中国教育经费年鉴2015全国各地区高等职业院校:中国2014年公共财政预算教育事业费支出地方普通高中
- 格式:xlsx
- 大小:14.48 KB
- 文档页数:4
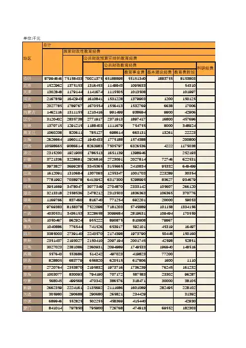
单位:千元教育事业费基本建设经费教育费附加合计879948467515843370021375651888985515134018837558153803北京1522962137515313164531149943109563354310天津13028481179144114167411155051013508101997河北216785916429431610841153122813799031200150125山西20277851789767167055415564131532769663817006内蒙古146211613111551210416991499938694990042906辽宁3120402283573827719172371913189741716800457696吉林13707151291215118840311116797547558000348924黑龙江10602088206117851276986146631311326122223上海26266641960112194043317751881574388200800江苏10598665908661482639837505797632653642221175038浙江23152001921900178651316511391398946252193安徽3721336322868129268162723091202781472746622531福建3973827369928533453653155665241083495332649499江西1612091131068413070931255347100170322328930354山东7781992703897864139526317300529899583627934679河南39516693478047307734927048702333142105607266120湖北32133182558536247821223135031836363106365370776湖南11697668374608167407712546922012000059053广东976938381583787522098718120357458891011581334156广西40305313436153322865830996842819631109494170559海南105046796292495522289087581090879967重庆10408867765447415266539175921014531916497四川3385003273914022435702174398197379050448150160贵州235143721930272150410209719420017454259852851云南30270232381086236093120949891749533196940148516西藏55764355368651424249702341982377200陕西82880568377965682062051561780616001110甘肃2720764235387021958321973716173623976245161232青海10030778300937941907071725875832330296287宁夏5680454995684703423865763184713000038105新疆26623592224161213569221116861601089282495228102大连30598029068829068026582123442931392宁波68994655282550225545836941544042930厦门84101479785079590072676847491369552182303总计国家财政性教育经费公共财政预算安排的教育经费公共财政教育经费科研经费地区青岛26128024104519469517260915791914690深圳47102338788838240735973723771710800111219483247848732492886296102105914545616651156766335002616921327592016144796133189231892299311414110718640741662621891746470105512491653665400004432752949213901254676724102812418978651335333644165245107407581877945466113961286272400013537413538839855632