2019年高考数学理科数学 导数及其应用分类汇编
- 格式:docx
- 大小:788.53 KB
- 文档页数:15
专题03 导数及其应用1.【2019年高考全国Ⅲ卷理数】已知曲线e ln x y a x x =+在点(1,a e )处的切线方程为y =2x +b ,则 A .e 1a b ==-, B .a=e ,b =1 C .1e 1a b -==,D .1e a -=,1b =-【答案】D【解析】∵e ln 1,x y a x '=++∴切线的斜率1|e 12x k y a ='==+=,1e a -∴=, 将(1,1)代入2y x b =+,得21,1b b +==-. 故选D .【名师点睛】本题求解的关键是利用导数的几何意义和点在曲线上得到含有a ,b 的等式,从而求解,属于常考题型.2.【2019年高考天津理数】已知a ∈R ,设函数222,1,()ln ,1.x ax a x f x x a x x ⎧-+≤=⎨->⎩若关于x 的不等式()0f x ≥在R 上恒成立,则a 的取值范围为 A .[]0,1 B .[]0,2 C .[]0,eD .[]1,e【答案】C【解析】当1x =时,(1)12210f a a =-+=>恒成立;当1x <时,22()22021x f x x ax a a x =-+≥⇔≥-恒成立,令2()1x g x x =-,则222(11)(1)2(1)1()111x x x x g x x x x -----+=-=-=----112201x x ⎛⎫⎛⎫=--+-≤-= ⎪ ⎪ ⎪-⎝⎭⎝⎭,当111x x-=-,即0x =时取等号, ∴max 2()0a g x ≥=,则0a >.当1x >时,()ln 0f x x a x =-≥,即ln xa x≤恒成立, 令()ln xh x x=,则2ln 1()(ln )x h x x -'=,当e x >时,()0h x '>,函数()h x 单调递增, 当0e x <<时,()0h x '<,函数()h x 单调递减, 则e x =时,()h x 取得最小值(e)e h =, ∴min ()e a h x ≤=,综上可知,a 的取值范围是[0,e]. 故选C.【名师点睛】本题考查分段函数的最值问题,分别利用基本不等式和求导的方法研究函数的最值,然后解决恒成立问题.3.(2019浙江)已知,a b ∈R ,函数32,0()11(1),032x x f x x a x ax x <⎧⎪=⎨-++≥⎪⎩.若函数()y f x ax b =--恰有3个零点,则 A .a <–1,b <0 B .a <–1,b >0 C .a >–1,b <0 D .a >–1,b >0【答案】C【解析】当x <0时,y =f (x )﹣ax ﹣b =x ﹣ax ﹣b =(1﹣a )x ﹣b =0,得x =b1−a , 则y =f (x )﹣ax ﹣b 最多有一个零点;当x ≥0时,y =f (x )﹣ax ﹣b =13x 3−12(a +1)x 2+ax ﹣ax ﹣b =13x 3−12(a +1)x 2﹣b ,2(1)y x a x =+-',当a +1≤0,即a ≤﹣1时,y ′≥0,y =f (x )﹣ax ﹣b 在[0,+∞)上单调递增, 则y =f (x )﹣ax ﹣b 最多有一个零点,不合题意;当a +1>0,即a >﹣1时,令y ′>0得x ∈(a +1,+∞),此时函数单调递增,令y ′<0得x ∈[0,a +1),此时函数单调递减,则函数最多有2个零点.根据题意,函数y =f (x )﹣ax ﹣b 恰有3个零点⇔函数y =f (x )﹣ax ﹣b 在(﹣∞,0)上有一个零点,在[0,+∞)上有2个零点, 如图:∴b1−a <0且{−b >013(a +1)3−12(a +1)(a +1)2−b <0, 解得b <0,1﹣a >0,b >−16(a +1)3,则a >–1,b <0. 故选C .【名师点睛】本题考查函数与方程,导数的应用.当x <0时,y =f (x )﹣ax ﹣b =x ﹣ax ﹣b =(1﹣a )x ﹣b 最多有一个零点;当x ≥0时,y =f (x )﹣ax ﹣b =13x 3−12(a +1)x 2﹣b ,利用导数研究函数的单调性,根据单调性画出函数的草图,从而结合题意可列不等式组求解.4.【2019年高考全国Ⅰ卷理数】曲线23()e xy x x =+在点(0)0,处的切线方程为____________. 【答案】30x y -=【解析】223(21)e 3()e 3(31)e ,x x x y x x x x x '=+++=++ 所以切线的斜率0|3x k y ='==,则曲线23()e x y x x =+在点(0,0)处的切线方程为3y x =,即30x y -=.【名师点睛】准确求导数是进一步计算的基础,本题易因为导数的运算法则掌握不熟,而导致计算错误.求导要“慢”,计算要准,是解答此类问题的基本要求.5.【2019年高考江苏】在平面直角坐标系xOy 中,P 是曲线4(0)y x x x=+>上的一个动点,则点P 到直线0x y +=的距离的最小值是 ▲ . 【答案】4 【解析】由4(0)y x x x =+>,得241y x'=-, 设斜率为1-的直线与曲线4(0)y x x x=+>切于0004(,)x x x +,由20411x -=-得0x =0x =, ∴曲线4(0)y x x x=+>上,点P 到直线0x y +=4=.故答案为4.【名师点睛】本题考查曲线上任意一点到已知直线的最小距离,渗透了直观想象和数学运算素养.采取导数法,利用数形结合和转化与化归思想解题.6.【2019年高考江苏】在平面直角坐标系xOy 中,点A 在曲线y =ln x 上,且该曲线在点A 处的切线经过点(-e ,-1)(e 为自然对数的底数),则点A 的坐标是 ▲ . 【答案】(e, 1)【解析】设出切点坐标,得到切线方程,然后求解方程得到横坐标的值,可得切点坐标. 设点()00,A x y ,则00ln y x =. 又1y x'=, 当0x x =时,01y x '=, 则曲线ln y x =在点A 处的切线为0001()y y x x x -=-, 即00ln 1xy x x -=-, 将点()e,1--代入,得00e1ln 1x x ---=-,即00ln e x x =,考察函数()ln H x x x =,当()0,1x ∈时,()0H x <,当()1,x ∈+∞时,()0H x >, 且()ln 1H x x '=+,当1x >时,()()0,H x H x '>单调递增, 注意到()e e H =,故00ln e x x =存在唯一的实数根0e x =, 此时01y =, 故点A 的坐标为()e,1.【名师点睛】导数运算及切线的理解应注意的问题:一是利用公式求导时要特别注意除法公式中分子的符号,防止与乘法公式混淆.二是直线与曲线公共点的个数不是切线的本质,直线与曲线只有一个公共点,直线不一定是曲线的切线,同样,直线是曲线的切线,则直线与曲线可能有两个或两个以上的公共点.7.【2019年高考北京理数】设函数()e e xxf x a -=+(a 为常数).若f (x )为奇函数,则a =________;若f (x )是R 上的增函数,则a 的取值范围是___________. 【答案】(]1,0--∞【解析】首先由奇函数的定义得到关于a 的恒等式,据此可得a 的值,然后利用()0f x '≥可得a 的取值范围.若函数()e e xxf x a -=+为奇函数,则()(),f x f x -=-即()ee e e xx x x a a --+=-+,即()()1e e0x xa -++=对任意的x 恒成立, 则10a +=,得1a =-.若函数()e e xxf x a -=+是R 上的增函数,则() e e 0x x f x a -'=-≥在R 上恒成立,即2e x a ≤在R 上恒成立, 又2e 0x >,则0a ≤,即实数a 的取值范围是(],0-∞.【名师点睛】本题考查函数的奇偶性、单调性、利用单调性确定参数的范围.解答过程中,需利用转化与化归思想,转化成恒成立问题.注重重点知识、基础知识、基本运算能力的考查.8.【2019年高考全国Ⅰ卷理数】已知函数()sin ln(1)f x x x =-+,()f x '为()f x 的导数.证明:(1)()f x '在区间(1,)2π-存在唯一极大值点; (2)()f x 有且仅有2个零点. 【答案】(1)见解析;(2)见解析.【解析】(1)设()()g x f 'x =,则1()cos 1g x x x =-+,21sin ())(1x 'x g x =-++. 当1,2x π⎛⎫∈- ⎪⎝⎭时,()g'x 单调递减,而(0)0,()02g'g'π><,可得()g'x 在1,2π⎛⎫- ⎪⎝⎭有唯一零点,设为α.则当(1,)x α∈-时,()0g'x >;当,2x α⎛π⎫∈ ⎪⎝⎭时,()0g'x <. 所以()g x 在(1,)α-单调递增,在,2απ⎛⎫ ⎪⎝⎭单调递减,故()g x 在1,2π⎛⎫- ⎪⎝⎭存在唯一极大值点,即()f 'x 在1,2π⎛⎫- ⎪⎝⎭存在唯一极大值点. (2)()f x 的定义域为(1,)-+∞.(i )当(1,0]x ∈-时,由(1)知,()f 'x 在(1,0)-单调递增,而(0)0f '=,所以当(1,0)x ∈-时,()0f 'x <,故()f x 在(1,0)-单调递减,又(0)=0f ,从而0x =是()f x 在(1,0]-的唯一零点.(ii )当0,2x ⎛π⎤∈ ⎥⎝⎦时,由(1)知,()f 'x 在(0,)α单调递增,在,2απ⎛⎫ ⎪⎝⎭单调递减,而(0)=0f ',02f 'π⎛⎫< ⎪⎝⎭,所以存在,2βαπ⎛⎫∈ ⎪⎝⎭,使得()0f 'β=,且当(0,)x β∈时,()0f 'x >;当,2x βπ⎛⎫∈ ⎪⎝⎭时,()0f 'x <.故()f x 在(0,)β单调递增,在,2βπ⎛⎫⎪⎝⎭单调递减.又(0)=0f ,1ln 1022f ππ⎛⎫⎛⎫=-+> ⎪ ⎪⎝⎭⎝⎭,所以当0,2x ⎛π⎤∈ ⎥⎝⎦时,()0f x >.从而,()f x 在0,2⎛⎤⎥⎝⎦π没有零点. (iii )当,2x π⎛⎤∈π⎥⎝⎦时,()0f 'x <,所以()f x 在,2π⎛⎫π ⎪⎝⎭单调递减.而02f π⎛⎫> ⎪⎝⎭,()0f π<,所以()f x 在,2π⎛⎤π⎥⎝⎦有唯一零点. (iv )当(,)x ∈π+∞时,ln(1)1x +>,所以()f x <0,从而()f x 在(,)π+∞没有零点. 综上,()f x 有且仅有2个零点.【名师点睛】本题考查导数与函数极值之间的关系、利用导数解决函数零点个数的问题.解决零点问题的关键一方面是利用零点存在性定理或最值点来说明存在零点,另一方面是利用函数的单调性说明在区间内零点的唯一性,二者缺一不可.9.【2019年高考全国Ⅱ卷理数】已知函数()11ln x f x x x -=-+.(1)讨论f (x )的单调性,并证明f (x )有且仅有两个零点;(2)设x 0是f (x )的一个零点,证明曲线y =ln x 在点A (x 0,ln x 0)处的切线也是曲线e x y =的切线. 【答案】(1)函数()f x 在(0,1)和(1,)+∞上是单调增函数,证明见解析; (2)见解析.【解析】(1)f (x )的定义域为(0,1)(1,+∞).因为212()0(1)f 'x x x =+>-,所以()f x 在(0,1),(1,+∞)单调递增. 因为f (e )=e 110e 1+-<-,22222e 1e 3(e )20e 1e 1f +-=-=>--,所以f (x )在(1,+∞)有唯一零点x 1,即f (x 1)=0.又1101x <<,1111111()ln ()01x f x f x x x +=-+=-=-,故f (x )在(0,1)有唯一零点11x .综上,f (x )有且仅有两个零点. (2)因为0ln 01e x x -=,故点B (–ln x 0,01x )在曲线y =e x 上.由题设知0()0f x =,即0001ln 1x x x +=-,故直线AB 的斜率0000000000111ln 111ln 1x x x x x k x x x x x x +---===+-----. 曲线y =e x 在点001(ln ,)B x x -处切线的斜率是01x ,曲线ln y x =在点00(,ln )A x x 处切线的斜率也是01x , 所以曲线ln y x =在点00(,ln )A x x 处的切线也是曲线y =e x 的切线.【名师点睛】本题考查了利用导数求已知函数的单调性、考查了曲线的切线方程,考查了数学运算能力. 10.【2019年高考全国Ⅲ卷理数】已知函数32()2f x x ax b =-+.(1)讨论()f x 的单调性;(2)是否存在,a b ,使得()f x 在区间[0,1]的最小值为1-且最大值为1若存在,求出,a b 的所有值;若不存在,说明理由. 【答案】(1)见解析;(2)01a b =⎧⎨=-⎩或41a b =⎧⎨=⎩. 【解析】(1)2()622(3)f x x ax x x a '=-=-. 令()0f x '=,得x =0或3ax =. 若a >0,则当(,0),3a x ⎛⎫∈-∞+∞ ⎪⎝⎭时,()0f x '>;当0,3a x ⎛⎫∈ ⎪⎝⎭时,()0f x '<.故()f x 在(,0),,3a ⎛⎫-∞+∞ ⎪⎝⎭单调递增,在0,3a ⎛⎫⎪⎝⎭单调递减;若a =0,()f x 在(,)-∞+∞单调递增;若a <0,则当,(0,)3a x ⎛⎫∈-∞+∞ ⎪⎝⎭时,()0f x '>;当,03a x ⎛⎫∈ ⎪⎝⎭时,()0f x '<.故()f x 在,,(0,)3a ⎛⎫-∞+∞ ⎪⎝⎭单调递增,在,03a ⎛⎫ ⎪⎝⎭单调递减.(2)满足题设条件的a ,b 存在.(i )当a ≤0时,由(1)知,()f x 在[0,1]单调递增,所以()f x 在区间[0,l]的最小值为(0)=f b ,最大值为(1)2f a b =-+.此时a ,b 满足题设条件当且仅当1b =-,21a b -+=,即a =0,1b =-.(ii )当a ≥3时,由(1)知,()f x 在[0,1]单调递减,所以()f x 在区间[0,1]的最大值为(0)=f b ,最小值为(1)2f a b =-+.此时a ,b 满足题设条件当且仅当21a b -+=-,b =1,即a =4,b =1.(iii )当0<a <3时,由(1)知,()f x 在[0,1]的最小值为3327a a f b ⎛⎫=-+ ⎪⎝⎭,最大值为b 或2a b -+.若3127a b -+=-,b =1,则a =0<a <3矛盾.若3127a b -+=-,21a b -+=,则a =a =-a =0,与0<a <3矛盾. 综上,当且仅当a =0,1b =-或a =4,b =1时,()f x 在[0,1]的最小值为-1,最大值为1.【名师点睛】这是一道常规的函数导数和不等式的综合题,题目难度比往年降低了不少,考查函数的单调性、最大值、最小值这种基本量的计算. 11.【2019年高考北京理数】已知函数321()4f x x x x =-+. (Ⅰ)求曲线()y f x =的斜率为1的切线方程; (Ⅱ)当[2,4]x ∈-时,求证:6()x f x x -≤≤;(Ⅲ)设()|()()|()F x f x x a a =-+∈R ,记()F x 在区间[2,4]-上的最大值为M (a ).当M (a )最小时,求a 的值.【答案】(Ⅰ)y x =与6427y x =-;(Ⅱ)见解析;(Ⅲ)3a =-. 【解析】(Ⅰ)由321()4f x x x x =-+得23()214f x x x '=-+.令()1f x '=,即232114x x -+=,得0x =或83x =.又(0)0f =,88()327f =,所以曲线()y f x =的斜率为1的切线方程是y x =与88273y x -=-, 即y x =与6427y x =-.(Ⅱ)令()(),[2,4]g x f x x x =-∈-. 由321()4g x x x =-得23()24g'x x x =-.令()0g'x =得0x =或83x =. (),()g'x g x 的情况如下:所以()g x 的最小值为6-,最大值为0. 故6()0g x -≤≤,即6()x f x x -≤≤. (Ⅲ)由(Ⅱ)知,当3a <-时,()(0)|(0)|3M F g a a a ≥=-=->; 当3a >-时,()(2)|(2)|63M F a g a a ≥-=--=+>; 当3a =-时,()3M a =. 综上,当()M a 最小时,3a =-.【名师点睛】本题主要考查利用导函数研究函数的切线方程,利用导函数证明不等式,分类讨论的数学思想等知识,意在考查学生的转化能力和计算求解能力. 12.【2019年高考天津理数】设函数()e cos ,()xf x xg x =为()f x 的导函数.(Ⅰ)求()f x 的单调区间;(Ⅱ)当,42x ππ⎡⎤∈⎢⎥⎣⎦时,证明()()02f x g x x π⎛⎫+-≥ ⎪⎝⎭;(Ⅲ)设n x 为函数()()1u x f x =-在区间2,242n n ππ⎛⎫π+π+ ⎪⎝⎭内的零点,其中n ∈N ,证明20022sin c s e o n n n x x x -πππ+-<-. 【答案】(Ⅰ)()f x 的单调递增区间为3ππ2π,2π(),()44k k k f x ⎡⎤-+∈⎢⎥⎣⎦Z 的单调递减区间为π5π2π,2π()44k k k ⎡⎤++∈⎢⎥⎣⎦Z .(Ⅱ)见解析;(Ⅲ)见解析. 【解析】(Ⅰ)由已知,有()e (cos sin )x f 'x x x =-.因此,当52,244x k k ππ⎛⎫∈π+π+ ⎪⎝⎭()k ∈Z 时,有sin cos x x >,得()0f 'x <,则()f x 单调递减;当32,244x k k ππ⎛⎫∈π-π+ ⎪⎝⎭()k ∈Z 时,有sin cos x x <,得()0f 'x >,则()f x 单调递增.所以,()f x 的单调递增区间为32,2(),()44k k k f x ππ⎡⎤π-π+∈⎢⎥⎣⎦Z 的单调递减区间为52,2()44k k k ππ⎡⎤π+π+∈⎢⎥⎣⎦Z . (Ⅱ)证明:记()()()2h x f x g x x π⎛⎫=+-⎪⎝⎭.依题意及(Ⅰ),有()e (cos sin )x g x x x =-,从而()2e sin x g'x x =-.当,42x ππ⎛⎫∈ ⎪⎝⎭时,0()g'x <,故()()()()(1)()022h'x f 'x g'x x g x g'x x ππ⎛⎫⎛⎫=+-+-=-< ⎪ ⎪⎝⎭⎝⎭.因此,()h x 在区间,42ππ⎡⎤⎢⎥⎣⎦上单调递减,进而()022h x h f ππ⎛⎫⎛⎫≥== ⎪ ⎪⎝⎭⎝⎭. 所以,当,42x ππ⎡⎤∈⎢⎥⎣⎦时,()()02f x g x x π⎛⎫+-≥ ⎪⎝⎭.(Ⅲ)证明:依题意,()()10n n u x f x =-=,即cos e 1n x n x =.记2n n y x n =-π,则,42n y ππ⎛⎫∈ ⎪⎝⎭,且()()()22e cos ecos 2e n n yx n n n n n f y y x n n π--π==-π=∈N .由()()20e1n n f y f y -π==≤及(Ⅰ),得0n y y ≥.由(Ⅱ)知,当,42x ππ⎛⎫∈ ⎪⎝⎭时,()0g'x <,所以()g x 在,42ππ⎡⎤⎢⎥⎣⎦上为减函数,因此()()004n g y g y g π⎛⎫≤<= ⎪⎝⎭.又由(Ⅱ)知,()()02n n n f y g y y π⎛⎫+-≥ ⎪⎝⎭,故()()()()()022*******2sin cos sin c e e e e os e n n n n n n y n n f y y g y g y g y y y x x -π-π-π-ππ--=-≤=--≤<. 所以,20022sin c s e o n n n x x x -πππ+-<-.【名师点睛】本小题主要考查导数的运算、不等式证明、运用导数研究函数的性质等基础知识和方法.考查函数思想和化归与转化思想.考查抽象概括能力、综合分析问题和解决问题的能力. 13.【2019年高考浙江】已知实数0a ≠,设函数()=ln 0.f x a x x >(1)当34a =-时,求函数()f x 的单调区间; (2)对任意21[,)e x ∈+∞均有()2f x a≤ 求a 的取值范围. 注:e=…为自然对数的底数.【答案】(1)()f x 的单调递增区间是()3,+∞,单调递减区间是()0,3;(2)0,4⎛ ⎝⎦. 【解析】(1)当34a =-时,3()ln 04f x x x =-+>.3()4f 'x x =-+=所以,函数()f x 的单调递减区间为(0,3),单调递增区间为(3,+∞).(2)由1(1)2f a ≤,得0a <≤.当0a <≤()f x ≤2ln 0x -≥. 令1t a=,则t ≥.设()22ln ,g t t x t =≥则2()2ln g t t x =.(i )当1,7x ⎡⎫∈+∞⎪⎢⎣⎭()2ln g t g x ≥=.记1()ln ,7p x x x =≥,则1()p'x x =-==.故所以,()(1)0p x p ≥=.因此,()2()0g t g p x ≥=≥.(ii )当211,e 7x ⎡⎫∈⎪⎢⎣⎭时,1()1g t g x ⎛+= ⎝.令211()(1),,e 7q x x x x ⎡⎤=++∈⎢⎥⎣⎦,则()10q'x =+>, 故()q x 在211,e 7⎡⎤⎢⎥⎣⎦上单调递增,所以1()7q x q ⎛⎫⎪⎝⎭.由(i )得,11(1)077q p p ⎛⎫⎛⎫=<= ⎪ ⎪⎝⎭⎝⎭. 所以,()<0q x .因此1()10g t g x ⎛+=> ⎝.由(i )(ii )知对任意21,e x ⎡⎫∈+∞⎪⎢⎣⎭,),()0t g t ∈+∞, 即对任意21,e x ⎡⎫∈+∞⎪⎢⎣⎭,均有()2xf x a .综上所述,所求a 的取值范围是⎛⎝⎦. 【名师点睛】导数是研究函数的单调性、极值(最值)最有效的工具,而函数是高中数学中重要的知识点,对导数的应用的考查主要从以下几个角度进行:(1)考查导数的几何意义,往往与解析几何、微积分相联系.(2)利用导数求函数的单调区间,判断单调性;已知单调性,求参数.(3)利用导数求函数的最值(极值),解决生活中的优化问题.(4)考查数形结合思想的应用.14.【2019年高考江苏】设函数()()()(),,,f x x a x b x c a b c =---∈R 、()f 'x 为f (x )的导函数.(1)若a =b =c ,f (4)=8,求a 的值;(2)若a ≠b ,b =c ,且f (x )和()f 'x 的零点均在集合{3,1,3}-中,求f (x )的极小值;(3)若0,01,1a b c =<=,且f (x )的极大值为M ,求证:M ≤427. 【答案】(1)2a =;(2)见解析;(3)见解析.【解析】(1)因为a b c ==,所以3()()()()()f x x a x b x c x a =---=-.因为(4)8f =,所以3(4)8a -=,解得2a =.(2)因为b c =,所以2322()()()(2)(2)f x x a x b x a b x b a b x ab =--=-+++-, 从而2()3()3a b f 'x x b x +⎛⎫=-- ⎪⎝⎭.令()0f 'x =,得x b =或23a b x +=. 因为2,,3a ba b +都在集合{3,1,3}-中,且a b ≠, 所以21,3,33a ba b +===-. 此时2()(3)(3)f x x x =-+,()3(3)(1)f 'x x x =+-. 令()0f 'x =,得3x =-或1x =.列表如下:所以()f x 的极小值为2(1)(13)(13)32f =-+=-.(3)因为0,1a c ==,所以32()()(1)(1)f x x x b x x b x bx =--=-++,2()32(1)f 'x x b x b =-++.因为01b <≤,所以224(1)12(21)30b b b ∆=+-=-+>, 则()f 'x 有2个不同的零点,设为()1212,x x x x <.由()0f 'x =,得12x x ==. 列表如下:所以()f x 的极大值()1M f x =. 解法一:()321111(1)M f x x b x bx ==-++()221111211(1)[32(1)]3999b b x b b b x b x b x -+++⎛⎫=-++--+ ⎪⎝⎭()2321(1)(1)227927b b b b b --+++=++23(1)2(1)(1)2272727b b b b +-+=-+(1)24272727b b +≤+≤.因此427M ≤. 解法二:因为01b <≤,所以1(0,1)x ∈.当(0,1)x ∈时,2()()(1)(1)f x x x b x x x =--≤-. 令2()(1),(0,1)g x x x x =-∈,则1()3(1)3g'x x x ⎛⎫=-- ⎪⎝⎭. 令()0g'x =,得1x =.列表如下:所以当13x =时,()g x 取得极大值,且是最大值,故max 14()327g x g ⎛⎫== ⎪⎝⎭. 所以当(0,1)x ∈时,4()()27f x g x ≤≤,因此427M ≤. 【名师点睛】本题主要考查利用导数研究函数的性质,考查综合运用数学思想方法分析与解决问题以及逻辑推理能力.15.【河北省武邑中学2019届高三第二次调研考试数学】函数f(x)=x 2−2lnx 的单调减区间是A .(0,1]B .[1,+∞)C .(−∞,−1]∪(0,1]D .[−1,0)∪(0,1]【答案】A【解析】f′(x)=2x −2x =2x 2−2x(x >0),令f′(x)≤0,解得:0<x ≤1. 故选A .【名师点睛】本题考查了函数的单调性,考查导数的应用,是一道基础题.16.【江西省南昌市2019届高三模拟考试数学】已知f(x)在R 上连续可导,f ′(x)为其导函数,且f(x)=e x +e −x −f ′(1)x ⋅(e x −e −x ),则f ′(2)+f ′(−2)−f ′(0)f ′(1)= A .4e 2+4e −2 B .4e 2−4e −2 C .0D .4e 2【答案】C【解析】∵()e e (1)()(e e ()x x x x f x f x f x --'-=+=---), ∴()f x 是偶函数,两边对x 求导,得()()f x f x -'-=',即()()f x f x '-=-', 则()f x '是R 上的奇函数,则(0)0f '=,(2)(2)f f '-=-',即(2)(2)0f f '+'-=,则(2)(2)(0)(1)0f f f f ''''+--=. 故选C .【名师点睛】本题主要考查函数导数值的计算,根据条件判断函数的奇偶性是解决本题的关键,是中档题.17.【江西省新八校2019届高三第二次联考数学】若3()3()21f x f x x x +-=++对x ∈R 恒成立,则曲线()y f x =在点()()1,1f 处的切线方程为A .5250x y +-=B .10450x y +-=C .540x y +=D .204150x y --=【答案】B 【解析】()()3321f x f x x x +-=++……①,()()3321f x f x x x ∴-+=--+……②,联立①②,解得()31124f x x x =--+,则()2312f x x '=--, ()11511244f ∴=--+=-,()351122f '=--=-,∴切线方程为:()55142y x +=--,即10450x y +-=. 故选B.【名师点睛】本题考查利用导数的几何意义求解在某一点处的切线方程,关键是能够利用构造方程组的方式求得函数的解析式.18.【云南省玉溪市第一中学2019届高三第二次调研考试数学】函数2l ()n f x x x =的最小值为A .1e -B .1eC .12e-D .12e【答案】C【解析】由题得(0,)x ∈+∞,()2ln (2ln 1)f x x x x x x '=+=+, 令2ln 10x +=,解得12ex -=,则当12(0,e )x -∈时,()f x 为减函数,当12(e ,)x -∈+∞时,()f x 为增函数, 所以12e x -=处的函数值为最小值,且121(e )2ef -=-. 故选C.【名师点睛】本题考查用导数求函数最值,解此类题首先确定函数的定义域,其次判断函数的单调性,确定最值点,最后代回原函数求得最值.19.【四川省内江市2019届高三第三次模拟考试数学】若函数f(x)=12ax 2+xlnx −x 存在单调递增区间,则a 的取值范围是 A .1,1e ⎛⎫- ⎪⎝⎭B .1,e ⎛⎫-+∞ ⎪⎝⎭C .()1,-+∞D .1,e ⎛⎫-∞ ⎪⎝⎭【答案】B【解析】()ln f x ax x '=+, ∴()0f x '>在x ∈()0+∞,上成立, 即ax+ln x >0在x ∈()0+∞,上成立,即a ln xx->在x ∈()0+∞,上成立. 令g (x )ln x x =-,则g ′(x )21ln xx -=-, ∴g (x )ln xx =-在(0,e )上单调递减,在(e ,+∞)上单调递增,∴g (x )ln x x =-的最小值为g (e )=1e-,∴a >1e-. 故选B .【名师点睛】本题考查学生利用导数研究函数的单调性及转化化归思想的运用,属中档题.20.【山西省太原市2019届高三模拟试题(一)数学】已知定义在(0,+∞)上的函数f(x)满足xf ′(x)−f(x)<0,且f(2)=2,则f (e x )−e x >0的解集是 A .(−∞,ln2) B .(ln2,+∞) C .(0,e 2)D .(e 2,+∞)【答案】A 【解析】令g (x )=f (x )x,g ′(x )=xf ′(x )−f (x )x 2<0,∴g(x)在(0,+∞)上单调递减,且g (2)=f (2)2=1,故f (e x )−e x >0等价为f (e x )e x>f (2)2,即g (e x )>g (2),故e x <2,即x <ln2, 则所求的解集为(−∞,ln2). 故选A.【名师点睛】本题考查导数与单调性的应用,构造函数的思想,考查分析推理能力,是中档题. 21.【河南省焦作市2019届高三第四次模拟考试数学】已知a =ln √33,b =e −1,c =3ln28,则a,b,c 的大小关系为 A .b <c <a B .a >c >b C .a >b >cD .b >a >c【答案】D【解析】依题意,得ln33a ==,1lne e e b -==,3ln2ln888c ==.令f (x )=ln x x,所以f ′(x )=1−ln x x 2.所以函数f (x )在(0,e )上单调递增,在(e,+∞)上单调递减, 所以[f (x )]max =f (e )=1e =b ,且f (3)>f (8),即a >c , 所以b >a >c . 故选D.【名师点睛】本题主要考查了利用导数判断函数的单调性,构造出函数()ln xf x x=是解题的关键,属于中档题.22.【安徽省毛坦厂中学2019届高三校区4月联考数学】已知f (x )=lnx +1−ae x ,若关于x 的不等式f (x )<0恒成立,则实数a 的取值范围是 A .1,e ⎛⎫-∞ ⎪⎝⎭B .(),0-∞C .1,e⎡⎫+∞⎪⎢⎣⎭D .1,e ⎛⎫+∞ ⎪⎝⎭【答案】D【解析】由()0f x <恒成立得ln 1ex x a +>恒成立, 设()ln 1e x x h x +=,则()1ln 1e xx x h x -='-. 设()1ln 1g x x x =--,则()2110g x x x'=--<恒成立,∴g (x )在(0,+∞)上单调递减,又∵g (1)=0,∴当0<x <1时,g (x )>g (1)=0,即ℎ′(x )>0; 当x >1时,g (x )<g (1)=0,即ℎ′(x )<0, ∴ℎ(x )在(0,1)上单调递增,在(1,+∞)上单调递减, ∴ℎ(x)max =ℎ(1)=1e ,∴a >1e . 故选D.【名师点睛】本题考查利用导数求函数的最值,不等式恒成立问题,分离参数是常见的方法,属于中档题.23.【辽宁省丹东市2019届高三总复习质量测试】若1x =是函数()3221()(1)33f x x a x a a x =++-+-的极值点,则a 的值为 A .-2 B .3 C .-2或3D .-3或2【答案】B 【解析】()()()()32222113(3)(132)f x x a x a a f x x x a x a a '=++-=++-+-⇒+-,由题意可知(1)0f '=,即()212(1)303a a a a +-=+⇒-=+或2a =-,当3a =时,()222()2(1)389(9)(1)f x x a x a a x x x x +-'=++-=+-=+-,当1x >或9x <-时,()0f x '>,函数单调递增;当91x -<<时,()0f x '<,函数单调递减, 显然1x =是函数()f x 的极值点;当2a =-时,()2222()232(111))(0a a f x x a x x x x +-=-++=-=+-≥',所以函数()f x 是R 上的单调递增函数,没有极值,不符合题意,舍去. 故3a =. 故选B .【名师点睛】本题考查了已知函数的极值,求参数的问题.本题易错的地方是求出a 的值,没有通过单调性来验证1x =是不是函数的极值点,也就是说使得导函数为零的自变量的值,不一定是极值点. 24.【黑龙江省大庆市第一中学2019届高三下学期第四次模拟(最后一卷)考试】已知奇函数()f x 是定义在R 上的可导函数,其导函数为()f x ',当0x >时,有()()22f x xf x x '>+,则不等式()()()22018+2018420x f x f +-<+的解集为A .(),2016-∞-B .()2016,2012--C .(),2018-∞-D .()2016,0-【答案】A【解析】设()()2g x x f x =,因为()f x 为R 上的奇函数,所以()()()()22g x x f x x f x -=--=-,即()g x 为R 上的奇函数对()g x 求导,得()()()2f g f x x x x x '=+'⎡⎤⎣⎦, 而当0x >时,有()()220f x xf x x '>+≥,故0x >时,()0g x '>,即()g x 单调递增,所以()g x 在R 上单调递增,则不等式()()()22018+2018420x f x f +-<+即()()()22018+201842x f x f +<--, 即()()()22018+201842x f x f +<, 即()()20182g x g +<,所以20182x +<,解得2016x <-. 故选A.【名师点睛】本题考查构造函数解不等式,利用导数求函数的单调性,函数的奇偶性,题目较综合,有一定的技巧性,属于中档题.25.【重庆西南大学附属中学校2019届高三第十次月考数学】曲线21()ln 2f x x x x =+在点(1(1))f ,处的切线与直线10ax y --=垂直,则a =________. 【答案】12-【解析】因为21()ln 2f x x x x =+,所以()ln 1f x x x '=++, 因此,曲线21()ln 2f x x x x =+在点(1(1))f ,处的切线斜率为(1)112k f '==+=, 又该切线与直线10ax y --=垂直,所以12a =-. 故答案为12-. 【名师点睛】本题主要考查导数在某点处的切线斜率问题,熟记导数的几何意义即可求解,属于常考题型.26.【广东省深圳市高级中学2019届高三适应性考试(6月)数学】已知函数22,0,()e ,0,x x x f x x ⎧≤=⎨>⎩若方程2[()]f x a =恰有两个不同的实数根12,x x ,则12x x +的最大值是______.【答案】3ln 22-【解析】作出函数()f x 的图象如图所示,由()2f x a =⎡⎤⎣⎦,可得()1f x =>, 即1a >,不妨设12x x < ,则2212e x x =(1)t t =>,则12ln x x t ==,12ln x x t ∴+=令()ln g t t =()g t '= ∴当18t <<时,()0g t '>,g t 在()1,8上单调递增;当8t时,()0g t '<,g t 在()8,+∞上单调递减,∴当8t =时,g t 取得最大值,为(8)ln823ln22g =-=-.故答案为3ln 22-.【名师点睛】本题主要考查方程的根与图象交点的关系,考查了利用导数判断函数的单调性以及求函数的极值与最值,属于难题.求函数()f x 的极值与最值的步骤:(1)确定函数的定义域;(2)求导数()f x ';(3)解方程()0,f x '=求出函数定义域内的所有根;(4)判断()f x '在()0f x '=的根0x 左右两侧值的符号,如果左正右负(左增右减),那么()f x 在0x 处取极大值,如果左负右正(左减右增),那么()f x 在0x 处取极小值.(5)如果只有一个极值点,则在该点处取得极值也是最值;(6)如果求闭区间上的最值还需要比较端点处的函数值与极值的大小.27.【山东省烟台市2019届高三3月诊断性测试(一模)数学】已知函数4211()42f x x ax =-,a ∈R . (1)当1a =时,求曲线()f x 在点(2,(2))f 处的切线方程;(2)设函数2()(22)e e ()x g x x x a f x =-+--,其中e 2.71828...=是自然对数的底数,讨论()g x 的单调性并判断有无极值,有极值时求出极值. 【答案】(1)6100x y --=;(2)当0a ≤时,()g x 在(,)-∞+∞上单调递增,无极值;当0a >时,()g x 在(,-∞和)+∞单调递增,在(单调递减,极大值为2e(2)e4g a =+,极小值为2e (4g a =-+. 【解析】(1)由题意3()f x x ax '=-,所以当1a =时,(2)2f =,(2)6f '=, 因此曲线()y f x =在点(2,(2))f 处的切线方程是26(2)y x -=-, 即6100x y --=.(2)因为2()(22)e e ()x g x x x a f x =-+--, 所以2()(22)e (22)e e '()x x g x x x x a f x '=-+-+--232()e e()()(e e )x x x a x ax x a x =---=--,令()e e x h x x =-,则()e e x h x '=-, 令()0h x '=得1x =,当(,1)x ∈-∞时,()0h x '<,()h x 单调递减, 当(1,)x ∈+∞时,()0h x '>,()h x 单调递增, 所以当1x =时,min ()(1)0h x h ==, 也就说,对于x ∀∈R 恒有()0h x ≥. 当0a ≤时,2()()()0g x x a h x '=-≥,()g x 在(,)-∞+∞上单调递增,无极值;当0a >时,令()0g x '=,可得x =当x <x >2()()()0g x x a h x '=-≥,()g x 单调递增,当x <<()0g x '<,()g x 单调递减,因此,当x =()g x 取得极大值2e(2)e4g a =+;当x =()g x 取得极小值2e (4g a =-+. 综上所述:当0a ≤时,()g x 在(,)-∞+∞上单调递增,无极值;当0a >时,()g x 在(,-∞和)+∞上单调递增,在(上单调递减, 函数既有极大值,又有极小值,极大值为2e(2)e4g a =+,极小值为2e (4g a =-+. 【名师点睛】本题考查了函数的单调性,极值问题,考查导数的应用以及分类讨论思想,转化思想,是一道综合题.28.【陕西省2019届高三第三次联考数学】已知函数f(x)=lnx −ax ,g(x)=x 2,a ∈R .(1)求函数f(x)的极值点;(2)若f(x)≤g(x)恒成立,求a 的取值范围.【答案】(1)极大值点为1a ,无极小值点.(2)a ≥−1.【解析】(1)()ln f x x ax =-的定义域为(0,+∞),f ′(x )=1x −a , 当a ≤0时,f ′(x )=1x −a >0,所以f (x )在(0,+∞)上单调递增,无极值点;当a >0时,解f ′(x )=1x −a >0得0<x <1a ,解f ′(x )=1x −a <0得x >1a , 所以f (x )在(0,1a )上单调递增,在(1a ,+∞)上单调递减,所以函数f (x )有极大值点,为1a ,无极小值点. (2)由条件可得ln x −x 2−ax ≤0(x >0)恒成立, 则当x >0时,a ≥ln x x−x 恒成立,令ℎ(x )=ln x x−x(x >0),则ℎ′(x )=1−x 2−ln xx 2,令k (x )=1−x 2−ln x(x >0),则当x >0时,k ′(x )=−2x −1x <0,所以k (x )在(0,+∞)上为减函数. 又k (1)=0,所以在(0,1)上,ℎ′(x )>0;在(1,+∞)上,ℎ′(x )<0. 所以ℎ(x )在(0,1)上为增函数,在(1,+∞)上为减函数, 所以ℎ(x )max =ℎ(1)=−1,所以a ≥−1.【名师点睛】对于函数恒成立或者有解求参的问题,常用方法有:变量分离,参变分离,转化为函数最值问题;或者直接求函数最值,使得函数最值大于或者小于0;或者分离成两个函数,使得一个函数恒大于或小于另一个函数.29.【山东省济宁市2019届高三二模数学】已知函数f(x)=lnx −xe x +ax(a ∈R).(1)若函数f(x)在[1,+∞)上单调递减,求实数a 的取值范围; (2)若a =1,求f(x)的最大值.【答案】(1)a ≤2e −1;(2)f(x)max =−1.【解析】(1)由题意知,f′(x)=1x −(e x +xe x )+a =1x −(x +1)e x +a ≤0在[1,+∞)上恒成立, 所以a ≤(x +1)e x −1x 在[1,+∞)上恒成立. 令g(x)=(x +1)e x −1x ,则g′(x)=(x +2)e x +1x 2>0,所以g(x)在[1,+∞)上单调递增,所以g(x)min =g(1)=2e −1, 所以a ≤2e −1.(2)当a =1时,f(x)=lnx −xe x +x(x >0). 则f′(x)=1x−(x +1)e x +1=(x +1)(1x−e x ),令m(x)=1x −e x ,则m′(x)=−1x 2−e x <0, 所以m(x)在(0,+∞)上单调递减.由于m(12)>0,m(1)<0,所以存在x 0>0满足m(x 0)=0,即e x 0=1x 0.当x ∈(0,x 0)时,m(x)>0,f′(x)>0;当x ∈(x 0,+∞)时,m(x)<0,f′(x)<0. 所以f(x)在(0,x 0)上单调递增,在(x 0,+∞)上单调递减. 所以f(x)max =f (x 0)=lnx 0−x 0e x 0+x 0, 因为e x 0=1x 0,所以x 0=−lnx 0,所以f(x 0)=−x 0−1+x 0=−1, 所以f(x)max =−1.【名师点睛】本题主要考查利用导数研究函数的单调性,最值,零点存在性定理及其应用,分类讨论的数学思想等知识,意在考查学生的转化能力和计算求解能力.30.【福建省龙岩市2019届高三5月月考数学】今年3月5日,国务院总理李克强作的政府工作报告中,提到要“惩戒学术不端,力戒学术不端,力戒浮躁之风”.教育部日前公布的《教育部2019年部门预算》中透露,2019年教育部拟抽检博士学位论文约6000篇,预算为800万元.国务院学位委员会、教育部2014年印发的《博士硕士学位论文抽检办法》通知中规定:每篇抽检的学位论文送3位同行专家进行评议,3位专家中有2位以上(含2位)专家评议意见为“不合格”的学位论文,将认定为“存在问题学位论文”.有且只有1位专家评议意见为“不合格”的学位论文,将再送2位同行专家进行复评,2位复评专家中有1位以上(含1位)专家评议意见为“不合格”的学位论文,将认定为“存在问题学位论文”.设每篇学位论文被每位专家评议为“不合格”的概率均为(01)p p <<,且各篇学位论文是否被评议为“不合格”相互独立.(1)记一篇抽检的学位论文被认定为“存在问题学位论文”的概率为()f p ,求()f p ;(2)若拟定每篇抽检论文不需要复评的评审费用为900元,需要复评的评审费用为1500元;除评审费外,其它费用总计为100万元.现以此方案实施,且抽检论文为6000篇,问是否会超过预算并说明理由.【答案】(1)−3p 5+12p 4−17p 3+9p 2;(2)若以此方案实施,不会超过预算.【解析】(1)因为一篇学位论文初评被认定为“存在问题学位论文”的概率为C 32p 2(1−p )+C 33p 3, 一篇学位论文复评被认定为“存在问题学位论文”的概率为C 31p (1−p )2[1−(1−p )2],所以一篇学位论文被认定为“存在问题学位论文”的概率为f (p )=C 32p 2(1−p )+C 33p 3+C 31p (1−p )2[1−(1−p )2]=3p 2(1−p )+p 3+3p (1−p )2[1−(1−p )2] =−3p 5+12p 4−17p 3+9p 2.(2)设每篇学位论文的评审费为X 元,则X 的可能取值为900,1500.P (X =1500)=C 31p (1−p )2, P (X =900)=1−C 31p (1−p )2, 所以E (X )=900×[1−C 31p (1−p )2]+1500×C 31p (1−p )2=900+1800p (1−p )2. 令g (p )=p (1−p )2,p ∈(0,1),g ′(p )=(1−p )2−2p (1−p )=(3p −1)(p −1). 当p ∈(0,13)时,g ′(p )>0,g (p )在(0,13)上单调递增;当p ∈(13,1)时,g ′(p )<0,g (p )在(13,1)上单调递减,所以g (p )的最大值为g (13)=427.所以实施此方案,最高费用为100+6000×(900+1800×427)×10−4=800(万元). 综上,若以此方案实施,不会超过预算.【名师点睛】本题主要考查互斥事件的概率和独立重复试验的概率的求法,考查随机变量的期望的求法,考查利用导数求函数的最大值,意在考查学生对这些知识的理解掌握水平和分析推理能力. 31.【北京市西城区2019届高三4月统一测试(一模)数学】设函数f(x)=m e x −x 2+3,其中m ∈R .(1)当f(x)为偶函数时,求函数ℎ(x)=xf(x)的极值;(2)若函数f(x)在区间[−2 , 4]上有两个零点,求m 的取值范围. 【答案】(1)极小值ℎ(−1)=−2,极大值ℎ(1)=2;(2)−2e <m <13e 4或m =6e 3.【解析】(1)由函数f(x)是偶函数,得f(−x)=f(x), 即m e −x −(−x)2+3=m e x −x 2+3对于任意实数x 都成立, 所以m =0. 此时ℎ(x)=xf(x)=−x 3+3x ,则ℎ′(x)=−3x 2+3. 由ℎ′(x)=0,解得x =±1. 当x 变化时,ℎ′(x)与ℎ(x)的变化情况如下表所示:所以ℎ(x)在(−∞,−1),(1,+∞)上单调递减,在(−1,1)上单调递增. 所以ℎ(x)有极小值ℎ(−1)=−2,极大值ℎ(1)=2. (2)由f(x)=m e x −x 2+3=0,得m =x 2−3e x.所以“f(x)在区间[−2 , 4]上有两个零点”等价于“直线y =m 与曲线g(x)=x 2−3e x,x ∈[−2 , 4]有且只有两个公共点”.对函数g(x)求导,得g ′(x)=−x 2+2x+3e x.由g ′(x)=0,解得x 1=−1,x 2=3. 当x 变化时,g ′(x)与g(x)的变化情况如下表所示:所以g(x)在(−2,−1),(3,4)上单调递减,在(−1,3)上单调递增. 又因为g(−2)=e 2,g(−1)=−2e ,g(3)=6e 3<g(−2),g(4)=13e 4>g(−1),所以当−2e <m <13e4或m =6e3时,直线y =m 与曲线g(x)=x 2−3e x,x ∈[−2 , 4]有且只有两个公共点.即当−2e <m <13e 4或m =6e3时,函数f(x)在区间[−2 , 4]上有两个零点.【名师点睛】利用函数零点的情况求参数值或取值范围的方法: (1)利用零点存在的判定定理构建不等式求解. (2)分离参数后转化为函数的值域(最值)问题求解. (3)转化为两熟悉的函数图象问题,从而构建不等式求解.。
