必修五不等式单元测试题
- 格式:doc
- 大小:156.95 KB
- 文档页数:7
数学必修五基本不等式测试卷学校:__________ 班级:__________ 姓名:__________ 考号:__________ 一、选择题(本题共计 12 小题,每题 5 分,共计60分,)1. 若a<0,−1<b<0,则有()A.a>ab>ab2B.ab2>ab>aC.ab>a>ab2D.ab>ab2>a2. 已知奇函数f(x)在(0, +∞)上的图象如图所示,则不等式f(x)x−1<0的解集为( )A.(−3, −1)∪(0, 1)∪(1, 3)B.(−3, −1)∪(0, 1)∪(3, +∞)C.(−∞, −3)∪(−1, 0)∪(3, +∞)D.(−∞, −3)∪(−1, 0)∪(0, 1)3. 不等式1x <12的解集是( )A.(2, +∞)B.(−∞,2)C.(0,2)D.(−∞, 0)∪(2, +∞)4. 不等式x−2x−1≥0的解集是()A.[2, +∞)B.(−∞, 1]∪(2, +∞)C.(−∞, 1)D.(−∞, 1)∪[2, +∞)5. 若两个正实数x,y满足13x +3y=1,且不等式x+y4−n2−13n12<0有解,则实数n的取值范围是()A.(−2512,1) B.(−∞,−2512)∪(1,+∞)6. 已知a >−3,b >−4,(a +3)(b +4)=25,则a +b 的最小值是( ) A.2 B.3 C.5 D.107. 下列命题中的真命题是( ) A.若a >b >0,a >c ,则a 2>bc B.若a >b >c ,则a c >bc C.若a >b ,n ∈N ∗,则a n >b n D.若a >b >0,则1na <1nb8. 设a ,b ,c 大于0,则3个数a +1b ,b +1c ,c +1a 的值( ) A.都大于2 B.至少有一个不大于2 C.都小于2 D.至少有一个不小于29. 不等式10x+5(x−1)2≥100的解集是( )A.[−3,12] B.[−12,3] C.[12,1)∪(1,3]D.[−12,1)∪(1,3]10. 已知 x >0,y >0,x +2y =1,x 2+y xy内最小值是( ) A.3−2√2 B.2√2+1C.√2−1D.√2+111. 设正实数x ,y ,z 满足x 2−7xy +16y 2−z =0,则当zxy 取得最小值时,x +2y −z的最大值为( ) A.0 B.98C.94D.212. 若关于x 的不等式ax −2>0的解集是(2,+∞),则关于x 的不等式ax−1x+2≥0的解集是( )C. (−∞,−2)∪[1,+∞)D. (−∞,−2]∪[1,+∞)二、填空题(本题共计 4 小题,每题 5 分,共计20分,)13. 不等式x2x−1<0的解为________<12.14. 已知正数x,y满足x2+2xy+4y2=1,则x+y的取值范围是________.15. 已知不等式x+2ax+1<0的解集为(−2,−1),则a=________.16. 函数y=log2x+4log2x(x∈[2,4])的最大值是________.三、解答题(本题共计 6 小题,共计70分,)17. (10分)已知两个正数a,b满足a+2b=1,求1a +2b的最小值.18.(12分) 已知过原点O作函数f(x)=e x(x2−x+a)的切线恰好有三条,切点分别为(x1, y1),(x2, y2),(x3, y3),且x1<x2<x3.(1)求实数a的取值范围.(2)求证:x1<−3.19.(12分) 求满足下列条件的实数x的范围:(1)2x>8;(2)3x<127;(3)(12)x>√2.20. (12分)某公司建造一间背面靠墙的房屋,地面面积为36m2,房屋正面每平方米的造价为1200元,房屋侧面每平方米的造价为800元,屋顶的造价为6000元,如果墙高为3m,且不计房屋背面和地面的费用,那么怎样设计房屋能使总造价最低?最低总>0.21. (12分)设a>−1,解关于x的不等式x2−x−2ax−122. (12分)党的十九大报告指出,建设生态文明是中华民族持续发展的千年大计.而清洁能源的广泛使用将为生态文明建设提供更有力的支撑.沼气作为取之不尽、用之不竭的生物清洁能源.在保护绿水青山方面具有独特功效.通过办沼气带来的农村“厕所革命”,对改善农村人居环境等方面,起到立竿见影的效果.为了积极响应国家推行的“厕所革命”.某农户准备用一万元建造一个深为3米,容积为48立方米的长方体沼气池,如果池底每平万米的造价为150元,池壁每平方米的造价为120元,沼气池盖子的造价为1000元.问怎样设计沼气池能使总造价最低?最低总造价超出该农户的预算吗?参考答案与试题解析 数学必修五基本不等式测试卷一、 选择题 (本题共计 12 小题 ,每题 5 分 ,共计60分 ) 1.【答案】 D【考点】 基本不等式 【解析】 此题暂无解析 【解答】∵ a <0,−1<b <0, ∴ ab >0,ab 2<0. ∴ ab >a ,ab >ab 2.∵ a −ab 2=a (1−b 2)=a (1+b )(1−b )<0, ∴ a <ab 2.∴ a <ab 2<ab . 2.【答案】 A【考点】 不等式的综合 【解析】由f(x)是奇函数得函数图象关于原点对称,可画出y 轴左侧的图象,利用两因式异号相乘得负,得出f(x)的正负,由图象可求出x 的范围得结果. 【解答】解:不等式f(x)x−1<0转化为(x −1)f(x)<0, 则{x −1>0f(x)<0,或{x −1<0f(x)>0,∴ 1<x <3,0<x <1,或−3<x <−1,∴ 不等式f(x)x−1<0的解集为(−3, −1)∪(0, 1)∪(1, 3), 故选A . 3.【答案】 D【考点】其他不等式的解法 【解析】将不等式1x ≤12转化为x−22x ≥0⇔{x −2≥0x >0或{x −2≤0x <0,从而可得答案.【解答】∴ 1x−12=2−x 2x<0,∴ x−22x >0,∴ {x −2>0,x >0,或{x −2<0,x <0,解得:x >2或x <0,∴ 不等式1x <12的解集是:(−∞, 0)∪(2, +∞). 故选D .4.【答案】 D【考点】其他不等式的解法 【解析】直接转化分式不等式为二次不等式组,然后求解即可. 【解答】 解:因为不等式x−2x−1≥0的解集,等价于{(x −1)(x −2)≥0x −1≠0, 解得x <1或x ≥2.所以不等式的解集为:(−∞, 1)∪[2, +∞). 故选D . 5.【答案】 B【考点】基本不等式在最值问题中的应用 基本不等式 【解析】 此题暂无解析 【解答】解:因为不等式x +y4−n 2−13n 12<0有解,所以(x +y4)min<n 2+13n 12.因为x >0,y >0,且13x +3y =1,所以x +y4=(x +y4)(13x +3y )=1312+3x y+y12x ≥1312+2√3xy ⋅y12x =2512,当且仅当3x y=y 12x 时取等号,所以(x +y4)min=2512.故n 2+13n 12−2512>0,解得n <−2512或n >1,所以实数n 的取值范围是(−∞,−2512)∪(1,+∞). 故选B .6. 【答案】基本不等式在最值问题中的应用基本不等式【解析】此题暂无解析【解答】解:由a>−3,b>−4,可得a+3>0,b+4>0,则a+b=(a+3)+(b+4)−7≥2√(a+3)(b+4)−7=3,当且仅当a+3=b+4=5,即a=2,b=1时取等号.故选B.7.【答案】A【考点】命题的真假判断与应用不等式的综合【解析】A不等式两边同乘以一个正数,不等号的方向不变,所以A是正确的;B当不等式两边同乘以一个负数时,不等号的方向要改变,这里c题目中没指出是正数、负数带是0,所以B是错误的;C没有考虑到,不等式性质成立的条件,a>b>0,所以C是错误的;D因为f(x)=ln x在定义域内是增函数,所以D是错误的.【解答】解:A、∵a>c且b>0,∴ab>bc,又∵a>b且a>0,∴a2>ab,∴a2>bc,A正确;B、∵a>b,当c>0时,有ac >bc,当c<0时,有ac<bc,B错误;C、取a=2,b=−2,n=2时有,22=(−2)2,∴a n>b n不对;当a>b>0,n∈N∗,有a n>b n,C错误;D、∵f(x)=ln x是增函数,∴当a>b>0,有1na>1nb,D错误.故选:A.8.【答案】D【考点】基本不等式在最值问题中的应用【解析】假设3个数a+1b <2,b+1c<2,c+1a<2,则a+1b+b+1c+c+1a<6,又利用基本不等式可得a+1b +b+1c+c+1a≥6,这与假设所得结论矛盾,故假设不成立.从而得出正确选项.解:假设3个数a+1b <2,b+1c<2,c+1a<2,则a+1b +b+1c+c+1a<6,利用基本不等式可得a+1b +b+1c+c+1a=b+1b +c+1c+a+1a≥2+2+2=6,这与假设所得结论矛盾,故假设不成立,所以3个数a+1b ,b+1c,c+1a中至少有一个不小于2.故选D.9.【答案】D【考点】指、对数不等式的解法【解析】根据指数函数的单调性和特殊点,原不等式即x+5(x−1)2≥2,即2x2−5x−3≤0且x≠1,由此求得不等式的解集.【解答】解:由不等式10x+5(x−1)2≥100可得x+5(x−1)2≥2,即2x2−5x−3≤0且x≠1,解得−12≤x<1,或1<x≤3,故选D.10.【答案】B【考点】基本不等式在最值问题中的应用【解析】本题考查利用基本不等式求最值,依题意x 2+yxy可化成xy+2yx+1,由基本不等式求解即可.【解答】解:∵ x>0,x+2y=1,∴x2+yxy=xy+1x=xy+x+2yx=xy +2yx+1≥2√xy⋅2yx+1=2√2+1,当xy =2yx时取等号.∴x2+yxy的最小值为2√2+1.C【考点】基本不等式在最值问题中的应用 【解析】将z =x 2−7xy +16y 2代入zxy ,利用基本不等式化简,即可得到当zxy 取得最小值时的条件,用x ,z 表示y 后利用配方法求得x +2y −z 的最大值. 【解答】解:∵ x 2−7xy +16y 2−z =0,∴ z =x 2−7xy +16y 2,又x ,y ,z 为正实数, ∴z xy=x y+16y x−7≥2√x y⋅16y x−7=1(当且仅当x =4y 时取“=”),即x =4y(y >0),∴ x +2y −z =4y +2y −(x 2−7xy +16y 2) =6y −4y 2=−4(y −34)2+94≤94.∴ x +2y −z 的最大值为94. 故选C . 12.【答案】 C【考点】其他不等式的解法 【解析】 此题暂无解析 【解答】 此题暂无解答二、 填空题 (本题共计 4 小题 ,每题 5 分 ,共计20分 )13.【答案】 0<x 【考点】其他不等式的解法 【解析】根据两数相除商为负,得到x 与2x −1异号,将原不等式化为两个一元一次不等式组,求出不等式组的解集即可得到原不等式的解集. 【解答】原不等式化为{x >02x −1<0 或{x <02x −1>0 ,解得:0<x <12, 14.不等式性质的应用不等式的综合【解析】由题意可得x2+2xy+y2=1−3y2<1,即(x+y)2<1,解关于x+y的不等式可得.【解答】解:∵正数x,y满足x2+2xy+4y2=1,∴x2+2xy+y2=1−3y2<1,即(x+y)2<1,解得−1<x+y<1,结合x,y为正数可得x+y>0,故x+y的取值范围为(0, 1).故答案为:(0, 1).15.【答案】1【考点】其他不等式的解法【解析】此题暂无解析【解答】解:原不等式等价于(x+2)(ax+1)<0,∵不等式的解集为(−2,−1),∴−2,−1是方程(x+2)(ax+1)=0的根.将x=−1代入得a=1.故答案为:1.16.【答案】5【考点】基本不等式【解析】x,依题意,1≤t≤2,利用双钩函数的单调性质即可求得答案.令t=log2【解答】解:∵2≤x≤4,∴1≤logx≤2,2x,(1≤t≤2),令t=log2(1≤t≤2),则y=t+4t在[1, 2]上单调递减,由双钩函数的性质得:y=t+4t∴当t=1时,y max=5.故答案为:5.三、解答题(本题共计 6 小题,共计70分)17.【答案】解:因为a,b为正数,且a+2b=1,=1+2b a+2a b+4≥5+2√2b a⋅2a b=9,当且仅当2ba=2a b,即a =b =13时,等号成立,故1a+2b的最小值为9.【考点】基本不等式在最值问题中的应用 【解析】根据题意,得到1a +2b =(1a +2b )(a +2b)=5+2b a+2a b,由基本不等式,即可求出结果.【解答】解:因为a ,b 为正数,且a +2b =1, 所以1a +2b =(1a +2b )(a +2b) =1+2b a +2a b+4≥5+2√2b a ⋅2a b=9,当且仅当2ba =2ab,即a =b =13时,等号成立, 故1a +2b 的最小值为9. 18.【答案】解:(1)f′(x)=e x (x 2+x +a −1),设切点为(x 0, y 0),则切线方程为:y −e x 0(x 02−x 0+a)=e x 0(x 02+x 0+a −1)(x −x 0),代入(0, 0)得x 03+ax 0−a =0,由题意知满足条件的切线恰有三条, 则方程x 3+ax −a =0有三个不同的解. 令g(x)=x 3+ax −a ,g′(x)=3x 2+a .当a ≥0时,g′(x)≥0,g(x)是(−∞, +∞)上增函数,则方程x 3+ax −a =0有唯一解. 当a <0时,由g′(x)=0得x =±√−a3,g(x)在(−∞,−√−a3)和(√−a3,+∞)上是增函数,在(−√−a3,√−a3)上是减函数要使方程x 3+ax −a =0有三个不同的根, 只需{ g(−√−a3)>0g(√−a 3)<0.{ (−√−a3)3−a(√−a3)−a >0(√−a 3)3+a √−a 3−a <0.解得a <−274.(2)∵ g(x)=x 3+ax −a ,x →∞g(x)→∞g(−√−a3)>0, 由函数连续性知−∞<x 1<−√−a3,∵ a <−274,∴ g(−3)=−27−4a >0,且−3<−√−a3,∴ x 1<−3. 【考点】利用导数研究曲线上某点切线方程 不等式的综合【解析】(1)设切点为(x 0, y 0),根据导数的几何意义求出函数f(x)在x =x 0处的导数,从而求出切线的斜率,即可表示出切线方程,然后减(0, 0)代入得x 03+ax 0−a =0,根据切线恰有三条,转化成方程x 3+ax −a =0有三个不同的解,最后利用导数研究即可; (2)根据g(x)=x 3+ax −a ,x →−∞,g(x)→−∞,g(−√−a3)>0,根据函数连续性知−∞<x 1<−√−a3,根据a 的范围可知g(−3)=−27−4a >0,即可求出x 1的范围. 【解答】 解:(1)f′(x)=e x (x 2+x +a −1),设切点为(x 0, y 0),则切线方程为:y −e x 0(x 02−x 0+a)=e x 0(x 02+x 0+a −1)(x −x 0),代入(0, 0)得x 03+ax 0−a =0,由题意知满足条件的切线恰有三条, 则方程x 3+ax −a =0有三个不同的解. 令g(x)=x 3+ax −a ,g′(x)=3x 2+a .当a ≥0时,g′(x)≥0,g(x)是(−∞, +∞)上增函数,则方程x 3+ax −a =0有唯一解. 当a <0时,由g′(x)=0得x =±√−a3,g(x)在(−∞,−√−a3)和(√−a3,+∞)上是增函数,在(−√−a3,√−a3)上是减函数要使方程x 3+ax −a =0有三个不同的根, 只需{ g(−√−a3)>0g(√−a 3)<0.{ (−√−a3)3−a(√−a3)−a >0(√−a 3)3+a √−a 3−a <0.解得a <−274.(2)∵ g(x)=x 3+ax −a ,x →∞g(x)→∞g(−√−a3)>0,由函数连续性知−∞<x 1<−√−a3, ∵ a <−274,∴ g(−3)=−27−4a >0, 且−3<−√−a 3,∴ x 1<−3. 19.解:(1)∵ 2x >8=23,且函数y =2x 在R 上是单调增函数, ∴ x >3.故x 的取值范围为{x|x >3}. (2)∵ 3x <127=3−3,且函数y =3x 在R 上是单调增函数,∴ x <−3.故x 的取值范围为{x|x <−3}. (3)∵(12)x>√2=212=(12)−12,且函数y =(12)x 在R 上是单调减函数,∴ x <−12.故x 的取值范围为{x|x <−12}.【考点】指、对数不等式的解法 【解析】(1)由题意,考查函数y =2x 在R 上的单调性,可得x 的取值范围; (2)考查函数y =3x 在R 上的单调性,结合不等式,可得x 的取值范围; (3)由题意,考查函数y =(12)x 在R 上的单调性,可得x 的取值范围. 【解答】 解:(1)∵ 2x >8=23,且函数y =2x 在R 上是单调增函数, ∴ x >3.故x 的取值范围为{x|x >3}. (2)∵ 3x <127=3−3,且函数y =3x 在R 上是单调增函数,∴ x <−3.故x 的取值范围为{x|x <−3}. (3)∵(12)x >√2=212=(12)−12,且函数y=(12)x 在R 上是单调减函数,∴ x <−12.故x 的取值范围为{x|x <−12}. 20.【答案】解:设房屋正面和侧面的长分别为xm ,ym ,则xy =36,房屋总造价为z 元. 则z =1200×3x +800×3y ×2+6000 =1200(3x +4y)+6000≥1200×2√3x ⋅4y +6000 =28800√3+6000≈55881.6.当且仅当3x =4y =12√3时,等号成立.故房屋正面长4√3m ,侧面长3√3m 时造价最低,最低约为55881.6元. 【考点】基本不等式在最值问题中的应用 基本不等式此题暂无解析【解答】解:设房屋正面和侧面的长分别为xm,ym,则xy=36,房屋总造价为z元.则z=1200×3x+800×3y×2+6000=1200(3x+4y)+6000≥1200×2√3x⋅4y+6000=28800√3+6000≈55881.6.当且仅当3x=4y=12√3时,等号成立.故房屋正面长4√3m,侧面长3√3m时造价最低,最低约为55881.6元.21.