西电2014级通院硕士研究生录取名单
- 格式:pdf
- 大小:185.35 KB
- 文档页数:24
考生编号考生编号后四位姓名性别考试方式录取类别1070141611319891989田玉坤男全国统考非定向1070141321142554255孙志敏男全国统考非定向1070141370248054805杨越男全国统考非定向1070141370850335033孔祥源男全国统考非定向1070141321342824282姚洪涛男全国统考非定向1070141130634423442王亚彬男全国统考非定向1070141422259205920陈欢女全国统考非定向1070141370649824982姜福义男全国统考非定向1070141131034823482王娇女全国统考非定向1070141611316101610毛金华男全国统考非定向1070141370248134813胡华清男全国统考非定向1070141611317981798胡秀杰男全国统考非定向1070141131535343534白钰杰女全国统考非定向1070141370248124812赵志宽男全国统考非定向1070141411955725572康磊男全国统考非定向1070141450660926092罗厚兴男全国统考非定向1070141360245984598陈锡明男全国统考非定向1070141370248114811赵永刚男全国统考非定向1070141611324062406潘鹏飞男全国统考非定向1070141611316051605惠惠女全国统考非定向1070141611316991699陈海龙男全国统考非定向1070141131034803480董祖奇男全国统考非定向1070141611316921692王德益女全国统考非定向1070141611324092409季禹坤男全国统考非定向1070141611316831683武洋男全国统考非定向1070141611316951695王卓超女全国统考非定向1070141345945084508赵伟男全国统考非定向1070141611317351735杜言武男全国统考非定向1070141511362486248马国荣男全国统考非定向1070141611318771877刘思遥男全国统考非定向1070141611320312031张记函男全国统考非定向1070141611324452445胡本川男全国统考非定向1070141130333503350张晓刚男全国统考非定向1070141611323152315喻宏伟男全国统考非定向1070141611322252225刘尔雅女全国统考非定向1070141611323162316吴洋男全国统考非定向1070141120432733273李焕肖女全国统考非定向1070141611324252425杨飞男全国统考非定向1070141412957415741栾文华女全国统考非定向1070141115332243224朱瑛女全国统考非定向1070141611322022202刘佳琳女全国统考非定向1070141611322932293陈浩男全国统考非定向1070141611323092309廖敦微男全国统考非定向1070141611323102310陈宁伟男全国统考非定向1070141131535333533赵伟男全国统考非定向1070141431960286028刘向军男全国统考非定向1070141410151425142雷亚杰女全国统考非定向1070141611320522052唐磊男全国统考非定向1070141321142594259张高领男全国统考非定向1070141321743054305杜文豪男全国统考非定向1070141611322012201孙娅云女全国统考非定向1070141611318681868李琛男全国统考非定向1070141611316161616冯瑾女全国统考非定向1070141611318191819孙小霞女全国统考非定向1070141450961276127董鹏琳男全国统考非定向1070141611323122312康宏毅男全国统考非定向1070141611322352235张澳芳男全国统考非定向1070141611322542254屈亚蓉女全国统考非定向1070141611322622262杨佩女全国统考非定向1070141611322572257师阿元女全国统考非定向1070141611322532253赖贤军男全国统考非定向1070141614163186318杨珂女全国统考非定向1070141611316141614刘超男全国统考非定向1070141611322982298姜雪松男全国统考非定向1070141611324182418李楠男全国统考非定向1070141614163176317代超超男全国统考非定向1070141140136163616张琳女全国统考非定向1070141321442884288夏磊男全国统考非定向1070141611322702270房超男全国统考非定向1070141611322692269张慧莹女全国统考非定向1070141611323042304郑庚琪男全国统考非定向1070141370147204720顾宗静男全国统考非定向1070141611323012301张彪男全国统考非定向1070141611322642264韩旭男全国统考非定向1070141611323082308习磊男全国统考非定向1070141411655055505付苍雨男全国统考非定向1070141370146994699吕志勇男全国统考非定向1070141410553075307韩家奇男全国统考非定向1070141611322732273栗源常男全国统考非定向1070141614163066306杨蒙女全国统考非定向1070141611315981598张齐男全国统考非定向1070141611316811681贾健伟男全国统考非定向1070141611318461846王永乐男全国统考非定向1070141611322722272康楷男全国统考非定向1070141611319551955薄晓东男全国统考非定向1070141611317591759翟畅男全国统考非定向1070141611317421742叱骏宁男全国统考非定向1070141611319441944蔡晓磊男全国统考非定向1070141611319471947杨琨男全国统考非定向1070141340544424442侯云飞男全国统考非定向1070141611320602060苗露男全国统考非定向1070141611319911991崔梦强男全国统考非定向1070141411955845584黄响男全国统考非定向1070141611319341934王丹女全国统考非定向1070141370248284828闫永征男全国统考非定向1070141500761756175陈世超女全国统考非定向1070141611319941994张建强男全国统考非定向1070141611324132413代颖超女全国统考非定向1070141611319491949吴云朋男全国统考非定向1070141611319981998薄涛男全国统考非定向1070141611324312431董明阳男全国统考非定向1070141370248274827王强男全国统考非定向1070141450660976097杨芝女全国统考非定向1070141611319461946张双图男全国统考非定向1070147611390319031林龙男强军计划定向1070141611319951995祝存海男全国统考非定向1070141611319851985李娜女全国统考非定向1070141611319481948张茂男全国统考非定向1070141370147134713王延亮男全国统考非定向1070141370248264826梁雪妮女全国统考非定向1070141611319451945王志涛女全国统考非定向1070141370147164716范斐女全国统考非定向1070147611390329032唐琪男强军计划定向1070141611320792079张哲远男全国统考非定向1070141450661006100丁艳华女全国统考非定向1070141370248314831李姗姗女全国统考非定向1070141611320062006夏月明男全国统考非定向1070141351245414541杨志富男全国统考非定向1070141611320552055田甜女全国统考非定向1070141140537103710晋良银男全国统考非定向1070141611320222022肖定坤男全国统考非定向1070147611390409040高海龙男强军计划定向1070141412056255625王建声男全国统考非定向1070141140537093709郭丹丹女全国统考非定向1070141413158095809张晓凤女全国统考非定向1070141611319011901龙忠实男全国统考非定向1070141450661016101祁亚楠女全国统考非定向1070141611320182018申一伟男全国统考非定向1070141360145664566田敏女全国统考非定向1070141611319001900王委男全国统考非定向1070141431860116011肖浩男全国统考非定向1070141611319041904张俊男全国统考非定向1070141220741314131朱文强男全国统考非定向1070147611390309030袁赛女强军计划定向1070141611320872087严晓鹏男全国统考非定向1070141611320432043胡昆智男全国统考非定向1070141371150935093郭玉梅女全国统考非定向1070141611320742074张波男全国统考非定向1070141611320882088冯国栋男全国统考非定向1070141611320942094张俊力男全国统考非定向1070141370248384838李永国男全国统考非定向1070141611319761976赵衍一男全国统考非定向1070141611319751975王振东男全国统考非定向1070141611320862086许燕明男全国统考非定向1070141370248374837孙超男全国统考非定向1070141611320752075党彦锋男全国统考非定向1070141611320692069邹建华男全国统考非定向1070141611320932093刘子斌男全国统考非定向1070147611390509050张银良男强军计划定向1070141611319721972童旭曜男全国统考非定向1070141370248254825徐保庆男全国统考非定向1070141611324302430杨英女全国统考非定向1070141120432653265任珅昊男全国统考非定向1070141141038293829罗晔男全国统考非定向1070141611319171917吴翔男全国统考非定向1070141611320132013郭帅男全国统考非定向1070141611320112011王宁女全国统考非定向1070141611319521952任亮男全国统考非定向1070141611319191919马蕊女全国统考非定向1070141340143894389贺芃女全国统考非定向1070141611320472047吴文华男全国统考非定向1070141430459775977赖株锋男全国统考非定向1070141410653665366车景平女全国统考非定向1070141611319801980张盼盼男全国统考非定向1070141141038283828闫浩男全国统考非定向1070141370248214821刘伟男全国统考非定向1070141611319781978马超伟男全国统考非定向1070141370248244824王海同女全国统考非定向1070141611319201920昝航男全国统考非定向1070141611320122012常玉女全国统考非定向1070141611319671967张可男全国统考非定向1070141370248224822王盈方女全国统考非定向1070141611320412041王茂森男全国统考非定向1070141611320372037刘彬男全国统考非定向1070141345945124512费大勇男全国统考非定向1070141611320322032王家东男全国统考非定向1070141611319681968孙成璐女全国统考非定向1070141370248324832陈健男全国统考非定向1070141611320292029朱新奎男全国统考非定向1070141611319691969冯嘉贲男全国统考非定向1070141611320392039鲍松男全国统考非定向1070141611324332433郝津钏男全国统考非定向1070141611319621962张坤男全国统考非定向1070141131635713571王丽业男全国统考非定向1070141611319631963李谦男全国统考非定向1070141421158515851姬媛女全国统考非定向1070141611319661966张志斌男全国统考非定向1070141141038323832霍帅男全国统考非定向1070141611319141914张博男全国统考非定向1070141611320362036宁奖男全国统考非定向1070141611320302030王凤莲女全国统考非定向1070141210139983998曹奕男全国统考非定向1070141611321292129薛飞男全国统考非定向1070141611320642064高舵男全国统考非定向1070141611320492049宋志龙男全国统考非定向1070141611319221922孙玖玲女全国统考非定向1070141611319231923袁勇男全国统考非定向1070147611390429042栗晓春男强军计划定向1070141131034843484武艳凤女全国统考非定向1070141611320072007阿鹏仁男全国统考非定向1070141611319271927孙乐男全国统考非定向1070141370248364836朱志刚男全国统考非定向1070141611315941594程慧女全国统考非定向1070141611319811981刘宇航男全国统考非定向1070141611320812081牛婷钰女全国统考非定向1070141611320402040王幸女全国统考非定向1070141611317221722董含男全国统考非定向1070141611319241924赵航男全国统考非定向1070141611320512051桂阳女全国统考非定向1070141611315781578惠春博男全国统考非定向1070141611320172017卢义峰男全国统考非定向1070141611320672067魏鸣宇男全国统考非定向1000642105038143814闫桂勋男全国统考非定向1070141321142544254黄叶超男全国统考非定向1070141450661086108黄欢男全国统考非定向1070141501161866186郝赞男全国统考非定向1070141611316891689秦英瑜女全国统考非定向1070141431960296029杨峰男全国统考非定向1070141611320612061仲颜男全国统考非定向1070141421158555855张泽辉男全国统考非定向1070147611390379037窦新安男强军计划定向1070141330143514351柴俊男全国统考非定向1070141321142534253王维潼男全国统考非定向1070141611321302130吴江平男全国统考非定向1070141611320272027汪厚峄男全国统考非定向1070141210740424042宋晨飞男全国统考非定向1070141370147154715李海龙男全国统考非定向1070141131435083508张子源男全国统考非定向1070141611316961696张洋女全国统考非定向1070141611324352435田伟娟女全国统考非定向1070141411955755575谢创男全国统考非定向1070141370147014701杨晓玲女全国统考非定向1070141220741244124张鑫男全国统考非定向1070141611319061906李婕女全国统考非定向1070141611316251625薛鹏男全国统考非定向1070147611390279027郭佳音男强军计划定向1070141611316001600王晔然女全国统考非定向1070141220741284128席圣男男全国统考非定向1070141340143884388宋晓青男全国统考非定向1070141422559365936李立庆男全国统考非定向1070141231741824182张晓语女全国统考非定向1070141611316391639林森男全国统考非定向1070141370850345034李帅男全国统考非定向1070141410251725172齐晶晶女全国统考非定向1070141141038313831李海洋男全国统考非定向1070141611319301930张宇航男全国统考非定向1070141150239673967李超男全国统考非定向1070141611321042104郭兆骐男全国统考非定向1070141611319291929杨东晓女全国统考非定向1070141370950545054张林女全国统考非定向1070147611390439043孟庆吉男强军计划定向1070141611319411941王罕有男全国统考非定向1070141611317021702胡阳女全国统考非定向1070141412256915691崔照斌男全国统考非定向1070141370950555055张婕妤女全国统考非定向1070141220741324132张丽霞女全国统考非定向1070141410553065306王蒙蒙女全国统考非定向1070141611320152015刘诣涵男全国统考非定向1070141611320542054贾长城男全国统考非定向1070141345945104510夏勇男全国统考非定向1070141611316411641吴锐女全国统考非定向1070141611319161916李泽宇男全国统考非定向1070141611319281928贾中华女全国统考非定向1070141140537023702魏国威男全国统考非定向1070141345945114511陈蕙心女全国统考非定向1070141370147104710庞楠楠男全国统考非定向1070141611318361836张涛男全国统考非定向1070141231841904190郭琦男全国统考非定向1070141611316441644李上峰男全国统考非定向1070141611319571957周玉山男全国统考非定向1070141210540344034吴静飞女全国统考非定向1070141611320332033周伟女全国统考非定向1070141412156675667汤瑞业男全国统考非定向1070141131535413541王振华男全国统考非定向1070141614163086308荣云鹏男全国统考非定向1070141611318731873苏瑶女全国统考非定向1070141370750155015袁术龙男全国统考非定向1070141611318971897孙军锋男全国统考非定向1070141321542914291侯正平男全国统考非定向1070141611319561956井博军男全国统考非定向1070141611319601960赵晗希女全国统考非定向1070141611316551655宋思达男全国统考非定向1070141370248064806王琦琦女全国统考非定向1070141611318941894李海涛男全国统考非定向1070141611315931593晁娇女全国统考非定向1070141611315961596王雅婧女全国统考非定向1070141501161876187陈一飞男全国统考非定向1070141611318661866沈凤臣男全国统考非定向1070141450660946094李鹏男全国统考非定向1070141611315911591王春华男全国统考非定向1070141611320212021王壮男全国统考非定向1070141611317041704朱兵男全国统考非定向1070141611317791779葛声男全国统考非定向1070141611316911691王宇乔男全国统考非定向1070141422659485948张勇强男全国统考非定向1070141130434023402畅鑫男全国统考非定向1070141611319771977方子圆男全国统考非定向1070141611317371737李翔男全国统考非定向1070141611318961896王轲男全国统考非定向1070141322143314331孟微女全国统考非定向1070141611315951595徐晓煜女全国统考非定向1070141321142524252王一舒女全国统考非定向1070141611317831783张龙辉男全国统考非定向1070141611315921592郝蓓女全国统考非定向1070141141138613861贾丽云女全国统考非定向1070147611390359035吴宁辛男强军计划定向1070147611390349034张洋男强军计划定向1070147611390369036杜富强男强军计划定向1070147611390299029高鹏超男强军计划定向1070141611316521652辛昭女全国统考非定向1070141450761256125苏俊维男全国统考非定向1070141421958865886彭晓女全国统考非定向1070141611316671667周亚刚男全国统考非定向1070141413158075807姜辣男全国统考非定向1070141611316531653万乐男全国统考非定向1070141131835963596韩唐女全国统考非定向1070141140937793779郑毓男全国统考非定向1070141370147034703邢朋朋男全国统考非定向1070141611324392439游文江男全国统考非定向1070141611321212121高李娜女全国统考非定向1070141611324422442戴江崚男全国统考非定向1070141611324442444何举文男全国统考非定向1070141360145774577刘巍男全国统考非定向1070141611320532053程丹女全国统考非定向1070141130333553355张华男全国统考非定向1070141611318121812祁艺女全国统考非定向1070141611321682168段培聪男全国统考非定向1070141611320422042徐璞女全国统考非定向1070141140436613661李玉娟女全国统考非定向1070141611317511751秦平男全国统考非定向1070141370147114711汤康男全国统考非定向1070141