NOVA软件阻抗数据拟合举例
- 格式:pdf
- 大小:1.64 MB
- 文档页数:12
电化学阻抗谱怎么拟合
电化学阻抗谱是一种用于研究电化学反应的实验技术,它可以提供材料的电学特性信息。
电化学阻抗谱的数据分析通常需要进行拟合来确定电化学反应的动力学参数。
以下是电化学阻抗谱拟合的基本步骤:
1. 选择适当的电化学反应模型:电化学反应过程可以通过复杂的数学方程来描述。
根据反应机理和实验条件,选择适当的反应模型。
2. 导入数据:将电化学阻抗谱的实验数据导入到数据处理软件中,并根据实验条件设置合适的频率范围和扫描速率等参数。
3. 初始参数估计:根据反应模型,估计反应的初始参数值。
这些参数可以通过之前的文献和实验经验来确定。
4. 拟合数据:使用数据处理软件对导入的电化学阻抗谱数据进行拟合。
在此过程中,调整反应模型的参数来最小化实验数据与模型预测之间的差异。
5. 参数优化:使用拟合结果来优化反应模型的参数值,并验证优化后的模型是否能够准确地描述实验数据。
6. 模型评价:评价拟合结果的质量和精度,并根据实验数据和反应模型来提出进一步的研究问题。
总之,电化学阻抗谱拟合是一项复杂的数据分析技术,需要系统地进行模型选择、参数估计、数据拟合和模型评价等步骤。
在实践中,需要结合实验条件和反应机理来灵活应用不同的拟合方法和工具。
- 1 -。
Zview基础入门教程最近研究如何用Zview软件拟合阻抗,总结了操作过程,供大家参考。
将阻抗数据存放在txt或DAT文件中,数据包括三列数,如下面的例子所示。
(前两行可以不要)点击,弹出如下对话框,点击需要拟合的数据文件,点击,点击OK。
数据导入到软件中。
此时阻抗图可能显示比较小,在窗口中右键选择Autoscale。
也可以左键框选需要放大的曲线。
在图标栏勾选Fit,点击Fit右侧的矩形框的下三角,选中需要优化的数据文件。
这是必要的步骤,因为软件默认不选择任何数据。
在拟合整个阻抗谱之前,要分别计算出每个分立简单阻抗谱的基本参数。
例如我们想计算第一个高频半圆环的参数。
操作如下;按住Shift在半圆环的起点处左键连续点击三下,选中起点。
(这个操作可以改变起始点的位置)按住Shift在半圆环的起点处左键单击,选中终点。
选中的线段会变绿。
菜单栏-Tools-Instant Fit..,弹出对黄框,单击可能的阻抗拟合图,等待几秒钟,计算出拟合参数。
不要关闭这个窗口。
菜单栏-Tools-Equivalent Circuits..这一步是对总图谱拟合对应的编辑窗口。
我们要在此窗口中编辑出拟合电路。
在空白处右键-New,选择想要添加的元件的位置和元件的类型。
大家可以尝试点击不同的类型查看电路结果,不再赘述。
我们绘制出总图谱的拟合电路图后,将每一个元件的Freedom改为Free(+)。
在Instant Fit窗口中,用左键点击某一个元件的拟合数值,按住左键不放拖拽到Equivalent Circuits窗口中相应元件的Value框中,数据即被立即粘贴了;依次把数值粘贴到相应位置。
按照之前一系列的操作选中其他分立的简单阻抗谱,在Instant Fit对话框中计算出初始值,给Equivalent Circuits对话框的电路赋予初始值。
初始值全部赋予完毕,可以关闭Instant Fit 窗口了。
我们现在要选中整个待拟合图谱,操作跟之前相同。
NOV A软件操作流程1、点开NOV A软件,点击标题栏File出现Import Procedure输入所测的数据。
2、点击数据栏出现阻抗测量,点开阻抗测量出现3点击Nyquist-Z’’ vs Z’从这个图上选取所需要的点(一般为一条直线和一个半圆,若没有半圆则只选取一条直线)通过点击右键选取放大缩小的工具来放大和缩小这一张图像选取点,其中零一下的的点都要舍去在零以上选取直线和半圆所需要的点。
选点(Step through Data)放大缩小(Enable zooming/moving)。
选好所要点后右击阻抗测量,出现一个拉升栏点击Add Windower,下一步在所需要的点打上勾或者是先选取不要的点然后再点击右键反选得到我们所需要的点然后点击OK此时左边一栏变成如下多了一个Windower.。
