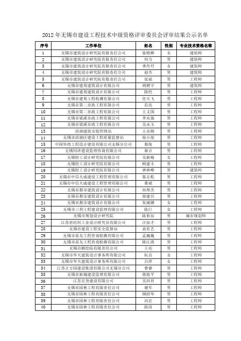
2012年无锡市建设工程中级初级资格评审结果公示
- 格式:doc
- 大小:320.50 KB
- 文档页数:6
無錫巧計攬人才2013年08月26日 22:44來源:中國網0人參與0條評論分享到:8月21日,“第四屆中國大學生服務外包創新創業大賽”在無錫舉行。
這已經是無錫第四次舉辦此會了。
對於無錫來說,與其說這是一場比賽,倒不如說是一場面向全國大學生的人才爭奪戰。
用心的人就會發現,在大賽期間,主辦方在餐飲區為來自全國各地的大學生精心準備了無錫的特色美食,如王興記、穆桂英等。
就連頒發的獎品之一都是類似無錫排骨這樣的當地美食。
“無錫在吸引外包人才方面可謂是用心良苦。
”文思海輝公司副總裁劉京譽這樣說道,無錫是希望通過留住學生的胃,來留住學生到無錫就業的心。
據無錫市商務局副局長汪行介紹,目前無錫服務外包已累計就業15萬人,佔總就業總人數的1/4,而外包就業人數還在以每年2萬人的速度遞增。
然而,作為服務外包示範城市的無錫,一直以來卻不得不面對一個現實,那就是當地高校資源的稀缺。
目前,在無錫,正規的高校只有兩所,一所是江南大學,屬211工程學校,另外一所就是無錫太湖學院。
此外,無錫還有十多所高職院校。
這遠遠滿足不了無錫當地的外包需求,無錫每年都要從南京、上海、西安、成都、武漢等城市引進人才,以彌補人才缺口。
為此,“築巢引鳳”便成了無錫一直以來所做的功課。
一方面,針對高級人才緊缺的現狀,無錫市支援NIIT、埃卡內基、高技能人才公共實訓基地、無錫科技職業技術學院、太湖人才中心等有條件的骨幹培訓機構,引入企業需要的國際服務外包中高級認證課程,增強服務外包企業中高端人才造血機能。
特別是NIIT,今年培訓人才超1萬人,授課老師來自國外大型外包企業,擁有豐富的實戰經驗。
另一方面,無錫在資金上給予大力支援。
無錫市政府推行1:1的配套補助政策,即國家對服務外包示範城市的企業和培訓機構在培訓學生方面分別給予每人4500元和每人500元的資金支援,無錫市政府則再給予同等金額的支援和鼓勵,從而為服務外包企業營造人才“蓄水池”。
同時,無錫市政府還對本科生、碩士生、博士生分別給予每人每月500元、600元、800元的住房補助,這基本上解決了畢業生一半的租金。
2012年度工程师任职资格评审通过名单:1.奥原生态美景观设计(杭州)有限公司:何毅俊2.北京北林地景园林规划设计院有限责任公司:孙舟飞3.北京联华建筑事务有限公司杭州分公司:谭晓、金斌斌4.北京森磊源建筑规划设计有限公司杭州分公司:赖广文5.北京世纪中天国际建筑设计有限公司浙江分公司:史龙6.北京通程泛华建筑工程顾问有限公司杭州分公司:张赛燕7.北京中国风景园林规划设计研究中心杭州分部:罗亚青8.北京中和建城建筑工程设计有限公司杭州分公司:李佳才9.北京中元工程设计顾问有限公司:陈丽慧10.北京中元工程设计顾问有限公司杭州城西分公司:郭晓勇11.长沙市规划设计院有限责任公司杭州分公司:范明华12.长沙市规划设计院有限责任公司杭州分公司:金昊13.城市建设研究院浙江分院:左克家14.大地建筑事务所(国际)杭州分公司:周红君、黄欢15.大学士工程管理有限公司:徐美群、陈留保16.泛华建设集团有限公司杭州分公司:孙友海17.富阳复润置业有限公司:陈晖18.港盈房地产(杭州)有限公司:刘开杰19.高地(杭州)房地产开发有限公司:周日红20.广东建筑艺术设计院有限公司杭州分公司:陈丹、楼晓燕、马云21.汉鼎信息科技股份有限公司:李庆飞、沈文、许燕玲22.汉嘉设计集团股份有限公司:詹伟良、张灯、陈晓金、范侃侃、吴楠、方岩、刘大寒、陈晖、金妙炎、陈铁城、詹淑琴、陈巍、曹惠平、严勋、吴杰23.杭州埃埃建筑设计有限公司:何荣容、王宇24.杭州澳兰建筑景观设计有限公司:娄丽苹、杜雁群25.杭州贝霖建筑景观设计有限公司:何济东26.杭州草木石景观设计有限公司:李凌27.杭州昌能电力科技有限公司:赵景川28.杭州超群科技有限公司:谢雪29.杭州诚信园林景观工程有限公司:沈晓佳30.杭州大众钢结构有限公司:高丽31.杭州典尚建筑装饰设计有限公司:朱玉萍32.杭州鼎盛造价师事务所有限公司:王聪聪33.杭州泛华易盛建筑景观设计咨询有限公司:周建明34.杭州丰禾石油科技有限公司:张纯35.杭州孚元泰置业有限公司:楼晶36.杭州翰丰建设有限公司:胡江燕37.杭州航海仪器有限公司:吴建锋、刘志仙、曾瑛38.杭州宏都宾馆有限公司:张开俊39.杭州华建置业有限公司:王君40.杭州华瑞新洲工程造价咨询有限公司:翁晓宇、杨海杰41.杭州华通建设工程有限公司:杨赛42.杭州华正建筑设计院有限公司:石传豹、胡振、马翊华、汪海莹43.杭州嘉德威钢琴有限公司:马鹏莲44.杭州江南建筑设计院有限公司:钱海平、盛旭东、许凯灵45.杭州交联电力设计咨询有限公司:韩文澜、伍锡金、邱淼46.杭州经纬建筑设计有限公司:胡丽娜47.杭州九米建筑设计有限公司:徐绍波、蒋翎、符华民、徐宁国、童一韦48.杭州坤德建筑设计咨询有限公司:翁华伟49.杭州坤树建设工程有限公司:周木秀50.杭州蓝天园林建设集团有限公司:林兴、黄尚琦、郑伟、陈芳、杨新谋、张燕、石哲铭、储燕燕、许治雄、倪志华51.杭州蓝天园林设计院有限公司:马杰、吴琼艳、陈鸣涛52.杭州朗诗置业有限公司:竹季春53.杭州良邦建筑工程有限公司:蔡士连、田俊华54.杭州临安锦利房地产开发有限公司:张家宝55.杭州绿城风景园林设计有限公司:陈剑、陈淑恒56.杭州绿城海企房地产开发有限公司:陈峰57.杭州绿城锦玉置业有限公司:陈亮、张逢宇58.杭州绿城玉园房地产开发有限公司:金志兴59.杭州玛雅建筑设计咨询有限公司:王海龙60.杭州南北环境艺术设计有限公司:王磊61.杭州南华景秀园林设计有限公司:韩爽63.杭州普立策建筑设计有限公司:洪义兵、刘堂竞、徐山珍64.杭州群易环境艺术工程设计有限公司:胡慧丹65.杭州荣安置业有限公司:李军萍66.杭州瑞马环境设计有限公司:马圣67.杭州赛石园林集团有限公司:曹敏、唐芝兰、黄海、周彩红68.杭州三方建设有限公司:黄立帆69.杭州神工景观设计有限公司:周微70.杭州圣文建筑设计咨询有限公司:陈丰艳71.杭州时进科技有限公司:刘震杭72.杭州世外桃源房地产开发有限公司:袁琼73.杭州市城建设计研究院有限公司:郑建飞74.杭州市地下工程设计研究院有限公司:刘建松75.杭州市华清建筑工程设计有限公司:吴海鸯、熊旭明76.杭州市江南建筑设计院有限公司:蒋赓革77.杭州市节能技术设计研究所有限公司:方芳78.杭州顺达电梯厂:宣亮亮79.杭州天工建设监理咨询有限公司:黄小荣80.杭州天人建筑设计事务所(普通合伙):汪丰、冯星81.杭州天梭环境科技有限公司:吴向堂82.杭州天泽建筑设计咨询有限公司:张宝哲83.杭州同翰建筑设计有限公司:饶青香85.杭州万景景观工程有限公司:邢秀荣86.杭州维科磁电技术有限公司:程永华87.杭州纬拓规划设计咨询有限公司:裘彬彬88.杭州西子石川岛停车设备有限公司:关璞89.杭州协东电力设计工程有限公司:高海强90.杭州协和建筑设计咨询有限公司:张展飞、沈丽莉、王一飞、王芳、吴逸铭91.杭州新海建设工程实业有限公司:董程92.杭州新湖美丽洲置业有限公司:祝秀桥93.杭州信达投资咨询估价监理有限公司:方涛、蒋大智、杨斌、乔磊、金凤对、钱国锋、胡晓芳、张倩晴、叶兴锋、胡明娟、叶维侃、朱祺94.杭州信雅环境艺术有限公司:汪海95.杭州雅克汉方建筑设计有限公司:胡洋96.杭州亚景景观设计有限公司:邵琳97.杭州一鸿建筑设计咨询有限公司:王冬羽、洪万亮、黄立之98.