351245394539孙志锁男全国统考非定向1070141370349234923公海城男全国统考非定向1070141370147174717路洪震男全国统考非定向1070141371351055105赵义爱女全国统考非定向1070141410352015201王震宇男全国统考非定向1070141611324002400罗磊男全国统考非定向1070141421158495849安柏慧女全国统考非定向1070141510862226222杨济韩男全国统考非定向1070141611321572157蔡榕竹女全国统考非定向1070141611318671867苏晓萌女全国统考非定向1070141370248714871刘宾男全国统考非定向1070141460561416141李培乐女全国统考非定向1070141611320242024雷亮男全国统考非定向1070141370248184818陈兵男全国统考非定向1070141450661106110史科杏男全国统考非定向1070141410352035203李飞男全国统考非定向1070141611316291629樊峻畅男全国统考非定向1070141130333493349赵敏女全国统考非定向1070141611317841784曹亚伦男全国统考非定向1070141611318881888李瑜男全国统考非定向1070141410352155215李明男全国统考非定向1070141611324072407李代娣女全国统考非定向1070141411755265526张文培女全国统考非定向1070141611318591859李攀男全国统考非定向1070141370147094709刘源男全国统考非定向1070141220741384138李娜女全国统考非定向1070141370147364736田象明男全国统考非定向1070141141038213821郎晋伟男全国统考非定向1070141330243704370樊宇男全国统考非定向1070141120432633263李根男全国统考非定向1070141413057965796王利苹女全国统考非定向1070141411655025502刘薇女全国统考非定向1070141611317541754付诗俊女全国统考非定向1070141330243694369姚振双女全国统考非定向1070141611320732073曹雪舟男全国统考非定向1070141611319741974王悦男全国统考非定向1070141611319991999于博洋艺女全国统考非定向1070141130734673467索浩女全国统考非定向1070141422559395939徐乐凡男全国统考非定向1070141611321252125袁鹏男全国统考非定向1070141421158525852蒋梦琴女全国统考非定向1070141321642954295邹佩女全国统考非定向1070141611321242124景鑫男全国统考非定向1070141611321282128胡俊丽女全国统考非定向1070141340143904390施瑞男全国统考非定向1070141411154475447万文菲男全国统考非定向1070141412957365736任琼巍男全国统考非定向1070141371050835083耿学文男全国统考非定向1070141371150925092徐文娟女全国统考非定向1070141611318231823徐欣冉男全国统考非定向1070141421158545854沈山山女全国统考非定向1070141611320002000翁昕女全国统考非定向1070141340143854385刘永飞男全国统考非定向1070141611315871587巨丹女全国统考非定向1070141421158535853丁雯庆女全国统考非定向1070141611319791979傅发佐男全国统考非定向1070141611315881588流水女全国统考非定向1070141611321192119贾拯男全国统考非定向1070141411955705570韩笑女全国统考非定向1070141410653605360户保坤男全国统考非定向1070141411955695569赵至夫男全国统考非定向1070141141038253825陈超男全国统考非定向1070141411655065506李文灿男全国统考非定向1070141611315841584王凯男全国统考非定向1070141611319101910刘薇女全国统考非定向1070147611390399039柳海生男强军计划定向1070141450661096109王强男全国统考非定向1070141611322442244刘科煜男全国统考非定向1070141611324242424丁华华男全国统考非定向1070141611322192219张强男全国统考非定向1070141611320192019花鹏成男全国统考非定向1070141115332233223吕爱波男全国统考非定向1070141611316841684郭丽女全国统考非定向1070141611322842284岳震震男全国统考非定向1070141411655015501左炎春男全国统考非定向1070141340844624462潘炜男全国统考非定向1070141611322762276王丹阳男全国统考非定向1070141611322382238周琪男全国统考非定向1070141611319651965张滈铧男全国统考非定向1070141611320682068刘豪男全国统考非定向1070141611318301830王灿男全国统考非定向1070141611319021902王彬彬男全国统考非定向1070141611317951795刘辉男全国统考非定向1070141130634413441李晓彤男全国统考非定向1070141370349254925杨磊男全国统考非定向1070141611322452245王博男全国统考非定向1070141611318141814闫晨男全国统考非定向1070141500261526152王会霞女全国统考非定向1070141371150915091张君望男全国统考非定向1070141611319711971徐菲菲女全国统考非定向1070141614163076307周才男全国统考非定向1070141410352045204徐敏喆女全国统考非定向1070141411955835583郝欣女全国统考非定向1070141611316851685王应辉男全国统考非定向1070141611319031903陈鼎合男全国统考非定向1070141351245404540章玉涛男全国统考非定向1070141360145764576陈西洋男全国统考非定向1070141340644504450曹文峰男全国统考非定向1070141611322402240刘文博男全国统考非定向1070141411955795579胡永浩男全国统考非定向1070141370248744874管玉斌男全国统考非定向1070141611317711771付蓉女全国统考非定向1070141611318311831周津涛男全国统考非定向1070141611322202220吴丹男全国统考非定向1070141611322092209邓智超男全国统考非定向1070141611322892289张文博男全国统考非定向1070141611322172217汪北辰男全国统考非定向1070141611322852285杨旭男全国统考非定向1070141611322432243杨赵男全国统考非定向1070141370248414841李强男全国统考非定向1070141370248434843伊向杰男全国统考非定向1070141611322412241徐媛女全国统考非定向1070141611322872287刘兆松男全国统考非定向1070141611322812281邵浩宇男全国统考非定向1070141611322422242蒋宜超男全国统考非定向1070141611322082208杨牡丹女全国统考非定向1070141370248424842赵国庆男全国统考非定向1070141611322142214郭庆庆男全国统考非定向1070141611322292229马伏宝男全国统考非定向1070141412156665666杨闯男全国统考非定向1070141611322792279刘明吉男全国统考非定向1070141611322472247魏庚明男全国统考非定向1070141370349264926谢国君男全国统考非定向1070141370248354835赵忠超男全国统考非定向1070141370248304830张恒男全国统考非定向1070141611322122212王磊男全国统考非定向1070141611322322232倪佳嘉女全国统考非定向1070141141038273827陶芙宇男全国统考非定向1070141611322862286刘爽女全国统考非定向1070141611322522252闫旭辉男全国统考非定向1070141611320982098孙福坤男全国统考非定向1070141611317901790康伟男全国统考非定向1070141614163166316王勇男全国统考非定向1070141611322372237郭志宏男全国统考非定向1070141432460356035詹海兵男全国统考非定向1070141371150905090张林光男全国统考非定向1070141370248394839孟祥帅男全国统考非定向1070141422059125912张小乐男全国统考非定向1070141611320762076谭蕾女全国统考非定向1070141412256895689胡青林男全国统考非定向1070141214240914091许光男全国统考非定向1070141310642174217邱苗苗女全国统考非定向1070141410653655365周鹏男全国统考非定向1070141342244774477王博文男全国统考非定向1070141611317431743尚婧女全国统考非定向1070141413057935793周府男全国统考非定向1070141421958845884罗威男全国统考非定向1070141321442864286郑宁男全国统考非定向1070141611318811881董业稳男全国统考非定向1070141611317451745吴治斌男全国统考非定向1070141321142564256曹冬建男全国统考非定向1070141611317471747文严男全国统考非定向1070141611318851885周永杰男全国统考非定向1070147611390099009房金鹏男强军计划定向1070141421158445844董彬彬男全国统考非定向1070141611317441744杨杰男全国统考非定向1070141422659475947马辉辉男全国统考非定向1070141130333573357胡建强男全国统考非定向1070141421158425842雷稳男全国统考非定向1070147611390489048任星男强军计划定向1070141411955825582余立付男全国统考非定向1070141210240054005陈楠男全国统考非定向1070141130333613361曹斌男全国统考非定向1070141421158485848邓龙男全国统考非定向1070141611318471847梁甜女全国统考非定向1070141412156685668王喜智男全国统考非定向1070141130333543354卢玉静女全国统考非定向1070141611318601860郑伟伟男全国统考非定向1070141412056275627陈希闯男全国统考非定向1070141611318291829高泽宇男全国统考非定向1070141131535353535吴策男全国统考非定向1070141412156705670闫光耀男全国统考非定向1070141611316691669张广男全国统考非定向1070141611317741774侯小菊女全国统考非定向1070141611318481848李泽瀚男全国统考非定向1070141611318691869柴文壹男全国统考非定向1070141611318171817赵小文男全国统考非定向1070141321142444244程素华女全国统考非定向1070141611318331833惠通男全国统考非定向1070141611318341834张腾腾男全国统考非定向1070141611318131813杨鹤笛女全国统考非定向1070141611317761776陈正寒女全国统考非定向1070141611318611861冯雯女全国统考非定向1070141611318571857任琛男全国统考非定向1070141370248144814都炳琪男全国统考非定向1070141611316711671于竞竞女全国统考非定向1070141410352115211文爱玲女全国统考非定向1070141410452645264安莉佳女全国统考非定向1070141140537063706张鑫女全国统考非定向1070141611318241824樊聿聪男全国统考非定向1070141421158505850邢兴男全国统考非定向1070141611321362136周自立男全国统考非定向1070141611318101810刘驰旸男全国统考非定向1070141611318281828徐皓男全国统考非定向1070141611318041804赵晓松男全国统考非定向1070141611318641864陈科雯男全国统考非定向1070141611318201820赵峰男全国统考非定向1070141611318061806孙梁男全国统考非定向1070141611318321832姜凯男全国统考非定向1070141140537133713王晔琳女全国统考非定向1070141611321392139衣亚男男全国统考非定向1070141611321462146胡文洁女全国统考非定向1070141611317751775冉坤男全国统考非定向1070141611323942394张文龙男全国统考非定向1070141131034873487李星华女全国统考非定向1070141360145744574徐敏男全国统考非定向1070141611323982398魏幸幸男全国统考非定向1070141611316701670刘靓女全国统考非定向1070141130333673367赵秋楠男全国统考非定向1070147611390339033吴生财男强军计划定向1070141360145734573李志舟男全国统考非定向1070141611320352035王梦娜女全国统考非定向1070141421158465846闵强男全国统考非定向1070147611390389038党宾男强军计划定向1070141611315731573焦翔男全国统考非定向1070141220741294129张玮桐女全国统考非定向1070147611390499049吴燕飞男强军计划定向1070141140537193719郑亚飞女全国统考非定向1070141611318111811王文兵男全国统考非定向1070141650665276527边家家女全国统考非定向1070141611317251725李剑男全国统考非定向1070147611390289028薛鹏龙男强军计划定向1070141611315791579王雅依女全国统考非定向1070141611318031803党明霞女全国统考非定向1070141611321602160贺章平男全国统考非定向1070141611318441844徐腾男全国统考非定向1070141421958855885胡葵女全国统考非定向1070141410352055205王朋男全国统考非定向1070141410352105210闻泽联男全国统考非定向1070141611315761576马进男全国统考非定向1070141131535363536王朋女全国统考非定向1070141412256905690詹涛男全国统考非定向1070141370248104810杨海伦男全国统考非定向1070141140236453645裴盼盼女全国统考非定向1070141611317111711张宇瞳男全国统考非定向1070141611321062106杨琦女全国统考非定向1070141130333623362刘剑英女全国统考非定向1070141370248044804杨群女全国统考非定向1070141611321502150李思湉女全国统考非定向1070141371351035103陈兰强男全国统考非定向1070141421158475847胡天妤女全国统考非定向1070141611321642164徐欣怡女全国统考非定向1070141330143484348陈彦桥男全国统考非定向1070141321943174317黄俊俊男全国统考非定向1070141130634433443任婕女全国统考非定向1070141611316601660王佳东男全国统考非定向1070141611321512151李桃桃男全国统考非定向1070141141038343834胡晓强男全国统考非定向1070141131735853585刘林瓒男全国统考非定向1070141412056285628常钊男全国统考非定向1070141442060686068马丽媛女全国统考非定向1070141141038233823徐娜娜女全国统考非定向1070141611316621662张舒女全国统考非定向1070141321142454245孟贺男全国统考非定向1070141214140874087张振东男全国统考非定向1070141611321492149尉桦女全国统考非定向1070141611317581758赵菲妮女全国统考非定向1070141410351985198牛明伟男全国统考非定向1070141131535373537孟龙祥男全国统考非定向1070141611315751575吴妍女全国统考非定向1070141611315711571高鹏男全国统考非定向1070141611321112111杨歌女全国统考非定向1070141611318411841张放男全国统考非定向1070141141038263826蔡朝东男全国统考非定向1070141611315771577郭煜祺男全国统考非定向1070141611321082108王新然男全国统考非定向1070141412156655665卢成林男全国统考非定向1070141611317121712吴浩龙男全国统考非定向1070141611321102110徐凯强男全国统考非定向1070141611321702170徐才进男全国统考非定向1070141412957395739刘一舟男全国统考非定向1070141611317621762鹿乐男全国统考非定向1070141450660936093赵素杰男全国统考非定向1070141412256925692樊伟明男全国统考非定向1070141033878387838姚金慧女推荐免试非定向1070141007577987798王婷婷女推荐免试非定向1070141007577967796侯伟丹女推荐免试非定向1070141007577977797张欣女推荐免试非定向1070141037078397839刘辰男推荐免试非定向1070141053078627862黄孟缘男推荐免试非定向1070141015178237823张杏女推荐免试非定向1070141070172507250张玉祺女推荐免试非定向1070141070172697269李静女推荐免试非定向1070141070173027302牛帅男推荐免试非定向1070141070172017201汤志强男推荐免试非定向1070141070172847284任逸晖男推荐免试非定向1070141070173227322王经纬男推荐免试定向1070141070173137313刘智龙男推荐免试非定向1070141070173037303姬莉女推荐免试非定向1070141070173497349刘华男男推荐免试非定向1070141070173197319孙爽爽女推荐免试非定向1070141070173567356孙永光男推荐免试非定向1070141070172897289张妍妍女推荐免试非定向1070141070172727272孙睿女推荐免试非定向1070141070173727372乔兴文男推荐免试定向1070141070173437343刘晓东男推荐免试非定向1070141070173267326李姣女推荐免试非定向1070141070172527252张俊飞男推荐免试非定向1070141070173077307刘锦涛男推荐免试定向1070141070173117311王辛男推荐免试定向1070141070173367336李娜女推荐免试非定向1070141070172937293李亚茹女推荐免试非定向1070141070173517351高军超男推荐免试非定向1070141070173177317田明明男推荐免试非定向1070141070172057205李张涛男推荐免试非定向1070141070173317331王伟男推荐免试定向1070141070173257325张大建男推荐免试定向1070141070173297329刘念女推荐免试非定向1070141070172927292杨骏伟男推荐免试非定向1070141070172747274王明洁女推荐免试非定向1070141070173587358陈翔男推荐免试非定向1070141070173157315沈冲男推荐免试非定向1070141070173667366吴鹏男推荐免试非定向1070141070172187218李慧捷女推荐免试非定向1070141070173627362崔思玉女推荐免试非定向1070141070172077207刘志男推荐免试非定向1070141070173057305种毫男推荐免试定向1070141070172497249王韩浩男推荐免试非定向1070141070173147314高哲峰男推荐免试非定向1070141070173557355韦涛男推荐免试非定向1070141070172427242陈小波男推荐免试非定向1070141070172097209杜悦帆女推荐免试非定向1070141070173357335李可女推荐免试非定向1070141070173407340代慧女推荐免试非定向1070141070173287328何攀男推荐免试非定向1070141070172557255郭媛女推荐免试非定向1070141070172257225于旭男推荐免试非定向1070141070172037203迟欣茹女推荐免试非定向1070141070172977297李浩亮男推荐免试非定向1070141070172947294杨国顺男推荐免试非定向1070141070172397239莫鸿华男推荐免试非定向。
