常用求导积分公式及不定积分基本方法定稿版
- 格式:docx
- 大小:341.45 KB
- 文档页数:7
常用的求导积分公式及解法 1.基本求导公式⑴ 0)(='C (C 为常数)⑵ 1)(-='n n nx x ;一般地,1)(-='αααx x 。
特别地:1)(='x ,x x 2)(2=',21)1(x x-=',xx 21)(='。
⑶ x x e e =')(;一般地,)1,0( ln )(≠>='a a a a a x x 。
⑷ x x 1)(ln =';一般地,)1,0( ln 1)(log ≠>='a a ax x a 。
2.求导法则 ⑴ 四则运算法则设f (x ),g (x )均在点x 可导,则有:(Ⅰ))()())()((x g x f x g x f '±'='±; (Ⅱ))()()()())()((x g x f x g x f x g x f '+'=',特别)())((x f C x Cf '='(C 为常数); (Ⅲ))0)(( ,)()()()()())()((2≠'-'='x g x g x g x f x g x f x g x f ,特别21()()()()g x g x g x ''=-。
3.微分 函数()y f x =在点x 处的微分:()dy y dx f x dx ''== 4、 常用的不定积分公式(1) ⎰⎰⎰⎰⎰+==+=+=-≠++=+c x dx x x dx x c x xdx c x dx C x dx x 43,2,),1( 11433221αααα;(2) C x dx x +=⎰||ln 1; C e dx e x x +=⎰; )1,0( ln ≠>+=⎰a a C aa dx a x x; (3)⎰⎰=dx x f k dx x kf )()((k 为常数) 5、定积分()()|()()bb a af x dx F x F b F a ==-⎰⑴⎰⎰⎰+=+bab abadx x g k dx x f k dx x g k x f k )()()]()([2121⑵ 分部积分法设u (x ),v (x )在[a ,b ]上具有连续导数)(),(x v x u '',则⎰⎰-=bab abax du x v x v x u x dv x u )()()()()()(6、线性代数 特殊矩阵的概念(1)、零矩阵 ,000022⎥⎦⎤⎢⎣⎡=⨯O (2)、单位矩阵⎥⎥⎥⎥⎦⎤⎢⎢⎢⎢⎣⎡=100010001 n I 二阶,100122⎥⎦⎤⎢⎣⎡=⨯I (3)、对角矩阵⎥⎥⎥⎥⎦⎤⎢⎢⎢⎢⎣⎡=n a a a A 000000021 (4)、对称矩阵⎥⎥⎥⎦⎤⎢⎢⎢⎣⎡---==752531212,A a a ji ij (5)、上三角形矩阵⎥⎥⎥⎥⎦⎤⎢⎢⎢⎢⎣⎡=nn n n a a a a a a A 000022211211 下三角形矩阵⎥⎥⎥⎥⎦⎤⎢⎢⎢⎢⎣⎡=n a a a A 000000021 (6)、矩阵转置⎥⎥⎥⎥⎦⎤⎢⎢⎢⎢⎣⎡=nn n n n n a a a a a a a a a A 212222111211转置后⎥⎥⎥⎥⎦⎤⎢⎢⎢⎢⎣⎡=nn n nn n T a a a a a a a a a A 2122212121116、矩阵运算 ⎥⎦⎤⎢⎣⎡++++=⎥⎦⎤⎢⎣⎡+⎥⎦⎤⎢⎣⎡=+h d g c f b e a h g f ed c b a B A ⎥⎦⎤⎢⎣⎡++++=⎥⎦⎤⎢⎣⎡⎥⎦⎤⎢⎣⎡=dh cf dg ce bh af bg ae h gf ed c b a AB 7、MATLAB 软件计算题例6 试写出用MATLAB 软件求函数)e ln(2x x x y ++=的二阶导数y ''的命令语句。
积分公式和求导公式
积分公式是一种用于求函数积分的数学公式,它们使我们能够将一个函数从一个区间上的点积累为一个数值。
下面是一些常见的积分公式:
1.基本积分公式:
∫x^ndx=(x^(n+1))/(n+1)+C(n≠1)
∫1/xdx=ln|x|+C
∫e^xdx=e^x+C
2.三角函数积分公式:
∫sin(x)dx=cos(x)+C