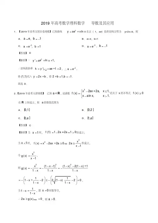
2019年高考数学理科数学导数及其应用1.【2019年高考全国Ⅲ卷理数】已知曲线eln xy a x x 在点(1,ae )处的切线方程为y=2x+b ,则A .e 1a b,B .a=e ,b=1 C .1e 1ab,D .1e a,1b【答案】D 【解析】∵eln 1,xy a x ∴切线的斜率1|e 12x k y a ,1e a,将(1,1)代入2y xb ,得21,1bb.故选D .2.【2019年高考天津理数】已知a R ,设函数222,1,()ln ,1.xax a x f x x a x x 若关于x 的不等式()0f x 在R 上恒成立,则a 的取值范围为A .0,1B .0,2C .0,eD .1,e【答案】C 【解析】当1x时,(1)12210f a a 恒成立;当1x 时,22()22021xf x x ax a ax 恒成立,令2()1xg x x ,则222(11)(1)2(1)1()111x x x x g x xxx11122(1)2011xx x x,当111xx,即0x 时取等号,∴max2()0ag x ,则0a.当1x时,()ln 0f x x a x,即ln x ax恒成立,令()ln x h x x,则2ln 1()(ln )x h x x ,当e x 时,()0h x ,函数()h x 单调递增,当0e x时,()0h x ,函数()h x 单调递减,则e x 时,()h x 取得最小值(e)e h ,∴min()e ah x ,综上可知,a 的取值范围是[0,e]. 故选C.3.(2019浙江)已知,a bR ,函数32,0()11(1),032x xf x x a x ax x.若函数()yf x ax b 恰有3个零点,则A .a<–1,b<0 B .a<–1,b>0C .a>–1,b<0 D .a>–1,b>0【答案】C【解析】当x <0时,y =f (x )﹣ax ﹣b =x ﹣ax ﹣b =(1﹣a )x ﹣b =0,得x ,则y =f (x )﹣ax ﹣b 最多有一个零点;当x ≥0时,y =f (x )﹣ax ﹣bx3(a+1)x 2+ax ﹣ax ﹣bx3(a+1)x 2﹣b ,2(1)y xa x ,当a+1≤0,即a ≤﹣1时,y ′≥0,y =f (x )﹣ax ﹣b 在[0,+∞)上单调递增,则y =f (x )﹣ax ﹣b 最多有一个零点,不合题意;当a+1>0,即a>﹣1时,令y ′>0得x ∈(a+1,+∞),此时函数单调递增,令y ′<0得x ∈[0,a+1),此时函数单调递减,则函数最多有2个零点.根据题意,函数y =f (x )﹣ax ﹣b 恰有3个零点?函数y =f (x )﹣ax ﹣b 在(﹣∞,0)上有一个零点,在[0,+∞)上有2个零点,如图:∴<0且><,解得b <0,1﹣a >0,b >(a+1)3,则a>–1,b<0. 故选C .4.【2019年高考全国Ⅰ卷理数】曲线23()e xy xx 在点(0)0,处的切线方程为____________.【答案】30x y 【解析】223(21)e 3()e3(31)e ,xxxyx xx xx 所以切线的斜率0|3xky ,则曲线23()e xyxx 在点(0,0)处的切线方程为3yx ,即30xy .5.【2019年高考江苏】在平面直角坐标系xOy 中,P 是曲线4(0)yxx x 上的一个动点,则点P 到直线0xy 的距离的最小值是▲ .【答案】4 【解析】由4(0)yxxx,得241yx,设斜率为1的直线与曲线4(0)y x xx切于004(,)x x x ,由2411x得02x (02x 舍去),∴曲线4(0)y xxx上,点(2,32)P 到直线0xy的距离最小,最小值为22232411.故答案为4.6.【2019年高考江苏】在平面直角坐标系xOy 中,点A 在曲线y=lnx 上,且该曲线在点A 处的切线经过点(-e ,-1)(e 为自然对数的底数),则点A 的坐标是▲ .【答案】(e, 1)【解析】设出切点坐标,得到切线方程,然后求解方程得到横坐标的值,可得切点坐标.设点00,A x y ,则00ln y x .又1yx,当0xx 时,01yx ,则曲线ln y x 在点A 处的切线为0001()y y xx x ,即0ln 1x yx x ,将点e,1代入,得e 1ln 1x x ,即00ln e x x ,考察函数ln H xx x ,当0,1x 时,0H x ,当1,x时,0H x,且ln 1H xx ,当1x时,0,H x H x 单调递增,注意到ee H ,故00ln e x x 存在唯一的实数根0e x ,此时01y ,故点A 的坐标为e,1.7.【2019年高考北京理数】设函数ee xxf x a (a 为常数).若f (x )为奇函数,则a=________;若f (x )是R 上的增函数,则a 的取值范围是___________.【答案】1,0【解析】首先由奇函数的定义得到关于a 的恒等式,据此可得a 的值,然后利用()0f x 可得a 的取值范围. 若函数e e xx f xa 为奇函数,则,f x f x 即eeeexxxxa a ,即1ee0xxa 对任意的x 恒成立,则10a ,得1a.若函数ee xxf xa 是R 上的增函数,则() ee0xxf x a 在R 上恒成立,即2e xa 在R 上恒成立,又2e0x,则0a ,即实数a 的取值范围是,0.8.【2019年高考全国Ⅰ卷理数】已知函数()sin ln(1)f x x x ,()f x 为()f x 的导数.证明:(1)()f x 在区间(1,)2存在唯一极大值点;(2)()f x 有且仅有2个零点.【答案】(1)见解析;(2)见解析. 【解析】(1)设()()g x f 'x ,则1()cos 1g x xx,21sin ())(1x'x g x .当1,2x 时,()g'x 单调递减,而(0)0,()02g'g',可得()g'x 在1,2有唯一零点,设为.则当(1,)x时,()0g'x ;当,2x 时,()0g'x .所以()g x 在(1,)单调递增,在,2单调递减,故()g x 在1,2存在唯一极大值点,即()f 'x在1,2存在唯一极大值点.(2)()f x 的定义域为(1,).(i )当(1,0]x时,由(1)知,()f 'x 在(1,0)单调递增,而(0)0f ',所以当(1,0)x时,()0f 'x ,故()f x 在(1,0)单调递减,又(0)=0f ,从而0x 是()f x 在(1,0]的唯一零点.(ii )当0,2x时,由(1)知,()f 'x 在(0,)单调递增,在,2单调递减,而(0)=0f ',02f ',所以存在,2,使得()0f ',且当(0,)x 时,()0f 'x ;当,2x 时,()0f 'x .故()f x 在(0,)单调递增,在,2单调递减.又(0)=0f ,1ln 1022f,所以当0,2x 时,()0f x .从而,()f x 在0,2没有零点. (iii )当,2x时,()0f 'x ,所以()f x 在,2单调递减.而02f,()0f ,所以()f x 在,2有唯一零点.(iv )当(,)x 时,ln(1)1x ,所以()f x <0,从而()f x 在(,)没有零点.综上,()f x 有且仅有2个零点. 9.【2019年高考全国Ⅱ卷理数】已知函数11ln x f x xx .(1)讨论f(x)的单调性,并证明f(x)有且仅有两个零点;(2)设x 0是f(x)的一个零点,证明曲线y=lnx 在点A(x 0,ln x 0)处的切线也是曲线e xy 的切线.【解析】(1)f (x )的定义域为(0,1)(1,+∞).因为212()0(1)f 'x xx ,所以()f x 在(0,1),(1,+∞)单调递增.因为f (e )=e 110e 1,22222e 1e3(e )20e1e1f ,所以f (x )在(1,+∞)有唯一零点x 1,即f (x 1)=0.又1101x ,1111111()ln ()01x f x f x x x ,故f (x )在(0,1)有唯一零点11x .综上,f (x )有且仅有两个零点.(2)因为ln 01ex x ,故点B (–ln x 0,1x )在曲线y=e x上.由题设知0()0f x ,即0001ln 1x x x ,故直线AB 的斜率00000111ln 111ln 1x x x x x kx x x x x x .曲线y=e x在点001(ln ,)B x x 处切线的斜率是1x ,曲线ln yx 在点00(,ln )A x x 处切线的斜率也是1x ,所以曲线ln y x 在点00(,ln )A x x 处的切线也是曲线y=e x的切线.10.【2019年高考全国Ⅲ卷理数】已知函数32()2f x xaxb .(1)讨论()f x 的单调性;(2)是否存在,a b ,使得()f x 在区间[0,1]的最小值为1且最大值为1?若存在,求出,a b 的所有值;若不存在,说明理由.【解析】(1)2()622(3)f x xax x x a .令()0f x ,得x=0或3a x.若a>0,则当(,0),3a x时,()0f x ;当0,3a x 时,()0f x .故()f x 在(,0),,3a 单调递增,在0,3a 单调递减;若a=0,()f x 在(,)单调递增;若a<0,则当,(0,)3a x 时,()0f x ;当,03a x 时,()0f x .故()f x 在,,(0,)3a 单调递增,在,03a 单调递减.(2)满足题设条件的a ,b 存在.(i )当a ≤0时,由(1)知,()f x 在[0,1]单调递增,所以()f x 在区间[0,l]的最小值为(0)=f b ,最大值为(1)2f a b .此时a ,b 满足题设条件当且仅当1b ,21a b ,即a=0,1b.(ii )当a ≥3时,由(1)知,()f x 在[0,1]单调递减,所以()f x 在区间[0,1]的最大值为(0)=f b ,最小值为(1)2f a b .此时a ,b 满足题设条件当且仅当21a b,b=1,即a=4,b=1.(iii )当0<a<3时,由(1)知,()f x 在[0,1]的最小值为3327a afb ,最大值为b 或2a b .若3127ab ,b=1,则332a ,与0<a<3矛盾.若3127ab,21a b ,则33a或33a 或a=0,与0<a<3矛盾.综上,当且仅当a=0,1b或a=4,b=1时,()f x 在[0,1]的最小值为-1,最大值为1.11.【2019年高考北京理数】已知函数321()4f x xxx .(Ⅰ)求曲线()y f x 的斜率为1的切线方程;(Ⅱ)当[2,4]x时,求证:6()xf x x ;(Ⅲ)设()|()()|()F x f x x a aR ,记()F x 在区间[2,4]上的最大值为M (a ).当M (a )最小时,求a 的值.【解析】(Ⅰ)由321()4f x xxx 得23()214f x xx .令()1f x ,即232114xx ,得0x 或83x.又(0)0f ,88()327f ,所以曲线()y f x 的斜率为1的切线方程是y x 与88273yx,即yx 与6427yx.(Ⅱ)令()(),[2,4]g x f x x x .由321()4g x xx 得23()24g'x xx .令()0g'x 得0x 或83x.(),()g'x g x 的情况如下:x2(2,0)8(0,)3838(,4)34()g'x ()g x 606427所以()g x 的最小值为6,最大值为0.故6()0g x ,即6()x f x x .(Ⅲ)由(Ⅱ)知,当3a 时,()(0)|(0)|3M F g a a a ;当3a 时,()(2)|(2)|63M F a g a a;当3a时,()3M a .综上,当()M a 最小时,3a .12.【2019年高考天津理数】设函数()e cos ,()xf x xg x 为f x 的导函数.(Ⅰ)求f x 的单调区间;(Ⅱ)当,42x时,证明()()02f xg x x;(Ⅲ)设n x 为函数()()1u x f x 在区间2,242nn内的零点,其中n N ,证明20022sin c s eo nnnx x x .【解析】(Ⅰ)由已知,有()e (cos sin )xf 'x x x .因此,当52,244xkk()k Z 时,有sin cos x x ,得()0f 'x ,则f x 单调递减;当32,244xkk()k Z 时,有sin cos xx ,得()0f 'x ,则f x 单调递增.所以,f x 的单调递增区间为32,2(),()44kkkf x Z 的单调递减区间为52,2()44kkk Z .(Ⅱ)证明:记()()()2h x f x g x x .依题意及(Ⅰ),有()e (cos sin )xg x x x ,从而()2e sin xg'x x .当,42x时,0()g'x ,故()()()()(1)()022h'x f 'x g'x x g x g'x x.因此,h x 在区间,42上单调递减,进而()022h x hf.所以,当,42x时,()()02f xg x x.(Ⅲ)证明:依题意,10n n u x f x ,即cos e 1nx nx .记2nn y x n ,则,42ny ,且22e cos ecos 2e nn y x nnn n nf y y x n n N .由20e1nnf y f y 及(Ⅰ),得0n y y .由(Ⅱ)知,当,42x时,()0g'x ,所以g x 在,42上为减函数,因此004ngy gyg.又由(Ⅱ)知,02n nnf yg y y ,故22220002sin cos sin c e e eeos ennnnn ny nn f y y g y g y g y y y x x .所以,20022sin c s eo nnnx x x .13.【2019年高考浙江】已知实数0a,设函数()=ln 1,0.f x a xx x(1)当34a时,求函数()f x 的单调区间;(2)对任意21[,)ex均有(),2x f x a 求a 的取值范围.注:e=2.71828…为自然对数的底数.【解析】(1)当34a时,3()ln 1,04f x x x x .31(12)(211)()42141x x f 'x xxx x,所以,函数()f x 的单调递减区间为(0,3),单调递增区间为(3,+).(2)由1(1)2f a,得204a.当204a 时,()2x f x a等价于2212ln 0x x x aa.令1t a,则22t.设2()212ln ,22g t txt xx t,则211()(1)2ln x g t x tx xx.(i )当1,7x 时,1122x,则()(22)84212ln g t g x xx .记1()4221ln ,7p x xxx x,则2212121()11x x x x p'x xxx x x (1)[1(221)]1(1)(12)x x xx x xx x .故x171(,1)71(1,)()p'x 0 +()p x 1()7p 单调递减极小值(1)p 单调递增所以,()(1)0p x p .因此,()(22)2()0g t g p x .(ii )当211,e 7x时,12ln (1)()12x xx g t g xx….令211()2ln (1),,e 7q x x x x x,则ln 2()10xq'x x,故()q x 在211,e 7上单调递增,所以1()7q x q,.由(i )得,127127(1)07777qp p .所以,()<0q x .因此1()()102q x g t gxx ….由(i )(ii )知对任意21,ex ,[22,),()0t g t …,即对任意21,ex,均有()2x f x a ,.综上所述,所求a 的取值范围是20,4.14.【2019年高考江苏】设函数()()()(),,,f x x a x b x c a b c R 、()f 'x 为f (x )的导函数.(1)若a=b=c ,f (4)=8,求a 的值;(2)若a ≠b ,b=c ,且f (x )和()f 'x 的零点均在集合{3,1,3}中,求f (x )的极小值;(3)若0,01,1a b c ,,且f (x )的极大值为M ,求证:M ≤427.【解析】(1)因为abc ,所以3()()()()()f x x a x b x c x a .因为(4)8f ,所以3(4)8a ,解得2a .(2)因为b c ,所以2322()()()(2)(2)f x xa xb xa b xb a b x ab ,从而2()3()3a b f 'x x b x .令()0f 'x ,得x b 或23a bx.因为2,,3a ba b 都在集合{3,1,3}中,且a b ,所以21,3,33a ba b.此时2()(3)(3)f x xx ,()3(3)(1)f 'x x x .令()0f 'x ,得3x 或1x .列表如下:x (,3)3(3,1)1 (1,)()f 'x +0 –0 +()f x 极大值极小值所以()f x 的极小值为2(1)(13)(13)32f .(3)因为0,1ac ,所以32()()(1)(1)f x x xb x xb xbx ,2()32(1)f 'x xb x b .因为01b ,所以224(1)12(21)30b b b ,则()f 'x 有2个不同的零点,设为1212,x x x x .由()0f 'x ,得22121111,33b b b b b b x x .列表如下:x 1(,)x 1x 12,x x 2x 2(,)x ()f 'x +0 –0 +()f x 极大值极小值所以()f x 的极大值1M f x .解法一:321111(1)M f x xb xbx 221111211(1)[32(1)]3999bb x b b b xb x b x 23221(1)(1)2127927b b b b b bb 23(1)2(1)(1)2((1)1)272727b b b b b b (1)24272727b b .因此427M.解法二:因为01b ,所以1(0,1)x .当(0,1)x时,2()()(1)(1)f x x xb x x x .令2()(1),(0,1)g x x x x,则1()3(1)3g'x xx .令()0g'x ,得13x.列表如下:x1(0,)3131(,1)3()g'x +0 –()g x 极大值所以当13x时,()g x 取得极大值,且是最大值,故max 14()327g x g.所以当(0,1)x 时,4()()27f xg x ,因此427M.。
历年(2019-2024)全国高考数学真题分类(导数及其应用)汇编考点01 导数的基本计算及其应用1.(2020∙全国∙高考真题)设函数e ()xf x x a =+.若(1)4e f '=,则a = .考点02 求切线方程及其应用1.(2024∙全国甲卷∙高考真题)设函数()2e 2sin 1x xf x x +=+,则曲线()y f x =在点()0,1处的切线与两坐标轴所围成的三角形的面积为( )A .16B .13C .12D .232.(2023∙全国甲卷∙高考真题)曲线e 1xy x =+在点e 1,2⎛⎫ ⎪⎝⎭处的切线方程为( )A .e4y x =B .e 2y x =C .e e 44y x =+ D .e 3e24y x =+ 3.(2022∙全国新Ⅱ卷∙高考真题)曲线ln ||y x =过坐标原点的两条切线的方程为 , . 4.(2022∙全国新Ⅰ卷∙高考真题)若曲线()e x y x a =+有两条过坐标原点的切线,则a 的取值范围是 .5.(2021∙全国甲卷∙高考真题)曲线2x 1y x 2-=+在点()1,3--处的切线方程为 . 6.(2021∙全国新Ⅱ卷∙高考真题)已知函数12()1,0,0xf x e x x <=>-,函数()f x 的图象在点()()11,A x f x 和点()()22,B x f x 的两条切线互相垂直,且分别交y 轴于M ,N 两点,则||||AM BN 取值范围是 . 7.(2021∙全国新Ⅰ卷∙高考真题)若过点(),a b 可以作曲线e x y =的两条切线,则( ) A .e b a < B .e a b < C .0e b a <<D .0e a b <<8.(2020∙全国∙高考真题)若直线l 与曲线y x 2+y 2=15都相切,则l 的方程为( )A .y =2x +1B .y =2x +12C .y =12x +1D .y =12x +129.(2020∙全国∙高考真题)函数43()2f x x x =-的图像在点(1(1))f ,处的切线方程为( ) A .21y x =-- B .21y x =-+ C .23y x =-D .21y x =+10.(2020∙全国∙高考真题)曲线ln 1y x x =++的一条切线的斜率为2,则该切线的方程为 .11.(2019∙江苏∙高考真题)在平面直角坐标系xOy 中,点A 在曲线y =ln x 上,且该曲线在点A 处的切线经过点(‐e ,‐1)(e 为自然对数的底数),则点A 的坐标是 .12.(2019∙全国∙高考真题)已知曲线e ln x y a x x =+在点()1,ae 处的切线方程为2y x b =+,则A .,1a e b ==-B .,1a e b ==C .1,1a e b -==D .1,1a e b -==-13.(2019∙天津∙高考真题) 曲线cos 2xy x =-在点()0,1处的切线方程为 . 14.(2019∙全国∙高考真题)曲线23()e x y x x =+在点(0,0)处的切线方程为 . 15.(2019∙全国∙高考真题)曲线y =2sin x +cos x 在点(π,–1)处的切线方程为A .10x y --π-=B .2210x y --π-=C .2210x y +-π+=D .10x y +-π+=考点03 公切线问题1.(2024∙全国新Ⅰ卷∙高考真题)若曲线e x y x =+在点()0,1处的切线也是曲线ln(1)y x a =++的切线,则=a .考点04 利用导数判断函数单调性及其应用1.(2024∙全国新Ⅰ卷∙高考真题)(多选)设函数2()(1)(4)f x x x =--,则( ) A .3x =是()f x 的极小值点 B .当01x <<时,()2()f x f x <C .当12x <<时,4(21)0f x -<-<D .当10x -<<时,(2)()f x f x ->2.(2023∙全国新Ⅱ卷∙高考真题)已知函数()e ln xf x a x =-在区间()1,2上单调递增,则a 的最小值为( ).A .2eB .eC .1e -D .2e -3.(2023∙全国乙卷∙高考真题)设()0,1a ∈,若函数()()1xx f x a a =++在()0,∞+上单调递增,则a 的取值范围是 .4.(2019∙北京∙高考真题)设函数f (x )=e x +a e −x (a 为常数).若f (x )为奇函数,则a = ;若f (x )是R 上的增函数,则a 的取值范围是 .考点05 求极值与最值及其应用1.(2024∙上海∙高考真题)已知函数()f x 的定义域为R ,定义集合()()(){}0000,,,M x x x x f x f x ∞=∈∈-<R ,在使得[]1,1M =-的所有()f x 中,下列成立的是( ) A .存在()f x 是偶函数 B .存在()f x 在2x =处取最大值 C .存在()f x 是严格增函数D .存在()f x 在=1x -处取到极小值2.(2023∙全国新Ⅱ卷∙高考真题)若函数()()2ln 0b cf x a x a x x =++≠既有极大值也有极小值,则( ). A .0bc >B .0ab >C .280b ac +>D .0ac <3.(2022∙全国乙卷∙高考真题)函数()()cos 1sin 1f x x x x =+++在区间[]0,2π的最小值、最大值分别为( )A .ππ22-,B .3ππ22-, C .ππ222-+,D .3ππ222-+, 4.(2022∙全国甲卷∙高考真题)当1x =时,函数()ln bf x a x x=+取得最大值2-,则(2)f '=( ) A .1-B .12-C .12D .15.(2021∙全国新Ⅰ卷∙高考真题)函数()212ln f x x x =--的最小值为 .考点06 利用导数研究函数的极值点及其应用1.(2022∙全国新Ⅰ卷∙高考真题)(多选)已知函数3()1f x x x =-+,则( ) A .()f x 有两个极值点B .()f x 有三个零点C .点(0,1)是曲线()y f x =的对称中心D .直线2y x =是曲线()y f x =的切线2.(2022∙全国乙卷∙高考真题)已知1x x =和2x x =分别是函数2()2e x f x a x =-(0a >且1a ≠)的极小值点和极大值点.若12x x <,则a 的取值范围是 .3.(2021∙全国乙卷∙高考真题)设0a ≠,若a 为函数()()()2f x a x a x b =--的极大值点,则( ) A .a b <B .a b >C .2ab a <D .2ab a >考点07 导数与函数的基本性质结合问题1.(2024∙全国新Ⅰ卷∙高考真题)(多选)设函数2()(1)(4)f x x x =--,则( ) A .3x =是()f x 的极小值点 B .当01x <<时,()2()f x f x <C .当12x <<时,4(21)0f x -<-<D .当10x -<<时,(2)()f x f x ->2.(2023∙全国新Ⅰ卷∙高考真题)(多选)已知函数()f x 的定义域为R ,()()()22f xy y f x x f y =+,则( ).A .()00f =B .()10f =C .()f x 是偶函数D .0x =为()f x 的极小值点3.(2022∙全国新Ⅰ卷∙高考真题)(多选)已知函数()f x 及其导函数()f x '的定义域均为R ,记()()g x f x '=,若322f x ⎛⎫- ⎪⎝⎭,(2)g x +均为偶函数,则( )A .(0)0f =B .102g ⎛⎫-= ⎪⎝⎭C .(1)(4)f f -=D .(1)(2)g g -=4.(2021∙全国新Ⅱ卷∙高考真题)写出一个同时具有下列性质①②③的函数():f x . ①()()()1212f x x f x f x =;②当(0,)x ∈+∞时,()0f x '>;③()f x '是奇函数.考点08 利用导数研究函数的零点及其应用1.(2024∙全国新Ⅱ卷∙高考真题)(多选)设函数32()231f x x ax =-+,则( ) A .当1a >时,()f x 有三个零点 B .当0a <时,0x =是()f x 的极大值点C .存在a ,b ,使得x b =为曲线()y f x =的对称轴D .存在a ,使得点()()1,1f 为曲线()y f x =的对称中心2.(2023∙全国乙卷∙高考真题)函数()32f x x ax =++存在3个零点,则a 的取值范围是( )A .(),2-∞-B .(),3-∞-C .()4,1--D .()3,0-3.(2021∙北京∙高考真题)已知函数()lg 2f x x kx =--,给出下列四个结论: ①若0k =,()f x 恰 有2个零点; ②存在负数k ,使得()f x 恰有1个零点; ③存在负数k ,使得()f x 恰有3个零点; ④存在正数k ,使得()f x 恰有3个零点.其中所有正确结论的序号是 .考点09 利用导数研究方程的根及其应用1.(2024∙全国甲卷∙高考真题)曲线33y x x =-与()21y x a =--+在()0,∞+上有两个不同的交点,则a 的取值范围为 .2.(2021∙北京∙高考真题)已知函数()lg 2f x x kx =--,给出下列四个结论: ①若0k =,()f x 恰 有2个零点; ②存在负数k ,使得()f x 恰有1个零点; ③存在负数k ,使得()f x 恰有3个零点; ④存在正数k ,使得()f x 恰有3个零点.其中所有正确结论的序号是 .考点10 构建函数利用导数判断函数单调性比较函数值大小关系1.(2022∙全国甲卷∙高考真题)已知3111,cos ,4sin 3244a b c ===,则( ) A .c b a >>B .b a c >>C .a b c >>D .a c b >>2.(2022∙全国新Ⅰ卷∙高考真题)设0.110.1e ,ln 0.99a b c ===-,,则( )A .a b c <<B .c b a <<C .c<a<bD .a c b <<3.(2021∙全国乙卷∙高考真题)设2ln1.01a =,ln1.02b =,1c =-.则( ) A .a b c << B .b<c<aC .b a c <<D .c<a<b参考答案考点01 导数的基本计算及其应用1.(2020∙全国∙高考真题)设函数e ()xf x x a =+.若(1)4e f '=,则a = .【答案】1【详细分析】由题意首先求得导函数的过程解析式,然后得到关于实数a 的方程,解方程即可确定实数a 的值【答案详解】由函数的过程解析式可得:()()()()()221x xx e x a e e x a f x x a x a +-+-'==++,则:()()()()12211111e a aef a a ⨯+-'==++,据此可得:()241aeea =+,整理可得:2210a a -+=,解得:1a =. 故答案为:1.【名师点评】本题主要考查导数的运算法则,导数的计算,方程的数学思想等知识,属于中等题.考点02 求切线方程及其应用1.(2024∙全国甲卷∙高考真题)设函数()2e 2sin 1x xf x x +=+,则曲线()y f x =在点()0,1处的切线与两坐标轴所围成的三角形的面积为( )A .16B .13C .12D .23【答案】A【详细分析】借助导数的几何意义计算可得其在点()0,1处的切线方程,即可得其与坐标轴的交点坐标,即可得其面积. 【答案详解】()()()()()222e 2cos 1e 2sin 21xx x x x xf x x ++-+⋅+'=,则()()()()()02e 2cos 010e 2sin 000310f ++-+⨯+'==,即该切线方程为13y x -=,即31y x =+, 令0x =,则1y =,令0y =,则13x =-, 故该切线与两坐标轴所围成的三角形面积1111236S =⨯⨯-=. 故选:A.2.(2023∙全国甲卷∙高考真题)曲线e 1xy x =+在点e 1,2⎛⎫ ⎪⎝⎭处的切线方程为( )A .e4y x = B .e 2y x =C .e e 44y x =+ D .e 3e24y x =+ 【答案】C【详细分析】先由切点设切线方程,再求函数的导数,把切点的横坐标代入导数得到切线的斜率,代入所设方程即可求解.【答案详解】设曲线e 1xy x =+在点e 1,2⎛⎫ ⎪⎝⎭处的切线方程为()e 12y k x -=-, 因为e 1xy x =+, 所以()()()22e 1e e 11x xxx x y x x =+'+-=+,所以1e|4x k y ='==所以()e e124y x -=- 所以曲线e 1xy x =+在点e 1,2⎛⎫ ⎪⎝⎭处的切线方程为e e 44y x =+. 故选:C3.(2022∙全国新Ⅱ卷∙高考真题)曲线ln ||y x =过坐标原点的两条切线的方程为 , . 【答案】 1ey x =1e y x =-【详细分析】分0x >和0x <两种情况,当0x >时设切点为()00,ln x x ,求出函数的导函数,即可求出切线的斜率,从而表示出切线方程,再根据切线过坐标原点求出0x ,即可求出切线方程,当0x <时同理可得; 【答案详解】[方法一]:化为分段函数,分段求分0x >和0x <两种情况,当0x >时设切点为()00,ln x x ,求出函数导函数,即可求出切线的斜率,从而表示出切线方程,再根据切线过坐标原点求出0x ,即可求出切线方程,当0x <时同理可得; 解: 因为ln y x =,当0x >时ln y x =,设切点为()00,ln x x ,由1y x'=,所以001|x x y x ='=,所以切线方程为()0001ln y x x x x -=-,又切线过坐标原点,所以()0001ln x x x -=-,解得0e x =,所以切线方程为()11e e y x -=-,即1ey x =; 当0x <时()ln y x =-,设切点为()()11,ln x x -,由1y x'=,所以111|x x y x ='=,所以切线方程为()()1111ln y x x x x --=-, 又切线过坐标原点,所以()()1111ln x x x --=-,解得1e x =-,所以切线方程为()11e e y x -=+-,即1ey x =-;故答案为:1ey x =;1e y x =-[方法二]:根据函数的对称性,数形结合 当0x >时ln y x =,设切点为()00,ln x x ,由1y x'=,所以001|x x y x ='=,所以切线方程为()0001ln y x x x x -=-,又切线过坐标原点,所以()0001ln x x x -=-,解得0e x =,所以切线方程为()11e e y x -=-,即1ey x =; 因为ln y x =是偶函数,图象为:所以当0x <时的切线,只需找到1ey x =关于y 轴的对称直线1e y x =-即可.[方法三]: 因为ln y x =,当0x >时ln y x =,设切点为()00,ln x x ,由1y x'=,所以001|x x y x ='=,所以切线方程为()0001ln y x x x x -=-,又切线过坐标原点,所以()0001ln x x x -=-,解得0e x =,所以切线方程为()11e e y x -=-,即1ey x =; 当0x <时()ln y x =-,设切点为()()11,ln x x -,由1y x'=,所以111|x x y x ='=,所以切线方程为()()1111ln y x x x x --=-, 又切线过坐标原点,所以()()1111ln x x x --=-,解得1e x =-,所以切线方程为()11e ey x -=+-,即1e y x =-; 故答案为:1ey x =;1e y x =-.4.(2022∙全国新Ⅰ卷∙高考真题)若曲线()e x y x a =+有两条过坐标原点的切线,则a 的取值范围是 .【答案】()(),40,-∞-+∞【详细分析】设出切点横坐标0x ,利用导数的几何意义求得切线方程,根据切线经过原点得到关于0x 的方程,根据此方程应有两个不同的实数根,求得a 的取值范围. 【答案详解】∵()e x y x a =+,∴(1)e x y x a '=++,设切点为()00,x y ,则()000e x y x a =+,切线斜率()001e xk x a =++, 切线方程为:()()()00000e 1e x xy x a x a x x -+=++-,∵切线过原点,∴()()()00000e1e x x x a x a x -+=++-,整理得:2000x ax a +-=,∵切线有两条,∴240a a ∆=+>,解得4a <-或0a >, ∴a 的取值范围是()(),40,-∞-+∞ ,故答案为:()(),40,-∞-+∞5.(2021∙全国甲卷∙高考真题)曲线2x 1y x 2-=+在点()1,3--处的切线方程为 . 【答案】520x y -+=【详细分析】先验证点在曲线上,再求导,代入切线方程公式即可. 【答案详解】由题,当=1x -时,=3y -,故点在曲线上. 求导得:()()()()222221522x x y x x +--==++',所以1|5x y =-='.故切线方程为520x y -+=. 故答案为:520x y -+=.6.(2021∙全国新Ⅱ卷∙高考真题)已知函数12()1,0,0xf x e x x <=>-,函数()f x 的图象在点()()11,A x f x 和点()()22,B x f x 的两条切线互相垂直,且分别交y 轴于M ,N 两点,则||||AM BN 取值范围是 . 【答案】()0,1【详细分析】结合导数的几何意义可得120x x +=,结合直线方程及两点间距离公式可得1A x M =,2B x N ,化简即可得解.【答案详解】由题意,()1011,0,xxx e x f x e e x <=⎧---≥⎪=⎨⎪⎩,则()0,,0x x x f x e e x ⎧-⎪=<>⎨'⎪⎩, 所以点()11,1x A x e -和点()22,1x B x e -,12,x xAM BN k e k e =-=,所以12121,0x xe e x x -⋅=-+=,所以()()111111,0:,11x x x xe e x x e AM e y M x -+=---+,所以1x AM ==,同理2B x N =,所以()10,1x e NAM B ===∈=. 故答案为:()0,1【名师点评】关键点名师点评:解决本题的关键是利用导数的几何意义转化条件120x x +=,消去一个变量后,运算即可得解. 7.(2021∙全国新Ⅰ卷∙高考真题)若过点(),a b 可以作曲线e x y =的两条切线,则( ) A .e b a < B .e a b < C .0e b a << D .0e a b <<【答案】D【详细分析】解法一:根据导数几何意义求得切线方程,再构造函数,利用导数研究函数图象,结合图形确定结果;解法二:画出曲线x y e =的图象,根据直观即可判定点(),a b 在曲线下方和x 轴上方时才可以作出两条切线. 【答案详解】在曲线x y e =上任取一点(),tP t e ,对函数x y e =求导得e x y '=,所以,曲线x y e =在点P 处的切线方程为()t ty e e x t -=-,即()1t t y e x t e =+-, 由题意可知,点(),a b 在直线()1t t y e x t e =+-上,可得()()11t t tb ae t e a t e =+-=+-, 令()()1t f t a t e =+-,则()()tf t a t e '=-.当t a <时,()0f t '>,此时函数()f t 单调递增, 当t a >时,()0f t '<,此时函数()f t 单调递减,所以,()()max af t f a e ==,由题意可知,直线y b =与曲线()y f t =的图象有两个交点,则()max ab f t e <=,当1t a <+时,()0f t >,当1t a >+时,()0f t <,作出函数()f t 的图象如下图所示:由图可知,当0a b e <<时,直线y b =与曲线()y ft =的图象有两个交点.故选:D.解法二:画出函数曲线x y e =的图象如图所示,根据直观即可判定点(),a b 在曲线下方和x 轴上方时才可以作出两条切线.由此可知0a b e <<.故选:D.【名师点评】解法一是严格的证明求解方法,其中的极限处理在中学知识范围内需要用到指数函数的增长特性进行估计,解法二是根据基于对指数函数的图象的清晰的理解与认识的基础上,直观解决问题的有效方法.8.(2020∙全国∙高考真题)若直线l 与曲线yx 2+y 2=15都相切,则l 的方程为( )A .y =2x +1B .y =2x +12C .y =12x +1D .y =12x +12【答案】D【详细分析】根据导数的几何意义设出直线l 的方程,再由直线与圆相切的性质,即可得出答案. 【答案详解】设直线l在曲线y =上的切点为(0x ,则00x >,函数y =y '=,则直线l的斜率k =, 设直线l的方程为)0y x x =-,即00x x -+=, 由于直线l 与圆2215x y +== 两边平方并整理得2005410x x --=,解得01x =,015x =-(舍), 则直线l 的方程为210x y -+=,即1122y x =+. 故选:D.【名师点评】本题主要考查了导数的几何意义的应用以及直线与圆的位置的应用,属于中档题. 9.(2020∙全国∙高考真题)函数43()2f x x x =-的图像在点(1(1))f ,处的切线方程为( ) A .21y x =--B .21y x =-+C .23y x =-D .21y x =+【答案】B【详细分析】求得函数()y f x =的导数()f x ',计算出()1f 和()1f '的值,可得出所求切线的点斜式方程,化简即可.【答案详解】()432f x x x =- ,()3246f x x x '∴=-,()11f ∴=-,()12f '=-,因此,所求切线的方程为()121y x +=--,即21y x =-+. 故选:B.【名师点评】本题考查利用导数求解函图象的切线方程,考查计算能力,属于基础题10.(2020∙全国∙高考真题)曲线ln 1y x x =++的一条切线的斜率为2,则该切线的方程为 . 【答案】2y x =【详细分析】设切线的切点坐标为00(,)x y ,对函数求导,利用0|2x y '=,求出0x ,代入曲线方程求出0y ,得到切线的点斜式方程,化简即可.【答案详解】设切线的切点坐标为001(,),ln 1,1x y y x x y x=++'=+, 00001|12,1,2x x y x y x ='=+===,所以切点坐标为(1,2), 所求的切线方程为22(1)y x -=-,即2y x =. 故答案为:2y x =.【名师点评】本题考查导数的几何意义,属于基础题.11.(2019∙江苏∙高考真题)在平面直角坐标系xOy 中,点A 在曲线y =ln x 上,且该曲线在点A 处的切线经过点(‐e ,‐1)(e 为自然对数的底数),则点A 的坐标是 . 【答案】(e, 1).【详细分析】设出切点坐标,得到切线方程,然后求解方程得到横坐标的值可得切点坐标. 【答案详解】设点()00,A x y ,则00ln y x =.又1y x'=, 当0x x =时,01y x '=, 点A 在曲线ln y x =上的切线为0001()y y x x x -=-, 即00ln 1xy x x -=-, 代入点(),1e --,得001ln 1ex x ---=-, 即00ln x x e =,考查函数()ln H x x x =,当()0,1x ∈时,()0H x <,当()1,x ∈+∞时,()0H x >,且()'ln 1H x x =+,当1x >时,()()'0,>H x H x 单调递增,注意到()H e e =,故00ln x x e =存在唯一的实数根0x e =,此时01y =, 故点A 的坐标为(),1A e .【名师点评】导数运算及切线的理解应注意的问题:一是利用公式求导时要特别注意除法公式中分子的符号,防止与乘法公式混淆.二是直线与曲线公共点的个数不是切线的本质,直线与曲线只有一个公共点,直线不一定是曲线的切线,同样,直线是曲线的切线,则直线与曲线可能有两个或两个以上的公共点.12.(2019∙全国∙高考真题)已知曲线e ln x y a x x =+在点()1,ae 处的切线方程为2y x b =+,则A .,1a e b ==-B .,1a e b ==C .1,1a e b -==D .1,1a e b -==-【答案】D【过程解析】通过求导数,确定得到切线斜率的表达式,求得a ,将点的坐标代入直线方程,求得b . 