《电磁场与电磁波》大作业A 答案
- 格式:doc
- 大小:242.00 KB
- 文档页数:4
第一章 静电场一、选择题(每题三分)1) 将一个试验电荷Q (正电荷)放在带有正电荷的大导体附近P 点处,测得它所受力为F ,若考虑到电量Q 不是足够小,则:()A 、F/Q 比P 点处原先的场强数值大 C 、F/Q 等于原先P 点处场强的数值B 、F/Q 比P 点处原先的场强数值小 D 、F/Q 与P 点处场强数值关系无法确定 答案(B )·P+Q2) 图中所示为一沿X 轴放置的无限长分段均匀带电直线,电荷线密度分别为+λ(X<0)和一个-λ(X>0),则OXY 坐标平面上点(0,a )处的场强E为( )A 、0B 、a 2i 0πελC 、a 4i 0πελD 、a 4)j i (0πε+λ3) 图中所示曲线表示球对称或轴对称静电场的某一物理量随径向距离r 变化的关系,请指出该曲线可描述下面那方面内容(E 为电场强度的大小,U为静电势)()A 、半径为R 的无限长均匀带电圆柱体电场的E-r 关系 C 、半径为R 的均匀带正电球体电场的U-r 关系B 、半径为R 的无限长均匀带电圆柱面电场的E-r 关系 D 、半径为R 的均匀带正电球面电场的U-r 关系答案(B )4) 有两个点电荷电量都是+q ,相距2a,今以左边的点电荷为球心,以a 为半径作一球形高斯面,在球面上取两块相等的小面积1S 和 2S 的电场强度通量分别为1ϕ和 2ϕ,通过整个球面的电场强度通量为3ϕ,则()为零D 、以上说法都不对 答案(C ) 6) 两个同心带电球面,半径分别为)(,b a b a R R R R <,所带电量分别为b a Q Q ,。
设某点与球心相距r,当b a R r R <<时,该点的电场强度的大小为() A 、2ba 0rQ Q 41+∙πε B 、2ba 0rQ Q 41-∙πε C 、)R Q r Q (412bb 2a 0+∙πε D 、2a 0r Q 41∙πε 答案(D )7) 如图所示,一个带电量为q 的点电荷位于立方体的A 角上,则通过侧面abcd 的电场强度通量为() A 、6q ε B 、12qε C 、24q ε D 、048qε 答案(C )8) 半径为R 的均匀带电球面,若其电荷密度为σ,则在距离球面R 处的电场强度为()A 、0εσ B 、02εσC 、04εσD 、8εσ答案(C )9) 高斯定理⎰⎰ερ=∙vs dV S d E ()A 、适用于任何静电场 C 、只适用于具有球对称性,轴对称性和平面对称性的静电场B 、只适用于真空中的静电场 D 、只适用于虽然不具有(C)中所述的对称性,但可以找到合适的高斯面的静电场 答案(B ) 10) 关于高斯定理的理解正确的是()A 、 如果高斯面上处处E为零,则该面内必无电荷 C 、如果高斯面内有许多电荷,则通过高斯面的电通量必不为零B 、 如果高斯面内无电荷,则高斯面上处处E为零 D 、如果高斯面的电通量为零,则高斯面内电荷代数和必为零 答案(D ) 11) 如图两同心的均匀带电球面,内球面半径为1R ,电量1Q ,外球面半径为2R ,电量2Q ,则在内球面内距离球心为r 处的P 点场强大小E 为() A 、2021r 4Q Q πε+ B 、+πε2101R 4Q 2202R 4Q πε C 、201r 4Q πε D 、0 答案(D )12)若均匀电场的场强为E,其方向平行于半径为R 的半球面的轴,则通过此半球面的电通量Φ为()13) 下列说法正确的是()A 、 闭合曲面上各点场强为零时,面内必没有电荷 C 、闭合曲面的电通量为零时,面上各点场强必为零B 、 闭合曲面内总电量为零时,面上各点场强必为零 D 、通过闭合曲面的电通量仅决定于面内电荷 答案(D )14) 在空间有一非均匀电场,其电力线分布如图,在电场中作一半径为R 的闭合球面S ,已知通过球面上某一面元S ∆的电场线通量为e ∆Φ,则通过该球面其余部分的电场强度通量为()A 、e ∆Φ-B 、e S r ∆Φ⋅∆24π C 、e SSr ∆Φ⋅∆∆-24π D 、0 答案(15) 在电荷为q +的电场中,若取图中点P 处为电势零点,则M 点的电势为()16)下列说法正确的是()A 、 带正电的物体的电势一定是正的 C 、带负电的物体的电势一定是负的B 、 电势等于零的物体一定不带电 D 、物体电势的正负总相对电势参考点而言的 答案(D )17) 在点电荷q 的电场中,选取以q 为中心,R 为半径的球面上一点P 处作电势零点,则与点电荷q 距离为r 的P ‘点电势为()A 、r 4q 0πε B 、)R 1r 1(4q 0-πε C 、)R r (4q 0-πε D 、)R1r 1(4q 0-πε-答案(B )18) 半径为R的均匀带电球面,总电量为Q ,设无穷远处的电势为零,则球内距球心为r 的P 强度和 电势为() A 、E=0, U=r 4Q 0πε B 、 E=0, U=R 4Q 0πε C 、E=2r 4Q0πε. U=r 4Q 0πε D 、E=2r 4Q0πε答案(B )19) 有N 个电量为q 布,比较在这两种情况下在通过圆心O 并垂直与圆心的Z 轴上任意点P 的 场强与电势,则有() A 、场强相等,电势相等B 、场强不相等,电势不相等C 、场强分量z E 相等,电势相等D 、场强分量z E 答案(C )20)在边长为a 正方体中心处放置一电量为Q A 、a 4Q 0πε B 、R 2Q 0πε C 、R Q 0πε D 、R22Q0πε答案(B )21)如图两个同心的均匀带电球面,内球面半径为1R ,电量1Q ,外球面半径为2R ,电量2Q ,则在内球面内距离球心为r 处的P 点的电势U 为()A 、r4Q Q 021πε+ B 、101R 4Q πε+202R 4Q πε C 、0 D 、101R 4Q πε 答案(B )22) 真空中一半径为R 的球面均匀带电为Q ,,在球心处有一带电量为q 的点电荷,如图设无穷远处为电势零点,则在球内离球心O 距离为r 的P 点处的电势为()A 、E R 2π B 、E R 22π C 、E R 221π D 、E R 22πE 、22ERπ 答案(A )A 、a 4q 0πε B 、a8q 0πε C 、a 4q 0πε-D 、a8q0πε- 答案(D )A 、r4Q 0πε B 、)R Q r q (410+πε C 、r 4q Q 0πε+ D 、)RqQ r q (410-+πε 答案(B )23)当带电球面上总的带电量不变,而电荷的分布作任意改变时,这些电荷在球心出产生的电场强度E和电势U 将()A 、E 不变,U 不变 B 、E 不变,U 改变 C 、E 改变 ,U 不变 D 、E改变,U 也改变 答案(C )24) 真空中有一电量为Q 的点电荷,在与它相距为r 的A 点处有一检验电荷q,现使检验电荷q 从A 点沿半圆弧轨道运动到B 点,如图则电场场力做功为()A 、q2r r 4Q 220⋅π⋅πε B 、rq 2r 4Q 20⋅πε C 、rq r 4Q 20π⋅πε D 、0 答案(D ) 25) 两块面积为S 的金属板A 和B 彼此平行放置,板间距离为d (d 远远小于板的线度),设A 板带电量1q , B 板带电量2q ,则A,B 板间的电势差为() A 、S2q q 021ε+ B 、d S 4q q 021⋅ε+ C 、d S 2q q 021⋅ε- D 、d S4q q 021⋅ε- 答案(C )26)图中实线为某电场中电力线,虚线表示等势(位)面,由图可以看出() A 、c E >>b a E E c U >>b a U U C 、c E >>b a E E c U <<b a U UB 、c E <<b aE E c U <<ba U U D 、c E <<b a E Ec U >>b a U U 答案(A )27) 面积为S 的空气平行板电容器,极板上分别带电量为q ±,若不考虑边缘效应,则两极板间的相互作用力为()A 、S q 02ε- B 、S 2q 02ε- C 、202S 2q ε D 、202S q ε 答案(B )28)长直细线均匀带电。
电磁场与电磁波习题及答案1麦克斯韦方程组的微分形式是:.D H J t=+?u v u u v u v ,BE t =-?u v u v ,0B ?=u v g ,D ρ?=u v g2静电场的基本方程积分形式为:CE dl =?u v u u v g ? S D ds ρ=?u v u u vg ?3理想导体(设为媒质2)与空气(设为媒质1)分界面上,电磁场的边界条件为:3.00n S n n n Se e e e J ρ??=??===?D B E H rr r r r r r r r 4线性且各向同性媒质的本构关系方程是:4.D E ε=u v u v ,B H μ=u v u u v ,J E σ=uv u v5电流连续性方程的微分形式为:5.J t ρ??=-r g6电位满足的泊松方程为2ρ?ε?=-;在两种完纯介质分界面上电位满足的边界。
12??= 1212n n εεεε??=?? 7应用镜像法和其它间接方法解静态场边值问题的理论依据是: 唯一性定理。
8.电场强度E ?的单位是V/m ,电位移D ?的单位是C/m2 。
9.静电场的两个基本方程的微分形式为0E ??=ρ?=g D ;10.一个直流电流回路除受到另一个直流电流回路的库仑力作用外还将受到安培力作用1.在分析恒定磁场时,引入矢量磁位A u v,并令B A =??u v u v 的依据是( 0B ?=u vg )2. “某处的电位0=?,则该处的电场强度0=E ?”的说法是(错误的)。