杭州易及景观设计有限公司:黄超彬99.杭州易筑房地产开发有限公司:倪俊杰100.杭州益荣房地产开发有限公司:沈春波、徐定龙101.杭州优化建设投资咨询有限公司:毛飞102.杭州余杭金腾房地产开发有限公司:谢重磊103.杭州远洋天祺置业有限公司:沈超104.杭州兆宇建筑设计咨询有限公司:梁亦国105.杭州中环物业管理有限公司:马文骏106.嘉凯城集团名城有限公司:李志强107.嘉里置业(杭州)有限公司:陶然108.金成房地产集团有限公司:史济伟109.金都房产集体有限公司:张沁110.九江新湖中宝置业有限公司:傅晓菁111.鲲鹏建设集团有限公司驻杭州办事处:李永涛112.鲲鹏建设集团有限公司驻杭州办事处:董元元113.林德工程(杭州)有限公司:牛峰、刘春亮114.绿城房产建设管理有限公司:施华、简禄华、王菊爱、王萍115.绿城房地产集团有限公司:陈世好116.青岛海信日立空调系统有限公司:徐雅群117.上海艾能电力工程有限公司:朱可、郑剑伟、张静118.上海东方建筑设计研究院有限公司杭州分公司:徐红、陈炜、王荣119.上海恒驰房地产有限公司:李占民120.上海松井机械有限公司杭州分公司:金晓煜121.上海颐筑建筑设计有限公司:张传军122.上海中泰世纪照明设计有限公司:林仙根123.上虞市城建规划设计院:宋培华124.深圳市华纳国际建筑设计有限公司杭州分公司:张蕾125.深圳市中外建建筑设计有限公司杭州分公司:唐云126.苏州市市政工程设计院有限责任公司杭州分公司:解加亮、沈育平127.台州市人力资源开发有限公司:姚剑128.武汉华中科大建筑设计研究院杭州分院:袁寰、张峰129.新昌营造建筑有限公司杭州分公司:张仁松130.雅克设计有限公司杭州分公司:陈剑131.浙江安地建筑规划设计有限公司:戈瑞、张益川、朱炜钦、徐雪央、毛文斌、陈伟红、袁源、陈雯132.浙江安居建筑设计有限公司:蒋佩君133.浙江宝庆建设有限公司:吴振华134.浙江宝业建筑设计研究院有限公司:林智锋135.浙江保利房地产开发有限公司:缪超、郑小云、徐晨艳、王健、王国栋136.浙江诚控电子有限公司:朱卫国137.浙江城建房地产集团股份有限公司:黄敏、张利138.浙江城建煤气热电设计院有限公司:王桉华、张娟、张琦俊、陈洁139.浙江城建设计研究院有限公司:周顶顶、卫李峰、陈高青、魏英140.浙江城建园林设计院有限公司:胡玲玲141.浙江大地岩土勘察有限责任公司:何焕行142.浙江大丰实业有限公司:吕浩春143.浙江大合建设工程检测有限公司:何清荣、李探144.浙江大禹实业发展有限公司:林熊熊145.浙江当代发展建筑设计院有限公司:雷辉、陈秀民、卢千姿、夏振华、董卫平、朱海荣、林延隆、蔡欢欢、张珊珊146.浙江地标建筑设计有限公司:林上总、何广宇、潘飞、王孟微147.浙江东都建筑设计研究院:张瑜148.浙江东方建筑设计有限公司:陈晓149.浙江东南建筑设计有限公司:杜金军、姜薇、江冰兰、刘忠卫、楼建成、陈磊、王洪倩、黄颖丽150.浙江泛城建筑景观设计有限公司:赖雪、常虎151.浙江泛海建设投资有限公司:泮小倩、袁梅、史鄂凌152.浙江泛华工程监理有限公司:付强、洪岩153.浙江复筑建筑设计有限公司:张海峰154.浙江工业大学建筑规划设计研究院有限公司:周家骏、何政伟、周圭梅、汪翀155.浙江国恒西溪置业有限公司:谢静156.浙江国信工程监理有限责任公司:张喜春、雷璇157.浙江汉嘉装饰工程有限公司:钱建星158.浙江禾泽都林建筑规划设计有限公司杭州分公司:胡纪民、张峰、徐华、陈丽丽159.浙江核力建筑特种技术有限公司杭州第二分公司:蒋海健160.浙江红叶园艺有限公司:张军杰161.浙江华诚建设工程招标代理有限公司:徐哲康、林萍萍162.浙江华坤建筑设计院有限公司:沈雪琴、吴耀平、李新新、竺森、周永权、童汉梁、余鹏勇、甘露、何借冬、蔡景伟、卢凌翚、厉高辉、潘伟华163.浙江华腾建设工程有限公司:蒋琪164.浙江华耀建设咨询有限公司:张晓钦、倪元165.浙江华洲国际设计有限公司:王红玉、傅斌166.浙江汇凯园林市政有限公司:裘浙群167.浙江吉城建筑景观设计有限公司:沈伟鹏、贺琦、王娟莉168.浙江佳境规划建设设计研究院有限公司:王熠莹、赵智泉、姜洪娟、吕磊勇、陈显备、洪亮、韦莹、施炯炯、郎静、郑柳君、卢园园169.浙江嘉和建筑设计事务所有限公司:沈科、葛思闲、庄晓芹170.浙江建协工程咨询监理有限公司:程伟仙171.浙江建银项目管理咨询有限公司:汪锐172.浙江建院工程咨询有限公司:段恒峰173.浙江建院建筑规划设计院:朱启铭、吴校平、沈洪星、黄庭辉、赵甜甜174.浙江建正工程咨询有限公司:陶琳175.浙江江南工程管理股份有限公司:胡华荣176.浙江金诚工程造价咨询事务所有限公司:胡军梅177.浙江金江实业股份有限公司:祝华178.浙江金瑞工程咨询有限公司:陈分占、王萍179.浙江金瑞建筑设计有限公司:施展180.浙江久正工程检测有限公司:刘小玲181.浙江郡原地产股份有限公司:史利剑182.浙江科华数码广场有限公司:卢李鹏183.浙江科佳工程咨询有限公司:沈涛、陆益184.浙江科佳工程咨询有限公司余杭分公司:徐刚185.浙江蓝天园林工程有限公司:沈盈锋186.浙江联合应用科学研究院:程玲玲187.浙江联建工程设计有限公司:卢永进、盛亚军、赵琼、朱振兴、柴荣、蔡笑昂、郑源泓188.浙江林松建筑设计事务所有限公司:倪诚峰、王娟189.浙江绿城电子工程有限公司:沈波190.浙江绿城东方建筑设计有限公司杭州分公司:方婷、陈勇、朱航、黄路191.浙江绿城建筑规划设计管理有限公司:孙煜192.浙江绿城建筑设计有限公司:任鑫林193.浙江绿城景观咨询有限公司:汪剑、石梦194.浙江绿城利普建筑设计有限公司:韦愿成、钱斌195.浙江绿城新兴置业有限公司:朱文清196.浙江绿城装饰工程管理有限公司:庄乾、黄芬韦、倪军197.浙江绿建建筑设计有限公司杭州分公司:陈金波198.浙江衢州建工集团有限公司:诸宏丞199.浙江人文园林有限公司:田瑶君、金碧琼、吴秋霞、尹利平200.浙江森禾种业股份有限公司:韩鹏飞、尹庆平、郑锦凯、金婧、邓琳丽201.浙江上湖实业有限公司:杨莉202.浙江省成套工程有限公司:陈皓、张丽、孙亮亮、郑晓鸯203.浙江省成套招标代理有限公司:金星、张钟、蔡志元、许申强204.浙江省城乡综合设计院有限公司:裘燕群205.浙江省古建筑设计研究院:韩冰焱206.浙江省火电建设公司:冯伟207.浙江省建设工程设备招标有限公司:于正平208.浙江省建院建筑规划设计院:李玉明209.浙江省教育发展中心:万文博210.浙江省经协集团有限公司:李羽211.浙江省通信产业服务有限公司绍兴市分公司:金兴春212.浙江省通信产业服务有限公司网络科技分公司:张向阳213.浙江省现代建筑设计研究院有限公司:刘昌荣、朱珉、常杰214.浙江新世纪人才开发有限公司:何火卫、邵伟芳、胡高鹏、陈友文、蒋辉215.浙江省耀江实业集团有限公司:刘达尤、劳奇浩216.浙江天辰建筑设计有限公司杭州分公司:孙萍217.浙江天地园林工程有限公司杭州天城路分公司:石雪莹218.浙江天健工程造价咨询有限公司:宋炼军、孟均辉、杨文兵219.浙江天平投资咨询有限公司:彭卫群220.浙江天宇装饰工程有限公司:范江南221.浙江铁道建设工程有限公司:祝凌波222.浙江通和建筑设计有限公司:林良耀223.浙江同方工程管理咨询有限公司:王利224.浙江万邦工程管理咨询有限公司杭州分公司:鲍静、马莉、宋沈婷、何海燕、吴林翠225.浙江万邦智能工程有限公司:董大年226.浙江万国建筑设计有限公司:顾一峰227.浙江望高科技发展有限公司:袁大陆228.