620372530166512216015889518970134015828954024851517463330373150096653587256451545624913724793995533051052337316470877605237305007472045485206951549550003408966305334662213108012897419578517661515306643466965696587609350179562246576917249416850084341070532163955821248265941183441721939443944336305269582221161555881091663542424508701734915297861069837662922680203681240066149251829600251912485984388550570254034586913219501250中国2014年教育经费收入情况统计(中等专业学校)其他地方教育附加政府性基金预算安排的教育经费企业办学中的企业拨款从土地出让收益中计提的教育资金220864635025836110872267154816摘编自《中国教育经费统计年鉴2015》118352220649104378193315018532101493880212027140060414008001427490152688548389391458408517885309161000200880046313761901231072611800377695680163111452296211520009677238825250574719238269321170926909237873720059202544140240872247030592052371811625131127936798911424258401293101786158794297民办学校中举办者投入捐赠收入校)校办产业和社会服务收入用于教育的经费其他属于国家财政性教育经费919258560532083318801123982734642367889841838953200943023434330778941179516701895710212704781215225142525561978633168156631533202237920534116219326888310931236765354163114238268985832086817776473791214536413351316150700421918184459770605249303208987503045708693526191648352919682220711585774532733031291894432860481992114600912585658239243062684378292379831272616599149515213481918111290786906751459328939687927118211561353811035878726241928639477222031859746478279475632719892316498204594450422946685252678298262478176590109866245728119246496336822478288511464416867646322000事业收入其他教育经费学费16632120053603 130201002570115。
教育部、国家统计局、财政部关于2006年全国教育经费执行情况统计公告文章属性•【制定机关】教育部,财政部,国家统计局•【公布日期】2007.12.28•【文号】教财[2007]25号•【施行日期】2007.12.28•【效力等级】部门规范性文件•【时效性】现行有效•【主题分类】教育其他规定,统计正文教育部、国家统计局、财政部关于2006年全国教育经费执行情况统计公告(教财[2007]25号)一、全国教育经费情况2006年,全国教育经费为9815.31亿元,比上年的8418.84亿元增长16.59%。
其中,国家财政性教育经费(包括各级财政对教育的拨款、教育费附加、企业办学中的企业拨款以及校办产业减免税等项)为6348.36亿元,比上年的5161.08亿元增长23.00%。
二、落实《教育法》规定的"三个增长"情况1.中央和地方各级政府预算内教育拨款(不包括城市教育费附加)为5795.61亿元,比上年的4665.69亿元增长24.22%。
其中,中央财政教育支出538.33亿元,比增长53.88 %,高于中央本级财政经常性收入18%的增长幅度。
2.各级教育生均预算内教育事业费支出增长情况2006年全国普通小学、普通初中、普通高中、职业中学、普通高等学校生均预算内教育事业费支出情况是:(1)全国普通小学生均预算内事业费支出为1633.51元,比上年的1327.24元增长23.08%。