3. 自由空间中的平行双线传输线,导线半径为a , 线间距为D ,则传输线单位长度的电容为( )ln(1aaD C -=πε )。
4. 点电荷产生的电场强度随距离变化的规律为(1/r2 )。
5. N 个导体组成的系统的能量∑==Ni ii q W 121φ,其中iφ是(除i 个导体外的其他导体)产生的电位。
6.为了描述电荷分布在空间流动的状态,定义体积电流密度J ,其国际单位为(a/m2 )7. 应用高斯定理求解静电场要求电场具有(对称性)分布。
//成都理工大学2007-2008学年第一学期《电磁场与电磁波》课程考试试卷A一、选择题(30分,每小题3分)1. 关于在一定区域内的电磁场,下列说法中正确的是 ( D )(A )由其散度和旋度唯一地确定;(B )由其散度和边界条件唯一地确定;(C )由其旋度和边界条件唯一地确定;(D )由其散度、旋度和边界条件唯一地确定。
2. 在电磁场与电磁波的理论中分析中,常引入矢量位函数A ,并令A B ⨯∇=,其依据是 ( C)(A )0=⨯∇B ; (B )J B μ=⨯∇;(C )0=⋅∇B ; (D )J B μ=⋅∇。
3.描述不同媒质分界面两侧的电磁场矢量切向分量关系的边界条件是 ( D )(A )S D n B n ρ=⨯=⋅110 (B )0)(0)(2121=-⋅=-⨯D D n BB n(C )011=⋅=⨯E n J H n S (D )0)()(2121=-⨯=-⨯E E n J H H n s4.电磁波从理想介质1垂直向理想介质2入射,介质1和2的本征阻抗分别为30Ω和70Ω,则分界面处的反射系数Γ和透射系数τ分别为 ( C )(A )7.03.0=-=τΓ (B )6.03.0==τΓ(C )4.14.0==τΓ (D )6.04.0=-=τΓ5.已知均匀平面电磁波的电场强度矢量为jkZy x e E e e E 0)32(-=,由此可知,该平面电磁波是 ( D )(A )沿Z 轴正方向传播的左旋椭圆极化波(B )沿Z 轴负方向传播的右旋圆极化波(C )沿Z 轴正方向传播的线极化波(D )沿Z 轴负方向传播的线极化波6.当圆极化波以布儒斯特角B θ入射到两种不同介质的分界面上时,反射波和折射波(或透射波)分别是 ( B )(A )线极化波和圆极化波; (B )线极化波和椭圆极化波;(C )圆极化波和线极化波; (D )椭圆极化波和圆极化波。
7.一圆极化电磁波从媒质参数为13==r r με的介质斜入射到空气中,要使电场的平行极化分量不产生反射,入射角应为 ( D )(A )15° (B )30° (C )45° (D )60°8.将90Ω的负载接到特性阻抗为40Ω的主传输线,为了实现阻抗匹配,在负载与主传输线间接入λ/4匹配线,此匹配线的特性阻抗应为 ( B )(A )30Ω (B )60Ω (C )65Ω (D )130Ω9.如图,由特性阻抗为0Z 的传输线构成的传输线网络中,λ为传输线波长,负载阻抗02Z Z L =。
2010-2011-2学期《电磁场与电磁波》课程考试试卷参考答案及评分标准命题教师:李学军 审题教师:米燕一、判断题(10分)(每题1分)1.旋度就是任意方向的环量密度 ( × )2. 某一方向的的方向导数是描述标量场沿该方向的变化情况 ( √ )3. 点电荷仅仅指直径非常小的带电体 ( × )4. 静电场中介质的相对介电常数总是大于 1 ( √ )5. 静电场的电场力只能通过库仑定律进行计算 ( × )6.理想介质和导电媒质都是色散媒质 ( × )7. 均匀平面电磁波在无耗媒质里电场强度和磁场强度保持同相位 ( √ )8. 复坡印廷矢量的模值是通过单位面积上的电磁功率 ( × )9. 在真空中电磁波的群速与相速的大小总是相同的 ( √ ) 10 趋肤深度是电磁波进入导体后能量衰减为零所能够达到的深度 ( × ) 二、选择填空(10分)1. 已知标量场u 的梯度为G ,则u 沿l 方向的方向导数为( B )。
A. G l ⋅B. 0G l ⋅ C. G l ⨯2. 半径为a 导体球,带电量为Q ,球外套有外半径为b ,介电常数为ε的同心介质球壳,壳外是空气,则介质球壳内的电场强度E 等于( C )。
A.24Q r π B. 204Q r πε C. 24Qr πε3. 一个半径为a 的均匀带电圆柱(无限长)的电荷密度是ρ,则圆柱体内的电场强度E 为( C )。
A.22aE r ρε=B. 202r E a ρε= C. 02r E ρε= 4. 半径为a 的无限长直导线,载有电流I ,则导体内的磁感应强度B 为( C )。
