中国民用航空机场资料一览表
- 格式:doc
- 大小:281.50 KB
- 文档页数:4
中国248个民用机场我国大陆地区,截止2018年底通航机场共有235座机场,2019年又有13座机场投入运行,所以到2019年底共有248座机场,由于不断又有新机场投运,也有机场废弃,所以数据不一定完全准确。
华东地区上海市(2):上海虹桥机场、上海浦东机场江苏省(11):南京禄口机场、南京马鞍机场,南通兴东机场、无锡硕放机场、常州奔牛机场、徐州观音机场、盐城南洋机场、连云港白塔埠机场,扬州泰州机场,淮安涟水机场,连云港花果山机场浙江省(7):杭州萧山机场、宁波栎社机场、温州永强机场、舟山普陀山机场、黄岩路桥机场、衢州机场、义乌机场山东省(9):济南遥墙机场、青岛流亭机场、威海大水泊机场、烟台莱山机场、临沂沐埠岭机场、潍坊南苑机场、东营永安机场、济宁曲阜机场,日照山河机场福建省(6):福州长乐机场、厦门高崎机场、泉州晋江机场、龙岩冠豸山机场、武夷山机场,沙县机场江西省(7):南昌昌北机场、赣州黄金机场、九江庐山机场、景德镇罗家机场、井冈山机场,三清山机场,明月山机场安徽省(5):合肥骆岗机场、黄山屯溪机场、安庆天柱山机场、阜阳西关机场,九华山机场华北地区北京市(2):北京首都机场、北京南苑机场天津市(1):天津滨海机场河北省(6):石家庄正定机场、秦皇岛北戴河机场,邯郸马头机场,唐山三女河机场,张家口宁远机场,承德普宁机场山西省(7):太原武宿机场、大同云冈机场、长治王村机场、运城关公机场,临汾乔李机场,吕梁大武机场,忻州五台山机场内蒙古(21):呼和浩特白塔机场、海拉尔东山机场、赤峰玉龙机场、满洲里西郊机场、乌兰浩特机场、锡林浩特机场、乌海机场、包头二里半机场、通辽机场,鄂尔多斯伊金霍洛机场,赤峰玉龙机场,呼伦贝尔东山机场,乌兰察布集宁机场,巴彦淖尔天吉机场,二连浩特赛乌苏机场,阿拉善左旗巴彦浩特机场,阿拉善右旗巴丹吉林机场,额济纳旗机场,呼伦贝尔成吉思汗机场,霍林河机场,阿尔山机场东北地区辽宁省(9):沈阳桃仙机场、大连周水子机场、大连金州湾机场,锦州小岭子机场、丹东浪头机场、朝阳机场、鞍山腾鳌机场,丹东浪头机场,长海大长山机场,营口蓝旗机场吉林省(6):长春龙嘉机场、延吉朝阳川机场,长白山机场,通化三源浦机场,白城长安机场,松原查干湖机场黑龙江(13):哈尔滨太平机场、齐齐哈尔三家子机场、佳木斯东郊、牡丹江海浪,大庆萨尔图机场,,伊春林都机场,加格达奇噶仙机场,黑河瑷珲机场,鸡西兴凯湖机场,漠河古莲机场,抚远东极机场,建三江湿地机场,五大连池德都机场西北地区陕西省(5):西安咸阳机场、汉中西关、延安二十里堡机场、榆林西沙、安康五里铺甘肃省(9):兰州中川机场、敦煌机场、嘉峪关机场、庆阳机场,夏河机场,金川机场,威县机场,麦积山机场,甘州机场青海省(6):西宁曹家堡机场、格尔木机场,玉树巴塘机场,德宁哈机场,果洛大武机场,花土沟机场宁夏(4):银川河东机场,贺兰山机场,中卫香山机场,固原六盘水机场新疆(23):乌鲁木齐地窝铺机场、阿克苏温宿机场、喀什机场、伊宁机场、塔城机场、阿尔泰机场、库车机场、且末机场、和田机场、库尔勒机场、那拉提机场、富蕴机场、吐鲁番机场,阿勒泰机场,哈密机场,克拉玛依机场,喀纳斯机场,莎车机场,石河子机场,博乐机场,图木苏克机场,塔中机场,若羌楼兰机场中南地区广东省(9):广州白云机场、深圳宝安机场、珠海金湾机场、揭阳潮汕机场、湛江机场、梅县机场、佛山机场,平潭机场,汕头外砂机场广西省(7):南宁吴圩机场、桂林两江机场、柳州白莲机场、北海福城机场、梧州长洲岛机场、百色巴马机场,河池金城江机场海南省(4):海口美兰机场、三亚凤凰机场,博鳌机场,永兴机场湖北省(6):武汉天河机场、宜昌三峡机场、恩施许家坪机场,神农架机场,襄阳刘集机场,十堰武当山机场湖南省(8):长沙黄花机场、张家界荷花机场、常德桃花源机场、永州零陵机场、怀化芷江机场,同仁凤凰机场,邵阳武冈机场,衡阳南岳机场河南省(6):郑州新郑机场、洛阳北郊机场、南阳姜营机场,郑州上街机场,信阳明港机场,商丘观堂机场西南地区重庆市(3):重庆江北机场、万州五桥机场,黔江武陵山机场四川省(14):成都双流机场、泸州云龙机场、九寨沟黄龙机场、攀枝花保安营、南充高坪机场、宜宾菜坝机场、绵阳南郊机场、西昌青山机场、广元盘龙机场、达州河市机场、巴中恩阳机场,阿坝红原机场,甘孜康定机场,稻城亚丁机场请输入图片描述云南省(16):昆明长水机场、丽江三义机场、德宏芒市、保山云端、迪庆香格里拉机场、西双版纳嘎洒机场、文山普者黑、大理机场、普洱思茅机场、临沧机场、昭通机场、保山机场、腾冲驼峰机场,泸沽湖机场,沧源机场,普洱景迈机场贵州省(15):贵阳龙洞堡机场、铜仁凤凰机场、安顺黄果树机场、兴义万峰林机场、黎平机场、遵义新舟机场,凯里黄平机场,黔南荔波机场,独山机场,罗甸机场,遵义新舟机场,遵义茅台机场毕节飞雄机场,六盘水月照机场,黔北机场西藏(5):拉萨贡嘎机场、昌都邦达机场、林芝米林机场,阿里昆沙机场,日喀则和平机场。
北京首都国际机场使用中ZBAA PEK北京市北京南苑机场使用中ZBNY NAY北京市北京首都第二机场拟建北京市天津市机场名称状态ICAO IATA服务地区天津滨海国际机场使用中ZBTJ TSN天津市上海市机场名称状态ICAO IATA服务地区上海虹桥国际机场使用中ZSSS SHA上海市上海浦东国际机场使用中ZSPD PVG上海市重庆市机场名称状态ICAO IATA服务地区重庆江北国际机场使用中ZUCK CKG重庆主城区黔江武陵山机场使用中ZUQJ JIQ黔江区万州五桥机场使用中ZUWX WXN万州区武隆仙女山机场拟建武隆县巫山神女峰机场在建巫山县、奉节县江苏省机场名称状态ICAO IATA服务地区南京禄口国际机场使用中ZSNJ NKG南京市南京六合国际机场在建南京市常州奔牛机场使用中ZSCG CZX常州市淮安涟水机场使用中ZSSH HIA淮安市连云港白塔埠机场使用中ZSLG LYG连云港市南通兴东机场使用中ZSNT NTG南通市苏南硕放国际机场使用中ZSWX WUX无锡市、苏州市徐州观音机场使用中ZSXZ XUZ徐州市盐城南洋机场使用中ZSYN YNZ盐城市扬州泰州机场使用中ZSYA YTY扬州市、泰州市浙江省机场名称状态ICAO IATA服务地区杭州萧山国际机场使用中ZSHC HGH杭州市嘉兴机场改建嘉兴市丽水机场拟建丽水市宁波栎社国际机场使用中ZSNB NGB宁波市衢州机场使用中ZSJU JUZ衢州市台州路桥机场使用中ZSLQ HYN台州市温州龙湾国际机场使用中ZSWZ WNZ温州市义乌机场使用中ZSYW YIW金华市舟山普陀山机场使用中ZSZS HSN舟山市济南遥墙国际机场使用中ZSJN TNA济南市滨州机场拟建滨州市德州机场拟建德州市东营胜利机场使用中ZSDY DOY东营市菏泽机场拟建菏泽市济宁曲阜机场使用中ZSJG JNG济宁市、曲阜市聊城机场拟建聊城市临沂沭埠岭机场使用中ZSLY LYI临沂市青岛流亭国际机场使用中ZSQD TAO青岛市青岛胶东国际机场拟建青岛市日照山字河机场在建日照市泰安机场拟建泰安市潍坊机场使用中ZSWF