其中,农村普通小学生均预算内事业费支出为1505.51元,比上年的1204.88元增长24.95%。
普通小学生均预算内事业费支出增长最快的是重庆市(42.54%)。
(2)全国普通初中生均预算内事业费支出为1896.56元,比上年的1498.25元增长26.59%。
其中,农村普通初中生均预算内事业费支出为1717.22元,比上年的1314.64元增长30.62%。
普通初中生均预算内事业费支出增长最快的是四川省(48.32%)。
职业教育经费投入及其国际比较作者:韩永强来源:《职业技术教育》2014年第28期摘要 2005~2011年的数据表明,我国职业教育经费投入总量仍然不足,投入结构不尽合理,投入水平低于普通教育。
同时,我国职业教育投入占GDP的比重、生均经费、国家财政性教育经费投入占比等都远低于OECD国家的平均水平。
基于此,未来应进一步加大职业教育经费投入力度、优化投入结构、完善投入机制、缩小与普通教育经费投入的差距,以此为职业教育的健康发展提供良好的物质基础。
关键词职业教育;经费投入;规模;结构;国际比较中图分类号 G719.21 文献标识码 A 文章编号 1008-3219(2014)28-0048-07职业教育经费投入是指一个时期内投入职业教育领域的全部经费总额。
职业教育经费投入是职业教育事业发展的物质基础,也是衡量一个国家职业教育重要性及其发展水平的基本指标。
职业教育经费投入不仅关系到一个国家职业教育在教育结构中的地位和发展质量,从长远看,它对一个国家的产业发展以及整个经济社会发展都会产生深远影响。
一般而言,衡量一个国家职业教育的投入水平,至少要厘清三个关键维度,即规模、结构和发展。
规模维度主要考察一定时期内职业教育经费投入的总量、占国内生产总值的比重以及生均经费水平。
结构维度主要考察一定时期内职业教育经费投入的构成及经费在各领域、各地区的分配状况。
发展维度主要考察一定时期内职业教育经费投入的相对水平。
围绕国家经济社会的发展需要,解决好职业教育经费投入规模、结构与发展间的关系,对于促进职业教育健康发展和加快建设现代职业教育体系都具有十分重要的意义。
近年来,我国相继出台了《国务院关于大力推进职业教育改革与发展的决定》(2002)、《国务院关于大力发展职业教育的决定》(2005)以及全面建设现代职业教育体系等一系列旨在促进职业教育发展的政策措施,为加大职业教育经费投入提供了政策保障。
基于此,本研究旨在通过考察2005~2011年我国职业教育经费投入及其变化趋势①,揭示一系列职业教育利好政策实施以来我国职业教育经费投入方面所取得的成绩和存在的问题。
目录1 中国教育的现状∙∙∙∙∙∙∙∙∙∙∙∙∙∙∙∙∙∙∙∙∙∙∙∙∙∙11.1 义务教育的普及率现状∙∙∙∙∙∙∙∙∙∙∙∙∙∙∙∙∙∙∙∙11.2 教育质量的现状∙∙∙∙∙∙∙∙∙∙∙∙∙∙∙∙∙∙∙∙∙∙∙11.3 教育经费的现状∙∙∙∙∙∙∙∙∙∙∙∙∙∙∙∙∙∙∙∙∙∙∙21.4 师资力量的现状∙∙∙∙∙∙∙∙∙∙∙∙∙∙∙∙∙∙∙∙∙∙∙21.5 硬件设施的现状(以校舍为例)∙∙∙∙∙∙∙∙∙∙∙∙∙∙∙∙2 2中国教育不平等的表现∙∙∙∙∙∙∙∙∙∙∙∙∙∙∙∙∙∙∙∙∙∙∙32.1不同社会阶层教育机会不平等∙∙∙∙∙∙∙∙∙∙∙∙∙∙∙∙∙32.1.1 工作性质不同导致的教育不平等∙∙∙∙∙∙∙∙∙∙∙∙∙32.1.2 家庭收入不同导致的教育不平等∙∙∙∙∙∙∙∙∙∙∙∙∙32.2 不同地区之间教育机会的不平等∙∙∙∙∙∙∙∙∙∙∙∙∙∙∙∙42.3 不同性别教育机会的不平等∙∙∙∙∙∙∙∙∙∙∙∙∙∙∙∙∙∙52.4 教育资源分配的不平等现象∙∙∙∙∙∙∙∙∙∙∙∙∙∙∙∙∙∙52.5 高等学校招生录取制度中的教育机会不平等现象∙∙∙∙∙∙∙∙∙62.6 教育乱收费导致的教育机会不平等现象∙∙∙∙∙∙∙∙∙∙∙∙∙73 中国教育不平等的特点∙∙∙∙∙∙∙∙∙∙∙∙∙∙∙∙∙∙∙∙∙∙∙83.1 层次性∙∙∙∙∙∙∙∙∙∙∙∙∙∙∙∙∙∙∙∙∙∙∙∙∙∙∙83.2 综合性∙∙∙∙∙∙∙∙∙∙∙∙∙∙∙∙∙∙∙∙∙∙∙∙∙∙∙83.3 延续性或累积性∙∙∙∙∙∙∙∙∙∙∙∙∙∙∙∙∙∙∙∙∙∙∙8 4影响中国教育不平等的原因∙∙∙∙∙∙∙∙∙∙∙∙∙∙∙∙∙∙∙∙∙94.1 外部因素∙∙∙∙∙∙∙∙∙∙∙∙∙∙∙∙∙∙∙∙∙∙∙∙∙∙94.2 内部因素∙∙∙∙∙∙∙∙∙∙∙∙∙∙∙∙∙∙∙∙∙∙∙∙∙∙9 5中国教育的改革途径∙∙∙∙∙∙∙∙∙∙∙∙∙∙∙∙∙∙∙∙∙∙∙∙105.1 加大对教育的投入∙∙∙∙∙∙∙∙∙∙∙∙∙∙∙∙∙∙∙∙∙105.2 对我国落后地区采取适当的倾斜政策∙∙∙∙∙∙∙∙∙∙∙∙∙105.3 发展高级人才市场∙∙∙∙∙∙∙∙∙∙∙∙∙∙∙∙∙∙∙∙∙11结论∙∙∙∙∙∙∙∙∙∙∙∙∙∙∙∙∙∙∙∙∙∙∙∙∙∙∙∙∙∙∙12摘要“百年大计,教育为本”。