【答案】解:不等式即:(x+1)(x−2)ax−1>0,可转化为高次不等式:(ax−1)(x+1)(x−2)>0,由a>−1可得1a∈(0,+∞)∪(−∞,−1),分类讨论有:当1a<−1,−1<a<0时,不等式即:(−ax+1)(x+1)(x−2)<0,其解集为:(−∞,1a)∪(−1,2);当a=0时,不等式的解集为:−1<x<2;当0<1a <2,a>12时,不等式的解集为:(−1,1a)∪(2,+∞);当1a =2,a=12时,不等式的解集为:(−1, 2)∪(2, +∞);当1a >2,0<a<12时,不等式的解集为:(−1,2)∪(1a,+∞).【考点】其他不等式的解法【解析】将分式不等式转化为高次不等式,然后分类讨论即可求得最终结果.【解答】解:不等式即:(x+1)(x−2)ax−1>0,可转化为高次不等式:(ax−1)(x+1)(x−2)>0,由a>−1可得1a∈(0,+∞)∪(−∞,−1),分类讨论有:当1a<−1,−1<a<0时,不等式即:(−ax+1)(x+1)(x−2)<0,其解集为:(−∞,1a)∪(−1,2);当a=0时,不等式的解集为:−1<x<2;当0<1a <2,a>12时,不等式的解集为:(−1,1a)∪(2,+∞);当1a =2,a=12时,不等式的解集为:(−1, 2)∪(2, +∞);当1a >2,0<a<12时,不等式的解集为:(−1,2)∪(1a,+∞).22.【答案】解:设沼气池的底面长为x米,沼气池的总造价为y元,因为沼气池的深为3米,容积为48立方米,所以底面积为16平方米,因为底面长为x米,所以底面的宽为16x米.依题意有y=1000+150×16+120×2(3x+3×16x)=3400+720(x+16x),因为x>0,由基本不等式可得:y=3400+720×(x+16 x )≥3400+720×2√x×16x,即y≥3400+720×2√16,所以y≥9160.当且仅当x=16x,即x=4时,等号成立,所以当沼气池的底面是边长为4米的正方形时,沼气池的总造价最低,最低总造价是9160元,最低的总造价没有超出该农户的预算.【考点】基本不等式在最值问题中的应用【解析】【解答】解:设沼气池的底面长为x米,沼气池的总造价为y元,因为沼气池的深为3米,容积为48立方米,所以底面积为16平方米,因为底面长为x米,所以底面的宽为16x米.依题意有y=1000+150×16+120×2(3x+3×16x)=3400+720(x+16x),因为x>0,由基本不等式可得:y=3400+720×(x+16 x )≥3400+720×2√x×16x,即y≥3400+720×2√16,所以y≥9160.当且仅当x=16x,即x=4时,等号成立,所以当沼气池的底面是边长为4米的正方形时,沼气池的总造价最低,最低总造价是9160元,最低的总造价没有超出该农户的预算.。
不等式必修5试题及答案一、选择题1. 若不等式\(ax^2 + bx + c > 0\)的解集为\((-1, 2)\),则a的值是:A. 1B. -1C. 0D. 2答案:B2. 已知\(x^2 - 5x + 6 < 0\),求x的取值范围。
A. \((-\infty, 2) \cup (3, +\infty)\)B. \((2, 3)\)C. \((-\infty, 1) \cup (4, +\infty)\)D. \((1, 4)\)答案:B二、填空题1. 已知\(\frac{1}{x} > 0\),则x的取值范围是________。
答案:\(x > 0\) 或 \(x < 0\)(x不能为0)2. 若不等式\(2x - 3 > 5\)的解集为\((4, +\infty)\),则x的取值范围是________。
答案:\(x > 4\)三、解答题1. 解不等式\(3x^2 - 5x - 2 < 0\)。
答案:首先,找到方程\(3x^2 - 5x - 2 = 0\)的根,通过求解得到\(x = \frac{5 \pm \sqrt{25 + 24}}{6} = \frac{5 \pm 7}{6}\),即\(x = 2\)和\(x = -\frac{1}{3}\)。
因此,不等式的解集为\((-\frac{1}{3}, 2)\)。
2. 已知\(a > 0\),\(b > 0\),且\(a + b = 2\),求\(\frac{1}{a} + \frac{1}{b}\)的最小值。
答案:利用基本不等式,我们有\(\frac{1}{a} + \frac{1}{b} =\frac{1}{2}(a + b)(\frac{1}{a} + \frac{1}{b}) = \frac{1}{2}(2 + \frac{b}{a} + \frac{a}{b})\)。
试卷第1页,总4页 不等式测试卷(各位同学,请自己安排2个小时考试,自己批阅统计好分数,在班级小程序拍照发给老师检查。
)一、选择题:本题共12小题,每小题5分,共60分。
在每小题给出的四个选项中,只有一项是符合题目要求的。
1.若0a b <<,则下列不等式不能成立的是( )A .11a b >B .11a b a >-C .|a|>|b|D .22a b >2.已知实数x ,y 满足41x y -≤-≤-,145x y -≤-≤,则9x y -的取值范围是( )A .[7,26]-B .[1,20]-C .[4,15]D .[1,15]3.关于x 的不等式22280x ax a --<(0a >)的解集为()12,x x ,且2115x x -=,则a = A .154 B .72 C .52 D .1524.设集合{}220A x x x =-->,{}2log 2B x x =≤,则集合()R C A B =I A .{}12x x -≤≤ B .{}02x x <≤ C .{}04x x <≤ D .{}14x x -≤≤ 5.若关于x 的不等式ax b 0->的解集是(),2∞--,则关于x 的不等式2ax bx 0+>的解集为( )A .()2,0-B .()(),02,∞∞-⋃+C .()0,2D .()(),20,∞∞--⋃+ 6.已知关于x 的不等式101ax x -<+的解集是11,2骣琪-琪桫,则a 的值为( ) A .2 B .2- C .12 D .12- 7.不等式20ax x c -+>的解集为}{|21x x -<<,函数2y ax x c =-+的图象大致为( ) A . B .。
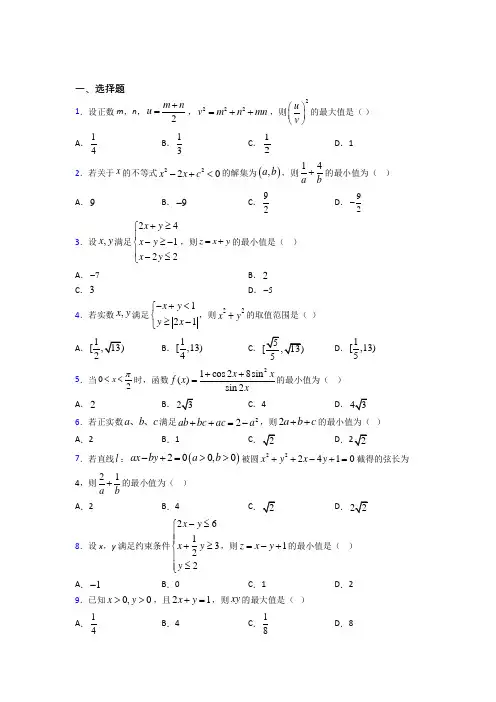
一、选择题1.设正数m ,n ,2m n u +=,222v m n mn =++,则2u v ⎛⎫ ⎪⎝⎭的最大值是( ) A .14B .13C .12D .12.设实数x ,y 满足约束条件21,22,x y x y -≤⎧⎨-≥⎩则x y +的最小值是( )A .2B .-2C .1D .-13.若x 、y 满足约束条件36022x y x y y +-≤⎧⎪+≥⎨⎪≤⎩,则22x y +的最小值为( )A .5B .4C .2D4.实数x ,y 满足线性约束条件424x y x y x +≥⎧⎪-≥⎨⎪≤⎩,则2z x y =-的最小值为( )A .2-B .1-C .0D .15.设x ,y 满足约束条件103030x y x y y -+≤⎧⎪-≥⎨⎪-≤⎩,则z x y =+的最小值为( )A .-1B .2C .4D .56.设x ,y 满足约束条件22032600,0x y x y x y -+≥⎧⎪--≤⎨⎪≥≥⎩,若目标函数()0,0z ax by a b =+>>的最大值为12,则22a b +的最小值为( ) A .254B .499C .14425D .225497.下列函数中最小值为4 的是( ) A .4y x x=+ B .4sin sin y x x=+(0πx << ) C .343xx y -=+⨯D .lg 4log 10x y x =+8.已知0,0x y >>,且21x y +=,则xy 的最大值是( ) A .14B .4C .18D .89.已知变量,x y 满足不等式组22003x y x y y +-≥⎧⎪-≤⎨⎪≤⎩,则2z x y =-的最大值为( )A .3-B .23-C .1D .210.若a ,b 是任意实数,且a >b ,则下列不等式成立的是( ) A .a 2>b 2B .1b a< C .lg(a -b )>0D .11()()33ab<11.设,,a b c ∈R ,且a b >,则( ) A .ac bc >B .11a b< C .22a b >D .33a b >12.已知实数x ,y 满足2402401x y x y y -+≥⎧⎪+-≤⎨⎪≥-⎩,则2x y +的最大值为( )A .2B .8C .11D .13二、填空题13.若,0x y >满足35x y xy +=,则34x y +的最小值是___________.14.已知实数,x y 满足约束条件1210320y x y x y c ≥⎧⎪-+≥⎨⎪+-≤⎩,若2z y x =-的最大值为11,则实数c的值为____.15.已知实数,x y 满足约束条件222,22x y x y x y -≤⎧⎪-≥-⎨⎪+≥⎩则2z x y =-的最大值为___.16.若不等式20++≥x mx m 在[1,2]x ∈上恒成立,则实数m 的最小值为________ 17.在△ABC 中,角A ,B ,C 所对的边分别为a ,b ,c ,且2c cosB =2a +b ,若△ABC 的面,则ab 的最小值为_______. 18.已知11()2x x f x e e a --=++只有一个零点,则a =____________.19.在平面四边形ABCD 中,已知ABC 的面积是ACD △的面积的3倍.若存在正实数x ,y 使得12(2)(1)AC AB AD x y=-+-成立,则x y +的最小值为___________. 20.已知函数245x y a +=-(0a >,且1a ≠)的图像横过定点P ,若点P 在直线20Ax By ++=上,且0AB >,则12A B+的最小值为_________.三、解答题21.2020年受疫情影响,全球经济均受到不同程度的冲击.为稳妥有序地推进复工复产,2月11日晚,郑州市相关政府部门印发了《郑州市关于应对新型冠状病毒肺炎疫情促进经济平稳健康发展的若干举措》的通知,并出台多条举措促进全市经济平稳健康发展.某工厂为拓宽市场,计划生产某种热销产品,经调查,该产品一旦投入市场就能全部售出.若不举行促销活动,该产品的年销售量为28万件,若举行促销活动,年销售量y (单位;万件)与年促销费用()0x x ≥(单位;万元)满足3010(ky k x =-+为常数).已知生产该产品的固定成本为80万元,每生产1万件该产品需要再投入生产成本160万元,厂家将每件产品的销售价格定为每件产品平均成本的1.5倍(产品成本包括固定成本和生产成本,不包括促销成本). (1)求k 的值,并写出该产品的利润L (单位:万元)与促销费用x (单位:万元)的函数关系﹔ (2)该工厂计划投入促销费用多少万元,才能获得最大利润? 22.解关于x 的不等式2(41)40ax a x -++>. 23.已知函数()243f x ax ax =--(1)当a=-1时,求不等式f(x)>0的解集;(2)若对于任意的x ∈R,均有不等式f(x)≤0成立,求实数a 的取值范围.24.已知实数x ,y 满足不等式组204030x y x y x -+≥⎧⎪+-≥⎨⎪-≤⎩,求目标函数23z x y =-的最值及相应的最优解.25.在等腰直角三角形ABC 中,AB =AC =3,点P 是边AB 上异于A ,B 的一点,光线从点P 出发,经BC ,CA 反射后又回到点P (如图),光线QR 经过ABC 的重心,若以点A 为坐标原点,射线AB ,AC 分别为x 轴正半轴,y 轴正半轴,建立平面直角坐标系.(1)AP 等于多少?(2)D (x ,y )是RPQ 内(不含边界)任意一点,求x ,y 所满足的不等式组,并求出D (x ,y )到直线2x +4y +1=0距离的取值范围.26.已知F 1,F 2是椭圆C :22221x y a b+=(a >b >0)的左、右焦点,过椭圆的上顶点的直线x +y =1被椭圆截得的弦的中点坐标为3144P ⎛⎫⎪⎝⎭,. (Ⅰ)求椭圆C 的方程;(Ⅱ)过F 1的直线l 交椭圆于A ,B 两点,当△ABF 2面积最大时,求直线l 的方程.【参考答案】***试卷处理标记,请不要删除一、选择题 1.B 解析:B 【分析】 化简22211()44u mn vm n mn=+⨯++,再结合基本不等式,即可求解. 【详解】由题意,正数m ,n ,2m nu +=,222v m n mn =++, 则2222222222()12112()444m n u m n mn mn v m n mn m n mn m n mn+++===+⨯++++++ 2111111111444444213()11mnm m m n n n n m=+⨯=+⨯≤+⨯=+++++, 当且仅当m n n m =时,即m n =时,等号成立,所以2u v ⎛⎫ ⎪⎝⎭的最大值是为13.故选:B . 【点睛】利用基本不等式求最值时,要注意其满足的三个条件:“一正、二定、三相等”: (1)“一正”:就是各项必须为正数;(2)“二定”:就是要求和的最小值,必须把构成和的二项之积转化成定值;要求积的最大值,则必须把构成积的因式的和转化成定值;(3)“三相等”:利用基本不等式求最值时,必须验证等号成立的条件,若不能取等号则这个定值就不是所求的最值,这也是最容易发生错误的地方.2.C解析:C 【分析】先作出约束条件对应的可行域,然后分析目标函数的几何意义,结合图形即可求解. 【详解】作出约束条件2122x y x y -≤⎧⎨-≥⎩所表示的平面区域如图所示:移动直线x y z +=,可知当其过点A 时取得最小值,解方程组2122x y x y -≤⎧⎨-≥⎩,求得1x y =⎧⎨=⎩,即(1,0)A ,代入求得101=+=z ,所以x y +的最小值是1, 故选:C. 【点睛】方法点睛:该题考查的是有关线性规划的问题,解题方法如下: (1)根据题中所给的约束条件画出可行域; (2)根据目标函数的意义找到最优解; (3)解方程组求得最优解的坐标; (4)代入求得最小值,得到结果.3.C解析:C 【分析】由不等式组作出可行域,如图,目标函数22xy +可视为可行域中的点与原点距离的平方,故其最小值应为原点到直线2x y +=的距离平方,根据点到直线的距离公式可得选项. 【详解】由不等式组做出可行域如图,目标函数22xy +可视为可行域内的点与原点距离的平方,故其最小值为原点到直线2x y +=的距离的平方,由点到直线的距离公式可知,原点到直线2x y +=的距离为22d ==小值为2. 故选:C.【点睛】本题主要考查线性规划问题,首先由不等式组作出相应的可行域,作图时,可将不等式0Ax By C++≥转化为y kx b≤+(或y kx b≥+),明确可行域对应的是封闭区域还是开放区域、分界线是实线还是虚线,其次确定目标函数的几何意义,是求直线的截距、两点间距离的平方、直线的斜率、还是点到直线的距离等等,最后结合图形确定目标函数最值取法、值域范围.4.C解析:C【分析】作出约束条件的可行域,将目标函数转化为122zy x=-,利用线性规划即可求解.【详解】解:由2z x y=-得122zy x=-,作出x,y满足约束条件424x yx yx+≥⎧⎪-≥⎨⎪≤⎩对应的平面区域如图(阴影部分ABC):平移直线122zy x=-,由图象可知当直线122zy x=-过点C时,直线122zy x=-的截距最大,此时z最小,420xx y=⎧⎨--=⎩,解得()4,2A.代入目标函数2z x y=-,得4220z =-⨯=,∴目标函数2z x y =-的最小值是0. 故选:C . 【点睛】本题考查简单的线性规划,解题的关键是作出约束条件的可行域,属于中档题.5.B解析:B 【分析】由约束条件作出可行域,化目标函数为直线方程的斜截式,数形结合得到最优解,把最优解的坐标代入目标函数得答案. 【详解】解:由约束条件103030x y x y y -+⎧⎪-⎨⎪-⎩作出可行域如图,化目标函数z x y =+为y x z =-+,由图可知,当直线y x z =-+过点A 时, 直线在y 轴上的截距最小,z 有最小值.联立1030x y x y -+=⎧⎨-=⎩,解得1(2A ,3)2.z ∴的最小值为13222+=.故选:B . 【点睛】本题考查简单的线性规划,考查数形结合的解题思想方法,属于中档题.6.C解析:C 【分析】根据z 的最大值求得,a b 的关系式,结合点到直线的距离公式,求得22a b +的最小值. 【详解】由2203260x y x y -+=⎧⎨--=⎩解得43x y =⎧⎨=⎩.画出可行域如下图所示,由于0,0a b >>,所以目标函数()0,0z ax by a b =+>>在点()4,3取得最大值4312a b +=.22a b +的最小值等价于原点到直线43120x y +-=的距离的平方,原点到直线43120x y +-=的距离为221212534-=+, 所以22a b +的最小值为212144525⎛⎫= ⎪⎝⎭.故选:C【点睛】本小题主要考查根据线性规划的最值求参数,考查数形结合的数学思想方法,属于中档题.7.C解析:C 【解析】 A. 4y x x=+,定义域为()(),00,-∞⋃+∞,故A 的最小值不为4; B .令2440110sinx t y t y tt(,),,<,=∈∴=+'=- 因此函数单调递减,5y ∴>,不成立.C .244x x y e e -≥⋅=, 当且仅当0x =时取等号,成立.D .01x ∈(,)时,330x log x log ,<, 不成立. 故选C .8.C解析:C【分析】根据基本不等式求解即可得到所求最大值. 【详解】由题意得,221121112222228x y xy xy +⎛⎫⎛⎫=⨯≤⨯=⨯= ⎪ ⎪⎝⎭⎝⎭,当且仅当11,42x y ==时等号成立,所以xy 的最大值是18. 故选C . 【点睛】运用基本不等式解题时,既要掌握公式的正用,也要注意公式的逆用,例如222a b ab+≥逆用就是222a b ab +;(,0)2a b ab a b +≥>逆用就是2(,0)2a b ab a b +⎛⎫> ⎪⎝⎭等.