WEF潍坊市威海大水泊机场使用中ZSWH WEH威海市烟台蓬莱国际机场使用中ZSYT YNT烟台市枣庄机场拟建枣庄市淄博机场拟建淄博市四川省机场名称状态ICAO IATA服务地区成都双流国际机场使用中ZUUU CTU成都市成都天府国际机场在建成都市、简阳市阿坝红原机场使用中ZUHY AHJ阿坝藏族羌族自治州巴中恩阳机场在建巴中市达州河市机场使用中ZUDX DAX达州市达州百节机场迁建达州市稻城亚丁机场使用中ZUDC DCY稻城县甘孜格萨尔机场在建甘孜县、德格县、白玉县甘孜康定机场使用中ZUKD KGT甘孜藏族自治州广元盘龙机场使用中ZUGU GYS广元市九寨黄龙机场使用中ZUJZ JZH九寨沟县、松潘县乐山机场拟建乐山市泸州蓝田机场使用中ZULZ LZO泸州市泸州云龙机场迁建泸州市绵阳南郊机场使用中ZUMY MIG绵阳市南充高坪机场使用中ZUNC NAO南充市、阆中市攀枝花保安营机场使用中ZUZI PZI攀枝花市遂宁南坝机场使用中ZNSU遂宁市遂宁惠安机场迁建遂宁市西昌青山机场使用中ZUXC XIC凉山彝族自治州宜宾菜坝机场使用中ZUYB YBP宜宾市宜宾五粮液机场迁建宜宾市石家庄正定国际机场使用中ZBSJ SJW石家庄市承德机场在建承德市邯郸机场使用中ZBHD HDG邯郸市秦皇岛山海关机场使用中ZBSH SHP秦皇岛市秦皇岛北戴河机场在建秦皇岛市唐山三女河机场使用中ZBSN TVS唐山市邢台褡裢机场改建ZBXT XNT邢台市张家口宁远机场使用中ZBZJ ZQZ张家口市山西省机场名称状态ICAO IATA服务地区太原武宿国际机场使用中ZBYN TYN太原市长治王村机场使用中ZBCZ CIH长治市大同云冈机场使用中ZBDT DAT大同市晋城机场拟建晋城市临汾乔李机场改建临汾市吕梁机场使用中ZBLL LLV吕梁市朔州安太堡机场迁建朔州市五台山机场在建忻州市运城张孝机场使用中ZBYC YCU运城市辽宁省机场名称状态ICAO IATA服务地区沈阳桃仙国际机场使用中ZYTX SHE沈阳市鞍山腾鳌机场使用中ZYAS AOG鞍山市长海大长山岛机场使用中ZYCH CNI长海县朝阳机场使用中ZYCY CHG朝阳市大连周水子国际机场使用中ZYTL DLC大连市大连金州湾国际机场拟建大连市丹东浪头机场使用中ZYDD DDG丹东市锦州小岭子机场使用中ZYJZ JNZ锦州市锦州湾机场在建锦州市营口兰旗机场在建营口市吉林省机场名称状态ICAO IATA服务地区长春龙嘉国际机场使用中ZYCC CGQ长春市、吉林市白城长安机场在建白城市长白山机场使用中ZYBS NBS白山市松原查干湖机场拟建松原市通化三源浦机场使用中ZYTN TNH通化市延吉朝阳川机场使用中ZYYJ YNJ延边朝鲜族自治州海口美兰国际机场使用中ZJHK HAK海口市儋州机场拟建儋州市琼海博鳌机场拟建琼海市三亚凤凰国际机场使用中ZJSY SYX三亚市福建省机场名称状态ICAO IATA服务地区福州长乐国际机场使用中ZSFZ FOC福州市龙岩冠豸山机场使用中ZSLD LCX龙岩市平潭县机场拟建平潭县莆田机场拟建莆田市泉州晋江国际机场使用中ZSQZ JJN泉州市泉州大港湾国际机场拟建泉州市三明沙县机场在建三明市武夷山机场使用中ZSWY WUS南平市厦门高崎国际机场使用中ZSAM XMN厦门市厦门翔安国际机场拟建厦门市广东省机场名称状态ICAO IATA服务地区广州白云国际机场使用中ZGGG CAN广州市佛山沙堤机场使用中ZGFS FUO佛山市惠州平潭机场使用中ZGHZ HUZ惠州市揭阳潮汕机场使用中ZGOW SWA揭阳市、潮州市、汕头市梅县长岗岌机场使用中ZGMX MXZ梅州市韶关桂头机场改建HSC韶关市深圳宝安国际机场使用中ZGSZ SZX深圳市粤西国际机场拟建湛江市、茂名市湛江坡头机场使用中ZGZJ ZHA湛江市珠海金湾机场使用中ZGSD ZUH珠海市黑龙江省机场名称状态ICAO IATA服务地区哈尔滨太平国际机场使用中ZYHB HRB哈尔滨市大庆萨尔图机场使用中ZYDQ DQA大庆市抚远东极机场使用中ZYFY FYJ抚远县黑河机场使用中ZYHE HEK黑河市鸡西兴凯湖机场使用中ZYJX JXA鸡西市加格达奇机场使用中ZYJD JGD大兴安岭地区佳木斯东郊机场使用中ZYJM JMU佳木斯市建三江机场拟建同江市、富锦市漠河古莲机场使用中ZYMH OHE漠河县牡丹江海浪机场使用中ZYMD MDG牡丹江市齐齐哈尔三家子机场使用中ZYQQ NDG齐齐哈尔市绥芬河机场拟建绥芬河市五大连池机场在建五大连池市伊春林都机场使用中ZYLD LDS伊春市内蒙古自治区机场名称状态ICAO IATA服务地区呼和浩特白塔国际机场使用中ZBHH HET呼和浩特市阿尔山伊尔施机场使用中ZBES YIE阿尔山市阿拉善左旗巴彦浩特机场使用中AXF阿拉善左旗阿拉善右旗巴丹吉林机场使用中RHT阿拉善右旗巴彦淖尔天吉泰机场使用中ZBYZ RLK巴彦淖尔市包头二里半机场使用中ZBOW BAV包头市赤峰玉龙机场使用中ZBCF CIF赤峰市鄂尔多斯伊金霍洛机场使用中ZBDS DSN鄂尔多斯市额济纳旗桃来机场使用中EJN额济纳旗二连浩特赛乌苏国际机场使用中ZBER ERL二连浩特市呼伦贝尔海拉尔机场使用中ZBLA HLD呼伦贝尔市霍林郭勒机场在建霍林郭勒市满洲里西郊机场使用中ZBMZ NZH满洲里市通辽机场使用中ZBTL TGO通辽市乌海机场使用中ZBUH WUA乌海市乌兰察布机场在建乌兰察布市乌兰浩特机场使用中ZBUL HLH乌兰浩特市锡林浩特机场使用中ZBXH XIL锡林浩特市扎兰屯成吉思汗机场在建扎兰屯市安徽省机场名称状态ICAO IATA服务地区合肥新桥国际机场使用中ZSOF HFE合肥市安庆天柱山机场使用中ZSAQ AQG安庆市安庆怀宁机场拟建安庆市亳州机场拟建亳州市池州九华山机场使用中ZSJH JUH池州市阜阳西关机场使用中ZSFY FUG阜阳市黄山屯溪国际机场使用中ZSTX TXN黄山市宿州机场拟建宿州市、蚌埠市芜湖宣城机场拟建芜湖市、宣城市湖南省机场名称状态ICAO IATA服务地区长沙黄花国际机场使用中ZGHA CSX长沙市常德桃花源机场使用中ZGCD CGD常德市郴州北湖机场拟建郴州市衡阳南岳机场使用中ZGHY HNY衡阳市怀化芷江机场使用中ZGCJ HJJ怀化市娄底新化机场拟建娄底市邵阳邵东机场改建邵阳市邵阳武冈机场在建武冈市湘西里耶机场拟建湘西土家族苗族自治州永州零陵机场使用中ZGLG LLF永州市岳阳三荷机场拟建岳阳市张家界荷花国际机场使用中ZGDY DYG张家界市南昌昌北国际机场使用中ZSCN KHN南昌市抚州机场拟建抚州市赣州黄金机场使用中ZSGZ KOW赣州市景德镇罗家机场使用中ZSJD JDZ景德镇市井冈山机场使用中ZSGS JGS吉安市九江庐山机场使用中ZSJJ JIU九江市瑞金机场拟建瑞金市上饶三清山机场在建上饶市宜春明月山机场使用中ZSYC YIC宜春市、新余市、萍乡市河南省机场名称状态ICAO IATA服务地区郑州新郑国际机场使用中ZHCC CGO郑州市、许昌市安阳豫东北机场在建安阳市、鹤壁市登封嵩山机场拟建登封市洛阳北郊机场使用中ZHLY LYA洛阳市南阳姜营机场使用中ZHNY