教育部国家统计局财政部关于2010年全国教育经费执行情况统计公告教财[2011]14号一、全国教育经费情况2010年,全国教育经费为19561.85亿元,比上年的16502.71亿元增长18.54%。
其中,国家财政性教育经费(主要包括公共财政预算教育经费,各级政府征收用于教育的税费,企业办学中的企业拨款,校办产业和社会服务收入用于教育的经费等)为14670.07亿元,比上年的12231.09亿元增长19.94%。
二、落实《教育法》规定的“三个增长”情况1.中央和地方各级政府公共财政预算教育拨款(不包括教育费附加)为13489.56亿元,比上年的11419.30亿元增长18.13%。
其中,中央财政教育支出2547.34亿元,按同口径比较,比上年增长28.60%,高于中央财政经常性收入9.90%的增长幅度。
2.各级教育生均公共财政预算教育事业费支出增长情况。
2010年全国普通小学、普通初中、普通高中、中等职业学校、普通高等学校生均公共财政预算教育事业费支出情况是:(1)全国普通小学为4012.51元,比上年的3357.92元增长19.49%。
其中,农村普通小学为3802.91元,比上年的3178.08元增长19.66%。
普通小学增长最快的是海南省(43.34%)。
(2)全国普通初中为5213.91元,比上年的4331.62元增长20.37%。
其中,农村普通初中为4896.38元,比上年的4065.63元增长20.43%。
普通初中增长最快的是江苏省(42.04%)。
(3)全国普通高中为4509.54元,比上年的3757.60元增长20.01%,增长最快的是海南省(53.44%)。
(4)全国中等职业学校为4842.45元,比上年的4262.52元增长13.61%,增长最快的是青海省(54.02%)。
(5)全国普通高等学校为9589.73元,比上年的8542.30元增长12.26%,增长最快的是新疆维吾尔自治区(84.03%)。
中国地方一般公共预算教育支出的差异《国家中长期教育改革和发展规划纲要(2010-2021年)》明确提出,“国运兴衰,系于教育:教育振兴,全民有贵”,“强国必先强教。
优先发展教育、提高教育现代化水平,对实现全面建设小康社会奋斗目标、建设富强民主文明和谐的社会主义现代化国家具有決定性意义”。
教育投入是支持国家长远发展的基础性、战略性投资,是教育事业的物质基础,是公共财政保障的重点。
所以,必须始终坚持把教育摆在优先发展的位置,充分认识加大财政教育投入的重要性和紧迫性。
各级政府要优化财政支出结构,统筹各项收入,把教育作为财政支出重点领域予以优先保障,切实提高财政教育支出占公共财政支出比重。
《国家中长期教育改革和发展规划纲要(2010-2021年)》明确提出,到2012年实现国家财政性教育经费支出占国内生产总值比例达到4%的目标。
经过十年的努力,2021年教育投入基数的基本格局是:总投入超过5万亿元,接近6万亿元;财政性超过4万亿元,接近5万亿元;一般公共预算超过3万亿元,接近4万亿元;非财政性超过1万亿元。
郭鹏表示,基数大了,意味着保障教育事业发展的物质基础更厚实了。
全国教育经费总投入中,80%来自国家财政性教育经费。
政府投入是教育经费的第一大来源渠道。
国家财政性教育经费中,80%来自一般公共预算教育经费。
教育成为一般公共预算的第一大支出。
全国一般公共预算教育经费中,80%来自地方。
地方政府是教育支出的第一大主体。
十年来,以政府投入为主、多渠道筹集教育经费的体制得到了进一步巩固和完善。
引言从学前教育到职业教育,从城市到农村,从学生补助到教师培养,都包括在内在教育财政经费连年增长的情况下,生均经费水平同样实现了历史性跨越以2021年为例,全国按在校学生人数平均的一般公共预算教育支出,在幼儿园,每个小朋友的身后,国家财政平均投入9506元。
普通小学、普通初中、普通高中、中职学校、普通高等学校学生的身后,国家投入的资金从1万多块钱到2万多不等,比2011年明显增长依托预算支出织牢织密最大民生保障网此外,在国家账本中,还包括社保、养老等方面的支出,在国家的大力支持下,目前,我国已经搭建了最大的民生保障网。
19月(上)行政事业资产财务与高职院校实施预算绩效管理的路径探索陈丽(广州番禺职业技术学院广东广州)摘要:在国家治理现代化以及财政投入经费稳定增长的大背景下,高等职业院校如何在校内全面实施预算绩效管理,提升财政资金使用效益,实现财政资金有效利用,提高绩效水平变得尤为紧迫和必要。
本文从现阶段高职院校全面实施预算绩效管理环境出发,分析其困境,针对困境探索全面实施预算绩效管理的有效路径。
关键词:高职院校;预算绩效管理;探索一、现阶段高职院校实施预算绩效管理的外部环境分析1.全面实施预算绩效管理的政策环境随着我国财税体制改革逐步进入深水区,同时也使预算绩效管理的全面实施从法理基础到实施方案上有了可靠、可行的政策依据和环境。