当应用不等式的条件不满足时,要注意运用“添、拆项”等技巧进行适当的变形,使之满足使用不等式的条件,解题时要特别注意等号成立的条件.9.B解析:B 【分析】画出不等式组表示的区域,将目标函数2z x y =-转化为22x zy =-,表示斜率为12截距为2z-平行直线系,当截距最小时,z 取最大值,由图即可求解. 【详解】解:画出不等式组表示的区域,如图中阴影部分所示:故将目标函数2z x y =-转化为22x z y =-,表示斜率为12截距为2z -平行直线系, 所以当截距最小时,z 取最大值,由图可知,使得直线22x zy =-经过可行域且截距最小时的解为22,33C ⎛⎫ ⎪⎝⎭, 此时242333max z =-=-. 故选:B 【点睛】本题考查了线性规划的应用,注意将目标函数化成斜截式,从而由截距的最值确定目标函数的最值.10.D解析:D 【详解】试题分析:A 中1,2a b ==-不成立,B 中1,12a b =-=-不成立,C 中0,1a b ==-不成立,D 中由指数函数单调性可知是成立的11.D解析:D 【分析】结合不等式的性质、特殊值判断出错误选项,利用差比较法证明正确选项成立. 【详解】A 选项,当0c ≤ 时,由a b >不能得到ac bc >,故不正确;B 选项,当0a >,0b <(如1a =,2b =-)时,由a b >不能得到11a b<,故不正确; C 选项,由()()22a b a b a b -=+-及a b >可知当0a b +<时(如2a =-,3b =-或2a =,3b =-)均不能得到22a b >,故不正确;D 选项,()()()233222324b a b a b a ab b a b a b ⎡⎤⎛⎫-=-++=-⋅++⎢⎥ ⎪⎝⎭⎢⎥⎣⎦,因为,a b 不同时为0,所以223024b a b ⎛⎫++> ⎪⎝⎭,所以可由a b >知330a b ->,即33a b >,故正确.故选:D 【点睛】本小题主要考查不等式的性质以及差比较法,属于中档题.12.C解析:C【分析】根据条件作出可行域,根据图形可得出答案.【详解】由实数x ,y 满足2402401x y x y y -+≥⎧⎪+-≤⎨⎪≥-⎩,作出可行域,如图.设2z x y =+,则化为2y x z =-+所以z 表示直线2y x z =-+在y 轴上的截距.2401x y y -+=⎧⎨=-⎩可得()6,1A --,2401x y y +-=⎧⎨=-⎩可得()61B -, 根据图形可得,当直线2y x z =-+过点()61B -,时截距最大, 所以2z x y =+的最大值为11.故选:C【点睛】方法点睛:解决线性规划问题的实质是把代数问题几何化,即数形结合思想.需要注意的是:一,准确无误地作出可行域;二,画目标函数所对应的直线时,要注意让其斜率与约束条件中的直线的斜率进行比较,避免出错;三,一般情况下,目标函数的最大值或最小值会在可行域的端点或边界上取得.二、填空题13.【分析】化简得到结合基本不等式即可求解【详解】由满足可得则当且仅当时即时等号成立所以的最小值是故答案为:【点睛】通过常数代换法利用基本不等式求解最值的基本步骤:(1)根据已知条件或其变形确定定值(常 解析:5【分析】化简35x y xy +=,得到315x y +=,134(34)()531x y x y x y⋅+++=,结合基本不等式,即可求解.【详解】由,0x y >满足35x y xy +=,可得315x y +=, 则311134(34)()(13123)55y x x y x y y x yx +=⋅++=++⨯ 1211(132)(1312)5553y x x y ⨯≥⋅+=+=,当且仅当123y x x y =时,即21x y ==时等号成立,所以34x y +的最小值是5.故答案为:5.【点睛】通过常数代换法利用基本不等式求解最值的基本步骤:(1)根据已知条件或其变形确定定值(常数);(2)把确定的定值(常数)变形为1;(3)把“1”的表达式与所求的最值的表达式相乘或相除,进而构造或积为定值的形式; (4)利用基本不等式求最值.14.23【分析】画出不等式组表示的平面区域数形结合判断出取最大值的点即可建立关系求出【详解】画出不等式组表示的平面区域如图阴影部分直线在轴上的截距为则由图可知即将化为观察图形可知当直线经过点时取得最大值 解析:23【分析】画出不等式组表示的平面区域,数形结合判断出2z y x =-取最大值的点,即可建立关系求出.【详解】画出不等式组表示的平面区域,如图阴影部分,直线320x y c +-=在y 轴上的截距为2c,则由图可知12c ≥,即2c ≥,将2z y x =-化为122z y x =+, 观察图形可知,当直线122z y x =+经过点A 时,z 取得最大值, 由210320x y x y c -+=⎧⎨+-=⎩解得27237c x c y -⎧=⎪⎪⎨+⎪=⎪⎩,故23221177c c +-⨯-=,解得23c =. 故答案为:23.【点睛】方法点睛:线性规划常见类型,(1)y b z x a-=-可看作是可行域内的点到点(),a b 的斜率; (2)z ax by =+,可看作直线a z y x b b =-+的截距问题; (3)()()22z x a y b =-+-可看作可行域内的点到点(),a b 的距离的平方.15.1【分析】作出不等式组对应的平面区域利用目标函数的几何意义进行求最值即可【详解】由z=x-2y 得作出不等式组对应的平面区域如图(阴影部分):平移直线的截距最小此时z 最大由得A (10)代入目标函数z=解析:1【分析】作出不等式组对应的平面区域,利用目标函数的几何意义,进行求最值即可.【详解】由z=x-2y 得1122y x z =-,作出不等式组对应的平面区域如图(阴影部分):平移直线1122y x z =-,,1122y x z =-,的截距最小,此时z 最大,由22 22x y x y -⎧⎨+⎩== ,得A (1,0). 代入目标函数z=x-2y ,得z=1-2×0=1,故答案为1.【点睛】本题主要考查线性规划的基本应用,利用目标函数的几何意义是解决问题的关键,利用数形结合是解决问题的基本方法.16.【分析】根据题意令分析可以将不等式在x ∈12上恒成立转化为二次函数的性质列出不等式组解可得m 的取值范围即可得答案【详解】根据题意令若不等式在x ∈12上恒成立则有△=m2﹣4m≤0或或解可得实数m 的最 解析:12- 【分析】根据题意,令()2f x x mx m ++=,分析可以将不等式20x mx m ++≥在x ∈[1,2]上恒成立转化为二次函数的性质列出不等式组,解可得m 的取值范围,即可得答案.【详解】根据题意,令()2f x x mx m ++=, 若不等式20x mx m ++≥在x ∈[1,2]上恒成立,则有△=m 2﹣4m ≤0或()121120m f m ⎧-≤⎪⎨⎪=+≥⎩或()222430m f m ⎧-≥⎪⎨⎪=+≥⎩,解可得1,2m ⎡⎫∈-+∞⎪⎢⎣⎭, 实数m 的最小值为:12-, 故答案为12-. 【点睛】本题考查二次函数的性质,关键是将x 2+mx +m ≥0在x ∈[1,2]上恒成立转化为二次函数y =x 2+mx +m 在x ∈[1,2]上的最值问题. 17.【解析】分析:由正弦定理将2ccosB =2a +b 转化成由三角形内角和定理将利用两角和的正弦公式展开化简求得的值由余弦定理三角形的面积公式及基本不等式关系求得ab 的最小值详解:2ccosB =2a +b 由 解析:13【解析】分析:由正弦定理将2c cosB =2a +b 转化成2sin cos 2sin sin C B A B =+,由三角形内角和定理,将()sin sin A B C =+,利用两角和的正弦公式展开,化简求得sin C 的值,由余弦定理、三角形的面积公式及基本不等式关系,求得ab 的最小值. 详解:2c cosB =2a +b ,由正弦定理转化成2sin cos 2sin sin C B A B =+∴()2sin cos 2sin sin C B B C B =++化简得:2sin cos sin 0B C B +=, 又0,sin 0B B π<,得1cos 2C =-,0C π<<,得23C π=,则△ABC 的面积为1sin 2S ab C ==,即3c ab =, 由余弦定理得2222cos c a b ab C =+-,化简得22229a b ab a b ++=,222a b ab +≥,当且仅当a b =时取等,∴2229ab ab a b +≤,即13ab ≥, 故ab 的最小值是13. 故答案为13. 点睛:本题考查正余弦定理、三角形内角和定理及基本不等式相结合.18.【分析】由函数只有一个零点转化为方程有唯一的实数解结合基本不等式求得得到即可求解【详解】由题意函数只有一个零点即有唯一的实数根即方程有唯一的实数解令因为所以当且仅当时即等号成立因为方程有唯一的实数解 解析:1-【分析】由函数11()2x x f x ee a --=++只有一个零点,转化为方程112x x e e a --+=-有唯一的实数解,结合基本不等式,求得112x x e e --+≥=,得到22a -=,即可求解.【详解】由题意,函数11()2x x f x e e a --=++只有一个零点,即()0f x =有唯一的实数根,即方程112x x e e a --+=-有唯一的实数解,令()11x x g x ee --=+因为110,0x x e e -->>,所以()112x x g x e e --≥+==,当且仅当11x x e e --=时,即1x =等号成立,因为方程112x x e e a --+=-有唯一的实数解,所以22a -=,即1a =-.故答案为:1-.【点睛】本题主要考查了根据函数的零点公式求解参数问题,以及基本不等式的应用,其中解答中把函数的零点个数转化为方程解得个数,结合基本不等式求解是解答的关键,着重考查推理与运算能力.19.【分析】由面积比得再利用三点共线可得出的关系从而利用基本不等式可求得的最小值【详解】如图设与交于点由得所以又三点共线即共线所以存在实数使得因为所以所以又因为所以当且仅当即时等号成立所以的最小值为故答【分析】由面积比得3BM MD =,再利用,,A M C 三点共线可得出,x y 的关系,从而利用基本不等式可求得x y +的最小值.【详解】如图,设AC 与BD 交于点M ,由1sin 231sin 2ABCADC AC BM AMB S BM S DM AC DM AMD ⋅∠===⋅∠△△得3BM MD =,所以1313()4444AM AB BM AB BD AB AD AB AB AD =+=+=+-=+, 又,,A M C 三点共线,即,AM AC 共线,所以存在实数k 使得AC k AM =, 因为12(2)(1)AC AB AD x y =-+-,所以11242314k x k y ⎧-=⎪⎪⎨⎪-=⎪⎩,所以327x y +=, 又因为0,0x y >>,所以1321321()()(5)5777y x x y x y x y x y ⎛+=++=++≥+= ⎝,当且仅当32y x x y =,即x =,y =时等号成立. 所以x y +.故答案为:57+.【点睛】本题考查向量共线定理,考查基本不等式求最值,解题关键是利用平面向量共线定理得出,x y 的关系,然后用“1”的代换,凑配出定值,用基本不等式求得最小值.20.4【分析】先求出定点的坐标由题得再利用基本不等式求的最小值得解【详解】令所以定点的坐标为所以所以当且仅当时取等号所以的最小值为4故答案为:4【点睛】本题主要考查指数型函数的定点问题考查基本不等式求最 解析:4【分析】先求出定点P 的坐标,由题得22A B +=,再利用基本不等式求12A B +的最小值得解. 【详解】令020,2,451x x y a +=∴=-∴=⨯-=-,所以定点P 的坐标为(2,1)--.所以(2)20,22,0,0,0A B A B A B A B ⨯--+=∴+=⋅>∴>>. 所以121121414(2)()(4)[4]4222A B A B A B A B A B B A B A+=⨯+⨯+=++≥+⋅=. 当且仅当1,12A B ==时取“等号”. 所以12A B+的最小值为4. 故答案为:4【点睛】本题主要考查指数型函数的定点问题,考查基本不等式求最值,意在考查学生对这些知识的理解掌握水平.三、解答题21.(1)20k =,()16002440,010L x x x =--≥+;(2)30万元. 【分析】(1)0x =,28,y =代入已知模型求出k ,得年销售量函数解析式,求出销售价格后可得 利润函数;(2)利用基本不等式求最值.【详解】(1)由题意,可知当0x =时,28,y =283010k ∴=-, 解得20k =203010y x ∴=-+ 又每件产品的销售价格为801601.5y y +⨯元, ()801601.580160y L y y x y ⎛⎫+∴=⨯-++ ⎪⎝⎭4080y x =+-2040803010x x ⎛⎫- ⎝=+⎪⎭-+ ()16002440,010x x x =--≥+ (2)0x ≥,()1016001600101070101010x x x x ∴+=++++-≥== 当且仅当16001010x x =++时等号成立, 2440702370y ∴≤-= max 2370y ∴=故该工厂计划投入促销费为30万元时,才能获得最大利润,最大利润为2370万元.【点睛】关键点点睛:本题考查函数的应用,在已知函数模型时,需从题目中选取恰当的数据求出参数值,然后根据提示模型求出函数解析式.函数应用题中求最值方法一是利用基本不等式求得最值,一是利用函数的单调性求得最值.基本不等式要注意其最值存在的条件. 22.答案见解析【分析】由题意可知,2(41)40ax a x -++>可化为(1)(4)0ax x -->,再对a 进行分类讨论,比较根的大小,即可得答案;【详解】由题意可知,2(41)40ax a x -++>可化为(1)(4)0ax x --> (1)当0a =时,不等式化为40x -<,解得4x <,(2)当10a <时,不等式化为()140x x a ⎛⎫--< ⎪⎝⎭,解得14x a <<, (3)当104a <<时,不等式化为1(4)0x x a ⎛⎫--> ⎪⎝⎭,解得1x a <或4x >, (4)当14a =时,不等式化为2(4)0x ->,解得4x ≠, (5)当14a >时,不等式化为1(4)0x x a ⎛⎫--> ⎪⎝⎭,解得4x <或1x a >, 综上所述,0a =时,不等式的解集为(,4)-∞ 0a <时,不等式的解集为1,4a ⎛⎫⎪⎝⎭; 14a >时,不等式的解集为1,(4,)a ⎛⎫-∞⋃+∞ ⎪⎝⎭; 14a =时,不等式的解集为(,4)(4,)-∞+∞; 104a <<时,不等式的解集为1(,4),a ⎛⎫-∞⋃+∞ ⎪⎝⎭; 【点睛】本题考查含参一元二次不等式的求解,考查函数与方程思想、转化与化归思想、分类讨论思想,考查运算求解能力,求解时注意讨论的依据是比较根的大小.23.(1)()1,3; (2)3,04⎡⎤-⎢⎥⎣⎦.【分析】(1)解一元二次不等式得结果,(2)先讨论0a =时的情况,再根据二次函数图象确定0a ≠时,参数满足的条件,最后求并集得结果.【详解】(1)当1a =-时,不等式()0f x >,即2430x x -+->,即2430x x -+<,即()()130x x --<,解得13x <<,故不等式()0f x >的解集为()1,3.(2)①当0a =时,()30f x =-≤恒成立;②当0a ≠时,要使得不等式()0f x ≤恒成立,只需0,0,a <⎧⎨∆≤⎩即()()20,4430,a a a <⎧⎪⎨--⨯⨯-≤⎪⎩ 解得0,30,4a a <⎧⎪⎨-≤≤⎪⎩即304a -≤<.综上所述,a 的取值范围为3,04⎡⎤-⎢⎥⎣⎦. 【点睛】 研究形如20ax bx c ++>恒成立问题,注意先讨论0a =的情况,再研究0a ≠时,开口方向,判别式正负,对称轴与定义区间位置关系,列不等式解得结果.24.在35x y =⎧⎨=⎩时,取得最小值min 9z =-,在31x y =⎧⎨=⎩时,取得最大值max 3z =. 【分析】作出可行域,作出目标函数对应的直线,平移直线可得最优解.【详解】作出可行域,如图ABC 内部(含边界), 由2=030x y x -+⎧⎨-=⎩得()3A ,5,由+4=030x y x -⎧⎨-=⎩得()31B ,,由2=0+40x y x y -+⎧⎨-=⎩得()13C ,, 作直线:230l x y -=,向上平移直线l ,z 减小,当l 过点()3A ,5时,z 取得最小值23359⨯-⨯=-;向下平移直线l ,z 增大,当l 过点()31B ,时,z 取得最大值23313⨯-⨯=;所以目标函数23z x y =-在35x y =⎧⎨=⎩时,取得最小值min 9z =-,在31x y =⎧⎨=⎩时,取得最大值max 3z =.【点睛】本题考查简单的线性规划问题,解题方法是作出可行域,作出线性目标函数对应的直线,平移直线求得最优解,如果目标函数不是线性的,则可根据其几何意义求解,如直线的斜率、两点间的距离等,属于中档题.25.(1)||1AP =;(2)x ,y 所满足的不等式组为210210220x y x y x y -+>⎧⎪+->⎨⎪--<⎩,D (x ,y )到直线2x +4y +1=0距离的取值范围为32955)1030,. 【分析】(1)建立坐标系,设点P 的坐标,可得P 关于直线BC 的对称点1P 的坐标,和P 关于y 轴的对称点2P 的坐标,由1P ,Q ,R ,2P 四点共线可得直线的方程,由于过ABC 的重心,代入可得关于a 的方程,解之可得P 的坐标,进而可得AP 的值;(2)先求出,,RQ PR PQ 所在直线的方程,即得x ,y 所满足的不等式组,再利用数形结合求出D (x ,y )到直线2x +4y +1=0距离的取值范围. 【详解】(1)以A 为原点,AB 为x 轴,AC 为y 轴建立直角坐标系如图所示. 则(0,0)A ,(3,0)B ,(0,3)C .设ABC ∆的重心为E ,则E 点坐标为(1,1),设P 点坐标为(,0)m ,则P 点关于y 轴对称点1P 为(,0)m -, 因为直线BC 方程为30x y +-=, 所以P 点关于BC 的对称点2P 为(3,3)m -,根据光线反射原理,1P ,2P 均在QR 所在直线上,∴12E P E P k k =, 即113113mm -+=+-, 解得,1m =或0m =.