∫cos(x)dx=sin(x)+C
∫sec^2(x)dx=tan(x)+C
3.求和与积分公式:
∫af(x)dx=a∫f(x)dx(a是常数)
∫[f(x)±g(x)]dx=∫f(x)dx±∫g(x)dx
求导公式是一种用于求函数导数的数学公式,它描述了函数在每个点的变化率。
下面是一些常见的求导公式:
1.基本求导公式:
d/dx(x^n)=n*x^(n1)
d/dx(e^x)=e^x
d/dx(ln(x))=1/x
2.三角函数求导公式:
d/dx(sin(x))=cos(x)
d/dx(cos(x))=sin(x)
d/dx(tan(x))=sec^2(x)
3.求导法则:
乘法法则:若f(x)=u(x)*v(x),则
f'(x)=u'(x)*v(x)+u(x)*v'(x)
除法法则:若f(x)=u(x)/v(x),则
f'(x)=(u'(x)*v(x)u(x)*v'(x))/(v(x))^2
链式法则:若f(x)=g(u(x)),则f'(x)=g'(u(x))*u'(x)。
不定积分求导公式如下
如果对不定积分式子∫f(x)dx进行求导,那么得到的当然还是f(x),而如果是∫f(x-t)dx 这样的式子,就还要先转换积分变量,再进行求导。
求导是微积分的基础,同时也是微积分计算的一个重要的支柱。
物理学、几何学、经济学等学科中的一些重要概念都可以用导数来表示。
如导数可以表示运动物体的瞬时速度和加速度、可以表示曲线在一点的斜率、还可以表示经济学中的边际和弹性。
导数公式:
1.C'=0(C为常数);
2.(Xn)'=nX(n-1) (n∈R);
3.(sinX)'=cosX;
4.(cosX)'=-sinX;
5.(aX)'=aXIna (ln为自然对数);
6.(logaX)'=(1/X)logae=1/(Xlna) (a\u003e0,且a≠1);
7.(tanX)'=1/(cosX)2=(secX)2
8.(cotX)'=-1/(sinX)2=-(cscX)2
9.(secX)'=tanX secX;
10.(cscX)'=-cotX cscX;。
常用求导积分公式及不定积分基本方法常用求导公式:1.一元函数求导公式:- 反函数求导法则:若y=f(u),则u=f^(-1)(y),则有(dy)/(dx) =1/(du/dy)- 常数乘法法则:若y=kf(x),则(dy)/(dx) = kf'(x)-基本初等函数求导法则:- 常数函数求导法则:若y=c,则(dy)/(dx) = 0- 幂函数求导法则:若y=x^n,则(dy)/(dx) = nx^(n-1)- 指数函数求导法则:若y=a^x,则(dy)/(dx) = (lna) * a^x- 对数函数求导法则:若y=loga(x),则(dy)/(dx) = 1 / (xlna)- 三角函数求导法则:若y=sin(x)、cos(x)、tan(x)、cot(x)、sec(x)、csc(x),则(dy)/(dx) = cos(x)、-sin(x)、sec^2(x)、-csc^2(x)、sec(x)tan(x)、-csc(x)cot(x),对应地还有反三角函数的求导公式- 反函数求导法则:若y=f^(-1)(x),则(dy)/(dx) = 1 / (dx/dy)-两个函数的和、差、积、商求导法则:- 和、差法则:若y=u+v,则(dy)/(dx) = (du)/(dx) + (dv)/(dx),若y=u-v,则(dy)/(dx) = (du)/(dx) - (dv)/(dx)- 积法则:若y=uv,则(dy)/(dx) = u(dv)/(dx) + v(du)/(dx)- 商法则:若y=u/v,则(dy)/(dx) = (v(du)/(dx) - u(dv)/(dx))/ v^22.多元函数求导公式:-偏导数:对多元函数,其对其中其中一个自变量求导,其它自变量当作常数,即得到偏导数-偏导函数的求导法则:对偏导函数重复使用一元函数求导公式常用不定积分基本方法:1.