第四军医大学2014年硕士研究生复试名单报名号准考证号姓名性别报考单位460498049900324146043205苏鑫洪男附属一院220597172900324122053590王双男附属一院511797344900324151173035肖潇男医学心理系510998931900324151093312李广文男口腔医院350193001900324135013040陈何嵩男基础部612998138900324161290990李晓曦女训练部612999318900324161290958朱志会男附属一院612998783900324161290940王新革男口腔医院612998529900324161290453郝育德男预防医学系612999293900324161290644秦航男附属二院612999282900324161290435张翔男口腔医院612998470900324161290957李虎男药学系612998705900324161290496郭波男附属一院612999264900324161290740张传健男附属一院612998715900324161290567向东男附属一院612998424900324161290109马铁军男基础部612999475900324161290425李宗泽男口腔医院612998678900324161290984张平男训练部612999454900324161290962尚沛津男附属一院612999444900324161290974张蒙男药学系612998666900324161290789王虎男附属一院612998369900324161290151刘峰舟男附属一院612999411900324161290565吕文浩男附属一院612998926900324161290157倪耀宗男附属一院612998614900324161290793刘少卿男附属一院210496445900324121043474李超男附属一院612999412900324161290514罗礼阳男药学系612998892900324161290376王翔男附属二院612998620900324161290892高佳栋男附属二院612999138900324161290437秦东泽男口腔医院612998267900324161290097钱浩男政治部612999383900324161290570张磊男附属一院612999117900324161290438李新森男口腔医院612998850900324161290170范文斯男附属一院612999368900324161290455陆洲男预防医学系612999365900324161290117王振禹男药学系612998230900324161290465祁华南男医学心理系612999355900324161290784白博男附属一院612999104900324161290583满万荣男附属一院612999334900324161290454孙国栋男预防医学系612998830900324161290129王瑶男生物医学工程系612998574900324161290780郝宇鑫男附属一院211394772900324121133858王斌男附属一院211394588900324121133835刘中正男附属一院211394450900324121133327孙湘钊男口腔医院612999800900324161290942宋保龙男口腔医院612999482900324161290104邢辰男医学心理系412285328900324141223196余鹏飞男附属一院410391945900324141033473邹健女附属一院410392488900324141033057单帅男生物医学工程系350599191900324135053706叶斌男附属一院350599025900324135053033毛男女医学心理系214298333900324121423689施凤伟男附属一院214297075900324121423904王鹏男口腔医院330297899900324133023675王静男附属一院440197446900324144013511侯宇男附属一院130797970900324113073709赵飞男附属一院321597005900324132153432肖雄男药学系113396404900324111333034郭久亮男医学心理系650695454900324165063692李鹏起男附属一院650696498900324165063198李旭勇男附属一院412397907900324141233410胡立中男药学系412397831900324141233704朱显科男附属一院330798760900324133073471李发凯男附属一院141096843900324114103671袁亮男附属一院650399878900324165033667徐国顺男附属一院330297469900324133023315方科达男口腔医院620998199900324162093267马澜婧女附属二院620297937900324162023687高天男附属一院620299179900324162023686徐剑男附属一院620299108900324162023218夏冰男附属一院620299096900324162023219何铭男附属二院620299087900324162023209陆奕兆男附属一院620298226900324162023697党保平男附属一院620298375900324162023510冯嘉旭男附属一院620298842900324162023498孙雷男附属一院371097042900324137103094李鹏程男附属二院212099892900324121203903王佳帅男口腔医院650298894900324165023680田沁涛男附属一院650298979900324165023372温小辉男预防医学系531198478900324153113691刘运潮男附属一院410395291900324141033088张国勇男附属一院440497067900324144043313谢乔男口腔医院350398368900324135033912胡超男口腔医院531299271900324153123491王小明男附属一院650698404900324165063164吴雨静女附属一院650697502900324165063089吴宾男附属一院650697556900324165063266毛建国男附属一院650698478900324165063508马杰男附属一院650499202900324165043202张恩尉男附属二院650199597900324165013616张月强男附属一院331199162900324133113420齐志敏男药学系460599185900324146053710陈佳海男附属一院460598824900324146053493李耀辉男附属一院410794692900324141073371王宇飞男预防医学系630198304900324163013486王增强男附属二院411198582900324141113657赵冠华男附属二院630198161900324163013731李峋汐男附属一院630197962900324163013597郑鑫男附属一院220399439900324122033502张鑫彤男附属一院410589819900324141053322孙冠阳男口腔医院214398053900324121433664程小皙女附属一院214397683900324121433031牟海刚男医学心理系620499075900324162043154张鹏男附属一院620498348900324162043053张煜男生物医学工程系330298212900324133023213江慧杰男附属一院511296841900324151123712郑龙龙男附属二院612999765900324161290823刘震男附属一院422594618900324142253132刘少鹏男附属一院411999012900324141193248夏彦民男附属二院411997189900324141193118田洪哲男附属一院411998735900324141193131张向远男附属一院411998370900324141193148葛英为男附属一院340494530900324134043121蔡维乐男附属一院421497963900324142143166高永恒男附属一院421497716900324142143793黄亮节男附属一院411995775900324141193250刘士强男附属一院110899695900324111083231李西安男附属一院410391064900324141033245马跃晋男附属一院612998704900324161290128王帅杰男生物医学工程系612998271900324161290131王立新男基础部612999356900324161290158段宇男附属一院612998989900324161290283乔林男附属一院612999362900324161290681庄玉晨男附属一院612999028900324161290701刘志成男附属二院612998679900324161290764王刚男附属一院612998990900324161290775朱越华男附属一院612998554900324161290801殷若哲男附属一院612999222900324161290893李文男附属一院612999029900324161290911胡贵锋男附属一院330296987900324133023045束毅男药学系220499190900324122043093杨盛烨男附属一院542399971900324154233134陈鹏德男附属二院410392011900324141033187叶永利男附属一院500194019900324150013199张鹏飞男附属二院620499121900324162043221宋基伟男附属一院500697700900324150063281陶亮男附属一院440496703900324144043319陈枫女口腔医院650199739900324165013400梁佳龙男药学系214299149900324121423476陈敏男附属二院220499116900324122043482郭欣男附属一院630196755900324163013495杨鸿泽男附属一院110797234900324111073501常华女附属一院342298143900324134223515苏垒鑫男附属一院530599732900324153053517刘海婷女附属一院511898663900324151183690傅先军男附属一院650299643900324165023696李斌男附属一院211395651900324121133703王东旭男附属一院412293630900324141223720关健男附属一院421497687900324142143889李璐女附属二院331199647900324133113900许广杰男口腔医院612999100900324161290110李贞贞女基础部612999904900324161290111郝英女基础部612999288900324161290112张毓飞男基础部612999037900324161290113赵宇男基础部612999979900324161290118成珊女药学系612999463900324161290119杜晓女基础部612999131900324161290121高凯丽女药学系612999763900324161290122张幸女药学系612999316900324161290123张一萌女基础部612998365900324161290124刘婷婷女基础部612999591900324161290125马瑞雪女基础部612999827900324161290130郭蔷女生物医学工程系612998828900324161290181耿蕾女附属一院612998878900324161290184房莹莹女附属一院612998253900324161290185陈键男附属一院612999772900324161290193郭敏女附属一院612999297900324161290194张娟女附属二院612999635900324161290205郝丽军女附属二院612999934900324161290206霍聪男附属一院612998632900324161290207黎星男附属一院612999343900324161290213严琪女附属二院612999652900324161290216管昭锐女附属一院612999511900324161290232陈鹏飞男附属二院612998965900324161290246许丹女附属一院612999555900324161290247孙倩女附属二院612998577900324161290319乔勃伟男附属一院612999842900324161290359彭诗元男附属二院612999081900324161290380金雪荣女附属二院612999168900324161290407韩瑞丽女附属二院612998948900324161290411李江静女附属二院612999924900324161290413杜诗斌男附属一院612999600900324161290418党杨杰男口腔医院612999191900324161290436刘杨女口腔医院612999296900324161290446郭慧慧女口腔医院612998907900324161290448杜样女口腔医院612999565900324161290451陈骥男口腔医院612999259900324161290456张海悦女预防医学系612999674900324161290468张莎女附属一院612998879900324161290476马善波男附属一院612999894900324161290495牟菲女附属一院612998677900324161290499乔元女药学系612999739900324161290504延常姣女药学系612999736900324161290506袁佳妮女药学系612998755900324161290507王时雨女药学系612998145900324161290511王昭维女药学系612999884900324161290518刘新利女药学系612999677900324161290521孙雨芊女药学系612998228900324161290528宗书女护理系612999220900324161290542赵凯丽女护理系612999497900324161290545高静女护理系612999421900324161290550张艺女附属一院612999612900324161290585王婷婷女附属一院612999151900324161290605李悦女附属二院612998466900324161290606刘欢女附属一院612999749900324161290608刘婷女附属一院612999408900324161290609郭晓扬男附属一院612999843900324161290611张亮男附属一院612999750900324161290612常宁女附属一院612998321900324161290614赵敏女附属一院612998707900324161290624冯宁女附属一院612999012900324161290627王莹女附属一院612999007900324161290642赵超男附属二院612998559900324161290656付炜男附属一院612999839900324161290665乔燕女附属一院612999771900324161290669龚阳女附属一院612999968900324161290672高琼女附属一院612999818900324161290673张熙女附属一院612999984900324161290685周力男附属二院612999009900324161290699杨艳女附属二院612999669900324161290708王雅韵女附属一院612998925900324161290725刘朵朵女附属一院612999892900324161290808范拥国男附属二院612999001900324161290821王玖男附属一院612998967900324161290826王陶然男附属一院612999989900324161290831张磊男附属二院612999870900324161290853孙小霞女附属一院612999901900324161290857师媛女附属一院612999533900324161290862马芮女附属一院612999882900324161290879魏恩跃男附属一院612999554900324161290884屈航英女附属一院612999579900324161290886武松艳女附属二院612998134900324161290903郭永梅女附属一院612999778900324161290905姜静女附属二院612998527900324161290921屈园利女附属一院612999102900324161290924田露女附属一院612999663900324161290926曹亮男附属一院612999380900324161290944传爱云女口腔医院612998701900324161290946程锦男口腔医院612999367900324161290980冯颖达女药学系612999569900324161290981闫莉女药学系612999811900324161290982孙婷女药学系612999703900324161290983李蕊女药学系612999893900324161290991李若星女训练部410599006900324141053038尚米米女基础部150186233900324115013039杨帆女基础部130398802900324113033042龙霄宇男基础部131899006900324113183043周洋女基础部611597801900324161153044叶莹女基础部411696546900324141163046张梅女基础部611597154900324161153049屈丁丁男基础部120696071900324112063054王颖鹏男生物医学工程系210397702900324121033059宋佳丽女生物医学工程系411990639900324141193066吴玉霞女生物医学工程系321298289900324132123068毛伯男生物医学工程系411987582900324141193069李衡男生物医学工程系220696452900324122063071霍毅男基础部310690731900324131063077吴方方女附属二院370794183900324137073080李婷婷女基础部140397152900324114033106高蓓蕾女附属一院421497854900324142143115王国栋男附属一院360176848900324136013119马文娴女附属一院141098849900324114103125黄冲女附属一院330399134900324133033126吕平男附属一院141099608900324114103127王娜女附属一院141293759900324114123128赵洁茹女附属二院442099825900324144203129苟田田女附属一院500397436900324150033136王娅女附属二院141099021900324114103146田晓甲男附属一院511199048900324151113147任秀女附属一院542899973900324154283149辛伽伦男附属一院370291579900324137023150马悦女附属一院370394931900324137033156于金蕾女附属一院141291968900324114123157卫宣瑾女附属一院140993624900324114093158常毓倩女附属一院614397886900324161433181刘二雄男附属一院412397848900324141233206张耀男附属一院511897405900324151183222马文科男附属一院131694867900324113163235岳亮男附属一院422596759900324142253236黄露男附属二院214399358900324121433237刘鑫成男附属一院140398344900324114033239张海佳男附属一院442299626900324144223255康玲女附属二院141299896900324114123256李娜女附属一院410287522900324141023268段琼女附属一院322197789900324132213284宋歌男附属一院410586262900324141053292李项瑞女附属一院141292180900324114123302石星星女附属一院141298254900324114123303阴弯弯女附属一院131499070900324113143308杨帆男口腔医院411792700900324141173324李小伟男口腔医院411990399900324141193335赵艳女口腔医院140397784900324114033338林文青女口腔医院141295722900324114123339李昀男口腔医院511899934900324151183344胡祥翔男口腔医院140399936900324114033346贾骏麒男口腔医院411994410900324141193353费栋栋男口腔医院411995040900324141193355袁帅女口腔医院346697074900324134663358余凡男口腔医院210199015900324121013359周宇超女口腔医院411995122900324141193360丰帆女口腔医院411998946900324141193361张武阳男口腔医院140398610900324114033363祁祎喆女口腔医院360188572900324136013368罗晶女口腔医院340299040900324134023369王雪松男口腔医院340398518900324134033375李龙海男预防医学系340496797900324134043377王治东男预防医学系370797786900324137073380张文茜女预防医学系340397276900324134033382刘杨男预防医学系231797880900324123173385刘萌萌女预防医学系231797851900324123173388王乐乐女预防医学系120198258900324112013395李涛男附属一院321189524900324132113407周楠女药学系611598539900324161153409弥乐女药学系321190293900324132