A.02I r μπB. 02Ir a μπC. 022Ir aμπ 5. 已知复数场矢量0x e E =E ,则其瞬时值表述式为( B )。
A.()0cos y x e E t ωϕ+ B. ()0cos x x e E t ωϕ+ C. ()0sin x x e E t ωϕ+6. 已知无界理想媒质(ε=9ε0, μ=μ0,σ=0)中正弦均匀平面电磁波的频率f=108 Hz ,则电磁波的波长为( C )。
2021-2022学年人教版(2019)选择性必修第二册第四章第2节电磁场与电磁波过关演练一、单选题1.下列关于电磁波的说法,正确的是()A.只要有电场和磁场就能产生电磁波B.电场随时间变化时一定能产生电磁波C.要想产生持续的电磁波,变化的电场(或磁场)产生的磁场(或电场)必须是均匀变化的D.振荡电流能在空间中产生电磁波2.对于电磁波的发现过程,下列说法正确的是()A.麦克斯韦通过实验证实了电磁波的存在B.麦克斯韦预言了电磁波的存在C.赫兹根据自然规律的统一性,提出变化的电场产生磁场D.电磁波在任何介质中的传播速度均为8310m/s3.关于电磁波的形成机理,一些认识,正确的是()A.电磁波由赫兹预言提出,并指出光也属于电磁波B.磁场能产生电场,电场也能产生磁场C.变化的磁场能产生电场,所产生的这个电场还能继续产生磁场D.变化的电场能产生磁场,所产生的这个磁场不一定还能继续产生电场4.如图所示是我国500m口径球面射电望远镜(F AST),它可以接收来自宇宙深处的电磁波。
关于电磁波,下列说法正确的是()A.赫兹预言了电磁波的存在B.麦克斯韦通过实验捕捉到电磁波C.频率越高的电磁波,波长越长D.电磁波可以传递信息和能量5.以下有关电磁场理论,正确的是()A.稳定的电场周围产生稳定的磁场B.有磁场就有电场C.变化的电场周围产生变化的电场D.周期性变化的磁场产生周期性变化的电场6.关于电磁场和电磁波,下列叙述中不正确的是()A.均匀变化电场在它的周围产生均匀变化的磁场B.振荡电场在它的周围产生同频振荡的磁场C.电磁波从一种介质进入另一种介质,频率不变,传播速度与波长发生变化D.电磁波能产生干涉和衍射现象7.下列说法正确的是()A.电磁波在真空中的传播速度与电磁波的频率有关B.电磁波可以由电磁振荡产生,若波源的电磁振荡停止,空间的电磁波随即消失C.声波从空气进入水中时,其波速增大,波长变长D.均匀变化的磁场产生变化的电场,均匀变化的电场产生变化的磁场E.当波源与观察者相向运动时,波源自身的频率变大8.关于电磁波理论,下列说法正确的是()A.在变化的电场周围一定产生变化的磁场,在变化的磁场周围一定产生变化的电场B.均匀变化的电场周围一定产生均匀变化的磁场C.做非匀变速运动的电荷可以产生电磁波D.麦克斯韦第一次用实验证实了电磁波的存在9.下列说法正确的是()A.电场随时间变化时一定产生电磁波B.X射线和 射线的波长比较短,穿透力比较弱C.太阳光通过三棱镜形成彩色光谱,这是光衍射的结果D.在照相机镜头前加装偏振滤光片拍摄日落时水面下的景物,可使景物清晰10.真空中所有电磁波都有相同的()A.频率B.波长C.波速D.能量二、多选题11.以下叙述正确的是()A.法拉第发现了电磁感应现象B.电磁感应现象即电流产生磁场的现象C.只要闭合线圈在磁场中做切割磁感线的运动,线圈内部便会有感应电流D.感应电流遵从楞次定律所描述的方向,这是能量守恒的必然结果12.下列说法正确的是()A.波的衍射现象必须具备一定的条件,否则不可能发生衍射现象B.要观察到水波明显的衍射现象,必须使狭缝的宽度远大于水波波长C.波长越长的波,越容易发生明显的衍射现象D.只有波才有衍射现象13.间距为L=1m的导轨固定在水平面上,如图甲所示,导轨的左端接有阻值为R=10Ω的定值电阻,长度为L=1m、阻值为r=10Ω的金属棒PQ放在水平导轨上,与导轨有良好的接触,现在空间施加一垂直导轨平面的磁场,磁感应强度随时间的变化规律如图乙所示,已知磁场的方向如图甲所示,且0~0.2s的时间内金属棒始终处于静止状态,其他电阻不计。
第四章电磁振荡与电磁波电磁场与电磁波课后篇素养形成必备知识基础练1.(多选)根据麦克斯韦电磁场理论,下列说法正确的是()A.电场周围一定产生磁场,磁场周围一定产生电场B.变化的磁场周围一定产生电场C.变化的电场周围一定产生变化的磁场D.电磁波在真空中的传播速度为3.0×108 m/s,变化的电场周围产生磁场,变化的磁场周围产生电场,但变化的电场周围不一定产生变化的磁场,如均匀变化的电场产生的是稳定的磁场。
根据以上分析,选项B、D正确。
2.关于电磁波传播速度表达式v=λf,下列说法正确的是 ()A.波长越长,传播速度越快B.频率越高,传播速度越快C.发射能量越大,传播速度越快D.电磁波的传播速度与传播介质有关,各类电磁波的传播速度相同。
