随即他将这手股票转卖给乙,获利10%,而后乙又将这手股票反卖给甲,但乙损失了10%.最后甲按乙卖给甲的价格的九折将这手股票卖给了乙,在上述股票交易中( )A .甲刚好亏盈平衡;B .甲盈利1元;C .甲盈利9元;D .甲亏本1.1元.参考答案【同步达纲练习】1.(1)-0.73(2)-121; (3)-14; (4)-181; (5)-2.92.(1)-351 (2)-1161; (3)- 5437; (4)1; (5)-624.【素质优化训练】1.(1)>,>; (2)24,-576; (3)2或6.[提示:∵x =2 ∴x 2=4,x=±2].2.(1)-31;(2)-8;2719(3)224 【生活实际运用】 B有理数的四则混合运算练习 第2套◆warmup知识点有理数的混合运算(一)1.计算:(1)(-8)×5-40=_____;(2)(-1.2)÷(-13)-(-2)=______.2.计算:(1)-4÷4×14=_____;(2)-212÷114×(-4)=______.3.当||a a =1,则a____0;若||a a =-1,则a______0. 4.(教材变式题)若a<b<0,那么下列式子成立的是() A .1a <1b B .ab<1 C .a b <1 D .ab>1 5.下列各数互为倒数的是()A .-0.13和-13100B .-525和-275C .-111和-11D .-414和4116.(体验探究题)完成下列计算过程:(-25)÷113-(-112+15)解:原式=(-25)÷43-(-1-12+15)=(-25)×()+1+12-15=____+1+52 10 -=_______.◆Exersising7.(1)若-1<a<0,则a______1a;(2)当a>1,则a_______1a;(3)若0<a≤1,则a______1a.8.a,b互为相反数,c,d互为倒数,m的绝对值为2,则||4a bm++2m2-3cd值是()A.1 B.5 C.11 D.与a,b,c,d值无关9.下列运算正确的个数为()(1)(+34)+(-434)+(-6)=-10 (2)(-56)+1+(-16)=0(3)0.25+(-0.75)+(-314)+34=-3(4)1+(-3)+5+(-7)+9+(-1)=4A.3个 B.4个 C.2个 D.1个10.a,b为有理数,在数轴上的位置如右上图所示,则()A.1a>1b>1 B.1a>1>-1bC.1>-1a>1bD.1>1a>1b11.计算:(1)-20÷5×14+5×(-3)÷15 (2)-3[-5+(1-0.2÷35)÷(-2)](3)[124÷(-114)]×(-56)÷(-316)-0.25÷14ob a◆Updating12.(经典题)对1,2,3,4可作运算(1+2+3)×4=24,现有有理数3,4,-6,10,请运用加,减,乘,除法则写出三种不同的计算算式,使其结果为24.(1)____________ (2)____________ (3)____________答案:课堂测控1.(1)-80 (2)5352.(1)-14(2)83.>,< 4.D 5.C 6.34,-310,1[总结反思]先乘除,后加减,有括号先算括号内的.课后测控7.(1)> (2)> (3)≤ 8.B 9.B 10.B11.解:(1)原式=-20×15×14+5×(-3)×115=-1-1=-2(2)原式=124×(-45)×(-56)×(-619)-14÷14=124×(-419)-1=-1114-1=-11114(3)原式=-3[-5+(1-15×53)÷(-2)]=-3[-5+23×(-12)]=-3[-5-13]=15+1=16[解题技巧]除法转化为乘法,先乘除,后加减,有括号先算括号内的.拓展测控12.解:(1)4-(-6)÷3×10 (2)(10-6+4)×3(3)(10-4)×3-(-6)[解题思路]运用加,减,乘除四种运算拼凑得24点.有理数的混合运算习题第3套一.选择题1.计算3(25)-⨯=()A.1000B.-1000C.30D.-302.计算2223(23)-⨯--⨯=( )A.0 B.-54 C.-72 D.-183. 计算11(5)()555⨯-÷-⨯=A.1B.25C.-5D.354. 下列式子中正确的是( )A.4232(2)(2)-<-<-B. 342(2)2(2)-<-<-C. 4322(2)(2)-<-<-D. 234(2)(3)2-<-<- 5. 422(2)-÷-的结果是( ) A.4B.-4C.2D.-26. 如果210,(3)0a b -=+=,那么1ba+的值是( )A.-2 B.-3 C.-4 D.4 二.填空题1.有理数的运算顺序是先算,再算,最算;如果有括号,那么先算。
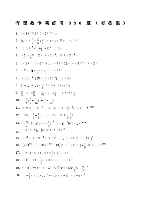
有理数专项练习350题(有答案)1.(﹣1)2×2+(﹣2)3÷4.2..3..4.﹣14﹣×〔2﹣(﹣3)2〕×(﹣2)35.(﹣2)3+(﹣3)×[(﹣4)2+2]﹣(﹣3)2÷(﹣2)6. ﹣22﹣÷(﹣2)37.(﹣1)2+[20﹣(﹣2)3]÷(﹣4)8..9..10.11..12.18×()﹣(﹣24)×()13..14.15. ﹣32﹣(﹣3)2×(﹣2)﹣[(﹣2)×(﹣1)]216. [2832003+(﹣283)2003﹣10]×(﹣2)÷×(﹣1)200217.18. ﹣14﹣(1﹣)÷3×|3﹣(﹣3)2|.19.(﹣2)2+{6﹣(﹣3)×2}÷4﹣5÷×20.21.﹣32÷3+(﹣)×12﹣(﹣1)2010;22..;23.;24.;25..26.27..;29.;30.31..32..;33.﹣32+(﹣3)2+(﹣5)2×(﹣)﹣0.32÷|﹣0.9|.34.(﹣2×5)3﹣(﹣1)×(﹣)2﹣(﹣)2.35.1×﹣(﹣)×2+(﹣)÷136. ﹣22+(﹣2)4×()3﹣|0.28|÷(﹣)237.(﹣+)×18+3.95×6﹣1.45×6..38.39..40. [(﹣1)2005+(﹣﹣)×24]÷|﹣32+5|.41.[2﹣(+﹣)×24]÷5×(﹣1)200942. ﹣14﹣[﹣2+(1﹣0.2÷)×(﹣3)]43..44..45. ﹣5+[﹣﹣(1﹣0.2÷)×(﹣3)2] 46. ﹣10+8÷(﹣2)2﹣(﹣4)×(﹣3); 47.;48. 3×(﹣1)10+(﹣22)×|(﹣2)3|÷4÷2﹣|(﹣3)2|÷(﹣3)2×(﹣1)11; 49. ;50. .51. [1]×24]÷(﹣5);52. (﹣10)+8×(﹣2)2﹣(﹣4)×(﹣3); 53. ﹣0.252÷(﹣0.5)3+(﹣)×(﹣1)10; 54. ﹣3×(﹣)2﹣4×(1﹣)﹣8÷()2;55.(﹣2)3﹣1×(﹣)﹣(﹣2)×(﹣1)×(﹣4). 56. ;57.;58. ﹣24+|6﹣10|﹣3×(﹣1)2009. 59. |﹣1.3|+; 60. (﹣13)+(+12)+(﹣7)+(+38); 61.;62. (+163)﹣[(+63)+(﹣259)+(﹣41)].;63.;64..65.66.﹣22﹣(﹣22)+(﹣2)2+(﹣2)3﹣3267. 22+(﹣4)+(﹣2)+4;68.(﹣8)+(+0.25)﹣(﹣9)+(﹣);;69.70. (﹣)÷(﹣﹣);71. ﹣9÷;72. ﹣14﹣×[2﹣(﹣3)2].73.74.75.76.﹣14×[﹣32×﹣2]×(﹣).77.﹣32﹣(﹣3)2+32×(﹣1)2006;78..79..82. 33×(﹣2)2﹣(﹣3)3×(﹣2)383.84..85.(﹣3)÷(﹣1)×0.75×|﹣2|÷|﹣3|.86.﹣1+3﹣5+7﹣9+11﹣…﹣1997+1999;87. 11+12﹣13﹣14+15+16﹣17﹣18+…+99+100;88. 1991×1999﹣1990×2000;89. 4726342+472 6352﹣472 633×472 635﹣472 634×472 636;90. 1+4+7+ (244)1+91.92. 1.94.﹣22﹣(﹣1)2001×(﹣)÷+(﹣3)295.;96.97.98. ﹣5﹣22÷[(﹣)2+3×(﹣)]÷(﹣22)99.(﹣3)+(+2)﹣(+2)﹣(﹣7);100.﹣23÷×;101.[﹣+﹣﹣(﹣)]×(﹣36);102.(+)÷(﹣)﹣×(﹣1);103.﹣14﹣(1﹣0.5)××[2﹣(﹣3)2].104.(2﹣3+1)÷(﹣1).105.+++…+.106.﹣14+〔1﹣(1﹣0.5×)〕×|2﹣(﹣3)2|.107.108.