然后右击Windower在Add Analysis中添加Electorchemical circle fit再在其中添加Fit and Simulation 点开Windower 变成如下再点击Electrochemical circle fit出现下图类似一条直线4 若选取点为一条直线则在Excel中去处理右击上图再点击Copy data to Clipboard粘贴到Excel中会出现以下情况此时选中A这一列,然后再在表头中点击数据-分列(分隔符号)-下一步-空格-下一步-完成则变成下面的情况然后选中A、B两栏的数据点击-X、Y散点图得到如下图然后再点击图表-添加趋势线得到如下图点击图表-添加趋势线-选项-显示函数方程得到下图Rs=19848/1.31785、若不为直线则得到下图右击Electrochemical circle fit 再点击Copy as Equialent 再点击Fit and Simulation 右边出现点击edit出现下图右击-Paste得到下面的图右击Add Element-constant-Phase-element(Q)然后将其连好的到下点击1-properties-fixed(在括号前打钩) 2、3同一样操作,然后点击OK拟合后得到下图(是在点击了edited后出现)注:上图中的1、2、3、是我在截图时添加的再点击1-properties-fixed(把括号前的勾消掉),2、3一样操作,然后点击OK再点击Tool-ResumeFit and Smulation。
阻抗等效电路拟合阻抗等效电路拟合是一种将复杂的电路系统转化为简化的等效电路的方法。
在电路设计和分析中,复杂的电路系统往往难以直接理解和计算,而通过将其转化为等效电路,可以简化计算和分析过程,提高设计效率。
阻抗等效电路拟合的基本思想是利用电路元件的特性和参数,将原始电路系统的行为和响应近似地表示出来。
通过选择合适的电路元件和参数,可以使得等效电路的阻抗与原始电路的阻抗在一定频率范围内非常接近,从而实现对原始电路的准确描述。
在实际应用中,阻抗等效电路拟合被广泛用于各种电路系统的建模和仿真。
例如,在射频电路设计中,可以将天线、滤波器、放大器等复杂的电路系统通过阻抗等效电路拟合的方法转化为简化的电路模型,从而方便进行系统级的仿真和优化。
在电力系统中,可以将复杂的电力传输线路、变压器等设备通过阻抗等效电路拟合的方法,转化为等效电路模型,用于电力系统的稳定性分析和故障检测。
阻抗等效电路拟合的方法有多种,常见的包括传统的RLC电路拟合、有源电路拟合和网络拟合等。
传统的RLC电路拟合方法是将原始电路系统转化为包含电阻、电感和电容的等效电路模型,通过调整电阻、电感和电容的数值,使得等效电路的阻抗与原始电路的阻抗最接近。
有源电路拟合方法则是在传统RLC电路的基础上加入有源元件,例如放大器、运算放大器等,以进一步提高等效电路的准确性和适用性。
网络拟合方法则是将原始电路系统转化为网络理论中的传输线、滤波器等网络结构,通过调整网络的拓扑结构和元件参数,实现对原始电路的拟合。
阻抗等效电路拟合的选择和设计需要根据具体的应用需求和电路特性进行,不同的方法适用于不同的电路系统。
在进行阻抗等效电路拟合时,需要注意选择合适的电路元件和参数,以及合理的拟合误差范围。
同时,对于复杂的电路系统,拟合过程中可能会出现非唯一性和不确定性的问题,需要进行适当的优化和验证。
阻抗等效电路拟合是一种将复杂的电路系统转化为简化的等效电路的方法,可以简化电路设计和分析过程,提高效率。
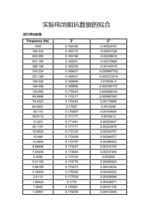
实际电池阻抗数据的拟合阻抗原始数据:Frequency (Hz) Z' -Z''1000 0.169185 -0.00524761 794.334 0.169172 -0.00401336 630.958 0.169196 -0.00299616 501.184 0.169251 -0.00215964 398.106 0.169339 -0.00145016 316.224 0.169421 -0.000867702 251.188 0.169531 -0.000372415 199.526 0.169698 3.67862E-5158.488 0.169856 0.000390137 125.892 0.170043 0.00068634499.9996 0.170217 0.00096798179.4323 0.170453 0.0011986863.0951 0.17067 0.001425650.119 0.170907 0.0016460439.8112 0.171171 0.001841231.623 0.171461 0.0020364725.1191 0.171771 0.0022387619.9525 0.172125 0.0024275715.849 0.172439 0.0026407712.5893 0.172797 0.002864229.99998 0.173207 0.003101937.94336 0.173644 0.003373056.3096 0.174193 0.0036595.01192 0.174778 0.003945243.98106 0.175473 0.004180343.16225 0.176226 0.004352222.5119 0.177039 0.004389981.99524 0.1778 0.004368711.5849 0.178581 0.004311361.25891 0.179259 0.00413948Frequency (Hz) Z' -Z''1.00001 0.179895 0.003905190.794327 0.180452 0.00375680.630954 0.180946 0.003566450.50118 0.181388 0.003329470.398106 0.181743 0.003243050.31623 0.182128 0.003184120.251189 0.182431 0.003114310.199526 0.182782 0.003254140.15849 0.183122 0.003341010.125893 0.183551 0.003493960.0999995 0.183957 0.003655610.0794321 0.184272 0.004015250.0630957 0.184837 0.004108030.0501189 0.185419 0.004564150.0398106 0.185728 0.00493140.0316224 0.186267 0.005328410.0251191 0.186863 0.00595350.0199527 0.187586 0.00660080.0158491 0.188334 0.007478790.0125893 0.189165 0.00864987 阻抗数据的Nyquist图:做阻抗拟合前,应对自己的样品有很清楚的了解。
阻抗分析软件ZviewSolartron公司生产的电化学界面配套电化学阻抗谱分析软件的最新版本,可对电化学阻抗谱进行拟合和分析。
广泛用于材料腐蚀科学、电沉积动力学等各个领域。
前些天传了个zview软件,最近又看到很多人在问这个,今天有点时间,干脆简单怎么使用。
1.导入数据注意了, 有人反映显示为演示版无法使用, 其实是自己操作不当造成的! 如果仔细按照图做肯定能用. 今天偶然发现他们的问题出在哪里, 请注意二楼的特别说明!2.数据格式要求:只要是三列数据,如下图:实部、虚部和频率即可;特别注意: 用不同仪器测试时导出的结果, 一般前面都有些题头, 几点一定要删除掉, 也就是开始就是数据3.激活数据:4.删除不需要的数据,也就是zview不能拟合的部分:5.即时拟合(instant Fit),也就是为后面的拟合获取初值:1)这个需要一个一个元件单独进行,如图中1处所标,选中部分准备进行即时拟合;2)这里忘标了,在左上角打框的地方,点击它就是即时拟合了;3)选择适宜的等效元件,如2处所标识,获得初值6.建立适宜的等效电路,这个取决于自己的体系:7.把1处的数据,用鼠标抓起来,丢到2处去:8.把1处的fixed改称free,为拟合作准备:点击2开始拟合,但在拟合前还有个地方需要部补充一下,因为有张图丢失了,没心情去补,描述如下:这张图左上方有个model,点击进去将mode改为fitting才能拟合。
9.如图,1处是拟合的结果,如果要用数据绘图,则在2处选拟合结果,再点击3处10.这个结果就可以粘贴到origin,excel等里绘制拟合后的图了后记:遗憾的是,我所选取的这个数据有问题,因为仪器的缘故,实部被乘了-1,导致拟合出问题。
很久不作这个了,现在不太喜欢用交流阻抗,因为任意性太大。
故此,提醒各位,慎用阻抗!一定要多测,最好系统地测,得到一组数据再慢慢分析,数据能说明你的问题是好事,不能说明也就不必勉强。
zview软件拟合电化学阻抗图解————————————————————————————————作者:————————————————————————————————日期:前些天传了个zview软件,最近又看到很多人在问这个,今天有点时间,干脆简单怎么使用。
1.导入数据[有人PM我,说看不到图,估计是最近教育网连google不畅之故,因为我的图是上传至google空间的。
今天索性把图重新上传至本坛,以消除此问题。
另,如果图有错,请pm我][第二次重新上传部分不能显示图,呵呵,留影,看看还会不会再出错07-07-17][Last edit by maxwell]仪器采购指南:电化学工作站电化学配件PH电极关键词:拟合zview入门交流阻抗谱相关帖子:【资料】电化学噪声的分析与应用1支持:15次感谢:10次2006-9-12 19:29:00 1楼:RE:【原创】一步一步叫你用Zview拟合交流阻抗谱(入门篇)maxwell (maxwell)技术:军士长财富:温饱积分:870 经验:130 声望:68 时长:3510[个人资料] [给他留言] [帖子合集][回复] [引用并回复] [维护]2.数据格式要求:只要是三列数据,如下图:实部、虚部和频率即可;[Last edit by maxwell]相关帖子:【讨论】电解池的设计2006-9-12 19:32:00 2楼:RE:【原创】一步一步叫你用Zview拟合交流阻抗谱(入门篇)maxwell (maxwell)技术:军士长财富:温饱积分:870 经验:130 声望:68 时长:3510[个人资料] [给他留言] [帖子合集][回复] [引用并回复] [维护]3.