当0m =时,P 点与A 点重合,故舍去.∴1m =. 所以||1AP =.(2)由(1)得2P 为(3,2),又1(1,0)-P ,所以直线RQ 的方程为210x y -+=; 令210x y -+=中10,2x y =∴=,所以1(0,),2R 所以直线PR 的方程为210x y +-=; 联立直线BC 和RQ 的方程30210x y x y +-=⎧⎨-+=⎩得54(,)33Q ,所以直线PQ 的方程为220x y --=.D (x ,y )是RPQ 内(不含边界)任意一点,所以x ,y 所满足的不等式组为210210220x y x y x y -+>⎧⎪+->⎨⎪--<⎩. 直线2410x y ++=和直线PR 平行,所以它们之间的距离为223=51024+; 点Q 到直线2410x y ++=的距离为2254|2+4+1|2933=53024⨯⨯+.所以D (x ,y )到直线2x +4y +1=0距离的取值范围为32955)1030(,.【点睛】本题主要考查二元一次不等式组对应的平面区域,考查线性规划问题,考查解析法和直线方程的求法,意在考查学生对这些知识的理解掌握水平.26.(Ⅰ)23x +y 2=1;(Ⅱ)x ﹣y 2+=0或x +y 2+=0.【分析】(Ⅰ)根据直线椭圆的过上顶点,得b =1,再利用点差法以及弦中点坐标解得a 2=3,即得椭圆方程;(Ⅱ)先设直线l 方程并与椭圆方程联立,结合韦达定理,并以|F 1F 2|为底边长求△ABF 2面积函数关系式,在根据基本不等式求△ABF 2面积最大值,进而确定直线l 的方程. 【详解】(Ⅰ)直线x +y =1与y 轴的交于(0,1)点,∴b =1, 设直线x +y =1与椭圆C 交于点M (x 1,y 1),N (x 2,y 2), 则x 1+x 232=,y 1+y 212=,∴221122x y a b +=1,222222x y a b+=1, 两式相减可得21a (x 1﹣x 2)(x 1+x 2)21b +(y 1﹣y 2)(y 1+y 2)=0, ∴()2121221212()y y b x x x x a y y -+=--+, ∴22b a- ⋅3212=-1,解得a 2=3,∴椭圆C 的方程为23x +y 2=1.(Ⅱ)由(Ⅰ)可得F 1(,0),F 2,0),设A (x 3,y 3),B (x 4,y 4),可设直线l 的方程x =my l 的方程x =my 代入23x +y 2=1,可得(m 2+3)y 2﹣my ﹣1=0, 则y 3+y423m =+,y 3y 4213m -=+, |y 3﹣y 4|== ∴212ABF S=|F 1F 2|⋅|y 3﹣y 4|=⋅|y 3﹣y 4|==≤=,=,即m =±1,△ABF 2面积最大,即直线l 的方程为x ﹣y =0或x +y =0. 【点睛】本题考查椭圆标准方程、点差法、基本不等式求最值以及利用韦达定理研究直线与椭圆位置关系,考查综合分析与求解能力,属中档题.。
一、选择题。
1. 元二次不等式 A. 10 B. 2. 3、 必修五不等式练习题及参考答案ax 2 bx 2 0的解集是 10 C. 14 D. F 列各函数中,最小值为 x 23 C . y亍 元二次不等式mx 1丄),则a b 的值是(2 3 14 2的是 mx sin x sin x (0,-)A 、 m c 、 m3 -,n 23尹4、不等式 2x 3 x 2A.{x|-1 v x v 3} C.{x|-3 v x v 1} 0的解集是x|3,n 3230的解集是B . 5、若对于任何实数,二次函数 2y=ax -x+x 1 ,贝U m , n 的值分别是{x|x > 3 或 xv -1}D.{x|x>1 或 xv -3}c 的值恒为负,那么 a 、c 应满足 口 1 A 、a >0 且 acw 4 1C 、av 0 且 ac> 4 B 、av 0 且 acv -4D 、a v 0 且 acv6、在坐标平面上,不等式组 3,所表示的平面区域的面积为(A . 28B . 16C .39 47、不等式(x 5)(3 2x)6的解集是 ()99A 、{ x | x 1,或x -}B 、{x | 1 x -}22C 、{x |x9,或x 1} f , 9 D 、{x | x 1}222 0x y D . 1211 A •最小值—和最大值123C .最小值一而无最大值43B .最大值1和最小值-4D .最大值2而无最小值o&如果实数x, y 满足x1,则(1 xy)(1 xy)有()9、不等式竺」2 x1的解集是 2B . x|4 3x 2 C . x | x 2或 x — D . x | x 2410、关于x 的方程 ax 2+ 2x — 1 = 0至少有一个正的实根,则a 的取值范围是(A . a 》0B . — 1 w a v 0 D . a >—11、、对于任意实数 X ,不等式(a 2)x 2 2(a2)x 4 0恒成立,则实数 a 取值范围是,2 ,2C 、 (一2,2)2,2A . a 7,或 a 24B. a7,或a 24C. 7 a 24D. 24a 7二填空题。
完整word版)高中数学必修五基本不等式练习题基本不等式练题一、单项选择1.已知$x>0$,函数$y=\frac{4}{x}+x$的最小值是()A.4.B.5.C.6.D.82.在下列函数中,最小值为2的是()A $y=x+1$B $y=3x+3-x^2$C $y=\log_{10}x+\frac{11}{\pi}$D $y=\sin x+\log_{10}(x\sin^2x)$3.已知$\frac{5}{3}x+\frac{3}{5}y=1(x>0,y>0)$,则$xy$的最小值是()A.15.B.6.C.60.D.14.已知$x>1,y>1$且$xy=16$,则$\log_2x\cdot\log_2y$()A.有最大值2.B.等于4.C.有最小值3.D.有最大值465.若$a,b\in\mathbb{R}$,且$ab>0$,则下列不等式中恒成立的是()A.$a^2+b^2>2ab$。
B.$a+b\geq2ab$。
C.$\frac{1}{a}+\frac{1}{b}>\frac{2}{a+b}$。
D.$\frac{a}{b}+\frac{b}{a}\geq2$6.若正数$a$、$b$满足$ab=a+b+3$,则$a+b$的取值范围是()A.$[9,+\infty)$。
B.$[6,+\infty)$。
C.$(0,9]$。
D.$(0,6)$7.已知正项等比数列$\{a_n\}$满足$a_7=a_6+2a_5$。
若存在两项$a_m$,$a_n$使得$a_ma_n=4a_1$,则$(19+\sqrt{17})$的最小值为()A.3456.B.811.C.1417.D.198.设$0<b<a<1$,则下列不等式成立的是()A.$a+b>1$。
B.$a+b1$9.已知$a+2b=2(a,b>0)$,则$ab$的最大值为( )A。
不等式检测题一.选择题1.已知0,0<>+b b a ,则的大小关系是( )A .b a b a ->->>B .b b a a ->>->C .a b b a ->>->D .b a b a >>->-2.设5.1348.029.01)21(,8,4-===y y y ,则( ) A .213y y y >> B .312y y y >>C .321y y y >>D .231y y y >>7、R c b a ∈,,且b a >,则下列各式中恒成立的是( )A .c b c a ->+B .bc ac >C .02>-ba c D .0)(2≥-cb a .已知0<x <1,则x(3-3x)取得最大值时x 的值为( ) A.31 B.21 C.43 D.32 3.不等式0)31)(21(>--x x 的解集为( ) A .}2131|{<<x x B .}21|{>x x C .}31|{<x x D .}21,31|{><x x x 或 4.关于x 的不等式01)1()1(22<----x a x a 的解集为R ,则实数a 的取值范围是( )A .]1,53(-B .)1,1(-C .]1,1(-D .)1,53(-5.下列各点中不在623<+y x 表示的平面区域内的点是( )A .)0,0(B .)1,1(C .)2,0(D .)0,2(6.给出平面区域如图,若使目标函数)0(>+=a y ax z 取得最大值的最优解有无穷多个,则a 的值为( )A .41B .53C .4D .35 二.填空题7.已知01,0<<-<b a ,则2,,ab ab a8.函数1212-+=x x y 的定义域是9.若实数,x y 满足不等式组2,24,0,x y x y x y +≥⎧⎪-≤⎨⎪-≥⎩则23x y +的最小值是三.解答题10.已知6024,3420<<<<b a ,求ba b a b a ,,-+的取值范围11.已知4632>+-x ax 不等式的解集为},1|{b x x x ><或(1)求b a ,;(2)解不等式0)(2<++-bc x b ac ax 。
一、选择题1.设正数m ,n ,2m n u +=,222v m n mn =++,则2u v ⎛⎫ ⎪⎝⎭的最大值是( ) A .14B .13C .12D .12.若关于x 的不等式2220x x c -+<的解集为(),a b ,则14a b+的最小值为( ) A .9B .9-C .92D .92-3.设,x y 满足24122x y x y x y +≥⎧⎪-≥-⎨⎪-≤⎩,则z x y =+的最小值是( )A .7-B .2C .3D .5-4.若实数,x y 满足121x y y x -+<⎧⎨≥-⎩,则22x y +的取值范围是( ) A.1[2B .1[,13)4C. D .1[,13)55.当02x π<<时,函数21cos 28sin ()sin 2x xf x x++=的最小值为( )A .2B.C .4D.6.若正实数a b c 、、满足22ab bc ac a ++=-,则2a b c ++的最小值为( ) A .2B .1CD .7.若直线l :()200,0ax by a b -+=>>被圆222410x y x y ++-+=截得的弦长为4,则21a b+的最小值为( ) A .2B .4CD.8.设x ,y 满足约束条件261322x y x y y -≤⎧⎪⎪+≥⎨⎪≤⎪⎩,则1z x y =-+的最小值是( )A .1-B .0C .1D .29.已知0,0x y >>,且21x y +=,则xy 的最大值是( ) A .14B .4C .18D .810.设x ,y 满足约束条件1x y ax y +≥⎧⎨-≤-⎩,且z x ay =+的最小值为7,则a =( )A .5-B .3C .5-或3D .5或3-11.若a ,b ,c ∈R ,a >b ,则下列不等式恒成立的是( ) A .1a <1bB .a 2>b 2C .21a c +>21b c + D .a |c |>b |c |12.设实数,x y 满足2025020x y x y y --≤⎧⎪+-≥⎨⎪-≤⎩,则112z x y =+的取值范围是( ) A .514z ≤≤B .1524z ≤≤ C .112z ≤≤ D .312z ≤≤二、填空题13.若0x >,0y >,若()()144x y --=则x y +的最小值为_________.14.若实数m 和n 满足242329231m m n n m n ⨯-⋅+⨯=++,则23m n +的取值范围为______.15.已知0a >,0b >且3a b +=.式子2021202120192020a b +++的最小值是___________.16.若关于x 的不等式250ax x b -+< 的解集为{|23}x x << ,则+a b 的值是__________.17.已知1,1,1,x y x y ≤⎧⎪≤⎨⎪+≥⎩当z x y =+取到最小值时,xy 的最大值为________.18.已知正数a ,b 满足(1)(1)1a b --=,则4a b +的最小值等于________.19.非负实数x ,y ,满足360x y +-≥,则521z x y =+-的最小值为__________. 20.若对定义域内任意x ,都有()()f x a f x +>(a 为正常数),则称函数()f x 为“a 距”增函数.若()3144f x x x =-+,x ∈R 是“a 距”增函数,则a 的取值范围是________.三、解答题21.2020年受疫情影响,全球经济均受到不同程度的冲击.为稳妥有序地推进复工复产,2月11日晚,郑州市相关政府部门印发了《郑州市关于应对新型冠状病毒肺炎疫情促进经济平稳健康发展的若干举措》的通知,并出台多条举措促进全市经济平稳健康发展.某工厂为拓宽市场,计划生产某种热销产品,经调查,该产品一旦投入市场就能全部售出.若不举行促销活动,该产品的年销售量为28万件,若举行促销活动,年销售量y (单位;万件)与年促销费用()0x x ≥(单位;万元)满足3010(ky k x =-+为常数).已知生产该产品的固定成本为80万元,每生产1万件该产品需要再投入生产成本160万元,厂家将每件产品的销售价格定为每件产品平均成本的1.5倍(产品成本包括固定成本和生产成本,不包括促销成本). (1)求k 的值,并写出该产品的利润L (单位:万元)与促销费用x (单位:万元)的函数关系﹔ (2)该工厂计划投入促销费用多少万元,才能获得最大利润? 22.已知函数2(1)()a x af x bx c-+=+(a ,b ,c 为常数). (1)当1,0b c ==时,解关于x 的不等式()1f x >;(2)当0,2b c a =>=时,若()1f x <对于0x >恒成立,求实数b 的取值范围. 23.小王于年初用50万元购买一辆大货车,第一年因缴纳各种费用需支出6万元,从第二年起,每年都比上一年增加支出2万元,假定该车每年的运输收入均为25万元.小王在该车运输累计收入超过总支出后,考虑将大货车作为二手车出售,若该车在第x 年年底出售,其销售价格为(25-x )万元(国家规定大货车的报废年限为10年). (1)大货车运输到第几年年底,该车运输累计收入超过总支出?(2)在第几年年底将大货车出售,能使小王获得的年平均利润最大?(利润=累计收入+销售收入-总支出)24.在ABC 中,角A ,B ,C 所对的边分别为a ,b ,c ,且sin sin sin A C b cB a c--=+.(1)求角A ;(2)若ABC 的外接圆半径为2,求ABC 周长的最大值. 25.已知函数2()3f x x ax a =-++. (1)当7a =时,解不等式()0f x >;(2)当x ∈R 时,()0f x ≥恒成立,求a 的取值范围. 26.已知定义在R 上的函数2()f x x x k =-+,其中k 为常数. (1)求解关于x 的不等式()f x kx <的解集;(2)若()2f 是()f a 与f b 的等差中项,求+a b 的取值范围.【参考答案】***试卷处理标记,请不要删除一、选择题 1.B 解析:B 【分析】 化简22211()44umn vm n mn=+⨯++,再结合基本不等式,即可求解.由题意,正数m ,n ,2m nu +=,222v m n mn =++, 则2222222222()12112()444m n u m n mn mn v m n mn m n mn m n mn+++===+⨯++++++2111111111444444213()11mnm m m n n n n m=+⨯=+⨯≤+⨯=+++++, 当且仅当m n n m =时,即m n =时,等号成立,所以2u v ⎛⎫ ⎪⎝⎭的最大值是为13.故选:B . 【点睛】利用基本不等式求最值时,要注意其满足的三个条件:“一正、二定、三相等”: (1)“一正”:就是各项必须为正数;(2)“二定”:就是要求和的最小值,必须把构成和的二项之积转化成定值;要求积的最大值,则必须把构成积的因式的和转化成定值;(3)“三相等”:利用基本不等式求最值时,必须验证等号成立的条件,若不能取等号则这个定值就不是所求的最值,这也是最容易发生错误的地方.2.C解析:C 【分析】由韦达定理可得出2a b +=,2ab c =,分析出a 、b 均为正数,将代数式()12a b +与14a b +相乘,展开后利用基本不等式可求得14a b +的最小值. 【详解】由于代数式14a b+有意义,则0ab ≠, 因为关于x 的不等式2220x x c -+<的解集为(),a b ,则a 、b 为方程2220x x c -+=的两根,由韦达定理可得22a b ab c +=⎧⎨=>⎩,所以,a 、b 均为正数, 所以,()141141419552222a b a b a b a b b a ⎛⎛⎫⎛⎫+=++=++≥+= ⎪ ⎪ ⎝⎭⎝⎭⎝. 当且仅当242,,33b a a b ===时,等号成立,因此,14a b +的最小值为92.【点睛】易错点睛:利用基本不等式求最值时,要注意其必须满足的三个条件: (1)“一正二定三相等”“一正”就是各项必须为正数;(2)“二定”就是要求和的最小值,必须把构成和的二项之积转化成定值;要求积的最大值,则必须把构成积的因式的和转化成定值;(3)“三相等”是利用基本不等式求最值时,必须验证等号成立的条件,若不能取等号则这个定值就不是所求的最值,这也是最容易发生错误的地方.3.B解析:B 【分析】由约束条件可得可行域,将问题转化为y x z =-+在y 轴截距最小值的求解问题,利用数形结合的方法可得到结果. 【详解】由约束条件可得可行域如下图阴影部分所示:由z x y =+得:y x z =-+,当z 取最小值时,y x z =-+在y 轴截距最小, 由图象可知:当y x z =-+过A 时,在y 轴截距最小, 又()2,0A ,min 202z ∴=+=. 故选:B. 