基本初等函数的不定积分法则:- 幂函数积分法则:∫x^n dx = (1/(n+1)) * x^(n+1) + C,其中n≠-1- 指数函数与对数函数积分法则:∫a^x dx = (1/lna) * a^x + C,∫(1/x) dx = ln,x, + C-三角函数与反三角函数积分法则:- ∫sin(x) dx = -cos(x) + C,∫cos(x) dx = sin(x) + C- ∫sec^2(x) dx = tan(x) + C,∫csc^2(x) dx = -cot(x) + C- ∫sec(x)tan(x) dx = sec(x) + C,∫csc(x)cot(x) dx = -csc(x) + C- ∫(1/√(1-x^2)) dx = arcsin(x) + C,∫(1/√(1+x^2)) dx = arctan(x) + C- 反函数的不定积分法则:若F'(x) = f(x),则∫f^(-1)(x) dx =x * f^(-1)(x) - F(f^(-1)(x)) + C-特殊函数的不定积分法则:包括指数函数幂倍积分法则、二次函数积分法则等2.基本不定积分运算:- 基本线性运算:若∫f(x) dx = F(x) + C₁,∫g(x) dx = G(x) +C₂,则∫(af(x) + bg(x)) dx = aF(x) + bG(x) + C₃,其中a、b为实数- 递推公式:若∫f(x) dx = F(x) + C,则∫f(x)Ⓓ(x) dx = FⒹ(x) - ∫FⒹ(x) fⒹd(x) dx + C3. 分部积分法:设u(x)和v(x)具有连续一阶导数,根据分部积分公式,有∫u(x)v(x) dx = u(x)v(x) - ∫v(x)uⒹ(x) dx4.换元积分法(含有待定变量):设y=f(u),u=g(x),当g(x)可导、f(u)的原函数可积时5.改线积分法:将不定积分中的自变量换成关于自变量的函数。
高等数学导数、微分、不定积分公式 - 1 - 一、基本导数公式:()()()()()()()()()()()()()()()''1'''''''2'2'''''21.2.3.ln 4.15.log ln 16.ln 7.sin cos 8.cos sin 9.tan sec 10.cot csc 11.sec sec tan 12.csc csc cot 13.arcsin 14.arccos 115.arctan 11n n xxxxa kx k x nx aaae e x x ax xx x x x x x x x x x x x x x x x x -========-==-==-==-=+()'216.a cot 1rc x =-+ 二、基本微分公式:()()()()()()()()()()()()()12221.2.3.ln 4.15.ln 16.log ln7.sin cos8.cos sin9.tan sec 10.cot csc 11.sec sec tan 12.csc csc cot 113.arcsin n n xxxxad kx kdx nx dxd a a adx de e dxd x dx xd x dxx a dx xdxd x xdxd x xdxd x xdxd x x xdxd x x xdxd x dx -========-==-==-=()()()()()()229.tan sec 10.cot csc 11.sec sec tan 12.csc csc cot 13.arcsin 14.arccos dx xdxd x xdx d x x xdx d x x xdxd x dxd x ==-==-=()()22115.arctan 1116.cot 1dxd x dx xd arc x dx x=-=+=-+三、不定积分基本公式:11.2.13.14.ln 15.ln ||6.sin cos7.cos sin8.tan ln |cos |9.cot ln |sin |10.csc ln |csc cot |11.sec ln |sec tan |n nx x x x kdx kx c x x dx cn e dx e c a dx a c adx x c xxdx x c xdx x c xdx