浙江香溢房地产开发有限公司:朱金峰229.浙江新诚信工程造价咨询有限公司:张利红、陈鑫、沈剑峰、吴波230.浙江新绿洲景观工程有限公司:陈鹏231.浙江新南北控股集团有限公司:周利燕232.浙江新中环建筑设计有限公司:方春辉、虞小平、金磊233.浙江信江暖通工程有限公司:林云杰234.浙江亚厦装饰股份有限公司:丁昊、郭跃骅、叶丽群、陈华、于爽235.浙江耀华工程咨询代理有限公司:余瑞平236.浙江耀信工程咨询有限公司:胡寿云、陈建方、沈勇、徐俊237.浙江银泰装饰工程有限公司:詹社泉238.浙江元成园林集团有限公司:徐杰元239.浙江远见旅游设计有限公司:王叶萍、毛丹琼240.浙江运河协安置业有限公司:徐钟、李敏妃241.浙江展诚建筑设计有限公司:林涛、傅政宇、杨安敏、王普成、高华杰、李显利、樊建国242.浙江正禾建筑设计有限公司:陈绩243.浙江正宏瑞工程管理咨询有限公司:黄艳虹244.浙江中博建筑设计院有限公司:周攀245.浙江中达工程造价事务所有限公司:黄君绸246.浙江中浩工程检测有限公司:顾鹏247.浙江中和建筑设计有限公司杭州设计分公司:葛辉248.浙江中技建设工程检测有限公司:唐小祥249.浙江中梁置业有限公司:胡芬芬250.浙江中润工程管理有限公司:马晓芳、李向阳、谢迪英251.浙江中商工程咨询有限公司:周萍、杨艳芳252.浙江中设工程设计有限公司:冯林刚、张祥林、欧阳琴琴、王祖锋、李建平、虞玠、陈惠丽、余建璋、刘丙胜、蒋委、刘国振253.浙江中铁房地产集团有限公司:杨东、王漪娜254.浙江中亚园林景观发展有限公司:章娟255.浙江中州工程咨询有限公司:沈重辉、周明256.中国美术学院风景建筑设计研究院:钟琼、杨小勇、卢丽笑、郭飞翔、周俊超、吴立克、杨敏、王洪华、刘劲楠、王维、朱华非、龚林方、许明星、周波、童理、智彩莲、郑继芳、吴敏、赵琦、丁永钞、潘晓、胡凌波、俞立、韩晔、倪力切、周高、张斐飞、蒋相明、徐莉莉、张靖、林成昌、沈威、李杰、冯校伟、曹薇、杨涛、张颉、程再伟、张娜、夏日进、张洁、张颖、史亮、董佳丽、邹玉梅、王金献、董正大、赵欣、戴鹏华、王丽娜、章文豪、严淑云、陈斌波、毛菊英、方钰、陈明、马艳婧、陆国建、董亮257.中国轻工业武汉设计工程有限责任公司杭州分公司:李玥、徐珊蕾、毛增维259.中国市政工程华北设计研究总院浙江分院:李锦、沈跃、叶天池260.中铁房地产集团浙江京城投资有限公司:张国定261.中外建工程设计与顾问有限公司浙江分公司:郑燕。
住房和城乡建设部公告第1483号――关于2012年第六批一级建造师注册人员名单的公告文章属性•【制定机关】住房和城乡建设部•【公布日期】2012.10.17•【文号】住房和城乡建设部公告第1483号•【施行日期】2012.10.17•【效力等级】部门规范性文件•【时效性】现行有效•【主题分类】正文住房和城乡建设部公告(第1483号)关于2012年第六批一级建造师注册人员名单的公告根据《注册建造师管理规定》(建设部令第153号)、《一级建造师注册实施办法》和《关于建设部机关直接实施的行政许可事项有关规定和内容的公告》(建设部公告第278号)规定,经审核,申请注册一级建造师的国爽等5976名符合一级建造师注册条件,准予注册。
特此公告。
附件:国爽等5976名符合一级建造师注册条件的人员名单住房城乡建设部2012年10月17日附件1国爽等5976名符合一级建造师注册条件的人员名单初始注册( 5317 人)北京市:( 10 人)国爽李胜臣李英哲赵立娜尹少鹏于兴业刘素芳徐宝荣阚庭明籍峰天津市:( 205 人)董建峰胡卫军石长春孙宏丽胡鹏朱海荣李士勇王宁郭占锋李宝龙焦国亮张世祥李卫华王晓东张晓斌董延利杜海燕杨志伟邓翠红郭长茂白楠李海涛赵娜娜张文明肖光刘以国崔永刚贺鹏王建伟李永建吕长明温婷周雪春丁斐方本昌张泽美李洪涛李书强柴宁张德东王海涛焦秀英张树发翟宝伟周永生孟宪宽顿军华赵建文赵志芳曹春阳江俊海刘晋京徐克敏郁秋梅赵凯封波李琦陶湜晟郑向军高杰刘连海柳萌吴立志高建军张智会毛秀红齐伟杨智领魏文杰信强刘玲玲宋子贤王首臣张玉春刘建平刘鹏黄占成许艳芳常松松饶越郭晓洁胡伟董军王晓碧李瑛马俊英郭庆伟刘振刚张志远王文卓王晓东高锋刘杨李锡明周伟崔纪红高振恒彭广振魏巍朱鹏陈栋刚顾英财王丙君赵欣崔喜军李跃刘卫国任志旺崔勇刚孙旭张建杨花田长喜李春阳陈天伟张磊张雄伟李江彦张宏喆吕金阔辛后宏齐悦丁一凡王建王超英马平李运贺张庆庆高美林贺罡李进王勇宋广明刘瑞章闫海军徐国胜咸立峰李金声孙清林马继禹刘振平薛亚东王志华裴志福代庆锋魏延博杨华吴宗南杨传刚尼华苗青曾鹏皋白净玮黄燕生汪冬梅郭小飞贾倩蕊王海艳兰洪元李小斌凡春张涛刘晓然杨兵高彩霞董洪强赵敬考季洪瑞宋健侯永兵赵锦西沈志国勾金旺谢冠鹏王保松于海娟谭再坤吴艳贺军红刘建军王永史小诗李兴昌李英芹魏长寿洪光照韩文熙倪春梅丁少昆孙庆辉徐永生魏岐赵丽萍赵慧君李民尤军贺凯王保华刘晶晶李桂芬薛国方李长生邵玉霞赵富利张艳忠河北省:( 378 人)刘香甜李民辉李庆云刘建海侯条英李清商占龙倪朝阳王会丰李锁全郭化波乔木李海青刘玉红岑强安兴华陈静李志胜肖立涛崔丽华张宏兴王岗波刘新福白海峰徐悦张军冯二民程云晏志海梁国强彭伟辉陈克俭刘红亚刘少勋井玉莲谭宝海陈宾玺李娜高彬么卫青张伟朱静左卫剑李小雷刘德含许广震程俊杰魏翠龙宋涛刘建州赵风谦刘文成封虎林巨鹏王正良杨杰张宏洲张立城赵源张建坡 XXX磊齐宏伟梁雁王鹏涛郝朴杨红云张建华肖育华郭洪丽尹慧芳李国英李东英韩庆福王海龙石针洋武燕蔚梁仕阔谭宝华魏东亮陈立飞王志国陈明起麻延东林剑张凤鸣卢颖新赵会敏赵然尚超胡军辉张庆根张建地叶双青袁连生刘晓立李跃宗郭志军祁小飞张林堂赵杰刘俊花翟兴才郝鹏付文章耿漫英路立霞师永刚潘俊美刘瑞恒王际勇武红伟谢晓英白永维贾永李淑春张国芳邹学永赵强田苏袁文吴飞鸿侯威郑昊王玉梅齐岩董志霞刘杰于跃芬陈光辉孟爱民郭尚英张佳伟田世英何竹为周绍明崔邯龙张天晴史睿智王立杰刘彬元马春雨张艳王立朴宋云涛卜永涛伍敏华刘雅辉李东民么东成胡道平崔景涛韩海峰董帅范旭强郑学田杨巍王代发曹大勇高继东刘乾王文正张仁洪刘小庆 XXX 王建杰尹洪太苏敏姜烈涛刘寿师陈建朝郭建东刘文保盖新壮刘芳张辉翟秋芳孙景丽刘宝龙周田强郭燕王国栋姚彦峰孙桂梅王连坤郭锡成王宪升姜刚乔国荣狄爱平雷艳荣杨艳民赵艳辉苏宇王鹏斌杨瑞海王旭许爱霞刘颖陶艳玲杨振华王红梅李艳明赵淑平王洁陈志泉魏荣斌王文权汪潇驹苑颖波王丹花牛立博王文生武淑平任祖光张海广张德超任志军曹丽君张俊柳于太冬李书玮任艳军程志强王井宇任学勇王春艳穆卫善何可牛国兴薄顺新毕文卓韩会斌贾畅 XXX 张海龙王公伯李玉光刘辰志刘曼闫新明曹健范学广侯光鑫池伯强何斌李文华陈学斌王建军刘玉娇白清云娄谦友马桓赵凯亮卢国辉顾钗李彦杰崔会梅佟绍岳黄仕刚刘会兵刘雪锋韩寸贞孙国刚李德庆张勇封明亮贺晓明李杰彬孙静郭万杰刘志强李科强文伟云姚亦农赵强何宴君赵永利樊战利王强宋月光孙合昌白运红李志东安景华郝淑慧刘凯常丰义李萃颖孙宝新曹宏宾陈战龙纪燕祥王恩张立果赵宝典黄丽红董子满钱学章秦士英崔娟贾炜镔高恒宾郭成波卢明慧任相科张凤梅范海英刘健马立红韩瑞宁吴士华李通李英杰蒋曙亚郭春兰王和明孟丽艳张立旗郑晓宁李庆赵福光陈明辉吴兆民张士强刘娟慧荣慧卿吝红军李生龙谢洪升徐明韩强陈淑芹王尊燕赵立永 XXX顺王银张景方邵惠芳吕金慧高洪敏侯江丽李跃卿王铁伟林艳秋王仕兴岳伏彬张同军胡彦岭田杰芳李明李兆贤赵洪蕴张延红杨云龙齐飞白俊廷徐凡陈建江孙翔宇杨剑卢玉虎赵炎郝贵荣周逸姜玥张金成周庆亮尹爱华顾天鲲马友维马红军张秉锋高爱军韩龙君杨建华李海杰 XXX 解志勇山西省:( 155 