113413李怀秋男药学系321189736900324132113417赵一浦女药学系140399558900324114033419王潞女药学系410295327900324141023422赵潇女药学系370297376900324137023429李达男药学系370297680900324137023430孙玲玉女药学系321199227900324132113431赵丽娟女药学系372396063900324137233444李艳娇女护理系410589165900324141053519卢萌萌女附属一院614396224900324161433520曹春女附属一院370281902900324137023523郑立跃男附属一院141099059900324114103525郭晓红女附属二院141085651900324114103529高虹女附属二院131694521900324113163533汪鑫男附属一院141296673900324114123535何晓霞女附属一院141295019900324114123536武李红女附属一院120492019900324112043538任彬诚男附属一院630196861900324163013539胥灵敏女附属二院141297869900324114123542张亚娜女附属一院140398444900324114033545程晓静女附属一院140398450900324114033551申娜宁女附属一院141099083900324114103552方芳女附属二院140398776900324114033554杨亚丽女附属一院370891762900324137083555雷超男附属一院340299825900324134023558夏冬东男附属一院141298780900324114123560郭建华女附属一院321295115900324132123561林晨男附属一院141295061900324114123563聂爱英女附属一院410292258900324141023565杭天星女附属一院500697028900324150063568郭海琴女附属一院141087763900324114103570刘敏女附属一院210297388900324121023574张一凡男附属一院141296921900324114123577牛璐女附属一院141296808900324114123578邵晶女附属一院220798063900324122073579黎翔男附属一院370898272900324137083580孟聪聪女附属一院131497177900324113143582杨丽华女附属一院620399168900324162033584李乔能女附属一院140397684900324114033586段建芳女附属一院141294660900324114123596于修贤女附属一院131495718900324113143602郝敏锋男附属一院141099563900324114103603梁家宁女附属一院614396806900324161433604瓮调调女附属一院141293767900324114123605王雅洁女附属一院141291194900324114123606白亚楠女附属二院130290559900324113023609赵显超女附属二院141294438900324114123610吴梦丽女附属一院422497926900324142243618李渊男附属一院141296385900324114123621赵艳红女附属一院141099036900324114103625郭美红女附属一院340293770900324134023640杨蕊女附属二院141099088900324114103649谷芬女附属一院540199599900324154013698龙江男附属一院410398759900324141033726王凯男附属一院370497217900324137043729郭康男附属二院330899849900324133083733吴望晟男附属一院141296873900324114123737张鲁毅男附属二院440599179900324144053747李步潆男附属一院141295000900324114123750陈李鹏男附属二院220299087900324122023751吴太林男附属一院640197757900324164013752沙佳男附属一院370796166900324137073754张述宝男附属一院140397635900324114033764刘书尚男附属一院620597282900324162053767苏菲男附属一院140398005900324114033769杨振宇男附属二院141294816900324114123774韩波男附属二院141294843900324114123779陈洁男附属二院422699452900324142263782张波波男附属一院442298013900324144223785吴俊伸男附属一院370899775900324137083809罗茜女附属二院370999140900324137093814王亚婷女附属二院210791120900324121073815郭雯娓女附属二院141087708900324114103816海溧女附属二院130899385900324113083837李迎女附属二院131090818900324113103838刘泽杰女附属二院321792386900324132173841于舒鸿女附属一院140397807900324114033843宋沂林女附属二院410593242900324141053844庞翠女附属一院140397358900324114033846焦咪女附属二院370995236900324137093847刘沁雨女附属二院410288287900324141023855杨玉焕女附属二院422997696900324142293860段海峰男附属一院330185834900324133013863邓友良男附属一院141298649900324114123865高龙飞男附属二院140398424900324114033867石涛利女附属一院614398331900324161433868和姗女附属一院141299782900324114123869何晓兰女附属一院360188780900324136013871刘雪女附属一院430498625900324143043872张增利女附属一院370791896900324137073875马治男附属一院130898873900324113083883杜学鹏男附属一院130898867900324113083884齐瑞女附属一院141796920900324114173885张欢女附属一院340197938900324134013886贾承明男附属一院340183641900324134013919汪海霞女口腔医院370792666900324137073920董建霞女口腔医院370398251900324137033922孙雪飞男口腔医院371395462900324137133923赵振彦男口腔医院141299071900324114123927王伟男口腔医院370187075900324137013932王晓丽女口腔医院141086959900324114103934李彩荣女口腔医院141292869900324114123943李珊珊女口腔医院141295217900324114123946陈媛丽女口腔医院346697523900324134663948陶荣女口腔医院141299038900324114123949冯娟女口腔医院130796501900324113073953窦晨云女口腔医院372597097900324137253954诸葛继娜女口腔医院370988301900324137093955刘冬梅女口腔医院230699884900324123063959郭冬会女口腔医院370891171900324137083961诸葛睿申男口腔医院370285075900324137023963房瑞贞女口腔医院141294518900324114123966王文婷女口腔医院340183628900324134013969徐宁女口腔医院372396327900324137233971王凤泽男口腔医院230699493900324123063972郭晓睿女口腔医院140399440900324114033973关玲霞女口腔医院140399362900324114033976王智伟男口腔医院411998436900324141193977岑运珠女口腔医院115499715900324111543981滕彬宏男口腔医院141298883900324114123982梁建飞男口腔医院211392185900324121133995刘向伟男口腔医院140398884900324114033997马瑞女口腔医院346697744900324134664000王静娟女口腔医院310698972900324131064003周欢女口腔医院210297630900324121024004张亚秋女口腔医院411994995900324141194006张文菲女口腔医院230699034900324123064014伍美玲女口腔医院131896325900324113184015刘一帆男口腔医院372598344900324137254016孙聪男口腔医院131499507900324113144018杨雪薇女口腔医院214397938900324121434022杨妍女口腔医院230699479900324123064023曲红蕾女口腔医院140397171900324114034028程乔女护理系422998112900324142294035刘洋男药学系620995110900324162094041牛晓红女训练部530697889900324106736051张天女基础部441894807900324105586052高鹏女预防医学系120197446900324100626053金巧艳女附属一院510187960900324106106054刘鑫男口腔医院120492918900324100556055冯晓珂女口腔医院450396833900324105986056杨璇璇女口腔医院212999995900324101596057轩诗杰女口腔医院612292845900324107186058王一涵女航空航天医学系430493216900324105336059王悦女护理系。
2014年人文学院研究生入学考试复试通知西安电子科技大学2014年硕士研究生招生复试和录取工作即将开始,根据教育部和学校有关文件精神,我院将做好研究生的体检、复试、录取、培养费收缴等各项工作。
在录取工作中坚持公平、公正、透明、合理的原则,保证招生工作顺利进行。
根据教育部制定的录取标准和学校有关规定,现将有关工作安排如下:组织机构根据学校研究生招生工作领导小组的安排,我院专门成立了招生领导小组。
负责本院硕士研究生招生复试和录取的相关工作,制定本学科硕士生复试工作具体方案并组织实施。
学院招生工作领导小组成员名单:组长:漆思(教授)副组长: 宋宝萍(教授)成员:吴建新(教授)夏永林(教授)常新(教授)柏昌利(教授)于少勇(教授)复试分为三组第一组:美学、宗教学、马克思主义基本原理、思想政治教育专家名单组长:漆思(教授)组员:宋宝萍(教授)、吴建新(教授)、常新(教授)、魏萍(副教授)刘建伟(副教授)、白素(教授)秘书:禹得水第二组:高等教育学组长:柏昌利(教授)组员:赵树凯(教授)、刘刚(教授)、杜希民(副研究员)燕浩(副教授)、于东红(副教授)秘书:李力第三组:体育教育训练学组长:于少勇(教授)组员:牛健壮(教授)、白光斌(副教授)、魏荣(副教授)、苏振阳(副教授)秘书:张超招生计划美学:5人宗教:1人马克思主义基本原理:5人思想政治教育:8人高等教育学:6人体育教育训练学:3人(其中推免生:1人)总计:28人复试分数线、时间、地点第一组:美学、宗教、马克思主义基本原理、思想政治教育1.复试分数线的基本要求报考专业总分单科(满分=100分)单科(满分>100分)美学 300 40 81宗教学 330 40 81马克思主义基本原理 330 44 81思想政治教育 320 44 812.笔试时间:4月8日(星期二)下午14:30笔试地点:南校区C楼515教室面试时间:4月9日(星期三)上午9:00面试地点:南校区信远Ⅱ-135人文学院会议室第二组:高等教育学1.总分≥315分,百分以下单科≥42分,百分以上单科≥126分2.笔试开始时间:4月8日下午2:00,地点:西电南校区C楼514教室。
3)原报考通信与信息系统学科的考生,可在复试前报名登记时向通信与信息系统(北电院联合培养)、光通信、信息安全(含北京六所联合培养)、交通信息工程与控制、密码学(含北电院联合培养)、军事通信学学科或电子与通信工程专业领域(含昆山研究院、北京六所联合培养)调剂。
考专业大学本科主干课程,否则视为复试成绩不合格。
)复试报名时间凡符合我院复试报名资格的考生,须于4月1日~4月4日(8:30~11:30、14:30~17:30)、,在北校区主楼I区269房间(通院办公室所在地)报名登记,逾期不予受理。
未按时报名者视为自动放弃复试资格,不得参加复试。
6)复试时间与地点安排:除拟录取的推免生和“优研计划”考生外,所有达到我院复试线的考生均须参加复试。
参加复试的考生请携带有效身份证件,于4月5日下午13:00~17:00参加复试笔试。
其中英语笔试时间为:13:00~13:50,专业课笔试时间为14:00~17:00。
复试笔试名单及地点将于4月5日上午10:00在西电北校区西大楼门前、通院院办橱窗和通信工程学院网站公布。
综合面试时间安排在4月6日~4月8日进行。
综合面试分组、时间和地点请随时留意通院院办橱窗及通信工程学院网站的通知。
在复试全过程中,一旦发现任何弄虚作假或考试作弊等违规行为,一经核实将取消录取资格并上报相关部门备案。
五、资格审查复试期间将进行资格审查,考生复试时须携带以下材料。
1.本人有效身份证件或军官证及复印件一份(复试笔试时交监考老师)。
2.往届生提交最后毕业证、学位证书复印件各一份;应届本科毕业生提交学生证复印一份(以上复试笔试时交监考老师)。
3.一张一寸免冠照片(体检表用)。
4.大学期间成绩单原件或档案中成绩单复印件(面试时交面试组)。
高职高专学历的考生提交专科成绩单及本科6门或6门以上课程进修成绩单。
5.同等学历考生还须提交在所报考专业领域的学术期刊上以第一作者发表的文章。
6.未通过教育部学历验证的考生须提交《中国高等教育学历认证报告》原件及复印件。
证件号码性别姓名录取单位码录取单位名称220302198811******女赵*10212黑龙江大学350122198909******女陈* *10212黑龙江大学412721199006******女任* *10212黑龙江大学110105199008******男张* *10212黑龙江大学130225199110******女张*10212黑龙江大学371421199006******女芦* *10212黑龙江大学372922199004******女王* *10212黑龙江大学370881198911******女孔* *10212黑龙江大学231004199105******女张* *10212黑龙江大学342523199102******女黎* *10212黑龙江大学230103199108******女崔*10212黑龙江大学130302199104******男张* *10212黑龙江大学411302199110******男王* *10212黑龙江大学410103199010******女孟*10212黑龙江大学230902198810******女李*10212黑龙江大学232303198909******女孙* *10212黑龙江大学410305199102******男张*10212黑龙江大学370612198703******男宋* *10212黑龙江大学370283199202******女杨* *10212黑龙江大学372924199210******女陈*10212黑龙江大学372924199007******男王*10212黑龙江大学371524198907******女崔* *10212黑龙江大学220202199101******女金* *10212黑龙江大学231182199009******女赵* *10212黑龙江大学231083199004******女孙* *10212黑龙江大学371323199001******女孟*10212黑龙江大学231084199110******男殷* *10212黑龙江大学230303199101******女管* *10212黑龙江大学372925198911******女谢* *10212黑龙江大学230704199111******男孙* *10212黑龙江大学150723199403******女杨* *10212黑龙江大学130527199012******女杨*10212黑龙江大学230621199009******男任* *10212黑龙江大学410103198201******女徐* *10212黑龙江大学410102198908******男徐* *10212黑龙江大学411330199008******女赵*10212黑龙江大学410185199107******女姜* *10212黑龙江大学230604199205******女方* *10212黑龙江大学152723199107******女王*10212黑龙江大学211422199011******女韩* *10212黑龙江大学152323199106******女文*10212黑龙江大学150422199210******女阿* * *10212黑龙江大学230826198411******男李* *10212黑龙江大学152601199111******女孟*10212黑龙江大学150404199412******女朱* *10212黑龙江大学152502199112******男贾* *10212黑龙江大学150203199105******女白* *10212黑龙江大学150430198803******女宋* *10212黑龙江大学410381199008******女马* *10212黑龙江大学231025199209******女李* *10212黑龙江大学140581199203******男王* *10212黑龙江大学410221199008******女孙* *10212黑龙江大学653127199307******女蒙*10212黑龙江大学659001199210******女陈* *10212黑龙江大学370502199102******女鱼* *10212黑龙江大学142429199006******男李* *10212黑龙江大学140108198907******女张* *10212黑龙江大学140105199003******女李*10212黑龙江大学130804199009******女袁*10212黑龙江大学320826199107******女周*10212黑龙江大学372925198908******男尚* *10212黑龙江大学372922198902******女杜*10212黑龙江大学152102199111******男李* *10212黑龙江大学152105199205******女高*10212黑龙江大学370102199202******男谢* *10212黑龙江大学342225199308******男孔* *10212黑龙江大学370213199108******女刘* *10212黑龙江大学370826198902******男程*10212黑龙江大学231027199111******女邢* *10212黑龙江大学330481199104******女许* *10212黑龙江大学371311198905******女杜* *10212黑龙江大学371311199106******男颜* *10212黑龙江大学231121199201******男段* *10212黑龙江大学230224199104******女李*10212黑龙江大学231084199308******女赵*10212黑龙江大学152629199104******女范* *10212黑龙江大学152101199107******女包* *10212黑龙江大学152102199004******女赵* *10212黑龙江大学370302198812******女孙* *10212黑龙江大学372924199102******男刘* *10212黑龙江大学231083199212******男张* *10212黑龙江大学620421198707******男杨* *10212黑龙江大学230221199205******男袁* *10212黑龙江大学230183199201******女芦* *10212黑龙江大学231004199111******女任* *10212黑龙江大学411282199206******女苏* *10212黑龙江大学231026199112******女徐*10212黑龙江大学231123199106******女郑* *10212黑龙江大学231004199206******男朴* *10212黑龙江大学232302199206******女程*10212黑龙江大学230422199005******男丁* *10212黑龙江大学239005198811******男张* *10212黑龙江大学230205199107******女陈* *10212黑龙江大学231024198806******女张*10212黑龙江大学411002199110******女翟* *10212黑龙江大学230305199203******女王*10212黑龙江大学230102198308******女徐*10212黑龙江大学152105199212******女王*10212黑龙江大学232326199104******男段* *10212黑龙江大学230622198905******男赵* *10212黑龙江大学231026199104******女王* *10212黑龙江大学232103199206******女苏*10212黑龙江大学230202199101******男洪* *10212黑龙江大学232303199207******男王* *10212黑龙江大学230903199209******女马* *10212黑龙江大学232330199208******男曲* *10212黑龙江大学230121199002******女张*10212黑龙江大学411424199111******女郑*10212黑龙江大学232301198909******男王* *10212黑龙江大学232321198