【点睛】方法点睛:线性规划问题中,通常有三种类型的最值或取值范围问题: (1)截距型:形如z ax by =+的形式,转化为a zy x b b=-+,将问题转化为直线在y 轴截距的求解问题;(2)斜率型:形如cy dzax b+=+的形式,转化为dyc cba xa+⋅+,将问题转化为(),x y与,b da c⎛⎫--⎪⎝⎭连线斜率的求解问题;(3)距离型:形如z Ax By C=++的形式,转化为2222Ax By Cz A BA B++=⋅++,将问题转化为(),x y到直线0Ax By C++=的距离的求解问题.4.D解析:D【详解】根据实数,x y满足121x yy x-+<⎧⎨≥-⎩,画出可行域如图所示22x y+表示可行域内的点与坐标原点O距离的平方,O与直线AB:210x y+-=220015521⨯+-=+,O与(2,3)C222313+=∵可行域不包含(2,3)C∴21135r≤<,即22x y+的取值范围是1[,13)5故选:D【点睛】线性规划问题,首先明确可行域对应的是封闭区域还是开放区域、分界线是实线还是虚线,其次确定目标函数的几何意义,是求直线的截距、两点间距离的平方、直线的斜率、还是点到直线的距离等等,最后结合图形确定目标函数最值取法、值域范围.5.C解析:C 【解析】0,tan 02xx π<∴,()21cos28sin sin2x x f x x++=2222cos 8sin 28tan 14tan 42sin cos 2tan tan x x x x x x x x ++===+≥=,当且仅当1tan 2x =时取等号,函数()21cos28sin sin2x x f x x ++=的最小值为4,选C.6.D解析:D 【解析】分析:根据基本不等式的性质求出2a+b+c 的最小值即可. 详解:由题得:因为a 2+ac+ab+bc=2, ∴(a+b )(a+c )=2,又a ,b ,c 均为正实数, ∴2a+b+c=(a+b )+(a+c), 当且仅当a+b=a+c 时,即b=c 取等号. 故选D.点睛:本题考查了绝对值的意义,考查基本不等式的性质,是一道基础题.7.B解析:B 【分析】求出圆的圆心与半径,可得圆心在直线20(0,0)ax by a b -+=>>上,推出22a b +=,利用基本不等式转化求解21a b+取最小值. 【详解】解:圆222410x y x y ++-+=,即22(1)(2)4x y ++-=,表示以2()1,M -为圆心,以2为半径的圆,由题意可得圆心在直线20(0,0)ax by a b -+=>>上, 故220a b --+=,即22a b +=,∴2212222112242a ba b b a b a b a b a b a +++=+=++++, 当且仅当22b aa b=,即2a b =时,等号成立,故选:B.【点睛】本题考查直线与圆的方程的综合应用,基本不等式的应用,考查转化思想以及计算能力,属于中档题.8.C解析:C【分析】作出约束条件所表示的平面区域,结合图象确定目标函数的最优解,代入求解,即可得到答案.【详解】作出x,y满足约束条件261322x yx yy-≤⎧⎪⎪+≥⎨⎪≤⎪⎩,所对应的可行域,如图所示,目标函数1z x y=-+可化为1y x z=+-,当直线1y x z=+-过点A时,此时直线在y轴上的截距最大值,此时目标函数取得最小值,又由2132yx y=⎧⎪⎨+=⎪⎩,解得(2,2)A,所以目标函数的最小值为min2211z=-+=.故选:C.【点睛】本题主要考查简单线性规划求解目标函数的最值问题.其中解答中正确画出不等式组表示的可行域,利用“一画、二移、三求”,确定目标函数的最优解是解答的关键,着重考查了数形结合思想,及推理与计算能力,属于基础题.9.C解析:C【分析】根据基本不等式求解即可得到所求最大值. 【详解】由题意得,221121112222228x y xy xy +⎛⎫⎛⎫=⨯≤⨯=⨯= ⎪ ⎪⎝⎭⎝⎭,当且仅当11,42x y ==时等号成立,所以xy 的最大值是18. 故选C . 【点睛】运用基本不等式解题时,既要掌握公式的正用,也要注意公式的逆用,例如222a b ab+≥逆用就是222a b ab +;(,0)2a b ab a b +≥>逆用就是2(,0)2a b ab a b +⎛⎫> ⎪⎝⎭等.当应用不等式的条件不满足时,要注意运用“添、拆项”等技巧进行适当的变形,使之满足使用不等式的条件,解题时要特别注意等号成立的条件.10.B解析:B 【分析】画出可行域,讨论当0a =时,当0a <时,当0a >时三种情况,分别求出目标函数的最值,即可筛选出符合题意的a 的值. 【详解】根据题中约束条件1x y ax y +≥⎧⎨-≤-⎩可画出可行域如图所示,两直线交点坐标为:11,22a a A -+⎛⎫⎪⎝⎭, 当0a =时,z x ay =+无最小值; 当0a <时,z x ay =+在11,22a a A -+⎛⎫⎪⎝⎭处取最大值,无最小值. 当0a >时,z x ay =+在11,22a a A -+⎛⎫⎪⎝⎭处有最小值:21121222a a a a z a -++-=+⨯=,则22172a a +-=,解得3a =,故选B.【点睛】本题主要考查可行域、含参数目标函数最优解和均值不等式求最值,属于难题.含参变量的线性规划问题是近年来高考命题的热点,由于参数的引入,提高了思维的技巧、增加了解题的难度, 此类问题的存在增加了探索问题的动态性和开放性,此类问题一般从目标函数的结论入手,对目标函数变化过程进行详细分析,对变化过程中的相关量的准确定位,是求最优解的关键.11.C解析:C 【分析】首先利用特值法排除A 、B 两项,利用不等式的性质可确定C 项是正确的,再举出反例判断D 项是错误的,从而得到答案. 【详解】当a =1,b =-2时,满足a >b ,但11a b>,a 2<b 2,排除A 、B ; 因为211c +>0,a >b ⇒2211a b c c >++,故C 是正确的; 当c =0时,a |c |>b |c |不成立,排除D , 故选:C. 【点睛】该题考查的是有关不等式的问题,涉及到的知识点有利用不等式的性质比较式子的大小,利用特值法排除不正确的选项,坚持做到小题小做的思想,属于简单题目.12.B解析:B 【分析】画出不等式组对应的平面区域,由,x y 都取最大值得出z 的最小值,当z 取最大值时,点(),x y 落在直线250x y +-=上,再结合基本不等式得出z 的最大值.【详解】该不等式组对应的平面区域如下图所示由可行域易知,当4,2x y ==时,112z x y =+取得最小值111442+= 当点(),x y 落在直线250x y +-=上时,112z x y=+取得最大值 此时25x y +=,2225224x y xy +⎛⎫≤=⎪⎝⎭ 112542225x y z x y xy xy +∴=+==≥ 当且仅当2x y =,即55,24x y ==时取等号,显然55,24⎛⎫ ⎪⎝⎭在可行域内即1524z ≤≤ 故选:B 【点睛】关键点睛:平面区域的最值问题是线性规划问题中一类重要题型,在解题时,关键是正确地画出平面区域,分析表达式的几何意义,然后结合数形结合的思想,分析图形,找出满足条件的点的坐标,即可求出答案.二、填空题13.【分析】先整理已知条件得则再利用基本不等式求解即可【详解】由得又得则当且仅当即时取等号故答案为:9【点睛】易错点睛:利用基本不等式求最值时要注意其必须满足的三个条件:(1)一正二定三相等一正就是各项解析:【分析】先整理已知条件得411y x +=,则()41y x x y x y +⎛⎫+=+ ⎪⎝⎭,再利用基本不等式求解即可. 【详解】由()()144x y --=, 得40xy x y --=, 又0x >,0y >,得411y x+=,则()455941x y x y x y y x x y +⎛⎫+=+=++≥+= ⎪⎝⎭,当且仅当4x yy x=即3,6x y ==时取等号. 故答案为:9.【点睛】易错点睛:利用基本不等式求最值时,要注意其必须满足的三个条件: (1)“一正二定三相等”“一正”就是各项必须为正数;(2)“二定”就是要求和的最小值,必须把构成和的二项之积转化成定值;要求积的最大值,则必须把构成积的因式的和转化成定值;(3)“三相等”是利用基本不等式求最值时,必须验证等号成立的条件,若不能取等号则这个定值就不是所求的最值,这也是最容易发生错误的地方.14.【分析】设方程化简为得到再结合基本不等式得到根据一元二次不等式不等式的解法即可求解【详解】设因为可得所以解得或又由当且仅当时即时等号成立整理得解得所以即则的取值范围为故答案为:【点睛】方法点睛:设利解析:(1,2]. 【分析】设23m n t =+,方程化简为221523m n t t --=⨯⨯,得到2210t t -->,再结合基本不等式,得到23440t t --≤,根据一元二次不等式不等式的解法,即可求解. 【详解】 设23m n t =+,因为242329231m m n n m n ⨯-⋅+⨯=++,可得221523m n t t --=⨯⨯, 所以2210t t -->,解得1t >或12t <-, 又由222235215235()24m n mnt t t +--=⨯⨯≤⨯=, 当且仅当23m n =时,即0m n ==时等号成立,整理得23440t t --≤,解得223t -≤≤, 所以12t <≤,即则23m n +的取值范围为(1,2].故答案为:(1,2]. 【点睛】方法点睛:设23m n t =+,利用换元法把方程化简为221523m n t t --=⨯⨯,根据指数函数的性质和基本不等式,得出不等式2210t t -->和23440t t --≤是解答的关键.15.2【分析】令从而可得再利用基本不等式即可求解【详解】令则且∴∴当且仅当取等号即时成立故答案为:2【点睛】易错点睛:利用基本不等式求最值时要注意其必须满足的三个条件:(1)一正二定三相等一正就是各项必解析:2 【分析】令2019a x +=,2020b y +=,从而可得1()14042x y +=,再利用基本不等式即可求解. 【详解】令2019a x +=,2020b y +=, 则2019x >,2020y >且4042x y +=, ∴1()14042x y +=, ∴202120211111120212021()201920204042x y a b x y x y ⎛⎫⎛⎫+=+=+⋅+ ⎪ ⎪++⎝⎭⎝⎭1111222y x x y ⎛⎫=+++⋅ ⎪⎝⎭≥,当且仅当y xx y=取等号,即2021,2,1x y a b ====时成立. 故答案为:2 【点睛】易错点睛:利用基本不等式求最值时,要注意其必须满足的三个条件: (1)“一正二定三相等”“一正”就是各项必须为正数;(2)“二定”就是要求和的最小值,必须把构成和的二项之积转化成定值;要求积的最大值,则必须把构成积的因式的和转化成定值;(3)“三相等”是利用基本不等式求最值时,必须验证等号成立的条件,若不能取等号则这个定值就不是所求的最值,这也是最容易发生错误的地方16.【解析】由题意知且2和3是方程的两个根即答案为7【点睛】本题考查一元二次不等式的解法与应用问题解题的关键是根据一元二次不等式与对应方程之间的关系求出的值 解析:7【解析】由题意知0a > 且2和3是方程250ax x b -+=的两个根,5321,7632a a a b b b a=,=⎧+⎪=⎧⎪∴∴+=⎨⎨=⎩⎪⨯⎪⎩. 即答案为7.【点睛】本题考查一元二次不等式的解法与应用问题,解题的关键是根据一元二次不等式与对应方程之间的关系,求出a b ,的值17.【分析】根据约束条件作出可行域将目标函数变形为通过平移可知当直线与直线重合时取得最小值再利用基本不等式求解即可【详解】作出已知不等式组所表示的平面区域如图所示:将目标函数变形为由图可知当直线与直线重解析:14【分析】根据约束条件作出可行域,将目标函数变形为y x z =-+,通过平移可知当直线y x z =-+与直线1x y +=重合时,z 取得最小值,再利用基本不等式求解即可.【详解】作出已知不等式组所表示的平面区域,如图所示:将目标函数z x y =+变形为y x z =-+,由图可知当直线y x z =-+与直线1x y +=重合时,z 取得最小值,此时1x y +=, 所以21()24x y xy +≤=,当且仅当x y =且1x y +=,即12x y ==时等号成立. 所以xy 的最大值为14. 故答案为:14【点睛】本题主要考查简单线性规划问题中的目标函数最值问题及基本不等式,解决线性规划问题的关键是正确地作出可行域,准确地理解目标函数的几何意义.18.9【分析】将已知等式变形为然后利用乘1法将进行变形利用基本不等式即可求得【详解】因为所以即又ab 为正数所以当且仅当时等号成立故的最小值等于故答案为:9【点睛】本题考查利用基本不等式求最值关键是将已知解析:9 【分析】 将已知等式变形为111a b+=,然后利用“乘1法”将4a b +进行变形,利用基本不等式即可求得. 【详解】因为(1)(1)1a b --=,所以0ab a b --=,即111a b+=. 又a ,b 为正数,所以11444(4)14529b a b a a b a b a b a b a b ⎛⎫+=++=+++≥+⋅= ⎪⎝⎭,当且仅当3a =,32b =时,等号成立.故4a b +的最小值等于9. 故答案为:9 【点睛】本题考查利用基本不等式求最值,关键是将已知条件适当变形,得到111a b+=,以便利用“乘1法”,利用基本不等式求4a b +的最小值.利用基本不等式求最值要注意“正、定、等”的原则.19.3【分析】作出不等式组对应的平面区域利用目标函数的几何意义即可得到结论【详解】解:解:不等式组为对应的平面区域为如图阴影所示由得平移直线由图象可知当直线经过点时直线的截距最小此时最小代入目标函数得即解析:3 【分析】作出不等式组对应的平面区域,利用目标函数的几何意义即可得到结论. 【详解】解:解:不等式组为00360x y x y ⎧⎪⎨⎪+-≥⎩,对应的平面区域为如图阴影所示,由521z x y =+-得5122z y x +=-+,平移直线5122z y x +=-+, 由图象可知当直线5122z y x +=-+经过点()0,2时, 直线5122zy x +=-+的截距最小,此时z 最小. 代入目标函数521z x y =+-得02213z =+⨯-=. 即目标函数521z x y =+-的最小值为3. 故答案为:3【点睛】本题主要考查线性规划的应用,利用目标函数的几何意义,结合数形结合的数学思想是解决此类问题的基本方法,属于中档题.20.【分析】由题中定义得出作差变形后得出对任意的恒成立结合得出由此可求得实数的取值范围【详解】因为函数是距增函数所以恒成立由所以因此实数的取值范围是故答案为:【点睛】本题考查函数新定义考查二次不等式恒成 解析:(1,)+∞【分析】由题中定义得出()()f x a f x +>,作差变形后得出22313304ax a x a a ++->对任意的x ∈R 恒成立,结合0a >得出∆<0,由此可求得实数a 的取值范围. 【详解】()()()()332231114433444f x a f x x a x a x x ax a x a a ⎡⎤⎛⎫+-=+-++--+=++- ⎪⎢⎥⎣⎦⎝⎭,因为函数()y f x =是“a 距”增函数,所以22313304ax a x a a ++->恒成立, 由0a >,所以2210912014a a a ⎛⎫∆<⇒--<⇒> ⎪⎝⎭.因此,实数a 的取值范围是()1,+∞. 故答案为:()1,+∞. 【点睛】本题考查函数新定义,考查二次不等式恒成立问题,考查运算求解能力,属于中等题.三、解答题21.(1)20k =,()16002440,010L x x x =--≥+;(2)30万元. 【分析】(1)0x =,28,y =代入已知模型求出k ,得年销售量函数解析式,求出销售价格后可得 利润函数;(2)利用基本不等式求最值. 【详解】(1)由题意,可知当0x =时,28,y =283010k ∴=-, 解得20k =203010y x ∴=-+ 又每件产品的销售价格为801601.5yy+⨯元, ()801601.580160y L y y x y ⎛⎫+∴=⨯-++ ⎪⎝⎭4080y x =+-2040803010x x ⎛⎫- ⎝=+⎪⎭-+()16002440,010x x x =--≥+ (2)0x ≥,()1016001600101070101010x x x x ∴+=++++-≥== 当且仅当16001010x x =++时等号成立, 2440702370y ∴≤-=max 2370y ∴=故该工厂计划投入促销费为30万元时,才能获得最大利润,最大利润为2370万元. 【点睛】关键点点睛:本题考查函数的应用,在已知函数模型时,需从题目中选取恰当的数据求出参数值,然后根据提示模型求出函数解析式.函数应用题中求最值方法一是利用基本不等式求得最值,一是利用函数的单调性求得最值.基本不等式要注意其最值存在的条件.22.(1)见解析(2)1b >+.【分析】(1)原不等式转化为()()10-+<x a x 然后利用分类讨论思想进行分类求解; (2)原不等式转化22(0)1x b x x +>>+ ,设()()222151214x t g x x t t t+===≤+-++-551122254b =+⇒>+-. 【详解】 (1)当1,0b c ==时,()()()21100f x x a x a x >⇔---<≠()()10x a x ⇔-+<,讨论:①当1a <-时,原不等式的解集为(),1a -; ②当1a =-时,原不等式的解集为φ; ③当10a -<≤时,原不等式的解集为()1,a -; ④当0a >时,原不等式的解集为()()1,00,a -⋃. (2)当,2b c a ==时,()2211x f x bx b +<⇔<+22(0)1x b x x +⇔>>+ 设()221x g x x +=+,令()=22t x t +>, 则()()222151551254214x t g x t x t t t+===≤=+=+--++-,时取等号, 故51b >+. 【点睛】关键点睛:解题的关键在于利用二次函数的性质,进行数形结合的讨论,难点在于对a 的分类讨论;由参变分离得到函数不等式区间D 上恒成立,一般有以下结论:min 1.():,()a f x x D a f x <∈<即可. max 2.():,()a f x x D a f x >∈>即可.23.(1)3. (2)5. 【解析】 试题分析:(1)求出第年年底,该车运输累计收入与总支出的差,令其大于0,即可得到结论; (2)利用利润=累计收入+销售收入-总支出,可得平均利润,利用基本不等式,可得结论. 