NNY南阳市平顶山尧山机场拟建平顶山市濮阳翔龙机场拟建濮阳市商丘机场在建商丘市信阳明港机场在建信阳市、驻马店市湖北省机场名称状态ICAO IATA服务地区武汉天河国际机场使用中ZHHH WUH武汉市恩施许家坪机场使用中ZHES ENH恩施土家族苗族自治州鄂州机场拟建鄂州市、黄石市、黄冈市荆州机场拟建荆州市神农架红坪机场使用中ZHSN HPG神农架林区十堰武当山机场在建ZHSY WDS十堰市襄阳刘集机场使用中ZHXF XFN襄阳市宜昌三峡机场使用中ZHYC YIH宜昌市广西壮族自治区机场名称状态ICAO IATA服务地区南宁吴圩国际机场使用中ZGNN NNG南宁市百色巴马机场使用中ZGBS AEB百色市北海福成机场使用中ZGBH BHY北海市桂林两江国际机场使用中ZGKL KWL桂林市河池金城江机场使用中ZGHC HCJ河池市贺州机场拟建贺州市柳州白莲机场使用中ZGZH LZH柳州市梧州长洲岛机场使用中ZGWZ WUZ梧州市梧州西江机场迁建梧州市玉林机场拟建玉林市贵阳龙洞堡国际机场使用中ZUGY KWE贵阳市安顺黄果树机场使用中ZUAS AVA安顺市毕节飞雄机场使用中ZUBJ BFJ毕节市凯里黄平机场使用中ZUKJ KJH黔东南苗族侗族自治州荔波机场使用中ZULB LLB黔南布依族苗族自治州黎平机场使用中ZUNP HZH黎平县六盘水月照机场使用中ZUPS LPF六盘水市仁怀茅台机场在建仁怀市铜仁凤凰机场使用中ZUTR TEN铜仁市、凤凰县威宁草海机场拟建威宁彝族回族苗族自治县兴义万峰林机场使用中ZUYI ACX黔西南布依族苗族自治州遵义新舟机场使用中ZUZY ZYI遵义市云南省机场名称状态ICAO IATA服务地区昆明长水国际机场使用中ZPPP KMG昆明市保山云端机场使用中ZPBS BSD保山市沧源佤山机场在建沧源佤族自治县楚雄机场拟建楚雄彝族自治州大理机场使用中ZPDL DLU大理白族自治州德宏芒市机场使用中ZPMS LUM德宏傣族景颇族自治州迪庆香格里拉机场使用中ZPDQ DIG迪庆藏族自治州广南机场拟建广南县哈尼梯田机场拟建元阳县红河蒙自机场在建红河哈尼族彝族自治州景东机场拟建景东彝族自治县澜沧机场在建澜沧拉祜族自治县丽江三义机场使用中ZPLJ LJG丽江市宁蒗泸沽湖机场在建宁蒗彝族自治县临沧机场使用中ZPLC LNJ临沧市怒江机场拟建怒江傈僳族自治州普洱思茅机场使用中ZPSM SYM普洱市丘北机场拟建丘北县腾冲驼峰机场使用中ZUTC TCZ腾冲县文山普者黑机场使用中ZPWS WNH文山壮族苗族自治州西双版纳嘎洒国际机场使用中ZPJH JHG西双版纳傣族自治州昭通机场使用中ZPZT ZAT昭通市昭通花鹿坪机场迁建昭通市宁夏回族自治区机场名称状态ICAO IATA服务地区银川河东国际机场使用中ZLIC INC银川市固原六盘山机场使用中ZLGY GYU固原市石嘴山沙湖机场拟建石嘴山市中卫沙坡头机场使用中ZLZW ZHY中卫市西藏自治区机场名称状态ICAO IATA服务地区拉萨贡嘎机场使用中ZULS LXA拉萨市、山南地区阿里昆莎机场使用中ZUAL NGQ阿里地区昌都邦达机场使用中ZUBD BPX昌都市林芝米林机场使用中ZUNZ LZY林芝市那曲达仁机场在建那曲地区日喀则和平机场使用中ZURK RKZ日喀则市陕西省机场名称状态ICAO IATA服务地区西安咸阳国际机场使用中ZLXY XIY西安市、咸阳市安康五里铺机场停航ZLAK AKA安康市安康富强机场拟建安康市宝鸡机场拟建宝鸡市定边机场拟建定边县府谷机场拟建府谷县、神木县汉中城固机场使用中ZLHZ HZG汉中市延安二十里堡机场使用中ZLYA ENY延安市延安南泥湾机场迁建延安市榆林榆阳机场使用中ZLYL UYN榆林市甘肃省机场名称状态ICAO IATA服务地区兰州中川国际机场使用中ZLLL LHW兰州市、白银市敦煌机场使用中ZLDH DNH敦煌市甘南夏河机场使用中ZLXH JXH甘南藏族自治州嘉峪关机场使用中ZLJQ JGN嘉峪关市、酒泉市金昌金川机场使用中ZLJC JIC金昌市陇南成州机场在建陇南市平凉机场拟建平凉市庆阳机场使用中ZLQY IQN庆阳市天水麦积山机场使用中ZLTS THQ天水市天水中梁机场迁建天水市张掖甘州机场使用中ZLZY YZY张掖市青海省机场名称状态ICAO IATA服务地区西宁曹家堡机场使用中ZLXN XNN西宁市、海东市德令哈机场使用中ZLDL HXD德令哈市格尔木机场使用中ZLGM GOQ格尔木市果洛大武机场在建果洛藏族自治州久治年保机场拟建久治县茫崖花土沟机场使用中HTT茫崖行政区祁连机场在建祁连县玉树巴塘机场使用中ZLYS YUS玉树藏族自治州新疆维吾尔自治区机场名称状态ICAO IATA服务地区乌鲁木齐地窝堡国际机场使用中ZWWW URC乌鲁木齐市阿克苏机场使用中ZWAK AKU阿克苏市阿勒泰机场使用中ZWAT AAT阿勒泰市博乐阿拉山口机场使用中ZWBL BPL博乐市布尔津喀纳斯机场使用中ZWKN KJI布尔津县富蕴机场迁建ZWFY FYN富蕴县哈密机场使用中ZWHM HMI哈密地区和田机场使用中ZWTN HTN和田地区喀什机场使用中ZWSH KHG喀什市克拉玛依机场使用中ZWKM KRY克拉玛依市库车龟兹机场使用中ZWKC KCA库车县库尔勒机场使用中ZWKL KRL库尔勒市奎屯机场拟建奎屯市轮台塔中机场拟建轮台县且末机场停航ZWCM IQM且末县且末新机场迁建且末县若羌楼兰机场拟建若羌县莎车机场拟建莎车县石河子花园机场在建石河子市塔城机场使用中ZWTC TCG塔城地区塔什库尔干帕米尔机场拟建塔什库尔干县吐鲁番交河机场使用中ZWTP TLQ吐鲁番市图木舒克机场拟建图木舒克市新源那拉提机场使用中ZWNL NLT新源县伊宁机场使用中ZWYN YIN伊宁市昭苏机场拟建昭苏县、特克斯县截至2013年底,中国共有颁证民用航空机场193个,2012-2015年间将再新建82个机场,同时扩建101个机场。
盘点中国所有民航机场(2)山西省4个:太原武宿国际机场、大同云冈机场、长治机场、运城关公机场1.太原武宿国际机场太原武宿国际机场位于太原市东南方向,距太原市13.2 km,太原机场始建于1939年,曾于1968年和1992年进行过两次改扩建。
经过1992年的改扩建,机场航站楼面积达2.58万m2,跑道长3 200m,为国内干线机场及首都国际机场的备降场。
2007年,经中国民用航空总局批准,“太原武宿机场”更名为“太原武宿国际机场”。
机场已开通航线50多条,通达国内外40多个城市,保障机型近20种。
2.大同云冈机场大同云冈机场为支线机场,占地面积2159亩。
飞行区等级指标为3C级,可起降B737-300及以下机型,跑道长2400米,宽度45米,站坪1.65万平方米,机位3个。
航站楼面积为4273平方米。
大同机场改扩建工程于2009年3月28日举行了开工奠基仪式,新建航站楼8200平方米、站坪24050平方米、停车场7600平方米及配套设施。
目前开通航线6条,通航城市7个。
3.长治机场长治民航机场位于山西省长治市北7.5千米处,占地面积约15万平方米,始建于1958年。
现有长2600米的水泥跑道和2600米的水泥滑行道,建有南北远导航台以及指挥、灯光等先进设备,可供各种中、小型飞机昼夜起降,目前属国家二级民航机场。