x c xdx x cxdx x x c xdx x x c+=+=++=+=+=+=-+=+=-+=+=-+=++⎰⎰⎰⎰⎰⎰⎰⎰⎰⎰⎰222222222112.c cot sin 113.sec tan cos 114.arctan 115.arcsin 16.sec tan sec 17.csc cot csc 118.arctan 119.ln ||2dx cs xdx x c x dx xdx x c x dx x cx dx x cx xdx x c x xdx x c dx x c x a a a dx x ac x a a x a ==-+==+=++=+=+=-+=++-=+-+⎰⎰⎰⎰⎰⎰⎰⎰⎰⎰高等数学导数、微分、不定积分公式 - 2 -222216.sec tan sec 17.csccot csc 118.arctan 119.ln ||220.x xdx xcx xdx x c dx xcx a a a dx x ac x a a x a=+=-+=++-=+-+⎰⎰⎰⎰arcsin 21.ln ||22.ln |xca x cx c=+=++=++⎰⎰⎰()221ln 112x dx x c x =+++⎰ 21arctan 1dx x c x =++⎰五、三角函数的和差化积公式:sin sin 2sincos22sin sin 2cos .sin22cos cos 2cos .cos22cos cos 2sin .sin22αβαβαβαβαβαβαβαβαβαβαβαβ+-+=⋅+--=+-+=+--= 六、三角函数的积化和差公式:()()1sin cos sin sin 2αβαβαβ⋅=++-⎡⎤⎣⎦ ()()1cos sin sin sin 2αβαβαβ⋅=+--⎡⎤⎣⎦ ()()1cos cos cos cos 2αβαβαβ⋅=++-⎡⎤⎣⎦ ()()1sin sin cos cos 2αβαβαβ⋅=+--⎡⎤⎣⎦ 幂的公式:21cos 2sin 2a α-=21cos 2cos 2αα+=七、万能公式: 令 tan2xt = 则x=2arctant 221dx dt t =+ 22222sin cos 2tan2222sin 2sin cos 221sin cos 1tan 222x x x x x t x x x t α====+++ 22222222cos sin 1tan 1222cos 1cos sin 1tan 222x x xt x x x x t ---===+++ 222tan22tan 11tan 2x t x x t ==-- 八、平方关系:222222sin cos 11tan sec 1cot csc αβαααα+=+=+=九、导数关系:tan .cot 1sin .csc 1cos .sec 1αααααα===十、商的关系:sin sec tan cos csc ααααα==csc csc cot sin sec ααααα==十一 、x →0时的等价无穷小1e ~1)ln(x ~arctanx ~tanx ~arcsinx ~sinx ~x ++x 221~cos -1xx()nx x n ~11-+。
不定积分基本公式表(经典实用)以下是一些经典的不定积分公式:1. 基本导数公式:$\int x^ndx=\frac{1}{n+1}x^{n+1}+C$, (当$n≠-1$)$\int e^xdx=e^x+C$$\int \frac{1}{x}dx=\ln|x|+C$, ($x≠0$)$\int \cos xdx=\sin x+C$$\int \sin xdx=-\cos x+C$$\int \sec^2xdx=\tan x+C$$\int \csc^2xdx=-\cot x+C$$\int \frac{1}{x^2+1}dx=\arctan x+C$$\int \frac{1}{\sqrt{1-x^2}}dx=\arcsin x+C$2. 