【答案详解】答案详解:ln 1,x y ae x '=++1|12x k y ae ='==+=,1a e -∴=将(1,1)代入2y x b =+得21,1b b +==-,故选D .【名师点评】本题关键得到含有a ,b 的等式,利用导数几何意义和点在曲线上得到方程关系. 13.(2019∙天津∙高考真题) 曲线cos 2xy x =-在点()0,1处的切线方程为 . 【答案】220x y +-=【详细分析】利用导数值确定切线斜率,再用点斜式写出切线方程. 【答案详解】1'sin 2y x =--,当0x =时其值为12-,故所求的切线方程为112y x -=-,即220x y +-=.【名师点评】曲线切线方程的求法:(1)以曲线上的点(x 0,f (x 0))为切点的切线方程的求解步骤: ①求出函数f (x )的导数f ′(x ); ②求切线的斜率f ′(x 0);③写出切线方程y -f (x 0)=f ′(x 0)(x -x 0),并化简.(2)如果已知点(x 1,y 1)不在曲线上,则设出切点(x 0,y 0),解方程组0010010()'()y f x y y f x x x=⎧⎪-⎨=⎪-⎩得切点(x 0,y 0),进而确定切线方程.14.(2019∙全国∙高考真题)曲线23()e x y x x =+在点(0,0)处的切线方程为 .【答案】30x y -=.【详细分析】本题根据导数的几何意义,通过求导数,确定得到切线的斜率,利用直线方程的点斜式求得切线方程【答案详解】答案详解:/223(21)3()3(31),x x x y x e x x e x x e =+++=++所以,/0|3x k y ===所以,曲线23()e x y x x =+在点(0,0)处的切线方程为3y x =,即30x y -=.【名师点评】准确求导数是进一步计算的基础,本题易因为导数的运算法则掌握不熟,二导致计算错误.求导要“慢”,计算要准,是解答此类问题的基本要求.15.(2019∙全国∙高考真题)曲线y =2sin x +cos x 在点(π,–1)处的切线方程为A .10x y --π-=B .2210x y --π-=C .2210x y +-π+=D .10x y +-π+=【答案】C【详细分析】先判定点(,1)π-是否为切点,再利用导数的几何意义求解.【答案详解】当x π=时,2sin cos 1y =π+π=-,即点(,1)π-在曲线2sin cos y x x =+上.2cos sin ,y x x '=- 2cos sin 2,x y πππ=∴=-=-'则2sin cos y x x =+在点(,1)π-处的切线方程为(1)2()y x --=--π,即2210x y +-π+=.故选C .【名师点评】本题考查利用导数工具研究曲线的切线方程,渗透了直观想象、逻辑推理和数学运算素养.采取导数法,利用函数与方程思想解题.学生易在非切点处直接求导数而出错,首先证明已知点是否为切点,若是切点,可以直接利用导数求解;若不是切点,设出切点,再求导,然后列出切线方程.考点03 公切线问题1.(2024∙全国新Ⅰ卷∙高考真题)若曲线e x y x =+在点()0,1处的切线也是曲线ln(1)y x a =++的切线,则=a .【答案】ln 2【详细分析】先求出曲线e x y x =+在()0,1的切线方程,再设曲线()ln 1y x a =++的切点为()()00,ln 1x x a ++,求出y ',利用公切线斜率相等求出0x ,表示出切线方程,结合两切线方程相同即可求解. 【答案详解】由e x y x =+得e 1x y '=+,00|e 12x y ='=+=, 故曲线e x y x =+在()0,1处的切线方程为21y x =+;由()ln 1y x a =++得11y x '=+, 设切线与曲线()ln 1y x a =++相切的切点为()()00,ln 1x x a ++, 由两曲线有公切线得0121y x '==+,解得012x =-,则切点为11,ln 22a ⎛⎫-+ ⎪⎝⎭,切线方程为112ln 21ln 222y x a x a ⎛⎫=+++=++- ⎪⎝⎭,根据两切线重合,所以ln 20a -=,解得ln 2a =. 故答案为:ln 22.(2016∙全国∙高考真题)若直线y kx b =+是曲线ln 2y x =+的切线,也是曲线ln(1)y x =+的切线,则b = .【答案】1ln 2-【答案详解】试题详细分析:对函数ln 2y x =+求导得1y x '=,对ln(1)y x =+求导得11y x '=+,设直线y kx b =+与曲线ln 2y x =+相切于点111(,)P x y ,与曲线ln(1)y x =+相切于点222(,)P x y ,则1122ln 2,ln(1)y x y x =+=+,由点111(,)P x y 在切线上得()1111ln 2()y x x x x -+=-,由点222(,)P x y 在切线上得2221ln(1)()1y x x x x -+=-+,这两条直线表示同一条直线,所以,解得11111,2,ln 211ln 22x k b x x =∴===+-=-. 【考点】导数的几何意义【名师点评】函数f (x )在点x 0处的导数f ′(x 0)的几何意义是曲线y =f (x )在点P (x 0,y 0)处的切线的斜率.相应地,切线方程为y−y 0=f ′(x 0)(x−x 0). 注意:求曲线切线时,要分清在点P 处的切线与过点P 的切线的不同.3.(2015∙全国∙高考真题)已知曲线ln y x x =+在点()1,1处的切线与曲线()221y ax a x =+++相切,则a= . 【答案】8【答案详解】试题详细分析:函数ln y x x =+在(1,1)处的导数为111|1|2x x y x===+=',所以切线方程为;曲线2(2)1y ax a x =+++的导函数的为,因与该曲线相切,可令,当时,曲线为直线,与直线平行,不符合题意;当时,代入曲线方程可求得切点,代入切线方程即可求得.考点:导函数的运用.【方法名师点评】求曲线在某一点的切线,可先求得曲线在该点的导函数值,也即该点切线的斜率值,再由点斜式得到切线的方程,当已知切线方程而求函数中的参数时,可先求得函数的导函数,令导函数的值等于切线的斜率,这样便能确定切点的横坐标,再将横坐标代入曲线(切线)得到纵坐标得到切点坐标,并代入切线(曲线)方程便可求得参数.考点04 利用导数判断函数单调性及其应用1.(2024∙全国新Ⅰ卷∙高考真题)(多选)设函数2()(1)(4)f x x x =--,则( ) A .3x =是()f x 的极小值点 B .当01x <<时,()2()f x f x <C .当12x <<时,4(21)0f x -<-<D .当10x -<<时,(2)()f x f x ->【答案】ACD【详细分析】求出函数()f x 的导数,得到极值点,即可判断A ;利用函数的单调性可判断B ;根据函数()f x 在()1,3上的值域即可判断C ;直接作差可判断D.【答案详解】对A ,因为函数()f x 的定义域为R ,而()()()()()()22141313f x x x x x x =--+-=--',易知当()1,3x ∈时,()0f x '<,当(),1x ∞∈-或()3,x ∞∈+时,()0f x '>函数()f x 在(),1∞-上单调递增,在()1,3上单调递减,在()3,∞+上单调递增,故3x =是函数()f x 的极小值点,正确;对B ,当01x <<时,()210x x x x -=->,所以210x x >>>,而由上可知,函数()f x 在()0,1上单调递增,所以()()2f x f x >,错误;对C ,当12x <<时,1213x <-<,而由上可知,函数()f x 在()1,3上单调递减, 所以()()()1213f f x f >->,即()4210f x -<-<,正确;对D ,当10x -<<时,()()()()()()222(2)()12141220f x f x x x x x x x --=------=-->, 所以(2)()f x f x ->,正确; 故选:ACD.2.(2023∙全国新Ⅱ卷∙高考真题)已知函数()e ln xf x a x =-在区间()1,2上单调递增,则a 的最小值为( ). A .2e B .e C .1e - D .2e -【答案】C【详细分析】根据()1e 0xf x a x'=-≥在()1,2上恒成立,再根据分参求最值即可求出. 【答案详解】依题可知,()1e 0xf x a x '=-≥在()1,2上恒成立,显然0a >,所以1e x x a≥, 设()()e ,1,2x g x x x =∈,所以()()1e 0xg x x '=+>,所以()g x 在()1,2上单调递增,()()1e g x g >=,故1e a ≥,即11e ea -≥=,即a 的最小值为1e -. 故选:C .3.(2023∙全国乙卷∙高考真题)设()0,1a ∈,若函数()()1xx f x a a =++在()0,∞+上单调递增,则a 的取值范围是 .【答案】1,12⎫-⎪⎢⎪⎣⎭【详细分析】原问题等价于()()()ln 1ln 10xx f x a a a a '=+++≥恒成立,据此将所得的不等式进行恒等变形,可得()1ln ln 1xa a a a +⎛⎫≥-⎪+⎝⎭,由右侧函数的单调性可得实数a 的二次不等式,求解二次不等式后可确定实数a 的取值范围.【答案详解】由函数的过程解析式可得()()()ln 1ln 10xx f x a a a a '=+++≥在区间()0,∞+上恒成立,则()()1ln 1ln xxa a a a ++≥-,即()1ln ln 1xa a a a +⎛⎫≥-⎪+⎝⎭在区间()0,∞+上恒成立, 故()01ln 1ln 1a a a a +⎛⎫=≥-⎪+⎝⎭,而()11,2a +∈,故()ln 10a +>,故()ln 1ln 01a a a ⎧+≥-⎨<<⎩即()1101a a a ⎧+≥⎨<<⎩,故112a ≤<,结合题意可得实数a 的取值范围是1,12⎫⎪⎢⎪⎣⎭.故答案为:1,12⎫⎪⎢⎪⎣⎭. 4.(2019∙北京∙高考真题)设函数f (x )=e x +a e −x (a 为常数).若f (x )为奇函数,则a = ;若f (x )是R 上的增函数,则a 的取值范围是 . 【答案】 ‐1; (],0-∞.【详细分析】首先由奇函数的定义得到关于a 的恒等式,据此可得a 的值,然后利用导函数的过程解析式可得a 的取值范围.【答案详解】若函数()x x f x e ae -=+为奇函数,则()()(),x x x xf x f x e ae e ae ---=-+=-+,()()1 0x x a e e -++=对任意的x 恒成立.若函数()x x f x e ae -=+是R 上的增函数,则()' 0x xf x e ae -=-≥恒成立,2,0x a e a ≤≤.即实数a 的取值范围是(],0-∞【名师点评】本题考查函数的奇偶性、单调性、利用单调性确定参数的范围.解答过程中,需利用转化与化归思想,转化成恒成立问题.注重重点知识、基础知识、基本运算能力的考查.考点05 求极值与最值及其应用1.(2024∙上海∙高考真题)已知函数()f x 的定义域为R ,定义集合()()(){}0000,,,M x x x x f x f x ∞=∈∈-<R ,在使得[]1,1M =-的所有()f x 中,下列成立的是( ) A .存在()f x 是偶函数 B .存在()f x 在2x =处取最大值 C .存在()f x 是严格增函数 D .存在()f x 在=1x -处取到极小值【答案】B【详细分析】对于ACD 利用反证法并结合函数奇偶性、单调性以及极小值的概念即可判断,对于B ,构造函数()2,1,111,1x f x x x x -<-⎧⎪=-≤≤⎨⎪>⎩即可判断.【答案详解】对于A ,若存在 ()y f x = 是偶函数, 取 01[1,1]x =∈-, 则对于任意 (,1),()(1)x f x f ∈-∞<, 而 (1)(1)f f -=, 矛盾, 故 A 错误;对于B ,可构造函数()2,1,,11,1,1,x f x x x x -<-⎧⎪=-≤≤⎨⎪>⎩满足集合[]1,1M =-,当1x <-时,则()2f x =-,当11x -≤≤时,()[]1,1f x ∈-,当1x >时,()1f x =, 则该函数()f x 的最大值是()2f ,则B 正确;对C ,假设存在()f x ,使得()f x 严格递增,则M =R ,与已知[]1,1M =-矛盾,则C 错误;对D ,假设存在()f x ,使得()f x 在=1x -处取极小值,则在1-的左侧附近存在n ,使得()()1f n f >-,这与已知集合M 的定义矛盾,故D 错误; 故选:B.2.(2023∙全国新Ⅱ卷∙高考真题)若函数()()2ln 0b cf x a x a x x =++≠既有极大值也有极小值,则( ). A .0bc > B .0ab > C .280b ac +> D .0ac <【答案】BCD【详细分析】求出函数()f x 的导数()f x ',由已知可得()f x '在(0,)+∞上有两个变号零点,转化为一元二次方程有两个不等的正根判断作答.【答案详解】函数2()ln b c f x a x x x =++的定义域为(0,)+∞,求导得223322()a b c ax bx cf x x x x x --'=--=, 因为函数()f x 既有极大值也有极小值,则函数()f x '在(0,)+∞上有两个变号零点,而0a ≠, 因此方程220ax bx c --=有两个不等的正根12,x x ,于是21212Δ80020b ac b x x a c x x a ⎧⎪=+>⎪⎪+=>⎨⎪⎪=->⎪⎩,即有280b ac +>,0ab >,0ac <,显然20a bc <,即0bc <,A 错误,BCD 正确.故选:BCD3.(2022∙全国乙卷∙高考真题)函数()()cos 1sin 1f x x x x =+++在区间[]0,2π的最小值、最大值分别为( ) A .ππ22-,B .3ππ22-, C .ππ222-+,D .3ππ222-+, 【答案】D【详细分析】利用导数求得()f x 的单调区间,从而判断出()f x 在区间[]0,2π上的最小值和最大值. 【答案详解】()()()sin sin 1cos 1cos f x x x x x x x '=-+++=+,所以()f x 在区间π0,2⎛⎫ ⎪⎝⎭和3π,2π2⎛⎫ ⎪⎝⎭上()0f x ¢>,即()f x 单调递增;在区间π3π,22⎛⎫⎪⎝⎭上()0f x '<,即()f x 单调递减,又()()02π2f f ==,ππ222f ⎛⎫=+ ⎪⎝⎭,3π3π3π11222f ⎛⎫⎛⎫=-++=- ⎪ ⎪⎝⎭⎝⎭,所以()f x 在区间[]0,2π上的最小值为3π2-,最大值为π22+. 故选:D4.(2022∙全国甲卷∙高考真题)当1x =时,函数()ln bf x a x x=+取得最大值2-,则(2)f '=( ) A .1- B .12-C .12D .1【答案】B【详细分析】根据题意可知()12f =-,()10f '=即可解得,a b ,再根据()f x '即可解出. 【答案详解】因为函数()f x 定义域为()0,∞+,所以依题可知,()12f =-,()10f '=,而()2a b f x x x -'=,所以2,0b a b =--=,即2,2a b =-=-,所以()222f x x x'=-+,因此函数()f x 在()0,1上递增,在()1,∞+上递减,1x =时取最大值,满足题意,即有()112122f =-+=-'. 故选:B.5.(2021∙全国新Ⅰ卷∙高考真题)函数()212ln f x x x =--的最小值为 . 【答案】1【详细分析】由过程解析式知()f x 定义域为(0,)+∞,讨论102x <≤、112x <≤、1x >,并结合导数研究的单调性,即可求()f x 最小值.【答案详解】由题设知:()|21|2ln f x x x =--定义域为(0,)+∞,∴当102x <≤时,()122ln f x x x =--,此时()f x 单调递减;当112x <≤时,()212ln f x x x =--,有2()20f x x'=-≤,此时()f x 单调递减; 当1x >时,()212ln f x x x =--,有2()20f x x'=->,此时()f x 单调递增; 又()f x 在各分段的界点处连续,∴综上有:01x <≤时,()f x 单调递减,1x >时,()f x 单调递增; ∴()(1)1f x f ≥=故答案为:1.考点06 利用导数研究函数的极值点及其应用1.(2022∙全国新Ⅰ卷∙高考真题)(多选)已知函数3()1f x x x =-+,则( ) A .()f x 有两个极值点B .()f x 有三个零点C .点(0,1)是曲线()y f x =的对称中心D .直线2y x =是曲线()y f x =的切线【答案】AC【详细分析】利用极值点的定义可判断A ,结合()f x 的单调性、极值可判断B ,利用平移可判断C ;利用导数的几何意义判断D.【答案详解】由题,()231f x x '=-,令()0f x ¢>得3x >或3x <-,令()0f x '<得33x -<<,所以()f x 在(,3-∞-,(,)3+∞上单调递增,(33-上单调递减,所以3x =±是极值点,故A 正确;因(1039f -=+>,10f =>,()250f -=-<,所以,函数()f x 在,⎛-∞ ⎝⎭上有一个零点,当3x ≥时,()03f x f ⎫≥>⎪⎪⎝⎭,即函数()f x 在3⎫∞⎪⎪⎝⎭上无零点, 综上所述,函数()f x 有一个零点,故B 错误;令3()h x x x =-,该函数的定义域为R ,()()()()33h x x x x x h x -=---=-+=-, 则()h x 是奇函数,(0,0)是()h x 的对称中心, 将()h x 的图象向上移动一个单位得到()f x 的图象, 所以点(0,1)是曲线()y f x =的对称中心,故C 正确;令()2312f x x '=-=,可得1x =±,又()(1)11f f =-=,当切点为(1,1)时,切线方程为21y x =-,当切点为(1,1)-时,切线方程为23y x =+,故D 错误.故选:AC.2.(2022∙全国乙卷∙高考真题)已知1x x =和2x x =分别是函数2()2e x f x a x =-(0a >且1a ≠)的极小值点和极大值点.若12x x <,则a 的取值范围是 .【答案】1,1e ⎛⎫ ⎪⎝⎭【详细分析】法一:依题可知,方程2ln 2e 0x a a x ⋅-=的两个根为12,x x ,即函数ln x y a a =⋅与函数e y x =的图象有两个不同的交点,构造函数()ln xg x a a =⋅,利用指数函数的图象和图象变换得到()g x 的图象,利用导数的几何意义求得过原点的切线的斜率,根据几何意义可得出答案. 【答案详解】[方法一]:【最优解】转化法,零点的问题转为函数图象的交点因为()2ln 2e xf x a a x ⋅-'=,所以方程2ln 2e 0x a a x ⋅-=的两个根为12,x x ,即方程ln e x a a x ⋅=的两个根为12,x x ,即函数ln x y a a =⋅与函数e y x =的图象有两个不同的交点,因为12,x x 分别是函数()22e x f x a x =-的极小值点和极大值点,所以函数()f x 在()1,x ∞-和()2,x ∞+上递减,在()12,x x 上递增, 所以当时()1,x ∞-()2,x ∞+,()0f x '<,即e y x =图象在ln x y a a =⋅上方 当()12,x x x ∈时,()0f x '>,即e y x =图象在ln x y a a =⋅下方1a >,图象显然不符合题意,所以01a <<.令()ln x g x a a =⋅,则()2ln ,01xg x a a a =⋅<<',设过原点且与函数()y g x =的图象相切的直线的切点为()00,ln xx a a ⋅,则切线的斜率为()020ln x g x a a ='⋅,故切线方程为()0020ln ln x x y a a a a x x -⋅=⋅-, 则有0020ln ln x x a a x a a -⋅=-⋅,解得01ln x a=,则切线的斜率为122ln ln eln a a a a ⋅=, 因为函数ln x y a a =⋅与函数e y x =的图象有两个不同的交点,所以2eln e a <,解得1e e a <<,又01a <<,所以11ea <<,综上所述,a 的取值范围为1,1e ⎛⎫⎪⎝⎭.[方法二]:【通性通法】构造新函数,二次求导()2ln 2e x f x a a x ⋅-'==0的两个根为12,x x因为12,x x 分别是函数()22e x f x a x =-的极小值点和极大值点,所以函数()f x 在()1,x ∞-和()2,x ∞+上递减,在()12,x x 上递增,设函数()()()g 2ln xx f x a a ex ='=-,则()()22ln 2x x a a e '=-,若1a >,则()x '在R 上单调递增,此时若()00f x '=,则()f x '在()0,x ∞-上单调递减,在()0,x ∞+上单调递增,此时若有1x x =和2x x =分别是函数()22(0x f x a ex a =->且1)a ≠的极小值点和极大值点,则12x x >,不符合题意;若01a <<,则()x '在R 上单调递减,此时若()00x '=,则()f x '在()0,x ∞-上单调递增,在()0,x ∞+上单调递减,令()00x '=,则02(ln )xea a =,此时若有1x x =和2x x =分别是函数()22(0x f x a ex a =->且1)a ≠的极小值点和极大值点,且12x x <,则需满足()00f x '>,()()00002ln 20ln xe f x a a ex ex a ⎛⎫=-=-> ⎪⎝⎭',即001ln 1ln x x a a<>故()002ln ln ln 1ln x e a x a a ==>,所以11e a <<. 【整体点评】法一:利用函数的零点与两函数图象交点的关系,由数形结合解出,突出“小题小做”,是该题的最优解;法二:通过构造新函数,多次求导判断单调性,根据极值点的大小关系得出不等式,解出即可,该法属于通性通法.3.(2021∙全国乙卷∙高考真题)设0a ≠,若a 为函数()()()2f x a x a x b =--的极大值点,则( ) A .a b < B .a b > C .2ab a < D .2ab a >【答案】D 【详细分析】先考虑函数的零点情况,注意零点左右附近函数值是否变号,结合极大值点的性质,对进行分类讨论,画出图象,即可得到,a b 所满足的关系,由此确定正确选项.【答案详解】若a b =,则()()3f x a x a =-为单调函数,无极值点,不符合题意,故a b ¹.()f x ∴有a 和b 两个不同零点,且在x a =左右附近是不变号,在x b =左右附近是变号的.依题意,a 为函数的极大值点,∴在x a =左右附近都是小于零的.当a<0时,由x b >,()0f x ≤,画出()f x 的图象如下图所示:。
2019年高考数学真题分类汇编专题19:导数在函数中的应用(综合题)一、解答题(共12题;共110分)1.(15分)设函数 f(x)=(x −a)(x −b)(x −c),a,b,c ∈R 、 f ′(x) 为f (x )的导函数.(1)(5分)若a =b =c ,f (4)=8,求a 的值;(2)(5分)若a ≠b ,b =c ,且f (x )和 f ′(x) 的零点均在集合 {−3,1,3} 中,求f (x )的极小值;(3)(5分)若 a =0,0<b ⩽1,c =1 ,且f (x )的极大值为M ,求证:M ≤ 427.2.(10分)已知实数a≠0,设函数f (x )=alnx+ √x +1 .x>0 (1)(5分)当a=- 34时,求函数f (x )的单调区间(2)(5分)对任意x ∈[ 1e 2 ,+∞)均有f (x )≤ √x2a ,求a 的取值范围3.(5分)设函数 f(x)=lnx −a(x −1)e x ,其中 a ∈R .(Ⅰ)若 a ≤0 ,讨论 f(x) 的单调性;(Ⅱ)若 0<a <1e,(i )证明 f(x) 恰有两个零点(ii )设 x 为 f(x) 的极值点, x 1 为 f(x) 的零点,且 x 1>x 0 ,证明 3x 0−x 1>2 .4.(5分)设函数 f(x)=e x cosx, g(x) 为 f(x) 的导函数.(Ⅰ)求 f(x) 的单调区间;(Ⅱ)当 x ∈[π4,π2] 时,证明 f(x)+g(x)(π2−x)⩾0 ;(Ⅲ)设 x n 为函数 u(x)=f(x)−1 在区间 (2m +π4,2mπ+π2) 内的零点,其中 n ∈N ,证明 2nπ+π2−x n <e −2nπsinx 0−cosx 0. 5.(10分)已知函数 f(x)=2x 3−ax 2+2 .(1)(5分)讨论 f(x) 的单调性;(2)(5分)当0<a <3时,记 f(x) 在区间[0,1]的最大值为M ,最小值为m ,求 M −m 的取值范围.6.(10分)已知函数f (x )=2x 3-ax 2+b.(1)(5分)讨论f (x )的单调性;(2)(5分)是否存在a ,b ,使得f (x )在区间[0,1]的最小值为-1且最大值为1?若存在,求出a,b的所有值;若不存在,说明理由。
专题04导数及其应用历年考题细目表历年高考真题汇编1.【2019年新课标1理科05】函数f(x)在[﹣π,π]的图象大致为()A.B.C.D.【解答】解:∵f(x),x∈[﹣π,π],∴f(﹣x)f(x),∴f(x)为[﹣π,π]上的奇函数,因此排除A;又f(),因此排除B,C;故选:D.2.【2018年新课标1理科05】设函数f(x)=x3+(a﹣1)x2+ax.若f(x)为奇函数,则曲线y=f(x)在点(0,0)处的切线方程为()A.y=﹣2x B.y=﹣x C.y=2x D.y=x【解答】解:函数f(x)=x3+(a﹣1)x2+ax,若f(x)为奇函数,可得a=1,所以函数f(x)=x3+x,可得f′(x)=3x2+1,曲线y=f(x)在点(0,0)处的切线的斜率为:1,则曲线y=f(x)在点(0,0)处的切线方程为:y=x.故选:D.3.【2016年新课标1理科07】函数y=2x2﹣e|x|在[﹣2,2]的图象大致为()A.B.C.D.【解答】解:∵f(x)=y=2x2﹣e|x|,∴f(﹣x)=2(﹣x)2﹣e|﹣x|=2x2﹣e|x|,故函数为偶函数,当x=±2时,y=8﹣e2∈(0,1),故排除A,B;当x∈[0,2]时,f(x)=y=2x2﹣e x,∴f′(x)=4x﹣e x=0有解,故函数y=2x2﹣e|x|在[0,2]不是单调的,故排除C,故选:D.4.【2015年新课标1理科12】设函数f(x)=e x(2x﹣1)﹣ax+a,其中a<1,若存在唯一的整数x0使得f (x0)<0,则a的取值范围是()A.[)B.[) C.[) D.[)【解答】解:设g(x)=e x(2x﹣1),y=ax﹣a,由题意知存在唯一的整数x0使得g(x0)在直线y=ax﹣a的下方,∵g′(x)=e x(2x﹣1)+2e x=e x(2x+1),∴当x时,g′(x)<0,当x时,g′(x)>0,∴当x时,g(x)取最小值﹣2,当x=0时,g(0)=﹣1,当x=1时,g(1)=e>0,直线y=ax﹣a恒过定点(1,0)且斜率为a,故﹣a>g(0)=﹣1且g(﹣1)=﹣3e﹣1≥﹣a﹣a,解得a<1故选:D.5.【2014年新课标1理科11】已知函数f(x)=ax3﹣3x2+1,若f(x)存在唯一的零点x0,且x0>0,则实数a的取值范围是( )A.(1,+∞)B.(2,+∞)C.(﹣∞,﹣1)D.(﹣∞,﹣2)【解答】解:∵f(x)=ax3﹣3x2+1,∴f′(x)=3ax2﹣6x=3x(ax﹣2),f(0)=1;①当a=0时,f(x)=﹣3x2+1有两个零点,不成立;②当a>0时,f(x)=ax3﹣3x2+1在(﹣∞,0)上有零点,故不成立;③当a<0时,f(x)=ax3﹣3x2+1在(0,+∞)上有且只有一个零点;故f(x)=ax3﹣3x2+1在(﹣∞,0)上没有零点;而当x时,f(x)=ax3﹣3x2+1在(﹣∞,0)上取得最小值;故f()3•1>0;故a<﹣2;综上所述,实数a的取值范围是(﹣∞,﹣2);故选:D.6.【2012年新课标1理科10】已知函数f(x),则y=f(x)的图象大致为()A.B.C.D.【解答】解:设则g′(x)∴g(x)在(﹣1,0)上为增函数,在(0,+∞)上为减函数∴g(x)<g(0)=0∴f(x)0得:x>0或﹣1<x<0均有f(x)<0排除A,C,又f(x)中,,能排除D.故选:B.7.【2012年新课标1理科12】设点P在曲线上,点Q在曲线y=ln(2x)上,则|PQ|最小值为()A.1﹣ln2 B.C.1+ln2 D.【解答】解:∵函数与函数y=ln(2x)互为反函数,图象关于y=x对称,函数上的点到直线y=x的距离为,设g(x)(x>0),则g′(x),由g′(x)0可得x≥ln2,由g′(x)0可得0<x<ln2,∴函数g(x)在(0,ln2)单调递减,在[ln2,+∞)单调递增,∴当x=ln2时,函数g(x)min=1﹣ln2,,由图象关于y=x对称得:|PQ|最小值为.故选:B.8.【2011年新课标1理科09】由曲线y,直线y=x﹣2及y轴所围成的图形的面积为()A.B.4 C.D.6【解答】解:联立方程得到两曲线的交点(4,2),因此曲线y,直线y=x﹣2及y轴所围成的图形的面积为:S.故选C.9.【2010年新课标1理科03】曲线y在点(﹣1,﹣1)处的切线方程为()A.y=2x+1 B.y=2x﹣1 C.y=﹣2x﹣3 D.y=﹣2x﹣2【解答】解:∵y,∴y′,所以k=y′|x=﹣1=2,得切线的斜率为2,所以k=2;所以曲线y=f(x)在点(﹣1,﹣1)处的切线方程为:y+1=2×(x+1),即y=2x+1.故选:A.10.【2019年新课标1理科13】曲线y=3(x2+x)e x在点(0,0)处的切线方程为.【解答】解:∵y=3(x2+x)e x,∴y'=3e x(x2+3x+1),∴当x=0时,y'=3,∴y=3(x2+x)e x在点(0,0)处的切线斜率k=3,∴切线方程为:y=3x.故答案为:y=3x.11.【2013年新课标1理科16】若函数f(x)=(1﹣x2)(x2+ax+b)的图象关于直线x=﹣2对称,则f(x)的最大值为.【解答】解:∵函数f(x)=(1﹣x2)(x2+ax+b)的图象关于直线x=﹣2对称,∴f(﹣1)=f(﹣3)=0且f(1)=f(﹣5)=0,即[1﹣(﹣3)2][(﹣3)2+a•(﹣3)+b]=0且[1﹣(﹣5)2][(﹣5)2+a•(﹣5)+b]=0,解之得,因此,f(x)=(1﹣x2)(x2+8x+15)=﹣x4﹣8x3﹣14x2+8x+15,求导数,得f′(x)=﹣4x3﹣24x2﹣28x+8,令f′(x)=0,得x1=﹣2,x2=﹣2,x3=﹣2,当x∈(﹣∞,﹣2)时,f′(x)>0;当x∈(﹣2,﹣2)时,f′(x)<0;当x∈(﹣2,﹣2)时,f′(x)>0;当x∈(﹣2,+∞)时,f′(x)<0∴f(x)在区间(﹣∞,﹣2)、(﹣2,﹣2)上是增函数,在区间(﹣2,﹣2)、(﹣2,+∞)上是减函数.又∵f(﹣2)=f(﹣2)=16,∴f(x)的最大值为16.故答案为:16.12.【2010年新课标1理科13】设y=f(x)为区间[0,1]上的连续函数,且恒有0≤f(x)≤1,可以用随机模拟方法近似计算积分,先产生两组(每组N个)区间[0,1]上的均匀随机数x1,x2,…x N 和y1,y2,…y N,由此得到N个点(x i,y i)(i=1,2,…,N),再数出其中满足y i≤f(x i)(i=1,2,…,N)的点数N1,那么由随机模拟方案可得积分的近似值为.【解答】解:由题意可知得,故积分的近似值为.故答案为:.13.【2019年新课标1理科20】已知函数f(x)=sin x﹣ln(1+x),f′(x)为f(x)的导数.证明:(1)f′(x)在区间(﹣1,)存在唯一极大值点;(2)f(x)有且仅有2个零点.【解答】证明:(1)f(x)的定义域为(﹣1,+∞),f′(x)=cos x,f″(x)=﹣sin x,令g(x)=﹣sin x,则g′(x)=﹣cos x0在(﹣1,)恒成立,∴f″(x)在(﹣1,)上为减函数,又∵f″(0)=1,f″()=﹣11+1=0,由零点存在定理可知,函数f″(x)在(﹣1,)上存在唯一的零点x0,结合单调性可得,f′(x)在(﹣1,x0)上单调递增,在(x0,)上单调递减,可得f′(x)在区间(﹣1,)存在唯一极大值点;(2)由(1)知,当x∈(﹣1,0)时,f′(x)单调递增,f′(x)<f′(0)=0,f(x)单调递减;当x∈(0,x0)时,f′(x)单调递增,f′(x)>f′(0)=0,f(x)单调递增;由于f′(x)在(x0,)上单调递减,且f′(x0)>0,f′()0,由零点存在定理可知,函数f′(x)在(x0,)上存在唯一零点x1,结合单调性可知,当x∈(x0,x1)时,f′(x)单调递减,f′(x)>f′(x1)=0,f(x)单调递增;当x∈()时,f′(x)单调递减,f′(x)<f′(x1)=0,f(x)单调递减.当x ∈(,π)时,cos x<0,0,于是f′(x)=cos x0,f(x)单调递减,其中f ()=1﹣ln(1)>1﹣ln (1)=1﹣ln2。
课标文数13.B1[2019·安徽卷] 函数y =16-x -x 2的定义域是________. 课标文数13.B1[2019·安徽卷] 【答案】 (-3,2)【解析】 由函数解析式可知6-x -x 2>0,即x 2+x -6<0,故-3<x <2.课标理数15.B1,M1[2019·福建卷] 设V 是全体平面向量构成的集合,若映射f :V →R 满足:对任意向量a =(x 1,y 1)∈V ,b =(x 2,y 2)∈V ,以及任意λ∈R ,均有f (λa +(1-λ)b )=λf (a )+(1-λ)f (b ).则称映射f 具有性质P .现给出如下映射:①f 1:V →R ,f 1(m )=x -y ,m =(x ,y )∈V ;②f 2:V →R ,f 2(m )=x 2+y ,m =(x ,y )∈V ;③f 3:V →R ,f 3(m )=x +y +1,m =(x ,y )∈V .其中,具有性质P 的映射的序号为________.(写出所有具有性质P 的映射的序号) 课标理数15.B1,M1[2019·福建卷] 【答案】 ①③【解析】 设a =(x 1,y 1)∈V ,b =(x 2,y 2)∈V ,则λa +(1-λ)b =λ(x 1,y 1)+(1-λ)(x 2,y 2)=(λx 1+(1-λ)x 2,λy 1+(1-λ)y 2),①f 1(λa +(1-λ)b )=λx 1+(1-λ)x 2-[λy 1+(1-λ)y 2]=λ(x 1-y 1)+(1-λ)(x 2-y 2)=λf 1(a )+(1-λ)f 1(b ),∴映射f 1具有性质P ;②f 2(λa +(1-λ)b )=[λx 1+(1-λ)x 2]2+[λy 1+(1-λ)y 2],λf 2(a )+(1-λ)f 2(b )=λ(x 21 +y 1 ) + (1-λ)(x 22 + y 2 ),∴f 2(λa +(1-λ)b )≠λf 2(a )+(1-λ)f 2(b ),∴ 映射f 2不具有性质P ;③f 3(λa +(1-λ)b )=λx 1+(1-λ)x 2+(λy 1+(1-λ)y 2)+1=λ(x 1+y 1+1)+(1-λ)(x 2+y 2+1)=λf 3(a )+(1-λ)f 3(b ),∴ 映射f 3具有性质P .故具有性质P 的映射的序号为①③.课标文数8.B1[2019·福建卷] 已知函数f (x )=⎩⎪⎨⎪⎧ 2x ,x >0,x +1,x ≤0.若f (a )+f (1)=0,则实数a 的值等于( )A .-3B .-1C .1D .3课标文数8.B1[2019·福建卷] A 【解析】 由已知,得f (1)=2;又当x >0时,f (x )=2x >1,而f (a )+f (1)=0,∴f (a )=-2,且a <0,∴a +1=-2,解得a =-3,故选A.课标文数4.B1[2019·广东卷] 函数f (x )=11-x+lg(1+x )的定义域是( ) A .(-∞,-1) B .(1,+∞)C .(-1,1)∪(1,+∞)D .(-∞,+∞)课标文数4.B1[2019·广东卷] C 【解析】 要使函数有意义,必须满足⎩⎪⎨⎪⎧1-x ≠0,1+x >0,所以所求定义域为{x |x >-1且x ≠1},故选C.课标文数16.B1[2019·湖南卷] 给定k ∈N *,设函数f :N *→N *满足:对于任意大于k 的正整数n ,f (n )=n -k .(1)设k =1,则其中一个函数f 在n =1处的函数值为________________;(2)设k =4,且当n ≤4时,2≤f (n )≤3,则不同的函数f 的个数为________.课标文数16.B1[2019·湖南卷] (1)a (a 为正整数) (2)16 【解析】 (1)由法则f 是正整数到正整数的映射,因为k =1,所以从2开始都是一一对应的,而1可以和任何一个正整数对应,故f 在n =1处的函数值为任意的a (a 为正整数);(2)因为2≤f (n )≤3,所以根据映射的概念可得到:1,2,3,4只能是和2或者3对应,1可以和2对应,也可以和3对应,有2种对应方法,同理,2,3,4都有两种对应方法,由乘法原理,得不同函数f 的个数等于16.课标文数11.B1[2019·陕西卷] 设f (x )=⎩⎪⎨⎪⎧lg x ,x >0,10x ,x ≤0,则f (f (-2))=________. 课标文数11.B1[2019·陕西卷] -2 【解析】 因为f (x )=⎩⎪⎨⎪⎧lg x ,x >0,10x ,x ≤0,-2<0,f (-2)=10-2,10-2>0,f (10-2)=lg10-2=-2.大纲文数16.B1[2019·四川卷] 函数f (x )的定义域为A ,若x 1,x 2∈A 且f (x 1)=f (x 2)时总有x 1=x 2,则称f (x )为单函数,例如,函数f (x )=2x +1(x ∈R )是单函数.下列命题:①函数f (x )=x 2(x ∈R )是单函数;②指数函数f (x )=2x (x ∈R )是单函数;③若f (x )为单函数,x 1,x 2∈A 且x 1≠x 2,则f (x 1)≠f (x 2);④在定义域上具有单调性的函数一定是单函数.其中的真命题是________.(写出所有真命题的编号)[来源:Z §xx §k]大纲文数16.B1[2019·四川卷] ②③④ 【解析】 本题主要考查对函数概念以及新定义概念的理解.对于①,如-2,2∈A ,f (-2)=f (2),则①错误;对于②,当2x 1=2x 2时,总有x 1=x 2,故为单函数;对于③根据单函数的定义,函数即为一一映射确定的函数关系,所以当函数自变量不相等时,则函数值不相等,即③正确;对于④,函数f (x )在定义域上具有单调性,则函数为一一映射确定的函数关系,所以④正确.课标理数1.B1[2019·浙江卷] 设函数f (x )=⎩⎪⎨⎪⎧-x ,x ≤0,x 2,x >0.若f (α)=4,则实数α=( ) A .-4或-2 B .-4或2C .-2或4D .-2或2课标理数1.B1[2019·浙江卷] B 【解析】 当α≤0时,f (α)=-α=4,α=-4;当α>0,f (α)=α2=4,α=2.课标文数11.B1[2019·浙江卷] 设函数f (x )=41-x,若f (α)=2,则实数α=________. 课标文数11.B1[2019·浙江卷] -1 【解析】 ∵f (α)=41-α=2,∴α=-1.大纲理数2.B2[2019·全国卷] 函数y =2x (x ≥0)的反函数为( )A .y =x 24(x ∈R )B .y =x 24(x ≥0) C .y =4x 2(x ∈R ) D .y =4x 2(x ≥0)大纲理数2.B2[2019·全国卷] B 【解析】 由y =2x 得x =y 24,∵x ≥0,∴y ≥0,则函数的反函数为y =x 24(x ≥0).故选B. 大纲文数2.B2[2019·全国卷] 函数y =2x (x ≥0)的反函数为( )A .y =x 24(x ∈R )B .y =x 24(x ≥0) C .y =4x 2(x ∈R ) D .y =4x 2(x ≥0)大纲文数2.B2[2019·全国卷] B 【解析】 由y =2x 得x =y 24,∵x ≥0,∴y ≥0,则函数的反函数为y =x 24(x ≥0).故选B. 大纲理数7.B2[2019·四川卷] 已知f (x )是R 上的奇函数,且当x >0时,f (x )=⎝⎛⎭⎫12x +1,则f (x )的反函数的图象大致是( )图1-2大纲理数7.B2[2019·四川卷] A 【解析】 当x >0时,由y =⎝⎛⎭⎫12x +1可得其反函数为y=log 12(x -1)(1<x <2),根据图象可判断选择答案A ,另外对于本题可采用特殊点排除法.课标理数8.B3[2019·北京卷] 设A (0,0),B (4,0),C (t +4,4),D (t,4)(t ∈R ).记N (t )为平行四边形ABCD 内部(不含边界)的整点的个数,其中整点是指横、纵坐标都是整数的点,则函数N (t )的值域为( )A .{9,10,11}B .{9,10,12}C .{9,11,12}D .{10,11,12}课标理数2.B3,B4[2019·课标全国卷] 下列函数中,既是偶函数又在(0,+∞)单调递增的函数是( )A .y =x 3B .y =|x |+1C .y =-x 2+1D .y =2-|x |课标理数2.B3,B4[2019·课标全国卷] B 【解析】 A 选项中,函数y =x 3是奇函数;B 选项中,y =||x +1是偶函数,且在()0,+∞上是增函数;C 选项中,y =-x 2+1是偶函数,但在()0,+∞上是减函数;D 选项中,y =2-|x |=⎝⎛⎭⎫12|x |是偶函数,但在()0,+∞上是减函数.故选B.课标文数3.B3,B4[2019·课标全国卷] 下列函数中,既是偶函数又在(0,+∞)单调递增的函数是( )A .y =x 3B .y =|x |+1C .y =-x 2+1D .y =2-|x |课标文数3.B3,B4[2019·课标全国卷] B 【解析】 A 选项中,函数y =x 3是奇函数;B 选项中,y =||x +1是偶函数,且在()0,+∞上是增函数;C 选项中,y =-x 2+1是偶函数,但在()0,+∞上是减函数;D 选项中,y =2-|x |=⎝⎛⎭⎫12|x |是偶函数,但在()0,+∞上是减函数.故选B.课标数学2.B3[2019·江苏卷] 函数f (x )=log 5(2x +1)的单调增区间是________.课标数学2.B3[2019·江苏卷] ⎝⎛⎭⎫-12,+∞ 【解析】 因为y =log 5x 为增函数,故结合原函数的定义域可知原函数的单调增区间为⎝⎛⎭⎫-12,+∞. 课标文数12.B3,B7[2019·天津卷] 已知log 2a +log 2b ≥1,则3a +9b 的最小值为________. 课标文数12.B3,B7[2019·天津卷] 18 【解析】 ∵log 2a +log 2b =log 2ab ≥1,∴ab ≥2,∴3a +9b =3a +32b ≥23a ·32b =23a +2b ≥2322ab =18.大纲理数 5.B3[2019·重庆卷] 下列区间中,函数f (x )=||ln (2-x )在其上为增函数的是( )A .(-∞,1] B.⎣⎡⎦⎤-1,43 C.⎣⎡⎭⎫0,32 D .[1,2)课标文数11.B4,B5[2019·安徽卷] 设f (x )是定义在R 上的奇函数,当x ≤0时,f (x )=2x 2-x ,则f (1)=________.课标文数11.B4,B5[2019·安徽卷] 【答案】 -3【解析】 法一:∵f (x )是定义在R 上的奇函数,且x ≤0时,f (x ) = 2x 2-x ,∴f (1)=-f (-1) =-2×(-1)2+(-1)=-3.法二:设x >0,则-x <0,∵f (x )是定义在R 上的奇函数,且x ≤0时,f (x ) = 2x 2-x ,∴f (-x )=2(-x )2-(-x )=2x 2+x ,又f (-x )=-f (x ),∴f (x )=-2x 2-x ,∴f (1)=-2×12-1=-3.课标理数3.B4,B5[2019·安徽卷] 设f (x )是定义在R 上的奇函数,当x ≤0时,f (x ) = 2x 2-x ,则f (1)=( )A .-3B .-1C .1D .3课标理数3.B4,B5[2019·安徽卷] A 【解析】 法一:∵f (x )是定义在R 上的奇函数,且x ≤0时,f (x ) = 2x 2-x ,∴f (1)=-f (-1)=-2×(-1)2+(-1)=-3,故选A.法二:设x >0,则-x <0,∵f (x )是定义在R 上的奇函数,且x ≤0时,f (x ) = 2x 2-x ,∴f (-x )=2(-x )2-(-x )=2x 2+x ,又f (-x )=-f (x ),∴f (x )=-2x 2-x ,∴f (1)=-2×12-1=-3,故选A.大纲理数9.B4[2019·全国卷] 设f (x )是周期为2的奇函数,当0≤x ≤1时,f (x )=2x (1-x ),则f ⎝⎛⎭⎫-52=( ) A .-12 B .-14C.14D.12大纲理数9.B4[2019·全国卷] A 【解析】 因为函数的周期为2,所以f ⎝⎛⎭⎫52=f ⎝⎛⎭⎫2+12=f ⎝⎛⎭⎫12=12,又函数是奇函数,∴f ⎝⎛⎭⎫-52=-f ⎝⎛⎭⎫52=-12,故选A. 大纲文数10.B4[2019·全国卷] 设f (x )是周期为2的奇函数,当0≤x ≤1时,f (x )=2x (1-x ),则f ⎝⎛⎭⎫-52=( ) A .-12 B .-14C.14D.12大纲文数10.B4[2019·全国卷] A 【解析】 因为函数的周期为2,所以f ⎝⎛⎭⎫52=f ⎝⎛⎭⎫2+12=f ⎝⎛⎭⎫12=12,又函数是奇函数,所以f ⎝⎛⎭⎫-52=-f ⎝⎛⎭⎫52=-12,故选A. 课标理数9.B4[2019·福建卷] 对于函数f (x )=a sin x +bx +c (其中,a ,b ∈R ,c ∈Z ),选取a ,b ,c 的一组值计算f (1)和f (-1),所得出的正确结果一定不可能是......( ) A .4和6 B .3和1C .2和4D .1和2课标理数9.B4[2019·福建卷] D 【解析】 由已知,有f (1)=a sin1+b +c ,f (-1)=-a sin1-b +c ,∴ f (1)+f (-1)=2c ,∵ c ∈Z ,∴ f (1)+f (-1)为偶数,而D 选项给出的两个数,一个是奇数,一个是偶数,两个数的和为奇数,故选D.定语从句及连词答题秘诀二as与which均可替代整个主句在非限制性定语从句中,均可替代整个主句. 如从句在主句之后,两者皆可用;如从句在主句之前,用as。