激活数据:[Last edit by maxwell]相关帖子:【原创】介绍一个论坛,染料敏化太阳能电池论坛2006-9-12 19:33:00 3楼:RE:【原创】一步一步叫你用Zview拟合交流阻抗谱(入门篇)maxwell (maxwell)技术:军士长财富:温饱积分:870 经验:130 声望:68 时长:3510[个人资料] [给他留言] [帖子合集][回复] [引用并回复] [维护]4.删除不需要的数据,也就是zview不能拟合的部分:[Last edit by maxwell]相关帖子:【求助】请问什么叫微分析系统?2006-9-12 19:35:00 4楼:RE:【原创】一步一步叫你用Zview拟合交流阻抗谱(入门篇)maxwell (maxwell)技术:军士长财富:温饱积分:870 经验:130 声望:68 时长:3510[个人资料] [给他留言] [帖子合集][回复] [引用并回复] [维护]5.即时拟合,也就是为后面的拟合获取初值:1)这个需要一个一个元件单独进行,如图中1处所标,选中部分准备进行即时拟合;2)这里忘标了,在左上角打框的地方,点击它就是即时拟合了;3)选择适宜的等效元件,如2处所标识,获得初值[Last edit by maxwell]相关帖子:【求助】哪位高手有Zview的说明2006-9-12 19:48:00 5楼:RE:【原创】一步一步叫你用Zview拟合交流阻抗谱(入门篇)maxwell (maxwell)技术:军士长财富:温饱积分:870 经验:130 声望:68 时长:3510[个人资料] [给他留言] [帖子合集][回复] [引用并回复] [维护]6.建立适宜的等效电路,这个取决于自己的体系:[Last edit by maxwell]相关帖子:【原创】文献查询群及介绍一个文献查询交流的好论坛2006-9-12 19:52:00 6楼:RE:【原创】一步一步叫你用Zview拟合交流阻抗谱(入门篇)maxwell (maxwell)技术:军士长财富:温饱积分:870 经验:130 声望:68 时长:3510[个人资料] [给他留言] [帖子合集][回复] [引用并回复] [维护]7.把1处的数据,用鼠标抓起来,丢到2处去:[Last edit by maxwell]相关帖子:【分享】电镀中间体在多层镀镍体系中的应用.2006-9-12 19:54:00 8楼:RE:【原创】一步一步叫你用Zview拟合交流阻抗谱(入门篇)maxwell (maxwell)技术:军士长财富:温饱积分:870 经验:130 声望:68 时长:3510[个人资料] [给他留言] [帖子合集][回复] [引用并回复] [维护]8.把1处的fixed改称free,为拟合作准备:点击2开始拟合,但在拟合前还有个地方需要部补充一下,因为有张图丢失了,没心情去补,描述如下:这张图左上方有个model,点击进去将mode改为fitting才能拟合。
1.安装前的准备工作请先根据下述的地址下载相关的软件NOVA 1.7下载地址http://www.ecochemie.nl/export/Homepages/Autolab/download/NovaSoftware/NovaCD.zipMicrosoft .NET Framework 4下载地址/downloads/en/details.aspx?FamilyID=9cfb2d51-5ff4-4491-b0e5-b386f 32c09922.NOVA 1.7的安装第一步,先安装Microsoft .NET Framework 4软件第二步,解压缩NOVACD.zip,运行Nova.exe3.FRA软件数据导入NOV A1.7点击菜单栏中File-Import procedure,然后选择FRA数据导入NOVA.nox文件,将其导入到NOV A程序中然后在procedure菜单的My procedure选项中,双击“FRA数据导入NOVA”,此时在软件右边区域点击红色区域按钮出现以下界面时,选择dfr文件所在路径然后点击下方的start按钮此时,NOVA程序自动切换到measurement view,如图所示,表示dfr文件已导入NOVA软件中。
然后点击菜单栏(下图)上的红色区域,切换至数据分析窗口在数据分析窗口中,双击“FRA数据导入NOVA”文件此时,在其下方出现如下界面右键点击import FRA,选择export to zview,然后选择导出路径,然后点击保存。
5.Zview 3.2c导入NOVA数据打开zview3.2c,然后点击其中的数据导入按钮选择刚刚导出的NOVA数据,注意此时文件类型必须选择All files导入后,就发现能够正常使用zview对NOVA数据进行拟合了。
【小技巧】电化学交流阻抗数据拟合你会吗?