2014年修订的《预算法》从国家法律层面首次提出预算应遵循绩效原则,各级预算应当遵循统筹兼顾、勤俭节约、量力而行、讲求绩效和收支平衡的原则,这是对传统预算观念的一次具有深远影响的重大变革。
党的十九大报告明确提出:建立全面规范透明、标准科学、约束有力的预算制度,全面实施绩效管理。
这阐明了绩效管理的基本要求,指出了绩效管理是新发展理念下财政预算管理的核心和关键,强调了必要性和紧迫性。
2018年11月8日,财政部于印发了关于贯彻落实《中共中央国务院关于全面实施预算绩效管理的意见》(财预〔2018〕167号)的通知,明确要求各地区各部门将全面实施预算绩效管理作为当前和今后一段时期财政预算工作的重点。
2.高职院校实施预算绩效管理的重要性目前,我国正处于产业转型升级的关键阶段,产业转型升级对于高素质技能型人才的迫切需求对高等职业教育提出了更高的要求。
近年来,我国对于高职院校的经费投入力度持续增长。
2015年全国一般公共预算支出决算中职业教育支出2296.31亿元,其中高等职业教育支出792.95亿元,占比34.53%;2016年全国一般公共预算支出决算中职业教育支出2489.39亿元,其中高等职业教育支出996.13亿元,占比40.02%;2017年全国一般公共预算支出决算中教育支出2655.89亿元,其中高等职业教育支出1131.57亿元,占比42.61%。
2015年政府收支分类科目一、单选题1、下列说法中错误的是()。
A、单位电脑网络和数据库网络的维护费支出列入“商品和服务支出”类下的“维修(护)费”科目B、单位外聘专家、教练、教师等支出通过“商品和服务支出”类下的“劳务费”科目反映C、单位外聘专家、教练、教师等支出在“商品和服务支出”类下的“劳务费”科目反映D、行政事业单位购买单位价值低于固定资产规定标准的电脑软件支出直接列入“商品和服务支出”类下的“其他商品和服务支出”科目【正确答案】C【答案解析】单位电脑网络和数据库网络的维护费支出列入“商品和服务支出”类下的“维修(护)费”科目。
网络租赁费支出列入“商品和服务支出”类下的“租赁费”科目。
单位外聘专家、教练、教师等支出通过“商品和服务支出”类下的“劳务费”科目反映。
执法部门协管人员经费等临时聘请人员劳务支出在“商品和服务支出”类下的“劳务费”科目反映。
行政事业单位购买单位价值低于固定资产规定标准的电脑软件支出直接列入“商品和服务支出”类下的“其他商品和服务支出”科目。
2、某科研所所属研究生院改建图书馆,由财政部门安排该项目预算350万元。
预算草案中,按政府支出功能分类,应列入()。
A、“205教育支出”B、“206科学技术支出”C、“对个人和家庭的补助”D、“科学技术”【正确答案】A【答案解析】按支出功能分类,应列入“205教育支出”类3、《2015年政府收支分类科目》对“30399其他对个人和家庭的补助支出”的说明进行了修订,在2014年说明的基础上增加了()。
A、住宿补贴B、伙食补贴C、医药补贴D、保障性住房租金补贴【正确答案】D【答案解析】“30399其他对个人和家庭的补助支出”原说明为“反映未包括在上述科目的对个人和家庭的补助支出,如婴幼儿补贴、职工探亲旅费、退职人员及随行家属路费、符合条件的退役回乡义务兵一次性建房补助、符合安置条件的城镇退役士兵自谋职业的一次性经济补助费、对农户的生产经营补贴等。
6当今世界,新一轮工业革命和产业变革迅猛开展,全球科技创新速度明显加快,并以前所未有的广度和深度改变着产业发展模式,各行各业向价值链高端迈进,对技术技能人才的要求不断提高,因此,提升新时代职业教育现代化水平和服务能力,成为促进我国经济社会持续发展和提高国家竞争力的紧迫任务。
2020年是《国家中长期教育改革和发展规划纲要(2010-2020年)》(以下简称《教育规划纲要》)的收官之年,是贯彻党的十九届五中全会精神、谋划“十四五”发展和2035远景目标的启动之年,还是中国职业教育进入提质培优的关键阶段。
为确保圆满收官,与“十四五”规划做好衔接,课题组全面梳理《教育规划纲要》中涉及职业教育的各项工作,总结十年间取得的主要成就、存在的问题,并面向“十四五”规划提出我国职业教育高质量发展的若干对策建议。
一、主要成就十年间,以习近平同志为核心的党中央始终把职业教育摆在教育改革创新与经济社会发展中更加突出的位置,推动职业教育高质量发展。
特别是党的十八大以来出台的《关于加快发展现代职业教育的决定》《现代职业教育体系建设规划(2014-2020年)》《关于深化产教融合的若干意见》《国家职业教育改革实施方案》等一系列政策文件,有力推动了职业教育快速发展。