人)耿巧珍吴丽娜张建柱段瑞虹闫海琴王文龙李爱华张群任惠霞武文珉葛锋钱中山王欢庆张亮吴晓光吴占应刘华波韩越信咸领群陈立东曹利峰陈艳军冯晓光齐彦彦张克廷胡海斌郭波薛军高洪涛周睿裴朝利史海平李亦工周军荣刘志磊黄波潘进康李保朱李晶岩张书成祁志亮李旭陈康有黄转江李军红冯纪林肖志杰张斌苏高峰王德明张昌勤于保柱魏菊萍史丽英牛二军王卫东徐立强王向东刘英树张翊卫强周利国王飞滑坤樊新荣李春红李应龙陈丽珍刘树合王晓明李秀川杨彩霞焦晋阳王慧彬李建冲郝勇智陈杰武小玲李伟赵良太何冰姬金奎张峰陈文生马凤英高宝军闫俊焕郭俊红洪武白雪景邓新亮谭进奎杜玲珍付强陈迎军王国庆伊慧珍冯文杰史国明李江原俊学刘杰桂黎明王建平李海东贾郁芬樊文迪侯凤伟左献文李改玲张亮郭太红王生银景单飞沈贵斌孟锦然赵海波侯永成肖西合王学林牛丽萍曹敬福王利国颜继良郭文珍王春江赵永亭金峰段效坚尤香莲冯晓伟杨华罗勇亓玉玲李霞赵建强张春风孙茂康凤琴焦庆旺王伟于德强孙晋一高东坡任振峰牛建发庞俊刚谢绵光任晓云武玉龙周文艺邵文赵迎花成剑荣梁海兵内蒙古自治区:( 7 人)周仕永汤新强宋文锋胡长春张纪春于权武召奇辽宁省:( 220 人)刘淑霞郭志强周军李常宏于占成蒋进邵玉鹏林宽利田承威汪成君陈勇李红菊陈丹贾一波王晓民刘闯公伟梁洪洋韩飞兰英波李大勇肖音周丽红杜伟曲范柱王志军崔国江肖遥吴畏于日舵陈凤龙杨森林王新社曹明雪薛辉曹跃华庄玉锁孟凡伟于赛欧张天祺季静刘友桑夫田张景河杨静段少腾张宁杜义辉林红艳于静涛佟丽沙楠赵海旗翟涛梁洁魏海涛李京马良冯丽姜镝江福群王东张天明关绍艳田承彧宋志刚宋德君赵宁李艳焕周顺政肖居朋孟凡宏张强李旺刘洋洋田孝欣杨振磊许志勇陈继德赵金秀于福强马敏捷王红波石育军王忠臣刘仍振刘善勇贾军张研胡利强李骥钱中合孙丽菊史善华左岩华欧阳铁辉郑达阳王荣涛关聪赵志赵铁丰王海明李世汉王观李孟春温姝静刘凤娟刘涛钱文升吴军周立军徐建华李洪成籍明双王学文丛琦韩君孙兆运李勇程继革姜连成佟树波孙秉军岳宏辉徐文业孙荣元曲向儒方希明白钰王宏伟运长龙马晋初永芬李永欣周顺朝徐严义代远龙刘世鹏张大鹏吴刚王广植宋乃义刘浩雷勇王忠堃王传华娄广新雷鸣柴洪有唐瑾秀梅琳季军王宁贾澎涛曹阳冯伟魏红王秉君万起军温宪彬李仁强赵朋龙王明湖许宏文李钢周奕尚贵佳于志恒吴杰王洪月史玉鹏孙阳赵洪经赵文科王明军王厚育提长友李福伟王小旭崔蕾张东胜解英丽李成堂赵跃张中龙王伟张伟风王婷婷王锴王晗谭春安李秀鹏黄健李迷九周利平徐冲羽齐宝库王恒义邹鹏李伟路文刚张金峰刘新宏于洪来孙亚东陈臣李庆财徐晓阳宫宪武申涛谭广宁孔美珍王飞武光李可王崇夏志忠张庆颖王静吴晓艳吉林省:( 89 人)张环宇周桂英王利军魏迎春梁大勇王昱于志国董淑英袁恒亮刘志强侯文栋高宇朱勐门思阳田延彬兰莹朱志成王梅李国龙柯尊池付忠红王向阳修玉杰曾聪郭静华孙丽李君雷红张晓鹏常立华李鹏耿宝智刘畅田雨强刘明东来艳华马宝山卢秀晶孔祥忠薛违伟吕文超梁秀娟周飞姜明龙魏云杰潘有堂李庆军张世权卢继峰张萍孙东庆刘文杰白艳平王冬梅郝玲孙艳华李明元王淑娟刘宇王晓波王世娥刘天宇王喜友吕贤兰孟聃李永红王桂林石宪慧胡艳红徐大伟王慧韩光张桂林毕明山董佳曹二帅王学峰王延春赵蕾倪原刚王显斌叶颖吴希飞孙永锋石成杨永伟王智海张凤安赵洪雷黑龙江省:( 52 人)张庆林黄森邹纪民曹传文吴红郝海亮赵书元郑志华李乃文钱艳利尚衍华田玉博刘静陈克田任鹏郁宏继蔡国伟刘宇宏张晓禹王毅韦中华黄文娟高德伟赵俭唐凯刘春梅张丽敏姜晓玉李晓峰刘煜刘盛强 XXX 白林艳陈春香杨光徐澎波成玉朋杨采军宋莉杰翟阳陈明山胡伟王玉芝张明尹传威赵金国孙树涛吴富有王玮古朋霞赖晓芬孙成龙上海市:( 196 人)张志勇王军杰郑亮亮吴俊宏倪伯龙丁楠峰解磊蔡威风周巍伟尹海涛王保朋彭小龙肖建雄黄乐天李记住黄传兴谷国恕余业雄胡万君李凡陈玉峰游才华孙玉东尹燕毅梁建民朱丽静徐俊洪吴世伟章威军吕秋丰霍金仲高峰方云龙马永亮梁寅黄相锋乔兰文杨光刘火明张震华郑峥田军蔡轩卿吕东辉阮稳陈浩罗晓苗陈兆钢金建国陈宣东殷杰魏中林张亮朱一凡陈德军曹峪雷前锋李威窦孟廷汪臣杭任庆斌赵祥唐清兵胡中俊李建伟陈锡久尚文杰尹中学陈代荣朱君俊张宝年贾永标林海明鞠志勇刘凯肖晖李成康龙涛潘宏伟赖晖曹浩朱信建彭士俊王维许永志郭丽范波周搏李卓文吕世刚曹文祥李庆中漆斌李晓海张立青滕长风黄逢爵王薇肖炜李广东张凤勇陈军章杰顾佳铭王明郭红彬吴友强王冰林亨富蔡江华陈黎明潘应进陈永江陈为民张俊陈楚忠焦程浩钱宁石以方邱永罡朱雪琴翁东升戚梅珍孙志华华文波张运富李逢春李海龙郭国庆耿祥王国荣蒋玉泉旷水林毛远富方轶徐光辉兰跃斌孟丽娟黄卓雄李强王小刚邓治纲刘富玉王玉林向科张思涛褚月锋陈平张燎陈蔚智王春芳谢捷鸿顾菊生张英赵兴柱徐士明肖宗伟耿少坤赵建华宋晗赵汉良沈燕军汪汐琳陈赛锋陈大权张欢喜曾宪伟何江烽时丽娜王晓冬莫郑杰阮青张宁彭自然郭文森陈钢周荣魏正刚俞华郝贵君陆睿瑞叶传安付强张昌武寿嘉璐明学星郭剑王霁新刘小军孙良君方怿殊任鹏明张爱民刘生明江浩薛银树江苏省:( 1187 人)朱兴辉唐伟赵娜张超朱海忠郭建平储俊清贾志张娇周信勇何小强柳家勇卢红强何纲吴汉萍王飞崔金李尚武周祝春袁国锋丁静林孙荣松钱国刚万志鹏王绪华陈冶明李明勋陈明信卢春生陈华朱德春徐巧英李学华朱晓明任宇奇唐玉琼童春寇宋运乾徐息生饶绪云马广根王利林顾巧明喻庆先姜志奇孙建新陆志鹏于海洋曾绍敏马景滨丁鸿林吴剑鸣张爱军李建忠黄可奇刘云刘赛荣张玉生沈克义赵向东吴冬波孟令荣王国良潘丽华肖旭东 XXX 黄旭建黄学智刘同照朱俊峰章古胜王新军许铭蒋勇朱广付皇甫峰於华吴周宇陈超成钢高建李新锋贺晓文曹静柏振茂徐长青孙坤宋国章邰学飞张修楚王永东钟文岭虞大洋顾银飞李翔于迪陈广龙黄成严长峰景铉王勇徐文峰于亮李伯政钱国峰汤琦钱海燕付俊林金雪英沈叶帆陈斌戚明海芦庆李志博陈海强孙立佳刘莉吴春琴何青磊唐玉兵刘建忠高和余郭栋钱钧周林盛金霞王马俊钱勇华宋凡城 XXX青陈庭兵宋祖晗张天柱刘炳海谢安峰柳强宋长青朱建林秦金章朱烨昕丁富琴胡亚林包振清朱鸿远吴爱兵佘远来林昊XXX 金桂然余吉平朱振峰倪行飞张继航甘剑明何树武付光辉叶鹏陈国发赵岩朱涛顾文浩镇思源王卓琳马勇军牟晓红包兴荣梁霞李志远丁艺锋 XXX 王翠侠孙斌许西敏方艳梅黄明龙李士义冉启兵杨小明吕祖旭任亮尹令春黄祥秦小祥侍效禹高建忠王德权陈开顺周晓祥顾明菊尤丽兰杭爱华仝杰孙勇张朝阳孙燕 XXX伟施心阳李文华王庆愿车治国顾圣洋满军张永林马云峰蒲继民孙卫国孙志威程梅徐俊周建亮杨国全车畅通王志花刘福军崔小华邵卫张媛媛蒋钱进杜和国江以早吴约进桑玉军江雨刘丽倪细明陆水娟陶丽君聂开颜徐明东薛海方闻家伍毕学宝杨尔敏朱志云付明华王莹瑜王寒杨斌翟庆峰樊新艳张兵刘小建徐曦文苏欣沈广亮吴聪霞袁冬平孙才良高成宇庄文岱张勇丁昌嵘甄辉张海东贡振军高彩梅卢玉华王玲潘恒建柏中春贲波孙刚张亮海冷云峰曾海荣吴杨蒋奎王猛周凤梅杨建军陈忠姚应林张晨宋金飞孙永来文娟蒋建明周宇晴顾忠美王亚平蒋鑫陈丽萍齐奔赵玉明庄志英鞠国发孙余中徐海生宋志浩夏卫良苏旭鞠美芳钱春华陈海峰那大华霍一闪周勋森孙刘钢谭成栋赵强夏虎范海亭张涛王玉明陈鹏张树义马晓荣杨波刘赛峰郭玲玲潘炎王瀚高珩陈天和叶荣清王军陈春风任夕萍刘华高玉明胡伟张兴文陆敏杰何正发霍如宝潘继锋郑晓莉许忠华张卫荣蒋连接徐江王音之赵毅刘志强吴军周叶峰井山范建兵骆林冯杰傅杰陈黎明彭剑涛谢加杰陈海玲黄海冯巧凤李宝贵刘兴荣郭海生刘健董官聪高斌王兵陈雪梅颜士剑董宁曹国军赵时松曹亚平胡骏张杰斌徐西通乔银官张宝玉张竞男石文颖王淳顾利珍盛怡陈霞房耀平刘粉所谢强罗爱霞张为田任晨亮张永香王祥雷亚郝长坤盛闯曾静张生庆周春红张晨冯香李言勇郭川王峰虞晨辉王春余宋长亮张贤兵胡佳陈东辉陈连军仲海军李红芳赵建刘向阳张媛田加省张晓辉成彬彬 XXX 