交流阻抗是电化学中很重要的一种测试方法,对电化学反应机理的探索和研究有很多帮助。
很多人虽然会测试,但是对交流阻抗数据的处理尤其是对数据拟合不是很清楚,今天小编为大家推荐的是用Nova2.1软件拟合交流阻抗数据,希望可以帮助大家。
教程由AOTOLAB的王岩工程师提供,感谢他对萤火的支持。
让我们一起开始今天的学习吧。
交流阻抗拟合的技巧介绍到这里,再次感谢王岩工程师的精彩内容,期待更多优质的内容。
技巧虽小,却能帮助很多科研人,解决一时之需;荧光虽弱,慢慢汇聚亦能照亮科研之路。
如果你也有一些小技巧,小经验,请积极给我们投稿,我们会第一时间向大家推送的。
爱分享,爱科研的小伙伴可以加入萤火科研资源共享群,群号:583538165。
汇聚萤火之光,照亮科研之路。
这一期的数据是由aotolab测试得到的数据,其实其他工作站测试得到的数据同样可以经过转化后用Nova软件进行拟合,下一期小编带您学习如何转换数据,敬请期待。
zview软件拟合电化学阻抗图解————————————————————————————————作者:————————————————————————————————日期:前些天传了个zview软件,最近又看到很多人在问这个,今天有点时间,干脆简单怎么使用。
1.导入数据[有人PM我,说看不到图,估计是最近教育网连google不畅之故,因为我的图是上传至google空间的。
今天索性把图重新上传至本坛,以消除此问题。
另,如果图有错,请pm我][第二次重新上传部分不能显示图,呵呵,留影,看看还会不会再出错07-07-17][Last edit by maxwell]仪器采购指南:电化学工作站电化学配件PH电极关键词:拟合zview入门交流阻抗谱相关帖子:【资料】电化学噪声的分析与应用1支持:15次感谢:10次2006-9-12 19:29:00 1楼:RE:【原创】一步一步叫你用Zview拟合交流阻抗谱(入门篇)maxwell (maxwell)技术:军士长财富:温饱积分:870 经验:130 声望:68 时长:3510[个人资料] [给他留言] [帖子合集][回复] [引用并回复] [维护]2.数据格式要求:只要是三列数据,如下图:实部、虚部和频率即可;[Last edit by maxwell]相关帖子:【讨论】电解池的设计2006-9-12 19:32:00 2楼:RE:【原创】一步一步叫你用Zview拟合交流阻抗谱(入门篇)maxwell (maxwell)技术:军士长财富:温饱积分:870 经验:130 声望:68 时长:3510[个人资料] [给他留言] [帖子合集][回复] [引用并回复] [维护]3.激活数据:[Last edit by maxwell]相关帖子:【原创】介绍一个论坛,染料敏化太阳能电池论坛2006-9-12 19:33:00 3楼:RE:【原创】一步一步叫你用Zview拟合交流阻抗谱(入门篇)maxwell (maxwell)技术:军士长财富:温饱积分:870 经验:130 声望:68 时长:3510[个人资料] [给他留言] [帖子合集][回复] [引用并回复] [维护]4.删除不需要的数据,也就是zview不能拟合的部分:[Last edit by maxwell]相关帖子:【求助】请问什么叫微分析系统?2006-9-12 19:35:00 4楼:RE:【原创】一步一步叫你用Zview拟合交流阻抗谱(入门篇)maxwell (maxwell)技术:军士长财富:温饱积分:870 经验:130 声望:68 时长:3510[个人资料] [给他留言] [帖子合集][回复] [引用并回复] [维护]5.即时拟合,也就是为后面的拟合获取初值:1)这个需要一个一个元件单独进行,如图中1处所标,选中部分准备进行即时拟合;2)这里忘标了,在左上角打框的地方,点击它就是即时拟合了;3)选择适宜的等效元件,如2处所标识,获得初值[Last edit by maxwell]相关帖子:【求助】哪位高手有Zview的说明2006-9-12 19:48:00 5楼:RE:【原创】一步一步叫你用Zview拟合交流阻抗谱(入门篇)maxwell (maxwell)技术:军士长财富:温饱积分:870 经验:130 声望:68 时长:3510[个人资料] [给他留言] [帖子合集][回复] [引用并回复] [维护]6.