专题04 导数及其应用(解答题)1.【2019年高考全国Ⅰ卷文数】已知函数f (x )=2sin x -x cos x -x ,f ′(x )为f (x )的导数.(1)证明:f ′(x )在区间(0,π)存在唯一零点; (2)若x ∈[0,π]时,f (x )≥ax ,求a 的取值范围. 【答案】(1)见解析;(2)(],0a ∈-∞.【解析】(1)设()()g x f x '=,则()cos sin 1,()cos g x x x x g x x x '=+-=.当π(0,)2x ∈时,()0g x '>;当π,π2x ⎛⎫∈ ⎪⎝⎭时,()0g x '<,所以()g x 在π(0,)2单调递增,在π,π2⎛⎫⎪⎝⎭单调递减. 又π(0)0,0,(π)22g g g ⎛⎫=>=-⎪⎝⎭,故()g x 在(0,π)存在唯一零点. 所以()f x '在(0,π)存在唯一零点.(2)由题设知(π)π,(π)0f a f =…,可得a ≤0.由(1)知,()f x '在(0,π)只有一个零点,设为0x ,且当()00,x x ∈时,()0f x '>;当()0,πx x ∈时,()0f x '<,所以()f x 在()00,x 单调递增,在()0,πx 单调递减.又(0)0,(π)0f f ==,所以,当[0,π]x ∈时,()0f x …. 又当0,[0,π]a x ∈…时,ax ≤0,故()f x ax …. 因此,a 的取值范围是(,0]-∞.【名师点睛】本题考查利用导数讨论函数零点个数、根据恒成立的不等式求解参数范围的问题.对于此类端点值恰为恒成立不等式取等的值的问题,通常采用构造函数的方式,将问题转变成函数最值与零之间的比较,进而通过导函数的正负来确定所构造函数的单调性,从而得到最值.2.【2019年高考全国Ⅱ卷文数】已知函数()(1)ln 1f x x x x =---.证明:(1)()f x 存在唯一的极值点;(2)()=0f x 有且仅有两个实根,且两个实根互为倒数.【答案】(1)见解析;(2)见解析.【解析】(1)()f x 的定义域为(0,+∞).11()ln 1ln x f x x x x x-'=+-=-. 因为ln y x =单调递增,1y x=单调递减,所以()f x '单调递增,又(1)10f '=-<,1ln 41(2)ln 2022f -'=-=>,故存在唯一0(1,2)x ∈,使得()00f x '=.又当0x x <时,()0f x '<,()f x 单调递减;当0x x >时,()0f x '>,()f x 单调递增. 因此,()f x 存在唯一的极值点.(2)由(1)知()0(1)2f x f <=-,又()22e e 30f =->,所以()0f x =在()0,x +∞内存在唯一根x α=.由01x α>>得011x α<<.又1111()1ln 10f f αααααα⎛⎫⎛⎫=---==⎪ ⎪⎝⎭⎝⎭,故1α是()0f x =在()00,x 的唯一根. 综上,()0f x =有且仅有两个实根,且两个实根互为倒数.【名师点睛】本题主要考查导数的应用,通常需要对函数求导,用导数的方法研究函数的单调性、极值,以及函数零点的问题,属于常考题型.3.【2019年高考天津文数】设函数()ln (1)e x f x x a x =--,其中a ∈R .(Ⅰ)若a ≤0,讨论()f x 的单调性; (Ⅱ)若10ea <<, (i )证明()f x 恰有两个零点;(ii )设0x 为()f x 的极值点,1x 为()f x 的零点,且10x x >,证明0132x x ->. 【答案】(Ⅰ)()f x 在(0,)+∞内单调递增.;(Ⅱ)(i )见解析;(ii )见解析. 【解析】(Ⅰ)解:由已知,()f x 的定义域为(0,)+∞,且211e ()e (1)e x x xf ax x a a x x x-⎡⎤=-+-=⎣'⎦. 因此当a ≤0时,21e 0x ax ->,从而()0f x '>,所以()f x 在(0,)+∞内单调递增.(Ⅱ)证明:(i )由(Ⅰ)知21e ()xax f x x-'=.令2()1e x g x ax =-,由10e a <<, 可知()g x 在(0,)+∞内单调递减,又(1)1e 0g a =->,且221111ln 1ln 1ln 0g a a a a a ⎛⎫⎛⎫⎛⎫=-=-< ⎪ ⎪ ⎪⎝⎭⎝⎭⎝⎭. 故()0g x =在(0,)+∞内有唯一解,从而()0f x '=在(0,)+∞内有唯一解,不妨设为0x ,则011l n x a<<.当()00,x x ∈时,()0()()0g x g x f x x x'=>=,所以()f x 在()00,x 内单调递增;当()0,x x ∈+∞时,()0()()0g x g x f x x x'=<=,所以()f x 在()0,x +∞内单调递减,因此0x 是()f x 的唯一极值点.令()ln 1h x x x =-+,则当1x >时,1()10h'x x=-<,故()h x 在(1,)+∞内单调递减,从而当1x >时,()(1)0h x h <=,所以ln 1x x <-.从而ln 1111111ln ln ln ln 1e ln ln ln 1ln 0a f a h a a a a a a ⎛⎫⎛⎫⎛⎫=--=-+=< ⎪ ⎪ ⎪⎝⎭⎝⎭⎝⎭,又因为()0(1)0f x f >=,所以()f x 在0(,)x +∞内有唯一零点.又()f x 在()00,x 内有唯一零点1,从而,()f x 在(0,)+∞内恰有两个零点.(ii )由题意,()()010,0,f x f x '=⎧⎪⎨=⎪⎩即()012011e 1,ln e ,1x x ax x a x ⎧=⎪⎨=-⎪⎩从而1011201ln e x x x x x --=,即102011ln e 1x x x x x -=-.因为当1x >时,ln 1x x <-,又101x x >>,故()102012011e 1x x x x x x --<=-,两边取对数,得1020ln e ln x x x -<,于是()10002ln 21x x x x -<<-,整理得0132x x ->.【名师点睛】本小题主要考查导数的运算、不等式证明、运用导数研究函数的性质等基础知识和方法.考查函数思想、化归与转化思想.考查综合分析问题和解决问题的能力. 4.【2019年高考全国Ⅲ卷文数】已知函数32()22f x x ax =-+.(1)讨论()f x 的单调性;(2)当0<a <3时,记()f x 在区间[0,1]的最大值为M ,最小值为m ,求M m -的取值范围. 【答案】(1)见详解;(2)8[,2)27. 【解析】(1)2()622(3)f x x ax x x a '=-=-. 令()0f x '=,得x =0或3ax =. 若a >0,则当(,0),3a x ⎛⎫∈-∞+∞ ⎪⎝⎭时,()0f x '>;当0,3a x ⎛⎫∈ ⎪⎝⎭时,()0f x '<.故()f x 在(,0),,3a ⎛⎫-∞+∞ ⎪⎝⎭单调递增,在0,3a ⎛⎫⎪⎝⎭单调递减;若a =0,()f x 在(,)-∞+∞单调递增;若a <0,则当,(0,)3a x ⎛⎫∈-∞+∞ ⎪⎝⎭时,()0f x '>;当,03a x ⎛⎫∈ ⎪⎝⎭时,()0f x '<.故()f x 在,,(0,)3a ⎛⎫-∞+∞ ⎪⎝⎭单调递增,在,03a ⎛⎫⎪⎝⎭单调递减.(2)当03a <<时,由(1)知,()f x 在0,3a ⎛⎫ ⎪⎝⎭单调递减,在,13a ⎛⎫ ⎪⎝⎭单调递增,所以()f x 在[0,1]的最小值为32327a a f ⎛⎫=-+ ⎪⎝⎭,最大值为(0)=2f 或(1)=4f a -.于是 3227a m =-+,4,02,2,2 3.a a M a -<<⎧=⎨≤<⎩所以332,02,27,2 3.27a a a M m a a ⎧-+<<⎪⎪-=⎨⎪≤<⎪⎩当02a <<时,可知3227a a -+单调递减,所以M m -的取值范围是8,227⎛⎫⎪⎝⎭. 当23a ≤<时,327a 单调递增,所以M m -的取值范围是8[,1)27.综上,M m -的取值范围是8[,2)27. 【名师点睛】这是一道常规的导数题目,难度比往年降低了不少.考查函数的单调性,最大值、最小值的计算.5.【2019年高考北京文数】已知函数321()4f x x x x =-+. (Ⅰ)求曲线()y f x =的斜率为1的切线方程; (Ⅱ)当[2,4]x ∈-时,求证:6()x f x x -≤≤;(Ⅲ)设()|()()|()F x f x x a a =-+∈R ,记()F x 在区间[2,4]-上的最大值为M (a ),当M (a )最小时,求a 的值.【答案】(Ⅰ)y x =与6427y x =-;(Ⅱ)见解析;(Ⅲ)3a =-. 【解析】(Ⅰ)由321()4f x x x x =-+得23()214f x x x '=-+.令()1f x '=,即232114x x -+=,得0x =或83x =.又(0)0f =,88()327f =,所以曲线()y f x =的斜率为1的切线方程是y x =与88273y x -=-,即y x =与6427y x =-.(Ⅱ)令()(),[2,4]g x f x x x =-∈-.由321()4g x x x =-得23()24g'x x x =-. 令()0g'x =得0x =或83x =.(),()g'x g x 的情况如下:x2-(2,0)-8(0,)3 838(,4)34()g'x+-+()g x6-6427-所以()g x 的最小值为6-,最大值为0. 故6()0g x -≤≤,即6()x f x x -≤≤. (Ⅲ)由(Ⅱ)知,当3a <-时,()(0)|(0)|3M F g a a a ≥=-=->; 当3a >-时,()(2)|(2)|63M F a g a a ≥-=--=+>; 当3a =-时,()3M a =. 综上,当()M a 最小时,3a =-.【名师点睛】本题主要考查利用导函数研究函数的切线方程,利用导函数证明不等式的方法,分类讨论的数学思想等知识,意在考查学生的转化能力和计算求解能力.6.【2019年高考浙江】已知实数0a ≠,设函数()=ln 1,0.f x a x x x ++>(1)当34a =-时,求函数()f x 的单调区间; (2)对任意21[,)ex ∈+∞均有(),2x f x a ≤ 求a 的取值范围. 注:e=2.71828…为自然对数的底数.【答案】(1)()f x 的单调递增区间是()3,+∞,单调递减区间是()0,3;(2)20,4⎛⎤⎥ ⎝⎦. 【解析】(1)当34a =-时,3()ln 1,04f x x x x =-++>. 31(12)(211)()42141x x f 'x x x x x+-++=-+=++, 所以,函数()f x 的单调递减区间为(0,3),单调递增区间为(3,+∞).(2)由1(1)2f a≤,得204a <≤.当204a <≤时,()2x f x a ≤等价于2212ln 0x xx a a+--≥. 令1t a=,则22t ≥. 设2()212ln ,22g t t x t x x t =-+-≥,则211()(1)2ln xg t x t x x x+=-+--.(i )当1,7x ⎡⎫∈+∞⎪⎢⎣⎭时,1122x+≤,则 ()(22)84212ln g t g x x x ≥=-+-.记1()4221ln ,7p x x x x x =-+-≥,则 2212121()11x x x x p'x x x x x x +--+=--=++(1)[1(221)]1(1)(12)x x x x x x x x -++-=++++.故x171(,1)71(1,)+∞()p'x-0 +()p x1()7p 单调递减极小值(1)p单调递增所以,()(1)0p x p ≥=.因此,()(22)2()0g t g p x ≥=≥. (ii )当211,e 7x ⎡⎫∈⎪⎢⎣⎭时,12ln (1)()12x x x g t g x x ⎛⎫--++= ⎪ ⎪⎝⎭…. 令211()2ln (1),,e 7q x x x x x ⎡⎤=++∈⎢⎥⎣⎦ , 则ln 2()10x q'x x+=+>, 故()q x 在211,e 7⎡⎤⎢⎥⎣⎦上单调递增,所以1()7q x q ⎛⎫⎪⎝⎭….由(i )得,127127(1)07777q p p ⎛⎫⎛⎫=-<-= ⎪ ⎪⎝⎭⎝⎭. 所以,()<0q x .因此1()()102q x g t g x x⎛⎫+=-> ⎪ ⎪⎝⎭…. 由(i )(ii )知对任意21,e x ⎡⎫∈+∞⎪⎢⎣⎭,[22,),()0t g t ∈+∞…, 即对任意21,e x ⎡⎫∈+∞⎪⎢⎣⎭,均有()2x f x a …. 综上所述,所求a 的取值范围是20,4⎛⎤⎥ ⎝⎦.【名师点睛】导数是研究函数的单调性、极值(最值)最有效的工具,而函数是高中数学中重要的知识点,对导数的应用的考查主要从以下几个角度进行:(1)考查导数的几何意义,往往与解析几何、微积分相联系.(2)利用导数求函数的单调区间,判断单调性;已知单调性,求参数.(3)利用导数求函数的最值(极值),解决生活中的优化问题.(4)考查数形结合思想的应用.7.【2019年高考江苏】设函数()()()(),,,f x x a x b x c a b c =---∈R 、()f 'x 为f (x )的导函数. (1)若a =b =c ,f (4)=8,求a 的值;(2)若a ≠b ,b =c ,且f (x )和()f 'x 的零点均在集合{3,1,3}-中,求f (x )的极小值;(3)若0,01,1a b c =<=…,且f (x )的极大值为M ,求证:M ≤427. 【答案】(1)2a =;(2)见解析;(3)见解析.【解析】(1)因为a b c ==,所以3()()()()()f x x a x b x c x a =---=-. 因为(4)8f =,所以3(4)8a -=, 解得2a =. (2)因为b c =,所以2322()()()(2)(2)f x x a x b x a b x b a b x ab =--=-+++-, 从而2()3()3a b f 'x x b x +⎛⎫=--⎪⎝⎭.令()0f 'x =,得x b =或23a bx +=.因为2,,3a ba b +都在集合{3,1,3}-中,且a b ≠, 所以21,3,33a b a b +===-.此时2()(3)(3)f x x x =-+,()3(3)(1)f 'x x x =+-. 令()0f 'x =,得3x =-或1x =.列表如下:x (,3)-∞-3-(3,1)-1 (1,)+∞()f 'x + 0 – 0 + ()f x极大值极小值所以()f x 的极小值为2(1)(13)(13)32f =-+=-.(3)因为0,1a c ==,所以32()()(1)(1)f x x x b x x b x bx =--=-++,2()32(1)f 'x x b x b =-++.因为01b <≤,所以224(1)12(21)30b b b ∆=+-=-+>, 则()f 'x 有2个不同的零点,设为()1212,x x x x <.由()0f 'x =,得22121111,33b b b b b b x x +--+++-+==.列表如下:x 1(,)x -∞1x()12,x x2x2(,)x +∞()f 'x+ 0 – 0 + ()f x极大值极小值所以()f x 的极大值()1M f x =. 解法一:()321111(1)M f x x b x bx ==-++()221111211(1)[32(1)]3999b b x b b b x b x b x -+++⎛⎫=-++--+ ⎪⎝⎭()()23221(1)(1)2127927b b b b b b b --+++=++-+23(1)2(1)(1)2((1)1)272727b b b b b b +-+=-+-+(1)24272727b b +≤+≤.因此427M ≤. 解法二:因为01b <≤,所以1(0,1)x ∈.当(0,1)x ∈时,2()()(1)(1)f x x x b x x x =--≤-. 令2()(1),(0,1)g x x x x =-∈,则1()3(1)3g'x x x ⎛⎫=-- ⎪⎝⎭. 令()0g'x =,得13x =.列表如下: x 1(0,)3131(,1)3()g'x + 0 – ()g x极大值所以当13x =时,()g x 取得极大值,且是最大值,故max 14()327g x g ⎛⎫== ⎪⎝⎭.所以当(0,1)x ∈时,4()()27f x g x ≤≤,因此427M ≤. 【名师点睛】本题主要考查利用导数研究函数的性质,考查综合运用数学思想方法分析与解决问题以及逻辑推理能力.8.【2018年高考全国Ⅲ卷文数】已知函数21()exax x f x +-=. (1)求曲线()y f x =在点(0,1)-处的切线方程; (2)证明:当1a ≥时,()e 0f x +≥. 【答案】(1)210x y --=;(2)见解析.【解析】(1)2(21)2()exax a x f x -+-+'=,(0)2f '=. 因此曲线()y f x =在点(0,1)-处的切线方程是210x y --=. (2)当1a ≥时,21()e (1e )e x x f x x x +-+≥+-+.令21()1ex g x x x +=+-+,则1()21ex g x x +'=++.当1x <-时,()0g x '<,()g x 单调递减;当1x >-时,()0g x '>,()g x 单调递增; 所以()g x (1)=0g ≥-.因此()e 0f x +≥.【名师点睛】本题考查函数与导数的综合应用,第一问由导数的几何意义可求出切线方程,第二问当1a ≥时,21()e (1e)e x x f x x x +-+≥+-+,令21()1e x g x x x +=+-+,求出()g x 的最小值即可证明.9.【2018年高考全国Ⅰ卷文数】已知函数()e ln 1xf x a x =--.(1)设2x =是()f x 的极值点,求a ,并求()f x 的单调区间; (2)证明:当1ea ≥时,()0f x ≥. 【答案】(1)在(0,2)单调递减,在(2,+∞)单调递增;(2)见解析.【解析】(1)f (x )的定义域为(0)+∞,,f ′(x )=a e x –1x. 由题设知,f ′(2)=0,所以a =212e. 从而f (x )=21e ln 12e x x --,f ′(x )=211e 2e x x-. 当0<x <2时,f ′(x )<0;当x >2时,f ′(x )>0.所以f (x )在(0,2)单调递减,在(2,+∞)单调递增.(2)当a ≥1e 时,f (x )≥e ln 1exx --.设g (x )=e ln 1e x x --,则e 1()e x g x x'=-.当0<x <1时,g ′(x )<0;当x >1时,g ′(x )>0.所以x =1是g (x )的最小值点. 故当x >0时,g (x )≥g (1)=0. 因此,当1ea ≥时,()0f x ≥.【名师点睛】该题考查的是有关导数的应用问题,涉及的知识点有导数与极值、导数与最值、导数与函数的单调性的关系以及证明不等式问题,在解题的过程中,首先要确定函数的定义域,之后根据导数与极值的关系求得参数值,之后利用极值的特点,确定出函数的单调区间,第二问在求解的时候构造新函数,应用不等式的传递性证得结果. 10.【2018年高考全国Ⅱ卷文数】已知函数()()32113f x x a x x =-++. (1)若3a =,求()f x 的单调区间;(2)证明:()f x 只有一个零点.【答案】(1)在(–∞,323-),(323+,+∞)单调递增,在(323-,323+)单调递减;(2)见解析.【解析】(1)当a =3时,f (x )=3213333x x x ---,f ′(x )=263x x --. 令f ′(x )=0解得x =323-或x =323+.当x ∈(–∞,323-)∪(323+,+∞)时,f ′(x )>0; 当x ∈(323-,323+)时,f ′(x )<0.故f (x )在(–∞,323-),(323+,+∞)单调递增,在(323-,323+)单调递减.(2)由于210x x ++>,所以()0f x =等价于32301x a x x -=++.设()g x =3231x a x x -++,则g ′(x )=2222(23)(1)x x x x x ++++≥0,仅当x =0时g ′(x )=0, 所以g (x )在(–∞,+∞)单调递增.故g (x )至多有一个零点,从而f (x )至多有一个零点. 又f (3a –1)=22111626()0366a a a -+-=---<, f (3a +1)=103>,故f (x )有一个零点. 综上,f (x )只有一个零点.【名师点睛】(1)用导数求函数单调区间的步骤如下:①确定函数的定义域;②求导数;③由(或)解出相应的的取值范围,当时,在相应区间上是增函数;当时,在相应区间上是减增函数.(2)本题第二问重在考查零点存在性问题,解题的关键在于将问题转化为求证函数有唯一零点,可先证明其单调,再结合零点存在性定理进行论证.11.【2018年高考北京文数】设函数2()[(31)32]e x f x ax a x a =-+++.(Ⅰ)若曲线()y f x =在点(2,(2))f 处的切线斜率为0,求a ; (Ⅱ)若()f x 在1x =处取得极小值,求a 的取值范围. 【答案】(Ⅰ)12a =;(Ⅱ)(1,)+∞. 【解析】(Ⅰ)因为2()[(31)32]e xf x ax a x a =-+++, 所以2()[(1)1]e xf x ax a x '=-++.2(2)(21)e f a '=-,由题设知(2)0f '=,即2(21)e 0a -=,解得12a =. (Ⅱ)方法一:由(Ⅰ)得2()[(1)1]e (1)(1)e xxf x ax a x ax x '=-++=--. 若a >1,则当1(,1)x a∈时,()0f x '<; 当(1,)x ∈+∞时,()0f x '>. 所以()f x 在x =1处取得极小值.若1a ≤,则当(0,1)x ∈时,110ax x -≤-<, 所以()0f x '>.所以1不是()f x 的极小值点. 综上可知,a 的取值范围是(1,)+∞.方法二:()(1)(1)e xf x ax x '=--.(1)当a =0时,令()0f x '=得x =1.(),()f x f x '随x 的变化情况如下表:x(,1)-∞1 (1,)+∞()f x ' + 0 − ()f x↗极大值↘∴()f x 在x =1处取得极大值,不合题意. (2)当a >0时,令()0f x '=得121,1ax x ==. ①当12x x =,即a =1时,2()(1)e 0xf x x '=-≥, ∴()f x 在R 上单调递增, ∴()f x 无极值,不合题意.②当12x x >,即0<a <1时,(),()f x f x '随x 的变化情况如下表:x(,1)-∞1 1(1,)a1a1(,)a+∞ ()f x '+ 0 − 0 + ()f x↗极大值↘极小值↗∴()f x 在x =1处取得极大值,不合题意.③当12x x <,即a >1时,(),()f x f x '随x 的变化情况如下表:x1(,)a-∞1a1(,1)a1(1,)+∞()f x ' + 0 − 0 + ()f x↗极大值↘极小值↗∴()f x 在x =1处取得极小值,即a >1满足题意. (3)当a <0时,令()0f x '=得121,1ax x ==. (),()f x f x '随x 的变化情况如下表:x1(,)a-∞1a1(,1)a1(1,)+∞()f x '− 0 + 0 − ()f x↘极小值↗极大值↘∴()f x 在x =1处取得极大值,不合题意. 综上所述,a 的取值范围为(1,)+∞.【名师点睛】导数类问题是高考数学中的必考题,也是压轴题,主要考查的形式有以下四个:①考查导数的几何意义,涉及求曲线切线方程的问题;②利用导数证明函数的单调性或求单调区间问题;③利用导数求函数的极值、最值问题;④关于不等式的恒成立问题.解题时需要注意以下两个方面:①在求切线方程问题时,注意区别在某一点和过某一点解题步骤的不同;②在研究单调性及极值、最值问题时常会涉及分类讨论的思想,要做到不重不漏;③不等式的恒成立问题属于高考中的难点,要注意问题转换的等价性.12.【2018年高考天津文数】设函数123()=()()()f x x t x t x t ---,其中123,,t t t ∈R ,且123,,t t t 是公差为d 的等差数列.(I )若20,1,t d ==求曲线()y f x =在点(0,(0))f 处的切线方程; (II )若3d =,求()f x 的极值;(III )若曲线()y f x =与直线2()63y x t =---有三个互异的公共点,求d 的取值范围. 【答案】(I )x +y =0;(II )函数f (x )的极大值为63;函数f (x )的极小值为−63;(III )d 的取值范围为(,10)(10,)-∞-+∞.【解析】(Ⅰ)解:由已知,可得f (x )=x (x −1)(x +1)=x 3−x ,故()f x '=3x 2−1, 因此f (0)=0,(0)f '=−1,又因为曲线y =f (x )在点(0,f (0))处的切线方程为y −f (0)=(0)f '(x −0), 故所求切线方程为x +y =0. (Ⅱ)解:由已知可得f (x )=(x −t 2+3)(x −t 2)(x −t 2−3)=(x −t 2)3−9(x −t 2)=x 3−3t 2x 2+(3t 22−9)x −t 23+9t 2.故()f x '=3x 2−6t 2x +3t 22−9.令()f x '=0,解得x =t 2−3,或x =t 2+3. 当x 变化时,()f x ',f (x )的变化如下表:x(−∞,t 2−3)t 2−3 (t 2−3,t 2+3)t 2+3 (t 2+3,+∞)()f x '+ 0 − 0 + f (x )↗极大值↘极小值↗所以函数f (x )的极大值为f (t 2−3)=(−3)3−9×(−3)=63;函数f (x )的极小值为f (t 2+3)=(3)3− 9×(3)=−63.(Ⅲ)解:曲线y =f (x )与直线y =−(x −t 2)−63有三个互异的公共点等价于关于x 的方程(x −t 2+d )(x −t 2)(x −t 2 −d )+(x −t 2)+ 63=0有三个互异的实数解,令u =x −t 2,可得u 3+(1−d 2)u +63=0.设函数g (x )=x 3+(1−d 2)x +63,则曲线y =f (x )与直线y =−(x −t 2)−63有三个互异的公共点等价于函数y =g (x )有三个零点.()g'x =3x 3+(1−d 2).当d 2≤1时,()g'x ≥0,这时()g x 在R 上单调递增,不合题意.当d 2>1时,()g'x =0,解得x 1=213d --,x 2=213d -.易得,g (x )在(−∞,x 1)上单调递增,在[x 1,x 2]上单调递减,在(x 2,+∞)上单调递增. g (x )的极大值g (x 1)=g (213d --)=32223(1)639d -+>0. g (x )的极小值g (x 2)=g (213d -)=−32223(1)639d -+. 若g (x 2)≥0,由g (x )的单调性可知函数y =g (x )至多有两个零点,不合题意.若2()0,g x <即322(1)27d ->,也就是||10d >,此时2||d x >,(||)||630,g d d =+>且312||,(2||)6||2||636210630d x g d d d -<-=--+<-+<,从而由()g x 的单调性,可知函数()y g x =在区间1122(2||,),(,),(,||)d x x x x d -内各有一个零点,符合题意.所以,d 的取值范围是(,10)(10,)-∞-+∞.【名师点睛】本小题主要考查导数的运算、导数的几何意义、运用导数研究函数的性质等基础知识和方法,考查函数思想和分类讨论思想,考查综合分析问题和解决问题的能力. 13.【2018年高考浙江】已知函数f (x )=x −ln x .(Ⅰ)若f (x )在x =x 1,x 2(x 1≠x 2)处导数相等,证明:f (x 1)+f (x 2)>8−8ln2;(Ⅱ)若a ≤3−4ln2,证明:对于任意k >0,直线y =kx +a 与曲线y =f (x )有唯一公共点. 【答案】(Ⅰ)见解析;(Ⅱ)见解析. 【解析】(Ⅰ)函数f (x )的导函数11()2f x xx '=-, 由12()()f x f x ''=得1212111122x x x x -=-, 因为12x x ≠,所以121112x x +=. 由基本不等式得4121212122x x x x x x =+≥. 因为12x x ≠,所以12256x x >. 由题意得12112212121()()ln ln ln()2f x f x x x x x x x x x +=-+-=-. 设1()ln 2g x x x =-, 则1()(4)4g x x x'=-, 所以x(0,16)16 (16,+∞)()g x ' −0 +()g x2−4ln2所以g (x )在[256,+∞)上单调递增, 故12()(256)88ln 2g x x g >=-, 即12()()88ln 2f x f x +>-. (Ⅱ)令m =()e a k -+,n =21()1a k++,则f (m )–km –a >|a |+k –k –a ≥0, f (n )–kn –a <1()a n k nn --≤||1()a n k n +-<0, 所以,存在x 0∈(m ,n )使f (x 0)=kx 0+a ,所以,对于任意的a ∈R 及k ∈(0,+∞),直线y =kx +a 与曲线y =f (x )有公共点. 由f (x )=kx +a 得ln x x a k x--=.设l (n )x ah xx x --=,则22ln )1)((12xx ag x x x a x h '=--+--+=, 其中2(n )l xg x x -=. 由(Ⅰ)可知g (x )≥g (16),又a ≤3–4ln2, 故–g (x )–1+a ≤–g (16)–1+a =–3+4ln2+a ≤0,所以h ′(x )≤0,即函数h (x )在(0,+∞)上单调递减,因此方程f (x )–kx –a =0至多1个实根. 综上,当a ≤3–4ln2时,对于任意k >0,直线y =kx +a 与曲线y =f (x )有唯一公共点.【名师点睛】本题主要考查函数的单调性,导数的运算及其应用,同时考查逻辑思维能力和综合应用能力.14.【2018年高考江苏】某农场有一块农田,如图所示,它的边界由圆O 的一段圆弧MPN (P 为此圆弧的中点)和线段MN 构成.已知圆O 的半径为40米,点P 到MN 的距离为50米.现规划在此农田上修建两个温室大棚,大棚Ⅰ内的地块形状为矩形ABCD ,大棚Ⅱ内的地块形状为CDP △,要求,A B 均在线段MN 上,,C D 均在圆弧上.设OC 与MN 所成的角为θ.(1)用θ分别表示矩形ABCD 和CDP △的面积,并确定sin θ的取值范围;(2)若大棚Ⅰ内种植甲种蔬菜,大棚Ⅱ内种植乙种蔬菜,且甲、乙两种蔬菜的单位面积年产值之比为4:3.求当θ为何值时,能使甲、乙两种蔬菜的年总产值最大.【答案】(1)矩形ABCD的面积为800(4sinθcosθ+cosθ)平方米,△CDP的面积为1600(cosθ–sinθcosθ)平方米,sinθ的取值范围是[14,1];(2)当θ=π6时,能使甲、乙两种蔬菜的年总产值最大.【解析】(1)连结PO并延长交MN于H,则PH⊥MN,所以OH=10.过O作OE⊥BC于E,则OE∥MN,所以∠COE=θ,故OE=40cosθ,EC=40sinθ,则矩形ABCD的面积为2×40cosθ(40sinθ+10)=800(4sinθcosθ+cosθ),△CDP的面积为12×2×40cosθ(40–40sinθ)=1600(cosθ–sinθcosθ).过N作GN⊥MN,分别交圆弧和OE的延长线于G和K,则GK=KN=10.令∠GOK=θ0,则sinθ0=14,θ0∈(0,π6).当θ∈[θ0,π2]时,才能作出满足条件的矩形ABCD,所以sinθ的取值范围是[14,1].答:矩形ABCD的面积为800(4sinθcosθ+cosθ)平方米,△CDP的面积为1600(cosθ–sinθcosθ)平方米,sinθ的取值范围是[14,1].(2)因为甲、乙两种蔬菜的单位面积年产值之比为4∶3,设甲的单位面积的年产值为4k,乙的单位面积的年产值为3k(k>0),则年总产值为4k×800(4sinθcosθ+cosθ)+3k×1600(cosθ–sinθcosθ)=8000k(sinθcosθ+cosθ),θ∈[θ0,π2 ].设f (θ)=sin θcos θ+cos θ,θ∈[θ0,π2], 则222()cos sin sin (2sin sin 1)(2sin 1)(sin 1)f θθθθθθθθ'=--=-+-=--+. 令()=0f θ',得θ=π6, 当θ∈(θ0,π6)时,()0f θ'>,所以f (θ)为增函数; 当θ∈(π6,π2)时,()0f θ'<,所以f (θ)为减函数, 因此,当θ=π6时,f (θ)取到最大值. 答:当θ=π6时,能使甲、乙两种蔬菜的年总产值最大. 【名师点睛】本小题主要考查三角函数的应用、用导数求最值等基础知识,考查直观想象和数学建模及运用数学知识分析和解决实际问题的能力.15.【2018年高考江苏】记(),()f x g x ''分别为函数(),()f x g x 的导函数.若存在0x ∈R ,满足00()()f xg x =且00()()f x g x ''=,则称0x 为函数()f x 与()g x 的一个“S 点”. (1)证明:函数()f x x =与2()22g x x x =+-不存在“S 点”; (2)若函数2()1f x ax =-与()ln g x x =存在“S 点”,求实数a 的值;(3)已知函数2()f x x a =-+,e ()xb g x x=.对任意0a >,判断是否存在0b >,使函数()f x 与()g x 在区间(0,)+∞内存在“S 点”,并说明理由. 【答案】(1)见解析;(2)e2;(3)见解析. 【解析】(1)函数f (x )=x ,g (x )=x 2+2x -2,则f ′(x )=1,g ′(x )=2x +2. 由f (x )=g (x )且f ′(x )= g ′(x ),得222122x x x x ⎧=+-⎨=+⎩,此方程组无解, 因此,f (x )与g (x )不存在“S ”点.(2)函数21f x ax =-(),()ln g x x =, 则12f x ax g x x'='=(),(). 设x 0为f (x )与g (x )的“S ”点,由f (x 0)=g (x 0)且f ′(x 0)=g ′(x 0),得200001ln 12ax x ax x ⎧-=⎪⎨=⎪⎩,即200201ln 21ax x ax ⎧-=⎪⎨=⎪⎩,(*) 得01ln 2x =-,即120e x -=,则1221e 22(e )a -==. 当e2a =时,120e x -=满足方程组(*),即0x 为f (x )与g (x )的“S ”点.因此,a 的值为e 2. (3)对任意a >0,设32()3h x x x ax a =--+.因为(0)0(1)1320h a h a a =>=--+=-<,,且h (x )的图象是不间断的,所以存在0x ∈(0,1),使得0()0h x =.令03002e (1)x x b x =-,则b >0.函数2e ()()xb f x x a g x x=-+=,,则2e (1)()2()x b x f x x g x x-'=-=′,. 由f (x )=g (x )且f ′(x )=g ′(x ),得22e e (1)2xx b x a x b x x x ⎧-+=⎪⎪⎨-⎪-=⎪⎩,即00320030202e e (1)2e (1)2e (1)x x xx x x a x x x x x x x ⎧-+=⋅⎪-⎪⎨-⎪-=⋅⎪-⎩,(**) 此时,0x 满足方程组(**),即0x 是函数f (x )与g (x )在区间(0,1)内的一个“S 点”. 因此,对任意a >0,存在b >0,使函数f (x )与g (x )在区间(0,+∞)内存在“S 点”.【名师点睛】本小题主要考查利用导数研究初等函数的性质,考查综合运用数学思想方法分析与解决问题以及逻辑推理能力.16.【2017年高考全国Ⅰ卷文数】已知函数()f x =e x (e x −a )−a 2x .(1)讨论()f x 的单调性;(2)若()0f x ≥,求a 的取值范围.【答案】(1)当0a =时,)(x f 在(,)-∞+∞单调递增;当0a >时,()f x 在(,ln )a -∞单调递减,在(ln ,)a +∞单调递增;当0a <时,()f x 在(,ln())2a -∞-单调递减,在(ln(),)2a-+∞单调递增;(2)34[2e ,1]-.【解析】(1)函数()f x 的定义域为(,)-∞+∞,22()2e e (2e )(e )xx x x f x a a a a '=--=+-,①若0a =,则2()e xf x =,在(,)-∞+∞单调递增. ②若0a >,则由()0f x '=得ln x a =.当(,ln )x a ∈-∞时,()0f x '<;当(ln ,)x a ∈+∞时,()0f x '>,故()f x 在(,ln )a -∞单调递减,在(ln ,)a +∞单调递增.③若0a <,则由()0f x '=得ln()2a x =-.当(,ln())2a x ∈-∞-时,()0f x '<;当(ln(),)2a x ∈-+∞时,()0f x '>,故()f x 在(,ln())2a -∞-单调递减,在(ln(),)2a-+∞单调递增.(2)①若0a =,则2()e xf x =,所以()0f x ≥.②若0a >,则由(1)得,当ln x a =时,()f x 取得最小值,最小值为2(ln )ln f a a a =-.从而当且仅当2ln 0a a -≥,即1a ≤时,()0f x ≥.③若0a <,则由(1)得,当ln()2a x =-时,()f x 取得最小值,最小值为23(ln())[ln()]242a a f a -=--.从而当且仅当23[ln()]042aa --≥,即342e a ≥-时()0f x ≥.综上,a 的取值范围为34[2e ,1]-.【名师点睛】本题主要考查导数两大方面的应用:(1)函数单调性的讨论:运用导数知识来讨论函数单调性时,首先考虑函数的定义域,再求出()f x ',由()f x '的正负,得出函数()f x 的单调区间;(2)函数的最值(极值)的求法:由确认的单调区间,结合极值点的定义及自变量的取值范围,得出函数()f x 的极值或最值.17.【2017年高考全国Ⅱ卷文数】设函数2()(1)e x f x x =-.(1)讨论()f x 的单调性;(2)当0x ≥时,()1f x ax ≤+,求a 的取值范围.【答案】(1)在(,12)-∞--和(12,)-++∞单调递减,在(12,12)---+单调递增;(2)[1,)+∞. 【解析】(1)2()(12)e xf x x x '=--.令()0f x '=得121+2x x =--=-,.当(,12)x ∈-∞--时,()0f x '<;当(12,12)x ∈---+时,()0f x '>;当(12,)x ∈-++∞时,()0f x '<.所以()f x 在(,12)-∞--和(12,)-++∞单调递减,在(12,12)---+单调递增.(2)()(1+)(1)e x f x x x =-.当a ≥1时,设函数h (x )=(1−x )e x ,h ′(x )= −x e x<0(x >0),因此h (x )在[0,+∞)单调递减,而h (0)=1, 故h (x )≤1,所以f (x )=(x +1)h (x )≤x +1≤ax +1.当0<a <1时,设函数g (x )=e x −x −1,g ′(x )=e x−1>0(x >0),所以g (x )在[0,+∞)单调递增,而g (0)=0,故e x≥x +1.当0<x <1时,2()(1)(1)f x x x >-+,22(1)(1)1(1)x x ax x a x x -+--=---,取05412a x --=,则2000000(0,1),(1)(1)10,()1x x x ax f x ax ∈-+--=>+故.当0a ≤时,取051,2x -=则0(0,1),x ∈20000()(1)(1)11f x x x ax >-+=>+. 综上,a 的取值范围是[1,+∞).【名师点睛】利用导数研究不等式恒成立或存在型问题,首先要构造函数,利用导数研究函数的单调性,求出最值,进而得出相应的含参不等式,从而求出参数的取值范围;也可分离变量,构造函数,直接把问题转化为函数的最值问题.18.【2017年高考全国Ⅲ卷文数】已知函数()2(1)ln 2x ax a x f x =+++.(1)讨论()f x 的单调性; (2)当a ﹤0时,证明3()24f x a≤--.【答案】(1)当0≥a 时,)(x f 在),0(+∞单调递增;当0<a 时,)(x f 在)21,0(a-单调递增,在),21(+∞-a单调递减;(2)详见解析 【解析】(1)()f x 的定义域为(0,+),()()1211()221x a x f x a x a x x++'=+++=.若0a ≥,则当(0)x ∈+∞,时,()0f x '>,故()f x 在(0,+)单调递增. 若0a <,则当1(0,)2x a ∈-时,()0f x '>;当1()2x a ∈-+∞,时,()0f x '<.故()f x 在1(0,)2a-单调递增,在1()2a-+∞,单调递减. (2)由(1)知,当0a <时,()f x 在12x a=-取得最大值,最大值为 111()ln()1224f a a a-=---. 所以3()24f x a ≤--等价于113ln()12244a a a ---≤--,即11ln()1022a a-++≤. 设()ln 1g x x x =-+,则1()1g x x '=-.当(0,1)x ∈时,()0g x '>;当x ∈(1,+)时,()0g x '<.所以()g x 在(0,1)单调递增,在(1,+)单调递减.故当x =1时()g x 取得最大值,最大值为g (1)=0.所以当x >0时,()0g x ≤.从而当a <0时,11ln()1022a a -++≤,即3()24f x a≤--. 【名师点睛】利用导数证明不等式的常见类型及解题策略:(1)构造差函数()()()h x f x g x =-.根据差函数导函数符号,确定差函数单调性,利用单调性得不等量关系,进而证明不等式.(2)根据条件,寻找目标函数.一般思路为利用条件将求和问题转化为对应项之间大小关系,或利用放缩、等量代换将多元函数转化为一元函数.19.【2017年高考浙江】已知函数f (x )=(x –21x -)e x -(12x ≥). (1)求f (x )的导函数;(2)求f (x )在区间1[+)2∞,上的取值范围.【答案】(1)(1)(212)e 1()()221x x x f x x x ----'=>-;(2)121[0,e ]2-.【解析】(1)因为1(21)121x x 'x --=--,(e )e x x'--=-, 所以1()(1)e (21)e 21x xf x x x x --'=-----(1)(212)e 1()221x x x x x ----=>-.(2)由(1)(212)e ()021x x x f x x ----'==-,解得1x =或52x =.因为x12(12,1) 1 (1,52) 52(52,+∞) ()f x '–0 +–f (x )121e 2-521e 2-又21()(211)e 02x f x x -=--≥, 所以f (x )在区间1[,)2+∞上的取值范围是121[0,e ]2-.【名师点睛】本题主要考查导数两大方面的应用:(一)函数单调性的讨论:运用导数知识来讨论函数单调性时,首先考虑函数的定义域,再求出()f'x ,由()f'x 的正负,得出函数()f x 的单调区间;(二)函数的最值(极值)的求法:由单调区间,结合极值点的定义及自变量的取值范围,得出函数()f x 的极值或最值.20.