(一)培养数以亿计毕业生,为建设人力资源强国作出贡献作者简介孙诚(1961- ),女,中国教育科学研究院职业与继续教育研究所所长,博士,研究员,研究方向:职业教育,人力资源开发与终身教育(北京,100088);聂伟,中国教育科学研究院职业与继续教育研究所通讯作者宗诚(1982- ),女,中国教育科学研究院职业与继续教育研究所博士后,南京大学教育博士,研究方向:教育管理,教育信息化(北京,100088)基金项目中国教育科学研究院中央级公益性科研院所基本科研业务费专项资助“中等职业教育质量评价指标体系”(GYB2020009 ),主持人:孙诚我国职业教育发展的成就、问题与对策建议——《教育规划纲要》十年回顾与展望孙诚 宗诚 聂伟摘 要 职业教育是国民教育体系和人力资源开发的重要组成部分,肩负着培养多样化人才、传承技术技能、促进就业创业的重要职责。
2020.11A120实务园地高等职业教育经费财政分担机制现状及对策研究◎文/葛玉杰摘 要:高等职业(以下简称高职)教育财政投入经费逐年增加,为了解高职教育经费财政分担机制现状,通过对高职教育横向、纵向、各地区财政投入数据进行分析可以看出,相对于本科教育来说,高职教育生均财政投入存在明显不足,各地的财政投入在高职教育经费中的占比及高职教育生均财政投入也存在很大的不平衡性,财政分担机制需要进一步完善。
关键词:高等职业教育;教育经费;财政分担机制0 引言近年来,高职教育学生人数已占到普通高等教育的40%,经费投入不断增加,但相对于高职教育的办学规模和发展要求,财政经费投入仍存在明显不足和结构性问题。
1 高职教育财政投入现状分析通过对《中国教育经费统计年鉴》各年度数据进行分析可以看出。
1.1 财政性教育经费投入显著增加历年来,教育经费总投入和国家财政性教育经费投入逐步增加,教育经费总投入由1991年的731.50亿元增加到2018年的46143亿元,国家财政性教育经费投入由1991年的617.83亿元增加到2018年的36995.77亿元,通过分析图表走向可以看出,国家财政性教育经费和教育经费投入总额均呈明显的上升趋势(见图1)。
图1 1991~2018年教育经费投入分析1.2 高职教育与本科教育相比一般公共预算资金投入不足根据教育部发布的教育统计数据,2018年全国本科院校1245所,教职工180.10万人,在校生1649万人,高职(专科)院校1418所,教职工68.53万人,在校生1133.70万人,占普通高校在校学生数的40%,但《2019年教育经费统计年鉴》中显示2018年国家财政性教育经费中,本科学校经费为6039.17亿元,高职高专学校为1409.94亿元,40%的学生数仅占经费的18.93%,差距极大。
通过对已经发布的各年教育基金项目:山东省教育会计学会2020年立项课题“高等职业教育经费财政分担机制研究”(项目编号:sdjk2020196).Nov.2020121实务园地经费统计年鉴数据分析,2013-2018年普通高校及其中本科学校和高职高专学校生均一般公共预算资金支出(见图2)。
四项教学经费规定和专家解答四项教学经费会计制度规定1.本专科生业务费:本专科生进行实验实习、毕业设计所需的各种原材料、低值易耗品及加工、运杂费,生产实习费,毕业论文答辩费,资料讲义印刷费及学生讲义差价支出等。
2.教学差旅费:教师进行教学调查、资料搜集、教材编审调查等业务活动的市内交通费,差旅费。
3。
体育维持费:各种低值体育器械(包括各种球类、冰鞋、跑鞋、铁饼、标枪、铅球等器材)和运动服装的购置费、修理费,体育运动会费用,支付场地租金和参加校际以上运动会的教职工运动员的伙食补助费以及公共体育教研室的业务性报刊、杂志、资料等零星费用。
4。
教学仪器设备修理费:教学仪器设备的经常维护修理费。
四项教学经费要求:开支的活动事项属于日常教学所需,学生学习所需,增强学生能力所需,不含科研、学科建设开支;不包含教学的奖金、津贴、补贴、酬金、教师加班费、美术模特费等;不包含招待费,办公室电话费,设备费。
(计财处报销是以发票上所注明的用途或事由为准,请各二级学院及有关部门注意区分。
教学经费统计以实际报销入账为准,要及时报销.开支要遵守上级和学校的有关规定。
)四项教学经费专家解答(计财处2008年2月转载自教育部网站)2007—10—15 小王问: 请问:1、留学生的学费是否应计入学生应收数?2、计算生均指标时,留学生人数如何计算?钱仁根教授回答:留学生如属于普通本、专科生,计算四项经费时学费和人数均应考虑。
留学生人数计算可参考折合学生数的系数计算。
2007-10—15 莫芙蓉问:专家您好:请问学生体育训练器械及所属体工队的训练器械属教学设备吗?谢谢!钱仁根教授回答:如确实用于教学,可作为教学设备,如单价又在800元以上,其设备值可统计在教学科研仪器设备值中.2007-10—15 赵永旺问: 尊敬的专家你们好:在统计四项经费时,我校相关人员产生了异议,因为我校的教学楼、实验楼等用于教学的房屋请物业公司代管,对于教学楼、实验楼的物业管理费能否计入四项经费中的本专科业务费?钱仁根教授回答:物业管理费不能计入四项经费。