建立适宜的等效电路,这个取决于自己的体系:[Last edit by maxwell]相关帖子:【原创】文献查询群及介绍一个文献查询交流的好论坛2006-9-12 19:52:00 6楼:RE:【原创】一步一步叫你用Zview拟合交流阻抗谱(入门篇)maxwell (maxwell)技术:军士长财富:温饱积分:870 经验:130 声望:68 时长:3510[个人资料] [给他留言] [帖子合集][回复] [引用并回复] [维护]7.把1处的数据,用鼠标抓起来,丢到2处去:[Last edit by maxwell]相关帖子:【分享】电镀中间体在多层镀镍体系中的应用.2006-9-12 19:54:00 8楼:RE:【原创】一步一步叫你用Zview拟合交流阻抗谱(入门篇)maxwell (maxwell)技术:军士长财富:温饱积分:870 经验:130 声望:68 时长:3510[个人资料] [给他留言] [帖子合集][回复] [引用并回复] [维护]8.把1处的fixed改称free,为拟合作准备:点击2开始拟合,但在拟合前还有个地方需要部补充一下,因为有张图丢失了,没心情去补,描述如下:这张图左上方有个model,点击进去将mode改为fitting才能拟合。
NOVA软件阻抗数据拟合举例实际电池阻抗数据的拟合阻抗原始数据:Frequency (Hz) Z' -Z''1000 0.169185 -0.00524761 794.334 0.169172 -0.00401336 630.958 0.169196 -0.00299616 501.184 0.169251 -0.00215964 398.106 0.169339 -0.00145016 316.224 0.169421 -0.000867702 251.188 0.169531 -0.000372415 199.526 0.169698 3.67862E-5158.488 0.169856 0.000390137 125.892 0.170043 0.00068634499.9996 0.170217 0.00096798179.4323 0.170453 0.0011986863.0951 0.17067 0.001425650.119 0.170907 0.0016460439.8112 0.171171 0.001841231.623 0.171461 0.0020364725.1191 0.171771 0.0022387619.9525 0.172125 0.0024275715.849 0.172439 0.0026407712.5893 0.172797 0.002864229.99998 0.173207 0.003101937.94336 0.173644 0.003373056.3096 0.174193 0.0036595.01192 0.174778 0.003945243.98106 0.175473 0.004180343.16225 0.176226 0.004352222.5119 0.177039 0.004389981.99524 0.1778 0.004368711.5849 0.178581 0.004311361.25891 0.179259 0.00413948Frequency (Hz) Z' -Z''1.00001 0.179895 0.003905190.794327 0.180452 0.00375680.630954 0.180946 0.003566450.50118 0.181388 0.003329470.398106 0.181743 0.003243050.31623 0.182128 0.003184120.251189 0.182431 0.003114310.199526 0.182782 0.003254140.15849 0.183122 0.003341010.125893 0.183551 0.003493960.0999995 0.183957 0.003655610.0794321 0.184272 0.004015250.0630957 0.184837 0.004108030.0501189 0.185419 0.004564150.0398106 0.185728 0.00493140.0316224 0.186267 0.005328410.0251191 0.186863 0.00595350.0199527 0.187586 0.00660080.0158491 0.188334 0.007478790.0125893 0.189165 0.00864987 阻抗数据的Nyquist图:做阻抗拟合前,应对⾃⼰的样品有很清楚的了解。