改造后的长治民航机场可起降大型飞机。
4.运城关公机场运城关公机场位于山西省西南部运城市,占地2900亩,跑道长2400米,可以起降波音737系列的各种型号飞机,年设计客运能力为22万人次。
机场已开通了运城—北京、运城—上海、运城—广州等3条航线。
2005年,运城关公机场正式通航,这为游客到山西南部旅游提供了便利。
运城关公机场的通航,结束了山西省南部没有民用机场的历史,填补了晋陕豫黄河金三角地区的空中交通空白。
内蒙古12个:呼和浩特白塔、海拉尔东山、赤峰土城子、满洲里西郊、乌兰浩特机场、锡林浩特机场、乌海机场、包头二里半、通辽机场、鄂尔多斯机场、巴彦淖尔机场、阿尔山机场1.呼和浩特白塔国际机场呼和浩特白塔国际机场{IATA:HET,IACO:ZBHH) 位于中国内蒙古自治区首府呼和浩特。
全国机场一览表
本文将介绍中国各个省份的主要机场情况,包括机场名称、位置、规模等信息。
希望通过这份一览表,读者可以更加了解中国各地的机场分布情况。
北京市
1.首都国际机场
–位置:北京市顺义区
–规模:亚洲最大的机场之一,飞机起飞降落数量常年位居世界前列。
2.北京大兴国际机场
–位置:北京市大兴区
–规模:作为北京第二大机场,承担了大部分城市国际和部分国内航班。
上海市
1.上海浦东国际机场
–位置:上海市浦东新区
–规模:亚洲最繁忙的机场之一,是上海的主要国际航空枢纽。
2.上海虹桥国际机场
–位置:上海市闵行区
–规模:主要承担国内航班和少量国际航班。
广东省
1.广州白云国际机场
–位置:广州市白云区
–规模:华南地区最大的机场,国内外航班密集。
2.深圳宝安国际机场
–位置:深圳市宝安区
–规模:珠三角地区的重要航空枢纽。
浙江省
1.杭州萧山国际机场
–位置:杭州市萧山区
–规模:长三角地区重要的航空枢纽之一。
2.宁波栎社国际机场
–位置:宁波市鄞州区
–规模:宁波及周边地区的主要机场之一。
其他省份
•北方地区:沈阳桃仙国际机场、哈尔滨太平国际机场等
•南方地区:广西南宁吴圩国际机场、海南海口美兰国际机场等
•西部地区:成都双流国际机场、西安咸阳国际机场等
通过以上信息,可以看出中国各个省份的机场布局,涵盖了全国各大城市和地区,为旅客和货物运输提供了便利的空中交通服务。
希望未来中国的航空业发展能更加繁荣,为国家的经济和人民的生活带来更多便利和机会。
我国民用机场包括:华东地区上海市(2):上海虹桥机场、上海浦东机场江苏省(7):南京禄口机场、南通兴东机场、无锡硕放机场、常州奔牛机场、徐州观音机场、盐城南洋机场、连云港白塔埠机场浙江省(7):杭州萧山机场、宁波栎社机场、温州永强机场、舟山普陀山机场、黄岩路桥机场、衢州机场、义乌机场山东省(8):济南遥墙机场、青岛流亭机场、威海大水泊机场、烟台莱山机场、临沂沐埠岭机场、潍坊南苑机场、东营永安机场、济宁机场福建省(5):福州长乐机场、厦门高崎机场、泉州晋江机场、龙岩冠豸山机场、武夷山机场江西省(5):南昌昌北机场、赣州黄金机场、九江庐山机场、景德镇罗家机场、井冈山机场安徽省(4):合肥骆岗机场、黄山屯溪机场、安庆天柱山机场、阜阳西关机场华北地区北京市(2):北京首都机场、北京南苑机场天津市(1):天津滨海机场河北省(2):石家庄正定机场、秦皇岛山海关机场山西省(4):太原武宿机场、大同怀仁机场、长治王村机场、运城关公机场内蒙古(9):呼和浩特白塔机场、海拉尔东山机场、赤峰土城子、满洲里西郊、乌兰浩特机场、锡林浩特机场、乌海机场、包头二里半、通辽机场东北地区辽宁省(5):沈阳桃仙机场、大连周水子、锦州小岭子、丹东浪头、朝阳机场吉林省(3):长春龙嘉机场、吉林二台子、延吉朝阳川黑龙江(5):哈尔滨太平机场、齐齐哈尔三家子、佳木斯东郊、牡丹江海浪、黑河机场西北地区陕西省(5):西安咸阳机场、汉中西关、延安二十里铺、榆林西沙、安康五里铺甘肃省(4):兰州中川机场、敦煌机场、嘉峪关机场、庆阳机场青海省(2):西宁曹家堡机场、格尔木机场宁夏(1):银川河东机场新疆(13):乌鲁木齐地窝铺机场、阿克苏温宿、喀什机场、伊宁机场、塔城机场、阿尔泰机场、库车机场、且末机场、和田机场、库尔勒机场、那拉提机场、富蕴机场、吐鲁番机场中南地区广东省(6):广州白云机场、深圳宝安机场、珠海三灶、汕头外砂、湛江机场、梅县机场广西省(5):南宁吴圩机场、桂林两江、柳州白莲、北海福城、梧州长洲岛海南省(2):海口美兰机场、三亚凤凰机场湖北省(5):武汉天河机场、宜昌三峡、荆州沙市、襄樊刘集、恩施许家坪湖南省(5):长沙黄花机场、张家界荷花、常德桃花源、永州零陵、怀化芷江河南省(3):郑州新郑机场、洛阳北郊、南阳姜营西南地区重庆市(2):重庆江北机场、万州五桥四川省(10):成都双流机场、泸州蓝田、九寨沟黄龙、攀枝花保安营、南充高坪、宜宾莱坝、绵阳南郊、西昌青山、广元盘龙、达州河市云南省(11):昆明巫家坝机场、丽江三义机场、德宏芒市、保山云端、迪庆香格里拉机场、西双版纳机场、文山普者黑、大理机场、思茅机场、临沧机场、昭通机场贵州省(5):贵阳龙洞堡机场、铜仁大兴、安顺黄果树、兴义机场、黎平机场西藏(2):拉萨贡嘎机场、昌都邦达机场。
中国民用机场简表北京首都国际机场华北地区北京PEK北京南苑机场华北地区北京NAY天津滨海国际机场华北地区天津市TSN 石家庄正定国际机场华北地区河北省SJW 秦皇岛山海关机场华北地区河北省SHP 邯郸机场华北地区河北NNN呼和浩特白塔国际机场华北地区内蒙HET 包头二里半机场华北地区内蒙BAV 海拉尔东山机场华北地区内蒙HLD 满洲里西郊机场通辽机场华北地区内蒙TGO锡林浩特机场华北地区内蒙XIL赤峰玉龙机场华北地区内蒙CIF乌海机场华北地区内蒙WUA乌兰浩特机场华北地区内蒙HLH太原武宿国际机场华北地区山西省TYN 运城张孝机场长治王村机场华北地区山西省CIH大同倍加皂机场华北地区山西NNN沈阳桃仙国际机场东北地区辽宁SHE大连周水子国际机场东北地区辽宁DLC广州白云国际机场中南地区广东CAN上海浦东机场华东地区上海PVG上海虹桥机场华东地区上海SHA深圳宝安国际机场中南地区广东SZX成都双流国际机场西南地区四川CTU昆明巫家坝国际机场西南地区云南KMG海口美兰机场中南地区海南HAK西安咸阳国际机场西北地区陕西SIA杭州萧山国际机场华东地区浙江HGH厦门高崎机场华东地区福建XMN重庆江北国际机场西南地区重庆CKG青岛流亭机场华东地区山东TAO南京禄口机场华东地区江苏NKG武汉天河机场中南地区湖北WUH乌鲁木齐地窝堡国际机场新疆地区新疆URC 张家界荷花机场中南地区湖南DYG福州长乐机场华东地区福建FOC桂林两江机场中南地区广西KWL哈尔滨太平国际机场东北地区黑龙江HRB 临沧机场西南地区云南LNJ北海福成机场中南地区广西BHY迪庆香格里拉机场西南地区云南NNN柳州白莲机场中南地区广西LZH西双版纳嘎洒机场西南地区云南JHG 思茅机场西南地区云南SYM 梧州长洲岛机场中南地区广西NNN 喀什机场西北地区新疆KHG 常州奔牛机场华东地区江苏CZX昭通机场西南地区云南NNN常德桃花源机场中南地区湖南CGD 