【2017年高考北京文数】已知函数()e cos x f x x x =-.(Ⅰ)求曲线()y f x =在点(0,(0))f 处的切线方程; (Ⅱ)求函数()f x 在区间π[0,]2上的最大值和最小值. 【答案】(Ⅰ)1y =;(Ⅱ)最大值为1;最小值为π2-. 【解析】(Ⅰ)因为()e cos x f x x x =-,所以()e (cos sin )1,(0)0xf x x x f ''=--=.又因为(0)1f =,所以曲线()y f x =在点(0,(0))f 处的切线方程为1y =.(Ⅱ)设()e (cos sin )1xh x x x =--,则()e (cos sin sin cos )2e sin xxh x x x x x x '=---=-.当π(0,)2x ∈时,()0h x '<, 所以()h x 在区间π[0,]2上单调递减.所以对任意π(0,]2x ∈有()(0)0h x h <=,即()0f x '<. 所以函数()f x 在区间π[0,]2上单调递减.因此()f x 在区间π[0,]2上的最大值为(0)1f =,最小值为ππ()22f =-. 【名师点睛】这道导数题并不难,比一般意义上的压轴题要简单很多,第二问比较有特点的是需要两次求导数,因为通过()f x '不能直接判断函数的单调性,所以需要再求一次导数,设()()h x f x '=,再求()h x ',一般这时就可求得函数()h x '的零点,或是()0h x '>(()0h x '<)恒成立,这样就能知道函数()h x 的单调性,再根据单调性求其最值,从而判断()y f x =的单调性,最后求得结果. 21.【2017年高考天津文数】设,a b ∈R ,||1a ≤.已知函数32()63(4)f x x x a a x b =---+,()e ()x g x f x =.(Ⅰ)求()f x 的单调区间;(Ⅱ)已知函数()y g x =和e x y =的图象在公共点(x 0,y 0)处有相同的切线,(i )求证:()f x 在0x x =处的导数等于0;(ii )若关于x 的不等式()e x g x ≤在区间00[1,1]x x -+上恒成立,求b 的取值范围.【答案】(Ⅰ)递增区间为(,)a -∞,(4,)a -+∞,递减区间为(),4a a -;(Ⅱ)(ⅰ)见解析,(ⅱ)[7],1-.【解析】(Ⅰ)由324()63()f x x a x x a b =--+-,可得2()3123()3()((44))f 'x x a x a a x x a -=---=--,令()0f 'x =,解得x a =或4x a =-.由||1a ≤,得4a a <-. 当x 变化时,()f 'x ,()f x 的变化情况如下表:x (,)a -∞ (),4a a - (4,)a -+∞()f 'x+-+()f x所以,()f x 的单调递增区间为(,)a -∞,(4,)a -+∞,单调递减区间为(),4a a -.(Ⅱ)(i )因为()e (()())xx x g'f f 'x =+,由题意知000()e ()e x x x x g g'⎧=⎪⎨=⎪⎩, 所以000000()e e e (()())ex x xx f f f x 'x x ⎧=⎪⎨+=⎪⎩,解得00()1()0f 'x x f =⎧⎨=⎩. 所以,()f x 在0x x =处的导数等于0.(ii )因为()e xg x ≤,00[11],x x x ∈-+,由e 0x >,可得()1f x ≤.又因为0()1f x =,0()0f 'x =,故0x 为()f x 的极大值点,由(Ⅰ)知0x a =. 另一方面,由于||1a ≤,故14a a +<-,由(Ⅰ)知()f x 在(,)1a a -内单调递增,在(),1a a +内单调递减, 故当0x a =时,()()1f f x a ≤=在[1,1]a a -+上恒成立,从而()e xg x ≤在00,[11]x x -+上恒成立.由32()63()14a a f a a a a b =---+=,得32261b a a =-+,11a -≤≤.令32()261t x x x =-+,[1,1]x ∈-,所以2()612t'x x x =-,令()0t'x =,解得2x =(舍去),或0x =. 因为(1)7t -=-,(1)3t =-,(0)1t =, 故()t x 的值域为[7],1-. 所以,b 的取值范围是[7],1-.【名师点睛】本题考查导数的应用,属于中档问题,第一问的关键是根据条件判断两个极值点的大小,从而避免讨论;第二问要注意切点是公共点,切点处的导数相等,求b 的取值范围的关键是得出0x a =,然后构造函数进行求解.22.【2017年高考山东文数】已知函数()3211,32f x x ax a =-∈R . (Ⅰ)当a =2时,求曲线()y f x =在点()()3,3f 处的切线方程;(Ⅱ)设函数()()()cos sin g x f x x a x x =+--,讨论()g x 的单调性并判断有无极值,有极值时求出极值.【答案】(Ⅰ)390x y --=,(Ⅱ)见解析.【解析】(Ⅰ)由题意2()f x x ax '=-,所以,当2a =时,(3)0f =,2()2f x x x '=-, 所以(3)3f '=,因此,曲线()y f x =在点(3,(3))f 处的切线方程是3(3)y x =-, 即390x y --=.(Ⅱ)因为()()()cos sin g x f x x a x x =+--, 所以()()cos ()sin cos g x f x x x a x x ''=+---,()()sin x x a x a x =--- ()(sin )x a x x =--,令()sin h x x x =-, 则()1cos 0h x x '=-≥, 所以()h x 在R 上单调递增, 因为(0)0h =,所以,当0x >时,()0h x >;当0x <时,()0h x <. (1)当0a <时,()()(sin )g x x a x x '=--,当(,)x a ∈-∞时,0x a -<,()0g x '>,()g x 单调递增; 当(,0)x a ∈时,0x a ->,()0g x '<,()g x 单调递减; 当(0,)x ∈+∞时,0x a ->,()0g x '>,()g x 单调递增. 所以当x a =时()g x 取到极大值,极大值是31()sin 6g a a a =--,当0x =时()g x 取到极小值,极小值是(0)g a =-. (2)当0a =时,()(sin )g x x x x '=-, 当(,)x ∈-∞+∞时,()0g x '≥,()g x 单调递增;所以()g x 在(,)-∞+∞上单调递增,()g x 无极大值也无极小值. (3)当0a >时,()()(sin )g x x a x x '=--,当(,0)x ∈-∞时,0x a -<,()0g x '>,()g x 单调递增; 当(0,)x a ∈时,0x a -<,()0g x '<,()g x 单调递减; 当(,)x a ∈+∞时,0x a ->,()0g x '>,()g x 单调递增. 所以当0x =时()g x 取到极大值,极大值是(0)g a =-; 当x a =时()g x 取到极小值,极小值是31()sin 6g a a a =--. 综上所述:当0a <时,函数()g x 在(,)a -∞和(0,)+∞上单调递增,在(,0)a 上单调递减,函数既有极大值,又有极小值,极大值是31()sin 6g a a a =--,极小值是(0)g a =-; 当0a =时,函数()g x 在(,)-∞+∞上单调递增,无极值;当0a >时,函数()g x 在(,0)-∞和(,)a +∞上单调递增,在(0,)a 上单调递减,函数既有极大值,又有极小值,极大值是(0)g a =-,极小值是31()sin 6g a a a =--. 【名师点睛】(1)求函数f (x )极值的步骤:①确定函数的定义域;②求导数f ′(x );③解方程f ′(x )=0,求出函数定义域内的所有根;④检验f ′(x )在f ′(x )=0的根x 0左右两侧值的符号,如果左正右负,那么f (x )在x 0处取极大值,如果左负右正,那么f (x )在x 0处取极小值.(2)若函数y =f (x )在区间(a ,b )内有极值,那么y =f (x )在(a ,b )内绝不是单调函数,即在某区间上单调函数没有极值.23.【2017年高考江苏】已知函数32()1(0,)f x x ax bx a b =+++>∈R 有极值,且导函数()'f x 的极值点是()f x 的零点.(极值点是指函数取极值时对应的自变量的值) (1)求b 关于a 的函数关系式,并写出定义域; (2)证明:23>b a ;(3)若()f x ,()'f x 这两个函数的所有极值之和不小于72-,求a 的取值范围.。
专题03 导数及其应用1、【2019高考全国Ⅲ理数】已知曲线e ln xy a x x =+在点(1,e)a 处的切线方程为2y x b =+,则( )A .e,1a b ==-B .e,1a b ==C .1e 1,a b -==D .1,e 1b a -==-2、【2019高考全国Ⅲ理数】设函数()sin()(0)5f x x ωωπ=+>,已知()f x 在[]0,2π有且仅有5个零点,下述四个结论: ①()f x 在(0,2)π有且仅有3个极大值点 ②()f x 在(0,2)π有且仅有2个极小值点 ③()f x 在(0,)10π单调递增 ④ω的取值范围是1229,510⎡⎫⎪⎢⎣⎭其中所有正确结论的编号是( ) A .①④B .②③C .①②③D .①③④3、【2019高考天津卷理数】已知R a ∈,设函数222,1()ln ,1x ax a x f x x a x x ⎧-+≤=⎨->⎩若关于x 的不等式()0f x ≥在R 上恒成立,则a 的取值范围为( ) A.[]0,1B.[]0,2C.[]0,eD.[]1,e4、【2019高考全国Ⅰ理数】曲线23()e xy x x =+在点(0,0)处的切线方程为_______. 5、【2019高考浙江卷】已知R a ∈,函数3()f x ax x =-,若存在R t ∈,使得2|(2)()|3f t f t +-≤,则实数a 的最大值是____. 6、【2019高考江苏卷】在平面直角坐标系xOy 中,P 是曲线4(0)y x x x=+>上的一个动点,则点P 到直线0x y +=的距离的最小值是__________7、【2019高考江苏卷】在平面直角坐标系xOy 中,点A 在曲线ln y x =上,且该曲线在点A 处的切线经过点(e,1)--(e 为自然对数的底数),则点A 的坐标是_________8、【2019高考北京卷理数】设函数f (x )=e x+a e −x(a 为常数).若f (x )为奇函数,则a =________;若f (x )是R 上的增函数,则a 的取值范围是___________.9、【2019高考全国Ⅰ理数】已知函数()sin ln(1)f x x x =-+,()f x '为()f x 的导数.证明:1.()f x '在区间(1,)2π-存在唯一极大值点; 2.()f x 有且仅有2个零点.10、【2019高考全国Ⅱ理数】已知函数()11ln x f x x x -=-+.1.讨论()f x 的单调性,并证明()f x 有且仅有两个零点;2.设0x 是()f x 的一个零点,证明曲线ln y x =在点00l (,)n A x x 处的切线也是曲线exy =的切线.11、【2019高考全国Ⅲ理数】已知函数32()2f x x ax b =-+. 1.讨论()f x 的单调性;2.是否存在,a b ,使得()f x 在区间[0,1]的最小值为1-且最大值为1?若存在,求出,a b 的所有值;若不存在,说明理由.12、【2019高考天津卷理数】设函数()e cos ,()xf x xg x =为()f x 的导函数.1.求()f x 的单调区间;2.当,42x ⎡⎤∈⎢⎥⎣π⎦π时,证明()()02f x g x x ⎛⎫π+-≥ ⎪⎝⎭;3.设n x 为函数()()1u x f x =-在区间2,242m m ⎛⎫+π+π ⎝π⎪⎭内的零点,其中N n ∈,证明20022sin cos n n n x x e x -ππ+-π<-.13、【2019高考浙江卷】已知实数0a ≠,设函数()=ln 0.f x a x x +>1.当34a =-时,求函数()f x 的单调区间;2.对任意21[,)e x ∈+∞均有()f x ≤ 求a 的取值范围. 注:e 2.71828=⋯为自然对数的底数.14、【2019高考江苏卷】设函数()()()(),,,R f x x a x b x c a b c =---∈、()f 'x 为()f x 的导函数.1.若a b c ==,(4)8f =,求a 的值;2.若,a b b c ≠=,且()f x 和'()f x 的零点均在集合{3,1,3}-中,求()f x 的极小值;3.若0,01,1a b c =<≤=,且()f x 的极大值为M ,求证:427M ≤. 15、【2019高考北京卷理数】已知函数321()4f x x x x =-+. (Ⅰ)求曲线()y f x =的斜率为1的切线方程; (Ⅱ)当[2,4]x ∈-时,求证:6()x f x x -≤≤;(Ⅲ)设()|()()|()F x f x x a a =-+∈R ,记()F x 在区间[2,4]-上的最大值为M (a ),当M (a )最小时,求a 的值.答案以及解析1答案及解析: 答案:D解析:详解:'ln 1,xy ae x =++1'|12x k y ae ===+= 1a e -∴=将(1,1)代入2y x b =+得21,1b b +==-,故选D .2答案及解析: 答案:D解析:()sin (0)5f x wx w π⎛⎫=+> ⎪⎝⎭,在[0,2]π有且仅有5个零点.02x ∴≤≤π,12555wx w ππ≤+≤π+,1229510w ≤<,④正确.如图213,,x x x 为极大值点为3个,①正确;极小值点为2个或3个.∴②不正确.当010x π<<时,5105w wx f πππ<+<+π,当2910w =时,2920491051001001002w +=+=<ππππππ. ∴③正确,故选D .3答案及解析: 答案:C解析:首先(0)0f ≥,即0a ≥, 当01a ≤≤时,2222()22()22(2)0f x x ax a x a a a a a a a =-+=-+-≥-=->,当1a <时,(1)10f =>,故当0a ≥时,2220x ax a -+≥在(,1]-∞上恒成立; 若ln 0x a x -≥在(1,)+∞上恒成立,即ln xa x≤在(1,)+∞上恒成立, 令()ln xg x x =,则2ln 1'()(ln )x g x x -=,易知x e =为函数()g x 在(1,)+∞唯一的极小值点、也是最小值点, 故max()()g x g e e ==,所以a e ≤。
2019年高考数学题分类汇编函数与导数一、选择题1.【2019·全国卷Ⅰ(理3,文5)】设函数()f x ,()g x 的定义域都为R ,且()f x 时奇函数,()g x 是偶函数,则下列结论正确的是( )A .()f x ()g x 是偶函数B .|()f x |()g x 是奇函数C .()f x |()g x |是奇函数D .|()f x ()g x |是奇函数【答案】C2. 【2019·全国卷Ⅰ(理6)】如图,圆O 的半径为1,A 是圆上的定点,P 是圆上的动点,角x 的始边为射线OA ,终边为射线OP ,过点P 作直线OA 的垂线,垂足为M ,将点M 到直线OP 的距离表示为x 的函数()f x ,则y =()f x 在[0,π]上的图像大致为( ) 【答案】C3. 【2019·全国卷Ⅰ(理11,文12)】已知函数()f x =3231ax x -+,若()f x 存在唯一的零点0x ,且0x >0,则a 的取值范围为( )A .(2,+∞)B .(-∞,-2)C .(1,+∞)D .(-∞,-1)【答案】B4. 【2019·全国卷Ⅱ(理8)】设曲线y=a x-ln(x+1)在点(0,0)处的切线方程为y=2x ,则a = A. 0 B. 1 C. 2 D. 3 【答案】 D【解析】..3.2)0(,0)0(.11-)(),1ln(-)(D a f f x a x f x ax x f 故选联立解得且==′=∴+=′∴+=Θ 5【2019·全国卷Ⅱ(理12)】设函数()3sin x f x mπ=.若存在()f x 的极值点0x 满足()22200x f x m +<⎡⎤⎣⎦,则m 的取值范围是( )A. ()(),66,-∞-⋃∞B. ()(),44,-∞-⋃∞C.()(),22,-∞-⋃∞D.()(),14,-∞-⋃∞ 【答案】C 。
2019年导数及其应用真题汇编(文数)1.【2019年高考全国Ⅱ卷文数】曲线y =2sin x +cos x 在点(π,-1)处的切线方程为A .10x y --π-=B .2210x y --π-=C .2210x y +-π+=D .10x y +-π+= 【答案】C 【解析】2cos sin ,y x x '=-π2cos πsin π2,x y =∴=-=-'则2sin cos y x x =+在点(,1)π-处的切线方程为(1)2()y x --=--π,即2210x y +-π+=. 2.【2019年高考全国Ⅲ卷文数】已知曲线e ln x y a x x =+在点(1,a e )处的切线方程为y =2x +b ,则 A .e 1a b ==-,B .a=e ,b =1C .1e 1a b -==,D .1e a -=,1b =-【答案】D 【解析】∵e ln 1,xy a x '=++∴切线的斜率1|e 12x k y a ='==+=,1e a -∴=, 将(1,1)代入2y x b =+,得21,1b b +==-.3.【2019年高考浙江】已知,a b ∈R ,函数32,0()11(1),032x x f x x a x ax x <⎧⎪=⎨-++≥⎪⎩.若函数()y f x ax b =--恰有3个零点,则A .a <–1,b <0B .a <–1,b >0C .a >–1,b <0D .a >–1,b >0【答案】C 【解析】当x <0时,y =f (x )﹣ax ﹣b =x ﹣ax ﹣b =(1﹣a )x ﹣b =0,得x, 则y =f (x )﹣ax ﹣b 最多有一个零点;当x ≥0时,y =f (x )﹣ax ﹣bx 3(a +1)x 2+ax ﹣ax ﹣bx 3(a +1)x 2﹣b ,2(1)y x a x =+-',当a +1≤0,即a ≤﹣1时,y ′≥0,y =f (x )﹣ax ﹣b 在[0,+∞)上单调递增, 则y =f (x )﹣ax ﹣b 最多有一个零点,不合题意;当a +1>0,即a >﹣1时,令y ′>0得x ∈(a +1,+∞),此时函数单调递增, 令y ′<0得x ∈[0,a +1),此时函数单调递减,则函数最多有2个零点.根据题意,函数y =f (x )﹣ax ﹣b 恰有3个零点⇔函数y =f (x )﹣ax ﹣b 在(﹣∞,0)上有一个零点,在[0,+∞)上有2个零点, 如图:∴ <0且 ><, 解得b <0,1﹣a >0,b >(a +1)3, 则a >–1,b <0.故选C .4.【2019年高考全国Ⅰ卷文数】曲线23()e xy x x =+在点(0)0,处的切线方程为____________. 【答案】30x y -= 【解析】223(21)e 3()e 3(31)e ,xxxy x x x x x '=+++=++ 所以切线的斜率0|3x k y ='==,则曲线23()e xy x x =+在点(0,0)处的切线方程为3y x =,即30x y -=.5.【2019年高考天津文数】曲线cos 2xy x =-在点(0,1)处的切线方程为__________. 【答案】220x y +-= 【解析】∵1sin 2y x '=--,∴01|sin 0212x y ='=---=,故所求的切线方程为112y x -=-,即220x y +-=.6.【2019年高考江苏】在平面直角坐标系xOy 中,P 是曲线4(0)y x x x=+>上的一个动点,则点P 到直线0x y +=的距离的最小值是 ▲ . 【答案】4 【解析】由4(0)y x x x =+>,得241y x'=-, 设斜率为1-的直线与曲线4(0)y x x x =+>切于004(,)x x x +, 由20411x -=-得0x =0x =,∴曲线4(0)y x x x=+>上,点P 到直线0x y +=4=.7.【2019年高考江苏】在平面直角坐标系xOy 中,点A 在曲线y =ln x 上,且该曲线在点A 处的切线经过点(-e ,-1)(e 为自然对数的底数),则点A 的坐标是 ▲ . 【答案】(e, 1) 【解析】设点()00,A x y ,则00ln y x =. 又1y x'=, 当0x x =时,01y x '=, 则曲线ln y x =在点A 处的切线为0001()y y x x x -=-, 即00ln 1xy x x -=-, 将点()e,1--代入,得00e1ln 1x x ---=-, 即00ln e x x =,考察函数()ln H x x x =,当()0,1x ∈时,()0H x <,当()1,x ∈+∞时,()0H x >, 且()ln 1H x x '=+,当1x >时,()()0,H x H x '>单调递增, 注意到()e e H =,故00ln e x x =存在唯一的实数根0e x =, 此时01y =, 故点A 的坐标为()e,1.8.【2019年高考全国Ⅰ卷文数】已知函数f (x )=2sin x -x cos x -x ,f ′(x )为f (x )的导数.(1)证明:f ′(x )在区间(0,π)存在唯一零点;(2)若x ∈[0,π]时,f (x )≥ax ,求a 的取值范围.【解析】(1)设()()g x f x '=,则()cos sin 1,()cos g x x x x g x x x '=+-=.当π(0,)2x ∈时,()0g x '>;当π,π2x ⎛⎫∈ ⎪⎝⎭时,()0g x '<,所以()g x 在π(0,)2单调递增,在π,π2⎛⎫⎪⎝⎭单调递减. 又π(0)0,0,(π)22g g g ⎛⎫=>=-⎪⎝⎭,故()g x 在(0,π)存在唯一零点. 所以()f x '在(0,π)存在唯一零点.(2)由题设知(π)π,(π)0f a f =…,可得a ≤0.由(1)知,()f x '在(0,π)只有一个零点,设为0x ,且当()00,x x ∈时,()0f x '>;当()0,πx x ∈时,()0f x '<,所以()f x 在()00,x 单调递增,在()0,πx 单调递减.又(0)0,(π)0f f ==,所以,当[0,π]x ∈时,()0f x …. 又当0,[0,π]a x ∈…时,ax ≤0,故()f x ax …. 因此,a 的取值范围是(,0]-∞.9.【2019年高考全国Ⅱ卷文数】已知函数()(1)ln 1f x x x x =---.证明:(1)()f x 存在唯一的极值点;(2)()=0f x 有且仅有两个实根,且两个实根互为倒数. 【解析】(1)()f x 的定义域为(0,+∞).11()ln 1ln x f x x x x x-'=+-=-. 因为ln y x =单调递增,1y x=单调递减,所以()f x '单调递增,又(1)10f '=-<,1ln 41(2)ln 2022f -'=-=>,故存在唯一0(1,2)x ∈,使得()00f x '=.又当0x x <时,()0f x '<,()f x 单调递减;当0x x >时,()0f x '>,()f x 单调递增. 因此,()f x 存在唯一的极值点.(2)由(1)知()0(1)2f x f <=-,又()22e e 30f =->,所以()0f x =在()0,x +∞内存在唯一根x α=.由01x α>>得011x α<<.又1111()1ln 10f f αααααα⎛⎫⎛⎫=---==⎪ ⎪⎝⎭⎝⎭,故1α是()0f x =在()00,x 的唯一根. 综上,()0f x =有且仅有两个实根,且两个实根互为倒数.10.【2019年高考天津文数】设函数()ln (1)e x f x x a x =--,其中a ∈R .(1)若a ≤0,讨论()f x 的单调性; (2)若10ea <<, (i )证明()f x 恰有两个零点;(ii )设0x 为()f x 的极值点,1x 为()f x 的零点,且10x x >,证明0132x x ->. 【解析】(1)解:由已知,()f x 的定义域为(0,)+∞,且211e ()e (1)e x x xf ax x a a x x x-⎡⎤=-+-=⎣'⎦. 因此当a ≤0时,21e 0x ax ->,从而()0f x '>,所以()f x 在(0,)+∞内单调递增.(2)证明:(i )由(Ⅰ)知21e ()xax f x x-'=.令2()1e x g x ax =-,由10e a <<, 可知()g x 在(0,)+∞内单调递减,又(1)1e 0g a =->,且221111ln 1ln 1ln 0g a a a a a ⎛⎫⎛⎫⎛⎫=-=-< ⎪ ⎪ ⎪⎝⎭⎝⎭⎝⎭. 故()0g x =在(0,)+∞内有唯一解,从而()0f x '=在(0,)+∞内有唯一解,不妨设为0x ,则011l n x a<<.当()00,x x ∈时,()0()()0g x g x f x x x'=>=,所以()f x 在()00,x 内单调递增;当()0,x x ∈+∞时,()0()()0g x g x f x x x'=<=,所以()f x 在()0,x +∞内单调递减,因此0x 是()f x 的唯一极值点.令()ln 1h x x x =-+,则当1x >时,1()10h'x x=-<,故()h x 在(1,)+∞内单调递减,从而当1x >时,()(1)0h x h <=,所以ln 1x x <-.从而ln 1111111ln ln ln ln 1e ln ln ln 1ln 0a f a h a a a a a a ⎛⎫⎛⎫⎛⎫=--=-+=< ⎪ ⎪ ⎪⎝⎭⎝⎭⎝⎭,又因为()0(1)0f x f >=,所以()f x 在0(,)x +∞内有唯一零点.又()f x 在()00,x 内有唯一零点1,从而,()f x 在(0,)+∞内恰有两个零点.(ii )由题意,()()010,0,f x f x '=⎧⎪⎨=⎪⎩即()012011e 1,ln e ,1x x ax x a x ⎧=⎪⎨=-⎪⎩从而1011201ln e x x x x x --=,即102011ln e 1x x x x x -=-.因为当1x >时,ln 1x x <-,又101x x >>,故()102012011e 1x x x x x x --<=-,两边取对数,得1020ln e ln x x x -<,于是()10002ln 21x x x x -<<-, 整理得0132x x ->.11.【2019年高考全国Ⅲ卷文数】已知函数32()22f x x ax =-+.(1)讨论()f x 的单调性;(2)当0<a <3时,记()f x 在区间[0,1]的最大值为M ,最小值为m ,求M m -的取值范围. 【解析】(1)2()622(3)f x x ax x x a '=-=-. 令()0f x '=,得x =0或3ax =. 若a >0,则当(,0),3a x ⎛⎫∈-∞+∞ ⎪⎝⎭时,()0f x '>;当0,3a x ⎛⎫∈ ⎪⎝⎭时,()0f x '<.故()f x 在(,0),,3a ⎛⎫-∞+∞ ⎪⎝⎭单调递增,在0,3a ⎛⎫⎪⎝⎭单调递减;若a =0,()f x 在(,)-∞+∞单调递增;若a <0,则当,(0,)3a x ⎛⎫∈-∞+∞ ⎪⎝⎭时,()0f x '>;当,03a x ⎛⎫∈ ⎪⎝⎭时,()0f x '<.故()f x 在,,(0,)3a ⎛⎫-∞+∞ ⎪⎝⎭单调递增,在,03a ⎛⎫⎪⎝⎭单调递减.(2)当03a <<时,由(1)知,()f x 在0,3a ⎛⎫ ⎪⎝⎭单调递减,在,13a ⎛⎫ ⎪⎝⎭单调递增,所以()f x 在[0,1]的最小值为32327a a f ⎛⎫=-+ ⎪⎝⎭,最大值为(0)=2f 或(1)=4f a -.于是 3227a m =-+,4,02,2,2 3.a a M a -<<⎧=⎨≤<⎩所以332,02,27,2 3.27a a a M m a a ⎧-+<<⎪⎪-=⎨⎪≤<⎪⎩当02a <<时,可知3227a a -+单调递减,所以M m -的取值范围是8,227⎛⎫⎪⎝⎭. 当23a ≤<时,327a 单调递增,所以M m -的取值范围是8[,1)27.综上,M m -的取值范围是8[,2)27. 12.【2019年高考北京文数】已知函数321()4f x x x x =-+. (1)求曲线()y f x =的斜率为1的切线方程; (2)当[2,4]x ∈-时,求证:6()x f x x -≤≤;(3)设()|()()|()F x f x x a a =-+∈R,记()F x 在区间[2,4]-上的最大值为M (a ),当M (a )最小时,求a 的值.【解析】(1)由321()4f x x x x =-+得23()214f x x x '=-+. 令()1f x '=,即232114x x -+=,得0x =或83x =.又(0)0f =,88()327f =,所以曲线()y f x =的斜率为1的切线方程是y x =与88273y x -=-,即y x =与6427y x =-.(2)令()(),[2,4]g x f x x x =-∈-.由321()4g x x x =-得23()24g'x x x =-. 令()0g'x =得0x =或83x =.(),()g'x g x 的情况如下:所以()g x 的最小值为6-,最大值为0. 故6()0g x -≤≤,即6()x f x x -≤≤. (3)由(2)知,当3a <-时,()(0)|(0)|3M F g a a a ≥=-=->; 当3a >-时,()(2)|(2)|63M F a g a a ≥-=--=+>; 当3a =-时,()3M a =. 综上,当()M a 最小时,3a =-.13.【2019年高考浙江】已知实数0a ≠,设函数()=ln 0.f x a x x +>(1)当34a =-时,求函数()f x 的单调区间;(2)对任意21[,)ex ∈+∞均有()2f x a ≤ 求a 的取值范围. 注:e=2.71828…为自然对数的底数.【解析】(1)当34a =-时,3()ln 04f x x x =-+>.3()4f 'x x =-+=所以,函数()f x 的单调递减区间为(0,3),单调递增区间为(3,+∞).(2)由1(1)2f a≤,得04a <≤.当04a <≤时,()2f x a ≤等价于22ln 0x a a--≥.令1t a=,则t ≥.设()22ln ,g t t x t =≥则2()2ln g t t x=.(i )当1,7x ⎡⎫∈+∞⎪⎢⎣⎭≤()2ln g t g x ≥=.记1()ln ,7p x x x =≥,则1()p'x x =-==.故所以,()(1)0p x p ≥=.因此,()2()0g t g p x ≥=≥.(ii )当211,e 7x ⎡⎫∈⎪⎢⎣⎭时,()g t g =….令211()(1),,e 7q x x x x ⎡⎤=++∈⎢⎥⎣⎦,则()10q'x =>,故()q x 在211,e 7⎡⎤⎢⎥⎣⎦上单调递增,所以1()7q x q ⎛⎫⎪⎝⎭….由(i )得,11(1)07777q p p ⎛⎫⎛⎫=-<-= ⎪ ⎪⎝⎭⎝⎭. 所以,()<0q x .因此()0g t g =>….由(i )(ii )知对任意21,e x ⎡⎫∈+∞⎪⎢⎣⎭,),()0t g t ∈+∞…,即对任意21,e x ⎡⎫∈+∞⎪⎢⎣⎭,均有()2f x a ….综上所述,所求a 的取值范围是0,4⎛ ⎝⎦. 14.【2019年高考江苏】设函数()()()(),,,f x x a x b x c a b c =---∈R 、()f 'x 为f (x )的导函数.(1)若a =b =c ,f (4)=8,求a 的值;(2)若a ≠b ,b =c ,且f (x )和()f 'x 的零点均在集合{3,1,3}-中,求f (x )的极小值;(3)若0,01,1a b c =<=…,且f (x )的极大值为M ,求证:M ≤427. 【答案】(1)2a =;(2)见解析;(3)见解析.【解析】(1)因为a b c ==,所以3()()()()()f x x a x b x c x a =---=-. 因为(4)8f =,所以3(4)8a -=,解得2a =. (2)因为b c =,所以2322()()()(2)(2)f x x a x b x a b x b a b x ab =--=-+++-, 从而2()3()3a b f 'x x b x +⎛⎫=-- ⎪⎝⎭.令()0f 'x =,得x b =或23a bx +=. 因为2,,3a ba b +都在集合{3,1,3}-中,且a b ≠, 所以21,3,33a b a b +===-.此时2()(3)(3)f x x x =-+,()3(3)(1)f 'x x x =+-. 令()0f 'x =,得3x =-或1x =.列表如下:所以()f x 的极小值为2(1)(13)(13)32f =-+=-.(3)因为0,1a c ==,所以32()()(1)(1)f x x x b x x b x bx =--=-++,2()32(1)f 'x x b x b =-++.因为01b <≤,所以224(1)12(21)30b b b ∆=+-=-+>, 则()f 'x 有2个不同的零点,设为()1212,x x x x <.由()0f 'x =,得12x x ==.列表如下:所以()f x 的极大值()1M f x =. 解法一:()321111(1)M f x x b x bx ==-++()221111211(1)[32(1)]3999b b x b b b x b x b x -+++⎛⎫=-++--+ ⎪⎝⎭()2321(1)(1)227927b b b b b --+++=++23(1)2(1)(1)2272727b b b b +-+=-+(1)24272727b b +≤+≤.因此427M ≤. 解法二:因为01b <≤,所以1(0,1)x ∈.当(0,1)x ∈时,2()()(1)(1)f x x x b x x x =--≤-. 令2()(1),(0,1)g x x x x =-∈,则1()3(1)3g'x x x ⎛⎫=-- ⎪⎝⎭. 令()0g'x =,得13x =.列表如下:所以当13x =时,()g x 取得极大值,且是最大值,故max 14()327g x g ⎛⎫== ⎪⎝⎭. 所以当(0,1)x ∈时,4()()27f x g x ≤≤,因此427M ≤. 【名师点睛】本题主要考查利用导数研究函数的性质,考查综合运用数学思想方法分析与解决问题以及逻辑推理能力.。
专题03 导数及其应用1.【2019年高考全国Ⅲ卷理数】已知曲线e ln x y a x x =+在点(1,a e )处的切线方程为y =2x +b ,则 A .e 1a b ==-, B .a=e ,b =1 C .1e 1a b -==,D .1e a -=,1b =-2.【2019年高考天津理数】已知a ∈R ,设函数222,1,()ln ,1.x ax a x f x x a x x ⎧-+≤=⎨->⎩若关于x 的不等式()0f x ≥在R 上恒成立,则a 的取值范围为 A .[]0,1 B .[]0,2 C .[]0,eD .[]1,e3.(2019浙江)已知,a b ∈R ,函数32,0()11(1),032x x f x x a x ax x <⎧⎪=⎨-++≥⎪⎩.若函数()y f x ax b =--恰有3个零点,则 A .a <–1,b <0 B .a <–1,b >0 C .a >–1,b <0D .a >–1,b >04.【2019年高考全国Ⅰ卷理数】曲线23()e xy x x =+在点(0)0,处的切线方程为____________. 5.【2019年高考江苏】在平面直角坐标系xOy 中,P 是曲线4(0)y x x x=+>上的一个动点,则点P 到直线0x y +=的距离的最小值是 ▲ .6.【2019年高考江苏】在平面直角坐标系xOy 中,点A 在曲线y =ln x 上,且该曲线在点A 处的切线经过点(-e ,-1)(e 为自然对数的底数),则点A 的坐标是 ▲ .7.【2019年高考北京理数】设函数()e e xxf x a -=+(a 为常数).若f (x )为奇函数,则a =________;若f (x )是R 上的增函数,则a 的取值范围是___________.8.【2019年高考全国Ⅰ卷理数】已知函数()sin ln(1)f x x x =-+,()f x '为()f x 的导数.证明:(1)()f x '在区间(1,)2π-存在唯一极大值点;(2)()f x 有且仅有2个零点.9.【2019年高考全国Ⅱ卷理数】已知函数()11ln x f x x x -=-+.(1)讨论f (x )的单调性,并证明f (x )有且仅有两个零点;(2)设x 0是f (x )的一个零点,证明曲线y =ln x 在点A (x 0,ln x 0)处的切线也是曲线e xy =的切线.10.【2019年高考全国Ⅲ卷理数】已知函数32()2f x x ax b =-+.(1)讨论()f x 的单调性;(2)是否存在,a b ,使得()f x 在区间[0,1]的最小值为1-且最大值为1?若存在,求出,a b 的所有值;若不存在,说明理由.11.【2019年高考北京理数】已知函数321()4f x x x x =-+. (Ⅰ)求曲线()y f x =的斜率为1的切线方程; (Ⅱ)当[2,4]x ∈-时,求证:6()x f x x -≤≤;(Ⅲ)设()|()()|()F x f x x a a =-+∈R ,记()F x 在区间[2,4]-上的最大值为M (a ).当M (a )最小时,求a 的值.12.【2019年高考天津理数】设函数()e cos ,()xf x xg x =为()f x 的导函数.(Ⅰ)求()f x 的单调区间;(Ⅱ)当,42x ππ⎡⎤∈⎢⎥⎣⎦时,证明()()02f x g x x π⎛⎫+-≥ ⎪⎝⎭;(Ⅲ)设n x 为函数()()1u x f x =-在区间2,242n n ππ⎛⎫π+π+ ⎪⎝⎭内的零点,其中n ∈N ,证明20022sin c s e o n n n x x x -πππ+-<-.13.【2019年高考浙江】已知实数0a ≠,设函数()=ln 1,0.f x a x x x ++>(1)当34a =-时,求函数()f x 的单调区间; (2)对任意21[,)e x ∈+∞均有()xf x ≤ 求a 的取值范围. 注:e=2.71828…为自然对数的底数.14.【2019年高考江苏】设函数()()()(),,,f x x a x b x c a b c =---∈R 、()f 'x 为f (x )的导函数.(1)若a =b =c ,f (4)=8,求a 的值;(2)若a ≠b ,b =c ,且f (x )和()f 'x 的零点均在集合{3,1,3}-中,求f (x )的极小值;(3)若0,01,1a b c =<=…,且f (x )的极大值为M ,求证:M ≤427.15.【河北省武邑中学2019届高三第二次调研考试数学】函数f(x)=x 2−2lnx 的单调减区间是A .(0,1]B .[1,+∞)C .(−∞,−1]∪(0,1]D .[−1,0)∪(0,1]16.【江西省南昌市2019届高三模拟考试数学】已知f(x)在R 上连续可导,f ′(x)为其导函数,且f(x)=e x +e −x −f ′(1)x ⋅(e x −e −x ),则f ′(2)+f ′(−2)−f ′(0)f ′(1)= A .4e 2+4e −2 B .4e 2−4e −2 C .0D .4e 217.【江西省新八校2019届高三第二次联考数学】若3()3()21f x f x x x +-=++对x ∈R 恒成立,则曲线()y f x =在点()()1,1f 处的切线方程为A .5250x y +-=B .10450x y +-=C .540x y +=D .204150x y --=18.【云南省玉溪市第一中学2019届高三第二次调研考试数学】函数2l ()n f x x x =的最小值为A .1e- B .1e C .12e-D .12e19.【四川省内江市2019届高三第三次模拟考试数学】若函数f(x)=12ax 2+xlnx −x 存在单调递增区间,则a 的取值范围是 A .1,1e ⎛⎫- ⎪⎝⎭B .1,e ⎛⎫-+∞ ⎪⎝⎭C .()1,-+∞D .1,e ⎛⎫-∞ ⎪⎝⎭20.【山西省太原市2019届高三模拟试题(一)数学】已知定义在(0,+∞)上的函数f(x)满足xf ′(x)−f(x)<0,且f(2)=2,则f (e x )−e x >0的解集是 A .(−∞,ln2) B .(ln2,+∞) C .(0,e 2)D .(e 2,+∞)21.【河南省焦作市2019届高三第四次模拟考试数学】已知a =ln √33,b =e −1,c =3ln28,则a,b,c 的大小关系为 A .b <c <a B .a >c >b C .a >b >cD .b >a >c22.【安徽省毛坦厂中学2019届高三校区4月联考数学】已知f (x )=lnx +1−ae x ,若关于x 的不等式f (x )<0恒成立,则实数a 的取值范围是 A .1,e ⎛⎫-∞ ⎪⎝⎭B .(),0-∞C .1,e ⎡⎫+∞⎪⎢⎣⎭D .1,e ⎛⎫+∞ ⎪⎝⎭23.【辽宁省丹东市2019届高三总复习质量测试】若1x =是函数()3221()(1)33f x x a x a a x =++-+-的极值点,则a 的值为 A .-2 B .3 C .-2或3D .-3或224.【黑龙江省大庆市第一中学2019届高三下学期第四次模拟(最后一卷)考试】已知奇函数()f x 是定义在R 上的可导函数,其导函数为()f x ',当0x >时,有()()22f x xf x x '>+,则不等式()()()22018+2018420x f x f +-<+的解集为A .(),2016-∞-B .()2016,2012--C .(),2018-∞-D .()2016,0-25.【重庆西南大学附属中学校2019届高三第十次月考数学】曲线21()ln 2f x x x x =+在点(1(1))f ,处的切线与直线10ax y --=垂直,则a =________.26.【广东省深圳市高级中学2019届高三适应性考试(6月)数学】已知函数22,0,()e ,0,x x x f x x ⎧≤=⎨>⎩若方程2[()]f x a =恰有两个不同的实数根12,x x ,则12x x +的最大值是______.27.【山东省烟台市2019届高三3月诊断性测试(一模)数学】已知函数4211()42f x x ax =-,a ∈R . (1)当1a =时,求曲线()f x 在点(2,(2))f 处的切线方程;(2)设函数2()(22)e e ()xg x x x a f x =-+--,其中e 2.71828...=是自然对数的底数,讨论()g x 的单调性并判断有无极值,有极值时求出极值.28.【陕西省2019届高三第三次联考数学】已知函数f(x)=lnx−ax,g(x)=x2,a∈R.(1)求函数f(x)的极值点;(2)若f(x)≤g(x)恒成立,求a的取值范围.29.【山东省济宁市2019届高三二模数学】已知函数f(x)=lnx−xe x+ax(a∈R).(1)若函数f(x)在[1,+∞)上单调递减,求实数a的取值范围;(2)若a=1,求f(x)的最大值.30.【福建省龙岩市2019届高三5月月考数学】今年3月5日,国务院总理李克强作的政府工作报告中,提到要“惩戒学术不端,力戒学术不端,力戒浮躁之风”.教育部日前公布的《教育部2019年部门预算》中透露,2019年教育部拟抽检博士学位论文约6000篇,预算为800万元.国务院学位委员会、教育部2014年印发的《博士硕士学位论文抽检办法》通知中规定:每篇抽检的学位论文送3位同行专家进行评议,3位专家中有2位以上(含2位)专家评议意见为“不合格”的学位论文,将认定为“存在问题学位论文”.有且只有1位专家评议意见为“不合格”的学位论文,将再送2位同行专家进行复评,2位复评专家中有1位以上(含1位)专家评议意见为“不合格”的学位论文,将认定为“存在问题学位论文”.设每篇学位论文被每位专家评议为“不合格”的概率均为(01)p p <<,且各篇学位论文是否被评议为“不合格”相互独立.(1)记一篇抽检的学位论文被认定为“存在问题学位论文”的概率为()f p ,求()f p ;(2)若拟定每篇抽检论文不需要复评的评审费用为900元,需要复评的评审费用为1500元;除评审费外,其它费用总计为100万元.现以此方案实施,且抽检论文为6000篇,问是否会超过预算?并说明理由.31.【北京市西城区2019届高三4月统一测试(一模)数学】设函数f(x)=m e x −x 2+3,其中m ∈R .(1)当f(x)为偶函数时,求函数ℎ(x)=xf(x)的极值;(2)若函数f(x)在区间[−2 , 4]上有两个零点,求m的取值范围.。