410******男赵*10212黑龙江大学210727198904******男宋*10212黑龙江大学230221199005******女张*10212黑龙江大学230605199201******男王*10212黑龙江大学231025199203******男刘* *10212黑龙江大学232302199110******女王* *10212黑龙江大学231181198909******女李*10212黑龙江大学230422199108******女孙*10212黑龙江大学230223199202******女罗*10212黑龙江大学230405198607******男朱* *10212黑龙江大学230103199103******女王*10212黑龙江大学231025199209******男孙* *10212黑龙江大学230103199110******男蒋* *10212黑龙江大学231182199209******女王*10212黑龙江大学230302199012******女周*10212黑龙江大学230621199102******女魏* *10212黑龙江大学230826199304******女于*10212黑龙江大学142701199303******男李* *10212黑龙江大学230225199005******女高*10212黑龙江大学362201199103******男刘* *10212黑龙江大学230106199001******男侯* *10212黑龙江大学239005199209******女闫*10212黑龙江大学230921199102******男王*10212黑龙江大学230108199203******女于*10212黑龙江大学500234199010******男颜* *10212黑龙江大学230129199111******女田* *10212黑龙江大学230422199004******女闵*10212黑龙江大学210902199211******女王* *10212黑龙江大学230231199110******女于* *10212黑龙江大学230421199005******男邵* *10212黑龙江大学231083199208******女毕*10212黑龙江大学230302199104******男宋* *10212黑龙江大学130322199010******男赵* *10212黑龙江大学231083199303******女黄* *10212黑龙江大学230108199204******男张* *10212黑龙江大学230125199107******女张* *10212黑龙江大学230103199203******女马* *10212黑龙江大学232700199112******女刘* *10212黑龙江大学230621199011******男杨* *10212黑龙江大学230103199106******女张*10212黑龙江大学230303199012******男范* *10212黑龙江大学230204199201******女全*10212黑龙江大学230903199105******男宁*10212黑龙江大学230712199110******女刘* *10212黑龙江大学232301198907******男王*10212黑龙江大学231182199106******男张*10212黑龙江大学230224199009******女邓*10212黑龙江大学230321199011******女张* *10212黑龙江大学230204199103******女张*10212黑龙江大学232324198906******女刘* *10212黑龙江大学230881199106******女谢* *10212黑龙江大学231181199102******女许*10212黑龙江大学230227199109******女马*10212黑龙江大学230624199210******女宫* *10212黑龙江大学230103199103******女董* *10212黑龙江大学211224199105******男陈* *10212黑龙江大学130283199212******女王*10212黑龙江大学230103199203******女史*10212黑龙江大学230503198801******男孟*10212黑龙江大学231123198811******男谭* *10212黑龙江大学231102199101******男王* *10212黑龙江大学230203199103******女徐*10212黑龙江大学230107199103******女宋* *10212黑龙江大学230804199203******女王*10212黑龙江大学230502198602******女邵* *10212黑龙江大学230502199206******女李* *10212黑龙江大学232321199109******女张*10212黑龙江大学230108199205******女吕* *10212黑龙江大学522727199004******男潘* *10212黑龙江大学370832199003******女赵*10212黑龙江大学230713199209******女毕* *10212黑龙江大学232103199111******女郎*10212黑龙江大学230606199204******女林* *10212黑龙江大学232301199209******女崔* *10212黑龙江大学232124199202******女李* *10212黑龙江大学232303199206******女林* *10212黑龙江大学450902198902******女陈* *10212黑龙江大学232303199211******男刘*10212黑龙江大学230882199106******女金*10212黑龙江大学232126199206******女董* *10212黑龙江大学130425199204******女徐*10212黑龙江大学371525199004******男范* *10212黑龙江大学231182199109******女李*10212黑龙江大学210902199210******男朱* *10212黑龙江大学140431199003******女牛* *10212黑龙江大学230129199101******女王* *10212黑龙江大学142429199205******女梁* *10212黑龙江大学230102199202******男赵* *10212黑龙江大学230624199210******男檀* *10212黑龙江大学230381199009******女张* *10212黑龙江大学230606199111******男迟* *10212黑龙江大学231083199206******女张*10212黑龙江大学230107199203******女王* *10212黑龙江大学230105199202******女孙* *10212黑龙江大学232101199003******女刘* *10212黑龙江大学452601198909******男周* *10212黑龙江大学230704199201******女徐*10212黑龙江大学230802199108******女崔* *10212黑龙江大学341203199109******男张* *10212黑龙江大学230102199203******女曹* *10212黑龙江大学230106199104******女焦* *10212黑龙江大学352229199202******男蔡* *10212黑龙江大学230106199304******女王* *10212黑龙江大学230822199212******女王*10212黑龙江大学230921199112******女王*10212黑龙江大学230603199007******女董* *10212黑龙江大学152101199207******女刘*10212黑龙江大学230102199207******女付*10212黑龙江大学412801199001******男陈*10212黑龙江大学230103199110******男刘*10212黑龙江大学131182199102******女何* *10212黑龙江大学230104199002******女于*10212黑龙江大学231083199101******女孙*10212黑龙江大学230184198910******女张* *10212黑龙江大学230230198412******男苏* *10212黑龙江大学230103198704******女谭*10212黑龙江大学230903199207******女周*10212黑龙江大学230811199110******女孙* *10212黑龙江大学231005199206******女李*10212黑龙江大学231026199007******女刘* *10212黑龙江大学230128199103******女刘*10212黑龙江大学230227199012******女关* *10212黑龙江大学460033199406******女郑* *10212黑龙江大学230102199009******男孙*10212黑龙江大学411023198804******男孙* *10212黑龙江大学231102199001******女栾*10212黑龙江大学230106199108******女韩*10212黑龙江大学230121198807******女王*10212黑龙江大学230882199109******男杨* *10212黑龙江大学230882199205******女刘*10212黑龙江大学230104199103******女岳* *10212黑龙江大学230103199112******女刘*10212黑龙江大学230302199102******女李* *10212黑龙江大学230107199204******男马* *10212黑龙江大学230828198910******女王* *10212黑龙江大学410223199002******女董* *10212黑龙江大学232325199304******女孙* *10212黑龙江大学230102199105******女冯* *10212黑龙江大学231181199004******男刘* *10212黑龙江大学622630199106******女王*10212黑龙江大学522101199105******男彭* *10212黑龙江大学230713199011******女杨*10212黑龙江大学231182199101******男吕*10212黑龙江大学230623199103******女李*10212黑龙江大学230103199103******男于* *10212黑龙江大学231083199103******女陈* *10212黑龙江大学230102199103******女苑* *10212黑龙江大学231182199001******女刘*10212黑龙江大学230182199107******男于* *10212黑龙江大学232301199107******女王* *10212黑龙江大学232126199208******女焦* *10212黑龙江大学231083199312******女李*10212黑龙江大学230406199205******女徐*10212黑龙江大学230828198603******女代* *10212黑龙江大学230103199107******女闫*10212黑龙江大学230605199203******女赵*10212黑龙江大学142733199211******女许*10212黑龙江大学230882198907******女孙*10212黑龙江大学230605199111******女赵*10212黑龙江大学231181199108******女李*10212黑龙江大学230103198905******男韩*10212黑龙江大学231004197806******男阚* *10212黑龙江大学411002199104******男段* *10212黑龙江大学372926199011******女褚* *10212黑龙江大学371082199111******男王* *10212黑龙江大学370829199007******男任* *10212黑龙江大学230229198901******男张* *10212黑龙江大学230229199002******女崔* *10212黑龙江大学132522198208******男杨* *10212黑龙江大学371327199001******女刘* *10212黑龙江大学370785198912******男李*10212黑龙江大学230604198905******女崔*10212黑龙江大学230184199204******女张*10212黑龙江大学231083199102******女季* *10212黑龙江大学320981199112******女刘* *10212黑龙江大学231102199108******女张* *10212黑龙江大学130282199104******男张*10212黑龙江大学362429198710******女张* *10212黑龙江大学232330199105******女周* *10212黑龙江大学230122199210******女裴* *10212黑龙江大学231123199210******男张*10212黑龙江大学421302199101******女冯* *10212黑龙江大学239005199206******女王*10212黑龙江大学230230198704******女曹*10212黑龙江大学232321199004******女商* *10212黑龙江大学420703199110******男万*10212黑龙江大学230303199106******女孙* *10212黑龙江大学231004199408******女张* *10212黑龙江大学231083198907******女王*10212黑龙江大学370832199106******女杨* *10212黑龙江大学231003198903******男潘* *10212黑龙江大学230302199003******女于* *10212黑龙江大学230127199001******女孙*10212黑龙江大学231083199106******女张* *10212黑龙江大学421123199103******女章*10212黑龙江大学654121199001******女徐* *10212黑龙江大学210302199007******女安* *10212黑龙江大学210711199102******女贾* *10212黑龙江大学230202198909******男曲*10212黑龙江大学230202198908******女崔* *10212黑龙江大学152301197409******男李* *10212黑龙江大学230203199004******女邵* *10212黑龙江大学230202199101******女林* *10212黑龙江大学230231199009******女邓* *10212黑龙江大学230204199006******女赵*10212黑龙江大学230229199101******女徐*10212黑龙江大学231123199002******男刘*10212黑龙江大学230225199010******女姜*10212黑龙江大学232126199106******女刁* *10212黑龙江大学230521199109******女张*10212黑龙江大学231002199101******女王* *10212黑龙江大学231181199311******女尹* *10212黑龙江大学231083199005******女李* *10212黑龙江大学231085199001******男栗*10212黑龙江大学230502199009******女张*10212黑龙江大学140729199105******女田*10212黑龙江大学230521199206******女李* *10212黑龙江大学230208199105******女李*10212黑龙江大学230502199106******男荆* *10212黑龙江大学230881199201******女段* *10212黑龙江大学232131199102******女董* *10212黑龙江大学230221199001******男洪* *10212黑龙江大学411081199001******男马* *10212黑龙江大学230225199101******女白* *10212黑龙江大学230833199006******女陈* *10212黑龙江大学230224199109******女李* *10212黑龙江大学232700199202******女吴*10212黑龙江大学230381198803******女宋* *10212黑龙江大学230107199109******女张*10212黑龙江大学230623199112******女刘*10212黑龙江大学230523199011******女王* *10212黑龙江大学230604199209******女杨*10212黑龙江大学230203198311******女姚* *10212黑龙江大学230281198910******女张* *10212黑龙江大学230208198803******女李*10212黑龙江大学230606199202******女吴*10212黑龙江大学230125199111******女吴* *10212黑龙江大学140411198911******女孛* *10212黑龙江大学231181198906******女董* *10212黑龙江大学230822199107******男韩* *10212黑龙江大学230802199110******女何* *10212黑龙江大学230381199105******女包*10212黑龙江大学231085199212******女董*10212黑龙江大学231002199003******女韩*10212黑龙江大学430703199110******女刘*10212黑龙江大学430903199112******男朱* *10212黑龙江大学230602199202******女陈* *10212黑龙江大学230702199009******男马* *10212黑龙江大学230602199110******女孙*10212黑龙江大学230421198912******女孟*10212黑龙江大学231121199102******女吴*10212黑龙江大学231182199204******女郑* *10212黑龙江大学410927199101******女张* *10212黑龙江大学230707198804******女马* *10212黑龙江大学141102199109******男张* *10212黑龙江大学140211199003******女韩*10212黑龙江大学232330199106******男林* *10212黑龙江大学230902198606******女刘*10212黑龙江大学230881199203******女肖* *10212黑龙江大学410782198902******男李* *10212黑龙江大学411123199210******女黄* *10212黑龙江大学411023198904******男罗* *10212黑龙江大学130225198808******男李* *10212黑龙江大学130224199203******女丁* *10212黑龙江大学341203199201******女何*10212黑龙江大学142625199101******男陈*10212黑龙江大学152122199212******女王* *10212黑龙江大学410322199007******女刘* *10212黑龙江大学230281199108******男侯* *10212黑龙江大学371526199102******女李* *10212黑龙江大学372925198807******女霍* *10212黑龙江大学150121199211******女邱* *10212黑龙江大学131126199412******女王*10212黑龙江大学230227199203******男张*10212黑龙江大学412828199007******女韩* *10212黑龙江大学231121199104******女裴* *10212黑龙江大学210105199009******男宋*10212黑龙江大学231084199104******女安* *10212黑龙江大学230208199211******女范*10212黑龙江大学150124199209******女曹* *10212黑龙江大学231084199102******男罗* *10212黑龙江大学230621199101******女季*10212黑龙江大学230205199112******男孔*10212黑龙江大学239005199012******女郭* *10212黑龙江大学239005199005******女李* *10212黑龙江大学230811199005******女崔*10212黑龙江大学230802199005******男宇*10212黑龙江大学230921199103******女刘*10212黑龙江大学230707199104******女王*10212黑龙江大学230804199006******女孟* *10212黑龙江大学239005199012******女张* *10212黑龙江大学230714199006******男黄* *10212黑龙江大学370124199105******女贾* *10212黑龙江大学411526198709******女向* *10212黑龙江大学150421199210******女吴* *10212黑龙江大学321323199003******男丁* *10212黑龙江大学431321199204******女朱* *10212黑龙江大学320922198706******男杨*10212黑龙江大学510525198903******女丁* *10212黑龙江大学210213199112******女鞠*10212黑龙江大学230121199203******女王* *10212黑龙江大学230107199201******女胡* *10212黑龙江大学230183199007******女闫* *10212黑龙江大学230524199107******女陈* *10212黑龙江大学232301199004******女邓*10212黑龙江大学232301199005******女左* *10212黑龙江大学232321198603******女陆* *10212黑龙