南宁吴圩机场中南地区广西NNG丽江三义机场西南地区云南LJG且末机场西北地区新疆IQM宁波栎社机场华东地区浙江NGB兰州中川机场西北地区甘肃LHW温州永强机场华东地区浙江WNZ阿克苏机场西北地区新疆AKU敦煌机场西北地区甘肃DNH烟台莱山机场华东地区山东YNT和田机场西北地区新疆HTN威海机场华东地区山东WEH嘉峪关机场西北地区甘肃JGN库尔勒机场西北地区新疆KRL潍坊机场华东地区山东WEF临沂机场华东地区山东LYI庆阳机场西北地区甘肃NNN东营机场华东地区山东DOY南昌昌北机场华东地区江西KHN西宁曹家堡机场西北地区青海XNN 九江庐山机场华东地区江西NNN格尔木机场西北地区青海NNN景德镇机场华东地区江西JDZ银川河东机场西北地区宁夏INC黄岩路桥机场华东地区浙江HYN赣州黄金机场华东地区江西KOW 舟山机场华东地区浙江HSN义乌机场华东地区浙江YIW衢州机场华东地区浙江JUZ合肥骆岗机场华东地区安徽HFE黄山屯溪机场华东地区安徽TXN安庆机场华东地区安徽AQG阜阳机场华东地区安徽FIG北京/定陵机场华北地区北京NNN 北京/大溶洞机场华北地区北京NNN 天津塘沽机场华北地区天津NNN 平朔/安太堡机场华北地区山西NNN滨海东方通用直升机场华北地区天津NNN 昌黎/黄金海崖机场华北地区河北NNN长海大长山岛机场东北地区辽宁NNN沈阳于洪全胜机场东北地区辽宁NNN长春二道河子机场东北地区吉林NNN敦化机场东北地区吉林NNN嫩江机场东北地区黑龙江NNN哈尔滨平房机场东北地区黑龙江NNN塔河机场东北地区黑龙江NNN加格达奇机场东北地区黑龙江NNN佳西机场东北地区黑龙江NNN八五六农航站机场东北地区黑龙江NNN新民农用机场东北地区辽宁NNN白城机场东北地区吉林NNN沈阳苏家屯红宝山机场东北地区辽宁NNN 辽中机场东北地区辽宁NNN绥芬河直升机货运机场东北地区黑龙江NNN 龙华机场华东地区上海NNN启东直升机场华东地区江苏NNN桐庐直升机场华东地区浙江NNN安吉直升机场华东地区浙江NNN横店体育机场华东地区浙江NNN石老人直升机场华东地区山东NNN泰安直升机场华东地区山东NNN南昌青云谱机场华东地区江西NNN高东海上救助机场华东地区上海NNN蓬莱沙河口机场华东地区山东NNN春兰直升机场华东地区江苏NNN安阳北郊机场中南地区河南NNN郑州上街机场中南地区河南NNN荆门漳河机场中南地区湖北NNN南航三亚珠海直升机起降场中南地区海南NNN 深圳南头直升机场中南地区广东NNN湛江坡头直升机场中南地区广东NNN珠海九州直升机场中南地区广东NNN罗定机场中南地区广东NNN阳江合山机场中南地区广东NNN湛江新塘机场中南地区广东NNN海南东方机场中南地区海南NNN海南亚太机场中南地区海南NNN安顺黄果树机场西南地区贵州NNN广汉机场西南地区四川NNN新津机场西南地区四川NNN遂宁机场西南地区四川NNN成都温江机场西南地区四川NNN九寨沟直升机场西南地区四川NNN西安阎良机场西北地区陕西NNN蒲城机场西北地区陕西NNN石河子通用航机场新疆地区新疆NNN乌鲁木齐东山通用航空机场新疆地区新疆NNN 喀纳斯直升机场新疆地区新疆NNN永州零陵机场中南地区湖南NNN宜宾莱坝机场西南地区四川YBP宜宾菜坝机场西南地区四川NNN泸州蓝田机场西南地区四川LZO绵阳南郊机场西南地区四川MIG丹东浪头机场东北地区辽宁DDG西昌青山机场西南地区四川XIC珠海三灶机场中南地区广东ZUH梅县机场中南地区广东MXZ锦州小领子机场东北地区辽宁JNZ朝阳机场东北地区辽宁NNN汕头外砂机场中南地区广东SWA湛江机场中南地区广东ZHA长春大房身机场东北地区吉林CGQ九寨黄龙机场西南地区四川JZH延吉朝阳川机场东北地区吉林YNJ郑州新郑机场中南地区河南CGO攀枝花保安营机场西南地区四川PZI吉林二台子机场东北地区吉林JIL洛阳北郊机场中南地区河南LYA贵阳龙洞堡机场西南地区贵州KWE牡丹江海浪机场东北地区黑龙江MDG沙市机场中南地区湖北NNN铜仁大兴机场西南地区贵州TEN佳木斯东郊机场东北地区黑龙江JMU黑河机场东北地区黑龙江NNN宜昌三峡机场中南地区湖北YIH万州五桥机场西南地区重庆NNN恩施许家坪机场中南地区湖北NNN拉萨贡嘎机场西南地区西藏LXA昌都邦达机场西南地区西藏NNN襄樊刘集机场中南地区湖北NNN长沙黄花机场中南地区湖南CSX广元盘龙机场西南地区四川NNN南阳姜营机场中南地区河南NNY齐齐哈尔三家子机场东北地区黑龙江NDG 伊宁机场西北地区新疆YIN德宏芒机场西南地区云南NNN三亚凤凰机场中南地区海南SYX大理机场西南地区云南DLU塔城机场西北地区新疆TCG保山机场西南地区云南BSD阿勒泰机场西北地区新疆AAT榆林西沙机场西北地区陕西UYN南通兴东机场华东地区江苏NTG武夷山机场华东地区福建WUS延安二十里堡机场西北地区陕西ENY 连云港白塔埠机场华东地区江苏LYG 泉州晋江机场华东地区福建NNN汉中机场西北地区陕西HZG库车机场西北地区新疆KCA徐州观音机场华东地区江苏XUZ安康机场西北地区陕西NNN盐城机场华东地区江苏YNZ济南遥墙机场华东地区山东TNA。
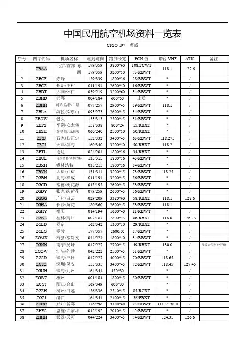
全国民用机场详细标注机场名称四字代码三字代码 VOR频率跑道ILS 跑道ILS 机场标高北京首都 ZBAA PEK 114.7 18L(北) 18R(北) 35.3M/116 北京首都109.3/179 110.3/179跑道36L 111.7/359 跑道36R 109.9/359天津滨海 ZBTJ TAJ 112.1 16(北)34(南)3M/10110.9/160 110.5/340上海虹桥 ZSSS SHA 117.2 CATII 18 36 3M/10109.1/181 110.3/001上海浦东 ZSPD PUD 116.9 16 CA TII 17 3.87M/13跑道34 108.3/347 跑道35 111.9/347 108.7/167 110.7/167哈尔滨太平 ZYHB HRB 112.5 05(南) 23(北)456FT110.3/049 109.9/229佳木斯 ZYJM JMU 113.5 06(南)24(北) 262FT108.3/058 无ILS牡丹江海浪 ZYMD MDG 无VOR 04(南)22(北)883FT无ILS 109.9/216长春龙嘉 ZYCC CGQ 115.9(LJB)06(南) 24(北) 215M/705 109.3/058 110.1/238 197M/646延吉 ZYYJ YNJ 无VOR 09(西)27(东) 623FT108.7/091 无ILS沈阳桃仙 ZYTX SEY 114.1 06(南) 24(北) 197FT110.5/056 110.3/236大连周水子 ZYTL DLC 112.3 10(南) 28(北) 108FT109.1/099 111.1/282呼和浩特白塔 ZBHH HET 无VOR 08(西) 26(北) 3556FT108.9/077石家庄正定 ZBSJ SJW 117.7 33(南) 15(北) 233FT110.3/332 109.9/152济南遥强 