试题(1)设大货车运输到第年年底,该车运输累计收入与总支出的差为万元,则由,可得∵,故从第3年,该车运输累计收入超过总支出;(2)∵利润=累计收入+销售收入−总支出, ∴二手车出售后,小张的年平均利润为,当且仅当时,等号成立∴小张应当在第5年将大货车出售,能使小张获得的年平均利润最大. 考点:根据实际问题选择函数类型, 基本不等式 24.(1)3π;(2)3 【分析】(1)正弦定理角化边可得a c b cb a c--=+,利用余弦定理,结合角A 的范围,即可得答案;(2)由(1)得3A π=,由正弦定理可得a 的值,利用余弦定理及均值不等式,即可求得b+c 的最大值,进而可得答案. 【详解】 (1)由sin sin sin A C b c B a c --=+及正弦定理得:a c b c b a c--=+,化简得222b c a bc +-=,∴2221cos 222b c a bc A bc bc +-===,又∵(0,)A π∈,∴3A π=.(2)∵ABC 的外接圆半径为2,3A π=,∴由正弦定理得324sinaR π==,解得3a =∴由余弦定理得2222cos a b c bc A =+-⋅,∴2222212()3()32b c b c bc b c bc b c +⎛⎫=+-=+-≥+- ⎪⎝⎭,∴3b c +≤b c =时,等号成立, ∴ABC 的周长的最大值为63a b c ++=【点睛】本题考查正弦定理、余弦定理、均值定理的应用,考查分析理解,求值化简的能力,属中档题.25.(1)(,2)(5,)-∞⋃+∞;(2)[2,6]-. 【分析】(1)当7a =是,解一元二次不等式求得不等式()0f x >的解集. (2)利用判别式列不等式,解不等式求得a 的取值范围. 【详解】(1)当7a =时,不等式为27100x x -+>,即(2)(5)0x x -->,∴该不等式解集为(,2)(5,)-∞⋃+∞ .(2)由已知得,若x ∈R 时,230+++≥x ax a 恒成立, 24(3)0a a ∴∆=-+≤,即(2)(6)0a a +-≤,∴a 的取值范围为[2,6]-. 【点睛】本小题主要考查一元二次不等式的解法,考查一元二次不等式恒成立问题,属于中档题. 26.(1)详见解析;(2)[]2,4- 【分析】(1)不等式转化为()()10x x k --<,然后分类讨论解不等式;(2)由条件转化为224a b a b +--=,再转化为关于+a b 的一元二次不等式.【详解】(1)()2210x x k kx x k x k -+<⇔-++<,整理为()()10x x k --<,当1k <时,不等式的解集是{}1x k x <<, 当1k =时,不等式的解集是∅, 当1k >时,不等式的解集是{}1x x k <<; (2)由条件可知()()()22f a f b f +=, 即2242a a k b b k k -++-+=+,即()()222424a b a b a b ab a b +--=⇔+--+=,()222a b ab +≤,()()()2242a b a b a b +∴+--+≤,()()2280a b a b +-+-≤ ,即()()240a b a b +++-≤,解得:24a b -≤+≤, 所以+a b 的范围是[]2,4-. 【点睛】本题考查含参一元二次不等式的解法,基本不等式,重点考查转化与化归的思想,讨论的思想,计算能力,属于基础题型.。
高中数学必修5第三章《不等式》单元测试题班级 姓名 座号 分数 一、选择题(3⨯12=36分)1、若,0<<b a 下列不等式成立的是 ( )A 22b a <B ab a <2 C1<a b D ba 11< 2、若,,n m y x >>下列不等式正确的是 ( )A n y m x ->-B yn xm > Cmyn x > D x n y m ->- 3、设,01,0<<-<b a 那么下列各式中正确的是 ( )A 2ab ab a >>B a ab ab >>2C 2ab a ab >>D a ab ab >>24、若角βα,满足22πβαπ<<<-,则βα-的取值范围是 ( )A )0,(π-B ),(ππ-C )2,23(ππ-D ),0(π 5、不等式0322>-+x x 的解集是 ( )A {x|-1<x <3}B {x|x >3或x <-1}C {x|-3<x <1}D {x|x>1或x <-3}6、二次不等式20ax bx c ++>的解集是全体实数的条件是 ( )A ⎩⎨⎧>∆>00a B ⎩⎨⎧<∆>00a C ⎩⎨⎧>∆<00a D ⎩⎨⎧<∆<0a7、设,0>>y x 则下列各式中正确的是 ( )A y xy y x x >>+>2 B x xy yx y >>+>2 C xy y y x x >>+>2 D x xy y x y >≥+>28、已知,,22,,xy c y x R y x ==+∈+那么c 的最大值为 ( )A 1 B21 C 22D 41 9、下列不等式的证明过程正确的是 ( )A 若,,R b a ∈则22=⋅≥+b a a b b a a b B 若+∈R y x ,,则y x y x lg lg 2lg lg ≥+ C 若,-∈R x 则4424-=⋅-≥+xx x x D 若,-∈R x 则222222x x x x --+>⋅= 10、设b a ,为实数且,3=+b a 则ba22+的最小值是 ( )A 6B 24C 22D 6211、不等式x -2y +6>0表示的平面区域在直线x -2y +6=0的 ( )A.右上方B.右下方C.左上方12、在直角坐标系内:满足不等式x 2-y 2≥0的点(x ,y )的集合(用阴影表示)是( )二、填空题(4⨯4=16分)13、不等式230x x ++<的解集是_________。
不等式单元测试题一、选择题1.,a b 是任意实数,且a b >,则下列结论正确的是( )A.22a b >B.1b a < C.1lg()lg a b a b->- D. 33a b --< 2.若点(,)A x y 在第一象限且在236x y +=上移动,则3322log log x y + ( ) A 、最大值为1 B 、最小值为1 C 、最大值为2 D 、没有最大、小值3.已知集合S =R ,2{|230},{||2|2}A x x x B t t =--≤=-<,那么集合()S C A B ⋃等于 A .}30|{≤<x x B .R C .}3,0|{<≤x x x 或 D .{|1,4}x x x <-≥或4.下列各一元二次不等式中,解集为空集的是 ( )A .(x +3)(x -1)>0B .(x +4)(x -1)<0C .x 2-2x +3<0D .2x 2-3x -2>0 5.若0<a <1,则不等式(x -a )(x -1a)>0的解集是 ( ) A .(a ,1a ) B .(1a,a ) C .(-∞,a )∪(1a ,+∞) D .(-∞,1a )∪(a ,+∞) 6.条件:||p x x >,条件2:q x x ≥,则p q 是的( )A 、充要条件B 、既不充分也不必要条件C 、必要不充分条件D 、充分不必要条件7.如果点p (5,b )在平行直线6810x y -+=和 3450x y -+= 之间,则 b 应取值的整数值为 ( )A. 5B. -5C. 4 D . -48.设变量x 、y 满足约束条件⎪⎩⎪⎨⎧-≥≥+≤632x y y x x y ,则目标函数y x z +=2的最小值为( )A .2B .3C .4D .99.设x,y 为正数, 则(x+y)(1x + 4y)的最小值为( )A.6B.9C.12D.1510.不等式212x x <++的解集是( ) A 、(3,2)(0,)--+∞U B 、(,3)(2,0)-∞--U C 、(3,0)- D 、(,3)(0,)-∞-+∞U11.已知平面区域D 由以A(1,3),B(5,2),C(3,1)为顶点的三角形内部及边界组成,若在区域D 上有无穷多个点(,)x y 可使目标函数z x my =+取得最小值,则m 等于A. -2B. -1C. 1D.412.某工厂的年产值第二年比第一年的增长率为p 1,第三年比第二年的增长率是p 2,而这两年中的年平均增长率为p ,在p 1+p 2为定值的情况下,p 的最大值是 ( ) A.21p p B.221p p + C.221p p D.)1)(1(21p p ++二、填空题13.不等式1-x ax <1的解集为{x |x <1或x >2},那么a 的值为__________. 14.动点P(a ,b)在不等式组20x y x y y +-⎧⎪-⎨⎪⎩≤0≥≥0表示的平面区域内部及边界上运动,则12--=a b ω的取值范围是_____________.15.已知关于x 的不等式250ax x a-<-的解集为M ,若5M ∉,则实数a 的取值范围是______. 16.已知两个正实数x 、y 满足x +y =4,则使不等式x 1+y4≥m 恒成立的实数m 的取值范围是__________.三、解答题 17. 设全集为R,集合A={x ∣21log (3-x )2-≥},B={x ∣125≥+x },求)(B A C R ⋂. 18.设2()(8),f x ax b x a ab =+---不等式()0f x >的解集是(-3,2).(1)求()f x ;(2)当函数f (x )的定义域是[0,1]时,求函数()f x 的值域.19.解关于x 的不等式2)1(--x x a >1(a ≠1) 20.央视为改版后的《非常6+1》栏目播放两套宣传片.其中宣传片甲播映时间为3分30秒,广告时间为30秒,收视观众为60万,宣传片乙播映时间为1分钟,广告时间为1分钟,收视观众为20万.广告公司规定每周至少有3.5分钟广告,而电视台每周只能为该栏目宣传片提供不多于16分钟的节目时间.电视台每周应播映两套宣传片各多少次,才能使得收视观众最多? 21.已知函数22(),[1,)x x a f x x x++=∈+∞ (Ⅰ)当12a =时,求函数()f x 的最小值; (Ⅱ)若对任意[1,)x ∈+∞,()0f x >恒成立,试求实数a 的取值范围.22.已知集合},0)]13()[2(|{<+--=a x x x A B=},0)1(2|{2<+--a x a x x 其中.1≠a (1)当2=a 时,求B A I ;(2)求使A B ⊆的实数a 的取值范围不等式综合练习参考答案:一、选择题DADCC DCBBA CB二、填空题 13.21 ;14.(,2][2,)-∞-⋃+∞;15.[1,25] ;16.(-∞,49] 三、解答题 17. 解:A =[-1,3) , B=(-2,3]=B A ⋂∴[-1,3) ),3[)1,()C R +∞--∞=Y I B A (18. 解Q 不等式()0f x >的解集是(-3,2)于是不等式()0f x =的解是-3,2(3)0f -=。
高中数学必修5《不等式》单元测试题一. 选择题:(每小题5分)1. 已知a,b,c ∈R,下列命题中正确的是A 、22bc ac b a >⇒>B 、b a bc ac >⇒>22C 、ba b a 1133<⇒> D 、||22b a b a >⇒> 2.若b <0<a,d <c <0则下列各不等式中必成立的是( )A 、ac >bdB 、db c a < C 、a+c >b+d D 、a-c >b-d 3.不等式(x-3)(2-x )>0的解集是 ( )A 、{x|x <2或x >3}B 、{x|2<x <3}C 、{x|x≠2且x≠3}D 、{x|x≠2或x≠3}4.不等式(a-2)x 2+2(a-2)x-4<0对x ∈R 成立,则a 的取值范围是( )A 、]2,(--∞B 、)2,(--∞C 、]2,2(-D 、)2,2(-5.函数)20(),24(22<<-=x x x y 的最大值是( )A 、0B 、21 C 、2 D 、4 6. 已知+∈R b a ,,且3=+b a ,则b a 22+的最小值是( )A 、8B 、6C 、24D 、627. 设b a <<0,且1=+b a ,在下列四个数中最大的是( )A 、21 B 、b C 、ab2 D 、22b a + 8.不等式2x+y+1<0表示的平面区域在直线2x+y+1=0( )A 、右上方B 、右下方C 、左上方D 、右下方9. 目标函数y x z +=2,变量y x ,满足⎪⎩⎪⎨⎧≥<+≤+-12553034x y x y x ,则有 ( )A 、3,12min max ==z zB 、,12max =z z 无最小值C 、z z ,3min =无最大值D 、z 既无最大值,也无最小值10.有甲、乙两个粮食经销商每次在同一粮食生产地以相同的价格购进粮食,他们共购进粮食两次,各次的粮食价格不同,甲每次购粮10000千克,乙每次购粮食10000元,在两次统计中,购粮的平均价格较低的是( )A 、甲B 、乙C 、一样低D 、不确定二. 填空题:(每小题5分)11. 若角α,β满足-2π<α<β<2π,则2α-β的取值范围是 。
第三章不等式单元综合测试时间:120分钟分值:150分第Ⅰ卷(选择题,共60分)1.不等式x2≥2x的解集是()A.{x|x≥2} B.{x|x≤2}C.{x|0≤x≤2} D.{x|x≤0或x≥2}解析:原不等式化为x2-2x≥0,则x≤0或x≥2.答案:D2.若a、b、c∈R,a>b,则下列不等式成立的是()A.1a<1bB.a2>b2C.ac2+1>bc2+1D.a|c|>b|c|解析:根据不等式的性质,知C正确;若a>0>b,则1a>1b,A不正确;若a=1,b=-2,则B不正确;若c=0,则D不正确,所以选C.答案:C3.若a,b,c是不全相等的正数.给出下列判断:①(a-b)2+(b-c)2+(c-a)2≠0;②a>b与b<a及a=b中至少有一个成立;③a≠c,b≠c,a≠b不能同时成立.其中正确判断的个数为()A.0 B.1C.2 D.3答案:D4.直线3x+2y+5=0把平面分成两个区域,下列各点与原点位于同一区域的是() A.(-3,4) B.(-3,-4)C.(0,-3) D.(-3,2)解析:当x=y=0时,3x+2y+5=5>0,所以原点一侧的平面区域对应的不等式是3x +2y+5>0,可以验证,仅有点(-3,4)的坐标满足3x+2y+5>0.答案:A5.已知m,n∈R+,且m+n=2,则mn有()A .最大值1B .最大值2C .最小值1D .最小值2 解析:∵m ,n ∈R +,∴mn ≤(m +n 2)2=1.答案:A6.设M =2a (a -2)+3,N =(a -1)(a -3),a ∈R ,则有( ) A .M >N B .M ≥N C .M <ND .M ≤N解析:M -N =2a (a -2)+3-(a -1)(a -3)=a 2≥0,所以M ≥N . 答案:B7.若1a <1b<0,则下列不等式:①a +b <ab ;②|a |>|b |;③a <b ;④b a +ab >2,其中正确的不等式是( )A .①②B .②③C .①④D .③④解析:由于1a <1b <0,则b <a <0,则③不正确;又a +b <0<ab ,则①正确;b 2-a 2=(b +a )(b-a )>0,所以b 2>a 2,则|b |>|a |,所以②不正确;b a >0,a b >0,且b a ≠a b ,则b a +ab>2,所以④正确.答案:C8.设x ,y >0,且x +2y =3,则1x +1y 的最小值为( )A .2B.32 C .1+223D .3+2 2解析:1x +1y =13(3x +3y )=13(x +2y x +x +2y y )=13(2y x +x y +3)≥13(22+3)=232+1,当且仅当2y x =x y ,即x =32-3,y =3-322时取等号. 答案:C9.若实数x ,y 满足⎩⎪⎨⎪⎧x -y +1≥0x +y ≥0x ≤0,则z =3x +2y 的最小值是( )A .0B .1 C. 3D .9解析:在坐标平面内画出已知不等式组表示的平面区域,此区域是以O (0,0),A (0,1),B (-12,12)为顶点的三角形内部(含边界).当x =y =0时,x +2y 取最小值0,所以z =3x +2y的最小值是1. 答案:B10.不等式ax 2+bx +2>0的解集是(-12,13),则a -b 等于( )A .10B .14C .-4D .-10解析:∵2a =(-12)×13=-16,∴a =-12.又-b a =-12+13=-16,∴b =-2,∴a -b =-10.答案:D11.某人要买房,调查数据显示:随着楼层的升高,上下楼耗费的体力增多,因此不满意度升高,当住第n 层楼时,上下楼造成的不满意度为n ;但高处空气清新,嘈杂音较小,环境较为安静,因此随着楼层的升高,环境不满意度降低,当住第n 层楼时,环境不满意度为8n,则此人应选( ) A .1楼 B .2楼 C .3楼D .4楼解析:只需求不满意度n +8n 的最小值.由均值不等式得n +8n ≥42,当且仅当n =8n ,即n =22≈3时,n +8n取得最小值.答案:C12.设函数f (x )=x 3+x ,x ∈R ,若当0≤θ<π2时,f (m sin θ)+f (1-m )>0恒成立,则实数m的取值范围是( )A .(0,1)B .(-∞,0)C .(-∞,12)D .(-∞,1)解析:∵f (x )=x 3+x ,x ∈R 是奇函数且是增函数,∴f (m sin θ)+f (1-m )>0恒成立,即f (m sin θ)>f (m -1),∴m sin θ>m -1,即m <11-sin θ.∵θ∈[0,π2),∴11-sin θ≥1,∴m <1.答案:D第Ⅱ卷(非选择题,共90分)二、填空题(每小题5分,共20分)13.不等式x -x 2>0的解集是________. 解析:原不等式等价于x 2-x <0,解得0<x <1. 答案:{x |0<x <1}14.x ≥0,y ≥0,x +y ≤4所围成的平面区域的周长是________. 解析:图1如下图1中阴影部分所示,围成的平面区域是Rt △OAB . 可求得A (4,0),B (0,4),则OA =OB =4,AB =42, 所以Rt △OAB 的周长是4+4+42=8+4 2. 答案:8+4 215.某种汽车,购车费用是10万元,每年使用的保险费、养路费、汽油费约为0.9万元,年维修费第一年是0.2万元,以后逐年递增0.2万元.那么这种汽车使用________年时,它的平均费用最少.