江大学231025199206******女李* *10212黑龙江大学231083199105******男刘*10212黑龙江大学231181198206******女肖* *10212黑龙江大学230623199105******女杜* *10212黑龙江大学232330198206******女付*10212黑龙江大学231084199110******男谭* *10212黑龙江大学230421199110******女张* *10212黑龙江大学231121199106******女蔡*10212黑龙江大学230281199005******女冯* *10212黑龙江大学232128199201******女张* *10212黑龙江大学230506199111******女黄* *10212黑龙江大学230521199108******女薛*10212黑龙江大学230422199110******女郑*10212黑龙江大学230106199207******女宇*10212黑龙江大学232126199110******女李* *10212黑龙江大学230882198712******女刘* *10212黑龙江大学232301199012******女张* *10212黑龙江大学232331199004******女孙* *10212黑龙江大学230221199110******女季*10212黑龙江大学230406199208******女田*10212黑龙江大学230881199008******女曲* *10212黑龙江大学230124199111******女陈* *10212黑龙江大学232301199109******女李*10212黑龙江大学231025199201******女房* *10212黑龙江大学230121199202******女韩* *10212黑龙江大学231181199107******女张* *10212黑龙江大学230603199206******女王* *10212黑龙江大学231085199003******女赵* *10212黑龙江大学230882199108******女郭*10212黑龙江大学340811199102******女李* *10212黑龙江大学230712199012******女许* *10212黑龙江大学230707199202******女赵*10212黑龙江大学230221199112******女刘*10212黑龙江大学371423199005******女姚* *10212黑龙江大学320623199205******女戴* *10212黑龙江大学230229199203******女邓* *10212黑龙江大学460103199107******女李* *10212黑龙江大学232721199109******女李*10212黑龙江大学370285199106******女李*10212黑龙江大学230203199109******女陈* *10212黑龙江大学230103199004******女刘* *10212黑龙江大学230702198506******女李*10212黑龙江大学230882198906******女李*10212黑龙江大学230122199007******女魏* *10212黑龙江大学230524198708******女简*10212黑龙江大学230523199010******女王* *10212黑龙江大学230103199012******女张*10212黑龙江大学230406199105******女崔* *10212黑龙江大学232101197401******男尤* *10212黑龙江大学230882198711******女陈* *10212黑龙江大学230108198204******女张* *10212黑龙江大学230602197905******男赵* *10212黑龙江大学239005199111******女赵* *10212黑龙江大学342221199011******女王* *10212黑龙江大学232700199203******女张* *10212黑龙江大学230103199208******女王* *10212黑龙江大学230921199204******男张* *10212黑龙江大学232321199203******女张* *10212黑龙江大学232303199109******女郑* *10212黑龙江大学230227199105******女肖* *10212黑龙江大学230506198408******男于* *10212黑龙江大学330183198808******男李* *10212黑龙江大学232325199101******女王* *10212黑龙江大学230106198707******男张* *10212黑龙江大学230624199209******女高* *10212黑龙江大学231026198808******女郑*10212黑龙江大学230105198704******女郑* *10212黑龙江大学230604199209******女高* *10212黑龙江大学232301199002******女赵* *10212黑龙江大学230127199009******女李* *10212黑龙江大学230624198907******男周*10212黑龙江大学230107199202******女曾* *10212黑龙江大学231121198308******男邹* *10212黑龙江大学239004199005******女高*10212黑龙江大学232303198703******女王* *10212黑龙江大学232700198702******女张* *10212黑龙江大学231026199101******男刘* *10212黑龙江大学230205199005******男康* *10212黑龙江大学230127199101******女唐*10212黑龙江大学130283199110******女杨*10212黑龙江大学340824199010******女孙*10212黑龙江大学350781199203******女于* *10212黑龙江大学230202199207******女邱* *10212黑龙江大学230105199103******女邹* *10212黑龙江大学420802199205******女毛* *10212黑龙江大学230104199012******女陈*10212黑龙江大学231102199008******男李* *10212黑龙江大学231121199010******女鄢* *10212黑龙江大学232101199002******男潘* *10212黑龙江大学230828199111******女邓* *10212黑龙江大学230121199107******女卢* *10212黑龙江大学230623199210******女姜* *10212黑龙江大学230822198704******男林* *10212黑龙江大学230103198504******女朱*10212黑龙江大学230822199105******女杨* *10212黑龙江大学230381198806******男徐*10212黑龙江大学230224198901******男马*10212黑龙江大学230422199110******女刘* *10212黑龙江大学232324197710******女吴*10212黑龙江大学230106198902******女樊*10212黑龙江大学230202198310******女孙* *10212黑龙江大学360430198510******女许* *10212黑龙江大学232330198204******女杨* *10212黑龙江大学230804198112******男李* *10212黑龙江大学230208199105******男周* *10212黑龙江大学230903199007******女王*10212黑龙江大学230206199006******女龚* *10212黑龙江大学230103198609******女王*10212黑龙江大学230102198507******女郝*10212黑龙江大学230124198103******男孙* *10212黑龙江大学232321199010******女耿* *10212黑龙江大学230405199003******男范* *10212黑龙江大学232126199010******男亓* *10212黑龙江大学231026199204******男刘* *10212黑龙江大学230124198910******女安* *10212黑龙江大学232321198808******男王*10212黑龙江大学232330199108******女杨*10212黑龙江大学230803198812******女宋* *10212黑龙江大学232102198907******女张* *10212黑龙江大学230202198606******女司* *10212黑龙江大学230708199105******女高* *10212黑龙江大学232128198706******男孙*10212黑龙江大学230106199002******男张* *10212黑龙江大学232101198607******男李* *10212黑龙江大学230604198710******男杨* *10212黑龙江大学231223199202******女王* *10212黑龙江大学230702199104******女李*10212黑龙江大学622827198511******男畅* *10212黑龙江大学230223199102******男潘*10212黑龙江大学230605198909******男李*10212黑龙江大学220724198601******女魏* *10212黑龙江大学232330198903******女牛*10212黑龙江大学230102198807******女姜*10212黑龙江大学230281198203******男王*10212黑龙江大学230203199001******男张*10212黑龙江大学230703198906******女王*10212黑龙江大学232301197011******女王*10212黑龙江大学120107199010******女薛* *10212黑龙江大学230206197704******女王*10212黑龙江大学232302199010******女曲* *10212黑龙江大学230304199010******男郝*10212黑龙江大学230203199011******女陈*10212黑龙江大学230183198412******女王* *10212黑龙江大学232321199204******女单*10212黑龙江大学230705198907******女罗* *10212黑龙江大学230122199004******女关*10212黑龙江大学230102198603******男刘* *10212黑龙江大学230108199104******男方*10212黑龙江大学230102198709******女韩*10212黑龙江大学232127199011******女尤* *10212黑龙江大学230405199103******女徐*10212黑龙江大学230107198912******女金* *10212黑龙江大学230204198008******女胡* *10212黑龙江大学231181199009******女孙*10212黑龙江大学230521198703******女张* *10212黑龙江大学230106198907******男樊* *10212黑龙江大学231083198603******女宋* *10212黑龙江大学230506198710******男步* *10212黑龙江大学230603199109******女杨* *10212黑龙江大学231002199005******女滕* *10212黑龙江大学230604199209******女郑*10212黑龙江大学230103199206******女张* *10212黑龙江大学230224198612******女王* *10212黑龙江大学230102198806******女董* *10212黑龙江大学230204199011******男孙* *10212黑龙江大学230103198811******女王*10212黑龙江大学230102198711******男张*10212黑龙江大学230125199002******女魏* *10212黑龙江大学152101198108******女孟* *10212黑龙江大学230207198904******男胡* *10212黑龙江大学230306199005******女李*10212黑龙江大学230206199010******女鲍* *10212黑龙江大学230602199012******男于* *10212黑龙江大学230882199003******女曲* *10212黑龙江大学230105198804******女张*10212黑龙江大学230622198705******女刘* *10212黑龙江大学371327198612******男刘*10212黑龙江大学231102199004******男王*10212黑龙江大学230103199102******女宋* *10212黑龙江大学232325196612******女张* *10212黑龙江大学230230199107******女王*10212黑龙江大学230208198907******女周* *10212黑龙江大学232128198310******男马*10212黑龙江大学232330199205******女张* *10212黑龙江大学232302199205******女王* *10212黑龙江大学231181198802******男杜* *10212黑龙江大学230107199109******男王* *10212黑龙江大学230221198908******女王*10212黑龙江大学230523199012******男于* *10212黑龙江大学152502198808******女王*10212黑龙江大学230121198408******女王* *10212黑龙江大学232301198912******女邢* *10212黑龙江大学239005197404******女张* *10212黑龙江大学230102198708******女付* *10212黑龙江大学230702199105******女王* *10212黑龙江大学232301198701******女王* *10212黑龙江大学232324198802******男刘* *10212黑龙江大学230103198804******女段* *10212黑龙江大学230622198812******女林* *10212黑龙江大学230102198908******男王* *10212黑龙江大学230903199002******男崔* *10212黑龙江大学231004199005******女金* *10212黑龙江大学230622199203******女卢* *10212黑龙江大学220723199010******女姜* *10212黑龙江大学230125199202******女罗* *10212黑龙江大学230421199005******女韩*10212黑龙江大学230202199011******女刘* *10212黑龙江大学231026199108******男赵* *10212黑龙江大学230122199007******男韩* *10212黑龙江大学230826199009******女徐* *10212黑龙江大学230281199003******女宋*10212黑龙江大学230207199004******女姜*10212黑龙江大学231182198803******女张* *10212黑龙江大学232330199212******女逄*10212黑龙江大学230103199111******女刘* *10212黑龙江大学230302199011******女马*10212黑龙江大学370983198610******男赵* *10212黑龙江大学232302199204******男孙* *10212黑龙江大学232102197709******男范* *10212黑龙江大学230604198205******男吉* *10212黑龙江大学232330199011******男孙* *10212黑龙江大学232321198510******女王* *10212黑龙江大学230102198909******女刘*10212黑龙江大学232301198804******男白* *10212黑龙江大学230803199106******女邵*10212黑龙江大学230102199004******女关*10212黑龙江大学231102199108******女鹿* *10212黑龙江大学232126199107******男张* *10212黑龙江大学231083199005******男王* *10212黑龙江大学230183199202******女刘* *10212黑龙江大学231181199107******女王* *10212黑龙江大学232301199106******女李* *10212黑龙江大学232301199007******女刘*10212黑龙江大学232332199109******男王*10212黑龙江大学232103198907******女刘*10212黑龙江大学230103198907******女苏* *10212黑龙江大学230281198810******女王*10212黑龙江大学231024198606******女李*10212黑龙江大学230703199207******女翟*10212黑龙江大学230103199101******女刘*10212黑龙江大学230703199105******女赵* *10212黑龙江大学230108199109******女叶*10212黑龙江大学230703199011******女王*10212黑龙江大学230106199003******女滕* *10212黑龙江大学230203199011******男李*10212黑龙江大学230833198809******女刘* *10212黑龙江大学231026199002******男梁* *10212黑龙江大学230181199112******女卜*10212黑龙江大学230183198607******男宋* *10212黑龙江大学411202199008******女杨* *10212黑龙江大学231102198902******女关*10212黑龙江大学232332199108******男于*10212黑龙江大学230102199003******女张*10212黑龙江大学230103198906******女杨* *10212黑龙江大学232700198903******女房* *10212黑龙江大学210283199002******女姚* *10212黑龙江大学230521199012******女徐* *10212黑龙江大学231002199202******男李* *10212黑龙江大学230108197908******女程* *10212黑龙江大学230104198905******男徐* *10212黑龙江大学230225199003******女徐* *10212黑龙江大学230106198902******女尹* *10212黑龙江大学230523198906******女韩*10212黑龙江大学152101198908******女陶* *10212黑龙江大学230306198403******女刘*10212黑龙江大学230105199007******女沙* *10212黑龙江大学230103198902******女王*10212黑龙江大学230104198208******女邹* *10212黑龙江大学230184198806******女周*10212黑龙江大学230103199110******女单* *10212黑龙江大学230106199103******男汪* *10212黑龙江大学230404199011******男严* *10212黑龙江大学230121199104******女赵*10212黑龙江大学231024199105******女秦* *10212黑龙江大学232103199107******女王* *10212黑龙江大学231004199103******男谢* *10212黑龙江大学230811198805******女杨*10212黑龙江大学231083199101******女董*10212黑龙江大学230183199001******女罗* *10212黑龙江大学232301197910******女陈*10212黑龙江大学230403199011******男陈* *10212黑龙江大学230604199106******男史*10212黑龙江大学230106198001******男韩* *10212黑龙江大学232101199004******女田* *10212黑龙江大学232303198806******男唐* *10212黑龙江大学232126198910******女吕* *10212黑龙江大学231085199107******女徐* *10212黑龙江大学230403198302******女李*10212黑龙江大学230622198504******男刘* *10212黑龙江大学230121198302******女魏*10212黑龙江大学230124199210******女苗*10212黑龙江大学230103198712******男孙* *10212黑龙江大学230223199007******男张* *10212黑龙江大学230833199207******女蒋* *10212黑龙江大学230902199212******女王* *10212黑龙江大学230119198702******女马* *10212黑龙江大学231182199005******女刘* *10212黑龙江大学232321198803******女梁* *10212黑龙江大学232303198710******女屈*10212黑龙江大学230102198304******女程*10212黑龙江大学231025199005******女刁* *10212黑龙江大学231124199103******女董*10212黑龙江大学231182198903******女黄*10212黑龙江大学230221199011******男许* *10212黑龙江大学230381198806******女鲁* *10212黑龙江大学429004199111