在介质中传播时,传播速度与介质有关。
3.(多选)用麦克斯韦的电磁场理论判断,表示电场(或磁场)产生磁场(或电场)的正确图像是()E=nΔΦΔt =nΔBΔtS可知,感应电动势与磁感应强度的变化率成正比。
同理,感应电场也与ΔBΔt 成正比,E与B的相位相差π2,故选项C正确。
选项B中ΔEΔt为定值,故选项B正确。
4.(多选)根据麦克斯韦电磁场理论,变化的磁场可以产生电场,当产生的电场的电场线如图所示时,可能是()A.向上方向的磁场在增强B.向上方向的磁场在减弱C.向上方向的磁场先增强,然后反向减弱D.向上方向的磁场先减弱,然后反向增强,感应电流的磁场阻碍原磁场的增强而方向向下,根据安培定则感应电流方向如图中E的方向所示,选项A正确,选项B错误。
同理,当向下的磁场减弱时,也会得到如图中E 的方向,选项C正确,选项D错误。
5.下列关于电磁波的说法正确的是()A.电磁波必须依靠介质传播B.电磁波可以发生衍射现象C.电磁波不会发生偏振现象D.电磁波与机械波本质上是一致的,可以发生衍射、偏振现象,电磁波的传播不需要介质,与机械波的本质是不同的。
6.(多选)下列关于电磁波的说法正确的是()A.只要电场或磁场发生变化,就能产生电磁波B.电磁波传播需要介质C.赫兹用实验证实了电磁波的存在D.电磁波具有能量,电磁波的传播是伴随有能量向外传递的(或磁场)是均匀变化的,产生的磁场(或电场)是稳定的,就不能再产生新的电场(或磁场),也就不能产生电磁波;电磁波不同于机械波,它的传播不需要介质;赫兹用实验证实了电磁波的存在;电磁波具有能量,它的传播是伴随有能量传递的。
1. 写出非限定情况下麦克斯韦方程组的微分形式,并简要说明其物理意义。
2.答非限定情况下麦克斯韦方程组的微分形式为,,0,D B H J E B D t tρ∂∂∇⨯=+∇⨯=-∇⋅=∇⋅=∂∂,(3分)(表明了电磁场和它们的源之间的全部关系除了真实电流外,变化的电场(位移电流)也是磁场的源;除电荷外,变化的磁场也是电场的源。
1. 写出时变电磁场在1为理想导体与2为理想介质分界面时的边界条件。
2. 时变场的一般边界条件 2n D σ=、20t E =、2t s H J =、20n B =。
(或矢量式2n D σ=、20n E ⨯=、2s n H J ⨯=、20n B =)1. 写出矢量位、动态矢量位与动态标量位的表达式,并简要说明库仑规范与洛仑兹规范的意义。
2. 答矢量位,0B A A =∇⨯∇⋅=;动态矢量位A E t ϕ∂=-∇-∂或AE tϕ∂+=-∇∂。
库仑规范与洛仑兹规范的作用都是限制A 的散度,从而使A 的取值具有唯一性;库仑规范用在静态场,洛仑兹规范用在时变场。
1. 简述穿过闭合曲面的通量及其物理定义 2.sA ds φ=⋅⎰⎰ 是矢量A 穿过闭合曲面S 的通量或发散量。
若Ф> 0,流出S 面的通量大于流入的通量,即通量由S 面内向外扩散,说明S 面内有正源若Ф< 0,则流入S 面的通量大于流出的通量,即通量向S 面内汇集,说明S 面内有负源。
若Ф=0,则流入S 面的通量等于流出的通量,说明S 面内无源。
1. 证明位置矢量x y z r e x e y e z =++ 的散度,并由此说明矢量场的散度与坐标的选择无关。
2. 证明在直角坐标系里计算 ,则有()()xy z x y z r r e e e e x e y e z x y z ⎛⎫∂∂∂∇⋅=++⋅++ ⎪∂∂∂⎝⎭3x y z x y z∂∂∂=++=∂∂∂ 若在球坐标系里计算,则 232211()()()3r r r r r r r r r∂∂∇⋅===∂∂由此说明了矢量场的散度与坐标的选择无关。
第一章习题解答【习题1.1解】222222222222222222222222222222222222cos cos cos cos cos cos 1xx x y z yx y z z x y z x y z x y z x y z x y z x y z x y z 矢径r 与轴正向的夹角为,则同理,矢径r 与y 轴正向的夹角为,则矢径r 与z 轴正向的夹角为,则可得从而得证a a b b g g a b g =++=++=++++=++++++++++==++【习题1.2解】924331329(243)54(9)(243)236335x y z x y z x y z x y z x y z x y z x y z x y z A B e e e e e e e e e A B e e e e e e e e e A B e e e e e e A B +=--+-+=-+=----+=---∙=--∙-+=+-=⨯()()-()(9)(243)19124331514x y z x y z x y z x y ze e e e e e e e e e e e =--⨯-+=---=--+【习题1.3解】已知,38,x y z x y z A e be ce B e e e =++=-++ (1)要使A B ⊥,则须散度 0A B =所以从 1380A B b c =-++=可得:381b c += 即只要满足3b+8c=1就可以使向量和向量垂直。