解析:设使用x 年平均费用最少,由年维修费第一年是0.2万元,以后逐年递增0.2万元,可知汽车年维修费构成首项为0.2万元,公差为0.2万元的等差数列.因此,汽车使用x 年总的维修费用为0.2+0.2x2x 万元,设汽车的年平均费用为y 万元,则有y =10+0.9x +0.2+0.2x2xx =10+x +0.1x 2x =1+10x +x 10≥1+210x ·x 10=3.当且仅当10x =x10,即x =10时,y 取最小值.答案:1016.若关于x 的不等式4x -2x +1-a ≥0在区间[1,2]上恒成立,则实数a 的取值范围为________.解析:设y =4x -2x +1=(2x )2-2·2x =(2x -1)2-1.由于1≤x ≤2,则2≤2x ≤4,由二次函数性质,知当2x=2,即x =1时y 有最小值0,所以原不等式在区间[1,2]上恒成立,只要a ≤0.答案:(-∞,0]三、解答题(写出必要的计算步骤,只写最后结果不得分,共70分) 17.(本小题10分)已知a >0,试比较a 与1a的大小.解:a -1a =a 2-1a =(a -1)(a +1)a.因为a >0,所以当a >1时,(a -1)(a +1)a >0,有a >1a ;当a =1时,(a -1)(a +1)a =0,有a =1a ;当0<a <1时,(a -1)(a +1)a <0,有a <1a. 综上,当a >1时,a >1a ;当a =1时,a =1a ;当0<a <1时,a <1a.18.(本小题12分)已知a 、b 、c 为不等正数,且abc =1.求证:a +b +c <1a +1b +1c 解:方法1:∵a 、b 、c 为不等正数,且abc =1,∴a +b +c =1bc +1ca +1ab<1b +1c 2+1c +1a 2+1a +1b 2=1a +1b +1c.故原不等式成立. 方法2:∵a 、b 、c 为不等正数,且abc =1,∴1a +1b +1c =bc +ca +ab =bc +ca 2+ca +ab 2+ab +bc 2>abc 2+a 2bc +ab 2c =a +b +c .故原不等式成立.19.(本小题12分)已知实数x ,a 1,a 2,y 成等差数列,x ,b 1,b 2,y 成等比数列,求(a 1+a 2)2b 1b 2的取值范围.解:因为x ,a 1,a 2,y 成等差数列,所以x +y =a 1+a 2. 因为x ,b 1,b 2,y 成等比数列,所以xy =b 1b 2,且xy ≠0. 所以(a 1+a 2)2b 1b 2=(x +y )2xy x 2+y 2+2xy xy =x 2+y 2xy+2.当x 、y 同号时,x 2+y 2≥2xy ,当且仅当x =y 时,等号成立,又xy ≠0,所以上式≥2xyxy +2=4;当x 、y 异号时,x 2+y 2≥2|xy |,当且仅当|x |=|y |时,等号成立,又xy ≠0,所以上式≤2|xy |xy+2=0.故(a 1+a 2)2b 1b 2的取值范围为(-∞,0]∪[4,+∞).20.(本小题12分)设集合A 、B 分别是函数y =1x 2+2x -8与函数y =lg(6+x -x 2)的定义域,C ={x |x 2-4ax +3a 2<0}.若A ∩B ⊆C ,求实数a 的取值范围.解:由x 2+2x -8>0,得x <-4或x >2,所以A ={x |x <-4或x >2};由6+x -x 2>0,即x 2-x -6<0,得-2<x <3,所以B ={x |-2<x <3}.于是A ∩B ={x |2<x <3}.由x 2-4ax +3a 2<0,得(x -a )(x -3a )<0,当a >0时,C ={x |a <x <3a },由A ∩B ⊆C ,得⎩⎪⎨⎪⎧ a ≤23a ≥3,所以1≤a ≤2;当a =0时,不等式x 2-4ax +3a 2<0即为x 2<0,解集为空集,此时不满足A ∩B ⊆C ;当a <0时,C ={x |3a <x <a },由A ∩B ⊆C ,得⎩⎪⎨⎪⎧3a ≤2a ≥3,此不等式组无解.综上,满足题设条件的实数a 的取值范围为{a |1≤a ≤2}.21.(本小题12分)某工厂生产甲、乙两种产品,其产量分别为45个与55个,所用原料分别为A 、B 两种规格的金属板,每张面积分别为2 m 2与3 m 2.用A 种规格的金属板可造甲种产品3个,乙种产品5个;用B 种规格的金属板可造甲、乙两种产品各6个.问A 、B 两种规格的金属板各取多少张,才能完成计划,并使总的用料面积最省?解:图2设A ,B 两种金属板各取x 张,y 张,用料面积为z ,则约束条件为 ⎩⎪⎨⎪⎧3x +6y ≥45,5x +6y ≥55,x ≥0,y ≥0,目标函数z =2x +3y .作出可行域,如右图2所示的阴影部分.目标函数z =2x +3y 即直线y =-23x +z 3,其斜率为-23,在y 轴上的截距为z3,且随z 变化的一族平行线.由图知,当直线z =2x +3y 过可行域上的点M 时,截距最小,z 最小.解方程组⎩⎪⎨⎪⎧5x +6y =55,3x +6y =45,得M 点的坐标为(5,5),此时z min =2×5+3×5=25(m 2),即两种金属板各取5张时,用料面积最省.图322.(本小题12分)如图3所示,将一矩形花坛ABCD 扩建成一个更大的矩形花坛AMPN ,要求B 点在AM 上,D 点在AN 上,且对角线MN 过C 点,已知|AB |=3米,|AD |=2米.(1)要使矩形AMPN 的面积大于32平方米,则AN 的长度应在什么范围内? (2)当AN 的长度是多少时,矩形AMPN 的面积最小?并求出最小值.解:设AN 的长为x 米(x >2),由|DN ||AN |=|DC ||AM ||AM |=3x x -2,∴S 矩形AMPN =|AN |·|AM |=3x 2x -2.(1)由S 矩形AMPN >32,得3x 2x -2>32,又x >2,则3x 2-32x +64>0,解得2<x <83或x >8,即AN 长的取值范围为(2,83)∪(8,+∞).(2)y =3x 2x -2=3(x -2)2+12(x -2)+12x -2=3(x -2)+12x -2+12 ≥23(x -2)×12x -2+12=24, 当且仅当3(x -2)=12x -2,即x =4时,取等号,∴当AN 的长度是4米时,矩形AMPN 的面积最小,最小值为24平方米.。
高中数学必修5不等式训练(含详细答案)第三章 不等式一、选择题.1. 若 a ∈R ,则下列不等式恒成立的是( ).A. a 2 + 1>aB.112+a <1C. a 2 + 9>6aD. lg (a 2 +1)>lg|2a |2. 下列函数中,最小值为 2 是( ).A. y =xx 55+,x ∈R ,且 x ≠0 B. y = lg x+x lg 1,1<x <10C. y = 3x + 3-x ,x ∈RD. y = sin x+x sin 1,2π0<<x3. 不等式组 表示的平面区域的面积等于( ).A. 28B. 16C.439 D. 1214. 不等式 lg x 2<lg 2x 的解集是( ).x ≤3 x + y ≥0 x - y + 2≥0A. ⎪⎭⎫⎝⎛11001, B. (100,+∞)C.⎪⎭⎫⎝⎛11001,∪(100,+∞)D. (0,1)∪(100,+∞)5. 不等式(x 4 - 4)-(x 2 - 2)≥0 的解集是( ).A. x ≥2,或 x ≤-2B. -2≤x ≤2C. x <-3,或 x >3D. -2<x <2 6. 若 x ,y ∈R ,且 x + y = 5,则 3x + 3y 的最小值是( ).A. 10B.C.D. 7. 若 x >0,y >0,且 281x y+=,则 xy 有( ).A. 最大值 64B. 最小值164C. 最小值12D. 最小值648. 若 ,则目标函数 z = 2x + y 的x ≤2 y ≤2x + y ≥1取值范围是( ).A. [0,6] B . [2,4] C. [3,6] D. [0,5] 9. 若不等式 ax 2 + bx + c >0 的解是 0<α<x <β,则不等式 cx 2 - bx + a >0 的解为( ).A. α1<x <β1B. -β1<x <-α1C. -α1<x <-β1D. β1<x <α110. 若 a >0,b >0 ,且1a b +=,则⎪⎭⎫ ⎝⎛-⎪⎭⎫ ⎝⎛-111122b a 的最小值是( ).A. 9B. 8C.7D. 6二、填空题. 1. 函数y 的定义域是 .2. 若 x ,y 满足 ,则x y 的最大值为____________________,最小值x + 2y - 5≤0x ≥1y ≥0 x + 2y - 3≥0为_________________.3. 函数y=的最大值为.4. 若直角三角形斜边长是1,则其内切圆半径的最大值是.5. 若集合A = {(x,y)| |x| + |y|≤1},B = {(x,y)|(y-x)(y+x)≤0},M = A∩B,则M的面积为___________.6. 若不等式2x - 1>m(x2 - 1)对满足-2≤m≤2 的所有m都成立,则x的取值范围是.三、解答题.1. 若奇函数f(x)在其定义域(-2,2)上是减函数,且f(1 - a)+ f(1 - a2)<0,求实数a的取值范围.2. 已知 a >b >0,求216()a b a b +-的最小值.3. 设实数 x ,y 满足不等式组 .(1)作出点(x ,y )所在的平面区域; (2)设 a >-1,在(1)所求的区域内,求f (x ,y )= y – ax 的最大值和最小值.1≤x + y ≤4y + 2≥|2x - 3|4. 某工厂拟建一座平面图形为矩形,且面积为200 m2 的三级污水处理池(平面图如右). 如果池外圈周壁建造单价为每米400 元,中间两条隔墙建筑单价为每米248 元,池底建造单价为每平方米80 元,池壁的厚度忽略不计. 试设计污水池的长和宽,使总造价最低,并求出最低造价.参考答案一、选择题. 1. A【解析】A :a 2 - a + 1 = a 2- a +4341+=221⎪⎭⎫ ⎝⎛-a +43>0. a 2 + 1>a 恒成立.B :当 a = 0 时,左 = 右.C :当 a = 3 时,左 = 右.D :当 a = ±1 时,左 = 右. 2. C【解析】A :y 没有最小值. B :∵ 1<x <10, ∴ 0<lg x <1. ∴ y ≥2.lg x =1,即x =10时,y min = 2. 此时不符合1<x <10. C :∵ 3x >0, ∴ y = 3x +x31≥2.x = 0时,y min = 2. D :∵ 0<x <2π, ∴ sin x >0. ∴ y ≥2.当 sin x =xsin 1时,此时 sin x = 1,x =2π,不符合 0<x <2π. 3. B【解析】由不等式组,画出符合条件的平面区域(下图阴影部分).解两两直线方程组成的方程组,可得 A (3,5),B (3,-3), C (-1,1).∴ S 阴 =21· |AB | · |x A - x c | = 21×8×4 = 16. 4. D 【解析】∵∴ x >0. ∵ lg x 2<lg 2x , ∴ lg 2x - 2lg x >0. ∴ lg x >2 ,或 lg x <0, ∴ x >100 ,或 0<x <1. 5. A【解析】∵(x 4 - 4)-(x 2 - 2)≥ 0,∴ x 4 - x 2 - 2≥0,∴(x 2 - 2)(x 2 + 1)≥0.x 2>0,x >0,∴ x 2≥2.∴ x ≥2,或 x ≤-2. 6. D【解析】 3x + 3y ≥2yx33⋅= 2yx +3,∴ 3x + 3y ≥2×9×3= 183,当 x = y =25时,等号成立.7. D 【解析】 yx 82+≥2yx 82⋅= 8xy 1,当yx 82=,即 时,8xy1取最大值,即 xy取最小值 64. 8. A【解析】 据不等式组画出可行域.易知 A (-1,2),B (2,2).将 y = -2x 进行平移,当直线过 A 点时,z min = 0,当直线过 B 点时,z max = 6. 9. Cx = 4, y = 16【解析】由题知, 且 a <0.∴ b = -a (α + β ), c = a (αβ ).∴ 所求不等式可代为 a (αβ )x 2 + a (α + β )x + a >0.∴(αβ )x 2 +(α + β )x + 1<0. ∴(αx + 1)(βx + 1)<0. ∵ 0<α<β,∴ -α1<-β1. ∴ -α1<x <-β1. 10. A 【解析】⎪⎭⎫⎝⎛-⎪⎭⎫ ⎝⎛-111122b a =22221b a b a --+ 1 =22222)(b a b a b a --++ 1=ab 2+1≥222⎪⎭⎫⎝⎛+b a + 1 = 9.∴ 当 a = b=21时,原式取最小值 9.二、填空题. 1. (-8,8).【解析】∵ 64 - x 2>0 ∴ x 2<64,-8<xα + β = ab- α β = ac<8,即(-8,8).2. 2,0.【解析】 据不等式组画出可行域.由图可知,2max=⎪⎭⎫⎝⎛xy ,=⎪⎭⎫ ⎝⎛m inxy 0.3. 21. 【解析】设 x = cos , ∈[0,π]. ∴ y = cos sin =21sin 2 . ∵ ∈[0,π],∴ 2 ∈[0,2π],∴ y max =21,此时 =4π,x = cos 4π=22. 4. 21-.【解析】如图,r =21-+b a =212-+b a ≤21222-+b a =2122-=212-. 当且仅当 a = b =22时, r max =212-.5. 1.【解析】如图,M 为阴影部分. M 的面积为()2221⨯= 1.6. 271+-<x <231+. 【解析】令 f (m )= m (x 2 - 1)-(2x - 1)(x ≠±1),把它看作关于 m 的一次函数.由于 -2≤m ≤2 时,f (m )<0 恒成立,x 2 - 1>0 x 2 - 1<0 ∴ 或f (2)<0 f (-2)<0解得 1<x <231+,或271+-<x <1,又x = 1 时,亦符合题意.∴ 271+-<x <231+. 三、解答题.1. 由f (1 - a )+ f (1 - a 2)<0,得 f (1 - a )<- f (1 - a 2). 又因为函数f (x )为奇函数,所以- f (1 - a 2) = f (a 2 - 1).∴ f (1 - a )< f (a 2 - 1). 又∵ 函数 f (x ) 在其定义域(-2,2)上是减函数,1 - a >a2 – 1 -2<a <1 ∴ -2<1 - a <2 解得 -1<a <3-2<a 2 - 1<2 -3<a <3∴ a ∈(-1,1).2. 由 a >b >0 知,a - b >0,∴ b (a - b )≤4222a b a b =⎪⎭⎫⎝⎛-+.∴ a 2 +)(16b a b -≥a 2 +264a ≥22264a a ⋅= 16.当且仅当 a 2 =264a,b = a - b , 即当 a = 22,b =2时,a 2 +)(16b a b -取得最小值 16.3. (1)(-3,7) 【解析】(2) 最大值为7+3a ,最小值为4. 【解】设污水池总造价为 y 元,污水池长为 x m. 则宽为x200m ,水池外圈周壁长2x + 2 · x 200(m ),中间隔墙长2 · x200(m ),池底面积200(m 2).∴ y = 400⎪⎭⎫⎝⎛+⋅x x 20022+ 248 · x 200 · 2 + 80×200 = 800⎪⎭⎫⎝⎛+x x 324+ 16 000- 1- 2a , -1<a ≤2 1 - 3a , a >2≥1 600xx 324+ 16 000 = 44 800.当且仅当 x =x324,即 x = 18,x 200=9100时,y min = 44 800.答:当污水池长为 18 m ,宽为9100m 时,总造价最低,最低为 44 800元.。