戴峰房多奎林月香邓友生钱彬何殿才刘涛季树强陈润超郭章成朱湘新王红攀张磊朱士兵徐飞杨雷杨峰高峰李金锋孙晓建黄承斌孙治富旭东朱福兄李云华干宝元许进夏美红李其东赵江涛张爱军马吉骋朱涛宋志虎张绪刚何爱美圣永平尹志广吴达朱俊杰周云飞姜通顾兆勇房国宇宋昆陈勇新陶君林雪峰周亮周波徐慧董伟峰赵红才丁卫华门淑明杨波袁福良周芳清周雪清杨桂根吴招盘濮春庭黄干郝勇朱颖华刘德红陶深山金辉刘帮奎马海华马振宇单椿倍戴乐乐练红卫朱少艮王志兴彭火根许茹君郁孝冬邓岩陈建祥张志刚熊永红王绍斌金永灿包小锋耿连杨晓沈俊高忠华刘计艳陈海涛庞春青管磊李栋顾兴峰朱兆彭沈健健刘敏沙里龙陈如明方强管庆林季宏兵仇玉丽张芸顾彦杰蒋有兵余理杨波袁飞姚毅谢德华何品李建喜徐泉王胜强左红蒋逸凡刘忠忠张登福赖光华张为民胡中宣王义来张长生荣毅丹周伟伟王强赵煜李仁凤王敏陈龙英张贤军林伟叶振斌张六艳吕克勤朱士永管彤王化科李景龙冯进高姚志新闵永慧贾良雄樊凯郑伍木洪善早李帅魏爱军李吉光李新春孙海峰朱晓明焦宗乾李延华何雪芹胡益祥张国强刘兵高德全吕强董浩卞广怀宋叶茂王志强陈金龙晁兵杨再前濮华涛南秀庆徐峰刘香常萍朱卓明惠凤伟孔德胤丁科刘柳朱明朱杰孙红常青董礼吴桂全汤红星史海华谢波刘涛王磊刘迎龙陈磊张剑王相国孙静陈建妹张朋雷冯玉根杨红伟高飞何树军孙林丽李景胜汪学军吴明宝张钟理潘永芳陈卫东佘宝平史小珏苏俊费春健王耀赵菊芳张红季晓进陈军姚建亚王家树夏国华张宏平朱俊锋刘明陈皓尹东华王正尧徐国祥曹秋平潘力姚剑陈连忠李辉陈一花王涛严素苏小艳胡斌王彧史永广刘奕拾以君薛坚凌定彬吴艳雷华友刘豪许国辉吴礽才蒋为孙红星周曲曼董鸿生曹俊徐祝琴刘长海郑法伟许峰陈近明齐若飞任新民陈永泉丁建成邬喜春马俊 XXX 赵国强张正川顾林东章海彬张新宗沈中来包华雷于海永刘光东赵孔兵李海燕李伟东朱向华李璐璐戴佐文杨井贺朱安峰赵慧袁赛男王玉玺李林永方园张泽明王志龙周吉王进房小东袁爱兵高辉宋成德魏锋云夏永爱付鹏陈静张长荣印丰才林艳红王冬来孙永明闵洪生夏建平徐剑钱志峰冯峰王琦黄鹤祥刘建潘长水丁雷汪胜金陈军姜金华吴燕飞肖志勇郑伟陈德军黄勇李小丽陈荣林张俊沈斌陈新叶志强刘佃华高云俊彭德勇王金祥张荣才王胜虎张春兰戴壮林陆费东刘小兵蒋志伟苏良荣有为张基雄李莉周宝进滕星伢孙贵荣于海洋张年祥朱德明吴海明周燕吴迪周洁华 XXX 李德峰马宁王凤亮管鸿旻仇天明吴福林宋金桂陆钻兵翟永峰刘臣邱国铃毛文涛孙迎迎梁衍林陈晓明缪昌华黎红平汪蕾沈华松黄红兵崔言博朱吉学张仁顺陈鹏吴柳林薛永红顾宇新朱林陈玉珍杨帆曹家清郭杰王禾徐盛胡旭宏谭志明朱颖强王凯张磊吴长华董红艳 XXX康何庆华殷爱林徐向军杨玉祥任东雷陈小伟康雪侠吴建峰吕爱华陈寿超解熊朱永增徐本飞李开清李娟徐敏缪松林陆辉张妍马晶叶方朱俊蔡祥龙杨支银殷俊鲍建宇刘洋薛苏庭李守亚燕信华小龙卞飞潘中华任清雷李安勇葛明祥周鸣语章春建李小洋王文平陶吉光陈亚薛斌徐礼祥李慧丽姚时兰肖秀丽倪前学韩世清朱正强郑权周力强魏加林陆永伟王会波朱良平陈杰孙定永张均华赵荣朱少武卞爱国强建伟董翠翠刘国锋凌云丁仕胜顾小伟杜运芳陈秉刚杨贵宁黄益芹刘凤军张夕祥唐仲稳毕少宇沈晓鸣董艳江纪冬卢满勇马学忠卢志伟王飞郭迎辉蔡礼鹏吕栋任进谦王国海沙桂兰张建德汤春辉蒋冉陆小忠金抗震马得武戴林忠唐亮薛振河薄忠成李跃华XXX 李凤敏董海吴建华黄伟健杜姣杨晓晨孙冬海蒋百堂张宜俊韩小海张冬琦邵方桃姜宁陈鹏俞旭徐静王玉桥华红科王龙赵立平贺申震尹沛川周侃陈金坤黄海锋陈锋村陈浩方志新李洪庆朱华荣王耘郑乾贺广海吴军凌勇石建平吴世田曹士成陈培德陆盛荣许贺瑞仇树堂寇建富吉志明施凯锋钱志强刘国利郑大伟陈通王飞邓治平杨佐梁栾选成胡敏慧徐龙阮勇军黄汉忠庞芹郑威刘洋溢张军崔杰张玮刘磊戴志成刘桂峰郭振飞刘慧慧王帅任晓刚胡罡马强王伟朱石林曹建林陈攀云刘冰王东伏开剑张元宋艳香张清华吕艳红佘建王宏王萍王正标樊首志骆加伟杜永强樊洪波朱其磊曹雪陈建中朱剑平周康宏蔡军骆健王刚巫新慧朱义杨健成君蒯建华石射章唐洪良吴伟洪晔张卫锋沈龙云陈洪军袁德浩詹志祥张玉彬胥燕郭之明占春到张春雷陈青春吴筛顺张康武杜云飞郜章银何敏刘涵付春盛巍峰苏立金李群岳成刚张金霞赖强谢庆明朱劲松殷红球王海龙朱平张权卢立孔祥利陶洁吴国祥孙衣丰谈国鹏杨劲松樊正鹏张堃吴晓菲罗桂富黄轶君谭松赵玲朱岐邹培菊谢伟耿芝何卫东陶学明李强张永昌甘霖刘治中李大伟刘庆丰张益荣马永俊舒佳申曹卫东薛震钱国强曹传根曾天鹏徐庆王永仲邱鹏程蒋贺伟王兵陈晓春顾隽 XXX国武沂泉陈文萍杨广管国林韩溶冰瑚成东严国春徐辉郑波廖世阳訾昱宁燕涛嵇俊陈亮靳新民王晶晶潘伟苏斌徐德春何春峰肖文俊严擒龙茆宏新严冬华曲林钱东栋印海烽桑英乔约东李洪云苏东汉许娜徐德发周爱华宗永宏周俊严华沈冬梅张英罗云峰诸刚邵群斌施修飞胡永乐徐炜王猛杨唯一陈红雷陈卫华张鹏成孙燕张士永夏扬黄峰峰徐爱莲张伟民程军徽曾晓斌邓如根王道荣任松岭许彦平成跃武赵云刘必胜倪志旺王敏肖飞尚春来谢云峰江荣华马述刚卢逢义董春树徐敏贤钟栋青刘铁军葛建忠缪月芹姚剑戴超姚耕明韩建华陈辉葛根发李国栋陈谏军韩冬梅王小东严洪澜徐静田成小江冒小兵臧胤孙科军李华文童福春周寿安曹彬成光赵月红沈芳陈小灿浙江省:( 517 人)蔡卫统崔春圣孙利张增阳张稳王光辉俞慧纯张仕宏叶竞然王廷猛梅建波董耀明龚辉能施跃强邹明极郭华任举勇鲜少华翁华伟李进张杭浙施展东徐东清朱海波石林超严冬卢伟琴蔡小红胡博钱小红潘军校陈恺恺李益群杜三立龚少军王磊李洁王云华林晨俞晶晶彭辉昕毛召波赵自飞张哲黄维林桥杜诚池旭东徐公平金路明戚海刚杨金坚郑增纲葛永金黄建英盛航奇杨铁峰章思尧王巧琴王令伦刘勇赵黎刚程林军李正中金日团高志强徐炯麟王晖龚国斌江波杜恒校邱美芳武国军高怀智付亚玲黄耀辉杨文平。
各县、区,市直有关部门,各企事业单位:根据市人社局《关于开展2012年度全市专业技术资格评审工作的通知》要求,现将我市2012年工程类(非建筑)中(初)级专业技术资格评审工作的有关事项通知如下:一、申报条件及程序1.标准条件。
2012年申报工程类中(初)级专业技术资格评审的有关标准,按照省人事厅《安徽省进一步深化职称制度改革若干问题的意见》(皖人发〔2005〕35号)、《关于印发〈安徽省工程系列专业技术资格评审标准条件(试行)〉的通知》(皖人发〔2006〕39号)等文件规定执行。
申报人的任职年限统一计算到2012年12月31日。
2.申报程序。
采取个人自主申报,用人单位审核,统一集中报送原则。
用人单位对申请人申报的材料、证书要进行核实,对申请人任期以来的职业道德、工作表现、专业技术业绩、成果等进行评价考核,经不少于3个工作日的公示,且无异议后上报。
申报人和申报单位及主管部门审核人要对审核材料的真实性负责,并填写《专业技术资格评审材料真实性承诺书》。
破格申报专业技术资格须经市人社局核准后,方可送交市工程技术中(初)级专业技术评审委员会办公室。
3.外语、计算机、继续教育。
晋升专业技术职务对外语、计算机应用能力考试和继续教育的要求,按照省人事厅《关于职称外语和计算机应用能力考试有关问题的通知》(皖人发〔2005〕79号)、《关于完善职称外语考试有关问题的通知》(皖人发〔2007〕40号)、市人社局《关于做好2012年度专业技术人员继续教育工作的通知》等执行。
4.论文答辩。
凡申报晋升专业技术职务人员,所提交论文、技术报告,均须进行评价、答辩,具体时间、地点另行通知。
二、申报材料1.申报人员所在单位的主管部门出具的委托评审函;2.《专业技术职务任职资格评审表》(初、中级分别为1、2份);3.《申报专业技术资格人员简明情况登记表》15份,不得加盖公章后复印。
4.《专业技术人员任期考核表》1份,任期内年度考核为优秀等次的,必须提供该年度考核登记表或证书。
2007年江苏省无锡建设工程高级专业技术资格评审结果公示2007年9月26―28日江苏省无锡建设工程高级专业技术资格评审委员会评
审通过了陈军红等207位同志高级工程师专业技术资格。
现将评审结果予以公示,公示时间为2007年10月9日—10月15日。