﹣12008﹣[5×(﹣2)﹣(﹣4)2÷(﹣8)]109.110.;111.[2﹣(﹣3)2]×[(﹣1)2008﹣(1﹣0.5×)]112.113. 0﹣21116.﹣23÷×(﹣)2+(﹣0.8)×5×(﹣)117.﹣32+5×(﹣)﹣(﹣4)2÷(﹣8)118.;119..120.﹣16;﹣121.122.﹣0.252÷÷(﹣1)100+(1+2﹣3.75)×12 123. 2﹣3﹣5+(﹣3)25﹣(﹣+﹣)÷124.127. ﹣22+(﹣3)×[(﹣4)2+(﹣2)3]﹣(﹣3)2÷(﹣2)128.(﹣5)﹣(+3)+(﹣9)﹣(﹣7)+;129. 10﹣23+32﹣17﹣21+45;130.(﹣3)+(+2)﹣(+2)﹣(﹣7);131.﹣9.2﹣(7.1)﹣(﹣3)+6+(+2.9);132. 3.6+41.8﹣12﹣11﹣51;133..134. [212﹣(38+16﹣34)×24]÷5×(﹣1)2001135.136.;137.()×(﹣36).138.(﹣20)+(+3)﹣(﹣5)﹣(+7);139.(+6)+(﹣5)﹣(﹣4)+(+2)+(﹣1)﹣(+1);140.﹣13×﹣0.34×+×(﹣13)﹣×0.34;141.(﹣)×(﹣0.25)×(﹣5)×(﹣4)3;142.(﹣3)3÷2×+4﹣2×(﹣);143.﹣16﹣(0.5﹣)÷×[﹣2﹣(﹣3)3]﹣|﹣0.52|.144.0﹣14﹣(﹣1)+(﹣1.95)3×0.5×0﹣|﹣5|+5.145..146.1+.147.;148..149.150. [53﹣4×(﹣5)2﹣(﹣1)10]÷(﹣24﹣24+24).151.﹣32+27÷(﹣3)2﹣(﹣)2×|﹣22|﹣(﹣1)2007152.;153..154. [47﹣(18.75﹣1÷)×2]÷0.46156.(﹣105)×﹣178×6.67﹣7.67×(﹣178)157.﹣(﹣23)﹣(+59)+(﹣35)+|﹣5﹣32|;158. 1﹣[(﹣5)2×﹣0.8]÷2×(﹣1+).159.﹣÷×(﹣0.6)×+(﹣2)3160. 4﹣(﹣2)2﹣32÷(﹣1)2009+0×(﹣2)5.161.162.(﹣5)×(﹣0.75)﹣(﹣5)×0.125+(﹣5)×(﹣0.125).163.﹣20+(﹣18)﹣12+10;164.;165.;166.﹣2.5×17×(﹣4)×(﹣0.1);167. 33.1﹣10.7﹣(﹣22.9)﹣;168.(﹣36)÷4﹣5×(﹣1.2);169.;170..171.172..173..176. [﹣21×(﹣1)3+6÷×3﹣52]×.177.178.﹣32﹣50÷(﹣5)2﹣1;179..180. 0﹣3+(﹣)﹣(﹣22)﹣5÷(﹣);181. 10÷[﹣(﹣1+1)]×6;182. 18+32÷(﹣2)3﹣(﹣4)2×5;183.﹣7×(﹣)+19×(﹣)﹣5×(﹣).184. 8﹣2×(﹣3)2+[(﹣2)×3]2185.186. 3×(﹣4)+28÷(﹣7);187.﹣14+×[32﹣(﹣3)2];188. (﹣10)+8×(﹣3)2﹣(﹣4)×(﹣3).189.(﹣2)3﹣2×(﹣3)+|2﹣5|﹣(﹣1)2010189. 48×(﹣+﹣)191. (+7)+(﹣8)﹣(+3)﹣(﹣4);192.﹣1﹣2÷(﹣)×(﹣3);193.﹣36×(﹣﹣);194.﹣13﹣(1﹣0.5)××[2﹣(﹣3)2];195.(﹣0.25)×1.25×(﹣4)×(﹣8);196.(﹣1)10×2+(﹣2)3÷4.197. ﹣(﹣3)2﹣[3+0.4×(﹣1)]÷(﹣2).198. ;199. ;200.;201. 3﹣(﹣2)×(﹣1)﹣8÷(﹣)2×|3+1|.202.﹣24÷42﹣(﹣2)3×(﹣0.5)2+(﹣)2×(﹣32)203.﹣32+×(﹣3)3÷(﹣1)25.204.205.﹣14﹣(1﹣)÷3×|3﹣(﹣3)2|;206. ﹣1100﹣(1﹣0.5)×[3﹣(﹣3)2].207.(﹣2)3﹣|﹣9|﹣()÷(﹣).208.﹣22+(﹣3)÷﹣(﹣3)2÷(﹣2)209.[15.25﹣13﹣(﹣14.75)]×(﹣0.125)÷210.()÷211.212.﹣12+[+8×(﹣3)]×0﹣(﹣5)2213. +6÷(﹣2)+(﹣4)×214.216.217.﹣9+5×(﹣6)﹣(﹣4)2÷(﹣8);218. .219.(﹣10)2﹣5×(﹣2×3)2+23×10.221. ﹣22﹣32÷[(﹣2)3﹣(﹣1)2]222.(+10)+(﹣11.5)+(﹣10)﹣(+4.5);223.(﹣81)÷×÷(﹣16);224.﹣32﹣[﹣5﹣0.2÷×(﹣2)2];225. 24×(﹣﹣)+(﹣)2÷(﹣).226..227.228.[(﹣3)2÷×﹣6]÷[﹣(﹣1)2006].229. ﹣14﹣(﹣2)3×5+0.25÷(﹣)2.230.(﹣20)+(+3)﹣(﹣5)﹣(+7);231. |﹣|+|﹣|+|﹣|﹣|﹣|;232.(﹣5)×6+(﹣125)÷(﹣5);233.+(﹣)﹣(﹣)+;234.(﹣﹣+)×4;235.﹣18÷(﹣3)2+5×(﹣)3﹣(﹣15)÷5.236..238. ﹣22﹣(1﹣×0.2)÷(﹣2)3239.(﹣2)2+(﹣1﹣3)÷(﹣)+|﹣|×(﹣24)241. (﹣1)2009+(﹣5)×|(﹣2)3+2|﹣(﹣4)2÷(﹣).242.(﹣÷.243.﹣4﹣28﹣(﹣29)+(﹣24)249.(﹣2)4×(﹣5)+[(﹣3)3+(﹣2)4×(﹣1)9]250. (﹣)+(﹣);251. 5﹣(8﹣9);252.﹣9×0.375﹣9×0.625;253. 9×(﹣)÷9×(﹣);254.﹣72+2×(﹣3)2﹣(﹣6)÷(﹣)2;255.﹣32﹣[32﹣(﹣2)2]×[2﹣(1﹣)].256.﹣16+23+(﹣17)﹣(﹣7);257.(﹣)+(﹣)﹣(﹣)﹣(+)﹣(﹣)258.(﹣+﹣)×(﹣16)259.﹣14+(1﹣0.5)××〔2﹣(﹣3)2〕260.﹣20+(﹣14)﹣(﹣18)+|﹣13|;261. ﹣32×[(1﹣7)÷6]3+75÷(﹣5)2;262.﹣3×23﹣(﹣3×2)2+(﹣23×3);263.÷(﹣2)﹣÷(﹣1)﹣0.5÷2×;264. (﹣10)2+[(﹣2)2﹣(3+32)×2];265. [÷(﹣)+0.4×(﹣)2]×(﹣1)5.266.(1﹣+)×(﹣48)267.﹣12﹣(﹣10)÷×2+(﹣4)3268. |﹣|÷|﹣|﹣×(﹣4)2269. ﹣1﹣[2﹣(1﹣×0.5)]×[32﹣(﹣2)2] 270271.274.275.﹣32﹣[(﹣2)2﹣(1﹣×)÷(﹣2)].276.278.(﹣8)÷[(﹣)×(﹣)÷(﹣2)];279.(﹣36)×(﹣+﹣);285.(﹣)2÷(﹣)2÷|﹣6|2×(﹣)2286. |﹣1|+|﹣|+|﹣|+…+|| 287.20﹣3×[23﹣2×(﹣3)]﹣(﹣1)2007288. 25﹣3×[32+2×(﹣3)]+5;289..290.×(﹣1)+×(﹣2)+×(﹣50)﹣×(﹣20)291. .292. ﹣23﹣(﹣3)2×(﹣1)2﹣(﹣1)3293.294. (﹣3)2÷3﹣12×(﹣+﹣)295. (+﹣)×12+12÷(+);296. 5÷(﹣2﹣2)×6.297.(﹣++)×(﹣12);298.(﹣2)2+(﹣2)÷(﹣)+|﹣|×(﹣24).299.(+﹣)÷(﹣)300.﹣42÷(﹣2)2+12÷(﹣)×3301.﹣0.52+(﹣)2﹣|﹣22﹣4|﹣(﹣1)3×()3÷(﹣)4 302. {[3÷(﹣)+0.4×(﹣)2]÷(﹣)﹣20}×(﹣1)2005 303.(﹣32)﹣[5﹣(+3)+(﹣5)+(﹣2)]304. 25×﹣(﹣25)×+25×(﹣)305.306. (﹣2)2﹣|﹣7|+3﹣2×(﹣);307. ﹣36×(﹣﹣);308. ﹣16﹣(1﹣0.5)××[2﹣(﹣3)2];309.(﹣3)2008×﹣12008﹣(﹣1)2008.310.311. 0.25×(﹣2)3﹣[4÷(﹣)2+1].;312.313. .314. ..315.316. 5×(﹣6)﹣(﹣4)2÷(﹣8);317. (3.9﹣1.45)2÷(﹣0.125)+49.34;318. (﹣1)5﹣[﹣3×(﹣)2﹣(﹣1)÷(﹣2)2].319.(﹣3)3﹣[(2﹣1.5)3÷2×(﹣8)2+×(﹣)2﹣()3].320. 20+(﹣12)﹣(﹣18)321. 23×10+(﹣2)×(﹣5)2322.323.324.325. .326.