ZSJN YQG 113.7 01(南) 19(北)75FT108.9/005 无ILS青岛流亭 ZSQD TAO 117.5 17(南)35(北) 9.78M/32110.7/171 111.7/351烟台莱山 ZSYT YNT (FZ)247 04(西南) 22(东北) 59FT111.7/044 110.9/224南京禄口 ZSNJ NSE 112.0 06(西南) 24(东北) 49FT110.3/062 110.9/242常州奔牛 ZSCG CZX (ZS)217 11(西北) 29(东南) 23FT111.5/114 无ILS无锡硕放 ZSWX VMB 113.9 03(西南) 21(东北) 17FT109.9/025 无ILS全国民用机场详细标注机场名称四字代码三字代码 VOR频率跑道ILS 跑道ILS 机场标高南通兴东 ZSNT NTG 115.6 18(北) 36(南) 15FT无ILS 110.1/004盐城 ZSYN YCH 115.3 04(西南) 22(东北) 11FT110.9/043 无ILS连云港白塔埠 ZSLG L YG 115.0 03(西南) 21(东北)68FT 108.5/032 无ILS徐州观音 ZSXZ XUZ 114.3 09(西) 27(东) 115FT110.1/090 108.9/270合肥骆岗 ZSOF HFE 116.7 18(北) 32(南) 95FT109.1/139 108.3/319阜阳 ZSFY FYG 112.9 03(东北) 21(西南)107FT110.7/025 无ILS安庆 ZSAQ AQG 无VOR 06(东北) 24(西南) 56FT 110.1/064黄山屯溪 ZSTX TXN 116.1 13(西北) 31(东南) 440FT108.3/131 无ILS郑州新郑 ZHCC CGO 114.5 12(西北) 30(东南) 495FT110.3/116 109.3/296南阳姜营 ZHNY NNY (ML)446 05(西南) 23(东北) 411FT 109.3/046 无ILS洛阳北郊 ZHL Y L YA 114.1 08(西) 26(东) 868FT无ILS 109.5/260太原武宿 ZBYN TYN 113.1 13(西北) 31(东南) 2575FT110.9/131 109.3/311西安咸阳 ZLXY XIY 115.3 05(西南) 23(东北) 1572FT109.9/051 110.3/231榆林西沙 ZL YL UYN 117.9 15(无ILS) 33(无ILS) 3530FT安康 ZLAK AKA (UF)290 11(无ILS) 29(无ILS)860FT汉中 ZLHZ HZG (WC)335 13(无ILS) 31(无ILS) 1671FT庆阳西峰 ZLQY IQN (FY)157 14(无ILS) 32(无ILS) 4613FT 延安 ZL YA ENY (YU)195 06(无ILS) 24(无ILS) 3100FT银川河东 ZLIC YNC 112.9 03(西南) 21(东北) 3743FT109.9/032 无ILS兰州中川 ZLLL LHW 114.3 18(北) 36(南) 6388FT本场ZGC 108.1/180 109.3/360嘉峪关 ZLJQ JGN 114.5 14(西北) 32(东南) 5108FT本场CHW 无ILS 109.3/317敦煌 ZLDH DNH 115.5 08(西) 26(东) 3693FT109.3/084全国民用机场详细标注机场名称四字代码三字代码 VOR频率跑道ILS 跑道ILS 机场标高乌鲁木齐地窝堡 ZWWW URC 115.7 07(西) 25(东) 2126FT109.7/070 110.3/250喀什 ZWSH KHG 115.7 08(西) 26(东) 4520FT109.9/082 111.1/262拉萨贡嘎 ZULS LXA 113.1 09(西) 27(西) 11711 FT 无ILS 110.3/269林芝 ZUNZ LZY 无VOR 05(西南) 23(东北) 9669FT23跑道非ILS 109.7/054 108.9/219昌都邦达 ZUBD DCH 113.3 14(西北) 32(东南) 14219FT 110.5/140 无ILS西宁曹家堡 ZLXN XNN 116.5 11(西) 29(东) 7149FT 109.1/111 无ILS成都双流 ZUUU CTU 115.7 02(南) 20(北) 1624FT 111.1/024 109.1/204攀枝花保安营 ZUZH PAN 113.2 02(南) 20(北) 6497FT 无ILS 108.5/202九寨黄龙 ZUJZ JZH 117.6 02(南) 20(北) 11311FT无ILS 108.3/198宜宾莱坝 ZUYB YBN 116.5 08(西) 26(东) 930FT 无ILS 109.7/260泸洲蓝田 ZULZ LZH 117.2 07(西) 25(东)无ILS 108.3/248南充高坪 ZUNC GAO 117.4 06(西南) 24(东北) 1168FT 无ILS 108.7/240广元盘龙 ZUGU GYN 115.1 08(西) 26(东) 2055FT 无ILS 110.3/261绵阳南郊 ZUMY MYG 114.8 14(西北) 32(东南) 1703FT 无ILS 110.7/324达县河市坝 ZUDX DAX 115.0 02(南) 20(北) 915FT 无ILS 无ILS重庆江北 ZUCK CKG 116.1 02(南) 20(北) 1365FT109.7/019 108.1/199万州五桥 ZUWX WZH 109.2 01(西北) 29(东南) 1867FT 无ILS 108.7/291武汉天河 ZHHH WHA 112.2 04(西南) 22(东北) 112FT 110.3/044 109.9/224恩施许家坪 ZHES ENH 114.7 01(南) 19(北) 1624FT110.3/012 无ILS全国民用机场详细标注机场名称四字代码三字代码 VOR频率跑道ILS 跑道ILS 机场标高宜昌三峡 ZHYC YIH 116.9 14(西北) 32(东南) 672FT109.5/136 无ILS沙市 ZHSS SHS (UK)487 01(南) 19(北) 95FT110.3/013 无ILS襄樊刘集 ZHXF XFN (NO)233 01(南) 19(北)234FT110.3/013 无ILS长沙黄花 ZGHA CSX 113.3 18(北) 36(南) 65.6M/215 110.3/180 109.9/360张家界荷花 ZGDY DYG 114.4 08(西) 26(东) 713FT110.3/079 无ILS常德桃花源 ZGCD CGD (CD)225 02(南) 20(北)149FT 109.9/015 无ILS怀化芷江 ZGCJ ZHJ 117.8 04(西南) 22(东北) 865FT 108.7/040 无ILS贵阳龙洞堡 