三角函数公式:$\int \tan xdx=\ln|\sec x|+C$$\int \cot xdx=\ln|\sin x|+C$$\int \sec xdx=\ln|\sec x+\tan x|+C$$\int \csc xdx=\ln|\csc x-\cot x|+C$$\int \sin^2 xdx=\frac{1}{2}(x-\sin x\cos x)+C$$\int \cos^2 xdx=\frac{1}{2}(x+\sin x\cos x)+C$$\int \sin^3 xdx=-\frac{1}{3}\cos^3 x+\cos x+C$$\int \cos^3 xdx=\frac{1}{3}\sin^3 x+\sin x+C$3. 特殊公式:$\int e^{ax}\cos bx dx=\frac{e^{ax}}{a^2+b^2}(a\cos bx+b\sin bx)+C$$\int e^{ax}\sin bx dx=\frac{e^{ax}}{a^2+b^2}(a\sin bx-b\cos bx)+C$$\int \frac{1}{x^2-a^2}dx=\frac{1}{2a}\ln|\frac{x-a}{x+a}|+C$ $\int \frac{1}{x^2+a^2}dx=\frac{1}{a}\arctan\frac{x}{a}+C$ $\int \frac{1}{\sqrt{a^2-x^2}}dx=\arcsin\frac{x}{a}+C$其中,$C$为常数。
导数微分不定积分公式一、导数1.定义导数是函数在其中一点的变化率,表示函数在该点的切线斜率。
对于函数$f(x)$,在点$x=a$处的导数表示为$f'(a)$或$\frac{{df}}{{dx}}\bigg,_{x=a}$。
导数的几何意义是函数图像在该点处的切线斜率。
2.基本导数公式常见函数的导数公式如下:常值函数的导数为零:$\frac{{d}}{{dx}}(C) = 0$,其中$C$为常数。
幂函数的导数:$\frac{{d}}{{dx}}(x^n) = nx^{n-1}$,其中$n$是实数。
指数函数的导数:$\frac{{d}}{{dx}}(a^x) = a^x \ln{a}$,其中$a>0$。
对数函数的导数:$\frac{{d}}{{dx}}(\log_a{x}) = \frac{{1}}{{x \ln{a}}}$,其中$a>0$且$a\neq 1$。
三角函数的导数:$\frac{{d}}{{dx}}(\sin{x}) = \cos{x}$$\frac{{d}}{{dx}}(\cos{x}) = -\sin{x}$$\frac{{d}}{{dx}}(\tan{x}) = \sec^2{x}$$\frac{{d}}{{dx}}(\cot{x}) = -\csc^2{x}$$\frac{{d}}{{dx}}(\sec{x}) = \sec{x}\tan{x}$$\frac{{d}}{{dx}}(\csc{x}) = -\csc{x}\cot{x}$二、微分1.定义微分表示函数在其中一点附近的变化情况,主要有全微分和偏微分两种。
全微分:对于函数$z=f(x,y)$,在点$(x_0,y_0)$处全微分表示为$dz=\frac{{\partial z}}{{\partial x}}dx+\frac{{\partialz}}{{\partial y}}dy$,其中$\frac{{\partial z}}{{\partial x}}$和$\frac{{\partial z}}{{\partial y}}$分别表示对于$x$和$y$的偏微分。
常用的24个不定积分公式及证明一、基本积分公式。
1. ∫ kdx = kx + C(k为常数)- 证明:根据求导公式(kx + C)'=k,所以∫ kdx = kx + C。
2. ∫ x^n dx=frac{x^n + 1}{n+1}+C(n≠ - 1)- 证明:对frac{x^n + 1}{n+1}+C求导,根据求导公式(x^m)'=mx^m - 1,可得(frac{x^n+1}{n + 1}+C)'=frac{(n + 1)x^n+1-1}{n+1}=x^n,所以∫ x^n dx=frac{x^n +1}{n+1}+C(n≠ - 1)。