﹣0.5+(﹣15)﹣(﹣17)﹣|﹣12|;327.[﹣22+(﹣2)3]﹣(﹣2)×(﹣3);328.()÷();329.;330.﹣14+[1﹣(1﹣0.5×2)]÷|2﹣(﹣3)2|;331. [(﹣3)2﹣22﹣(﹣5)2]××(﹣2)4.332. 4×(﹣3)2﹣13+(﹣)﹣|﹣43|;333. ﹣32﹣[(﹣2)2﹣(1﹣×)÷(﹣2)].334. (﹣11)×+(+5)×+(﹣137)÷5+(+113)÷5;335. ﹣8﹣[﹣7+(1﹣×0.6)÷(﹣3)].;336.337.﹣(﹣1)2005+4÷(﹣2)﹣|﹣12|.338. (﹣4)2×(﹣2)÷[(﹣2)3﹣(﹣4)].339.340. ;341. ﹣(﹣0.75)+;342. (﹣1)3×103×;343. 0÷.344.345. ﹣0.252÷+(+﹣3.75)×24347.348.;349.(﹣1)2006+;350.;351.﹣4.037×12+7.537×12﹣36×().有理数混合350题参考答案(供参考):1.原式=1×2+(﹣8)÷4=2+(﹣2)=0.2.原式=[50﹣(﹣+)×36]÷49=[50﹣(×36﹣×36+×36)]÷49 =[50﹣(28﹣33+6)]÷49=(50﹣1)÷49=49÷49=1.3.原式=16×=12+(﹣5)=74.原式=﹣1﹣×(2﹣9)×(﹣8)=﹣1﹣=﹣.5.原式=﹣8+(﹣3)×18﹣9÷(﹣2)=﹣8﹣54﹣9÷(﹣2)=﹣62+4.5=﹣57.5.6. 原式=﹣4﹣÷(﹣8)=﹣4+=﹣37. (﹣1)2+[20﹣(﹣2)3]÷(﹣4)=1+[20﹣(﹣8)]÷(﹣4)=1+28×(﹣)=1﹣7=﹣6.8.原式=[1﹣(1﹣)]×[2﹣9]=[1﹣]×(﹣7)=×(﹣7)=﹣.9.原式=×(﹣)﹣×(﹣)﹣2=﹣+﹣2=﹣2=﹣1.10.原式=(+﹣)×(﹣48)=﹣(×48+×48﹣×48)=﹣(8+36﹣4)=﹣40.11.原式=1.25×(﹣8)﹣[(﹣4)÷()+1]﹣1=﹣10﹣[(﹣4)×+1]﹣1=﹣10+8﹣1=﹣3.12.原式=[18×﹣18×]﹣[(﹣24)×+(﹣24)×]=(9﹣6)﹣[(﹣8)+(﹣3)]=3﹣(﹣11)=14.13.原式=﹣×[﹣9×﹣8]+1=﹣×(﹣12)+1=18+1=19.原式=﹣3+6﹣8+9=4;14.15. 原式=﹣9﹣9×(﹣2)﹣[(﹣2)×1]2=﹣9+18-4=516. 原式=﹣10×(﹣2)×5×1=100.17.原式=﹣3﹣[﹣5+(1﹣)×(﹣)=﹣3﹣[﹣5﹣]=﹣3+5+=18. ﹣14﹣(1﹣)÷3×|3﹣(﹣3)2|=﹣1﹣÷3×|3﹣9|=﹣1﹣××6=﹣1﹣1=﹣2.19.原式=4+[6+6]÷4﹣5××=4+3﹣4=3. 20.原式=21.原式=﹣9÷3+(﹣)×12﹣1=﹣6; 22.原式===﹣.23.原式=﹣+﹣=3﹣6=﹣3; 24.原式=﹣×﹣8×=﹣2﹣4=﹣6;25. 原式=×(﹣36)=﹣1;26. 原式=﹣9×﹣[25×(﹣)+60×﹣2]=﹣3﹣(﹣15+15﹣2)=﹣3+2=﹣127.原式=8﹣8÷(﹣4)×(﹣2)+0=8﹣4=4. 28.原式=[﹣×4×6]÷5×(﹣1)=[﹣(﹣5)]÷5×(﹣1)=.29. 原式=﹣++﹣=﹣++﹣=﹣2; 30.原式=﹣×(﹣36)=718;31.原式={1﹣[﹣(﹣)]×16}÷[﹣﹣﹣]=[1﹣(+)×16]÷[﹣﹣﹣]=[1﹣1-41]÷(﹣2) =-41×(﹣)=81. 32.原式=;33.原式=﹣9+9+25×()﹣0.09÷0.9=﹣9+9+(﹣20)﹣0.1=﹣20﹣0.1=﹣20.134.原式=﹣1000﹣(﹣)×﹣100=﹣1099.35.原式=×+×﹣×=×(+﹣)=×()=. 36. 原式=﹣4+16×﹣0.28=﹣4+2﹣28=﹣3037.原式=(﹣+)×18+(3.95﹣1.45)×6=17. 38.原式=.39.原式=﹣16×(﹣2)÷(﹣1)+(+﹣)×24=﹣32+×24+×24﹣×24=﹣32+27+32﹣18=9.40. [(﹣1)2005+(﹣﹣)×24]÷|﹣32+5|=[﹣1+×24]÷|﹣4|=4÷4=141.原式==××(﹣1)=﹣. 42. 原式=﹣1﹣[﹣2+×(﹣3)]=﹣1﹣[﹣2﹣2]=﹣1+4=3.43. 原式=21×23×32×34×43×45×54×56×65×67=44.=﹣﹣8×=﹣﹣=﹣545. 原式=﹣5﹣﹣(1﹣×)×9=﹣5﹣(1﹣)×9=﹣5﹣6=﹣11. 46. 原式=﹣10+8÷4﹣12=﹣10+2﹣12=﹣20.47.原式=(﹣﹣)×(﹣)=(﹣)×(﹣)=3.48. 原式=3+(﹣4)×8÷4÷2﹣9÷9×(﹣1)=3﹣4+1=0.49. 原式=64﹣{81﹣[﹣+×(﹣4)]÷(﹣3)}=64﹣{81﹣3}=64﹣77=﹣13.50. 原式=×(﹣)﹣×(﹣)﹣××=﹣+﹣=.51. 原式=(1315﹣15+4﹣14)×(﹣)=(1315﹣25)×(﹣)=41310;52. 原式=﹣10+32﹣12=10;53. 原式=﹣÷(﹣)+()=﹣=;54. 原式=﹣3×﹣4×﹣8×=﹣﹣18=﹣20;55.原式=﹣8+×+8=﹣8++8=.原式=﹣++××1=﹣++=;56.原式=﹣27×4﹣4×()=﹣=0;57.58. 原式=﹣16+4﹣3×(﹣1)=﹣12+3=﹣9.59. 原式=1.3+0=1.3;60. 原式=﹣13+12﹣7+38=﹣20+50=30;原式=[﹣3+3.5]+[﹣2﹣]=0﹣3=﹣3;61.62. 原式=163﹣[63﹣259﹣41]=163+237=400.原式=﹣(﹣0.04+0.04)+(8﹣9×1)×=﹣1×=﹣;63.原式=(﹣3×﹣4×+1×)÷|2×﹣|×2=(﹣﹣+)÷|| 64.×2=﹣×4×2=﹣4;原式=×16×1﹣()=1﹣(﹣9+56﹣90)=1+9 65.﹣56+90=44.66.原式=﹣4+4+4﹣8﹣9=﹣13.67.原式=22﹣4﹣2+4=20;68.原式=(﹣8)++9﹣=1;69. 原式=(+﹣)×(﹣24)﹣8=(﹣32)﹣3+66﹣8=23;70. 原式=(﹣)÷(﹣﹣)=1;71. 原式=(﹣9)××(﹣)×(﹣4)=﹣;72. 原式=(﹣1)﹣×(2﹣9)=.73.原式=﹣÷(﹣+)=﹣÷=﹣74.原式=(﹣2)÷(×)×+5=(﹣2)÷×+5=﹣2×32×+5=﹣48+5=﹣43.75.原式=(﹣2)×9×(﹣1)﹣12÷[3﹣1]=18﹣12÷2=18﹣6=12.76.原式=﹣1×[﹣9×﹣2]×(﹣)=﹣1×(﹣4﹣2)×(﹣)=﹣6×=﹣9.77. 原式=﹣9﹣9+9×1=﹣9;78. 原式=﹣24×+(﹣8)=﹣1﹣8=﹣9.79.原式=﹣8×8﹣8×+64=﹣1.80. 原式=×36﹣×36+×36=28﹣30+27=25.81. 原式=﹣5﹣4=﹣9.82. 原式=27×4﹣(﹣27)×(﹣8)=27×(4﹣8)=﹣108.83. 原式=(1﹣)×(2﹣9)=×(﹣7)=.84.=1+2(﹣+﹣…﹣)=1+2(﹣)=.85.原式=3××××=1.86.原式=(﹣1+3)+(﹣5+7)+(﹣9+11)+…+(﹣1997+1999)=2××=1000;87.原式=(11﹣13)+(12﹣14)+(15﹣17)+…+(95﹣97)+(96﹣98)+(99+100)=﹣2×+199=﹣88+199=111;88.原式=(1990+1)(2000﹣1)﹣1990×2000=1990×2000﹣1990+2000﹣1﹣1990×2000=10﹣1=9;89.原式=4726342+4726352﹣(472634﹣1)×(472634+1)﹣(472635﹣1)(472635+1)=4726342+4726352﹣4726342+1﹣4726352+1=2;90.原式=×(1﹣+﹣+…+﹣)=×(1﹣)=×=;91.根据题意可知第n项就是a n=1+3(n﹣1),即有244=1+3(n﹣1),∴n=82,∴一共有82个数,又∵1+244=245,4+241=245…,∴原式=(1+244)×82÷2=10045;92. 设原式=m,那么3m=3+m﹣,∴2m=3﹣,∴m=;93. 原式=﹣+﹣+﹣=(1+)﹣(+)+(+)﹣(+)+(+)﹣(+)=1+﹣﹣+…﹣﹣=1﹣=.94.原式=﹣4﹣(﹣1)×(﹣)×6+9=﹣4﹣1+9=4.95. 原式=+﹣﹣=﹣=96. 原式=﹣+﹣(﹣8﹣1)=﹣+﹣×(﹣9)=+3=97.原式=5×+7×﹣12×=(5+7﹣12)×=0.98. 