ZUGY KWE 114.3 01(南) 19(北) 3737FT 111.1/009 110.3/189铜仁大兴 ZUTR TRN 115.2 04(西南) 22(东北) 2311FT111.5/044 无ILS安顺黄果树 ZUAS ASH 117.0 07(西南) 25(东北) 4807FT108.5/074 无ILS昆明巫家坝 ZPPP KMG 112.9 03(南) 21(北) 6217FT110.3/033 109.7/213大理慌草坝 ZPDL DAL 112.6 17(北) 35(南) 7071FT110.7/168 无ILS西双版纳嘎洒 ZPJH JHG 112.5 16(北) 34(南) 1814FT无ILS 110.3/341德宏芒市 ZPMS LUM 114.1 05(西南) 23(东北) 2877FT无ILS 109.7/225保山 ZPLC BSD 115.3 16(北) 34(南)5460FT108.5/158 无ILS丽江三义 ZPLJ L YG (W)381 02(南) 20(北) 7358FT无ILS 109.7/197迪庆中甸 ZPDQ ZHD 117.3 16(北) 34(南) 10787FT108.9/161 无ILS昭通 ZPZT ZAT 115.5 04(南) 22(北) 6351FT110.3/042 无ILS南宁吴圩 ZGNN NNG 114.5 05(西南) 23(东北) 420FT110.9/047全国民用机场详细标注机场名称四字代码三字代码 VOR频率跑道ILS 跑道ILS 机场标高北海福成 ZGBH BHY 无VOR 01(南) 19(北) 83FT110.7/011 无ILS桂林两江 ZGKL KWL 114.9 01(南) 19(北) 571FT110.1/007 108.5/187柳州白莲 ZGZH LIU 117.3 16(西北) 34(东南) 328FT无ILS 110.9/336广州白云 ZGGG CAN 113.05 02L(南) 02R(南) 50FT 109.3/016 110.9/01620L(北) 111.3/196 20R(北) 111.5/196深圳宝安 ZGSZ SZX 15(北) 33(南) 13FT111.3/154 110.7/334湛江 ZGJZ ZHA 16(北) 34(南) 141FT109.1/164 108.9/344珠海三灶 ZGSD ZUH 05(西南) 23(东北) 21FT110.1/047 108.3/227阳江合山 ZGYJ YGG 无VOR 17(无ILS) 35(无ILS) 37FT梅县长岗岌 ZGMX MXZ 115.0 04(西南) 22(东北) 305FT108.3/044 无ILS汕头外砂 ZGOW SWA 112.6 04(西南) 22(东北) 18FT109.1/040 无ILS南昌昌北 ZSCN NCH 115.1 03(西南) 21(东北) 143FT111.7/026 110.5/206景德镇罗家 ZSJD JDZ 117.7 04(西南) 22(东北) 138FT110.7/043 无ILS九江庐山 ZSJJ JIU 117.1 04(西南) 22(东北) 154FT109.3/042 无ILS井冈山 ZSGS JGS 108.2 08(西) 26(东) 281FT108.7/083 无ILS赣州黄金 ZSGZ KOW 112.1 03(西南) 21(东北) 382FT109.3/032 无ILS杭州萧山 ZSHC HGH 无VOR 07(西南) 25(东北) 23FT109.9/066 108.5/246宁波栎社 ZSNG NGB 116.3 13(西北) 31(东南) 13FT108.9/128 无ILS义乌 ZSYW YIU 113.2 02(南) 20(北) 259FT108.7/019 无ILS衢州 ZSQZ JUZ 117.0 03(南) 21(北) 20FT111.7/033 无ILS全国民用机场详细标注机场名称四字代码三字代码 VOR频率跑道ILS 跑道ILS 机场标高温州永强 ZSWZ WNZ 116.4 03(南) 21(北) 17FT福州长乐 ZSFZ FOC 116.8 03(南) 21(北) 46FT110.7/030 110.3/210厦门高崎 ZSAM XMN 05(西南) 23(东北) 59FT110.3/055 109.7/235武夷山 ZSWY WYS 117.9 03(南) 21(北) 643FT111.7/024 无ILS泉州晋江 ZSQZ JNJ 117.0 03(南) 21(北) 20FT111.7/033 无ILS连江冠豸山 ZSLO LCG 111.0 03(南) 21(北) 1139FT 无ILS 109.9/206海口美兰 ZJHK HAK 无VOR 09(西) 27(东) 75FT 111.5/091 108.5/271三亚凤凰 ZJSY SYX 112.5 08(西) 26(东) 92FT109.5/082 无ILS香港赤腊角 VHHH HKG 07L(西) 07R(西) 19FT111.1/073 109.3/073跑道25L 108.9/253 跑道25R 110.9/253澳门国际 VMMC MFM 16(北) 34(南) 20FT无ILS 109.7/343台北松山 RCSS TSA 无VOR 10(西) 28(东) 18FT108.9/095 无ILS台南 RCNN TNN 18L(北) 36R(南) 63FT无ILS 110.1/001高雄 RCKH KHH 09L(西) 09R(西) 31FT108.3/095 无ILS27L(东) 27R(东)无ILS 109.7/275。
中華人民共和國民用機場華北地區北京市首都國際機場、南苑機場、首都第二機場**天津市濱海國際機場河北省石家莊(正定國際機場)- 承德(承德機場*)- 邯鄲(邯鄲機場)- 秦皇島(山海關機場、北戴河機場*)- 唐山(三女河機場)- 邢台(褡褳機場**)- 張家口(寧遠機場)山西省太原(武宿國際機場)- 長治(王村機場)- 大同(雲岡機場)- 臨汾(喬李機場*)- 呂梁(呂梁機場*)- 忻州(五台山機場*)- 運城(張孝機場)內蒙古自治區呼和浩特(白塔國際機場)- 巴彥淖爾(天吉泰機場)- 包頭(二里半機場)- 赤峰(玉龍機場)- 鄂爾多斯(伊金霍洛機場)- 二連浩特(賽烏蘇國際機場)- 呼倫貝爾(海拉爾國際機場、滿洲里西郊機場、扎蘭屯機場**)- 通遼(通遼機場、霍林郭勒機場*)- 烏海(烏海機場)- 烏蘭察布(烏蘭察布機場**)- 興安(阿爾山伊爾施機場、烏蘭浩特機場)- 錫林郭勒(錫林浩特機場)東北地區遼寧省瀋陽(桃仙國際機場)- 鞍山(騰鰲機場)- 大連(周水子國際機場、金州灣國際機場**、長海大長山島機場)- 朝陽(朝陽機場)- 丹東(浪頭機場)- 錦州(小嶺子機場)- 營口(營口機場*)吉林省長春(龍嘉國際機場)- 白城(長安機場*)- 白山(長白山機場)- 松原(松原機場**)- 通化(三源浦機場*)- 延邊(延吉朝陽川機場)黑龍江省哈爾濱(太平國際機場)- 