教育部、国家统计局、财政部关于2013年全国教育经费执行情况统计公告文章属性•【制定机关】教育部,国家统计局,财政部•【公布日期】2014.10.31•【文号】教财[2014]4号•【施行日期】2014.10.31•【效力等级】部门规范性文件•【时效性】现行有效•【主题分类】教育其他规定正文教育部、国家统计局、财政部关于2013年全国教育经费执行情况统计公告(教财[2014]4号)一、全国教育经费情况2013年,全国教育经费总投入为30364.72亿元,比上年的27695.97亿元增长9.64%。
其中,国家财政性教育经费(主要包括公共财政预算教育经费,各级政府征收用于教育的税费,企业办学中的企业拨款,校办产业和社会服务收入用于教育的经费等)为24488.22亿元,比上年的22236.23亿元增长10.13%。
二、落实《教育法》规定的“三个增长”情况1.全国公共财政教育支出(包括教育事业费,基建经费和教育费附加)为21405.67亿元,比上年的20314.17亿元增长5.37%。
其中,中央财政教育支出3883.92亿元,比上年增长2.7%。
2.各级教育生均公共财政预算教育事业费支出增长情况。
2013年全国普通小学、普通初中、普通高中、中等职业学校、普通高等学校生均公共财政预算教育事业费支出情况是:(1)全国普通小学为6901.77元,比上年的6128.99元增长12.61%。
其中,农村为6854.96元,比上年的6017.58元增长13.92%。
普通小学增长最快的是云南省(23.41%)。
(2)全国普通初中为9258.37元,比上年的8137.00元增长13.78%。
其中:农村为9195.77元,比上年的7906.61元增长16.3%。
普通初中增长最快的是广东省(22.76%)。
(3)全国普通高中为8448.14元,比上年的7775.94元增长8.64%。
增长最快的是甘肃省(24.5%)。
(4)全国中等职业学校为8784.64元,比上年的7563.95元增长16.14%。
2014年全国科技经费投入统计公报国家统计局科学技术部财政部2015年11月23日2014年,我国科技经费投入继续增长,国家财政科技支出及研究与试验发展(R&D)经费投入增加,研究与试验发展(R&D)经费投入强度提高。
一、研究与试验发展(R&D)经费支出情况2014年,全国共投入研究与试验发展(R&D)经费13015.6亿元,比上年增加1169.0亿元,增长9.9%;研究与试验发展(R&D)经费投入强度(与国内生产总值[1]之比)为2.05%,比上年提高0.04个百分点。
按研究与试验发展人员(全时工作量)计算的人均经费支出为35.1万元,比上年增加1.6万元。
分活动类型看,全国用于基础研究的经费支出为613.5亿元,比上年增长10.6%;应用研究经费支出1398.5亿元,增长10.2%;试验发展经费支出11003.6亿元,增长9.8%。
基础研究、应用研究和试验发展占研究与试验发展(R&D)经费总支出的比重分别为4.7%、10.8%和84.5%。
分活动主体看,各类企业经费支出为10060.6亿元,比上年增长10.9%;政府属研究机构经费支出1926.2亿元,增长8.1%;高等学校经费支出898.1亿元,增长4.8%。
企业、政府属研究机构、高等学校经费支出所占比重分别为77.3%、14.8%和6.9%。
分产业部门[2]看,研究与试验发展(R&D)经费投入超过500亿元的行业大类有7个,这7个行业的经费占全部规模以上工业企业研究与试验发展的比重为61.1%;研发经费在100亿元以上且投入强度(与主营业务收入之比)超过了规上工业平均水平的行业大类有10个(分行业情况详见附表1)。
分地区看,研究与试验发展(R&D)经费支出最多的6个省(市)为江苏(占12.7%)、广东(占12.3%)、山东(占10%)、北京(占9.7%)、浙江(占7%)和上海(占6.6%)。
单位:千元
助学金
合计1989240711392405421071638243207671877178385968353024177536北京6320983372554929844637410861289025954341553006天津4785984312997717084161421562325201656007364471河北78348495611159451063811005223397702223689747469山西5231378386330432682305950742457571368074726510内蒙古50885863367088286509750199139444017214981023972辽宁5139590360188028522407496401218971537710842606吉林325415923521141641958710156116307902046338957黑龙江49816383504267245776610465011529261477371691079上海456052431669612871777295184565781393564998175江苏14023617105452807953418259186316477