原式=﹣5﹣4÷[﹣]÷(﹣4)=﹣5﹣4÷(﹣2)÷(﹣4)=﹣5﹣(﹣2)÷(﹣4)=﹣5﹣=﹣5.99.原式=﹣3+2﹣2+7=(﹣3﹣2)+(2+7)=﹣6+10=4;100.原式=﹣8××=﹣8;101.原式=(﹣)×(﹣36)+×(﹣36)﹣×(﹣36)﹣(﹣)×(﹣36)=21﹣27+30﹣10=14;102.原式=÷(﹣)﹣×(﹣)=﹣1+1=0;103.原式=﹣1﹣0.5××[2﹣9]=﹣1+=.104.(2﹣3+1)÷(﹣1)=(﹣+)×(﹣)=×(﹣)+(﹣)×(﹣)+×(﹣)=﹣2+3﹣.105.∵,∴原式=1﹣+﹣+﹣+…+﹣=1﹣=.106.原式=﹣1+[1﹣]×7=﹣1+=107.原式=[1+(﹣)×16]÷=[1+(﹣)×16]×=﹣7×=108.原式=﹣1﹣[5×(﹣2)﹣16÷(﹣8)]=﹣1﹣[﹣10+2]=﹣1+8=7.1)]×6=-1-7=-8109.原式=-1-[2-(1-6110. 原式==30.111.原式=(2﹣9)×[1﹣(1﹣)]=﹣7×(1﹣)=﹣7×=﹣.112.原式=﹣16×(﹣4)+(5﹣5)﹣2+(﹣1)=64+0﹣2﹣1=61.113.原式===;114.==27+20﹣21=26;115.=(﹣1﹣4)×===.116.原式=﹣8××+(﹣)×5×(﹣)=﹣8+1=﹣7.117.﹣32+5×(﹣)﹣(﹣4)2÷(﹣8)=﹣9﹣8﹣16÷(﹣8)=﹣9﹣8+2=﹣15.118. 原式=(﹣9﹣4+18)÷5=(+5)÷5=+5÷5==;119. 原式=﹣8×1﹣12÷(﹣)=﹣8+48=40120. 原式=﹣16×+×(﹣)=﹣6﹣=﹣;121. 原式=﹣16×(﹣4)+[5﹣5]﹣2﹣1=64﹣2﹣1=61.122.原式=﹣×(﹣8)×1+×12+×12﹣×12=++28﹣45=17+28﹣45=0.123.原式=﹣×××=;124. 原式=﹣24×1﹣24×(﹣)﹣24×﹣24×(﹣)=﹣24+18﹣4+15=5.125. 原式=(=﹣1﹣9=﹣10;126 原式=32﹣(﹣8+4﹣2)=32+8﹣4+2=38;127. 原式=﹣4+(﹣3)×(16﹣8)+9÷2=﹣4﹣24+4.5=﹣23.5128.原式=﹣5﹣3﹣9+7+=﹣9;129.原式=26;130.原式=﹣+﹣+=﹣6+10=4;131.原式=﹣9.2﹣7.1+3+6.2+2.9=﹣4.2=﹣4;132.原式=3.6+41.8﹣12.6﹣51.8=﹣19;133.原式=﹣+﹣﹣﹣﹣=﹣2=.134. 原式=(212﹣480)÷5×(﹣1)=268÷5=.135.原式=﹣16+16﹣1××=﹣.136. =×(﹣8)﹣[4×+1]+1=﹣2﹣[9+1]+1=﹣2﹣10+1=﹣12+1=﹣11;137.()×(﹣36)=×(﹣36)﹣×(﹣36)+×(﹣36)﹣×(﹣36)=﹣28+30﹣27+14=﹣55+44=﹣11.138. 原式=﹣20+3+5﹣7=﹣19;139. 原式=(+6+4)+(+2﹣1)﹣5﹣1=11+1﹣5﹣1=5;140. 原式=﹣13×(+)﹣0.34×(+)=﹣13﹣0.34=﹣13.34;141. 原式=××5×64=50;142. 原式=﹣27××+4+=﹣++4=﹣;143. 原式=﹣1﹣(﹣)×3×(﹣2+27)﹣|﹣|=﹣1+×75﹣=﹣1+12﹣=11.144. 0﹣14﹣(﹣1)+(﹣1.95)3×0.5×0﹣|﹣5|+5=0﹣1+1+0﹣5+5=0.145.原式=﹣9××[25×(﹣)﹣(﹣60)×]=﹣3×[﹣15+15]=﹣3×0=0.146.原式=1+++…+=1+++…+=2×(++…+)=2×(1﹣+﹣+…+﹣)=2×(1﹣)=.147. =4+(﹣2)=2;148. =﹣1+[1﹣×24﹣×24+×24]÷5=﹣1+[1﹣9﹣4+18]÷5=﹣1+×=﹣1+=.149.原式=﹣1﹣(﹣﹣)×(﹣)=﹣1﹣(﹣﹣)×(﹣)=﹣1﹣×(﹣)=﹣1+=150. 原式=(125﹣4×25﹣1)÷(﹣16﹣24+16)=24÷(﹣24)=﹣1.151.原式=﹣9+27÷9﹣×4﹣(﹣1)=﹣9+3﹣1+1=﹣6.152. 原式=4+3﹣1=6;153. 原式=[﹣3.5﹣1.5﹣1.4+0.4]÷9=(﹣6)÷9=.154. 原式=[47﹣(18﹣)×]÷0.46=[47﹣×]×=×=20;155. 原式===.156.原式=﹣105×+105×﹣105×﹣178×6.67+7.67×178=﹣21×3+15×4﹣35×5+178×(7.67﹣6.67)=﹣63+60﹣175+178=0157.原式=23﹣59﹣35+37=﹣34;158.原式=﹣()××()=﹣=.159.原式=﹣××(﹣)×+(﹣8)=+(﹣8)=﹣.160. 原式=4﹣4﹣9÷(﹣1)+0=4﹣4+9+0=9.161.原式==﹣2﹣9+5=﹣6.162.原式=(﹣5)×(﹣0.75﹣0.125﹣0.125)=(﹣5)×(﹣1)=5.163.原式=﹣20﹣18﹣12+10=﹣40;164.原式=﹣﹣﹣3=﹣4;165.原式=﹣×48=﹣24;166.原式=﹣2.5×17×4×0.1=﹣×17×4×=﹣17;167.原式=33.1﹣10.7+22.9﹣2.3=43;168.原式=﹣36÷4+5×1.2=﹣9+6=﹣3;169.原式=﹣×(﹣9×+0.8)÷=××=;170.原式=﹣4﹣6+2+3×=﹣4﹣6+2+1=﹣7171.=﹣1﹣0.5××6+1=﹣1.172.=﹣÷﹣4×3=﹣14.173. 原式=﹣1﹣(﹣)××(﹣6)=﹣1+1=0;174. 原式=﹣25﹣[﹣8+÷(﹣4)×(﹣2)]=﹣25﹣(﹣8+)=﹣25+=﹣17;175. 原式=××(﹣)+×﹣=﹣+××=﹣﹣=(或).176. 原式=(21+6×3×3﹣25)×=50×=177.原式=×(﹣)﹣﹣÷(﹣)=﹣﹣+=﹣.178.原式=﹣9﹣50÷25﹣1=﹣12;179.原式=﹣1﹣[2﹣(1﹣)]×(9﹣4)=.180. 0﹣3+(﹣)﹣(﹣22)﹣5÷(﹣)=﹣3﹣+4+20=21﹣=20;181. 10÷[﹣(﹣1+1)]×6=10÷(﹣)×6=10÷×6=10×6×6=360;182. 18+32÷(﹣2)3﹣(﹣4)2×5=18+32÷(﹣8)﹣16×5=18﹣4﹣80=18﹣84=﹣66;183. ﹣7×(﹣)+19×(﹣)﹣5×(﹣)=(﹣7+19﹣5)×(﹣)=(﹣12+19)×(﹣)=7×(﹣)=﹣22.184. 原式=8﹣2×9+36=8﹣18+36=26.185. 原式=4+(﹣4)÷(﹣)+×(﹣16)=4+6﹣1=9.186. 原式=﹣12﹣4=﹣16;187. 原式=﹣1+×[9﹣9]=﹣1;188. 原式=﹣10+8×9﹣12=﹣10+72﹣12=50189. 原式=﹣8﹣2×(﹣3)+3﹣1=﹣8+6+3﹣1=0190. 原式=48×(﹣)+48×+48×(﹣)=﹣8+36﹣4=24.191. (+7)+(﹣8)﹣(+3)﹣(﹣4)=7﹣8﹣3+4=11﹣11=0;192.﹣1﹣2÷(﹣)×(﹣3)=﹣1﹣×(﹣)×(﹣3)=﹣1﹣4=﹣6;193.﹣36×(﹣﹣)=(﹣36)×+(﹣36)×(﹣)+(﹣36)×(﹣)=﹣4+6+2=﹣4+8=4;194.﹣13﹣(1﹣0.5)××[2﹣(﹣3)2]=﹣1﹣××(2﹣9)=﹣1+=;195.(﹣0.25)×1.25×(﹣4)×(﹣8)=(﹣0.25)×(﹣4)×[1.25×(﹣8)]=1×(﹣10)=﹣10;196.(﹣1)10×2+(﹣2)3÷4=1×2+(﹣8)÷4=2﹣2=0.197. 原式=﹣9﹣(3﹣×)×(﹣)=﹣9+×=﹣.198. 原式=﹣﹣﹣=(﹣1)﹣1=﹣2;199.原式=﹣1﹣(﹣+﹣)×(﹣36)=﹣1+11=10;200.原式=4÷9×(﹣)=×(﹣)=﹣1;201. 原式=3﹣2﹣8÷×4=﹣127.202.原式=﹣1+8×﹣4=﹣3.203.原式=﹣9+×(﹣27)÷(﹣1)=﹣9+3=﹣6204.原式===205. 原式=﹣1﹣××6=﹣2;206. 原式=﹣1﹣0.5××(﹣6)=﹣1﹣0.5×(﹣2)=0.207.原式=﹣8﹣9﹣(﹣)×(﹣)=﹣8﹣9+6﹣1=﹣12.208.﹣22+(﹣3)÷﹣(﹣3)2÷(﹣2)=﹣4+(﹣9)﹣9÷(﹣2)=﹣8.5.209.原式==210. 原式=(30﹣13)×(﹣0.125)÷=﹣17;211. 原式=×=;212. 原式=﹣1﹣25=﹣26;213. 原式=3﹣3﹣10=214.