专题三 导数及其应用第七讲 导数的几何意义、定积分与微积分基本定理2019年1.(2019全国Ⅰ理13)曲线23()e xy x x =+在点(0)0,处的切线方程为____________. 2.(2019全国Ⅲ理6)已知曲线e ln x y a x x =+在点1e a (,)处的切线方程为y =2x +b ,则 A .e 1a b ==−, B .a=e ,b =1C .1e 1a b −==,D .1e a −= ,1b =−2010-2018年一、选择题1.(2018全国卷Ⅰ)设函数32()(1)f x x a x ax =+−+,若()f x 为奇函数,则曲线()y f x =在点(0,0)处的切线方程为 A .2y x =−B .y x =−C .2y x =D .y x =2.(2016年四川)设直线1l ,2l 分别是函数()f x = ln ,01,ln ,1,x x x x −<<⎧⎨>⎩图象上点1P ,2P 处的切线,1l 与2l 垂直相交于点P ,且1l ,2l 分别与y 轴相交于点A ,B ,则△PAB 的面积的取值范围是A .(0,1)B .(0,2)C .(0,+∞)D .(1,+∞)3.(2016年山东)若函数()y f x =的图象上存在两点,使得函数的图象在这两点处的切线互相垂直,则称()y f x =具有T 性质.下列函数中具有T 性质的是 A .sin y x =B .ln y x =C .x y e=D .3y x =4.(2015福建)若定义在R 上的函数()f x 满足()01f =−,其导函数()f x '满足()1f x k '>> ,则下列结论中一定错误的是A .11()f kk <B .11()1f k k >−C .11()11f k k <−−D .1()11kf k k >−− 5.(2014新课标Ⅰ)设曲线ln(1)y ax x =−+在点(0,0)处的切线方程为2y x =,则a = A .0 B .1 C .2 D .36.(2014山东)直线x y 4=与曲线3y x =在第一象限内围成的封闭图形的面积为A .22B .24C .2D .4 7.(2013江西)若22221231111,,,x S x dx S dx S e dx x===⎰⎰⎰则123,,S S S 的大小关系为A .123S S S <<B .213S S S <<C .231S S S <<D .321S S S <<8.(2012福建)如图所示,在边长为1的正方形OABC 中任取一点P ,则点P 恰好取自阴影部分的概率为A .14 B .15 C .16 D .179.(2011新课标)由曲线y =2y x =−及y 轴所围成的图形的面积为A .103 B .4 C .163D .6 10.(2011福建)1(2)x e x dx +⎰等于A .1B .1e −C .eD .1e + 11.(2010湖南)421dx x⎰等于 A .2ln 2− B .2ln 2 C .ln 2− D .ln 2 12.(2010新课标)曲线3y 21x x =−+在点(1,0)处的切线方程为A .1y x =−B .1y x =−+C .22y x =−D .22y x =−+ 13.(2010辽宁)已知点P 在曲线y=41xe +上,α为曲线在点P 处的切线的倾斜角,则α的取值范围是 A .[0,4π) B .[,)42ππ C .3(,]24ππ D .3[,)4ππ二、填空题14.(2018全国卷Ⅱ)曲线2ln(1)=+y x 在点(0,0)处的切线方程为__________. 15.(2018全国卷Ⅲ)曲线(1)xy ax e =+在点(0,1)处的切线的斜率为2−,则a =____. 16.(2016年全国Ⅱ)若直线y kx b =+是曲线ln 2y x =+的切线,也是曲线ln(1)y x =+的切线,则b = .17.(2016年全国Ⅲ) 已知()f x 为偶函数,当0x <时,()ln()3f x x x =−+,则曲线()y f x =,在点(1,3)−处的切线方程是_________.18.(2015湖南)2(1)x dx −⎰= .19.(2015陕西)设曲线xy e =在点(0,1)处的切线与曲线1(0)y x x=>上点P 处的切线垂直,则P 的坐标为 .20.(2015福建)如图,点A 的坐标为()1,0,点C 的坐标为()2,4,函数()2f x x =,若在矩形ABCD 内随机取一点,则此点取自阴影部分的概率等于 .(第15题) (第17题)21.(2014广东)曲线25+=−xey 在点)3,0(处的切线方程为 .22.(2014福建)如图,在边长为e (e 为自然对数的底数)的正方形中随机撒一粒黄豆,则他落到阴影部分的概率为______.23.(2014江苏)在平面直角坐标系xOy 中,若曲线xbax y +=2(a ,b 为常数)过点)5,2(−P ,且该曲线在点P 处的切线与直线0327=++y x 平行,则b a +的值是 . 24.(2014安徽)若直线l 与曲线C 满足下列两个条件:)(i 直线l 在点()00,y x P 处与曲线C 相切;)(ii 曲线C 在P 附近位于直线l 的两侧,则称直线l 在点P 处“切过”曲线C .下列命题正确的是_________(写出所有正确命题的编号)①直线0:=y l 在点()0,0P 处“切过”曲线C :3y x =②直线1:−=x l 在点()0,1−P 处“切过”曲线C :2)1(+=x y③直线x y l =:在点()0,0P 处“切过”曲线C :x y sin = ④直线x y l =:在点()0,0P 处“切过”曲线C :x y tan = ⑤直线1:−=x y l 在点()0,1P 处“切过”曲线C :x y ln =.25.(2013江西)若曲线1y x α=+(R α∈)在点(1,2)处的切线经过坐标原点,则α= . 26.(2013湖南)若209,Tx dx T =⎰则常数的值为 .27.(2013福建)当,1x R x ∈<时,有如下表达式:211.......1n x x x x+++++=− 两边同时积分得:1111122222200011.......1ndx xdx x dx x dx dx x+++++=−⎰⎰⎰⎰⎰从而得到如下等式:23111111111()()...()...ln 2.2223212n n +⨯+⨯+⨯++⨯+=+ 请根据以下材料所蕴含的数学思想方法,计算:0122311111111()()()2223212nn n n n n C C C C n +⨯+⨯+⨯+⋅⋅⋅+⨯+= .28.(2012江西)计算定积分121(sin )x x dx −+=⎰___________.29.(2012山东)设0>a ,若曲线x y =与直线0,==y a x 所围成封闭图形的面积为2a ,则=a .30.(2012新课标)曲线(3ln 1)y x x =+在点(1,1)处的切线方程为________.31.(2011陕西)设20lg 0()30ax x f x x t dt x >⎧⎪=⎨+⎪⎩⎰…,若((1))1f f =,则a = .32.(2010新课标)设()y f x =为区间[0,1]上的连续函数,且恒有0()1f x ≤≤,可以用随机模拟方法近似计算积分1()f x dx ⎰,先产生两组(每组N 个)区间[0,1]上的均匀随机数12,,N x x x …和12,,N y y y …,由此得到N 个点(,)(1,2,)i i x y i N =…,,再数出其中满足()(1,2,)i i y f x i N ≤=…,的点数1N ,那么由随机模拟方案可得积分1()f x dx ⎰的近似值为 .33.(2010江苏)函数2y x =(0x >)的图像在点2(,)k k a a 处的切线与x 轴交点的横坐标为1k a +,其中*k N ∈,若116a =,则135a a a ++= .三、解答题34.(2017北京)已知函数()cos xf x e x x =−.(Ⅰ)求曲线()y f x =在点(0,(0))f 处的切线方程; (Ⅱ)求函数()f x 在区间[0,]2π上的最大值和最小值.35.(2016年北京)设函数()a xf x xebx −=+,曲线()y f x =在点(2,(2))f 处的切线方程为(1)4y e x =−+,(I )求a ,b 的值; (II )求()f x 的单调区间.36.(2015重庆)设函数23()()exx ax f x a R +=∈. (Ⅰ)若()f x 在0x =处取得极值,确定a 的值,并求此时曲线()y f x =在点(1,(1))f处的切线方程;(Ⅱ)若()f x 在[3,)+∞上为减函数,求a 的取值范围. 37.(2015新课标Ⅰ)已知函数31()4f x x ax =++,()ln g x x =−. (Ⅰ)当a 为何值时,x 轴为曲线()y f x =的切线;(Ⅱ)用min {},m n 表示m ,n 中的最小值,设函数{}()min (),()h x f x g x =(0)x >,讨论()h x 零点的个数.38.(2014新课标Ⅰ)设函数1()ln x xbe f x ae x x−=+,曲线()y f x =在点(1,(1))f 处的切线为(1)2y e x =−+.(Ⅰ)求,a b ;(Ⅱ)证明:()1f x >.39.(2013新课标Ⅱ)已知函数()()ln xf x e x m =−+(Ι)设0x =是()f x 的极值点,求m ,并讨论()f x 的单调性; (Ⅱ)当2m ≤时,证明()0f x >.40.(2012辽宁)设()()()=ln +1+,,,f x x ax b a b R a b ∈为常数,曲线()=y f x 与直线3=2y x 在()0,0点相切. (1)求,a b 的值;(2)证明:当0<<2x 时,()9<+6xf x x . 41.(2010福建)(1)已知函数3()=f x x x −,其图象记为曲线C .(i )求函数()f x 的单调区间;(ii )证明:若对于任意非零实数1x ,曲线C 与其在点111(,())P x f x 处的切线交于另一点222(,())P x f x ,曲线C 与其在点222(,())P x f x 处的切线交于另一点333(,())P x f x ,线段1223,PP P P 与曲线C 所围成封闭图形的面积分别记为1,2S S ,则12S S 为定值; (2)对于一般的三次函数32()g x ax bx cx d =+++(0)a ≠,请给出类似于(1)(ii )的正确命题,并予以证明.专题三 导数及其应用第七讲 导数的几何意义、定积分与微积分基本定理答案部分 2019年1.解析:因为23e x y x x =+(),所以2'3e 31xy x x =++(), 所以当0x =时,'3y =,所以23e x y x x =+()在点00(,)处的切线斜率3k =, 又()00y =所以切线方程为()030y x −=−,即3y x =. 2.解析 e ln x y a x x =+的导数为'e ln 1x y a x =++,又函数e ln x y a x x =+在点(1,e)a 处的切线方程为2y x b =+, 可得e 012a ++=,解得1e a −=,又切点为(1,1),可得12b =+,即1b =−.故选D .2010-2018年1.D 【解析】通解 因为函数32()(1)=+−+f x x a x ax 为奇函数,所以()()−=−f x f x ,所以3232()(1)()()[(1)]−+−−+−=−+−+x a x a x x a x ax ,所以22(1)0−=a x , 因为∈R x ,所以1=a ,所以3()=+f x x x ,所以2()31'=+f x x ,所以(0)1'=f ,所以曲线()=y f x 在点(0,0)处的切线方程为=y x .故选D .优解一 因为函数32()(1)=+−+f x x a x ax 为奇函数,所以(1)(1)0−+=f f ,所以11(11)0−+−−++−+=a a a a ,解得1=a ,所以3()=+f x x x ,所以2()31'=+f x x ,所以(0)1'=f ,所以曲线()=y f x 在点(0,0)处的切线方程为=y x .故选D .优解二 易知322()(1)[(1)]=+−+=+−+f x x a x ax x x a x a ,因为()f x 为奇函数,所以函数2()(1)=+−+g x x a x a 为偶函数,所以10−=a ,解得1=a ,所以3()=+f x x x ,所以2()31'=+f x x ,所以(0)1'=f ,所以曲线()=y f x 在点(0,0)处的切线方程为=y x .故选D .2.A 【解析】不妨设111(,ln )P x x ,222(,ln )P x x ,由于12l l ⊥,所以1211()1x x ⨯−=−, 则121x x =.又切线1l :1111ln ()y x x x x −=−,22221:ln ()l y x x x x +=−−,于是1(0,ln 1)A x −,1(0,1ln )B x +,所以||2AB =,联立1112221ln ()1ln ()y x x x x y x x x x ⎧−=−⎪⎪⎨⎪+=−−⎪⎩,解得1121P x x x =+,所以1112212PAB P S x x x ∆=⨯⨯=+,因为11x >,所以1112x x +>,所以PAB S ∆的取值范围是(0,1),故选A .3.A 【解析】设函数()y f x =的图象上两点11(,)P x y ,22(,)Q x y ,则由导数的几何意义可知,点P ,Q 处切线的斜率分别为11()k f x '=,22()k f x '=若函数具有T 性质,则12k k ⋅=1()f x '2()f x '=−1.对于A 选项,()cos f x x '=,显然12k k ⋅=12cos cos x x =−1有无数组解,所以该函数具有T 性质;对于B 选项,1()(0)f x x x'=>,显然 12k k ⋅=1211x x ⋅=−1无解,故该函数不具有T 性质;对于C 选项,()x f x e '=>0, 显然12k k ⋅=12xxe e ⋅=−1无解,故该函数不具有T 性质;对于D 选项,2()3f x x '=≥0,显然12k k ⋅=221233x x ⋅=−1无解,故该函数不具有T 性质.故选A .4.C 【解析】 取满足题意得函数()21f x x =-,若取32k =,则121()()33f f k == 213k <=,所以排除A .若取1110k =,则111110()()(10)1911111111111010k f f f k k ===>==----,所以排除D ;取满足题 意的函数()101f x x =-,若取2k =,则1111()()412211f f k k ==>==--,所以排除B , 故结论一定错误的是C . 5.D 【解析】11y a x '=−+,由题意得0|2x y ='=,即3a =. 6.D 【解析】由34x x =得,0x =、2x =或2x =−(舍去),直线x y 4=与曲线3y x =在第一象限内围成的封闭图形的面积23242001(4)(2)|44S x x dx x x =−=−=⎰. 7.B 【解析】3221127133x S x dx ===⎰,22121ln ln 21S dx x x ===⎰,223121x xS e dx ee e ===−⎰.显然213S S S <<,故选B .8.C【解析】∵312201211)()0326S x dx x x =−=⎰阴影=,正方形的面积为1,∴P =16. 9.C【解析】用定积分求解342420021162)(2)323x dx x x x +=−+=⎰,选C10.C 【解析】1(2)x e x dx +⎰210()x e x e =+=,选C .11.D 【解析】∵1(ln )x x'=,∴421dx x ⎰=4ln ln 4ln 2ln 22x =−=.12.A 【解析】点(1,0)处的切线斜率为k ,213121x k y ='==⨯−=,由点斜式可得切线方程为A .13.D 【解析】因为'2441(1)2x x x xe y e e e−−==≥−+++,即tan α≥-1,所以34παπ≤≤. 14.2=y x 【解析】∵2ln(1)=+y x ,∴21y x '=+.当0x =时,2y '=, ∴曲线2ln(1)=+y x 在点(0,0)处的切线方程为02(0)y x −=−,即2=y x .15.3−【解析】(1)xy ax a e '=++,由曲线在点(0,1)处的切线的斜率为2−,得0(1)12xx x y ax a e a =='=++=+=−,所以3a =−.16.1ln 2−【解析】设y kx b =+与ln 2y x =+和ln(1)y x =+的切点分别为11(,ln 2)x x +和22(,ln(1))x x +. 则切线分别为1111ln 2()y x x x x −−=−,2221ln(1)()1y x x x x −+=−+, 化简得111ln 1y x x x =⋅++,()22221ln 111xy x x x x =++−++, 依题意,()122122111ln 1ln 11x x x x x x ⎧=⎪+⎪⎨⎪+=+−⎪+⎩,解得112x =,从而1ln 11ln 2b x =+=−.17.21y x =−−【解析】由题意可得当0x >时,()ln 3f x x x =−,则1()3f x x'=−,(1)2f '=−,则在点(1,3)−处的切线方程为32(1)y x +=−−,即21y x =−−.18.0【解析】2221(1)()002x dx x x −=−=⎰. 19.(1,1)【解析】因为xy e =,所以xy e '=,所以曲线xy e =在点()0,1处的切线的斜率0101x k y e ='===,设P 的坐标为()00,x y (00x >),则001y x =,因为1y x =,所以21y x '=−,所以曲线1y x=在点P 处的切线的斜率02201x x k y x ='==−,因为121k k ⋅=−,所以2011x −=−,即21x =,解得01x =±,因为00x >,所以01x =,所以01y =,即P 的坐标是()1,1,所以答案应填:()1,1.20.512【解析】由已知得阴影部分面积为221754433x dx −=−=⎰.所以此点取自阴影部分的概率等于553412=.21.53y x =−+【解析】55xy e −'=−,在点(0,3)处的切线的斜率为5−,切线方程为35(0)y x −=−−,即53y x =−+. 22.22e 【解析】根据对称性,两个阴影部分面积相等, ∴110=2()22|2xx S e e dx e e−=−=⎰阴,由几何概型的概率计算公式,得所求的概率为22=S S e 阴正. 23.-3【解析】由题意可得542b a −=+① 又2()2bf x ax x'=−,过点)5,2(−P 的切线的斜率7442b a −=− ②,由①②解得1,2a b =−=−,所以3a b +=−. 24.①③④【解析】 对于①,203,|0x y x y =''==,所以:0l y =是曲线3:C y x =在点(0,0)P处的切线,画图可知曲线3:C y x =在点(0,0)P 附近位于直线l 的两侧,①正确;对于②,因为12(1),|0x y x y =−''=+=,所以:1l x =−不是曲线C :2)1(+=x y 在点()0,1−P 处的切线,②错误;对于③,0cos ,|1x y x y =''==,在点()0,0P 处的切线为x y l =:,画图可知曲线C :x y sin =在点()0,0P 附近位于直线l 的两侧,③正确;对于④,21cos y x '=,021|1cos 0x y ='==,在点()0,0P 处的切线为x y l =:,画图可知曲线C :x y tan =在点()0,0P 附近位于直线l 的两侧,④正确;对于⑤1y x'=,1|1x y ='=,在点()0,1P 处的切线为1:−=x y l ,令()1ln (0)h x x x x =−−>,可得11()1x h x x x−'=−=,所以min ()(1)0h x h ==,故1ln x x −≥, 可知曲线C :x y ln =在点()0,1P 附近位于直线l 的下侧,⑤错误. 25.2【解析】1y x αα−'=,则k α=,故切线方程y x α=过点(1,2)解得2α=.26.3【解析】393330302=⇒===⎰T T x dx x TT. 27.113[()1]12n n +−+【解析】由01221......(1)n nn nn n n C C x C x C x x +++++=+两边同时积分得:111112222220001......(1).nn n n n n C dx C xdx C x dx C x dx x dx +++++=+⎰⎰⎰⎰⎰从而得到如下等式:0122311111111()()()2223212nn n n n n C C C C n +⨯+⨯+⨯+⋅⋅⋅+⨯+=113[()1]12n n +−+.28.23【解析】31211111(sin )cos |cos1cos1333x x x dx x −−⎛⎫−⎛⎫⎛⎫+=−=−−− ⎪ ⎪ ⎪⎝⎭⎝⎭⎝⎭⎰ 112333=+=. 29.94【解析】a a x dx x S aa ====⎰232303232,解得49=a .30.43y x =−【解析】∵3ln 4y x '=+,∴切线斜率为4,则切线方程为:430x y −−=. 31.1【解析】因为10x =>,所以(1)lg10f ==,又因为230()3af x x t dt x a =+=+⎰,所以3(0)f a =,所以31a =,1a =.32.1N N 【解析】由题意可知11()1f x dx NN≈⎰得11()N f x dx N≈⎰,故积分10()f x dx ⎰的近似值为1N N.33.21【解析】在点2(,)k k a a 处的切线方程为:22(),k k k y a a x a −=−当0y =时,解得2k a x =,所以1135,1641212k k aa a a a +=++=++=. 34.【解析】(Ⅰ)因为()e cos x f x x x =−,所以()e (cos sin )1,(0)0xf x x x f ''=−−=.又因为(0)1f =,所以曲线()y f x =在点(0,(0))f 处的切线方程为1y =.(Ⅱ)设()e (cos sin )1xh x x x =−−,则()e (cos sin sin cos )2e sin x x h x x x x x x '=−−−=−.当π(0,)2x ∈时,()0h x '<, 所以()h x 在区间π[0,]2上单调递减.所以对任意π(0,]2x ∈有()(0)0h x h <=,即()0f x '<.所以函数()f x 在区间π[0,]2上单调递减.因此()f x 在区间π[0,]2上的最大值为(0)1f =,最小值为ππ()22f =−. 35.【解析】(I )()e a x f x x bx −=+Q ,∴()e e (1)e a x a x a x f x x b x b −−−'=−+=−+∵曲线()y f x =在点(2,(2))f 处的切线方程为(e 1)4y x =−+ ∴(2)2(e 1)4f =−+,(2)e 1f '=− 即2(2)2e 22(e 1)4a f b −=+=−+ ①2(2)(12)e e 1a f b −'=−+=− ②由①②解得:2a =,e b =(II )由(I )可知:2()e e x f x x x −=+,2()(1)e e x f x x −'=−+令2()(1)e x g x x −=−,∴222()e (1)e (2)e x x x g x x x −−−'=−−−=−∴()g x 的最小值是(2)(12)e 1g =−=− ∴()f x '的最小值为(2)(2)e e 10f g '=+=−>. 即()0f x '>对x ∀∈R 恒成立.∴()f x 在(),−∞+∞上单调递增,无减区间.36.【解析】(Ⅰ)对()f x 求导得222(6)(3)3(6)'(),()x x x xx a e x ax e x a x a f x e e+−+−+−+== 因为()f x 在0x =处取得极值,所以'(0)0f =即0a =.当0a =时,()f x =22336,'(),x xx x x f x e e −+=故33(1),'(1),f f e e ==从而()f x 在点(1,(1)f )处的切线方程为33(1),y x e e−=−化简得30x ey −=. (Ⅱ)由(Ⅰ)知23(6)'()xx a x af x e −+−+=.令2()3(6)g x x a x a =−+−+,由()0g x =解得166a x −−=,266a x −+=当1x x <时,()0g x <,即'()0f x <,故()f x 为减函数; 当12x x x <<时,()0g x >,即'()0f x >,故()f x 为增函数; 当2x x >时,()0g x <,即'()0f x <,故()f x 为减函数;由()f x 在[)3,+∞上为减函数,知263,6a x −=≤解得9,2a ≥−故a 的取值范围为9,2⎡⎫−+∞⎪⎢⎣⎭.37.【解析】(Ⅰ)设曲线()y f x =与x 轴相切于点0(,0)x ,则0()0f x =,0()0f x '=,即3002010430x ax x a ⎧++=⎪⎨⎪+=⎩,解得013,24x a ==−. 因此,当34a =−时,x 轴是曲线()y f x =的切线. (Ⅱ)当(1,)x ∈+∞时,()ln 0g x x =−<,从而()min{(),()}()0h x f x g x g x =<≤, ∴()h x 在(1,)+∞无零点.当x =1时,若54a −≥,则5(1)04f a =+≥,(1)min{(1),(1)}(1)0h fg g ===, 故x =1是()h x 的零点;若54a <−,则5(1)04f a =+<,(1)min{(1),(1)}(1)0h f g f ==<,故x =1不是()h x 的零点.当(0,1)x ∈时,()ln 0g x x =−>,所以只需考虑()f x 在(0,1)的零点个数. (ⅰ)若3a −≤或0a ≥,则2()3f x x a '=+在(0,1)无零点,故()f x 在(0,1)单调, 而1(0)4f =,5(1)4f a =+,所以当3a −≤时,()f x 在(0,1)有一个零点; 当a ≥0时,()f x 在(0,1)无零点.(ⅱ)若30a −<<,则()f x 在(01)单调递增,故当x ()f x 取的最小值,最小值为f 14.①若f >0,即34−<a <0,()f x 在(0,1)无零点.②若f =0,即34a =−,则()f x 在(0,1)有唯一零点;③若f <0,即334a −<<−,由于1(0)4f =,5(1)4f a =+,所以当5344a −<<−时,()f x 在(0,1)有两个零点; 当534a −<≤−时,()f x 在(0,1)有一个零点.综上,当34a >−或54a <−时,()h x 由一个零点;当34a =−或54a =−时,()h x 有两个零点;当5344a −<<−时,()h x 有三个零点.38.【解析】(1)函数()f x 的定义域为(0,)+∞,112()ln xx x x a b b f x ae x e e e x x x−−=+−+.由题意可得(1)2f =,(1)f e '=.1, 2.a b ==故 (2)由(1)知12()ln xx f x e x e x −=+,从而()1f x >等价于2ln x x x xe e−>−. 设函数()1g x x nx =,则'()1g x nx =.所以当1(0,)x e ∈时,()0g x '<;当1(,)x e ∈+∞时,()0g x '>.故()g x 在1(0,)e 单调递减,在1(,)e+∞单调递增,从而()g x 子啊(0,)+∞的最小值为11()g e e=−.设函数2()xh x xe e−=−,则'()(1)x h x e x −=−.所以当(0,1)x ∈时()0h x '>;当(1,)x ∈+∞时,()0h x '<故()h x 在(0,1)单调递增, 在(1,)+∞单调递减,从而()h x 在(0,)+∞的最大值为1(1)h e=−. 39.【解析】(Ι)因为'1()xf x e x m =−+, x =0是()f x 的极值点,所以'1(0)10f m=−=, 解得1m =,所以函数()f x =xe -ln(x +1),其定义域为(1,)−+∞,因为'1()1xf x e x =−+=(1)11x e x x +−+,设()(1)1x g x e x =+−,则'()(1)0x xg x e x e =++>,所以()g x 在(1,)−+∞上是增函数,又因为(0)0g =,所以当0x >时,()0g x >,即'()0f x >;当10x −<<时,()0g x <,'()0f x <,所以()f x 在(1,0)−上是减函数;在(0,)+∞,上是增函数.(Ⅱ)当2m ≤,(),x ∈−∞+∞时,()()ln ln 2x m x +≤+, 故只需证明当2m =时,()0f x >. 当2m =时,函数()12x f x e x '=−+在()2,−+∞单调递增. 又()()10,00f f ''−<>,故()0f x '=在()2,−+∞有唯一实根0x ,且()01,0x ∈−. 当()02,x x ∈−时,()0f x '<;当()0,x x ∈+∞时,()0f x '>,从而当0x x =时,()f x 取得最小值.由()00f x '=得()00001,ln 22x e x x x =+=−+, 故()()()2000011022x f x f x x x x +≥=+=>++ 综上,当2m ≤时,()0f x >.40.【解析】(1)由()=y f x 的图像过()0,0点,代入得1b =−,由()=y f x 在()0,0处的切线斜率为32,又=0=013'==++12x x y a a x ⎛⎫⎪⎝⎭, 得0a =.(2)(证法一)由均值不等式,当>0x 时,+1+1=+2x x+12x.记()()9=-+6xh x f x x , 则()()()()()()22215454+654'==-<-+12+14+1+6+6+6x h x x x x x x x()()()()32+6-216+1=4+1+6x x x x , 令()()()3=+6-216+1g x x x ,则当0<<2x 时,()()2'=3+6-216<0g x x 因此()g x 在()0,2内是减函数,又由()0=0g ,得()<0g x ,所以()'<0h x 因此()h x 在()0,2内是减函数,又由()0=0h ,得()<0h x , 于是当0<<2x 时, ()9<+6xf x x .(证法二)由(1)知()()=ln +1f x x ,由均值不等式,当>0x 时,+1+1=+2x x +12x令()()=ln +1-k x x x ,则()()1-0=0,'=-1=<0+1+1x k k x x x ,故()<0k x , 即()ln +1<x x ,由此得,当>0x 时,()3<2f x x ,记()()()=+6-9h x x f x x , 则当0<<2x 时,()()()()()31'=++6'-9<++6-92+1h x f x x f x x x x ⎛ ⎝=1[3(1)(6)(218(1)]2(1)x x x x x ++++−++1[3(1)(6)(3)18(1)]2(1)2xx x x x x <++++−++()()=7-18<04+1xx x .因此()h x 在()0,2内是减函数,又由()0=0h ,得()<0h x ,即()9<+6xf x x .41.【解析】(1)(i )由3()=f x x x −得2()=31f x x '−=3(x −,当(,)3x ∈−∞−和3+∞()时,()>0f x ';当(,3x ∈−)3时,()<0f x ',因此,()f x的单调递增区间为(,)3−∞−和3+∞(),单调递减区间为(,3−)3. (ii )曲线C 与其在点1P 处的切线方程为231111=(31)()+,y x x x x x −−−即2311y=(31)2,x x x −−由23113(31)2=y x x x y x x⎧=−−⎪⎨−⎪⎩得3=x x −2311(31)2x x x −−,即211()+2)=0x x x x −(,解得1121=2,2x x x x x x =−=−或故,进而有 1123234111127(3+2)=4x x S x x x x dx x −=−⎰,用2x 代替1x ,重复上述计算过程,可得 322x x =−和42227=4S x ,又2120x x =−≠,所以4212716=0,4S x ⨯≠因此有121=16S S . (Ⅱ)记函数32()g x ax bx cx d =+++(0)a ≠的图象为曲线C ',类似于(Ⅰ)(ii )的正确命题为:若对任意不等式3ba−的实数1x ,曲线C '与其在点111(,())P x g x 处的切线交于另一点222(,())P x g x ,曲线C 与其在点222(,())P x g x 处的切线交于另一点333(,())P x g x ,线段1223,PP P P 与曲线C 所围成封闭图形的面积分别记为1,2S S ,则12S S 为定值. 证明如下:因为平移变换不改变面积的大小,故可将曲线=()y g x 的对称中心(3b g a −(,))3b a−平移至坐标原点,因而不妨设3()(0)g x ax hx x =+≠,类似(i )(ii )的计算可得41127=4S x ,4212716=0,4S x ⨯≠故121=16S S .专题三 导数及其应用 第八讲 导数的综合应用2019年1(2019天津理8)已知a ∈R ,设函数222,1,()ln ,1,x ax a x f x x a x x ⎧−+=⎨−>⎩…若关于x 的不等式()0f x …在R 上恒成立,则a 的取值范围为A.[]0,1B.[]0,2C.[]0,eD.[]1,e 2.(2019全国Ⅲ理20)已知函数32()2f x x ax b =−+. (1)讨论()f x 的单调性; (2)是否存在,a b ,使得()f x 在区间[0,1]的最小值为1−且最大值为1?若存在,求出,a b 的所有值;若不存在,说明理由.3.(2019浙江22)已知实数0a ≠,设函数()=ln 0.f x a x x >(1)当34a =−时,求函数()f x 的单调区间; (2)对任意21[,)e x ∈+∞均有(),2f x a≤ 求a 的取值范围. 注:e=2.71828…为自然对数的底数.4.(2019全国Ⅰ理20)已知函数()sin ln(1)f x x x =−+,()f x '为()f x 的导数.证明: (1)()f x '在区间(1,)2π−存在唯一极大值点; (2)()f x 有且仅有2个零点.5.(2019全国Ⅱ理20)已知函数()11ln x f x x x −=−+.(1)讨论f (x )的单调性,并证明f (x )有且仅有两个零点;(2)设x 0是f (x )的一个零点,证明曲线y =ln x 在点A (x 0,ln x 0)处的切线也是曲线e xy =的切线.6.(2019江苏19)设函数()()()(),,,f x x a x b x c a b c =−−−∈R 、()f 'x 为f (x )的导函数.(1)若a =b =c ,f (4)=8,求a 的值;(2)若a ≠b ,b =c ,且f (x )和()f 'x 的零点均在集合{3,1,3}−中,求f (x )的极小值; (3)若0,01,1a b c =<=…,且f (x )的极大值为M ,求证:M ≤427. 7.(2019北京理19)已知函数321()4f x x x x =−+. (Ⅰ)求曲线()y f x =的斜率为1的切线方程; (Ⅱ)当[]2,4x ∈−时,求证:()6x f x x −≤≤.(III)设()()()F x f x x a a =−+∈R ,记()F x 在区间[]2,4−上的最大值为()M a ,当()M a 最小时,求a 的值.8.(2019天津理20)设函数()e cos ,()xf x xg x =为()f x 的导函数.(Ⅰ)求()f x 的单调区间;(Ⅱ)当ππ,42x ⎡⎤∈⎢⎥⎣⎦时,证明π()()02f x g x x ⎛⎫+− ⎪⎝⎭…;(Ⅲ)设n x 为函数()()1u x f x =−在区间ππ2,2π42m m ⎛⎫++ ⎪⎝⎭内的零点,其中n ∈N ,证明200π22sin c e os n n n x x x ππ−+−<−.2010-2018年一、选择题1.(2017新课标Ⅱ)若2x =−是函数21()(1)x f x x ax e−=+−的极值点,则21()(1)x f x x ax e −=+−的极小值为A .1−B .32e −− C .35e − D .12.(2017浙江)函数()y f x =的导函数()y f x '=的图像如图所示,则函数()y f x =的图像可能是xxA .B .xxC .D . 3.(2016全国I) 函数2||2x y x e =−在[–2,2]的图像大致为A .B .C .D .4.(2015四川)如果函数()()()()21281002f x m x n x m n =−+−+≥≥,在区间122⎡⎤⎢⎥⎣⎦,单调递减,那么mn 的最大值为A .16B .18C .25D .8125.(2015新课标Ⅱ)设函数()f x '是奇函数()()f x x R ∈的导函数,(1)0f −=,当0x >时,'()()xf x f x −0<,则使得f (x )>0成立的x 的取值范围是A .()(),10,1−∞−UB .()()1,01,−+∞UC .()(),11,0−∞−−UD .()()0,11,+∞U6.(2015新课标Ⅰ)设函数()(21)xf x e x ax a =−−+,其中1a <,若存在唯一的整数0x ,使得0()0f x <,则a 的取值范围是 A .3[,1)2e −B .33[,)24e −C .33[,)24eD .3[,1)2e7.(2014新课标Ⅱ)若函数()ln f x kx x =−在区间(1,)+∞单调递增,则k 的取值范围是A .(],2−∞−B .(],1−∞−C .[)2,+∞D .[)1,+∞8.(2014陕西)如图,修建一条公路需要一段环湖弯曲路段与两条直道平滑连续(相切),已知环湖弯曲路段为某三次函数图像的一部分,则该函数的解析式为(千米)x -6y =-A .321122y x x x =−− B .3211322y x x x =+− C .314y x x =− D .3211242y x x x =+−9.(2014新课标Ⅱ)设函数()x f x mπ=.若存在()f x 的极值点0x 满足()22200x f x m +<⎡⎤⎣⎦,则m 的取值范围是 A .()(),66,−∞−⋃+∞ B .()(),44,−∞−⋃+∞C .()(),22,−∞−⋃+∞D .()(),11,−∞−⋃+∞10.(2014陕西)如图,某飞行器在4千米高空水平飞行,从距着陆点A 的水平距离10千米处下降,已知下降飞行轨迹为某三次函数图像的一部分,则函数的解析式为A .3131255y x x =− B .3241255y x x =− C .33125y x x =− D .3311255y x x =−+11.(2014辽宁)当[2,1]x ∈−时,不等式32430ax x x −++≥恒成立,则实数a 的取值范围是A .[5,3]−−B .9[6,]8−− C .[6,2]−− D .[4,3]−− 12.(2014湖南)若1201x x <<<,则A .2121ln ln xxe e x x −>− B .2121ln ln xxe e x x −<− C .1221xxx e x e > D .1221xxx e x e < 13.(2014江西)在同一直角坐标系中,函数22a y ax x =−+与2322y a x ax x a =−++()a R ∈的图像不可能...的是B14.(2013新课标Ⅱ)已知函数()32f x x ax bx c =+++,下列结论中错误的是A .∃()00,0x R f x ∈=B .函数()y f x =的图像是中心对称图形C .若0x 是()f x 的极小值点,则()f x 在区间()0,x −∞单调递减D .若0x 是()f x 的极值点,则()0'0f x =15.(2013四川)设函数()f x =a R e ∈,为自然对数的底数),若曲线xy sin =上存在点)(00y x ,使得00))((y y f f =,则a 的取值范围是 A . ]e ,1[ B .]11e[1,−− C . [1e 1+,] D . [1e 1e 1−−+,]16.(2013福建)设函数()f x 的定义域为R ,00(0)x x ≠是()f x 的极大值点,以下结论一定正确的是A .0,()()x R f x f x ∀∈≤B .0x −是()f x −的极小值点C .0x −是()f x −的极小值点D .0x −是()f x −−的极小值点 17.(2012辽宁)函数x x y ln 212−=的单调递减区间为 A .(-1,1] B .(0,1]C . [1,+∞)D .(0,+∞)18.(2012陕西)设函数()xf x xe =,则A .1x =为()f x 的极大值点B .1x =为()f x 的极小值点C .1x =−为()f x 的极大值点D .1x =−为()f x 的极小值点19.(2011福建)若0a >,0b >,且函数32()422f x x ax bx =−−+在1x =处有极值,则ab 的最大值等于A .2B .3C .6D .920.(2011浙江)设函数()()2,,f x ax bx c a b c R =++∈,若1x =−为函数()xf x e 的一个极值点,则下列图象不可能为()y f x =的图象是A B C D21.(2011湖南)设直线x t = 与函数2()f x x =,()ln g x x = 的图像分别交于点,M N ,则当MN 达到最小时t 的值为A .1B .12 C D .2二、填空题22.(2015安徽)设30x ax b ++=,其中,a b 均为实数,下列条件中,使得该三次方程仅有一个实根的是 (写出所有正确条件的编号)①3,3a b =−=−;②3,2a b =−=;③3,2a b =−>;④0,2a b ==; ⑤1,2a b ==.23.(2015四川)已知函数xx f 2)(=,ax x x g +=2)((其中R a ∈).对于不相等的实数21,x x ,设2121)()(x x x f x f m −−=,2121)()(x x x g x g n −−=,现有如下命题:①对于任意不相等的实数21,x x ,都有0>m ;②对于任意的a 及任意不相等的实数21,x x ,都有0>n ; ③对于任意的a ,存在不相等的实数21,x x ,使得n m =; ④对于任意的a ,存在不相等的实数21,x x ,使得n m −=. 其中的真命题有 (写出所有真命题的序号).24.(2015江苏)已知函数|ln |)(x x f =,⎩⎨⎧>−−≤<=1,2|4|10,0)(2x x x x g ,则方程1|)()(|=+x g x f 实根的个数为 .25.(2011广东)函数32()31f x x x =−+在x =______处取得极小值. 三、解答题26.(2018全国卷Ⅰ)已知函数1()ln f x x a x x=−+. (1)讨论()f x 的单调性;(2)若()f x 存在两个极值点12,x x ,证明:1212()()2−<−−f x f x a x x .27.(2018全国卷Ⅱ)已知函数2()e =−xf x ax .(1)若1=a ,证明:当0≥x 时,()1≥f x ; (2)若()f x 在(0,)+∞只有一个零点,求a .28.(2018全国卷Ⅲ)已知函数2()(2)ln(1)2f x x ax x x =+++−.(1)若0a =,证明:当10x −<<时,()0f x <;当0x >时,()0f x >; (2)若0x =是()f x 的极大值点,求a .29.(2018北京)设函数2()[(41)43]xf x ax a x a e =−+++.(1)若曲线()y f x =在点(1,(1))f 处的切线与x 轴平行,求a ; (2)若()f x 在2x =处取得极小值,求a 的取值范围. 30.(2018天津)已知函数()x f x a =,()log a g x x =,其中1a >.(1)求函数()()ln h x f x x a =−的单调区间;(2)若曲线()y f x =在点11(,())x f x 处的切线与曲线()y g x =在点22(,())x g x 处的切线平行,证明122ln ln ()ln ax g x a+=−; (3)证明当1ee a ≥时,存在直线l ,使l 是曲线()yf x =的切线,也是曲线()yg x =的切线.31.(2018江苏)记(),()f x g x ''分别为函数(),()f x g x 的导函数.若存在0x ∈R ,满足00()()f x g x =且00()()f x g x ''=,则称0x 为函数()f x 与()g x 的一个“S 点”.(1)证明:函数()f x x =与2()22g x x x =+−不存在“S 点”; (2)若函数2()1f x ax =−与()ln g x x =存在“S 点”,求实数a 的值;(3)已知函数2()f x x a =−+,e ()xb g x x=.对任意0a >,判断是否存在0b >,使函数()f x 与()g x 在区间(0,)+∞内存在“S 点”,并说明理由.32.(2018浙江)已知函数()ln f x x =.(1)若()f x 在1x x =,2x (12x x ≠)处导数相等,证明:12()()88ln 2f x f x +>−; (2)若34ln 2a −≤,证明:对于任意0k >,直线y kx a =+与曲线()y f x =有唯一公共点.33.