origin阻抗拟合曲线
原始阻抗拟合曲线是指在电化学阻抗谱(EIS)实验中得到的一种曲线,用于描述电化学系统的电学特性。
在EIS实验中,通过在待测系统中施加交变电压或电流,然后测量系统的响应,可以得到原始阻抗数据。
这些数据通常以频率的函数形式给出,即频率对应的复数阻抗值。
原始阻抗拟合曲线是将这些原始数据进行拟合,以获得对系统电学特性的更深入理解。
原始阻抗拟合曲线的拟合过程通常涉及使用复杂的数学模型,例如等效电路模型,来描述实际系统的复杂电学行为。
通过拟合原始阻抗数据,可以确定系统的电化学参数,如电荷转移电阻、电解质电阻、双电层电容等。
这些参数对于理解电化学过程、材料表征以及电化学传感器等方面具有重要意义。
从实验角度来看,原始阻抗拟合曲线可以帮助研究人员分析电化学系统的动力学特性,评估电极和电解质界面的性能,并为设计和优化电化学传感器、腐蚀保护系统等提供重要参考。
同时,从理论角度来看,原始阻抗拟合曲线也为研究人员提供了深入理解电化学系统行为的途径,有助于发展新的电化学模型和理论。
总的来说,原始阻抗拟合曲线在电化学领域具有重要的应用,通过对原始阻抗数据进行拟合,可以深入理解电化学系统的电学特性,为相关领域的研究和应用提供重要支持。
阻抗谱拟合错误率阻抗谱拟合是研究计算机科学中一种重要的技术,它是对复杂而多变的数据进行模拟拟合和预测的有效方法,它可以提供有用的信息。
因此,阻抗谱拟合的准确性和误差率极为重要。
阻抗谱拟合是一种模拟技术,它可以把复杂的阻抗特性和相关参数表示出来。
模拟拟合的目的是用一组参数来描述阻抗特性和关系,获得实际阻抗参数的准确性以及所拟合的阻抗的误差率,以此来估计阻抗谱拟合的错误率。
阻抗谱拟合错误率可以从拟合模型的类型和精度,拟合时间,阻抗参数和误差进行计算。
首先,从拟合模型的类型和精度可以估算阻抗谱拟合的错误率。
对于任何拟合方法,错误率越低,精度就越高。
使用拟合的复杂模型会使拟合精度降低,因此需要采用已有的较简单的拟合模型,以降低阻抗谱拟合的错误率。
其次,拟合的时间会影响阻抗谱拟合的错误率。
拟合模型和参数的拟合时间越长,就可以更好地拟合,准确度也会提高,使阻抗谱拟合的错误率得到有效抑制。
此外,阻抗参数会影响阻抗谱拟合的错误率。
估算阻抗参数的准确性是提高拟合精度的关键,只有当阻抗参数都精确估算出来,阻抗谱拟合的错误率才能有效抑制。
最后,拟合的误差也会影响阻抗谱拟合的错误率。
如果误差无法控制,拟合的精度就会受到影响,因此阻抗谱拟合的错误率也会升高。
总的来说,要准确估算阻抗谱拟合的错误率,就必须考虑以上几个因素,包括拟合模型的类型与精度,拟合时间,阻抗参数准确性和拟合误差。
正确地控制上述因素可以有效减少阻抗谱拟合的错误率。
基于以上因素,阻抗谱拟合的有效错误率可以从拟合模型的复杂程度,拟合时间,阻抗参数的准确性以及误差等因素来测定。
如果拟合模型没有过于复杂,参数准确,误差可控,拟合时间足够,那么阻抗谱拟合的错误率就会很低。
因此,我们可以综合考虑上述因素,有效控制阻抗谱拟合的错误率,提高模拟拟合的精度,得到更精确的结果。
实际电池阻抗数据的拟合
阻抗原始数据:
Frequency (Hz) Z' -Z''
1000 0.169185 -0.00524761 794.334 0.169172 -0.00401336 630.958 0.169196 -0.00299616 501.184 0.169251 -0.00215964 398.106 0.169339 -0.00145016 316.224 0.169421 -0.000867702 251.188 0.169531 -0.000372415 199.526 0.169698 3.67862E-5
158.488 0.169856 0.000390137 125.892 0.170043 0.000686344
99.9996 0.170217 0.000967981
79.4323 0.170453 0.00119868
63.0951 0.17067 0.0014256
50.119 0.170907 0.00164604
39.8112 0.171171 0.0018412
31.623 0.171461 0.00203647
25.1191 0.171771 0.00223876
19.9525 0.172125 0.00242757
15.849 0.172439 0.00264077
12.5893 0.172797 0.00286422