(2)要使A B ,则须旋度 0A B ⨯= 所以从1(83)(8)(3)0138xy zx y z e e e A B b c b c e c e b e ⨯==--+++=- 可得 b=-3,c=-8 【习题1.4解】已知129x y z A e e e =++,x y B ae be =+,因为B A ⊥,所以应有0A B ∙= 即()()1291290xy z x y ee e ae be a b ++∙+=+= ⑴又因为 1B =; 所以221a b +=; ⑵由⑴,⑵ 解得 34,55a b =±=【习题1.5解】由矢量积运算规则123233112()()()x y zx y z x x y y z ze e e A Ca a a a z a y e a x a z e a y a x e xyzB e B e B e B =?=-+-+-=++取一线元:x y z dl e dx e dy e dz =++则有xy z xyz e e e dlB B B dx dy dzB ?=则矢量线所满足的微分方程为 x y zd x d y d z B B B == 或写成233112()dx dy dzk a z a y a x a z a y a x==---=常数 求解上面三个微分方程:可以直接求解方程,也可以采用下列方法k xa a y a a z a d z a a x a a y a d y a a z a a x a d =-=-=-323132132231211)()()( (1)k x a y a z zdzz a x a y ydy y a z a x xdx =-=-=-)()()(211332 (2)由(1)(2)式可得)()(31211y a a x a a k x a d -=)()(21322z a a x a a k y a d -= (3) )()(32313x a a y a a k z a d -= )(32xy a xz a k xdx -=)(13yz a xy a k ydy -= (4))(21xz a yz a k zdz -=对(3)(4)分别求和0)()()(321=++z a d y a d x a d 0)(321=++z a y a x a d0=++zdz ydy xdx 0)(222=++z y x d所以矢量线方程为1321k z a y a x a =++ 2222k z y x =++【习题1.6解】已知矢量场222()()(2)x y z A axz x e by xy e z z cxz xyz e =++++-+- 若 A 是一个无源场 ,则应有 div A =0即: div A =0y x zA A A A x y z∂∂∂∇⋅=++=∂∂∂ 因为 2x A axz x =+ 2y A by xy =+ 22z A z z cxz xyz =-+- 所以有div A =az+2x+b+2xy+1-2z+cx-2xy =x(2+c)+z(a-2)+b+1=0 得 a=2, b= -1, c= - 2 【习题1.7解】设矢径 r 的方向与柱面垂直,并且矢径 r到柱面的距离相等(r =a )所以,2sssr ds rds a ds a ah πΦ===⎰⎰⎰=22a h π=【习题1.8解】已知23x y φ=,223yz A x yze xy e =+ 而 A A A A rot⨯∇+⨯∇=⨯∇=φφφφ)()(2222(6)3203xy zx y ze e e A xy x y e y e xyze x y z x yz xy ∂∂∂∇⨯==--+∂∂∂ 2223[(6)32]x y z A x y xy x y e y e xyze φ∴∇⨯=--+又y x z y xe x e xy ze y e x e 236+=∂∂+∂∂+∂∂=∇φφφφ 232233222630918603xy z x y z e e e A xyx x y e x y e x y ze x yz xy φ∇⨯==-+所以222()3[(6)32]x y z rot A A A x y xy x y e y e xyze φφφ=∇⨯+∇⨯=--+ +z y x e z y x e y x e y x 2332236189+-=]49)9[(3222z y x e xz e y e x x y x+--【习题1.9解】已知 222(2)(2)(22)x y zA y x z e x y z e x z y z e =++-+-+ 所以()()1144(22)0xyzyy x x z z x y z x yzx y z A A A A A A rot A A x y z y z z x x y A A A xz xz y y e e ee e e e e e ∂∂⎛⎫⎛⎫∂∂∂∂∂∂∂⎛⎫=∇⨯==-+-+- ⎪ ⎪ ⎪∂∂∂∂∂∂∂∂∂⎝⎭⎝⎭⎝⎭-++-+-=由于场A 的旋度处处等于0,所以矢量场A 为无旋场。
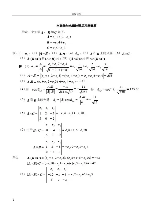
电磁场与电磁波课后习题解答给定三个矢量A 、B 和C 如下: 23x y z =+-A e e e4y z =-+B e e52x z =-C e e求:(1)A a ;(2)-A B ;(3)A B ;(4)AB θ;(5)A 在B 上的分量;(6)⨯A C ;(7)()⨯A B C 和()⨯A B C ;(8)()⨯⨯A B C 和()⨯⨯A B C 。
解 (1)2222314141412(3)A x y z+-===-++-e e e A a e e e A (2)-=A B (23)(4)x y z y z +---+=e e e e e 6453x y z +-=e e e (3)=A B (23)x y z +-e e e (4)y z -+=e e -11(4)由 cos AB θ=1417238==⨯A B A B ,得 1cos AB θ-=(135.5238= (5)A 在B 上的分量 B A =A cos AB θ=17=-A B B (6)⨯=A C 123502xy z-=-e e e 41310x y z ---e e e (7)由于⨯=B C 041502x yz-=-e e e 8520x y z ++e e e ⨯=A B 123041xyz-=-e e e 1014x y z ---e e e所以 ()⨯=A B C (23)x y z +-e e e (8520)42x y z ++=-e e e ()⨯=A B C (1014)x y z ---e e e (52)42x z -=-e e(8)()⨯⨯=A B C 1014502x y z---=-e e e 2405x y z -+e e e()⨯⨯=A B C 1238520x y z -=e e e 554411x y z --e e e三角形的三个顶点为1(0,1,2)P -、2(4,1,3)P -和3(6,2,5)P 。
电磁场与电磁波课后习题及答案14exeyez1,R23r3r22exey4ez8,R31r1r36exeyez3,由于R12R23411)21430,R 23R31214)61384,R31R12613)41136,故PP 2不是一直角三角形。
2)三角形的面积可以用矢量积求得:S12R12R23的模长,即S122411)214214613)411411613)21461332begin{n}1)三个顶点P、$P_2$(4,1,-3)和$P_3$(0,1,-2)的位置矢量分别为$r_1=e_y-e_z$,$r_2=e_x+4e_y-e_z$,$r_3=e_x+6e_y+2e_z$,则$R_{12}=r_2-r_1=4e_x+e_y+e_z$,$R_{23}=r_3-r_2=2e_x+e_y+4e_z$,$R_{31}=r_1-r_3=-6e_x+e_y-e_z$,由于$R_{12}\cdotR_{23}=(4+1+1)(2+1+4)=30$,$R_{23}\cdotR_{31}=(2+1+4)(6+1+3)=84$,$R_{31}\cdot R_{12}=(-6+1-3)(4+1+1)=-36$,故$\triangle PP_2P_3$不是一直角三角形。
2)三角形的面积可以用矢量积求得:$S=\frac{1}{2}|R_{12}\times R_{23}|$的模长,即$S=\frac{1}{2}\sqrt{(4+1+1)(2+1+4)(2+1+4)-(-6+1-3)(4+1+1)(4+1+1)-(-6+1-3)(2+1+4)(6+1+3)}=\frac{3\sqrt{2}}{2}$。
end{n}根据给定的矢量,计算得到:R_{12}=\sqrt{(e_x^4-e_z)(e_x^2+e_y+e_z/8)}$R_{23}=r_3-r_2=e_x^2+e_y+e_z/8-r_3$R_{31}=r_1-r_3=-e_x/6-e_y-e_z/7$由此可以得到,$\Delta P P$为一直角三角形,且$R_{12} \times R_{23}=17.13$。