3. ∫(1)/(x)dx=lnx+C- 证明:当x>0时,(ln x)'=(1)/(x);当x < 0时,[ln(-x)]'=(1)/(-x)×(-1)=(1)/(x)。
所以∫(1)/(x)dx=lnx+C。
4. ∫ e^x dx=e^x+C- 证明:因为(e^x)' = e^x,所以∫ e^x dx=e^x+C。
5. ∫ a^x dx=(a^x)/(ln a)+C(a>0,a≠1)- 证明:设y = a^x,则ln y=xln a,y = e^xln a。
对y=(a^x)/(ln a)+C求导,((a^x)/(ln a)+C)'=(1)/(ln a)× a^xln a=a^x,所以∫ a^x dx=(a^x)/(ln a)+C(a>0,a≠1)。
6. ∫sin xdx=-cos x + C- 证明:因为(-cos x)'=sin x,所以∫sin xdx =-cos x+C。
7. ∫cos xdx=sin x + C- 证明:因为(sin x)'=cos x,所以∫cos xdx=sin x + C。
8. ∫(1)/(cos^2)xdx=tan x + C- 证明:因为(tan x)'=sec^2x=(1)/(cos^2)x,所以∫(1)/(cos^2)xdx=tan x + C。
基本求导积分公式求导积分是微积分中最基本的概念之一,它们可以帮助我们理解函数的性质和计算函数在特定区间的变化。
在本文中,我将为您介绍一些基本的求导和积分公式,并详细解释它们的推导和应用。
一、求导公式1.常数函数求导公式如果f(x)=c,其中c是常数,那么f'(x)=0。
因为常数函数没有变化率,所以它的导数永远为零。
2.幂函数求导公式如果 f(x)=x^n,其中 n 是实数,则有 f'(x) = nx^(n-1)。
这个公式可以通过对函数 f(x) 进行直接求导来得到,也可以通过使用指数函数的导数公式来得到。
3.指数函数求导公式如果 f(x)=a^x,其中 a 是正数且a ≠ 1,那么 f'(x) = a^x * ln(a)。
这个公式可以通过对函数 f(x) 进行直接求导来得到。
4.对数函数求导公式如果 f(x)=log_a(x),其中 a 是正数且a ≠ 1,那么 f'(x) =1/(x * ln(a))。
这个公式可以通过对函数 f(x) 进行直接求导来得到。
5.三角函数求导公式(1) sin(x) 的导数是 cos(x);(2) cos(x) 的导数是 -sin(x);(3) tan(x) 的导数是 sec^2(x),其中 sec(x) 是 secant 函数,其定义为 sec(x) = 1/cos(x);(4) cot(x) 的导数是 -csc^2(x),其中 csc(x) 是 cosecant 函数,其定义为 csc(x) = 1/sin(x);(5) sec(x) 的导数是 sec(x) * tan(x);(6) csc(x) 的导数是 -csc(x) * cot(x)。
6.反三角函数求导公式(1) arcsin(x) 的导数是1/√(1-x^2);(2) arccos(x) 的导数是 -1/√(1-x^2);(3) arctan(x) 的导数是 1/(1+x^2);(4) arccot(x) 的导数是 -1/(1+x^2);(5) arcsec(x) 的导数是 1/(,x,* √(x^2-1));(6) arccsc(x) 的导数是 -1/(,x,* √(x^2-1))。
导数微分不定积分公式一、导数导数是微积分中的重要概念,表示函数在特定点上的变化率。
假设函数y=f(x),其中x是自变量,y是因变量,那么函数在其中一点x=a处的导数表示为f'(a)或$\frac{dy}{dx}$。
导数的定义可以通过极限来表示:$$f'(a) = \lim_{h \to 0}\frac{f(a+h)-f(a)}{h}$$其中,h是一个无穷小的增量。
导数有以下几个基本规则:1. 常数规则:如果f(x)是一个常数,那么它的导数等于零,即$\frac{d}{dx}(c) = 0$。