原式=﹣×3×4÷(﹣)×=.215. 原式=﹣1÷25×(﹣)+0.2=+=.216. 原式=×(﹣9×﹣0.8)×(﹣)=×(﹣)×(﹣)=217. 原式=﹣9+5×(﹣6)﹣16÷(﹣8)=﹣9﹣30+2=﹣37;218. 原式=9﹣×﹣6×=9﹣﹣9=.219.原式=100﹣5×36+8×10=100﹣180+80=0.220. 原式=﹣×[﹣9×﹣8]=﹣×[﹣4﹣8]=﹣×(﹣12)=18.221.原式=﹣4﹣9÷[﹣8﹣1]=﹣4﹣9÷(﹣9)=﹣4+1=﹣3.222. (+10)+(﹣11.5)+(﹣10)﹣(+4.5)=10﹣11.5﹣10﹣4.5=10﹣10﹣11.5﹣4.5=﹣16;223.(﹣81)÷×÷(﹣16)=(﹣81)××÷(﹣16)=﹣16÷(﹣16)=1;224.﹣32﹣[﹣5﹣0.2÷×(﹣2)2]=﹣9﹣[﹣5﹣××4]=﹣9﹣[﹣5﹣1]=﹣9+6=﹣3;225. 24×(﹣﹣)+(﹣)2÷(﹣)=24×﹣24×﹣24×+×(﹣72)=4﹣18﹣15﹣8=4﹣41=﹣37.226. 原式=[(﹣×)﹣×]×=[(﹣)﹣]×=(﹣)×=×=2原式=﹣1÷25×(﹣)﹣1=﹣227.228. 原式=[9××﹣6]÷(﹣)=(4﹣6)×(﹣2)=4229. 原式=﹣1﹣(﹣8)×5+÷=﹣1﹣(﹣40)+1=40230.原式=(﹣20)+(+3)+(+5)+(﹣7)=[(+3)+(+5)]+[(﹣20)+(﹣7)]=8+(﹣27)=﹣19;231. 原式===()+[(﹣)+(﹣)]=+(﹣)=;232.原式=﹣30+25=﹣5;233.原式=3+(﹣)++2=3+3=6;234.原式=×4﹣×4﹣×4+×4=﹣1﹣+=1;235. 原式=﹣18÷9﹣+3=﹣2+3﹣=.236.原式==﹣11﹣1=﹣12237. =﹣1+1.5××=;238. ﹣22﹣(1﹣×0.2)÷(﹣2)3=﹣4+(1﹣0.04)÷8=﹣3.88239. 原式=﹣4﹣3=﹣7;240. 原式=4+4×﹣×16=4+6﹣1=9.241. 原式=﹣1+(﹣5)×|﹣8+2|﹣16×(﹣2)=﹣1+(﹣5)×6+32=﹣1﹣30+32=1.242..243.原式=﹣4﹣28+29﹣24=﹣27;244.原式=﹣2×(5﹣4+8)=﹣;245.原式=﹣4+1=﹣3;246.原式=(﹣9×﹣0.8)××=;247. 原式=(﹣+﹣)×36=﹣27+60﹣21=12;248.原式=﹣1﹣0=﹣1249. 原式=(﹣2)4×{﹣5+(﹣1)9}+(﹣3)3=16×(﹣6)+(﹣27)=﹣96﹣27=﹣123.250.原式=﹣1.251.原式=5﹣(﹣1)=6.252.原式=﹣9×(0.375+0.625)=﹣9.253.原式=9×××=.254.原式=﹣49+2×9﹣(﹣6)×9=﹣49+18+54=23.255.原式=﹣9﹣(9﹣4)×(2﹣)=﹣9﹣5×=﹣15256.﹣16+23+(﹣17)﹣(﹣7)=﹣16+23﹣17+7=﹣33+30=﹣3;257.(﹣)+(﹣)﹣(﹣)﹣(+)﹣(﹣)=﹣+﹣+﹣=(﹣+)﹣+﹣=﹣=;258.(﹣+﹣)×(﹣16)=(﹣)×(﹣16)+×(﹣16)﹣×(﹣16)=8﹣12+10=18﹣12=6;259.﹣14+(1﹣0.5)××〔2﹣(﹣3)2〕=﹣1+××(2﹣9)=﹣1+=.260. 原式=﹣20﹣14+18+13=﹣3.261. 原式=﹣9×(﹣1)+75÷25=12.262. 原式=﹣3×8﹣36﹣8×3=﹣84;263. 原式=÷(﹣)﹣÷(﹣)﹣××=×(﹣)﹣×(﹣)﹣××=﹣+﹣=;264. 原式=100+4﹣(3+9)×2=104﹣24=80;265. 原式=(﹣×4+×)×(﹣1)=(﹣15+2.5)×(﹣1)=12.5.266.原式=1×(﹣48)﹣×(﹣48)+×(﹣48)=﹣48+8﹣36=﹣76;267.原式=﹣1+40﹣64=﹣25;268. 原式=÷﹣=×﹣=;269. 原式=﹣1﹣(2﹣)×5=﹣1﹣10+=270 .原式=﹣×24﹣×24+×24+1=32.271. 原式=(﹣3.5﹣1.5﹣1.4+0.4)÷9=(﹣6)÷9=﹣;272. 原式=﹣+﹣﹣=﹣.273. 原式=0.75+3.25+0.125﹣0.125=4;274. 原式=﹣1﹣1×()×3﹣2=.275.﹣32﹣[(﹣2)2﹣(1﹣×)÷(﹣2)]=﹣9﹣[4﹣(1﹣)÷(﹣2)]=﹣9﹣[4﹣×(﹣)]=﹣9﹣(4+)=﹣13.2.276.原式=﹣×[﹣+++]+6=﹣25+6=(或﹣18).277. 原式=﹣+﹣+﹣=﹣;278. 原式=﹣+﹣+=;279. 原式=11+10×(﹣)=﹣11;280. 原式=××()=﹣;281. 原式=﹣1﹣×52=﹣;282. 原式=9+12×(﹣)+4×=9.283. 原式=﹣8÷[(﹣)×(﹣)×(﹣)]=﹣8÷(﹣)=﹣8×(﹣16)=128.284. 原式=(﹣36)×(﹣)+(﹣36)×+(﹣36)×(﹣)=16﹣30+21=7.285. 原式=÷()2÷36×=×=.286. 原式=1﹣+﹣+﹣+…+﹣=1﹣=.287.原式=20﹣3×(8+6)+1=20﹣42+1=﹣21.288. 原式=25﹣3×(9﹣6)+5=25﹣9+5=21;289. 原式=﹣÷+×24+×24﹣×24=﹣1+33+56﹣90=﹣91+89=﹣2 290.原式=×(﹣1﹣2﹣50+20)=×(﹣33)=﹣7.291. =(1﹣+﹣…+﹣)=(1+﹣﹣)=×=.292. 原式=﹣8﹣9×1+1=﹣8﹣9+1=﹣16;293. 原式=×(+)﹣15×(2)=×﹣15×3=1.4﹣45=﹣43.6.294. 原式=9÷3﹣12×(﹣)﹣12×﹣12×(﹣)=3+4﹣3+2=6.295. 原式=3+4﹣6+12×=1+16=17;296. 原式=5÷(﹣)×6=﹣5××6=﹣.297. 原式=()×(﹣12)﹣×(﹣12)+×(﹣12)+×(﹣12)=﹣3+10﹣4﹣18=﹣15;298. 原式=4+(﹣2)×(﹣1.5)+×(﹣16)=4+3﹣1=6.299.原式=(+﹣)×(﹣36)=×(﹣36)+×(﹣36)﹣×(﹣36)=﹣28﹣30+33=﹣25;300.原式=﹣16÷4+12×(﹣3)×3=﹣4﹣108=﹣112.301.原式=﹣0.25+﹣|﹣4|﹣(﹣)×÷=﹣.025+﹣4+÷=﹣0.25+﹣4+2=﹣0.25+0.25﹣4+2=﹣2.302.原式={[÷(﹣)+0.4×]÷(﹣)﹣20}×(﹣1)={[﹣15+]÷(﹣)﹣20}×(﹣1)=[﹣÷(﹣)﹣20]×(﹣1)=12.303. 原式=(﹣32)﹣(5﹣3﹣5﹣2)=﹣32﹣5+3+5+2=﹣32+(5﹣5)+(3+2)=﹣26;304. 原式=25×+25×+25×(﹣)=25×[++(﹣)]=25.305.原式=﹣1+×﹣8÷|﹣9+1|=1﹣8÷8=0.306. (﹣2)2﹣|﹣7|+3﹣2×(﹣)=4﹣7+3+1=8﹣7=1;307. ﹣36×(﹣﹣)=×(﹣36)﹣×(﹣36)﹣×(﹣36)=﹣4+6+2=﹣4+8=4;308. ﹣16﹣(1﹣0.5)××[2﹣(﹣3)2]=﹣1﹣××(2﹣9)=﹣1+=;309. (﹣3)2008×﹣12008﹣(﹣1)2008=(﹣3)2008××﹣1﹣1=×﹣2=﹣2=﹣.310.,=×××…××××…×=(×)×(×)×(×)×(×)×=.311.原式=0.25×(﹣8)﹣[4×+1]=﹣2﹣10=﹣12.312. 原式=﹣×(﹣48)+×(﹣48)﹣×(﹣48)=8﹣36+4=﹣24;313. 原式=﹣4﹣(1﹣2)2×(﹣)=.314.原式=[﹣3.5﹣1.5﹣1.4+0.4]÷9=(﹣6)÷9=.原式=315.====316. 原式=﹣30﹣16÷(﹣8)=﹣30+2=﹣28;317.原式=()2÷(﹣)+49=﹣+=;318.原式=﹣1﹣[﹣3×﹣(﹣)÷4]=﹣1﹣(﹣+)=﹣1+1=0;319.原式=﹣27﹣[××64+×﹣]=﹣27﹣(3+﹣)=﹣33.320. 原式=20﹣12+18=38﹣12=26.321. 原式=8×10﹣2×25=80﹣50=30.322. 原式==﹣3+2=﹣1.323. 原式==﹣27﹣20+21=﹣26.324. 原式=====325. 原式=====﹣1+20+8=27.326. 原式=﹣0.5﹣15+17﹣12=﹣27.5+17=﹣10.5;327. 原式=(﹣4﹣8)﹣6=﹣12﹣6=﹣18;328. 原式=﹣18+108﹣30+21=81;329. 