西南大学网络与继续教育学院课程考试试题卷学期:2020年春季课程名称【编号】:电磁场与电磁波【1081】A卷一、分析题(共15分)1、阐述任意理想介质中均匀平面电磁波的传播特性,阐述斜入射的均匀平面波可以分解为哪两个正交的线极化波,以及矩形波导的传播特性参数有哪些?1任意理想介质中均匀平面电磁波的传播特性:a)均匀平面电磁波的电场强度矢量和磁场强度矢量均与传播方向垂直,没有传播方向的分量,即对于传播方向而言,电磁场只有横向分量,没有纵向分量。
这种电磁波称为横电磁波或称为TEM波。
(b)电场、磁场和传播方向互相垂直,且满足右手定则。
(c)电场和磁场相位相同,波阻抗为纯电阻性。
(d)复坡印廷矢量为:从而得坡印廷矢量的时间平均值为平均功率密度为常数,表明与传播方向垂直的所有平面上,每单位面积通过的平均功率都相同,电磁波在传播过程中没有能量损失(沿传播方向电磁波无衰减)。
(e) 任意时刻电场能量密度和磁场能量密度相等,各为总电磁能量的一半。
2斜入射的均匀平面波可以分解为哪两个正交的线极化波?斜入射的均匀平面波都可以分解为两个正交的线极化波:一个极化方向与入射面垂直,称为垂直极化波;另一个极化方向在入射面内,称为平行极化波。
3矩形波导的传播特性参数传播常数、截止频率、相速度、群速度、波导波长、波阻抗等。
二、解释题(共5分)1、库仑定律库仑定律可表述为:真空中任意两个静止点电荷和之间作用力的大小与两个电荷的电荷量成正比,与两个电荷距离的平方成反比;作用力的方向沿两个电荷的连线方向,同性电荷相斥,异性电荷相吸。
三、计算题(共4题,每题20分,共80分)1、(1) 给定矢量9x y z=--A e e e,243y z=-+xB e e e,求⋅A B,解:(2) 一个半径为a 的球体均匀分布着体电荷密度ρ(3C m )的电荷,球体内外介电常数均为0ε,求球体内外的电场强度及电位分布。
解:解:采用球坐标系分析本题(只涉及了一个变量半径r ,并未涉及其他角度变量)。
内外的电场强度及电位分布。
解:采用球坐标系分析本题(只涉及了一个变量半径r ,并未涉及其他角度变量)。
在r<a 的区域,高斯面是一个与这个球体相同球心,以r 为半径的球面,所包围的电荷是34
3
r πρ ,因此
22
30
4443i
i r r i S d r E r E r ρπππε===⎰E S e e (r e 表示方向沿径向向外,下面省略了中间过程)
所以
3i r
ρε=r E e (V m )
在r>a 的区域,高斯面是一个与这个球体相同球心,以r 为半径的球面,所包围的电荷是34
3
a πρ ,
2
30
443o r E a ρ
ππε=
3
203o a r
ρε=r
E e (V m ) 求解电势:由于电荷分布在有限区域,可选无穷远点为参考点。
则 在r<a 时
22
00
(V)
26a i i o r
r
a
a r dr E dr E dr ρρϕεε∞∞
=⋅=+=-⎰⎰⎰
E
在r>a 时
3
0(V)
3o o r
a dr r ρϕε∞
=⋅=⎰
E
8、单匝矩形线圈置于时变场0sin y B t ω=B e 中,如图所示。
初始时刻,线圈平面的法向单位矢量n 与y 轴成0α角。
求:
a) 线圈静止时的感应电动势;
b) 线圈以速度ω绕x 轴旋转时的感应电动势。
答:
a) 线圈静止时,穿过线圈的磁通为
()()000sin sin cos y S
d t ab B ab t B Φωωα⋅⋅===⎰B S
e n
由式(2.59),故感应电动势为
()0
0cos cos d abB t dt Φωωα
ε=-=-
b) 线圈以角速度ω绕x 轴旋转时,法向单位矢量n 的方向随时间变化。
在t 时刻,n 与y 轴的夹
角0t ααω=+,所以
()()()000sin sin cos y S
d B t ab B ab t t Φωωαω⋅⋅===+⎰B S
e n
故感应电动势为
()0
cos 2d abB t dt Φωα
ωε=-=-+
9、一个半径为a 的导体球的电位为U ,设无穷远处为零电位。
求球内、外的电位分布。
解:导体球是等位体,所以球内各点的电位均为U 。
球外的电位满足拉普拉斯方程
两次积分,通解为
根据边界条件求常数,边界条件如下。
(1)r=a 时=U. (2) r
由上述边界条件,确定常数为:A=-aU,B=0,代入通解得
\ 10、半径为a的无限长直导线通有电流I,试计算导体内外的磁场强度。
解:在
H=
在
H=。