大慶(薩爾圖機場)- 黑河(黑河機場、五大連池機場*)- 雞西(興凱湖機場)- 佳木斯市(東郊機場、撫遠機場*、建三江機場**)- 牡丹江(海浪機場)- 齊齊哈爾(三家子機場)- 伊春(林都機場)- 大興安嶺(加格達奇機場、漠河古蓮機場)華東地區上海市虹橋國際機場、浦東國際機場江蘇省南京(祿口國際機場、馬鞍國際機場*)- 常州(奔牛機場)- 淮安(漣水機場)- 連雲港(白塔埠機場)- 南通(興東機場)- 無錫(蘇南碩放國際機場)- 徐州(觀音機場)- 鹽城(南洋機場)- 揚州(泰州機場)浙江省杭州(蕭山國際機場)-嘉興(嘉興機場**)- 金華(義烏機場)- 寧波(櫟社國際機場)- 衢州(衢州機場)- 台州(路橋機場)- 溫州(龍灣國際機場)- 舟山(普陀山機場)安徽省合肥(新橋國際機場)- 安慶(天柱山機場)- 池州(九華山機場)- 阜陽(阜陽機場)- 黃山(屯溪機場)福建省福州(長樂國際機場)- 龍岩(連城冠豸山機場)- 南平(武夷山機場)- 泉州(晉江機場)- 三明(沙縣機場*)- 廈門(高崎國際機場、翔安國際機場**)江西省南昌(昌北國際機場)- 撫州(撫州機場**)- 贛州(黃金機場)- 景德鎮(羅家機場)- 吉安(井岡山機場)- 九江(廬山機場)- 上饒(三清山機場*)- 宜春(明月山機場)山東省濟南(遙牆國際機場)- 東營(勝利機場)- 濟寧(曲阜機場)- 臨沂(沭埠嶺機場)- 青島(流亭國際機場、膠東國際機場**)- 濰坊(濰坊機場)-威海(大水泊機場)- 煙台(萊山國際機場、潮水國際機場*)中南地區廣東省廣州(白雲國際機場)- 佛山(沙堤機場)- 惠州(平潭機場**)- 揭陽(潮汕機場)- 梅州(梅縣長崗岌機場)- 韶關(桂頭機場**)- 深圳(寶安國際機場)- 湛江(坡頭機場)- 珠海(金灣機場)河南省鄭州(新鄭國際機場)- 登封(嵩山機場**)- 洛陽(北郊機場)- 南陽(姜營機場)-商丘(商丘機場**)- 安陽(豫東北機場**)- 平頂山(堯山機場**)- 信陽(明港機場**)湖北省武漢(天河國際機場)- 恩施(許家坪機場)- 神農架(神農架機場*)- 十堰(武當山機場*)- 襄陽(劉集機場)- 宜昌(三峽機場)湖南省長沙(黃花國際機場)- 常德(桃花源機場)- 衡陽(南嶽機場*)- 懷化(芷江機場)- 邵陽(武岡機場** 、邵東機場**)- 永州(零陵機場)- 張家界(荷花國際機場)廣西壯族自治區南寧(吳圩國際機場)- 百色(巴馬機場)- 北海(福成機場)- 桂林(兩江國際機場)- 河池(河池機場*)- 柳州(白蓮機場)- 梧州(長洲島機場)海南省海口(美蘭國際機場)- 瓊海(博鰲機場**)- 三亞(鳳凰國際機場)西南地區重慶市江北國際機場、黔江武陵山機場、萬州五橋機場、巫山神女峰機場** 四川省成都(雙流國際機場、第二機場**)- 阿壩(紅原機場*、九寨黃龍機場)- 達州(河市機場)- 甘孜(康定機場、稻城亞丁機場)- 廣元(盤龍機場)- 瀘州(藍田機場、雲龍機場*)-綿陽(南郊機場)- 南充(高坪機場)- 攀枝花(保安營機場)- 遂寧(南壩機場、惠安機場**)- 涼山(西昌青山機場)- 宜賓(菜壩機場、五糧液機場**)貴州省貴陽(龍洞堡國際機場)- 安順(黃果樹機場)- 畢節(飛雄機場)- 六盤水(月照機場*)- 黔東南(凱里黃平機場、黎平)- 黔南(荔波機場)- 黔西南(興義機場)- 銅仁(鳳凰機場)- 遵義(新舟機場、仁懷茅台機場*)雲南省昆明(長水國際機場)- 保山(雲端機場、騰衝駝峰機場)- 大理(大理機場)- 德宏(芒市機場)- 迪慶(香格里拉機場)- 紅河(蒙自機場*)- 麗江(三義機場、瀘沽湖機場*)- 臨滄(臨滄機場、滄源佤山機場*)- 普洱(思茅機場、瀾滄機場*)- 文山(普者黑機場)- 西雙版納(嘎灑機場)- 昭通(昭通機場)西藏自治區拉薩(貢嘎機場)- 阿里(昆莎機場)- 昌都(邦達機場)- 林芝(米林機場)-那曲(達仁機場*)- 日喀則(和平機場)西北地區陝西省西安(咸陽國際機場)- 安康(五里鋪機場、富強機場**)- 漢中(西關機場、城固機場*)- 延安(二十里堡機場)-榆林(榆陽機場)寧夏回族自治區銀川(河東機場)- 固原(六盤山機場)- 中衛(沙坡頭機場)甘肅省蘭州(中川機場)- 甘南(夏河機場)- 嘉峪關(嘉峪關機場)- 金昌(金川機場)- 酒泉(敦煌機場)- 隴南(成州機場*)- 慶陽(慶陽機場)- 天水(麥積山機場)-張掖(甘州機場)青海省西寧(曹家堡機場)- 海西(德令哈機場*、格爾木機場、茫崖花土溝機場*)- 果洛(大武機場*)- 玉樹(巴塘機場)新疆維吾爾自治區烏魯木齊(地窩堡國際機場)- 阿克蘇(阿克蘇機場、庫車龜茲機場)- 巴音郭楞(庫爾勒機場、且末機場)- 博爾塔拉(博樂阿拉山口機場)- 哈密(哈密機場)- 和田(和田機場)- 喀什(喀什機場)- 克拉瑪依(克拉瑪依機場)- 石河子(石河子機場*)- 吐魯番(交河機場)- 伊犁(阿勒泰機場、布爾津喀納斯機場、富蘊機場**、塔城機場、新源那拉提機場)- 伊寧(伊寧機場)港澳地區香港香港特別行政區(香港國際機場)澳門澳門特別行政區(澳門國際機場)。
盘点中国所有民航机场(4)西南地区重庆市3个:重庆江北、万州五桥, 黔江机场1.重庆江北国际机场重庆江北国际机场简称江北机场。
江北国际机场是重庆市两座民用机场之一,也是重庆航空有限公司、西部航空有限责任公司两家航空公司的主基地机场和四川航空、中国国际航空、南方航空的基地机场。
江北国际机场位于重庆市郊东北方向21公里的重庆北部新区两路镇,是西部地区第四大机场,西南地区三大航空枢纽之一,也是未来国家规划的五大枢纽机场之一。
2.万州五桥机场万州机场,又名万州五桥机场,机场位于重庆市万州区长江南岸,距万州主城区约15公里。
万州机场于1997年11月由国务院、中央军委批准立项,2000年初正式开工建设,2003年5月29日建成通航。
万州机场按4D级规划,近期按4C级建设,海拔高程为567米,属高挖高填类机场,跑道全长2400米,宽45米,停机坪19200平方米,停机位3个,可满足A320、B737同类及其以下机型的起降,航站楼面积5780平方米,设计年吞吐旅客50万人次。
目前开通至北京、上海、广州、深圳、昆明、南京、温州、厦门、西安等城市航线。
是重庆和西南地区重要空中交通枢纽之一。
四川省12个:成都双流、泸州蓝田、九寨沟黄龙、攀枝花保安营、南充高坪、宜宾莱坝、绵阳南郊、西昌青山、广元盘龙、达州河市、康定机场、稻城亚丁机场1.成都双流国际机场成都双流国际机场位于四川省成都市双流县北部,距离成都市建成区16km,有成都机场高速与成都市建成区相通。
2007年,成都双流国际机场共安全保障航班166312架次;实现旅客吞吐量1857.43万人次。
2011年实现旅客吞吐量2907.4万人次,超过深圳机场82.85万人次,实现货邮吞吐量47.77万吨,总量超过上海虹桥机场,中国大陆排名第5位,城市排名全国第4位。
2.泸州机场泸州机场为四川第三大航空港,可起降波音737型客机,现已开通泸州至北京、上海、广州、深圳、海口、昆明、贵阳等地航班。