对评审通过人员如有异议,可以通过来信、来电、来访等形式向我办反映(电话:88672232、82858375)或无锡市建设局人事处(电话:82706524)或无锡市交通局人事处(电话:82749884)反映。
根据相关规定,要求举报者署名,实事求是反映情况并提供必要的调查线索。
无锡市职称办
2007年10月9日
无锡建设工程高级专业技术资格评审通过人员名单
195宜兴市交通建设集团有限公司李良杰男高级工程师196宜兴市交通建设集团有限公司王越文男高级工程师197江苏省江阴船闸管理所杜炯男高级工程师198江阴市公路管理处徐延平男高级工程师199江阴市公路管理处李天芳女高级工程师200江阴市运输管理处濮向东男高级工程师201江阴市运输管理处吴继东男高级工程师202无锡市交通运输管理处王维达女高级工程师203无锡市交通运输管理处沈明辉男高级工程师204江苏长博船厂有限公司陈坚男高级工程师205无锡市高速公路建设指挥部办公室周平方男高级工程师206无锡市交通工程有限公司蒋永兴男高级工程师207江苏中路交通工程有限公司张曙东男高级工程师。
住房和城乡建设部公告第250号――关于2013年第五批注册监理工程师初始注册人员名单的公告文章属性•【制定机关】住房和城乡建设部•【公布日期】2013.12.17•【文号】住房和城乡建设部公告第250号•【施行日期】2013.12.17•【效力等级】部门规范性文件•【时效性】现行有效•【主题分类】行政机构设置和编制管理正文住房和城乡建设部公告(第250号)关于2013年第五批注册监理工程师初始注册人员名单的公告根据《注册监理工程师管理规定》(建设部令第147号)和《关于建设部机关直接实施的行政许可事项有关规定和内容的公告》(建设部公告第278号),经审核,沈洪章等1575名申请注册监理工程师初始注册人员符合初始注册条件,准予注册。
特此公告。
附件:注册监理工程师初始注册人员名单住房城乡建设部2013年12月17日附件:注册监理工程师初始注册人员名单北京市(135人)沈洪章赵浩周玉华孙学军张瑞稳毕建礼辛力军童光张文珍王月琴刘峰吕剑军胡军胜阎西康刘增余胡玉宝胡佳胜高志华闫志刚刘鸿飞张冬至高爱东张少安李维超李建港陈希平孙尚仙于巍刘智飞樊锐张少东刘汉哲翟娟贾京柏高忠聂兆义刘安陈义王冏李俊红王晓妍王志斌白丽华王顺柱刘阳刘新文龚延鹏刘运征常永进杨秀华卞和满许宏奇张志新胡迪宁王淑玉潘树江张捻军曹永泰张志刚张玉秋王小生姜玉勤郭利夫朱之旺马仲权吴建忠刘和友周二峰吕建民张燕华李文俊韩志全梁振河陈有唐万胜朱桂莲钱玉琦游秀华屈振良武建平王秋芬刘安民杨宏伟赵雪松丛培鑫张丽红武玉玲刘立峰李国英周创坤李静张凤兵李杰李侠梁瑞王三庆王武现习同德郭文超郭盛方石晓军张文欣关德英李祥关颂蒋庆红张岩唐宝吉陈春英邓文英李世红李英华刘卫军李铭李凤东朱雪华段海英吴燕杰崔本东苏捍和张茂松张海陈枫李玉亮聂宏李海波穆吕峰丁文胜王金元赵银黄苏龙任亚清王吉徐嘉王建伟天津市(21人)姜贵安张建新孙再男杨占立殷婕贾忠宇李宗永王友董学伟苏兴伟梅春华梁轶杨会朋郭胜刘岩朱博雯边寿华陈广见王进张元荣孙爱菊河北省(30人)冯胜忠侯俊丽赵中华王吉庆高建华张军张玉楼孙立军赵荣邓学跃王宪琛郭宏章刘晖吴玉荣刘永赵志清王志强马效军孙海峰孙万花张志茹张庆春王威张玉宏赵永梅傅金成梁万泉冯仲惠王艳敏王亮山西省(21人)丁向东伍国韬李晋鹏张勇陈俊义张起义叶飞谢俊清高卫红李斌斌石宝斌王元刚白学林柴进于跃伟耿新文罗震军张亚峰李淑珍侯俊芳梁丽内蒙古自治区(28人)贠峰张传金赵玉范勇艾宏青魏春兰魏建国 XXX 吴春荣刘远生任秀峰王超王雅斌李志华汪迎春陶俊李勇君王弘纪霖陈晓君崔彩艳靖和平赵志荣张勐石秀林姜兰英朱广斌敖明远辽宁省(34人)张守明杜佰君丁作绪吴玉衍李虹赵正超王立新李九生张维新戴丽娟孔令辉王庆文张静郭志宝杨胜杨玉佩李俊金海山王东英赵冬梅孟庆运王凤策宋春晖李刃韩飞飞刘俊国迟军杨晓路钟冬松周令会孙艳芳赵家鹏丛森丁伟吉林省(9人)吴明林杨守太刘亚林 XXX利王伟曹春艳韩立忠于建军李欣黑龙江省(28人)陈玉林池燕红董世文窦涛张鹏赫马忠连李静涛陈丽霞王永涛李静王宝义王峰吴佳邓学海陈安伟梅松岩吴秋菊盛乃杉张亚范赵红英白克明闫佰新李传杰李博聪刘英李艳秋赵占明关颖上海市(60人)李煜马旭宋祥磊徐泽源岳东军钟大志杨志花李银平卢志安陈亚飞李柏刘庆钢王学军王永前俞明金书芳鲁封喜张彦娥李丽张伟刘雪清陈世庆于凤双宫建国冯杰王伟州李志东郭成祥夏秀兰刘益民杨玉强邱庆义刘智连王海平陆忠发李照前陈静波陈建超秦选民吴结明杨小帅张书占陈文刘德跃戴明鉴杜希圣王勤程升明王莹王轶轮顾协峰张月斌沈永平韩贵成沈平章耿许先桥朱庆艾志平丁祖旺江苏省(161人)何永清李晋中邱怀安洪世达凌静郑秋菊金俊王兰凤张荣华沈志勇林云敢陶洪章张泽江赵凯黄宇张新宇陈宏锁蔡高松林宝平刘东民何和平姚正斌王金利孙为杰 XXX 范广柱干家骥李明巧束小龙徐创业徐洪波张青春高健倪祖平张海峰储纪文李阳俞乐平程超王玉琛王艳玲陈芳陈红阚玉琦刘立杨东旺赵家镇乔胜建葛粉利李波王利民张丰华高兵韩微陈振宇都瑞方顾志江花丙威李纲齐群许丽杨耀明王海宇夏兴民杨如宏蔡锋斌童加龙汪敏方方孙厚喜王天元常权文陈明宏刘翼颜斌邹庆蒋建林李海峰缪亚梅沙振方薛建秦波师永生张天桃蒋荣成蒋亚平常荣宣吕所章王瑞汀刘昱罗杰罗英于中实张云周万宏夏千秋缪炳军唐国英陶若淼许冠营薛寿坤姚建兰庄文学朱明彦唐晓平丁德进蒋照忠肖必勇马昌状张媛宋安王仁祥李明庄乾红刘训法蔺军踪仿华龚晓红曹汝花范浩清冯宁曹广武崔建荣李晓方周鸿飞冯志强黄向忠张云康卫国平范震威廖金平孙兆君吴晓冬陈玉茹李奇杜哲明刘桦倪前石张必瑜邵学军黄东江勇达许萍郭晟张薇马贤坤周春茗沈波王林宗王其兵倪凤军尹思宁张强周耀斌钱国文宋友权曹光伟姜波吴协标张文采吴东升浙江省(94人)吴玉珹郝朋忠张胜利唐国良刘刚瞿光耀李秀灵罗钦云张国强高德宏刘平生朱钢全孙志英王银毛通益姚芊郁纳新陈玲霞李光勇徐亚荣王立国尤建军杨文袁维胜于明张美娟刁友龙邱华东俞儒平段剑秋刘生东戴志昌严志兴丁蓓黄湘桥魏义岭任志忠张利胡大友谢光胜张建国祝志贤黎少林求桂兰尹作鸿左广勇段族汉何宏赵敦贤祝秀生胡大任蒋蓓蓓张忠炎包新峰吕强汪俊飞祝庆忠任伟石建军张如琼王理成李志成郭智辉周涤平舒晓东洪天有王星吴尧才张峰周剑飞丁小容霍宏刚赖雪平傅跃明孟宪臣郑晓海王灵光吴立娟陈石元胡水云白虎伟陈文献杜俊浩郝常青蒋霞张俊寒周宗科付国栋唐伟业田春东薛文红叶莉朱兴涛王旭东安徽省(54人)朱凤琴胡恒初郭宁程新平王真理吴永平顾春喜李培军聂兰平赵永锋产怀中邵传永王斌王芬杨广姚宏俊袁建苏红雨吴信同孙强潘志鑫黄磊李亚平郑淑梅丁燕于邦伟周振东陈德旺王琪江建杨玥何爱勇刘洪张海生张东燕陈燕黄俊苏春才张永付李志强毛海臣徐红艳严月英陆云杨友富高召吕艳平韩士如董泽江吴劲松杨明华夏利民王竣陈永生福建省(56人)郭建庆邓清水陈明星刘锦华沈宗荣李荣文张杰辉卓瑞文谢建江烟龄王珣张拥军陈件民刘振家李德昌许志龙钟许根庄森阳赵丹清游高平陈玉生林豹陈雁林晴林云峰田永榕吴巧霞张伟丁旭东雷青山赵建生王水育孙爱红李啟明杨锡龙孙世涛张青贵刘楠苏伟杨洁肖清詹海君叶启瑞李天戈魏晓春赵恒德何诚文秦旋潘家模胡永军张酽洪孙荣祥吴正龙曾东丽徐军陈年生山东省(153人)王汉宁杨斌万立华于传贵高广兴李祖波赵书勇李智义王雪松张青光焦春贤马强宋伟友张建华郭秀新张建平王磊昌窦伟杰王韶馨徐喆李晓阳郑德斋赵蓬光庞淑英马春王玮孙在冠刘森武晓军曹元钢李青华徐敏徐保锋沙彦君丛林邢军强牛月艳张爱华万凯高峰国强袭建学顾明鹏赵宝阳任雷刚赵洪锋李东平李维民张国武沈晶齐卫陈文安李艳辉王文昌王炳江庄新欣阮广青王志刚王秀存张庆和张守彬武华顺李重刚葛建华曹猛王振志杨光宏郑辉时磊王言文程功李开防魏永彩李圣鑫王军生张汉玺李增喜刘永义李乃勇陶俊娟李海波王雅钦张永云谢德俊李洪岗郑家洪朱瑞青武更民杨盛英袁广学王焕花韩昌平朱魁刁志军李鑫刘江平刘荣伟王林君孙鲁波吴发展王娜刘静薛士广杨仁义范兆利杨其友周雪郭风彩赵宪国李学军沈玉霞房志刚赵继增陶俊杰孙源财赵拥军赵南郑明月赵贵迎王泽军刘泓冰崔传军初汉孟姜炳华闫利明刘兆平刘全彬丁永红唐会芳王庆忠刘祥邢玉栋苏保杰盖华忠朱孟玲朱修刚董惠文宋静雯李秀锦张振富王世军张雷左凤梅张在超王培见李翠婷张启祥郭玉华刘晓敏张海滨李建堂王建李鹏河南省(91人)杜卫军王振国李增晓王兰兰王磊张宏彬祝晓阳陈战修梅瑞涛郭良伟XXX 