原式=﹣1.6÷[×(﹣27)﹣4]=﹣1.6÷(﹣16)=0.1;330. 原式=﹣1+[1﹣(1﹣1)]÷7=﹣1+=﹣;331. 原式=(9﹣4﹣25)×××16=(﹣20)×××16=﹣600.332. 原式=4×9﹣13﹣﹣64=;333. 原式=(﹣9)﹣[4﹣(1﹣)×(﹣)]=(﹣9)﹣(4+)=.334.(﹣11)×+(+5)×+(﹣137)÷5+(+113)÷5=(﹣11)×+(+5)×+(﹣137)×+(+113)×=×[(﹣11)+(+5)+(﹣137)+(+113)]=×[﹣6+(﹣24)]=×(﹣30)=﹣6.335.﹣8﹣[﹣7+(1﹣×0.6)÷(﹣3)]=﹣8﹣[﹣7+(1﹣×)×(﹣)]=﹣8﹣[﹣7+(1﹣)×(﹣)]=﹣8﹣[﹣7+×(﹣)]=﹣8﹣(﹣7﹣)=﹣8+7=﹣336.原式=(﹣2)÷×+5=﹣64×+5=﹣400+5=﹣395;337.原式=1+(﹣2)﹣1=﹣2.338. 原式=16×(﹣2)÷(﹣8+4)=﹣32÷(﹣4)=8.原式=(﹣2.5)2×(﹣1)÷×0.5=6.25×(﹣1)×8×0.5=﹣25 339.340. 原式=25×(++)=25×=30;341. 原式=++﹣=1+﹣==﹣;342. 原式=﹣1×(﹣)÷÷=××10=;343. 原式=0344.=[]×÷[(0.125×8)9×0.125]==[]×8=(﹣2﹣3)×8=﹣40.345. 原式==﹣1+33+56﹣90=﹣2.347. 原式=×(+×3.2)÷=﹣+××=﹣+=﹣1.348. 原式=[(﹣9)×﹣0.8]÷(﹣)=(﹣)×(﹣)=;349. 原式=1﹣24×(+﹣)=0;350. 原式=(+﹣)×(﹣60)=×(﹣60)=﹣30;351. 原式=(7.537﹣4.037)×12﹣36×(﹣+)=42﹣12=30.。
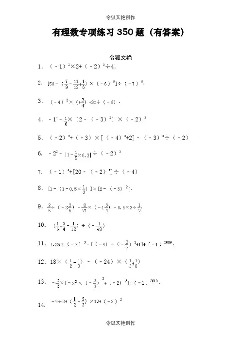
有理数专项练习350题(有答案)令狐文艳1.(﹣1)2×2+(﹣2)3÷4.2..3..4.﹣14﹣×〔2﹣(﹣3)2〕×(﹣2)35.(﹣2)3+(﹣3)×[(﹣4)2+2]﹣(﹣3)2÷(﹣2)6. ﹣22﹣÷(﹣2)37.(﹣1)2+[20﹣(﹣2)3]÷(﹣4)8..9..10.11..12.18×()﹣(﹣24)×()13..14.15. ﹣32﹣(﹣3)2×(﹣2)﹣[(﹣2)×(﹣1)]216. [2832003+(﹣283)2003﹣10]×(﹣2)÷×(﹣1)2002 17.18. ﹣14﹣(1﹣)÷3×|3﹣(﹣3)2|.19.(﹣2)2+{6﹣(﹣3)×2}÷4﹣5÷×20.21.﹣32÷3+(﹣)×12﹣(﹣1)2010;22..;23.;24.;25..26.27..;29.;30.31..32..;33.﹣32+(﹣3)2+(﹣5)2×(﹣)﹣0.32÷|﹣0.9|.34.(﹣2×5)3﹣(﹣1)×(﹣)2﹣(﹣)2.35.1×﹣(﹣)×2+(﹣)÷136. ﹣22+(﹣2)4×()3﹣|0.28|÷(﹣)237.(﹣+)×18+3.95×6﹣1.45×6..38.39..40. [(﹣1)2005+(﹣﹣)×24]÷|﹣32+5|.41.[2﹣(+﹣)×24]÷5×(﹣1)200942. ﹣14﹣[﹣2+(1﹣0.2÷)×(﹣3)].43.44..45. ﹣5+[﹣﹣(1﹣0.2÷)×(﹣3)2]46. ﹣10+8÷(﹣2)2﹣(﹣4)×(﹣3);;47.48. 3×(﹣1)10+(﹣22)×|(﹣2)3|÷4÷2﹣|(﹣3)2|÷(﹣3)2×(﹣1)11;49.;.50.51. [1]×24]÷(﹣5);52. (﹣10)+8×(﹣2)2﹣(﹣4)×(﹣3);53. ﹣0.252÷(﹣0.5)3+(﹣)×(﹣1)10;54. ﹣3×(﹣)2﹣4×(1﹣)﹣8÷()2;55.(﹣2)3﹣1×(﹣)﹣(﹣2)×(﹣1)×(﹣4).;56.;57.58. ﹣24+|6﹣10|﹣3×(﹣1)2009.59. |﹣1.3|+;60. (﹣13)+(+12)+(﹣7)+(+38);;61.62.(+163)﹣[(+63)+(﹣259)+(﹣41)].;63.64.;.65.66.﹣22﹣(﹣22)+(﹣2)2+(﹣2)3﹣3267. 22+(﹣4)+(﹣2)+4;68.(﹣8)+(+0.25)﹣(﹣9)+(﹣);;69.70. (﹣)÷(﹣﹣);71. ﹣9÷;72. ﹣14﹣×[2﹣(﹣3)2].73.74.75.76.﹣14×[﹣32×﹣2]×(﹣).77.﹣32﹣(﹣3)2+32×(﹣1)2006;78..79..82. 33×(﹣2)2﹣(﹣3)3×(﹣2)383.84..85.(﹣3)÷(﹣1)×0.75×|﹣2|÷|﹣3|.86.﹣1+3﹣5+7﹣9+11﹣…﹣1997+1999;87. 11+12﹣13﹣14+15+16﹣17﹣18+…+99+100;88. 1991×1999﹣1990×2000;89. 4726342+472 6352﹣472 633×472 635﹣472 634×472 636;90. 1+4+7+ (244)1+91.92. 1.94.﹣22﹣(﹣1)2001×(﹣)÷+(﹣3)295.;96.97.98. ﹣5﹣22÷[(﹣)2+3×(﹣)]÷(﹣22)99.(﹣3)+(+2)﹣(+2)﹣(﹣7);100.﹣23÷×;101.[﹣+﹣﹣(﹣)]×(﹣36);102.(+)÷(﹣)﹣×(﹣1);103.﹣14﹣(1﹣0.5)××[2﹣(﹣3)2].104.(2﹣3+1)÷(﹣1).105.+++…+.106.﹣14+〔1﹣(1﹣0.5×)〕×|2﹣(﹣3)2|.107.108.﹣12008﹣[5×(﹣2)﹣(﹣4)2÷(﹣8)]109.110.;111.[2﹣(﹣3)2]×[(﹣1)2008﹣(1﹣0.5×)]112.113. 0﹣21116.﹣23÷×(﹣)2+(﹣0.8)×5×(﹣)117.﹣32+5×(﹣)﹣(﹣4)2÷(﹣8)118.;119..120.﹣16;﹣121.122.﹣0.252÷÷(﹣1)100+(1+2﹣3.75)×12 123. 2﹣3﹣5+(﹣3)25﹣(﹣+﹣)÷124.127. ﹣22+(﹣3)×[(﹣4)2+(﹣2)3]﹣(﹣3)2÷(﹣2)128.(﹣5)﹣(+3)+(﹣9)﹣(﹣7)+;129. 10﹣23+32﹣17﹣21+45;130.(﹣3)+(+2)﹣(+2)﹣(﹣7);131.﹣9.2﹣(7.1)﹣(﹣3)+6+(+2.9);132. 3.6+41.8﹣12﹣11﹣51;133..134. [212﹣(38+16﹣34)×24]÷5×(﹣1)2001 135.136.;137.()×(﹣36).138.(﹣20)+(+3)﹣(﹣5)﹣(+7);139.(+6)+(﹣5)﹣(﹣4)+(+2)+(﹣1)﹣(+1);140.﹣13×﹣0.34×+×(﹣13)﹣×0.34;141.(﹣)×(﹣0.25)×(﹣5)×(﹣4)3;142.(﹣3)3÷2×+4﹣2×(﹣);143.﹣16﹣(0.5﹣)÷×[﹣2﹣(﹣3)3]﹣|﹣0.52|.144.0﹣14﹣(﹣1)+(﹣1.95)3×0.5×0﹣|﹣5|+5.145..146.1+.147.;148..149.150. [53﹣4×(﹣5)2﹣(﹣1)10]÷(﹣24﹣24+24).151.﹣32+27÷(﹣3)2﹣(﹣)2×|﹣22|﹣(﹣1)2007 152.;153..79. [47﹣(18.75﹣1÷)×2]÷0.46156.(﹣105)×﹣178×6.67﹣7.67×(﹣178)157.﹣(﹣23)﹣(+59)+(﹣35)+|﹣5﹣32|;158. 1﹣[(﹣5)2×﹣0.8]÷2×(﹣1+).159.﹣÷×(﹣0.6)×+(﹣2)3160. 4﹣(﹣2)2﹣32÷(﹣1)2009+0×(﹣2)5.161.162.(﹣5)×(﹣0.75)﹣(﹣5)×0.125+(﹣5)×(﹣0.125).163.﹣20+(﹣18)﹣12+10;164.;165.;166.﹣2.5×17×(﹣4)×(﹣0.1);167. 33.1﹣10.7﹣(﹣22.9)﹣;168.(﹣36)÷4﹣5×(﹣1.2);169.;170..171.172..173..176. [﹣21×(﹣1)3+6÷×3﹣52]×.177.153.﹣32﹣50÷(﹣5)2﹣1;179..180. 0﹣3+(﹣)﹣(﹣22)﹣5÷(﹣);181. 10÷[﹣(﹣1+1)]×6;182. 18+32÷(﹣2)3﹣(﹣4)2×5;183.﹣7×(﹣)+19×(﹣)﹣5×(﹣).184. 