(2017新课标Ⅰ)已知函数2()(2)xx f x aea e x =+−−.(1)讨论()f x 的单调性;(2)若()f x 有两个零点,求a 的取值范围.34.(2017新课标Ⅱ)已知函数2()ln f x ax ax x x =−−,且()0f x ≥.(1)求a ;(2)证明:()f x 存在唯一的极大值点0x ,且220()2ef x −−<<.35.(2017新课标Ⅲ)已知函数()1ln f x x a x =−−.(1)若()0f x ≥,求a 的值;(2)设m 为整数,且对于任意正整数n ,2111(1)(1)(1)222nm ++⋅⋅⋅+<,求m 的最小值.36.(2017浙江)已知函数()(xf x x e−=1()2x ≥.(Ⅰ)求()f x 的导函数;(Ⅱ)求()f x 在区间1[,)2+∞上的取值范围.37.(2017江苏)已知函数32()1f x x ax bx =+++(0,)a b >∈R 有极值,且导函数()f x '的极值点是()f x 的零点.(极值点是指函数取极值时对应的自变量的值) (1)求b 关于a 的函数关系式,并写出定义域; (2)证明:23b a >;(3)若()f x ,()f x '这两个函数的所有极值之和不小于72−,求a 的取值范围. 38.(2017天津)设a ∈Z ,已知定义在R 上的函数432()2336f x x x x x a =+−−+在区间(1,2)内有一个零点0x ,()g x 为()f x 的导函数. (Ⅰ)求()g x 的单调区间;(Ⅱ)设00[1,)(,2]m x x ∈U ,函数0()()()()h x g x m x f m =−−,求证:0()()0h m h x <;(Ⅲ)求证:存在大于0的常数A ,使得对于任意的正整数,p q ,且00[1,)(,2],px x q∈U 满足041||p x q Aq −≥. 39.(2017山东)已知函数()22cos f x x x =+,()()cos sin 22x g x e x x x =−+−,其中2.71828e =L 是自然对数的底数.(Ⅰ)求曲线()y f x =在点(,())f ππ处的切线方程;(Ⅱ)令()()()h x g x af x =−()a R ∈,讨论()h x 的单调性并判断有无极值,有极值时求出极值.40.(2016年山东)已知()221()ln ,R x f x a x x a x−=−+∈. (I )讨论()f x 的单调性;(II )当1a =时,证明()3()'2f x f x +>对于任意的[]1,2x ∈成立. 41.(2016年四川) 设函数2()ln f x ax a x =−−,其中a R ∈.(I )讨论()f x 的单调性;(II )确定a 的所有可能取值,使得11()xf x e x−>−在区间(1,)+∞内恒成立(e=2.718…为自然对数的底数).42.(2016年天津)设函数3()(1)f x x ax b =−−−,R x ∈,其中R b a ∈,(I)求)(x f 的单调区间;(II)若)(x f 存在极值点0x ,且)()(01x f x f =,其中01x x ≠,求证:1023x x +=; (Ⅲ)设0>a ,函数|)(|)(x f x g =,求证:)(x g 在区间]1,1[−上的最大值不小于...41. 43.(2016年全国Ⅰ) 已知函数2()(2)(1)xf x x e a x =−+−有两个零点.(I )求a 的取值范围;(II )设1x ,2x 是()f x 的两个零点,证明:122x x +<. 44.(2016年全国Ⅱ)(I)讨论函数2()e 2xx f x x −=+的单调性,并证明当0x >时,(2)e 20x x x −++>; (II)证明:当[0,1)a ∈ 时,函数()2e =(0)x ax ag x x x−−> 有最小值.设()g x 的最小值为()h a ,求函数()h a 的值域.45.(2016年全国Ⅲ) 设函数()cos 2(1)(cos 1)f x x x αα=+−+,其中0α>,记|()|f x 的最大值为A . (Ⅰ)求()f x '; (Ⅱ)求A ;(Ⅲ)证明|()|2f x A '≤.46.(2016年浙江高考)已知3a ≥,函数()F x =2min{2|1|,242}x x ax a −−+−,其中min{,}p q =,>p p qq p q ⎧⎨⎩,≤ .(I )求使得等式2()242F x x ax a =−+−成立的x 的取值范围; (II )(i )求()F x 的最小值()m a ;(ii )求()F x 在区间[0,6]上的最大值()M a .47.(2016江苏) 已知函数()()0,0,1,1x x f x a b a b a b =+>>≠≠.(1)设2a =,12b =. ①求方程()2f x =的根;②若对于任意x ∈R ,不等式()()26f x mf x −≥恒成立,求实数m 的最大值; (2)若01a <<,1b >,函数()()2g x f x =−有且只有1个零点,求ab 的值. 48.(2015新课标Ⅱ)设函数2()mxf x ex mx =+−.(Ⅰ)证明:()f x 在(,0)−∞单调递减,在(0,)+∞单调递增;(Ⅱ)若对于任意1x ,2x [1,1]∈−,都有12|()()|f x f x −1e −≤,求m 的取值范围. 49.(2015山东)设函数2()ln(1)()f x x a x x =++−,其中a R ∈.(Ⅰ)讨论函数()f x 极值点的个数,并说明理由; (Ⅱ)若0x ∀>,()0f x ≥成立,求a 的取值范围.50.(2015湖南)已知0a >,函数()sin ([0,))ax f x e x x =∈+∞.记n x 为()f x 的从小到大的第n *()n N ∈个极值点.证明:(1)数列{()}n f x 是等比数列;(2)若a ,则对一切*n N ∈,|()|n n x f x <恒成立.51.(2014新课标Ⅱ)已知函数32()32f x x x ax =−++,曲线()y f x =在点(0,2)处的切线与x 轴交点的横坐标为-2. (Ⅰ)求a ;(Ⅱ)证明:当1k <时,曲线()y f x =与直线2y kx =−只有一个交点.52.(2014山东)设函数())ln 2(2x xk x e x f x +−=(k 为常数, 2.71828e =L 是自然对数的底数).(Ⅰ)当0k ≤时,求函数()f x 的单调区间;(Ⅱ)若函数()f x 在()0,2内存在两个极值点,求k 的取值范围. 53.(2014新课标Ⅰ)设函数()()21ln 12a f x a x x bx a −=+−≠,曲线()y f x =在点 (1,(1))f 处的切线斜率为0.(Ⅰ)求b ;(Ⅱ)若存在01,x ≥使得()01af x a <−,求a 的取值范围. 54.(2014山东)设函数1()ln 1x f x a x x −=++ ,其中a 为常数.。
最新2019高考数学《导数及其应用》专题完整考试题(含答案)(word版可编辑修改)编辑整理:尊敬的读者朋友们:这里是精品文档编辑中心,本文档内容是由我和我的同事精心编辑整理后发布的,发布之前我们对文中内容进行仔细校对,但是难免会有疏漏的地方,但是任然希望(最新2019高考数学《导数及其应用》专题完整考试题(含答案)(word版可编辑修改))的内容能够给您的工作和学习带来便利。
同时也真诚的希望收到您的建议和反馈,这将是我们进步的源泉,前进的动力。
本文可编辑可修改,如果觉得对您有帮助请收藏以便随时查阅,最后祝您生活愉快业绩进步,以下为最新2019高考数学《导数及其应用》专题完整考试题(含答案)(word版可编辑修改)的全部内容。
2019年高中数学单元测试卷导数及其应用学校:__________ 姓名:__________ 班级:__________ 考号:__________一、选择题1.32()32f x x x =-+在区间[]1,1-上的最大值是( )(A)-2 (B)0 (C )2 (D)4(2006浙江文)二、填空题2. 已知a > 0,方程x 2-2ax —2a ln x =0有唯一解,则a = . 123. 曲线21()cos 3f x x x =-在0x =处的切线的斜率为 ▲ 。
4.若函数f (x )=ax 4+bx 2+c 满足(1) 2f '=,则(1)f '-= .5.已知函数x x mx x f 2ln )(2-+=在定义域内是增函数,则实数m 的取值范围是 ▲ . 6.若曲线2ln y ax x =-在点(1,)a 处的切线平行于x 轴,则a =____________。
(2013年高考广东卷(文))7.函数32()15336f x x x x =--+的单调减区间为 . 解析 考查利用导数判断函数的单调性。
2()330333(11)(1)f x x x x x '=--=-+,由(11)(1)0x x -+<得单调减区间为(1,11)-。
2019年高考数学真题分类汇编 专题19:导数在函数中的应用(综合题)1.(2019•江苏)设函数'()()()(),,,,()f x x a x b x c a b c R f x =---∈为f (x )的导函数. (1)若a=b=c ,f (4)=8,求a 的值;(2)若a≠b ,b=c ,且()f x 和'()f x 的零点均在集合{}3,1,3-中,求()f x 的极小值;(3)若0,01,1a b c =<≤=,且f (x )的极大值为M ,求证:M≤427. 【答案】 (1)解:因为a=b=c ,所以3()()()()()f x x a x b x c x a =---=- 因为,所以,解得(2)解:因为 ,所以 ,从而 .令,得 或 .因为 ,都在集合中,且,所以 .此时 ,.令,得 或 .列表如下:所以的极小值为(3)解:因为 ,所以,.因为,所以,则有2个不同的零点,设为.由,得.列表如下:所以的极大值.解法一:.因此.解法二:因为,所以.当时,.令,则.令 ,得 .列表如下:所以当 时, 取得极大值,且是最大值,故.所以当时,,因此【考点】利用导数研究函数的极值,不等式的证明【解析】【分析】利用已知条件a=b=c , f (4)=8,求出 的值。
(1)利用求导的方法判断函数的单调性,再结合a≠b , b=c , 且f (x )和的零点均在集合中,从而求出函数的极值。
(2)利用两种方法证出M≤,第一种方法是利用求导的方法判断函数的单调性,从而求出函数的极值,再利用均值不等式求最值的方法结,且f (x )的极大值为M , 从而证出M≤ ;第二种方法利用求导的方法判断函数的单调性,从而求出函数的极值,从而求出函数的最值从而证出当时,因此。
2.(2019•浙江)已知实数a≠0,设函数f (x )。
(1)当a=34-时,求函数f (x )的单调区间;(2)对任意x∈[21e ,+∞)均有f (x ,求a 的取值范围。
第三章⎪⎪⎪导数及其应用第一节 导数的概念及运算本节主要包括2个知识点: 1.导数的运算; 2.导数的几何意义.突破点(一) 导数的运算[基本知识]1.函数y =f (x )在x =x 0处的导数称函数y =f (x )在x =x 0处的瞬时变化率lim Δx →0ΔyΔx =lim Δx →0 f (x 0+Δx )-f (x 0)Δx为函数y =f (x )在x =x 0处的导数,记作f ′(x 0)或y ′|x =x 0,即f ′(x 0)=lim Δx →0ΔyΔx =lim Δx →0 f (x 0+Δx )-f (x 0)Δx. 2.函数f (x )的导函数 称函数f ′(x )=lim Δx →0f (x +Δx )-f (x )Δx为f (x )的导函数.3.基本初等函数的导数公式4.(1)[f (x )±g (x )]′=f ′(x )±g ′(x ); (2)[f (x )·g (x )]′=f ′(x )g (x )+f (x )g ′(x ); (3)⎣⎡⎦⎤f (x )g (x )′=f ′(x )g (x )-f (x )g ′(x )[g (x )]2(g (x )≠0). 5.复合函数的导数复合函数y =f (g (x ))的导数和函数y =f (u ),u =g (x )的导数间的关系为y x ′=y u ′·u x ′,即y 对x 的导数等于y 对u 的导数与u 对x 的导数的乘积.[基本能力]1.判断题(1)f ′(x 0)与(f (x 0))′的计算结果相同.( ) (2)求f ′(x 0)时,可先求f (x 0)再求f ′(x 0).( ) (3)f ′(x 0)是导函数f ′(x )在x =x 0处的函数值.( ) (4)⎝⎛⎭⎫sin π3′=cos π3.( ) (5)若(ln x )′=1x ,则⎝⎛⎭⎫1x ′=ln x .( )(6)函数f (x )=sin(-x )的导数为f ′(x )=cos x .( ) (7)y =cos 3x 由函数y =cos u ,u =3x 复合而成.( ) 答案:(1)× (2)× (3)√ (4)× (5)× (6)× (7)√ 2.填空题(1)已知f (x )=13-8x +2x 2,f ′(x 0)=4,则x 0=________. 解析:∵f ′(x )=-8+4x ,∴f ′(x 0)=-8+4x 0=4,解得x 0=3. 答案:3(2)函数y =ln xe x 的导函数为________________.答案:y ′=1-x ln xx e x(3)已知f (x )=2sin x +x ,则f ′⎝⎛⎭⎫π4=________.解析:∵f (x )=2sin x +x ,∴f ′(x )=2cos x +1,则f ′⎝⎛⎭⎫π4=2cos π4+1=2+1. 答案:2+1[全析考法][典例] (1)函数f (x )=(x +1)2(x -3),则其导函数f ′(x )=( ) A .3x 2-2x B .3x 2-2x -5 C .3x 2-xD .3x 2-x -5(2)(2018·钦州模拟)已知函数f (x )=x ln x ,则f ′(1)+f (4)的值为( )A .1-8ln 2B .1+8ln 2C .8ln 2-1D .-8ln 2-1(3)已知函数f (x )=sin x cos φ-cos x sin φ-1(0<φ<π2),若f ′⎝⎛⎭⎫π3=1,则φ的值为( ) A.π3B.π6C.π4D.5π12[解析] (1)法一:因为f (x )=(x +1)2(x -3)=(x +1)(x +1)(x -3),所以f ′(x )=[(x +1)(x +1)]′(x -3)+(x +1)(x +1)(x -3)′=2(x +1)(x -3)+(x +1)2=3x 2-2x -5.法二:f (x )=(x +1)2(x -3)=x 3-x 2-5x -3,则f ′(x )=3x 2-2x -5.(2)因为f ′(x )=ln x +1,所以f ′(1)=0+1=1,所以f ′(1)+f (4)=1+4ln 4=1+8ln 2.故选B.(3)因为f (x )=sin x cos φ-cos x sin φ-1⎝⎛⎭⎫0<φ<π2,所以f ′(x )=cos x cos φ+sin x sin φ=cos(x -φ),因为f ′⎝⎛⎭⎫π3=1,所以cos ⎝⎛⎭⎫π3-φ=1,因为0<φ<π2,所以φ=π3,故选A. [答案] (1)B (2)B (3)A[方法技巧] 导数运算的常见形式及其求解方法[全练题点]1.下列函数中满足f (x )=f ′(x )的是( ) A .f (x )=3+x B .f (x )=-x C .f (x )=ln xD .f (x )=0解析:选D 若f (x )=0,则f ′(x )=0,从而有f (x )=f ′(x ).故选D. 2.(2018·延安模拟)设函数f (x )=ax +3,若f ′(1)=3,则a =( ) A .2 B .-2 C .3D .-3解析:选C 由题意得,f ′(x )=a ,因为f ′(1)=3,所以a =3,故选C.3.(2018·南宁模拟)设f (x )在x =x 0处可导,且li m Δx →f (x 0+3Δx )-f (x 0)Δx=1,则f ′(x 0)=( )A .1B .0C .3 D.13解析:选D 因为lim Δx →0f (x 0+3Δx )-f (x 0)Δx =1,所以lim Δx →0 ⎣⎡⎦⎤3×f (x 0+3Δx )-f (x 0)3Δx =1,即3f ′(x 0)=1,所以f ′(x 0)=13.故选D.4.(2018·桂林模拟)已知函数y =x cos x -sin x ,则其导函数y ′=( ) A .x sin x B .-x sin x C .x cos xD .-x cos x解析:选B 函数y =x cos x -sin x 的导函数y ′=cos x -x sin x -cos x =-x sin x ,故选B.5.(2018·九江一模)已知f (x )是(0,+∞)上的可导函数,且f (x )=x 3+x 2f ′(2)+2ln x ,则函数f (x )的解析式为( )A .f (x )=x 3-32x 2+2ln xB .f (x )=x 3-133x 2+2ln x C .f (x )=x 3-3x 2+2ln x D .f (x )=x 3+3x 2+2ln x解析:选B ∵f (x )=x 3+x 2f ′(2)+2ln x ,∴f ′(x )=3x 2+2xf ′(2)+2x ,令x =2,得f ′(2)=12+4f ′(2)+1,∴f ′(2)=-133,∴f (x )=x 3-133x 2+2ln x ,故选B.突破点(二) 导数的几何意义[基本知识]函数f (x )在点x 0处 的导数f ′(x 0)的几何意义是在曲线y =f (x )上点P (x 0,y 0)处的切线的斜率.相应地,切线方程为y -y 0=f ′(x 0)(x -x 0).特别地,如果曲线y =f (x )在点(x 0,y 0)处的切线垂直于x 轴,则此时导数f ′(x 0)不存在,由切线定义可知,切线方程为x =x 0.[基本能力]1.判断题(1)曲线的切线与曲线不一定只有一个公共点.( ) (2)求曲线过点P 的切线时P 点一定是切点.( ) 答案:(1)√ (2)× 2.填空题(1)曲线y =x 3-x +3在点(1,3)处的切线方程为________. 答案:2x -y +1=0(2)已知直线y =-x +1是函数f (x )=-1a ·e x图象的切线,则实数a =________. 解析:设切点为(x 0,y 0),则f ′(x 0)=-1a ·e x 0=-1,∴e x 0=a ,又-1a ·e x 0=-x 0+1,∴x 0=2,a =e 2. 答案:e 2(3)曲线f (x )=x ln x 在点M (1,f (1))处的切线方程为________.解析:由题意,得f ′(x )=ln x +1,所以f ′(1)=ln 1+1=1,即切线的斜率为1.因为f (1)=0,所以所求切线方程为y -0=x -1,即x -y -1=0.答案:x -y -1=0[全析考法]“过点A A 必为切点,前者未必是切点.曲线在某点处的切线,若有,则只有一条;曲线过某点的切线往往不止一条.切线与曲线的公共点不一定只有一个.[例1] 已知函数f (x )=x 3-4x 2+5x -4. (1)求曲线f (x )在点(2,f (2))处的切线方程; (2)求经过点A (2,-2)的曲线f (x )的切线方程. [解] (1)∵f ′(x )=3x 2-8x +5, ∴f ′(2)=1,又f (2)=-2,∴曲线f (x )在点(2,f (2))处的切线方程为y -(-2)=x -2, 即x -y -4=0.(2)设切点坐标为(x 0,x 30-4x 20+5x 0-4),∵f ′(x 0)=3x 20-8x 0+5,∴切线方程为y -(-2)=(3x 20-8x 0+5)(x -2),又切线过点(x 0,x 30-4x 20+5x 0-4),∴x 30-4x 20+5x 0-2=(3x 20-8x 0+5)(x 0-2),整理得(x 0-2)2(x 0-1)=0, 解得x 0=2或x 0=1,∴经过A (2,-2)的曲线f (x )的切线方程为x -y -4=0或y +2=0. [方法技巧]求切线方程问题的两种类型及方法(1)求“在”曲线y =f (x )上一点P (x 0,y 0)处的切线方程:点P (x 0,y 0)为切点,切线斜率为k =f ′(x 0),有唯一的一条切线,对应的切线方程为y -y 0=f ′(x 0)(x -x 0).(2)求“过”曲线y =f (x )上一点P (x 0,y 0)的切线方程:切线经过点P ,点P 可能是切点,也可能不是切点,这样的直线可能有多条.解决问题的关键是设切点,利用“待定切点法”,即:①设切点A (x 1,y 1),则以A 为切点的切线方程为y -y 1=f ′(x 1)(x -x 1);②根据题意知点P (x 0,y 0)在切线上,点A (x 1,y 1)在曲线y =f (x )上,得到方程组⎩⎪⎨⎪⎧y 1=f (x 1),y 0-y 1=f ′(x 1)(x 0-x 1),求出切点A (x 1,y 1),代入方程y -y 1=f ′(x 1)(x -x 1),化简即得所求的切线方程.求切点坐标[例2] (2018·32P (x 0,f (x 0))处的切线方程为x +y =0,则点P 的坐标为( )A .(0,0)B .(1,-1)C .(-1,1)D .(1,-1)或(-1,1)[解析] ∵f (x )=x 3+ax 2,∴f ′(x )=3x 2+2ax ,∵曲线y =f (x )在点P (x 0,f (x 0))处的切线方程为x +y =0,∴3x 20+2ax 0=-1,∵x 0+x 30+ax 20=0,解得x 0=±1,∴当x 0=1时,f (x 0)=-1,当x 0=-1时,f (x 0)=1.故选D.[答案] D求参数值或范围[例3] (1)(2018·长沙一模)若曲线y =12e x 2与曲线y =a ln x 在它们的公共点P (s ,t )处具有公共切线,则实数a =( )A .-2 B.12 C .1D .2(2)(2018·南京调研)若函数f (x )=ln x +ax 的图象存在与直线2x -y =0平行或重合的切线,则实数a 的取值范围是________.[解析] (1)y =12e x 2的导数为y ′=x e ,在点P (s ,t )处的切线斜率为s e ,y =a ln x 的导数为y ′=a x ,在点P (s ,t )处的切线斜率为a s ,由题意知,s e =a s ,且12e s 2=a ln s ,解得ln s =12,s 2=e ,故a =1.(2)函数f (x )=ln x +ax 的图象存在与直线2x -y =0平行或重合的切线,即f ′(x )=2在(0,+∞)上有解,而f ′(x )=1x +a ,故1x +a =2,即a =2-1x 在(0,+∞)上有解,因为x >0,所以2-1x<2,所以a 的取值范围是(-∞,2).[答案] (1)C (2)(-∞,2)[方法技巧]根据导数的几何意义求参数值的思路根据导数的几何意义求参数的值时,一般是利用切点P (x 0,y 0)既在曲线上又在切线上构造方程组求解.[全练题点]1.[考点一]曲线y =sin x +e x 在点(0,1)处的切线方程是( ) A .x -3y +3=0 B .x -2y +2=0 C .2x -y +1=0D .3x -y +1=0解析:选C ∵y =sin x +e x ,∴y ′=cos x +e x ,∴y ′| x =0=cos 0+e 0=2,∴曲线y =sin x +e x 在点(0,1)处的切线方程为y -1=2(x -0),即2x -y +1=0.2.[考点一]曲线y =x e x +2x -1在点(0,-1)处的切线方程为( ) A .y =3x -1 B .y =-3x -1 C .y =3x +1D .y =-2x -1解析:选A 因为y ′=e x +x e x +2,所以曲线y =x e x +2x -1在点(0,-1)处的切线的斜率k =y ′| x =0=3,∴切线方程为y =3x -1.3.[考点二]已知曲线y =x 24-3ln x 的一条切线的斜率为12,则切点的横坐标为( )A .3B .2C .1D.12解析:选A 已知曲线y =x 24-3ln x (x >0)的一条切线的斜率为12,由y ′=12x -3x =12,得x =3,故选A.4.[考点三](2018·东城期末)若直线y =-x +2与曲线y =-e x+a相切,则a 的值为( )A .-3B .-2C .-1D .-4解析:选A 由于y ′=(-e x +a )′=-e x +a ,令-e x +a =-1,得切点的横坐标为x =-a ,所以切点为(-a ,-1),进而有-(-a )+2=-1,故a =-3.5.[考点三](2018·西安一模)若曲线y =e x -ae x (a >0)上任意一点处的切线的倾斜角的取值范围是⎣⎡⎭⎫π3,π2,则a =( )A.112 B.13 C.34D .3解析:选C y ′=e x +a e x ,∵y =e x -aex 在任意一点处的切线的倾斜角的取值范围是⎣⎡⎭⎫π3,π2,∴e x +a e x ≥3,由a >0知,e x +a ex ≥2a ⎝⎛⎭⎫当且仅当e x =a e x 时等号成立,故2a =3,故a =34,故选C.[全国卷5年真题集中演练——明规律] 1.(2014·全国卷Ⅱ)设曲线y =ax -ln(x +1)在点(0,0)处的切线方程为y =2x ,则a =( ) A .0 B .1 C .2D .3解析:选D y ′=a -1x +1,由题意得y ′|x =0=2,即a -1=2,所以a =3. 2.(2016·全国卷Ⅱ)若直线y =kx +b 是曲线y =ln x +2的切线,也是曲线y =ln(x +1)的切线,则b =________.解析:易得(ln x +2)′=1x ,[ln(x +1)]′=1x +1.设曲线y =ln x +2上的切点横坐标为x 1,曲线y =ln(x +1)上的切点横坐标为x 2,则y =ln x +2的切线方程为:y =1x 1·x +ln x 1+1,y =ln(x +1)的切线方程为:y =1x 2+1x +ln(x 2+ 1)-x 2x 2+1.根据题意,有⎩⎨⎧1x 1=1x 2+1,ln x 1+1=ln (x 2+1)-x 2x 2+1,解得x 1=12,x 2=-12,∴b =ln x 1+1=1-ln 2.答案:1-ln 23.(2016·全国卷Ⅲ)已知f (x )为偶函数,当x <0时,f (x )=ln(-x )+3x ,则曲线y =f (x )在点(1,-3)处的切线方程是________.解析:因为f(x)为偶函数,所以当x>0时,f(x)=f(-x)=ln x-3x,所以当x>0时,f′(x)=1x-3,则f′(1)=-2.所以y=f(x)在点(1,-3)处的切线方程为y+3=-2(x-1),即y=-2x-1.答案:y=-2x-1[课时达标检测][小题对点练——点点落实]对点练(一)导数的运算1.(2018·泉州质检)设函数f(x)=x(x+k)(x+2k),则f′(x)=()A.3x2+3kx+k2B.x2+2kx+2k2C.3x2+6kx+2k2D.3x2+6kx+k2解析:选C法一:f(x)=x(x+k)(x+2k),f′(x)=(x+k)(x+2k)+x[(x+k)(x+2k)]′=(x+k)·(x+2k)+x(x+2k)+x(x+k)=3x2+6kx+2k2,故选C.法二:因为f(x)=x(x+k)(x+2k)=x3+3kx2+2k2x,所以f′(x)=3x2+6kx+2k2,故选C.2.(2018·泰安一模)给出下列结论:①若y=log2x,则y′=1x ln 2;②若y=-1x,则y′=12x x;③若f(x)=1x2,则f′(3)=-227;④若y=ax(a>0),则y′=a x ln a.其中正确的个数是()A.1 B.2 C.3 D.4解析:选D根据求导公式可知①正确;若y=-1x=-x-12,则y′=12x-32=12x x,所以②正确;若f(x)=1x2,则f′(x)=-2x-3,所以f′(3)=-227,所以③正确;若y=ax(a>0),则y′=a x ln a,所以④正确.因此正确的结论个数是4,故选D.3.若函数y=x m的导函数为y′=6x5,则m=()A.4 B.5C.6 D.7解析:选C因为y=x m,所以y′=mx m-1,与y′=6x5相比较,可得m=6.4.已知函数f(x)=xe x(e是自然对数的底数),则其导函数f′(x)=()A.1+x e xB.1-x e xC .1+xD .1-x解析:选B 函数f (x )=xe x ,则其导函数f ′(x )=e x -x e x e 2x =1-x e x ,故选B.5.若f (x )=x 2-2x -4ln x ,则f ′(x )<0的解集为( ) A .(0,+∞) B .(0,2) C .(0,2)∪(-∞,-1)D .(2,+∞)解析:选B 函数f (x )=x 2-2x -4ln x 的定义域为{x |x >0},f ′(x )=2x -2-4x =2x 2-2x -4x ,由f ′(x )=2x 2-2x -4x<0,得0<x <2,∴f ′(x )<0的解集为(0,2),故选B. 6.(2018·信阳模拟)已知函数f (x )=a e x +x ,若1<f ′(0)<2,则实数a 的取值范围是( ) A.⎝⎛⎭⎫0,1e B .(0,1) C .(1,2)D .(2,3)解析:选B 根据题意,f (x )=a e x +x ,则f ′(x )=(a e x )′+x ′=a e x +1,则f ′(0)=a +1,若1<f ′(0)<2,则1<a +1<2,解得0<a <1,所以实数a 的取值范围为(0,1).故选B.对点练(二) 导数的几何意义1.(2018·安徽八校联考)函数f (x )=tan x 2在⎣⎡⎦⎤π2,f ⎝⎛⎭⎫π2处的切线的倾斜角α为( ) A.π6 B.π4 C.π3D.π2解析:选B f ′(x )=⎝ ⎛⎭⎪⎫sin x2cos x 2′=12cos 2x 2,得切线斜率k =tan α=f ′⎝⎛⎭⎫π2=1,故α=π4,选B.2.若函数f (x )=x 3-x +3的图象在点P 处的切线平行于直线y =2x -1,则点P 的坐标为( )A .(1,3)B .(-1,3)C .(1,3)或(-1,3)D .(1,-3)解析:选C f ′(x )=3x 2-1,令f ′(x )=2,即3x 2-1=2⇒x =1或-1,又f (1)=3,f (-1)=3,所以P (1,3)或(-1,3),经检验,点(1,3),(-1,3)均不在直线y =2x -1上,故点P 的坐标为(1,3)或(-1,3).3.(2018·福州质检)过点(-1,1)与曲线f (x )=x 3-x 2-2x +1相切的直线有( )A .0条B .1条C .2条D .3条解析:选C 设切点P (a ,a 3-a 2-2a +1),由f ′(x )=3x 2-2x -2,当a ≠-1时,可得切线的斜率k =3a 2-2a -2=(a 3-a 2-2a +1)-1a -(-1),所以(3a 2-2a -2)(a +1)=a 3-a 2-2a ,即(3a 2-2a -2)(a +1)=a (a -2)(a +1),所以a =1,此时k =-1.又(-1,1)是曲线上的点且f ′(-1)=3≠-1,故切线有2条.4.(2018·重庆一模)已知直线y =a 与函数f (x )=13x 3-x 2-3x +1的图象相切,则实数a的值为( )A .-26或83B .-1或3C .8或-83D .-8或83解析:选D 令f ′(x )=x 2-2x -3=0,得x =-1或x =3,∵f (-1)=83,f (3)=-8,∴a =83或-8.5.(2018·临川一模)函数f (x )=x +ln xx的图象在x =1处的切线与两坐标轴围成的三角形的面积为( )A.12B.14C.32D.54解析:选B 因为f (x )=x +ln xx ,f ′(x )=1+1-ln x x 2,所以f (1)=1,f ′(1)=2,故切线方程为y -1=2(x -1).令x =0,可得y =-1;令y =0,可得x =12.故切线与两坐标轴围成的三角形的面积为12×1×12=14,故选B.6.(2018·成都诊断)若曲线y =ln x +ax 2(a 为常数)不存在斜率为负数的切线,则实数a 的取值范围是( )A.⎝⎛⎭⎫-12,+∞ B.⎣⎡⎭⎫-12,+∞ C .(0,+∞)D .[0,+∞)解析:选D 由题意知,函数y =ln x +ax 2的定义域为(0,+∞),y ′=1x +2ax =2ax 2+1x ≥0恒成立,即2ax 2+1≥0,a ≥-12x 2恒成立,又在定义域内,-12x2∈(-∞,0),所以实数a 的取值范围是[0,+∞).7.(2017·柳州二模)已知函数f (x )=x 2+bx +c (b ,c ∈R ),F (x )=f ′(x )e x ,若F (x )的图象在x =0处的切线方程为y =-2x +c ,则函数f (x )的最小值是( )A .2B .1C .0D .-1解析:选C ∵f ′(x )=2x +b ,∴F (x )=2x +b e x ,F ′(x )=2-2x -be x,又F (x )的图象在x =0处的切线方程为y =-2x +c ,∴⎩⎪⎨⎪⎧ F ′(0)=-2,F (0)=c ,得⎩⎪⎨⎪⎧b =c ,b =4,∴f (x )=(x +2)2≥0,f (x )min=0.8.(2018·唐山模拟)已知函数f (x )=x 2-1,g (x )=ln x ,则下列说法中正确的为( ) A .f (x ),g (x )的图象在点(1,0)处有公切线B .存在f (x )的图象的某条切线与g (x )的图象的某条切线平行C .f (x ),g (x )的图象有且只有一个交点D .f (x ),g (x )的图象有且只有三个交点解析:选B 对于A ,f (x )的图象在点(1,0)处的切线为y =2x -2,函数g (x )的图象在点(1,0)处的切线为y =x -1,故A 错误;对于B ,函数g (x )的图象在(1,0)处的切线为y =x -1,设函数f (x )的图象在点(a ,b )处的切线与y =x -1平行,则f ′(a )=2a =1,a =12,故b =⎝⎛⎭⎫122-1=-34,即g (x )的图象在(1,0)处的切线与f (x )的图象在⎝⎛⎭⎫12,-34处的切线平行,B 正确;如图作出两函数的图象,可知两函数的图象有两个交点,C ,D 错误.故选B.9.(2018·包头一模)已知函数f (x )=x 3+ax +1的图象在点(1,f (1))处的切线过点(2,7),则a =________.解析:函数f (x )=x 3+ax +1的导数为f ′(x )=3x 2+a ,f ′(1)=3+a ,又f (1)=a +2,所以切线方程为y -a -2=(3+a )(x -1),因为切线经过点(2,7),所以7-a -2=(3+a )(2-1),解得a =1.答案:1[大题综合练——迁移贯通]1.(2018·兰州双基过关考试)定义在实数集上的函数f (x )=x 2+x ,g (x )=13x 3-2x +m .(1)求函数f (x )的图象在x =1处的切线方程;(2)若f (x )≥g (x )对任意的x ∈[-4,4]恒成立,求实数m 的取值范围. 解:(1)∵f (x )=x 2+x ,∴f (1)=2.∵f ′(x )=2x +1,∴f ′(1)=3.∴所求切线方程为y -2=3(x -1),即3x -y -1=0. (2)令h (x )=g (x )-f (x )=13x 3-x 2-3x +m ,则h ′(x )=(x -3)(x +1). ∴当-4≤x ≤-1时,h ′(x )≥0; 当-1<x ≤3时,h ′(x )≤0; 当3<x ≤4时,h ′(x )>0.要使f (x )≥g (x )恒成立,即h (x )max ≤0, 由上知h (x )的最大值在x =-1或x =4处取得, 而h (-1)=m +53,h (4)=m -203,∴h (x )的最大值为m +53,∴m +53≤0,即m ≤-53.∴实数m 的取值范围为⎝⎛⎦⎤-∞,-53. 2.(2018·青岛期末)设函数f (x )=ax -bx ,曲线y =f (x )在点(2,f (2))处的切线方程为7x-4y -12=0.(1)求f (x )的解析式;(2)证明曲线f (x )上任一点处的切线与直线x =0和直线y =x 所围成的三角形面积为定值,并求此定值.解:(1)方程7x -4y -12=0可化为y =74x -3,当x =2时,y =12.又因为f ′(x )=a +bx2,所以⎩⎨⎧2a -b 2=12,a +b 4=74.解得⎩⎪⎨⎪⎧a =1,b =3,所以f (x )=x -3x .(2)证明:设P (x 0,y 0)为曲线y =f (x )上任一点,由y ′=1+3x 2知曲线在点P (x 0,y 0)处的切线方程为y -y 0=⎝⎛⎭⎫1+3x 20(x -x 0), 即y -⎝⎛⎭⎫x 0-3x 0=⎝⎛⎭⎫1+3x 20(x -x 0). 令x =0,得y =-6x 0,所以切线与直线x =0的交点坐标为⎝⎛⎭⎫0,-6x 0.令y =x ,得y =x =2x 0,所以切线与直线y =x 的交点坐标为(2x 0,2x 0).所以曲线y =f (x )在点P (x 0,y 0)处的切线与直线x =0,y =x 所围成的三角形的面积S =12⎪⎪⎪⎪-6x 0 |2x 0|=6. 故曲线y =f (x )上任一点处的切线与直线x =0,y =x 所围成的三角形面积为定值,且此定值为6.3.已知函数f (x )=13x 3-2x 2+3x (x ∈R )的图象为曲线C .(1)求过曲线C 上任意一点切线斜率的取值范围;(2)若在曲线C 上存在两条相互垂直的切线,求其中一条切线与曲线C 的切点的横坐标的取值范围.(3)证明:不存在与曲线C 同时切于两个不同点的直线. 解:(1)由题意得f ′(x )=x 2-4x +3, 则f ′(x )=(x -2)2-1≥-1,即过曲线C 上任意一点切线斜率的取值范围是[-1,+∞). (2)设曲线C 的其中一条切线的斜率为k , 则由题意,及(1)可知,⎩⎪⎨⎪⎧k ≥-1,-1k ≥-1,解得-1≤k <0或k ≥1,故由-1≤x 2-4x +3<0或x 2-4x +3≥1, 得x ∈(-∞,2-2]∪(1,3)∪[2+2,+∞).(3)证明:设存在直线与曲线C 同时切于不同的两点A (x 1,y 1),B (x 2,y 2),x 1≠x 2,则点A (x 1,y 1)处的切线方程为y -⎝⎛⎭⎫13x 31-2x 21+3x 1=(x 21-4x 1+3)(x -x 1),化简得y =(x 21-4x 1+3)x +⎝⎛⎭⎫-23x 31+2x 21,而点B (x 2,y 2)处的切线方程是y =(x 22-4x 2+3)x +⎝⎛⎭⎫-23x 32+2x 22. 由于两切线是同一直线,则有x 21-4x 1+3=x 22-4x 2+3,即x 1+x 2=4;又有-23x 31+2x 21=-23x 32+2x 22,即-23(x 1-x 2)·(x 21+x 1x 2+x 22)+2(x 1-x 2)(x 1+x 2)=0,则-13(x 21+x 1x 2+x 22)+4=0,则x 1(x 1+x 2)+x 22-12=0,即(4-x 2)×4+x 22-12=0,即x 22-4x 2+4=0,解得x 2=2.但当x 2=2时,由x 1+x 2=4得x 1=2,这与x 1≠x 2矛盾. 所以不存在与曲线C 同时切于两个不同点的直线.第二节 导数与函数的单调性本节主要包括2个知识点:1.利用导数讨论函数的单调性或求函数的单调区间;2.利用导数解决函数单调性的应用问题.突破点(一)利用导数讨论函数的单调性或求函数的单调区间[基本知识]1.函数的单调性与导数的关系函数y=f(x)在某个区间内可导:(1)若f′(x)>0,则f(x)在这个区间内单调递增;(2)若f′(x)<0,则f(x)在这个区间内单调递减;(3)若f′(x)=0,则f(x)在这个区间内是常数函数.2.由函数的单调性与导数的关系可得的结论(1)函数f(x)在(a,b)内可导,且f′(x)在(a,b)任意子区间内都不恒等于0.当x∈(a,b)时,f′(x)≥0⇔函数f(x)在(a,b)上单调递增;f′(x)≤0⇔函数f(x)在(a,b)上单调递减.(2)f′(x)>0(<0)在(a,b)上成立是f(x)在(a,b)上单调递增(减)的充分条件.[基本能力]1.判断题(1)若函数f(x)在区间(a,b)上单调递增,那么在区间(a,b)上一定有f′(x)>0.()(2)如果函数在某个区间内恒有f′(x)=0,则函数f(x)在此区间上没有单调性.()(3)f′(x)>0是f(x)为增函数的充要条件.()答案:(1)×(2)√(3)×2.填空题(1)函数f(x)=e x-x的减区间为________.答案:(-∞,0)(2)函数f(x)=1+x-sin x在(0,2π)上的单调情况是________.答案:单调递增(3)已知f(x)=x3-ax在[1,+∞)上是增函数,则a的最大值是________.答案:3[全析考法][例1] (2016·山东高考节选)已知f (x )=a (x -ln x )+2x -1x 2,a ∈R .讨论f (x )的单调性.[解] f (x )的定义域为(0,+∞),f ′(x )=a -a x -2x 2+2x 3=(ax 2-2)(x -1)x 3.当a ≤0,x ∈(0,1)时, f ′(x )>0,f (x )单调递增; x ∈(1,+∞)时, f ′(x )<0,f (x )单调递减. 当a >0时,f ′(x )=a (x -1)x 3⎝⎛⎭⎫x - 2a ⎝⎛⎭⎫x + 2a . ①若0<a <2,则 2a >1, 当x ∈(0,1)或x ∈⎝⎛⎭⎫2a ,+∞时, f ′(x )>0,f (x )单调递增; 当x ∈⎝⎛⎭⎫1,2a 时,f ′(x )<0,f (x )单调递减. ②若a =2,则2a =1,在x ∈(0,+∞)内,f ′(x )≥0,f (x )单调递增.③若a >2,则0< 2a <1,当x ∈⎝⎛⎭⎫0,2a 或x ∈(1,+∞)时, f ′(x )>0,f (x )单调递增;当x ∈⎝⎛⎭⎫2a ,1时,f ′(x )<0,f (x )单调递减. 综上所述,当a ≤0时,f (x )在(0,1)内单调递增, 在(1,+∞)内单调递减;当0<a <2时,f (x )在(0,1)内单调递增,在⎝⎛⎭⎫1,2a 内单调递减,在⎝⎛⎭⎫ 2a ,+∞内单调递增;当a =2时,f (x )在(0,+∞)内单调递增; 当a >2时,f (x )在⎝⎛⎭⎫0,2a 内单调递增,在⎝⎛⎭⎫ 2a ,1内单调递减,在(1,+∞)内单调递增.[方法技巧]导数法研究函数f (x )在(a ,b )内单调性的步骤(1)求f ′(x );(2)确定f ′(x )在(a ,b )内的符号;(3)作出结论:f ′(x )>0时为增函数;f ′(x )<0时为减函数.[提醒] 研究含参数函数的单调性时,需注意依据参数取值对不等式解集的影响进行分类讨论.求函数的单调区间[例2] (2018·山东德州期中)已知函数f (x )=13x 3-(2m +1)x 2+3m (m +2)x +1,其中m为实数.(1)当m =-1时,求函数f (x )在[-4,4]上的最大值和最小值; (2)求函数f (x )的单调递增区间.[解] (1)当m =-1时,f (x )=13x 3+x 2-3x +1,f ′(x )=x 2+2x -3=(x +3)(x -1).当x <-3或x >1时,f ′(x )>0,f (x )单调递增; 当-3<x <1时,f ′(x )<0,f (x )单调递减. ∴当x =-3时,f (x )极大值=10; 当x =1时,f (x )极小值=-23.又∵f (-4)=233,f (4)=793,∴函数f (x )在[-4,4]上的最大值为793,最小值为-23.(2)f ′(x )=x 2-2(2m +1)x +3m (m +2) =(x -3m )(x -m -2).当3m =m +2,即m =1时,f ′(x )=(x -3)2≥0, ∴f (x )单调递增,即f (x )的单调递增区间为(-∞,+∞).当3m >m +2,即m >1时,由f ′(x )=(x -3m )(x -m -2)>0可得x <m +2或x >3m , 此时f (x )的单调递增区间为(-∞,m +2),(3m ,+∞).当3m <m +2,即m <1时,由f ′(x )=(x -3m )(x -m -2)>0可得x <3m 或x >m +2, 此时f (x )的单调递增区间为(-∞,3m ),(m +2,+∞). 综上所述:当m =1时,f (x )的单调递增区间为(-∞,+∞); 当m >1时,f (x )的单调递增区间为(-∞,m +2),(3m ,+∞); 当m <1时,f (x )的单调递增区间为(-∞,3m ),(m +2,+∞).[方法技巧] 用导数求函数单调区间的三种类型及方法[全练题点]1.[考点二](2018·江西金溪一中等校联考)已知函数f (x )与f ′(x )的图象如图所示,则函数g (x )=f (x )ex 的单调递减区间为( )A .(0,4)B .(-∞,1),⎝⎛⎭⎫43,4C.⎝⎛⎭⎫0,43 D .(0,1),(4,+∞)解析:选D g ′(x )=f ′(x )e x -f (x )e x (e x )2=f ′(x )-f (x )e x ,令g ′(x )<0,即f ′(x )-f (x )<0,由题图可得x ∈(0,1)∪(4,+∞).