9.99998 0.173207 0.00310193
7.94336 0.173644 0.00337305
6.3096 0.174193 0.003659
5.01192 0.174778 0.00394524
3.98106 0.175473 0.00418034
3.16225 0.176226 0.00435222
2.5119 0.177039 0.00438998
1.99524 0.1778 0.00436871
1.5849 0.178581 0.00431136
1.25891 0.179259 0.00413948
Frequency (Hz) Z' -Z''
1.00001 0.179895 0.00390519
0.794327 0.180452 0.0037568
0.630954 0.180946 0.00356645
0.50118 0.181388 0.00332947
0.398106 0.181743 0.00324305
0.31623 0.182128 0.00318412
0.251189 0.182431 0.00311431
0.199526 0.182782 0.00325414
0.15849 0.183122 0.00334101
0.125893 0.183551 0.00349396
0.0999995 0.183957 0.00365561
0.0794321 0.184272 0.00401525
0.0630957 0.184837 0.00410803
0.0501189 0.185419 0.00456415
0.0398106 0.185728 0.0049314
0.0316224 0.186267 0.00532841
0.0251191 0.186863 0.0059535
0.0199527 0.187586 0.0066008
0.0158491 0.188334 0.00747879
0.0125893 0.189165 0.00864987 阻抗数据的Nyquist图:
做阻抗拟合前,应对自己的样品有很清楚的了解。
很明显,该阻抗曲线可以分为三部分:
¾前部(第四象限的曲线):对应导线的电感
¾中部(曲线段):对应反应界面
¾尾部(直线段):对应扩散
但是,中部曲线段到底由几个圆弧构成?这个需要先分析一下。
可以借助圆弧拟合方法:
右键点击数据,在“Add Analysis”中选择“Electrochemical circle fit”,在曲线上选择三个点,经过这样的圆弧拟合,发现中部数据基本可以由两个圆弧完全覆盖,如下图:
基于此,我们提出如下等效电路:
LR(QR)(Q[RW])
阻抗原件物理含义
L电感对应导线电感
Rs电阻对应溶液电阻
Rp电阻界面反应电阻CPE常相角原件对应界面电容
W韦伯阻抗对应扩散
为了方便拟合,我们可以用Windower命令将电感部分的数据去掉。
得到如下图:
添加“fit and simulation”
右边出现“Edit”按钮
右键点击Electrochemical circuit fit,选择“Copy as equivalent circuit”
点击右边的“Edit”进入等效电路编辑框,将其粘贴进去。
两次操作,可以的到如下的电路图:
添加W后,得到如下电路图
将除W外的其他元件“Fix”,点击OK
得到如下的结果:
放开后面的R和Q,点击Resume fit and simulation,或者快捷键F9
得到如下结果:
进一步放开其他元件,重复一次,得到如下的结果
这一步完成后将等效电路命名后保存。
如下图,对原来的数据添加“Fit and Simulation”
在原来电路的基础上加上L
再拟合一遍,就得到了如下的结果:
小结:
1、拟合之前对样品的了解和对数据的观察很重要。
中部到底几个圆弧,可以
借助圆弧拟合和样品的特点来判断,一个圆弧对应一个界面。
2、数据拟合时,不可超之过急。
可分步骤来进行,比如,先把电感的部分去
掉。
3、拟合时,应该先固定住圆弧拟合的到的初始值,放开其他的原件,比如W
等。
拟合完后,逐步放开前面固定住的原件初始值,注意此时是点击”Resume fit and simulation”或F9
4、逐步进行,最后一定能获得比较好的结果。
逐步进行,看起来步骤多,实
际上效率是最高的,我们可以不经过先固定后放开的步骤,但是这样会非常耗时间,因为迭代的变量太多,迭代次数会呈指数增长,将要花很长时间,而且很有可能迭代不收敛,得出很差的结果。