8﹣2×(﹣3)2+[(﹣2)×3]2185.186. 3×(﹣4)+28÷(﹣7);187.﹣14+×[32﹣(﹣3)2];188. (﹣10)+8×(﹣3)2﹣(﹣4)×(﹣3).189.(﹣2)3﹣2×(﹣3)+|2﹣5|﹣(﹣1)2010 189. 48×(﹣+﹣)191. (+7)+(﹣8)﹣(+3)﹣(﹣4);192.﹣1﹣2÷(﹣)×(﹣3);193.﹣36×(﹣﹣);194.﹣13﹣(1﹣0.5)××[2﹣(﹣3)2];195.(﹣0.25)×1.25×(﹣4)×(﹣8);196.(﹣1)10×2+(﹣2)3÷4.197. ﹣(﹣3)2﹣[3+0.4×(﹣1)]÷(﹣2).198. ;199. ;200.;201. 3﹣(﹣2)×(﹣1)﹣8÷(﹣)2×|3+1|.202.﹣24÷42﹣(﹣2)3×(﹣0.5)2+(﹣)2×(﹣32)203.﹣32+×(﹣3)3÷(﹣1)25.204.93.﹣14﹣(1﹣)÷3×|3﹣(﹣3)2|;206. ﹣1100﹣(1﹣0.5)×[3﹣(﹣3)2].207.(﹣2)3﹣|﹣9|﹣()÷(﹣).208.﹣22+(﹣3)÷﹣(﹣3)2÷(﹣2)209.[15.25﹣13﹣(﹣14.75)]×(﹣0.125)÷122.()÷123.212.﹣12+[+8×(﹣3)]×0﹣(﹣5)2213. +6÷(﹣2)+(﹣4)×214.216.217.﹣9+5×(﹣6)﹣(﹣4)2÷(﹣8);218. .219.(﹣10)2﹣5×(﹣2×3)2+23×10.221. ﹣22﹣32÷[(﹣2)3﹣(﹣1)2]222.(+10)+(﹣11.5)+(﹣10)﹣(+4.5);223.(﹣81)÷×÷(﹣16);224.﹣32﹣[﹣5﹣0.2÷×(﹣2)2];225. 24×(﹣﹣)+(﹣)2÷(﹣).226..227.220.[(﹣3)2÷×﹣6]÷[﹣(﹣1)2006].229. ﹣14﹣(﹣2)3×5+0.25÷(﹣)2.230.(﹣20)+(+3)﹣(﹣5)﹣(+7);231. |﹣|+|﹣|+|﹣|﹣|﹣|;232.(﹣5)×6+(﹣125)÷(﹣5);233.+(﹣)﹣(﹣)+;234.(﹣﹣+)×4;235.﹣18÷(﹣3)2+5×(﹣)3﹣(﹣15)÷5.236..238. ﹣22﹣(1﹣×0.2)÷(﹣2)3174.(﹣2)2+(﹣1﹣3)÷(﹣)+|﹣|×(﹣24)241. (﹣1)2009+(﹣5)×|(﹣2)3+2|﹣(﹣4)2÷(﹣).242.(﹣÷.243.﹣4﹣28﹣(﹣29)+(﹣24)249.(﹣2)4×(﹣5)+[(﹣3)3+(﹣2)4×(﹣1)9] 250. (﹣)+(﹣);251. 5﹣(8﹣9);252.﹣9×0.375﹣9×0.625;253. 9×(﹣)÷9×(﹣);254.﹣72+2×(﹣3)2﹣(﹣6)÷(﹣)2;255.﹣32﹣[32﹣(﹣2)2]×[2﹣(1﹣)].256.﹣16+23+(﹣17)﹣(﹣7);257.(﹣)+(﹣)﹣(﹣)﹣(+)﹣(﹣)258.(﹣+﹣)×(﹣16)259.﹣14+(1﹣0.5)××〔2﹣(﹣3)2〕260.﹣20+(﹣14)﹣(﹣18)+|﹣13|;261. ﹣32×[(1﹣7)÷6]3+75÷(﹣5)2;262.﹣3×23﹣(﹣3×2)2+(﹣23×3);263.÷(﹣2)﹣÷(﹣1)﹣0.5÷2×;264. (﹣10)2+[(﹣2)2﹣(3+32)×2];188. [÷(﹣)+0.4×(﹣)2]×(﹣1)5.189.(1﹣+)×(﹣48)267.﹣12﹣(﹣10)÷×2+(﹣4)3268. |﹣|÷|﹣|﹣×(﹣4)2269. ﹣1﹣[2﹣(1﹣×0.5)]×[32﹣(﹣2)2] 270271.274.275.﹣32﹣[(﹣2)2﹣(1﹣×)÷(﹣2)].276.159.(﹣8)÷[(﹣)×(﹣)÷(﹣2)];160.(﹣36)×(﹣+﹣);285.(﹣)2÷(﹣)2÷|﹣6|2×(﹣)2 286. |﹣1|+|﹣|+|﹣|+…+|| 287.20﹣3×[23﹣2×(﹣3)]﹣(﹣1)2007 288. 25﹣3×[32+2×(﹣3)]+5;289..290.×(﹣1)+×(﹣2)+×(﹣50)﹣×(﹣20)291. .292. ﹣23﹣(﹣3)2×(﹣1)2﹣(﹣1)3293.294. (﹣3)2÷3﹣12×(﹣+﹣)295. (+﹣)×12+12÷(+);296. 5÷(﹣2﹣2)×6.297.(﹣++)×(﹣12);298.(﹣2)2+(﹣2)÷(﹣)+|﹣|×(﹣24).299.(+﹣)÷(﹣)300.﹣42÷(﹣2)2+12÷(﹣)×3301.﹣0.52+(﹣)2﹣|﹣22﹣4|﹣(﹣1)3×()3÷(﹣)4302. {[3÷(﹣)+0.4×(﹣)2]÷(﹣)﹣20}×(﹣1)2005303.(﹣32)﹣[5﹣(+3)+(﹣5)+(﹣2)] 304. 25×﹣(﹣25)×+25×(﹣)305.306. (﹣2)2﹣|﹣7|+3﹣2×(﹣);307. ﹣36×(﹣﹣);308. ﹣16﹣(1﹣0.5)××[2﹣(﹣3)2];309.(﹣3)2008×﹣12008﹣(﹣1)2008.310.311. 0.25×(﹣2)3﹣[4÷(﹣)2+1].;312.313. .314. ..315.316. 5×(﹣6)﹣(﹣4)2÷(﹣8);317. (3.9﹣1.45)2÷(﹣0.125)+49.34;318. (﹣1)5﹣[﹣3×(﹣)2﹣(﹣1)÷(﹣2)2].319.(﹣3)3﹣[(2﹣1.5)3÷2×(﹣8)2+×(﹣)2﹣()3].320. 20+(﹣12)﹣(﹣18)321. 23×10+(﹣2)×(﹣5)2322.323.324.325..326.﹣0.5+(﹣15)﹣(﹣17)﹣|﹣12|;327.[﹣22+(﹣2)3]﹣(﹣2)×(﹣3);328.()÷();329.;330.﹣14+[1﹣(1﹣0.5×2)]÷|2﹣(﹣3)2|;331. [(﹣3)2﹣22﹣(﹣5)2]××(﹣2)4.332. 4×(﹣3)2﹣13+(﹣)﹣|﹣43|;333. ﹣32﹣[(﹣2)2﹣(1﹣×)÷(﹣2)].334. (﹣11)×+(+5)×+(﹣137)÷5+(+113)÷5;335. ﹣8﹣[﹣7+(1﹣×0.6)÷(﹣3)].;336.337.﹣(﹣1)2005+4÷(﹣2)﹣|﹣12|.338. (﹣4)2×(﹣2)÷[(﹣2)3﹣(﹣4)].339.340. ;341. ﹣(﹣0.75)+;342. (﹣1)3×103×;343. 0÷.344.345. ﹣0.252÷+(+﹣3.75)×24347.348.;349.(﹣1)2006+;350.;351.﹣4.037×12+7.537×12﹣36×().有理数混合350题参考答案(供参考):1.原式=1×2+(﹣8)÷4=2+(﹣2)=0.2.原式=[50﹣(﹣+)×36]÷49=[50﹣(×36﹣×36+×36)]÷49=[50﹣(28﹣33+6)]÷49=(50﹣1)÷49=49÷49=1.3.原式=16×=12+(﹣5)=74.原式=﹣1﹣×(2﹣9)×(﹣8)=﹣1﹣=﹣.5.原式=﹣8+(﹣3)×18﹣9÷(﹣2)=﹣8﹣54﹣9÷(﹣2)=﹣62+4.5=﹣57.5.6. 原式=﹣4﹣÷(﹣8)=﹣4+=﹣37. (﹣1)2+[20﹣(﹣2)3]÷(﹣4)=1+[20﹣(﹣8)]÷(﹣4)=1+28×(﹣)=1﹣7=﹣6.8.原式=[1﹣(1﹣)]×[2﹣9]=[1﹣]×(﹣7)=×(﹣7)=﹣.9.原式=×(﹣)﹣×(﹣)﹣2=﹣+﹣2=﹣2=﹣1.10.原式=(+﹣)×(﹣48)=﹣(×48+×48﹣×48)=﹣(8+36﹣4)=﹣40.11.原式=1.25×(﹣8)﹣[(﹣4)÷()+1]﹣1=﹣10﹣[(﹣4)×+1]﹣1=﹣10+8﹣1=﹣3.12.原式=[18×﹣18×]﹣[(﹣24)×+(﹣24)×]=(9﹣6)﹣[(﹣8)+(﹣3)]=3﹣(﹣11)=14.13.原式=﹣×[﹣9×﹣8]+1=﹣×(﹣12)+1=18+1=19. 14.原式=﹣3+6﹣8+9=4; 15. 原式=﹣9﹣9×(﹣2)﹣[(﹣2)×1]²=﹣9+18-4=516.原式=﹣10×(﹣2)×5×1=100.17.原式=﹣3﹣[﹣5+(1﹣)×(﹣)=﹣3﹣[﹣5﹣]=﹣3+5+=18. ﹣14﹣(1﹣)÷3×|3﹣(﹣3)2|=﹣1﹣÷3×|3﹣9|=﹣1﹣××6=﹣1﹣1=﹣2.19.原式=4+[6+6]÷4﹣5××=4+3﹣4=3.20.原式=21.原式=﹣9÷3+(﹣)×12﹣1=﹣6;22.原式===﹣.149. 