故函数g (x )的单调递减区间为(0,1),(4,+∞).故选D.2.[考点二](2018·芜湖一模)函数f (x )=e x -e x ,x ∈R 的单调递增区间是( ) A.()0,+∞ B.()-∞,0 C.()-∞,1D.()1,+∞解析:选D 由题意知,f ′(x )=e x -e ,令f ′(x )>0,解得x >1,故选D. 3.[考点一]已知函数f (x )=x -2x+1-a ln x ,a >0.讨论f (x )的单调性.解:由题意知,f (x )的定义域是(0,+∞),导函数f ′(x )=1+2x 2-a x =x 2-ax +2x 2.设g (x )=x 2-ax +2,二次方程g (x )=0的判别式Δ=a 2-8.①当Δ≤0,即0<a ≤22时,对一切x >0都有f ′(x )≥0.此时f (x )是(0,+∞)上的单调递增函数.②当Δ>0,即a >22时,方程g (x )=0有两个不同的实根x 1=a -a 2-82,x 2=a +a 2-82,0<x 1<x 2.所以f (x ),f ′(x )随x 的变化情况如下表:此时f (x )在 ⎝ ⎛⎭⎪⎫0,a -a 2-82上单调递增,在⎝ ⎛⎭⎪⎫a -a 2-82,a +a 2-82上单调递减, 在⎝ ⎛⎭⎪⎫a +a 2-82,+∞上单调递增.4.[考点二]已知函数f (x )=ax 2+1(a >0),g (x )=x 3+bx .(1)若曲线y =f (x )与曲线y =g (x )在它们的交点(1,c )处具有公共切线,求a ,b 的值; (2)当a 2=4b 时,求函数f (x )+g (x )的单调区间. 解:(1)f ′(x )=2ax ,g ′(x )=3x 2+b , 由已知可得⎩⎪⎨⎪⎧f (1)=a +1=c ,g (1)=1+b =c ,2a =3+b ,解得a =b =3.(2)令F (x )=f (x )+g (x )=x 3+ax 2+a 24x +1,F ′(x )=3x 2+2ax +a 24,令F ′(x )=0,得x 1=-a 2,x 2=-a6,∵a >0,∴x 1<x 2,由F ′(x )>0得,x <-a 2或x >-a6;由F ′(x )<0得,-a 2<x <-a6.∴函数f (x )+g (x )的单调递增区间是⎝⎛⎭⎫-∞,-a 2,⎝⎛⎭⎫-a6,+∞;单调递减区间为⎝⎛⎭⎫-a 2,-a 6.突破点(二) 利用导数解决函数单调性的应用问题利用导数解决函数单调性的应用问题主要有:(1)已知函数的单调性求参数范围问题:此类问题是近几年高考的热点,一般为解答题的第二问,难度中档.有时也以选择题、填空题的形式出现,难度中高档.解决此类问题的关键是转化为恒成立问题,再参变分离,转化为最值问题求解.(2)比较大小或解不等式问题:利用导数方法解决此类问题的主要技巧就是灵活地构造函数,通过函数的性质求解.[全析考法]已知函数的单调性求参数的取值范围[例1] (1)若f (x )在区间(1,+∞)上为增函数,求a 的取值范围; (2)若f (x )在区间(-1,1)上为减函数,求a 的取值范围; (3)若f (x )的单调递减区间为(-1,1),求a 的值.[解] (1)因为f ′(x )=3x 2-a ,且f (x )在区间(1,+∞)上为增函数, 所以f ′(x )≥0在(1,+∞)上恒成立, 即3x 2-a ≥0在(1,+∞)上恒成立, 所以a ≤3x 2在(1,+∞)上恒成立, 所以a ≤3,即a 的取值范围为(-∞,3]. (2)因为f (x )在区间(-1,1)上为减函数, 所以f ′(x )=3x 2-a ≤0在(-1,1)上恒成立, 即a ≥3x 2在(-1,1)上恒成立.因为-1<x <1,所以3x 2<3,所以a ≥3. 即a 的取值范围为[3,+∞). (3)因为f (x )=x 3-ax -1,所以f ′(x )=3x 2-a .由f ′(x )=0,得x =±3a3(a ≥0). 因为f (x )的单调递减区间为(-1,1), 所以3a3=1,即a =3.[方法技巧]由函数的单调性求参数取值范围的方法(1)可导函数在区间(a ,b )上单调,实际上就是在该区间上f ′(x )≥0(或f ′(x )≤0)恒成立,得到关于参数的不等式,从而转化为求函数的最值问题,求出参数的取值范围,注意检验等号成立时导数是否在(a ,b )上恒为0.(2)可导函数在区间(a ,b )上存在单调区间,实际上就是f ′(x )>0(或f ′(x )<0)在该区间上存在解集,即f ′(x )max >0(或f ′(x )min <0)在该区间上有解,从而转化为不等式问题,求出参数的取值范围.(3)若已知f (x )在区间I 上的单调性,区间I 上含有参数时,可先求出f (x )的单调区间,令I 是其单调区间的子集,从而求出参数的取值范围.比较大小或解不等式[例2] (1)(2017·吉林长春三模)定义在R 上的函数f (x )满足:f ′(x )>f (x )恒成立,若x 1<x 2,则e x 1f (x 2)与e x 2f (x 1) 的大小关系为( )A .e x 1f (x 2)>e x 2f (x 1)B .e x 1f (x 2)<e x 2f (x 1)C .e x 1f (x 2)=e x 2f (x 1)D .e x 1f (x 2)与e x 2f (x 1)的大小关系不确定(2)已知函数f (x )(x ∈R )满足f (1)=1,且f (x )的导数f ′(x )<12,则不等式f (x 2)<x 22+12的解集为________.[解析] (1)设g (x )=f (x )ex ,则g ′(x )=f ′(x )e x -f (x )e x (e x )2=f ′(x )-f (x )e x ,由题意得g ′(x )>0,所以g (x )单调递增, 当x 1<x 2时,g (x 1)<g (x 2),即f (x 1)e x 1<f (x 2)ex 2, 所以e x 1f (x 2)>e x 2f (x 1).(2)设F (x )=f (x )-12x ,∴F ′(x )=f ′(x )-12,∵f ′(x )<12,∴F ′(x )=f ′(x )-12<0,即函数F (x )在R 上单调递减.∵f (x 2)<x 22+12,∴f (x 2)-x 22<f (1)-12,∴F (x 2)<F (1),而函数F (x )在R 上单调递减, ∴x 2>1,即x ∈(-∞,-1)∪(1,+∞). [答案] (1)A (2)(-∞,-1)∪(1,+∞)[方法技巧]利用导数比较大小或解不等式的常用技巧利用题目条件,构造辅助函数,把比较大小或求解不等式的问题转化为先利用导数研究函数的单调性问题,再由单调性比较大小或解不等式.常见构造的辅助函数形式有:(1)f (x )>g (x )→F (x )=f (x )-g (x ); (2)xf ′(x )+f (x )→[xf (x )]′; (3)xf ′(x )-f (x )→⎣⎡⎦⎤f (x )x ′;(4)f ′(x )+f (x )→[e x f (x )]′; (5)f ′(x )-f (x )→⎣⎡⎦⎤f (x )e x ′.[全练题点]1.[考点一]若函数f (x )=x 3-ax 2+4在区间[0,2]上单调递减,则( ) A .a ≥3 B .a =3 C .a ≤3D .0<a <3解析:选A 因为函数f (x )=x 3-ax 2+4在区间[0,2]上单调递减,所以f ′(x )=3x 2-2ax ≤0在[0,2]上恒成立.当x =0时,显然成立,当x ≠0时,a ≥32x 在(0,2]上恒成立.因为32x ≤3,所以a ≥3.综上,a ≥3. 2.[考点一]已知函数f (x )=12x 2-t cos x ,若其导函数f ′(x )在R 上单调递增,则实数t 的取值范围为( )A.⎣⎡⎦⎤-1,-13 B.⎣⎡⎦⎤-13,13 C .[-1,1]D.⎣⎡⎦⎤-1,13 解析:选C 因为f (x )=12x 2-t cos x ,所以f ′(x )=x +t sin x .令g (x )=f ′(x ),因为f ′(x )在R 上单调递增,所以g ′(x )=1+t cos x ≥0恒成立,所以t cos x ≥-1恒成立,因为cos x∈[-1,1],所以⎩⎪⎨⎪⎧-t ≥-1,t ≥-1,所以-1≤t ≤1,即实数t 的取值范围为[-1,1].3.[考点二]对于R 上可导的任意函数f (x ),若满足1-xf ′(x )≤0,则必有( )A .f (0)+f (2)>2f (1)B .f (0)+f (2)≤2f (1)C .f (0)+f (2)<2f (1)D .f (0)+f (2)≥2f (1)解析:选A 当x <1时,f ′(x )<0,此时函数f (x )单调递减,当x >1时,f ′(x )>0,此时函数f (x )单调递增,∴当x =1时,函数f (x )取得极小值同时也取得最小值,所以f (0)>f (1),f (2)>f (1),则f (0)+f (2)>2f (1).4.[考点二](2018·江西赣州联考)定义在R 上的函数f (x )满足:f (x )>1-f ′(x ),f (0)=0,f ′(x )是f (x )的导函数,则不等式e x f (x )>e x -1(其中e 为自然对数的底数)的解集为( )A .(0,+∞)B .(-∞,-1)∪(0,+∞)C .(-∞,0)∪(1,+∞)D .(-1,+∞)解析:选A 设g (x )=e x f (x )-e x ,则g ′(x )=e x f (x )+e x f ′(x )-e x .由已知f (x )>1-f ′(x ),可得g ′(x )>0在R 上恒成立,即g (x )是R 上的增函数.因为f (0)=0,所以g (0)=-1,则不等式e x f (x )>e x -1可化为g (x )>g (0),所以原不等式的解集为(0,+∞).5.[考点一](2018·四川成都模拟)已知函数f (x )=-12x 2+4x -3ln x 在区间[t ,t +1]上不单调,则t 的取值范围是________.解析:由题意知f ′(x )=-x +4-3x =-(x -1)(x -3)x ,由f ′(x )=0得函数f (x )的两个极值点为1和3,则只要这两个极值点有一个在区间(t ,t +1)内,函数f (x )在区间[t ,t +1]上就不单调,∴1∈(t ,t +1)或3∈(t ,t +1)⇔⎩⎪⎨⎪⎧ t <1,t +1>1或⎩⎪⎨⎪⎧t <3,t +1>3⇔0<t <1或2<t <3. 答案:(0,1)∪(2,3)6.[考点一](2018·辽宁大连双基测试)已知函数f (x )=ln x +axx +1(a ∈R ).(1)若函数f (x )在区间(0,4)上单调递增,求a 的取值范围; (2)若函数y =f (x )的图象与直线y =2x 相切,求a 的值.解:(1)f ′(x )=1x +a (x +1)-ax (x +1)2=(x +1)2+axx (x +1)2.∵函数f (x )在区间(0,4)上单调递增,∴f ′(x )≥0在(0,4)上恒成立,∴(x +1)2+ax ≥0, 即a ≥-x 2+2x +1x =-⎝⎛⎭⎫x +1x -2在(0,4)上恒成立. ∵x +1x ≥2,当且仅当x =1时取等号,∴a ∈[-4,+∞).(2)设切点为(x 0,y 0),则y 0=2x 0,f ′(x 0)=2,y 0=ln x 0+ax 0x 0+1,∴1x 0+a (x 0+1)2=2,①且2x 0=ln x 0+ax 0x 0+1.② 由①得a =⎝⎛⎭⎫2-1x 0(x 0+1)2,③ 代入②,得2x 0=ln x 0+(2x 0-1)(x 0+1), 即ln x 0+2x 20-x 0-1=0.令F (x )=ln x +2x 2-x -1,x >0,则 F ′(x )=1x +4x -1=4x 2-x +1x >0, ∴F (x )在(0,+∞)上单调递增. ∵F (1)=0,∴x 0=1,代入③式得a =4.[全国卷5年真题集中演练——明规律] 1.(2014·全国卷Ⅱ)若函数f (x )=kx -ln x 在区间(1,+∞)单调递增,则k 的取值范围是( )A .(-∞,-2]B .(-∞,-1]C .[2,+∞)D .[1,+∞)解析:选D 因为f (x )=kx -ln x ,所以f ′(x )=k -1x . 因为f (x )在区间(1,+∞)上单调递增, 所以当x >1时,f ′(x )=k -1x ≥0恒成立, 即k ≥1x 在区间(1,+∞)上恒成立. 因为x >1,所以0<1x <1,所以k ≥1.故选D.2.(2016·全国卷Ⅰ)若函数f (x )=x -13sin 2x +a sin x 在(-∞,+∞)单调递增,则a 的取值范围是( )A .[-1,1]B.⎣⎡⎦⎤-1,13C.⎣⎡⎦⎤-13,13D.⎣⎡⎦⎤-1,-13 解析:选C 法一:取a =-1,则f (x )=x -13sin 2x -sin x ,f ′(x )=1-23cos 2x -cos x ,但f ′(0)=1-23-1=-23<0,不具备在(-∞,+∞)单调递增的条件,故排除A 、B 、D.故选C.法二:函数f (x )=x -13sin 2x +a sin x 在(-∞,+∞)单调递增,等价于f ′(x )=1-23cos2x +a cos x =-43cos 2x +a cos x +53≥0在(-∞,+∞)恒成立.设cos x =t ,则g (t )=-43t 2+at +53≥0在[-1,1]恒成立,所以⎩⎨⎧g (1)=-43+a +53≥0,g (-1)=-43-a +53≥0,解得-13≤a ≤13.故选C.3.(2015·全国卷Ⅱ)设函数f ′(x )是奇函数f (x )(x ∈R )的导函数,f (-1)=0,当x >0时,xf ′(x )-f (x )<0,则使得f (x )>0成立的x 的取值范围是( )A .(-∞,-1)∪(0,1)B .(-1,0)∪(1,+∞)C .(-∞,-1)∪(-1,0)D .(0,1)∪(1,+∞) 解析:选A 设y =g (x )=f (x )x (x ≠0),则g ′(x )=xf ′(x )-f (x )x 2,当x >0时,xf ′(x )-f (x )<0,∴g ′(x )<0,∴g (x )在(0,+∞)上为减函数,且g (1)=f (1)=-f (-1)=0.∵f (x )为奇函数,∴g (x )为偶函数,∴g (x )的图象的示意图如图所示.当x >0时,由f (x )>0,得g (x )>0,由图知0<x <1,当x <0时,由f (x )>0,得g (x )<0,由图知x <-1,∴使得f (x )>0成立的x 的取值范围是(-∞,-1)∪(0,1),故选A.4.(2017·全国卷Ⅰ)已知函数f (x )=a e 2x +(a -2)e x -x . (1)讨论f (x )的单调性;(2)若f (x )有两个零点,求a 的取值范围. 解:(1)f (x )的定义域为(-∞,+∞),f ′(x )=2a e 2x +(a -2)e x -1=(a e x -1)(2e x +1). (ⅰ)若a ≤0,则f ′(x )<0,所以f (x )在(-∞,+∞)上单调递减. (ⅱ)若a >0,则由f ′(x )=0,得x =-ln a . 当x ∈(-∞,-ln a )时,f ′(x )<0;当x ∈(-ln a ,+∞)时,f ′(x )>0.所以f (x )在(-∞,-ln a )上单调递减,在(-ln a ,+∞)上单调递增. (2)(ⅰ)若a ≤0,由(1)知,f (x )至多有一个零点.(ⅱ)若a >0,由(1)知,当x =-ln a 时,f (x )取得最小值,最小值为f (-ln a )=1-1a +ln a . ①当a =1时,由于f (-ln a )=0, 故f (x )只有一个零点;②当a ∈(1,+∞)时,由于1-1a +ln a >0, 即f (-ln a )>0,故f (x )没有零点;③当a ∈(0,1)时,1-1a +ln a <0,即f (-ln a )<0. 又f (-2)=a e -4+(a -2)e -2+2>-2e -2+2>0,故f (x )在(-∞,-ln a )有一个零点. 设正整数n 0满足n 0>ln ⎝⎛⎭⎫3a -1,则f (n 0)=e n 0(a e n 0+a -2)-n 0>e n 0-n 0>2n 0-n 0>0. 由于ln ⎝⎛⎭⎫3a -1>-ln a , 因此f (x )在(-ln a ,+∞)有一个零点. 综上,a 的取值范围为(0,1).[课时达标检测][小题对点练——点点落实]对点练(一) 利用导数讨论函数的单调性或求函数的单调区间1.(2018·福建龙岩期中)函数f (x )=x 3+bx 2+cx +d 的图象如图,则函数y =log 2⎝⎛⎭⎫x 2+23bx +c 3的单调递减区间为( ) A .(-∞,-2) B .[3,+∞) C .[-2,3]D.⎣⎡⎭⎫12,+∞解析:选A 由题图可以看出-2,3是函数f (x )=x 3+bx 2+cx +d 的两个极值点,即方程f ′(x )=3x 2+2bx +c =0的两根,所以-2b 3=1,c3=-6,即2b =-3,c =-18,所以函数y =log 2⎝⎛⎭⎫x 2+23bx +c 3可化为y =log 2(x 2-x -6).解x 2-x -6>0得x <-2或x >3.因为二次函数y =x 2-x -6的图象开口向上,对称轴为直线x =12,所以函数y =log 2(x 2-x -6)的单调递减区间为(-∞,-2).故选A.2.(2017·焦作二模)设函数f (x )=2(x 2-x )ln x -x 2+2x ,则函数f (x )的单调递减区间为( )A.⎝⎛⎭⎫0,12B.⎝⎛⎭⎫12,1 C .(1,+∞)D .(0,+∞)解析:选B 由题意可得f (x )的定义域为(0,+∞),f ′(x )=2(2x -1)ln x +2(x 2-x )·1x -2x +2=(4x -2)ln x .由f ′(x )<0可得(4x -2)ln x <0,所以⎩⎪⎨⎪⎧ 4x -2>0,ln x <0,或⎩⎪⎨⎪⎧4x -2<0,ln x >0,解得12<x <1,故函数f (x )的单调递减区间为⎝⎛⎭⎫12,1,故选B. 3.(2018·湖北荆州质检)函数f (x )=ln x -12x 2-x +5的单调递增区间为________.解析:函数f (x )的定义域为(0,+∞),再由f ′(x )=1x -x -1>0可解得0<x <5-12.答案:⎝ ⎛⎭⎪⎫0,5-12 对点练(二) 利用导数解决函数单调性的应用问题1.(2018·河南洛阳模拟)已知函数f (x )=-x 3+ax 2-x -1在R 上是单调函数,则实数a 的取值范围是( )A .(-∞,- 3 ]∪[3,+∞)B .[-3, 3 ]C .(-∞,-3)∪(3,+∞)D .(-3,3)解析:选B f ′(x )=-3x 2+2ax -1,由题意知,f ′(x )≤0在R 上恒成立,则Δ=(2a )2-4×(-1)×(-3)≤0恒成立,解得-3≤a ≤ 3.2.(2018·河北正定中学月考)函数f (x )在定义域R 内可导,若f (x )=f (2-x ),且当x ∈(-∞,1)时,(x -1)·f ′(x )<0,设a =f (0),b =f ⎝⎛⎭⎫12,c =f (3),则( )A .a <b <cB .c <a <bC .c <b <aD .b <c <a解析:选B 由f (x )=f (2-x )可知,f (x )的图象关于直线x =1对称.根据题意知当x ∈(-∞,1)时,f ′(x )>0,f (x )为增函数,当x ∈(1,+∞)时,f ′(x )<0,f (x )为减函数,所以f (3)=f (-1)<f (0)<f ⎝⎛⎭⎫12,即c <a <b .故选B.3.(2018·河北唐山期末)已知函数f (x )=ln(e x +e -x )+x 2,则使得f (2x )>f (x +3)成立的x的取值范围是( )A .(-1,3)B .(-∞,-3)∪(3,+∞)C .(-3,3)D .(-∞,-1)∪(3,+∞)解析:选D 因为f (-x )=ln(e -x +e x )+(-x )2=ln(e x +e -x )+x 2=f (x ),所以函数f (x )是偶函数.通过导函数可知函数y =e x +e-x在(0,+∞)上是增函数,所以函数f (x )=ln(e x +e-x)+x 2在(0,+∞)上也是增函数,所以不等式f (2x )>f (x +3)等价于|2x |>|x +3|,解得x <-1或x >3.故选D.4.(2018·云南大理州统测)定义在R 上的函数f (x )的导函数为f ′(x ),若对任意x ,有f (x )>f ′(x ),且f (x )+2 017为奇函数,则不等式f (x )+2 017e x <0的解集是( )A .(-∞,0)B .(0,+∞) C.⎝⎛⎭⎫-∞,1e D.⎝⎛⎭⎫1e ,+∞ 解析:选B 设h (x )=f (x )e x ,则h ′(x )=f ′(x )-f (x )e x<0,所以h (x )是定义在R 上的减函数.因为f (x )+2 017为奇函数,所以f (0)=-2 017,h (0)=-2 017.因为f (x )+2 017e x <0,所以f (x )e x <-2 017,即h (x )<h (0),结合函数h (x )的单调性可知x >0,所以不等式f (x )+2 017e x <0的解集是(0,+∞).故选B.5.若函数f (x )=x +4mx-m ln x 在[1,2]上为减函数,则m 的最小值为( ) A.32 B.34 C.23D.43解析:选C 因为f (x )=x +4m x -m ln x 在[1,2]上为减函数,所以f ′(x )=1-4m x 2-mx =x 2-mx -4mx2≤0在[1,2]上恒成立,所以x 2-mx -4m ≤0在[1,2]上恒成立.令g (x )=x 2-mx -4m ,所以⎩⎪⎨⎪⎧g (1)=1-m -4m ≤0,g (2)=4-2m -4m ≤0,所以m ≥23,故m 的最小值为23,故选C.6.已知函数f (x )=x sin x ,x 1,x 2∈⎝⎛⎭⎫-π2,π2,且f (x 1)<f (x 2),那么( ) A .x 1-x 2>0B .x 1+x 2>0C .x 21-x 22>0D .x 21-x 22<0解析:选D 由f (x )=x sin x 得f ′(x )=sin x +x cos x ,当x ∈⎝⎛⎭⎫0,π2时,f ′(x )>0,即f (x )在⎝⎛⎭⎫0,π2上为增函数,又f (-x )=-x sin(-x )=x sin x =f (x ),因而f (x )为偶函数,∴当f (x 1)<f (x 2)时有f (|x 1|)<f (|x 2|),∴|x 1|<|x 2|,x 21-x 22<0,故选D.。
2019年高考数学理科数学 导数及其应用1.【2019年高考全国Ⅲ卷理数】已知曲线e ln x y a x x =+在点(1,a e )处的切线方程为y =2x +b ,则 A .e 1a b ==-, B .a=e ,b =1 C .1e 1a b -==,D .1e a -=,1b =-【答案】D【解析】∵e ln 1,xy a x '=++∴切线的斜率1|e 12x k y a ='==+=,1e a -∴=, 将(1,1)代入2y x b =+,得21,1b b +==-. 故选D .2.【2019年高考天津理数】已知a ∈R ,设函数222,1,()ln ,1.x ax a x f x x a x x ⎧-+≤=⎨->⎩若关于x 的不等式()0f x ≥在R 上恒成立,则a 的取值范围为 A .[]0,1 B .[]0,2 C .[]0,eD .[]1,e【答案】C【解析】当1x =时,(1)12210f a a =-+=>恒成立;当1x <时,22()22021x f x x ax a a x =-+≥⇔≥-恒成立,令2()1x g x x =-,则222(11)(1)2(1)1()111x x x x g x x x x -----+=-=-=---- 11122(1)2011x x x x ⎛⎫⎛⎫=--+-≤--⋅= ⎪ ⎪ ⎪--⎝⎭⎝⎭, 当111x x-=-,即0x =时取等号, ∴max 2()0a g x ≥=,则0a >.当1x >时,()ln 0f x x a x =-≥,即ln xa x≤恒成立, 令()ln xh x x=,则2ln 1()(ln )x h x x -'=,当e x >时,()0h x '>,函数()h x 单调递增, 当0e x <<时,()0h x '<,函数()h x 单调递减, 则e x =时,()h x 取得最小值(e)e h =, ∴min ()e a h x ≤=,综上可知,a 的取值范围是[0,e]. 故选C.3.(2019浙江)已知,a b ∈R ,函数32,0()11(1),032x x f x x a x ax x <⎧⎪=⎨-++≥⎪⎩.若函数()y f x ax b =--恰有3个零点,则 A .a <–1,b <0 B .a <–1,b >0 C .a >–1,b <0 D .a >–1,b >0【答案】C【解析】当x <0时,y =f (x )﹣ax ﹣b =x ﹣ax ﹣b =(1﹣a )x ﹣b =0,得x =b1−a , 则y =f (x )﹣ax ﹣b 最多有一个零点;当x ≥0时,y =f (x )﹣ax ﹣b =13x 3−12(a +1)x 2+ax ﹣ax ﹣b =13x 3−12(a +1)x 2﹣b ,2(1)y x a x =+-',当a +1≤0,即a ≤﹣1时,y ′≥0,y =f (x )﹣ax ﹣b 在[0,+∞)上单调递增, 则y =f (x )﹣ax ﹣b 最多有一个零点,不合题意;当a +1>0,即a >﹣1时,令y ′>0得x ∈(a +1,+∞),此时函数单调递增, 令y ′<0得x ∈[0,a +1),此时函数单调递减,则函数最多有2个零点.根据题意,函数y =f (x )﹣ax ﹣b 恰有3个零点⇔函数y =f (x )﹣ax ﹣b 在(﹣∞,0)上有一个零点,在[0,+∞)上有2个零点, 如图:∴b1−a <0且{−b >013(a +1)3−12(a +1)(a +1)2−b <0, 解得b <0,1﹣a >0,b >−16(a +1)3,则a >–1,b <0. 故选C .4.【2019年高考全国Ⅰ卷理数】曲线23()e xy x x =+在点(0)0,处的切线方程为____________. 【答案】30x y -=【解析】223(21)e 3()e 3(31)e ,xxxy x x x x x '=+++=++ 所以切线的斜率0|3x k y ='==,则曲线23()e xy x x =+在点(0,0)处的切线方程为3y x =,即30x y -=. 5.【2019年高考江苏】在平面直角坐标系xOy 中,P 是曲线4(0)y x x x=+>上的一个动点,则点P 到直线0x y +=的距离的最小值是 ▲ . 【答案】4 【解析】由4(0)y x x x =+>,得241y x'=-, 设斜率为1-的直线与曲线4(0)y x x x =+>切于004(,)x x x +, 由20411x -=-得02x =02x =-,∴曲线4(0)y x x x=+>上,点(2,32)P 到直线0x y +=22232411+=+.故答案为4.6.【2019年高考江苏】在平面直角坐标系xOy 中,点A 在曲线y =ln x 上,且该曲线在点A 处的切线经过点(-e ,-1)(e 为自然对数的底数),则点A 的坐标是 ▲ . 【答案】(e, 1)【解析】设出切点坐标,得到切线方程,然后求解方程得到横坐标的值,可得切点坐标. 设点()00,A x y ,则00ln y x =. 又1y x'=, 当0x x =时,01y x '=, 则曲线ln y x =在点A 处的切线为0001()y y x x x -=-, 即00ln 1xy x x -=-, 将点()e,1--代入,得00e1ln 1x x ---=-, 即00ln e x x =,考察函数()ln H x x x =,当()0,1x ∈时,()0H x <,当()1,x ∈+∞时,()0H x >, 且()ln 1H x x '=+,当1x >时,()()0,H x H x '>单调递增, 注意到()e e H =,故00ln e x x =存在唯一的实数根0e x =, 此时01y =,故点A 的坐标为()e,1.7.【2019年高考北京理数】设函数()e e xxf x a -=+(a 为常数).若f (x )为奇函数,则a =________;若f (x )是R 上的增函数,则a 的取值范围是___________. 【答案】(]1,0--∞【解析】首先由奇函数的定义得到关于a 的恒等式,据此可得a 的值,然后利用()0f x '≥可得a 的取值范围.若函数()e e xxf x a -=+为奇函数,则()(),f x f x -=-即()ee e e xx x x a a --+=-+,即()()1e e0xxa -++=对任意的x 恒成立,则10a +=,得1a =-.若函数()e e xxf x a -=+是R 上的增函数,则() e e 0x xf x a -'=-≥在R 上恒成立,即2e x a ≤在R 上恒成立, 又2e 0x >,则0a ≤, 即实数a 的取值范围是(],0-∞.8.【2019年高考全国Ⅰ卷理数】已知函数()sin ln(1)f x x x =-+,()f x '为()f x 的导数.证明:(1)()f x '在区间(1,)2π-存在唯一极大值点; (2)()f x 有且仅有2个零点. 【答案】(1)见解析;(2)见解析.【解析】(1)设()()g x f 'x =,则1()cos 1g x x x=-+,21sin ())(1x 'x g x =-++. 当1,2x π⎛⎫∈- ⎪⎝⎭时,()g'x 单调递减,而(0)0,()02g'g'π><,可得()g'x 在1,2π⎛⎫- ⎪⎝⎭有唯一零点,设为α.则当(1,)x α∈-时,()0g'x >;当,2x α⎛π⎫∈ ⎪⎝⎭时,()0g'x <. 所以()g x 在(1,)α-单调递增,在,2απ⎛⎫ ⎪⎝⎭单调递减,故()g x 在1,2π⎛⎫- ⎪⎝⎭存在唯一极大值点,即()f 'x在1,2π⎛⎫- ⎪⎝⎭存在唯一极大值点. (2)()f x 的定义域为(1,)-+∞.(i )当(1,0]x ∈-时,由(1)知,()f 'x 在(1,0)-单调递增,而(0)0f '=,所以当(1,0)x ∈-时,()0f 'x <,故()f x 在(1,0)-单调递减,又(0)=0f ,从而0x =是()f x 在(1,0]-的唯一零点.(ii )当0,2x ⎛π⎤∈ ⎥⎝⎦时,由(1)知,()f 'x 在(0,)α单调递增,在,2απ⎛⎫ ⎪⎝⎭单调递减,而(0)=0f ',02f 'π⎛⎫< ⎪⎝⎭,所以存在,2βαπ⎛⎫∈ ⎪⎝⎭,使得()0f 'β=,且当(0,)x β∈时,()0f 'x >;当,2x βπ⎛⎫∈ ⎪⎝⎭时,()0f 'x <.故()f x 在(0,)β单调递增,在,2βπ⎛⎫⎪⎝⎭单调递减. 又(0)=0f ,1ln 1022f ππ⎛⎫⎛⎫=-+> ⎪ ⎪⎝⎭⎝⎭,所以当0,2x ⎛π⎤∈ ⎥⎝⎦时,()0f x >.从而,()f x 在0,2⎛⎤⎥⎝⎦π没有零点. (iii )当,2x π⎛⎤∈π⎥⎝⎦时,()0f 'x <,所以()f x 在,2π⎛⎫π ⎪⎝⎭单调递减.而02f π⎛⎫> ⎪⎝⎭,()0f π<,所以()f x 在,2π⎛⎤π⎥⎝⎦有唯一零点. (iv )当(,)x ∈π+∞时,ln(1)1x +>,所以()f x <0,从而()f x 在(,)π+∞没有零点. 综上,()f x 有且仅有2个零点.9.【2019年高考全国Ⅱ卷理数】已知函数()11ln x f x x x -=-+.(1)讨论f (x )的单调性,并证明f (x )有且仅有两个零点;(2)设x 0是f (x )的一个零点,证明曲线y =ln x 在点A (x 0,ln x 0)处的切线也是曲线e xy =的切线.【解析】(1)f (x )的定义域为(0,1)(1,+∞).因为212()0(1)f 'x x x =+>-,所以()f x 在(0,1),(1,+∞)单调递增.因为f (e )=e 110e 1+-<-,22222e 1e 3(e )20e 1e 1f +-=-=>--,所以f (x )在(1,+∞)有唯一零点x 1,即f (x 1)=0.又1101x <<,1111111()ln ()01x f x f x x x +=-+=-=-,故f (x )在(0,1)有唯一零点11x .综上,f (x )有且仅有两个零点. (2)因为0ln 01e x x -=,故点B (–ln x 0,01x )在曲线y =e x 上. 由题设知0()0f x =,即0001ln 1x x x +=-,故直线AB 的斜率00000000000111ln 111ln 1x x x x x k x x x x x x +---===+-----. 曲线y =e x在点001(ln ,)B x x -处切线的斜率是01x ,曲线ln y x =在点00(,ln )A x x 处切线的斜率也是01x , 所以曲线ln y x =在点00(,ln )A x x 处的切线也是曲线y =e x 的切线. 10.【2019年高考全国Ⅲ卷理数】已知函数32()2f x x ax b =-+.(1)讨论()f x 的单调性;(2)是否存在,a b ,使得()f x 在区间[0,1]的最小值为1-且最大值为1?若存在,求出,a b 的所有值;若不存在,说明理由.【解析】(1)2()622(3)f x x ax x x a '=-=-. 令()0f x '=,得x =0或3ax =. 若a >0,则当(,0),3a x ⎛⎫∈-∞+∞ ⎪⎝⎭时,()0f x '>;当0,3a x ⎛⎫∈ ⎪⎝⎭时,()0f x '<.故()f x 在(,0),,3a ⎛⎫-∞+∞ ⎪⎝⎭单调递增,在0,3a ⎛⎫⎪⎝⎭单调递减;若a =0,()f x 在(,)-∞+∞单调递增;若a <0,则当,(0,)3a x ⎛⎫∈-∞+∞ ⎪⎝⎭时,()0f x '>;当,03a x ⎛⎫∈ ⎪⎝⎭时,()0f x '<.故()f x 在,,(0,)3a ⎛⎫-∞+∞ ⎪⎝⎭单调递增,在,03a ⎛⎫ ⎪⎝⎭单调递减.(2)满足题设条件的a ,b 存在.(i )当a ≤0时,由(1)知,()f x 在[0,1]单调递增,所以()f x 在区间[0,l]的最小值为(0)=f b ,最大值为(1)2f a b =-+.此时a ,b 满足题设条件当且仅当1b =-,21a b -+=,即a =0,1b =-. (ii )当a ≥3时,由(1)知,()f x 在[0,1]单调递减,所以()f x 在区间[0,1]的最大值为(0)=f b ,最小值为(1)2f a b =-+.此时a ,b 满足题设条件当且仅当21a b -+=-,b =1,即a =4,b =1.(iii )当0<a <3时,由(1)知,()f x 在[0,1]的最小值为3327a a f b ⎛⎫=-+ ⎪⎝⎭,最大值为b 或2a b -+. 若3127a b -+=-,b =1,则332a =,与0<a <3矛盾. 若3127a b -+=-,21a b -+=,则33a =或33a =-或a =0,与0<a <3矛盾. 综上,当且仅当a =0,1b =-或a =4,b =1时,()f x 在[0,1]的最小值为-1,最大值为1. 11.【2019年高考北京理数】已知函数321()4f x x x x =-+. (Ⅰ)求曲线()y f x =的斜率为1的切线方程; (Ⅱ)当[2,4]x ∈-时,求证:6()x f x x -≤≤;(Ⅲ)设()|()()|()F x f x x a a =-+∈R ,记()F x 在区间[2,4]-上的最大值为M (a ).当M (a )最小时,求a 的值.【解析】(Ⅰ)由321()4f x x x x =-+得23()214f x x x '=-+. 令()1f x '=,即232114x x -+=,得0x =或83x =.又(0)0f =,88()327f =,所以曲线()y f x =的斜率为1的切线方程是y x =与88273y x -=-,即y x =与6427y x =-.(Ⅱ)令()(),[2,4]g x f x x x =-∈-.由321()4g x x x =-得23()24g'x x x =-. 令()0g'x =得0x =或83x =.(),()g'x g x 的情况如下:x 2-(2,0)-8(0,)3 838(,4)34()g'x+-+()g x6-6427-所以()g x 的最小值为6-,最大值为0. 故6()0g x -≤≤,即6()x f x x -≤≤. (Ⅲ)由(Ⅱ)知,当3a <-时,()(0)|(0)|3M F g a a a ≥=-=->; 当3a >-时,()(2)|(2)|63M F a g a a ≥-=--=+>; 当3a =-时,()3M a =. 综上,当()M a 最小时,3a =-.12.【2019年高考天津理数】设函数()e cos ,()xf x xg x =为()f x 的导函数.(Ⅰ)求()f x 的单调区间;(Ⅱ)当,42x ππ⎡⎤∈⎢⎥⎣⎦时,证明()()02f x g x x π⎛⎫+-≥ ⎪⎝⎭;(Ⅲ)设n x 为函数()()1u x f x =-在区间2,242n n ππ⎛⎫π+π+ ⎪⎝⎭内的零点,其中n ∈N ,证明20022sin c s e o n n n x x x -πππ+-<-. 【解析】(Ⅰ)由已知,有()e (cos sin )xf 'x x x =-.因此,当52,244x k k ππ⎛⎫∈π+π+ ⎪⎝⎭()k ∈Z 时,有sin cos x x >,得()0f 'x <,则()f x 单调递减;当32,244x k k ππ⎛⎫∈π-π+ ⎪⎝⎭()k ∈Z 时,有sin cos x x <,得()0f 'x >,则()f x 单调递增.所以,()f x 的单调递增区间为32,2(),()44k k k f x ππ⎡⎤π-π+∈⎢⎥⎣⎦Z 的单调递减区间为52,2()44k k k ππ⎡⎤π+π+∈⎢⎥⎣⎦Z . (Ⅱ)证明:记()()()2h x f x g x x π⎛⎫=+-⎪⎝⎭.依题意及(Ⅰ),有()e (cos sin )x g x x x =-,从而()2e sin x g'x x =-.当,42x ππ⎛⎫∈ ⎪⎝⎭时,0()g'x <,故()()()()(1)()022h'x f 'x g'x x g x g'x x ππ⎛⎫⎛⎫=+-+-=-< ⎪ ⎪⎝⎭⎝⎭.因此,()h x 在区间,42ππ⎡⎤⎢⎥⎣⎦上单调递减,进而()022h x h f ππ⎛⎫⎛⎫≥== ⎪ ⎪⎝⎭⎝⎭.所以,当,42x ππ⎡⎤∈⎢⎥⎣⎦时,()()02f x g x x π⎛⎫+-≥ ⎪⎝⎭.(Ⅲ)证明:依题意,()()10n n u x f x =-=,即cos e 1n xn x =.记2n n y x n =-π,则,42n y ππ⎛⎫∈⎪⎝⎭,且()()()22e cos ecos 2e n n yx n n n n n f y y x n n π--π==-π=∈N .由()()20e1n n f y f y -π==≤及(Ⅰ),得0n y y ≥.由(Ⅱ)知,当,42x ππ⎛⎫∈ ⎪⎝⎭时,()0g'x <,所以()g x 在,42ππ⎡⎤⎢⎥⎣⎦上为减函数,因此()()004n g y g y g π⎛⎫≤<= ⎪⎝⎭.又由(Ⅱ)知,()()02n n n f y g y y π⎛⎫+-≥ ⎪⎝⎭,故()()()()()022*******2sin cos sin c e e e e os e n n n n n n y n n f y y g y g y g y y y x x -π-π-π-ππ--=-≤=--≤<.所以,20022sin c s e o n n n x x x -πππ+-<-.13.【2019年高考浙江】已知实数0a ≠,设函数()=ln 1,0.f x a x x x ++>(1)当34a =-时,求函数()f x 的单调区间; (2)对任意21[,)e x ∈+∞均有()2xf x a ≤ 求a 的取值范围. 注:e=2.71828…为自然对数的底数. 【解析】(1)当34a =-时,3()ln 1,04f x x x x =-++>. 3(12)(21()42141x x f 'x x x x x++=-+=++ 所以,函数()f x 的单调递减区间为(0,3),单调递增区间为(3,+∞).(2)由1(1)2f a≤,得204a <≤.当204a <≤时,()x f x ≤212ln 0x xx +-≥. 令1t a=,则22t ≥. 设()212ln ,2g t t x x x t =+≥则21()(1)2ln g t x t x x x=+.(i )当1,7x ⎡⎫∈+∞⎪⎢⎣⎭1122x+≤ ()(22)8212ln g t g x x x ≥=+.记1()4221ln ,7p x x x x x =+≥,则 212121()11x x x x p'x x x x x x ++=-=++(1)[1(221)]1(1)(12)x x x x x x x x -++-=++++.故x171(,1)71(1,)+∞()p'x-0 +()p x1()7p 单调递减极小值(1)p单调递增所以,()(1)0p x p ≥=.因此,()(22)2()0g t g p x ≥=≥.(ii )当211,e 7x ⎡⎫∈⎪⎢⎣⎭时,12()12x g t g x x ⎛+= ⎝.令211()(1),,e 7q x x x x x ⎡⎤=++∈⎢⎥⎣⎦,则()10q'x x =+>, 故()q x 在211,e 7⎡⎤⎢⎥⎣⎦上单调递增,所以1()7q x q ⎛⎫⎪⎝⎭. 由(i )得,127127(1)077q p p ⎛⎫⎛⎫=<= ⎪ ⎪⎝⎭⎝⎭. 所以,()<0q x .因此1()102g t g x x ⎛+=> ⎝.由(i )(ii )知对任意21,e x ⎡⎫∈+∞⎪⎢⎣⎭,[22,),()0t g t ∈+∞, 即对任意21,e x ⎡⎫∈+∞⎪⎢⎣⎭,均有()2xf x a. 综上所述,所求a 的取值范围是20,4⎛⎝⎦. 14.【2019年高考江苏】设函数()()()(),,,f x x a x b x c a b c =---∈R 、()f 'x 为f (x )的导函数.(1)若a =b =c ,f (4)=8,求a 的值;(2)若a ≠b ,b =c ,且f (x )和()f 'x 的零点均在集合{3,1,3}-中,求f (x )的极小值;(3)若0,01,1a b c =<=,且f (x )的极大值为M ,求证:M ≤427. 【解析】(1)因为a b c ==,所以3()()()()()f x x a x b x c x a =---=-. 因为(4)8f =,所以3(4)8a -=,解得2a =. (2)因为b c =,所以2322()()()(2)(2)f x x a x b x a b x b a b x ab =--=-+++-, 从而2()3()3a b f 'x x b x +⎛⎫=-- ⎪⎝⎭.令()0f 'x =,得x b =或23a bx +=. 因为2,,3a ba b +都在集合{3,1,3}-中,且a b ≠, 所以21,3,33a b a b +===-.此时2()(3)(3)f x x x =-+,()3(3)(1)f 'x x x =+-. 令()0f 'x =,得3x =-或1x =.列表如下:x (,3)-∞-3-(3,1)-1 (1,)+∞()f 'x+ 0 – 0 +()f x极大值极小值所以()f x 的极小值为2(1)(13)(13)32f =-+=-.(3)因为0,1a c ==,所以32()()(1)(1)f x x x b x x b x bx =--=-++,2()32(1)f 'x x b x b =-++.因为01b <≤,所以224(1)12(21)30b b b ∆=+-=-+>, 则()f 'x 有2个不同的零点,设为()1212,x x x x <.由()0f 'x =,得2212111133b b b b b b x x +-+++-+==.列表如下:x 1(,)x -∞1x()12,x x2x2(,)x +∞()f 'x + 0 – 0 +()f x极大值极小值所以()f x 的极大值()1M f x =. 解法一:()321111(1)M f x x b x bx ==-++()221111211(1)[32(1)]3999b b x b b b x b x b x -+++⎛⎫=-++--+ ⎪⎝⎭ ()23221(1)(1)2127927b b b b b b b --+++=++-+23(1)2(1)(1)2((1)1)272727b b b b b b +-+=-+-+(1)24272727b b +≤+≤.因此427M ≤. 解法二:因为01b <≤,所以1(0,1)x ∈.当(0,1)x ∈时,2()()(1)(1)f x x x b x x x =--≤-. 令2()(1),(0,1)g x x x x =-∈,则1()3(1)3g'x x x ⎛⎫=-- ⎪⎝⎭. 令()0g'x =,得13x =.列表如下: x 1(0,)3131(,1)3()g'x + 0 –()g x极大值所以当13x =时,()g x 取得极大值,且是最大值,故max 14()327g x g ⎛⎫== ⎪⎝⎭.所以当(0,1)x ∈时,4()()27f x g x ≤≤,因此427M ≤.。