张海涛理卫国邵二霞刘长垠连云峰李福良王亚东马艳伟 XXX 李冬玲孙颖王宗玲张献忠李松岭王惠颖张桂梅闫志张永红李勇王峰赵新海姬跃国董航徐水才陈陆军刘红平张培锋钟辉周国庆黄涛王联峰刘成军刘孟堂刘云山崔金龙何兆利肖希新徐焦张中兴高少军刘雪芳骆小华孙鹏辉陈臻马晨霞聂荣成申国强张三喜刘建春王永起赵续强田朝晖郝晓史振防赵军伟高杰司志祥崔立军刘士明付茂林雷霆陈海明李天一郝振伟邢晓梅程团结王锋彭衍华衡俊锋杜建锋高伟男 XXX 陈彦强田永刚张魁杨贵民王宗寒邓小宁戴作鹏XXX湖北省(43人)田振文周晓红吴新军鲍茜蔡彤陈又志黄跃兵李善明李元林严少方彭碧辉张翠林刘永兴丁昭全杜新卿段斌何志华黄新豪钱威王丽芹杨世明叶俊肖成相张冶军米军孙伟常欣黄明建陈华平濮小正鲁飞柳仕荣汪平马怀琴曹涛张青柯立极李瑾郭运财张建生王全长宋雪丰丁少芳湖南省(71人)单晓红黄天柱刘冲王年春谢宏杰许卫华陈冬望李亚民孙新平朱建华黄清林伍二七楚万春罗加顺许仲初余晨晖唐甫喻忠黎真刘建国冯德立雷树华周伟王永池陈永兴严实尹建华刘炜曹亚非凌耀东毛良成彭晓兰谭曙秋吴峰李志良伍小倩丁雪斌许亮姣杨永强廖觉晓秦林谢清良廖昕谭耿曹建民吉仕统彭灿苗胡克成蒋宏斌曾文波邱元柏庹欣欣聂标刘爱中瞿加荣王永华张成斌廖晓玲唐舜琪郭飞云孙建华汤军桂德平江贵元王集平宋建辉陈本梅王春浓凌天翔钟果立吴瑶枢广东省(144人)姜祖怡常红华阳忠明周明华桂运山孙权 XXX 欧阳青张伟宁桂欣李明龚巍胡新平胡建明李志平黄橙卓宁温伟强苏健马凤云余小亮董晓斌肖向前涂奇志车秋芳江书权黄谷歌魏小红李水清陆红君石万顶杨国师彭建学王永录潘曙光夏邦华冼大友刘喜 XXX 黄士显梁海峰张其华李尚红李万龙张保艳蒋文胜陈乾和王芸张春艳王东明王大伟谢跃华庞克宁费裕忠刘擎宇朱定贵王忠恩庄明发潘明华吴春红梁军龙邱樟兰兰正午曾湘君赵亚强梁惕观魏润飞刘秀泉李文钦官万奎张国穗徐海波任俊饶进徐志忠李泽红孙治国王立朝李勇许明帮刘栋梁冯江红王云庆张海军沈琳刘小东陈靖王延良金伟刘松清罗松恩马锦棠李云科覃洋波彭光荣庞骏阮刚杨荔张兴萍李恩鹏廖丹杨继芳江岩王宝文陈仁曹长城李帅华黄福云阳兴东罗龙辉卢晓东刘德贞黎文陈朝勇陈仕洪黄念东胡永雄李海武徐嘉圣高明辉赖裕俊周健陆阳赵宝信张海鹏李跃杨润锋程伯庚王国辉黄勤涂益进吴阳曾春雄周小清李蜀周西勇王海涛吴子敏周志良刘光波李炜王文栋赵铁红黄高中广西壮族自治区(21人)王丹辉张莉晖黎宏蔡豪权李伟群司维远李筱燕张小伟熊茂凌桂理潘斌梁海新高绍举李勇冯波方繁明方志明周贞燕曹勇王冰黄培洪海南省(3人)黄和若潘正茂张继文重庆市(119人)甘雄贵 XXX 欧阳军夏卫平谢道培钟海朱国勇段俊李新勇胡江杨荣陈云平张会明王万明王文斌阳邵春刘建波胡鹏辉左燕何昌芬黄强金久松况明飞马庆超周和平黄修堂杨本强颜学楠陈勍董广勤宋丽霞吴建强肖兆莹傅敬成李大忠尤小明张林冯志勇许国赵烈秋胡光富李鸣嘀廖庆兵任志勇袁可胡宗强刘俊章邱志远唐明华郑惠文杨小东周玉辉周磊卢存科邓勇熊斌沈鹏程张帆张晓峰陈友波裴丹李卓松何林生王昆张铁柱黄国强邓成平黄勇郑涛周伟李义龙赵纯东柯胜金付鹏王雪梅王应刚祁钢李群友何志中王守礼韦凯廖江谭华中施信彬吕新印汤宝明何军赵光辉盛军董俊黄晓容陈进忠黄箭白江李继君王宏孙政好何灼锐李啟明王希兰陈业平肖富强胡玉斌李兵冉孟伟赵相停付光平杨德书刘英华程志洪刘宗模徐隆冰苏建平吴章博晁增国朱俊莫英燕费良富周成金四川省(48人)陈方全辜先超刘昌华何国梁周忠玉王波侯建邓万平潘庆彪谌登峰杨顺福李伦尹浩唐伦虎叶久英姜卫华任文全舒兴富夏公鼎何进立颜萍汪代琼詹洪勇陈康李东张激文周志勇朱熙文葛萱田文广李达黄迪丁继秋张光勇刘灏傅正辉周拥军单显敏邓东张向东许昊青焦祖泽张涛邓莉萍赵礼胜杨宏伟汤继春阳信英贵州省(48人)陈朝科蔡绍林何俭华于向东高钟智潘胜林韦传雄郎开松刘延松黎磊李卫功王奋生徐凤奎张庆甄文凯任启淼杨启发向元曾火祥孙万忠田喆巫容辉李建民姚力生郭菊玲魏茂牛二军潘扬秦小春古建林贾朝永邹鸿儒时旭肖大勇姚必新陈勋袁家林 XXX 陈景训葛平初洪波吉永斌周洪国刘清贵官萍罗永模李丽刘广黔云南省(13人)梁春航杨国长赵伟华高碧宇阙仁洪梁辉曾伟彭中进杨永华苏欣雷红雨张学文张灿陕西省(27人)徐永强黄合盈杨日红孟红卫毕卫华常宝寨徐亚文李卉何光荣徐海东张春燕马世宏申金龙梁鸿武常卫中王建华邓苏李辉石玉海张家华王林贵高翔聂义军李志解晓斌赵群武李改伟甘肃省(38人)高世清贺免容吕小龙王小军卫凯琳左小强李峥刘昕旺赵尔斌袁晓玲魏晋军毛立成高铭余泽军王建国刘锟库勤锋兰风有李文龙刘建军石建存白梁明陈永军单凤林苟克儒洪新堂黄继兰蒲欣叶汪国强王剑王小江郑江林庞岳峰邓河魏丽红令宝福鲍其章谢宏青海省(11人)师健吴念祎刘秀山路世顺朱绪岭李国栋刘小霞吕航王文杰方彩霞张超宁夏回族自治区(13人)宋革艾进平顾延婷吕学芳王晓红黄文胜孟宪坡王建设王君先张杓槠陈华山陈永军王志强新疆维吾尔自治区(1人)王振全。
无锡市交通运输局关于公布无锡市交通工程技术中级资格评审委员会评审结果的通知文章属性•【制定机关】无锡市交通运输局•【公布日期】2013.11.06•【字号】锡交职发[2013]7号•【施行日期】2013.09.25•【效力等级】地方规范性文件•【时效性】现行有效•【主题分类】人力资源综合规定正文无锡市交通运输局关于公布无锡市交通工程技术中级资格评审委员会评审结果的通知(锡交职发〔2013〕7号)各有关单位:接无锡市人力资源和社会保障局锡职办〔2013〕47号文件通知,经无锡市交通工程技术中级资格评审委员会评审,以下50名同志已具备工程师资格:无锡市公路管理处:邓飞江苏省无锡市航道管理处:徐英鹏无锡市交通运输管理处:曹永明无锡虹一工程建设有限公司:周效威无锡市交通工程有限公司:唐杰、曹昌伟、龚志炜、肖炜、王君无锡市轨道交通规划建设领导小组(指挥部)办公室:鲍琦无锡地铁集团有限公司:王乃龙、田华无锡地铁集团有限公司运营分公司:施永华、黄波、朱晓峰、严俊锋、陈虎、王晓斌、徐晓琴、曹承刚、栗岗、冯飞江苏润港工程集团有限公司:倪庆山无锡市宏盛市政建设工程有限公司:殷国栋江苏省无锡船厂有限公司:孙晓峰、张菁无锡市规划局新区分局:谌元帅无锡市新城建设监理有限公司:孙国剑无锡长立市政工程有限公司:贺华斌江苏广靖锡澄高速公路有限责任公司:赵卫国无锡滨湖安达汽车综合性能检测有限公司:朱煜东江苏省科佳工程设计有限公司:杨昊捷无锡市交通汽车综合性能检测中心有限责任公司:滕方明江苏中设工程咨询集团有限公司:顾轶琛、龚彬彬、龚冠铭、施霄飞、徐华渠、叶礼连、仲伟波、蒋兴达、王文艳、强君华、潘冬、宋亚林、周广志、孙海燕、蒋坚、叶建桃中国华西工程设计建设有限公司无锡分公司:余志斌上述人员的中级资格时间从2013年9月25日起算。
特此通知。
2013年11月6日。