原式=﹣+﹣=3﹣6=﹣3; 24.原式=﹣×﹣8×=﹣2﹣4=﹣6; 25.原式=×(﹣36)=﹣1; 26.原式=﹣9×﹣[25×(﹣)+60×﹣2]=﹣3﹣(﹣15+15﹣2)=﹣3+2=﹣127.原式=8﹣8÷(﹣4)×(﹣2)+0=8﹣4=4.28.原式=[﹣×4×6]÷5×(﹣1)=[﹣(﹣5)]÷5×(﹣1)=. 29. 原式=﹣++﹣=﹣++﹣=﹣2; 30.原式=﹣×(﹣36)=718; 31.原式={1﹣[﹣(﹣)]×16}÷[﹣﹣﹣]=[1﹣(+)×16]÷[﹣﹣﹣]=[1﹣1-41]÷(﹣2) =-41×(﹣)=81.32.原式=;33.原式=﹣9+9+25×()﹣0.09÷0.9=﹣9+9+(﹣20)﹣0.1=﹣20﹣0.1=﹣20.134.原式=﹣1000﹣(﹣)×﹣100=﹣1099.35.原式=×+×﹣×=×(+﹣)=×()=.36. 原式=﹣4+16×﹣0.28=﹣4+2﹣28=﹣3037.原式=(﹣+)×18+(3.95﹣1.45)×6=17.38.原式=. 39.原式=﹣16×(﹣2)÷(﹣1)+(+﹣)×24=﹣32+×24+×24﹣×24=﹣32+27+32﹣18=9.40. [(﹣1)2005+(﹣﹣)×24]÷|﹣32+5|=[﹣1+×24]÷|﹣4|=4÷4=1 41.原式==××(﹣1)=﹣. 42. 原式=﹣1﹣[﹣2+×(﹣3)]=﹣1﹣[﹣2﹣2]=﹣1+4=3.43.原式=21×23×32×34×43×45×54×56×65×67=44.=﹣﹣8×=﹣﹣=﹣5 45. 原式=﹣5﹣﹣(1﹣×)×9=﹣5﹣(1﹣)×9=﹣5﹣6=﹣11. 46. 原式=﹣10+8÷4﹣12=﹣10+2﹣12=﹣20.47.原式=(﹣﹣)×(﹣)=(﹣)×(﹣)=3. 48. 原式=3+(﹣4)×8÷4÷2﹣9÷9×(﹣1)=3﹣4+1=0.49. 原式=64﹣{81﹣[﹣+×(﹣4)]÷(﹣3)}=64﹣{81﹣3}=64﹣77=﹣13.50.原式=×(﹣)﹣×(﹣)﹣××=﹣+﹣=.51. 原式=(1315﹣15+4﹣14)×(﹣)=(1315﹣25)×(﹣)=41310;52. 原式=﹣10+32﹣12=10;53. 原式=﹣÷(﹣)+()=﹣=;54. 原式=﹣3×﹣4×﹣8×=﹣﹣18=﹣20;55.原式=﹣8+×+8=﹣8++8=.原式=﹣++××1=﹣++=;56.原式=﹣27×4﹣4×()=﹣=0;57.58. 原式=﹣16+4﹣3×(﹣1)=﹣12+3=﹣9.59. 原式=1.3+0=1.3;60. 原式=﹣13+12﹣7+38=﹣20+50=30;原式=[﹣3+3.5]+[﹣2﹣]=0﹣3=﹣3;61.62. 原式=163﹣[63﹣259﹣41]=163+237=400.原式=﹣(﹣0.04+0.04)+(8﹣9×1)×=﹣1×=﹣;63.原式=(﹣3×﹣4×+1×)÷|2×﹣|×2=(﹣﹣64.+)÷||×2=﹣×4×2=﹣4;原式=×16×1﹣()=1﹣(﹣9+56 65.﹣90)=1+9﹣56+90=44.66.原式=﹣4+4+4﹣8﹣9=﹣13.67.原式=22﹣4﹣2+4=20;68.原式=(﹣8)++9﹣=1;69. 原式=(+﹣)×(﹣24)﹣8=(﹣32)﹣3+66﹣8=23;70. 原式=(﹣)÷(﹣﹣)=1;71. 原式=(﹣9)××(﹣)×(﹣4)=﹣;72. 原式=(﹣1)﹣×(2﹣9)=.73.原式=﹣÷(﹣+)=﹣÷=﹣74.原式=(﹣2)÷(×)×+5=(﹣2)÷×+5=﹣2×32×+5=﹣48+5=﹣43.75.原式=(﹣2)×9×(﹣1)﹣12÷[3﹣1]=18﹣12÷2=18﹣6=12.76.原式=﹣1×[﹣9×﹣2]×(﹣)=﹣1×(﹣4﹣2)×(﹣)=﹣6×=﹣9.77. 原式=﹣9﹣9+9×1=﹣9;78. 原式=﹣24×+(﹣8)=﹣1﹣8=﹣9.79.原式=﹣8×8﹣8×+64=﹣1.80. 原式=×36﹣×36+×36=28﹣30+27=25.81. 原式=﹣5﹣4=﹣9.82. 原式=27×4﹣(﹣27)×(﹣8)=27×(4﹣8)=﹣108.83. 原式=(1﹣)×(2﹣9)=×(﹣7)=.84.=1+2(﹣+﹣…﹣)=1+2(﹣)=.85.原式=3××××=1.86.原式=(﹣1+3)+(﹣5+7)+(﹣9+11)+…+(﹣1997+1999)=2××=1000;87.原式=(11﹣13)+(12﹣14)+(15﹣17)+…+(95﹣97)+(96﹣98)+(99+100)=﹣2×+199=﹣88+199=111;88.原式=(1990+1)(2000﹣1)﹣1990×2000=1990×2000﹣1990+2000﹣1﹣1990×2000=10﹣1=9;89.原式=4726342+4726352﹣(472634﹣1)×(472634+1)﹣(472635﹣1)(472635+1)=4726342+4726352﹣4726342+1﹣4726352+1=2;90.原式=×(1﹣+﹣+…+﹣)=×(1﹣)=×=;91.根据题意可知第n项就是a n=1+3(n﹣1),即有244=1+3(n﹣1),∴n=82,∴一共有82个数,又∵1+244=245,4+241=245…,∴原式=(1+244)×82÷2=10045;92. 设原式=m,那么3m=3+m﹣,∴2m=3﹣,∴m=;93. 原式=﹣+﹣+﹣=(1+)﹣(+)+(+)﹣(+)+(+)﹣(+) =1+﹣﹣+…﹣﹣=1﹣=.94.原式=﹣4﹣(﹣1)×(﹣)×6+9=﹣4﹣1+9=4.95. 原式=+﹣﹣=﹣=96. 原式=﹣+﹣(﹣8﹣1)=﹣+﹣×(﹣9)=+3=97.原式=5×+7×﹣12×=(5+7﹣12)×=0.98. 原式=﹣5﹣4÷[﹣]÷(﹣4)=﹣5﹣4÷(﹣2)÷(﹣4)=﹣5﹣(﹣2)÷(﹣4)=﹣5﹣=﹣5.99.原式=﹣3+2﹣2+7=(﹣3﹣2)+(2+7)=﹣6+10=4;100.原式=﹣8××=﹣8;101.原式=(﹣)×(﹣36)+×(﹣36)﹣×(﹣36)﹣(﹣)×(﹣36)=21﹣27+30﹣10=14;102.原式=÷(﹣)﹣×(﹣)=﹣1+1=0;103.原式=﹣1﹣0.5××[2﹣9]=﹣1+=.104.(2﹣3+1)÷(﹣1)=(﹣+)×(﹣)=×(﹣)+(﹣)×(﹣)+×(﹣)=﹣2+3﹣. 105.∵,∴原式=1﹣+﹣+﹣+…+﹣=1﹣=. 106.原式=﹣1+[1﹣]×7=﹣1+=107.原式=[1+(﹣)×16]÷=[1+(﹣)×16]×=﹣7×=108.原式=﹣1﹣[5×(﹣2)﹣16÷(﹣8)]=﹣1﹣[﹣10+2]=﹣1+8=7.109.原式=-1-[2-(1-61)]×6=-1-7=-8110. 原式==30.111.原式=(2﹣9)×[1﹣(1﹣)]=﹣7×(1﹣)=﹣7×=﹣.112.原式=﹣16×(﹣4)+(5﹣5)﹣2+(﹣1)=64+0﹣2﹣1=61.113.原式===;114.==27+20﹣21=26;115.=(﹣1﹣4)×===.116.原式=﹣8××+(﹣)×5×(﹣)=﹣8+1=﹣7.117.﹣32+5×(﹣)﹣(﹣4)2÷(﹣8)=﹣9﹣8﹣16÷(﹣8)=﹣9﹣8+2=﹣15.118. 原式=(﹣9﹣4+18)÷5=(+5)÷5=+5÷5==;119. 原式=﹣8×1﹣12÷(﹣)=﹣8+48=40120. 原式=﹣16×+×(﹣)=﹣6﹣=﹣;121. 原式=﹣16×(﹣4)+[5﹣5]﹣2﹣1=64﹣2﹣1=61.122.原式=﹣×(﹣8)×1+×12+×12﹣×12=++28﹣45=17+28﹣45=0.114.原式=﹣×××=;124. 原式=﹣24×1﹣24×(﹣)﹣24×﹣24×(﹣)=﹣24+18﹣4+15=5.125. 原式=(=﹣1﹣9=﹣10;126 原式=32﹣(﹣8+4﹣2)=32+8﹣4+2=38;127. 原式=﹣4+(﹣3)×(16﹣8)+9÷2=﹣4﹣24+4.5=﹣23.5128.原式=﹣5﹣3﹣9+7+=﹣9;129.原式=26;130.原式=﹣+﹣+=﹣6+10=4;131.原式=﹣9.2﹣7.1+3+6.2+2.9=﹣4.2=﹣4;132.原式=3.6+41.8﹣12.6﹣51.8=﹣19;133.原式=﹣+﹣﹣﹣﹣=﹣2=.134. 原式=(212﹣480)÷5×(﹣1)=268÷5=.135.原式=﹣16+16﹣1××=﹣.136. =×(﹣8)﹣[4×+1]+1=﹣2﹣[9+1]+1=﹣2﹣10+1=﹣12+1=﹣11;137.()×(﹣36)=×(﹣36)﹣×(﹣36)+×(﹣36)﹣×(﹣36)=﹣28+30﹣27+14。