******男肖* *10212黑龙江大学230107199008******女焦*10212黑龙江大学230107199004******女姜* *10212黑龙江大学230422199007******男罗*10212黑龙江大学230103198901******女张* *10212黑龙江大学232324199207******女常* *10212黑龙江大学230102198904******女邹*10212黑龙江大学230709199009******女周*10212黑龙江大学232700199202******女王* *10212黑龙江大学230882198606******女刘* *10212黑龙江大学230107198611******女汪* *10212黑龙江大学230121199111******女徐*10212黑龙江大学230108197509******男王*10212黑龙江大学230103198812******男李* *10212黑龙江大学230107198609******女郝*10212黑龙江大学220882198911******男王* *10212黑龙江大学230304199103******男焦*10212黑龙江大学232101198811******女高* *10212黑龙江大学230524199202******男张* *10212黑龙江大学230103198903******男付*10212黑龙江大学230204198905******女钱*10212黑龙江大学140226199002******男亢*10212黑龙江大学230104199007******女王*10212黑龙江大学152101199005******男吴* *10212黑龙江大学230703198904******女刘*10212黑龙江大学230208198912******男邢* *10212黑龙江大学232302199104******女孙*10212黑龙江大学232301199005******女史* *10212黑龙江大学230102198902******女张* *10212黑龙江大学230103197905******女武*10212黑龙江大学230902198812******女杨* *10212黑龙江大学232131198901******男王* *10212黑龙江大学230103198908******男刘*10212黑龙江大学230106199101******女马* *10212黑龙江大学230503199107******女于* *10212黑龙江大学230202199108******女陈* *10212黑龙江大学230104198906******女李* *10212黑龙江大学232303198512******男胡* *10212黑龙江大学230106198812******男周*10212黑龙江大学230304198907******女葛* *10212黑龙江大学230103198907******女陈*10212黑龙江大学231005198907******女盖* *10212黑龙江大学232303199006******男纪*10212黑龙江大学230422198906******女于* *10212黑龙江大学230105198902******女苏*10212黑龙江大学232321198606******男杨* *10212黑龙江大学230202198805******女孔* *10212黑龙江大学230221198705******女兰*10212黑龙江大学230710199204******女刘*10212黑龙江大学142333199103******女郝* *10212黑龙江大学231102199107******女王* *10212黑龙江大学342224199310******女徐* *10212黑龙江大学230204199112******女王* *10212黑龙江大学231085198910******女张*10212黑龙江大学342221199311******女杨* *10212黑龙江大学220204199109******女薛* *10212黑龙江大学142401199011******男弓* *10212黑龙江大学220104199202******女杨* *10212黑龙江大学230882199111******女韩*10212黑龙江大学230523199005******女杨*10212黑龙江大学230124199105******男杨* *10212黑龙江大学231002199105******女刘* *10212黑龙江大学230702199111******男方* *10212黑龙江大学232303199307******女李* *10212黑龙江大学152102198909******女杨*10212黑龙江大学230221198902******男张* *10212黑龙江大学230103197909******女王* *10212黑龙江大学412825198902******男肖* *10212黑龙江大学460102199201******男林* *10212黑龙江大学230624198712******女杜* *10212黑龙江大学360502199112******男张* *10212黑龙江大学230107199105******女李* *10212黑龙江大学230422198501******男董* *10212黑龙江大学330324199211******男潘*10212黑龙江大学232700199206******男吴* *10212黑龙江大学231024199311******女刘* *10212黑龙江大学230302199203******女李*10212黑龙江大学230125199006******女王* *10212黑龙江大学360428199211******男汪*10212黑龙江大学230103199206******男傅*10212黑龙江大学230105199004******男朱*10212黑龙江大学230104199110******女张*10212黑龙江大学230521199105******女孙* *10212黑龙江大学231102198606******男张*10212黑龙江大学230123199107******男贾*10212黑龙江大学612423199003******男杨*10212黑龙江大学230381199104******女赫*10212黑龙江大学230125199009******女孙* *10212黑龙江大学230225198903******男刘*10212黑龙江大学230128199107******女刘* *10212黑龙江大学230103199104******女崔* *10212黑龙江大学230722199207******女贾*10212黑龙江大学232301199112******女王*10212黑龙江大学230811199208******女袁* *10212黑龙江大学140224199005******女段* *10212黑龙江大学230108199205******女曲* *10212黑龙江大学232303199203******女刘* *10212黑龙江大学230231199211******女丁* *10212黑龙江大学230902199111******女冯*10212黑龙江大学230103199201******女井* *10212黑龙江大学230422199204******女王* *10212黑龙江大学230502199104******女戚* *10212黑龙江大学230204199106******女姜*10212黑龙江大学230603199205******女崔*10212黑龙江大学230106199109******女杨*10212黑龙江大学232321198904******男李*10212黑龙江大学230125197705******女刘* *10212黑龙江大学230106199002******女王* *10212黑龙江大学230106199004******女邢*10212黑龙江大学231005199106******女耿* *10212黑龙江大学232103199008******男逄* *10212黑龙江大学232321199102******女姜* *10212黑龙江大学230103199106******男谌* *10212黑龙江大学230106199107******女马* *10212黑龙江大学232326199109******女王*10212黑龙江大学410182199008******女郭* *10212黑龙江大学130125199205******女范*10212黑龙江大学230231199305******女孙* *10212黑龙江大学230202199208******女沙*10212黑龙江大学410502199105******女谢*10212黑龙江大学230403199112******女孙* *10212黑龙江大学232127199010******男伍* *10212黑龙江大学140303199009******女刘*10212黑龙江大学230604198806******女刘* *10212黑龙江大学231081198410******男王*10212黑龙江大学230104199104******男徐* *10212黑龙江大学231024198208******女冯*10212黑龙江大学231181198905******男杨* *10212黑龙江大学230182199003******女姜*10212黑龙江大学230103197810******女史* *10212黑龙江大学230105197809******男吴* *10212黑龙江大学230881199111******女丁*10212黑龙江大学230103199204******男史* *10212黑龙江大学371326199012******女韩* *10212黑龙江大学210882199112******女李* *10212黑龙江大学230129199108******女陈* *10212黑龙江大学430581199104******男达* *10212黑龙江大学230624199201******男张* *10212黑龙江大学230125199006******女季* *10212黑龙江大学230604199211******女朱*10212黑龙江大学230406198812******男李*10212黑龙江大学140411199007******女李*10212黑龙江大学230223199007******男邵* *10212黑龙江大学230811199204******女谢* *10212黑龙江大学230184198905******女孙*10212黑龙江大学231083198802******女陈*10212黑龙江大学230803199203******女吴* *10212黑龙江大学210113199101******女朱* *10212黑龙江大学230107199012******女刘*10212黑龙江大学210381199112******男曾* *10212黑龙江大学411521199202******男李* *10212黑龙江大学410523199108******女闫* *10212黑龙江大学230204199112******女刘* *10212黑龙江大学141121199108******女张*10212黑龙江大学230125199008******男张*10212黑龙江大学230102199106******女马* *10212黑龙江大学230204199011******女齐* *10212黑龙江大学372929199004******女邢* *10212黑龙江大学。
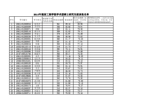
序号考生编号考生姓名拟录取专业代码及名称初试总成绩复试成绩综合总成绩(按该成绩、学位类别、专业排序)特殊情况说明(上线考生但不满足学校总体要求、专项计划、享受初试加分或照顾政策的拟录取考1106114012080016徐英杰36489.1080.95 2106114012080009李有均35688.6879.94 3106114012080071胡佩38382.4179.50 4106114012080146邵万兴38981.0279.41 5106114012080083李家宁37981.9778.89 6106114012080236朱文勇35686.0678.63 7106114012080001陈昌燕36084.4778.23 8106114012080087李静35784.4877.94 9106114012080046杜楠35384.2577.42 10105324501103445陈冠豪34984.7577.27 11106114012080116刘亚丽39275.4176.91 12106114012080096李晓娣35482.5776.69 13104874000131706杨振兴36580.1776.58 14106114012080201余杰39374.4676.53 15100064210500648边红秀33585.2276.11 16100564000101631杨险峰34583.2176.10 17106114012080185徐航33185.7575.97 18106114012080120刘周勇35281.4275.91 19106114012080085李杰34083.6775.83 20106114012080200尹振智32386.8575.73 21106114012080056葛丰增34981.4675.63 22104874000139606朱帅33384.5775.58 23106114012080112刘松36278.7675.58 24104874000102078武小栋34781.6075.50 25106114012080093李仁杰33084.9075.45 26106114012080173文格36876.9475.27 27106114012080237朱雪茹34082.3775.18 28106114012080024周建文35978.5375.17 29100064210505714潘必韬35279.9275.162014年通信工程学院学术型硕士研究生拟录取名单30106114012080101梁海来33782.3474.87 31106114012080137彭冲32983.6974.74 32106994132173748王文33183.0374.61 33106114012080163汪慧32085.0374.51 34101414137106057刘晓颖33282.4974.45 35104874000130983吴烨35478.0074.40 36106114012080044丁中霞34379.2673.93 37106114012080194杨金玲33780.2773.84 38101454000000465何姗姗34179.1973.70 39830104002000015王浩35276.8773.63 40106114012080189许亮34677.4573.32 41106114012080149沈甲甲36274.0573.23 42106114012080117刘燕35076.2573.12序号考生编号考生姓名拟录取专业代码及名称初试总成绩复试成绩综合总成绩(按该成绩、学位类别、专业排序)特殊情况说明(上线考生但不满足学校总体要求、专项计划、享受初试加分或照顾政策的拟录取考1103844211340087薛文良35568.5169.76 2106994161122059陈小丽33372.1069.35 3106114012080088李坤32772.7269.06 4106114012080121刘紫娟35666.6368.91 5100064210501418陈朋33369.7668.18 6106114012080132马璇33070.2768.14 7106114012080050符利秀35863.3567.47 8106114011080193刘佳朋32370.2367.42 9106114012080109刘静31871.0267.31 10106114012080145邵建生33168.0367.12 11106114012080235朱玲37060.1867.09 12106114012080220张志雄33066.1666.08 13100564012812412汪冬冬34960.4465.122014年通信工程学院学术型硕士研究生递补名单序号考生编号考生姓名拟录取专业代码及名称初试总成绩复试成绩综合总成绩(按该成绩、学位类别、专业排序)特殊情况说明(上线考生但不满足学校总体要求、专项计划、享受初试加分或照顾政策的拟录取考1106114012080218张雅俐35381.4076.00 2830104003000010洪观35078.8474.42 3106114512080244刘宇翔34080.2174.10 4102484121417428石婷31784.1973.80 5106114012080141乔自士33878.4573.03 6101414121082465李阳33379.1272.86 7106114512080251冉建34576.4472.72 8101414121082484王洪良33578.0372.52 9102484121411531刘倩倩32280.5272.46 10106114012080038程婉琪32479.9072.35 11106114012080186徐礼培35573.5872.29 12106114012080182谢云燕33078.2572.13 13102804210000209冉静思33577.0772.03 14106114012080081李帆34075.9371.97 15106114012080077金礼34874.3171.96 16106114012080111刘雷燕36969.9671.88 17106114012080238宗京京35971.8271.81 18107014150066168张文哲32078.7571.37 19106114012080154孙晨33076.7471.37 20106114012080057顾兆凯34274.2771.34 21104874000101568刘霞32976.7071.25 22104874000138323刘俊杰32776.7471.07 23106114011080029陈艳龙32976.1370.96 24106114012080026蔡莹卓36069.6870.84 25106114012080124吕文天32876.0370.81 26106114012080106刘飞33973.5370.66 27105584350100749杨柏桐34272.7770.592014年通信工程学院专业型硕士研究生拟录取名单28106114012080012林焕32077.1270.5629106114012080020殷艳红32076.8070.4030106114012080041崔悦琪32675.3370.2731106114012080178吴跃34671.0970.1532102864500112965吕启迪34870.6770.1433106114012080190许洛31676.5869.8934103844211340011曾彩兰33373.0669.8335102484121417512李程35069.2969.6536106114012080048冯从俊33472.4069.6037106114512080245谢远举33471.9669.3838105614000004619李世平31973.7768.7839106114012080123吕皖33470.1668.48序号考生编号考生姓名拟录取专业代码及名称初试总成绩复试成绩综合总成绩(按该成绩、学位类别、专业排序)特殊情况说明(上线考生但不满足学校总体要求、专项计划、享受初试加分或照顾政策的拟录取考1101834150200762侯天娇32270.6267.512106114512080250李胜力32070.3667.183106114012080058桂小刚31970.4967.15序号考生编号考生姓名拟录取专业代码及名称初试总成绩复试成绩综合总成绩(按该成绩、学位类别、专业排序)特殊情况说明(上线考生但不满足学校总体要求、专项计划、享受初试加分或照顾政策的拟录取考1106114012080028曹龙39774.6377.022106114012080095李韬37776.0375.723106114012080035陈堂平35874.4673.032014年通信工程学院专业型硕士研究生递补名单2014年通信工程学院学术型硕士研究生(强军)拟录取名单。