034783371002545浙江92161947373255594594014273151695901842939935796安徽70669244760219365450511057143113292306706551394福建5591415451430935022151012094734271077106473263江西7188224363641726417559946622616443551807731139山东1452479710345312846684018784722752154179485688418河南101329215520343489662362372056461846125771880314湖北67181595161709378225513794552383001556449786677湖南65769674910292363763812726542639461666675532299广东184058381375856110923439283512325261046472762660090广西51635903728325251227412160513567451435264477773海南1908431102118587637714480786911887246458332重庆4910302302932125362954930253436351880981868851四川987611576166135405636221097785465722595031073934贵州56347954075910261440514615043244941558885571487云南4863701340438627581026462843816521459316729513西藏1070933662221355140307081145578408712126771陕西738468545087933358799114999442465428758921129102甘肃4243396317402023532258207952970171069376408856青海125126380280367133313147082027448460143931宁夏1375717954581796151158430132909421135128200新疆45983963414388236087610535122390241184009532605大连10201906499135716327828115007370277163966宁波15865601237935101112522681031905348625120960厦门6370845099883764151335736317127096113665青岛
2014835
1363302
995524
367778
29462
651532139918
中国2014年公共财政预算教育事业费支出明细统计(地方普通高中
地区
合计
个人部分
公用部分
工资福利支出
对个人和家庭的补助支出
商品和服务支出
深圳20182151546488125611629037210134471727438954
摘编自《中国教育经费统计年鉴2015》
通高中)
其他资本性支出
专项公用支出专项项目支出35505994719526028310734
1042429640957401471
12915361731341118402
14762202605681215652
641565121962519603
697527210127487400
695104137317557787
563089134331428758
786292187625598667
395389257200138189
24757922789682196824
907143179050728093
17553112833521471959
603844172933430910
28206683324842488184
34910672088073282260
27322635517832180480
769773182028587745
1134377374501759875
19871866490591338127
957492246651710841
428914100255328658
1012131196914815216
1185569273131912438
987398160460826937
729803148580581223
28194146551235390
17467902447931501997
660520100080560440
30452849456255073
29293576869216066
651403215335436068
20631152165154146
22766528264199401
1343071416289
51161437227474387
3277432643131。