江苏省人力资源和社会保障厅关于公布2012年全省高技能人才重大建设项目评审结果的通知文章属性•【制定机关】江苏省人力资源和社会保障厅•【公布日期】2012.09.05•【字号】苏人社发[2012]356号•【施行日期】2012.09.05•【效力等级】地方规范性文件•【时效性】现行有效•【主题分类】人力资源综合规定正文江苏省人力资源和社会保障厅关于公布2012年全省高技能人才重大建设项目评审结果的通知(苏人社发[2012]356号)各市人力资源和社会保障局:根据省人社厅、省财政厅《关于实施2012年省级高技能人才专项公共实训基地建设项目的通知》(苏人社发〔2011〕358号、苏财社〔2011〕186号),以及省人社厅《关于进一步做好江苏省企业首席技师评选工作的通知》(苏人社发〔2012〕72号)、《关于进一步做好江苏省技能大师工作室建设工作的通知》(苏人社发〔2012〕88号)和《关于开展2012年全省技工院校示范专业等评审工作的通知》(苏人社函〔2012〕124号)等文件精神,经单位申报、各市推荐、专家评审、实地考察和网上公示等程序,评定通州建总集团有限公司培训中心等6家单位为江苏省高技能人才专项公共实训基地建设单位(名单见附件1),郎旭东技能大师工作室等10个技能大师工作室为江苏省技能大师工作室(名单见附件2),董钢等100名技师为江苏省企业首席技师(名单见附件3),江苏省南京技师学院计算机网络应用等10个专业为江苏省技工院校示范专业(名单见附件4),江苏省南京技师学院《加工中心编程与操作》等40门课程为江苏省技工院校精品课程(名单见附件5),江苏省南京技师学院关蕙等20名教师为江苏省技工院校教学名师(名单见附件6),江苏省南京技师学院电子技术应用等74个专业为江苏省技工院校重点专业(名单见附件7),南京交通技师学院汽车钣金和涂装等3个专业为江苏省技工院校特色专业(名单见附件8),江苏省南京技师学院朱胜强等135名教师为江苏省技工院校专业带头人(名单见附件9),现予以公布。
2008年无锡市工程技术中级资格社会化评审结果公示
2008年9月26日无锡市工程技术中级资格社会化评价(评审)委员会评
审通过了胡东明等377位同志工程师、顾新等71位同志助理工程师技术资格。
现将评审结果予以公示,公示时间为2008年9月28日—10月4日。
对评审通过人员如有异议,可以通过来信、来电、来访等形式向无锡市职称办(电话:82858375、82853823)或无锡市人才市场专业咨询部(电话:82825184)反映。
根据相关规定,要求举报者署名,实事求是反映情况并提供必要的调查线索。
无锡市职称办
2008年9月28日
2008年无锡市工程技术中级资格社会化评审通知人员。
无锡市行政服务中心关于表彰2012年度事业单位工作人员评定为优秀等次人员的通报文章属性•【制定机关】无锡市行政服务中心•【公布日期】2013.01.29•【字号】锡行服发[2013]5号•【施行日期】2013.01.29•【效力等级】地方规范性文件•【时效性】现行有效•【主题分类】人力资源综合规定正文无锡市行政服务中心关于表彰2012年度事业单位工作人员评定为优秀等次人员的通报(锡行服发〔2013〕5号)2012年,中心在市委市政府的正确领导下,认真学习贯彻党的十八大精神和市委第十二次党代会精神,积极践行“满意”承诺,奋力打造为民服务的“第一窗口”、“第一品牌”和“第一形象”,涌现出一批创新意识强、服务质量高、群众评价好的工作人员,树立了服务型政府的新形象。
根据《无锡市事业单位工作人员考核试行办法》和《市行政服务中心关于2012年度中心工作人员年度考核工作的通知》精神,在自我评鉴、个人述职、民主测评的基础上,中心党组研究决定:邱嵩立等6名同志在2012年事业单位工作人员考核中被评定为“优秀”等次。
按有关规定,邱嵩立因连续三年年度考核评定为优秀,记三等功一次,其余5名同志嘉奖。
希望受表彰的同志珍惜荣誉,谦虚谨慎,再接再厉,再创佳绩。
全体工作人员要以先进为榜样,进一步解放思想、扎实工作、奋力争先,努力开创行政服务改革发展新局面,为实现创新无锡幸福无锡作出更大的贡献!附:2012年度考核获优秀等次人员名单二〇一三年一月二十九日附:2012年度事业单位工作人员评定优秀等次人员名单邱嵩立无锡市交通运输管理处副科长曾剑锋无锡市外商投资企业服务中心部长助理夏润无锡市急救中心荣钰菁无锡市政设施管理处路政科科员李萍无锡市银苑信息服务中心科员王佳人民银行无锡市中心支行文员。
无锡市中级工程师职称评定条件
无锡市中级工程师职称评定条件如下:
1. 具有本科及以上学历,相关专业毕业;
2. 在本专业领域具有至少5年以上工作经验;
3. 具有较高的业务素质和实际业绩;
4. 在项目实施过程中具有一定的方案设计和技术解决能力;
5. 具有较高的职业道德和规范意识;
6. 参加相应的职称评审培训,取得相应的职称评审资格;
7. 参与行业内技术交流和学术活动,有一定的学术影响力;
8. 在相关专业领域有一定的创新能力和成果。
以上是一般情况下无锡市中级工程师职称评定的条件,具体要求可能会根据不同的专业和岗位有所不同,需要根据具体情况进行评定。
2012年度江苏省交通运输厅中级专业技术资格评审结果公示
经江苏省交通运输厅交通公路工程、交通水运工程、思想政治工作、技校教师等四个中级专业技术资格评审委员会2012年11月6日评审通过,王建刚等129人已具备交通公路工程工程师资格,童剑等15人已具备交通水运工程工程师资格,李长知等10人已具备思想政治工作专业政工师资格,谢荣等26人已具备技校教师专业中级资格。
现将以上评审结果予以公示。
有关单位和个人如对以上评审结果有不同意见请于2012年11月14日前向省交通运输厅政治处反映。
联系人:董刚吉旸
联系电话:
传真:
二〇一二年十一月八日
附件:中级专业技术资格评审通过情况一览表
省交通运输厅中级专业技术资格评审
通过人员名单(共180人)。
姓名公示编号职称单位
李舒思广西壹腾建筑工程有限公司
宋琼芳广西智宸自动化设备有限公司
陈 明192工程师广西弘洲千建筑装饰工程有限公司陈晓虹159工程师广西航协祥建筑工程有限公司
何水盛195工程师广西弘洲千建筑装饰工程有限公司顾凤英193工程师广西弘洲千建筑装饰工程有限公司梁 耿111工程师广西澳欧儒建筑装饰工程有限公司唐家平190工程师广西弘洲千建筑装饰工程有限公司唐小梅109工程师广西澳欧儒建筑装饰工程有限公司文康寅257工程师广西巨航尔建筑工程有限公司
文 培189工程师广西弘洲千建筑装饰工程有限公司伍风金447工程师广西融儒颖建筑装饰工程有限公司许 余191工程师广西弘洲千建筑装饰工程有限公司易成贵448工程师广西融儒颖建筑装饰工程有限公司曾 建110工程师广西澳欧儒建筑装饰工程有限公司。
无锡市建设工程专业中级职称评审条件
嘿,咱今天就来说说无锡市建设工程专业中级职称评审条件哈。
你想评这个中级职称呀,那可得先满足一些条件呢。
首先呢,学历得够格呀,你总不能小学没毕业就想来凑这个热闹吧,哈哈。
然后呢,工作年限也得达到要求哦,可别想着才工作没几天就能评上啦,那可不行,得有一定的积累才行呢。
还有呀,业绩也很重要哦。
你得在工作中做出点实实在在的成绩来,不能光说不练呀。
就好比盖房子,你得真的参与盖出了结实漂亮的房子,这才能证明你的本事呀。
另外呢,继续教育也不能落下。
就像我们人要不断学习新知识一样,你得去充充电,学习一些专业的东西,这样才能跟上时代的步伐嘛。
当然啦,还有一些其他的小细节也得注意哦,可别小瞧了这些细节,有时候就是这些小地方能决定成败呢。
哎呀呀,评个中级职称可不容易呀,但只要你努力,满足了这些条件,那还是很有希望的嘛。
就像爬山一样,虽然过程有点累,但等你爬到山顶,看到那美丽的风景,就会觉得一切都值得啦。
所以呀,大家都加油吧,为了自己的职称努力奋斗。
等评上了,那可就牛啦,可以在朋友面前小小地炫耀一下啦,哈哈。
总之呢,无锡市建设工程专业中级职称评审条件就在那里,就看你有没有本事达到啦。
好好努力,相信大家都能成功的!咱就朝着这个目标前进,冲呀!。