2014年西安工业大学硕士研究生拟录取名单考生编号考生姓名录取专业代码是否拟录取107024161050012李媛媛020204是107024161050009范天腾020204是100364940926587郑亚楠020204是102844210207633宋文达020204是105334431508779王静雯020204是106984611102864张霞020204是107024161050015李盼020205是105744000000391刘峰020207是107024161050042赫英瑛030501是107024161050023李煜030501是107024161050034阮乐乐030501是107024161050027侯博文030501是107024161050040潘琳030501是107024161050166胡森030501是101124000004908武颖030501是101254000001811李平030501是104864118019501魏卫鸽030501是107304021811793李慧娟030501是107024141113009张哲豪030502是107024161050079李容030503是107024161050083赵钦羿030503是107024161050065白鹏飞030503是107024161050075李婧如030503是107024161050086张晓彤030503是100044111041312郭薇030503是103514210100039陈焕030503是106984130405024郝百慧030503是107104161331521邱越030503是107024161050129赵静030505是107024161050119谭维娜030505是107024161050114左云030505是107024161050121张萍030505是107024161050101李建双030505是107024161050098沈奇030505是107024161050126王骞030505是107024161050102刘润晴030505是107024161050094张荷030505是107024161050125孙晟文030505是101514005702964曹鑫030505是102484121410715冯雅丽030505是102804210009029冯伟030505是102854210100133郭阳丽030505是104234041168339王冠平030505是104764018010040司洁溦030505是105114101440295耿欣030505是105114103440811苏江涛030505是106974161161843王龙姣030505是106984611101700朱维维030505是107104114062612张亚庆030505是107104161415500丁利利030505是107184612200494冯粉粉030505是107024161050131杨永涛030506是107024161050142郭婷030506是107024161050136史启尧030506是107024161050145孟星宇030506是107024161050133杜海洋030506是107024161050180田玉玲050211是107024161050174赵炜050211是107024161050171张喆050211是107024161050169雷雅洁050211是107024161050177赵夏阳050211是107024161050165果冠累050211是107024161050156吴迪050211是107024161050167徐丽050211是107024161050149胡媛050211是107024161050173董喜春050211是107024141163014金灿050211是107024141163013周莹莹050211是107024161050158宁会勤050211是100224613902713刘琳瑜050211是102734211700395王园园050211是102734211700406方佳佳050211是102854211005195张雪梅050211是102854211005411秦征敏050211是102874211201795王继超050211是104974400338321赵卓星050211是105114110432326李婧050211是105114110445462李玮050211是105244000000146任聪敏050211是105334410214346古平050211是106974161161589吴丽婷050211是106974161437219靳霜050211是106974214117690陶娜050211是106974261162964文辛050211是106974261162985董慧050211是106974261163004陈小娇050211是106974261163008杨莎莎050211是106974261163020杨盼盼050211是106974261163024张梦芸050211是106974261163035强耿050211是106984611107017徐策050211是107244161250474童慧婷050211是107244161250564高娟050211是106974213177654柳俊050211是111174*********宋建玲050211是106974261163017屈江丽050211是107244161250616张梦娇050211是107244161250654贾拉小050211是107184210908681付玲晓070205是107024161050200王瑞娜070207是107024161050196范卉070207是107024161050198党晨070207是107024161050197高飞070207是107024161050189兰青070207是107024161050220齐智080201是107024161050201刘永飞080201是106134080200652贾川080201是106984410603131刘玄080201是106994141054591刘新户080201是106994161120817陈蝴蝶080201是106994161120847张玉婷080201是106994161121882白国栋080201是107014141035233李艳豪080201是107014161130198付江浩080201是107104137023632迟茗文080201是107104161330411梁聚盛080201是112764085207279刘梦军080201是832334107020011张涛080201是107024161413020靳艳婷080202是102174000070357苏晓文080202是106994161121447高博080202是106994161121843陈超080202是106994161121850裴翠萍080202是106994161121865兰世宇080202是107104161330398贺倩倩080202是114134*********栗祥080202是107024161050253陈红080203是107024161050248王帅080203是106994161121830燕紫薇080203是107024161050259张侨080204是107104114042585段亚斌080204是107024161050298苟辉080300是107024161050303贺腾080300是107024161050305张梦娇080300是107024161050290张英鸽080300是107024161050308吕宁080300是107024161050312王宇辉080300是107024161050278燕兴080300是107024161050287费海明080300是100074000005468周梦华080300是100074000005470许黄蓉080300是100074000005489石冰080300是100074000005504赵昊天080300是101864100201320彭东东080300是102844211515666陈佳080300是106984611101904张易080300是107024161050327李炜龙080401是100074000005413贾京京080401是106144080902909苏慧祥080401是107024141173023范航080402是106994161120675杨高兴080402是107014141175526张文培080402是107024161050341王晓博080502是107024161050345唐浩080502是107024161050342张显林080502是106134080500203何益可080502是106984231803471法阳080502是106994135123920郭芬080502是106994161121113高谦080502是107104161331005赵绒娜080502是107104161415475王攀峰080502是107024161050356邵华080503是107024161050361高小雅080503是104594411450021周立果080503是106994161121073王金炜080503是106994161121104雷书宾080503是106994161121140王伟080503是106994161121145何爱国080503是106994161121211成虎080503是107024161050381王东081001是107024161050388王立081001是107024161050366彭恺081001是107024161050387杨尚君081001是107024161050382熊苗苗081001是107024161050369乔柯081001是107024161050393任松081001是101864100400314黄玉081001是102174000080276陈祥杰081001是102944211303329胡国庆081001是103574210004700李爽081001是106984611100941谢梦涛081001是106994161120240耿原田081001是106994161122376张甜081001是107004061360900范菲081001是107014162076447王晋芳081001是116644061070336赵浩081001是107024161050399王军081101是107024161050402邢迪081101是107024161050406胡莉081101是107024161050427潘登081101是107024161050426李洁081101是107024161050424刘哲081101是107024161050398李雪艳081101是107024161050400牛秀娟081101是107024161050428程耀081101是107024161050409裴雨薇081101是102954211905312孟腾腾081101是107014161130333韩锦波081101是107014161130378梁宇081101是107014161130414王宾081101是107104161330488陈璐明081101是107314620800462付娟081101是107024161050437吕军锋081102是101834150508374景航081102是103354000914090许路081102是106984611101908韩鹏081102是106994114133234宁帅彬081102是107004061360569尹小亮081102是107004061360741邵亚强081102是107024161050460赵丹081201是107024161050457李超081201是107024114043037张强081201是107024161050464何鑫081202是107024161050461李尔东081202是104974400336438张博伦081202是106994161120083冯雪徭081202是107024161050184王鹏博081203是107024161050470行程081203是107024161050474蒋光毅081203是106144081205599韩康081203是106994121073374裴婷081203是107014161130109陈伟081203是107024161050478胡博081401是107024161050481吴波081401是104914103213252王广兵081401是105364410402390韩进军081401是107034137023925穆召龙081401是107104115022810孟令冬081401是107104141044142王玉刚081401是114134411402412李阳081401是107024161050506权百良081402是107024137023039张议方081402是107024137093038刘佳081402是100044141147751杨茗超081402是101534210020930张迪081402是104594411550115郭梦莉081402是104974211332654任强081402是106984611102945沈宾081402是107034137043984邵泳翔081402是107034161340416韩知霖081402是107034161341039韩啸081402是107104141044138陈鸽081402是107104141074433魏涛081402是107304021803052王艳杰081402是110784081402121杨若庸081402是114134130500983毕玉玲081402是107034161340874郝梦琪081403是107104161330837汪文博081403是107104161330147左雪艳081405是107104132173139厉广广081406是107104150145294李渭阳081406是107024161050514韩茹冰082601是106994141314992孙萍萍082601是106994161120626张培亮082601是831124161050001刘容容082601是106994161120654薛晋强082602是100074000009342杨亚楠083500是107014161130101苏金083500是107024161050530苏中华085201是107024161050537吴永超085201是107024161050529代宗085201是100054120401672刘晨帆085201是100084210002483朱康085201是101454000002300孔德智085201是102804210010483朱秋林085201是102884500007826朱新锋085201是102944211203320郑中鹏085201是102994210100524陈凯085201是104254540001228靳金髋085201是104864214024031郭笑鸽085201是104914202211864李清085201是104974222334086曾少华085201是105044210730067肖福才085201是105324370309491赵传超085201是105904567807223黄亚永085201是106994161122282马轮轮085201是106994261122292黄亮085201是106994261122303康凯085201是107014161130271颜菁菁085201是107104161331843冯欢085201是107104161331878徐雷085201是107024161050546李娜085202是107024161050545计玮085202是107024161050548杜仲叶085202是107024161050550宣丁聪085203是103374210001982葛成海085204是106994161121056郭松松085204是106994242295125万银085204是107024161050561陈亮085208是107024161050554陈杏085208是107024115323057白福085208是102884100000773谢雪芳085208是103574210004476朱满意085208是104914202211857胡杰085208是105324340103175王磊085208是106134085201784梁鹏超085208是106144080903822张衡伏085208是106174010030289张春晓085208是106994161122400张新科085208是106994261120996廉嘉伟085208是106994261121014王鹏宇085208是107014161132407李代娣085208是107024162093063王翔武085210是107024141013058杨云龙085210是101514000600138马威085210是102874210300765周凯085210是102884500003614张志龙085210是102954211904743满振国085210是102994210701736盛磊085210是103384322300193夏兴085210是103384322300194康标085210是104974400339953陈兴085210是106994261121336杨震霄085210是107004061361610王东磊085210是107004061361615薛广辰085210是107004061361645王义菊085210是107014161130299王中华085210是107014161130417王常明085210是107044061180675刘超飞085210是112764085207013吕丰085210是107024161050576宋阳085211是102934210402260崔广立085211是102854211808348陈国栋085212是102884500008216史天意085212是107024161413071贺峰085213是107024141153073李世方085213是107024141153070王鹏085213是102904210304308薛翔文085213是102914211002333郭晓冬085213是102914211003354吴文085213是102914211003643刘文虎085213是102914211004237李明亮085213是103864210051793汤元吉085213是103864210051896朱金085213是103864210051923樊军085213是104304000001022尹文静085213是104594411600035杜雨露085213是104754081402007窦艳宁085213是104914103211598闫龙085213是105334360106828李宁085213是105334411511735朱康085213是105364430602274胡高兴085213是105364431602322刘云春085213是106114003080400孙飞085213是106114516080481郭哲奇085213是106134081400610张益理085213是106994241044558殷明085213是107034136023829邹卫雄085213是107034137064016陈丽娟085213是107034141044240王志超085213是107034141234672张丹阳085213是107034161340449李丹085213是107034161340505吕丹丹085213是107034161340982杨凯085213是107034161340994刘海085213是107034161415232全佳琪085213是107034163015440李邵娟085213是107104141034129段喜璐085213是107104141174616李鹏085213是107104161330004房海勃085213是107104161330021张智朋085213是107104161331948梁海洋085213是107104161331965袁琳琳085213是107024161050600李成龙085236是107024161050604程雨085236是107014161130607李国华085236是107034161340987闵雪妮085236是107104141034110黄威085236是107024112043083陈金鑫085240是106994261122151张多加085240是107024161050648席朋丹120201是107024161050155刘硕120201是107024161050634曹乐宇120201是104594410150093陈秋俊120201是107004041172491李锦星120201是102004123001083霍维亚120202是107104161331603翟林楠120202是107024561057023王星辰125100是107024561057063路瑞125100是104864105003776杨凛125100是105114525434133蔡冬丹125100是105124210461957吴雪125100是105204115504635蒋志波125100是105204115504751王世欣125100是105204115504762赵景秀125100是105204115504811王明125100是105204115504815王英锴125100是105204115504823张灵艳125100是105204115504825孔秋艳125100是105244000001328史良霖125100是105244000001556殷延志125100是106994561127212舒心125100是106994561127229宋思辰125100是106994561127732刘振125100是106994561128074张治发125100是106994561128429赖波125100是107124561154024冯晶125100是107124561154030唐泽兵125100是107124561154172廖翔125100是107124561154263张晓宁125100是100564000102728杨丽中0802Z1是。
四川大学社会发展与西部开发研究院2014年硕士研究生录取名单根据《四川大学研究生复试录取工作实施办法》及《关于2014年全日制研究生复试录取有关工作的通知》,经对初试和复试成绩的综合认定,社会发展与西部开发研究院2014年人口学硕士研究生拟录取工作已基本结束,拟录名单如下:考生姓名拟录取专业总成绩初试成绩复试成绩备注宫灏人口学72.79381138.75少民骨干张舒媛人口学69.91326149.25罗超杰人口学69.81365133.25黄鲁人口学74.18371148.33王少林人口学74.66351158.25廖敏人口学69.70348139.60郭昱池人口学74.61363153.25尹思云人口学73.00350152.00魏铭人口学71.00338148.80王姗人口学73.08360148.30所有拟录取考生(本校应届生除外)请凭准考证、身份证(或学生证)到四川大学望江校区经管楼705领取政审表与调档函。
具体安排如下:1、领取时间4月10日,上午9:30—11:30,下午2:30—5:00。
2、领取地点:经管楼705;3、特别提示:(1)委托他人代领的,必须有委托人亲笔所写的书面委托书、身份证与准考证复印件、代领人的身份证原件。
(2)定向的考生只需领取政审表,不用领取调档函。
(3)政审表和档案的寄(送)回地址为:四川省成都市望江路29号四川大学经管楼705邮编:610064。
(4)按学校规定,在考生政审合格后,才能发放录取通知书。
因此,所有考生的政审表请在5月20日之前寄(送)回,否则不予发放录取通知书。
人事档案,往届生需在5月20日前寄(送)回,予以审查。
而应届生则在毕业时待档案齐全后由本科所在学校直接寄到我院。
(5)奖助金的评定,预计5月底方能最终确定,具体见录取通知书。
四川大学社会发展与西部开发研究院文章来源:四川大学考研网(),更多川大考研相关信息和资料请关注文彦考研论坛。