班级_________ 姓名_____________ 学号____________ 分数 ___________ 《必修五单元测试三不等式》测试卷(A卷)(测试时间:120分钟满分:150分)第I卷(共60分)一、选择题:本大题共12个小题,每小题5分,共60分•在每小题给出的四个选项中,只有一项是符合题目要求的.1.在不等式x + 2y-1>0表示的平面区域内的点是()A. (1,-1)B. (0,1)C. (1,0)D. (-2,0)【答案】B【解析】试题分析:・・・1+2><(_1)_1〈0;0+2><1_1血1 + 2><0-1 = 0;-2 + 2><0-1<0,二可知点(0丄)在不等式x+2y-l >0表示的平面区域內.故B正确.2.已知集合A = [xeN\x2-5x + 4<0], B = {x\x2-4 = o],下列结论成立的是()A. Be A B_. A\J B = A C. Ar\B = A D. AcB = {2}【答案】D【解析】由已知得A = {123,4}, B = {-2,2},则AcB = {2},故选D.x>l3.区域{y>\构成的儿何图形的面积是()x+y<3A. 2B. 1C. 一D.-4 2【答案】D【解析】画出不等式组表示的区域如图,结合图形对知区域三角形的面积是S=-xlxl=l,应选答案D.2 24.[2018届河南省中原名校高三上学期第一次质】若a<b<0,则下列不等关系屮,不能成立的是1 ] ] ] 1 1A. ->-B. -------------------- >-C. a3 <b3D. a2 > b2a b a~b a【答案】B【解析]Va<b<0,.\a<a - b<0由y =丄在(一a,0)上单调递减知:一-— < 丄x a~b a因此B不成立.故选:B.5.不等式乞二L>0的解集是()x + 3A. _,+8B. (4,+00)、2(J 、C. (-00, -3)U(4, +oo)D. (-00,-3)u —,+oo【答案】D【解析】分式不等式可转换为二次不等式:(2兀一1)(兀+3)>0,(\ \据此可得不等式的解集为:(-00,-3)u -,+a)>本题选择D选项.6.已知关于兀的不等式x2-4x>m对任意XG(O,1]恒成立,则有()A. m <一3B. m >—3C. —3 < m < 0D. m > ~4【答案】A【解析1 vx2-4x> w对任意xe[O3l]恒成立,令/(x)=x2-4x s xe[0a l], v f(x)的对称轴为x = 2 ,二/ (x)在[0 J]单调递减,二当* 1时取到最小值为-3 ,:.实数w的取值范围是w<-3,故选A.X>1x + y<47.【2018届四川省南充市高三零诊】若实数俎y满足lx-2y-lS0 ,贝ljz = 2x + y的最大值为()A. 2B. 5C. 7D. 8【答案】C【解析】作出可行域:学@科网rf]Z = 2x +儿可得:y=- 2x + z,平行移动丿=-2兀+ z,由图象可知当直线经过点A时,直线的纵截距最大, 即z最大;易得A(3, 1),带入目标惭数z = 2咒+儿得:z = 2x3 + l = 7,即z = 2兀+ y的最大值为7故选:C.8.已知/(兀)=0?+加,且满足:15/(1)53,-1</(-1)<1,则/(2)的取值范围是()A. [0,12] B. [2,10] C. [0,10] D. [2,12]【答案】B【解析】・・・/(兀)=血2+加且15/(1)53, -1</(-1)<1, :.\<a + b<3, -\<a-b<\,JV+V =4 x— 3/(2)= 4a + 2b,令4d + " = x(Q+b) + y(a—b),可得{7-,解得{—,即x-y=2 y=l4a + 2/? = 3(Q+b)+(o—b), ・・・353(d+b)59, 253(a+b)+(d—b)510,则/(2)的取值范围是[2,10],故选B.F — r — 69.不等式一<0的解集为()兀—1A. {兀|兀(一2或»1}B. {兀| 兀<一2或vxv3}C. {兀|-2v兀〈1或x〉3}D. {%|-2VJVV1或lcxv3}【答案】B【解析】不等式即:(〒)(节2)<0(-1)转化为高次不等式:(x-3)(x+2)(x-l)<0利用数轴穿根法解得x < —2或1 v尢v 3 ,本题选择B选项.点睛:解不等式的基本思路是等价转化,分式不等式整式化,使要求解的不等式转化为一元一次不等式或一元二次不等式,进而获得解决.10.若a,bER且必>0,则下列不等式中,恒成立的是()11 2 b a9 9.—— +「> ~严= —d—二2A. a + b > 2ab g a + b > Q a b ^Jab D. Q b'【答案】D【解析】对于选项A,当a = b时不成立;对于选项巧当a<0.b<0或a = b > 0时不成立;对于选项C, 当aV0,b<0时不成立:对于选项D,因为ab>0,所以;>0^>0,由基本不等式有恒成立, 故选D.y>0尤-y + 1 二011.[2018届广东省茂名市五大联盟学校高三9月】设绘y满足约束条件U + y-3<0,贝ijz = x-3y的最大值为()A. 3B. -5C. 1D. -1【答案】Ax - y +1 > 0 y = _x —z —z画出不等•式组k + 表示的区域如图,则问题转化为求动直线 3 B 在y 上的截距B 的最小值 1 1的问题,结合图形可知:当动直线一孑经过点P (3,0)^, z nlax = 3-3x0 = 3,应选答案A .12. [2018届云南省师范大学附属中学高三月考一】若直线ax + by-2 = Q (d>0』>0)始终平分圆第II 卷(共90分)二、填空题(每题5分,满分20分,将答案填•在答题纸上)13.【2018届江苏省泰州屮学高三上学期开学】已知点PU ,y )满足<-XI y>>-+ y Xy z ~~ _贝I 」X 的最大值为 __________【解析】画出满足条件的半面区域,如图示:由z【答案】D【解析】x 2+y 2-2x-2y = 2 的周长,则眾的最小值为(3-2^2 43-2^2 ~2-D.【解析】直线平分圆周,则直线过圆心(1」),所以有G + b = 2,-!- +丄二丄(d + b) — 2ci b 2、)"(1 1)• -I 2G b )b = y[2a 时取“二”),故选 D.y咒表示过平面区域的点Qy)与(°,°)的直线的斜率,显然直线过力仃,3)时,z取得最大值,x故答案为:3.14. [2018届河南省中原名校高三上学期第一次联考】某学生计划用不超过50元钱购买单价分别为6元、7元的软皮和硬皮两种笔记本,根据需要软皮笔记本至少买3本,硬皮笔记本至少买2本,则不同的选购方式共有. _________ 种.【答案】7.(6x + 7y < 50% > 3沖2【解析】根据题意,设买x本软皮笔记本,y本硬皮笔记本,则有I ,32y <——当x=3时,7 ,可取的值.为2、3、4;26y < —当x=4时,7,可取的值为2、3;20y <——当x=5时,一7,可取的值为2;14y <——当X二6时,7,可取的值为2;共7种不同的选购方式;故答案为:7.15.若不等式x2-ax-b< 0的解集为何2VXV3},则不等式bx2-ax-l>0的解集为_____________________【答案】【解析】.••不等式x2-ax-b<0的解集为{x|2<x<3})・・・2,3是一元二次方程x2-ax-b = 0的两个实数根,2 +3 = a[2 x 3 =- b ,解得。
人教版必修五《不等式》单元测试题 一、选择题(本大题共10小题,每小题5分,共50分) 1.不等式x 2≥2x の解集是( )A .{x |x ≥2}B .{x |x ≤2}C .{x |0≤x ≤2}D .{x |x ≤0或x ≥2} 2.下列说法正确の是( )A .a >b ⇒ac 2>bc 2B .a >b ⇒a 2>b 2C .a >b ⇒a 3>b 3D .a 2>b 2⇒a >b3.直线3x +2y +5=0把平面分成两个区域,下列各点与原点位于同一区域の是( ) A .(-3,4) B .(-3,-4) C .(0,-3) D .(-3,2)4.不等式x -1x +2>1の解集是( )A .{x |x <-2}B .{x |-2<x <1}C .{x |x <1}D .{x |x ∈R } 5.设M =2a (a -2)+3,N =(a -1)(a -3),a ∈R ,则有( ) A .M >N B .M ≥N C .M <N D .M ≤N 6.不等式组⎩⎪⎨⎪⎧2x -y +2≥0,x +y -2≤0,y ≥0表示の平面区域の形状为( )A .三角形B .平行四边形C .梯形D .正方形7.设z =x -y ,式中变量x 和y 满足条件⎩⎪⎨⎪⎧x +y -3≥0,x -2y ≥0,则z の最小值为( )A .1B .-1C .3D .-38.若关于x の函数y =x +m2x在(0,+∞)の值恒大于4,则( )A .m >2B .m <-2或m >2C .-2<m <2D .m <-2 9.已知定义域在实数集R 上の函数y =f (x )不恒为零,同时满足f (x +y )=f (x )·f (y ),且当x >0时,f (x )>1,那么当x <0时,一定有( ) A .f (x )<-1 B .-1<f (x )<0 C .f (x )>1 D .0<f (x )<110.若x +23x -5<0,化简y =25-30x +9x 2-(x +2)2-3の结果为( )A .y =-4xB .y =2-xC .y =3x -4D .y =5-x二、填空题(本大题共5小题,每小题5分,共25分)11.对于x ∈R ,式子1kx 2+kx +1恒有意义,则常数k の取值范围是_________.12.不等式log 12(x 2-2x -15)>log 12(x +13)の解集是_________.13.函数f (x )=x -2x -3+lg 4-x の定义域是__________.14.x ≥0,y ≥0,x +y ≤4所围成の平面区域の周长是________.15.某商家一月份至五月份累计销售额达3860万元.预测六月份销售额为500万元,七月份销售额比六月份递增x %,八月份销售额比七月份递增x %,九、十月份销售总额与七、八月份销售总额相等.若一月份至十月份销售总额至少达7000万元,则x の最小值是________.三、解答题(本大题共6小题,共75分)16.(12分)已知a >b >0,c <d <0,e <0,比较e a -c 与eb -dの大小.17.(12分)解下列不等式:(1)-x 2+2x -23>0; (2)9x 2-6x +1≥0.18.(12分)已知m ∈R 且m <-2,试解关于x の不等式:(m +3)x 2-(2m +3)x +m >0.19.(12分)已知非负实数x ,y 满足⎩⎪⎨⎪⎧2x +y -4≤0,x +y -3≤0.(1)在所给坐标系中画出不等式组所表示の平面区域; (2)求z =x +3y の最大值.20.(13分)经市场调查,某超市の一种小商品在过去の近20天内の销售量(件)与价格(元)均为时间t (天)の函数,且销售量近似满足g (t )=80-2t (件),价格近似满足f (t )=20-12|t -10|(元).(1)试写出该种商品の日销售额y 与时间t (0≤t ≤20)の函数表达式; (2)求该种商品の日销售额y の最大值与最小值.21.(14分)某工厂有一段旧墙长14 m ,现准备利用这段旧墙为一面建造平面图形为矩形,面积为126 m 2の厂房,工程条件是:(1)建1 m 新墙の费用为a 元;(2)修1 m 旧墙の费用为a4元;(3)拆去1 m の旧墙,用可得の建材建1 m の新墙の费用为a2元.经讨论有两种方案:①利用旧墙x m(0<x <14)为矩形一边;②矩形厂房利用旧墙の一面长x ≥14. 试比较①②两种方案哪个更好.必修5第三章《不等式》单元测试题命题:水果湖高中 胡显义1.解析:原不等式化为x 2-2x ≥0,则x ≤0或x ≥2. 答案:D2.解析:A 中,当c =0时,ac 2=bc 2,所以A 不正确;B 中,当a =0>b =-1时,a 2=0<b 2=1,所以B 不正确;D 中,当(-2)2>(-1)2时,-2<-1,所以D 不正确.很明显C 正确.答案:C3.解析:当x =y =0时,3x +2y +5=5>0,所以原点一侧の平面区域对应の不等式是3x +2y +5>0,可以验证,仅有点(-3,4)の坐标满足3x +2y +5>0.答案:A4.解析:x -1x +2>1⇔x -1x +2-1>0⇔-3x +2>0⇔x +2<0⇔x <-2.答案:A5.解析:M -N =2a (a -2)+3-(a -1)(a -3)=a 2≥0, 所以M ≥N . 答案:B6.解析:在平面直角坐标系中,画出不等式组表示の平面区域,如下图中の阴影部分.则平面区域是△ABC . 答案:A7.解析:画出可行域如下图中の阴影部分所示.解方程组⎩⎪⎨⎪⎧x +y -3=0,x -2y =0.得A (2,1).由图知,当直线y =x -z 过A 时,-z 最大,即z 最小,则z の最小值为2-1=1.答案:A8.解析:∵x +m 2x≥2|m |,∴2|m |>4.∴m >2或m <-2. 答案:B9.解析:令x =y =0得f (0)=f 2(0), 若f (0)=0,则f (x )=0·f (x )=0与题设矛盾.∴f (0)=1.又令y =-x ,∴f (0)=f (x )·f (-x ),故f (x )=1f (-x ).∵x >0时,f (x )>1,∴x <0时,0<f (x )<1,故选D. 答案:D10.解析:∵x +23x -5<0,∴-2<x <53.而y =25-30x +9x 2-(x +2)2-3=|3x -5|-|x +2|-3=5-3x -x -2-3=-4x .∴选A.答案:A二、填空题(填空题の答案与试题不符)11.对于x ∈R ,式子1kx 2+kx +1恒有意义,则常数k の取值范围是__________.解析:式子1kx 2+kx +1恒有意义,即kx 2+kx +1>0恒成立.当k ≠0时,k >0且Δ=k 2-4k <0,∴0<k <4;而k =0时,kx 2+kx +1=1>0恒成立,故0≤k <4,选C.答案:C ?12.函数f (x )=x -2x -3+lg 4-x の定义域是__________.解析:求原函数定义域等价于解不等式组⎩⎪⎨⎪⎧x -2≥0,x -3≠0,4-x >0,解得2≤x <3或3<x <4.∴定义域为[2,3)∪(3,4). 答案:[2,3)∪(3,4)13.x ≥0,y ≥0,x +y ≤4所围成の平面区域の周长是________. 解析:如下图中阴影部分所示,围成の平面区域是Rt △OAB .可求得A (4,0),B (0,4),则OA =OB =4,AB =42,所以Rt △OAB の周长是4+4+42=8+4 2. 答案:8+4 214.已知函数f (x )=x 2-2x ,则满足条件⎩⎪⎨⎪⎧f (x )+f (y )≤0,f (x )-f (y )≥0の点(x ,y )所形成区域の面积为__________.解析:化简原不等式组⎩⎪⎨⎪⎧(x -1)2+(y -1)2≤2,(x -y )(x +y -2)≥0, 所表示の区域如右图所示,阴影部分面积为半圆面积. 答案:π 15.(2010·浙江高考)某商家一月份至五月份累计销售额达3860万元.预测六月份销售额为500万元,七月份销售额比六月份递增x %,八月份销售额比七月份递增x %,九、十月份销售总额与七、八月份销售总额相等.若一月份至十月份销售总额至少达7000万元,则x の最小值是________.解析:由已知条件可得,七月份销售额为500×(1+x %),八月份销售额为500×(1+x %)2,一月份至十月份の销售总额为3860+500+2[500(1+x %)+500(1+x %)2],可列出不等式为4360+1000[(1+x %)+(1+x %)2]≥7000.令1+x %=t ,则t 2+t -6625≥0,即⎝⎛⎭⎫t +115⎝⎛⎭⎫t -65≥0.又∵t +115≥0,∴t ≥65,∴1+x %≥65,∴x %≥0.2,∴x ≥20.故x の最小值是20. 答案:20三、解答题(本大题共6小题,共75分)16.(12分)已知a >b >0,c <d <0,e <0,比较e a -c 与eb -dの大小.解:e a -c -eb -d =e (b -d )-e (a -c )(a -c )(b -d )=(b -a )+(c -d )(a -c )(b -d )e .∵a >b >0,c <d <0,∴a -c >0,b -d >0,b -a <0,c -d <0.又e <0,∴e a -c -e b -d >0.∴e a -c >eb -d.17.(12分)解下列不等式:(1)-x 2+2x -23>0;(2)9x 2-6x +1≥0.解:(1)-x 2+2x -23>0⇔x 2-2x +23<0⇔3x 2-6x +2<0.Δ=12>0,且方程3x 2-6x +2=0の两根为x 1=1-33,x 2=1+33,∴原不等式解集为{x |1-33<x <1+33}.(2)9x 2-6x +1≥0⇔(3x -1)2≥0. ∴x ∈R .∴不等式解集为R .18.(12分)已知m ∈R 且m <-2,试解关于x の不等式:(m +3)x 2-(2m +3)x +m >0. 解:当m =-3时,不等式变成3x -3>0,得x >1; 当-3<m <-2时,不等式变成(x -1)[(m +3)x-m ]>0,得x >1或x <mm +3;当m <-3时,得1<x <mm +3.综上,当m =-3时,原不等式の解集为(1,+∞);当-3<m <-2时,原不等式の解集为⎝⎛⎭⎫-∞,mm +3∪(1,+∞);当m <-3时,原不等式の解集为⎝⎛⎭⎫1,mm +3.19.(12分)已知非负实数x ,y 满足⎩⎪⎨⎪⎧2x +y -4≤0,x +y -3≤0.(1)在所给坐标系中画出不等式组所表示の平面区域;(2)求z =x +3y の最大值.解:(1)由x ,y 取非负实数,根据线性约束条件作出可行域,如下图所示阴影部分.(2)作出直线l :x +3y =0,将直线l 向上平移至l 1与y 轴の交点M 位置时,此时可行域内M 点与直线l の距离最大,而直线x +y -3=0与y 轴交于点M (0,3).∴z max =0+3×3=9. 20.(13分)(2009·江苏苏州调研)经市场调查,某超市の一种小商品在过去の近20天内の销售量(件)与价格(元)均为时间t (天)の函数,且销售量近似满足g (t )=80-2t (件),价格近似满足f (t )=20-12|t -10|(元).(1)试写出该种商品の日销售额y 与时间t (0≤t ≤20)の函数表达式; (2)求该种商品の日销售额y の最大值与最小值. 解:(1)y =g (t )·f (t )=(80-2t )·(20-12|t -10|)=(40-t )(40-|t -10|) =⎩⎪⎨⎪⎧(30+t )(40-t ), 0≤t <10,(40-t )(50-t ), 10≤t ≤20. (2)当0≤t <10时,y の取值范围是[1200,1225],在t =5时,y 取得最大值为1225;当10≤t ≤20时,y の取值范围是[600,1200], 在t =20时,y 取得最小值为600.21.(14分)某工厂有一段旧墙长14 m ,现准备利用这段旧墙为一面建造平面图形为矩形,面积为126 m 2の厂房,工程条件是:(1)建1 m 新墙の费用为a 元;(2)修1 m 旧墙の费用为a4元;(3)拆去1 m の旧墙,用可得の建材建1 m の新墙の费用为a2元.经讨论有两种方案:①利用旧墙x m(0<x <14)为矩形一边; ②矩形厂房利用旧墙の一面长x ≥14. 试比较①②两种方案哪个更好.解:方案①:修旧墙费用为ax4(元),拆旧墙造新墙费用为(14-x )a2(元),其余新墙费用为(2x +2×126x-14)a (元),则总费用为y =ax 4+(14-x )a 2+(2x +2×126x -14)a =7a (x 4+36x-1)(0<x <14),∵x 4+36x ≥2x 4·36x=6, ∴当且仅当x 4=36x即x =12时,y min =35a ,方案②:利用旧墙费用为14×a 4=7a2(元),建新墙费用为(2x +252x -14)a (元),则总费用为y =7a 2+(2x +252x -14)a =2a (x +126x )-212a (x ≥14),可以证明函数x +126x在[14,+∞)上为增函数,∴当x =14时,y min =35.5a . ∴采用方案①更好些.。