2. 幂函数规则:对于幂函数f(x) = $x^n$,其中n是任意实数,它的导数是f'(x) = $nx^{(n-1)}$。
3. 指数函数规则:对于指数函数f(x) = $a^x$,其中a是常数且大于零,它的导数是f'(x) = $a^x\ln(a)$。
4. 对数函数规则:对于对数函数f(x) = $\log_a{x}$,其中a是常数且大于零且不等于1,它的导数是f'(x) = $\frac{1}{x\ln(a)}$。
5.和差规则:设f(x)和g(x)是可导函数,那么它们的和(差)f(x)±g(x)的导数是f'(x)±g'(x)。
6. 积法则:设f(x)和g(x)是可导函数,那么它们的积fg的导数是f'(x)g(x)+f(x)g'(x)。
7. 商法则:设f(x)和g(x)是可导函数,且g(x)不等于零,那么它们的商$\frac{f(x)}{g(x)}$的导数是$\frac{f'(x)g(x)-f(x)g'(x)}{(g(x))^2}$。
此外,还有复合函数的导数、隐函数的导数等规则,它们的求导公式可以根据基本规则和链式法则来推导。
二、微分微分是导数的一个重要应用,它描述了函数局部变化的情况。
微分有两种方式表示,一种是微分形式,另一种是微分方程形式。
不定积分小结一、不定积分基本公式(1)∫x a dx=x a+1a+1+C(a≠−1) (2)∫1xdx=ln|x|+C(3)∫a x dx=a xln a+C(4)∫sin x dx=−cos x+C(5)∫cos x dx=sin x+C(6)∫tan x dx=−ln|cos x|+C (7)∫cot x dx=ln|sin x|+C(8)∫sec x dx=ln|sec x+tan x|+C (9)∫csc x dx=ln|csc x−cot x|+C(10)∫sec2x dx=tan x+C (11)∫csc2x dx=−cot x+C(12)∫dx1+x2=arctan x+C(13)∫dxx2+a2=1aarctan xa+C(14)∫dxx2−a2=12aln|a−xa+x|+C(15)∫dxa2−x2=12aln|a+xa−x|+C(16)∫√1−x2=arcsin x+C(17)√a2−x2=arcsin xa+C(18)√x2±a2=ln|x+√x2±a2|+C(19)∫√a2−x2dx=x2√a2−x2+a22arcsinxa+C(20)∫√x2±a2dx=x2√x2±a2±a22ln|x+√x2±a2|+C二、两个重要的递推公式(由分部积分法可得)(1)D n=∫sin n x dx(详情请查阅教材166页)则D n=−cos x sin n−1xn+n−1nD n−2(求三角函数积分)易得D n:n为奇数时,可递推至D1=∫sin x dx=−cos x+C;n为偶数时,可递推至D2=∫sin2x dx=x2−sin2x4+C;(2)I n=∫dx(x2+a2)n(详情请查阅教材173页)则I n+1=12na2x(x2+a2)n+2n−12na2I n易得I n可递推至I1=∫dxx2+a2=1aarctan xa+C迅捷P DF编辑器(这是有理函数分解后一种形式的积分的求法,大家可以回顾课本恢复记忆)三、普遍方法(一)换元积分法:第一类换元积分法(凑微分法)这类方法需要敏锐的观察力,即观察出某个函数的导数,这就要求我们熟悉常见函数的导数。
常见不定1)∫0dx=c2)∫x^udx=(x^u+1)/(u+1)+c3)∫1/xdx=ln|x|+c4))∫a^xdx=(a^x)/lna+c5)∫e^xdx=e^x+c6)∫sinxdx=-cosx+c7)∫cosxdx=sinx+c8)∫1/(cosx)^2dx=tanx+c9)∫1/(sinx)^2dx=-cotx+c10)∫1/√(1-x^2) dx=arcsinx+c11)∫1/(1+x^2)dx=arctanx+c12)∫1/(a^2-x^2)dx=(1/2a)ln|(a+x)/(a-x)|+c 13)∫secxdx=ln|secx+tanx|+c14)∫1/(a^2+x^2)dx=1/a*arctan(x/a)+c15)∫1/√(a^2-x^2) dx=arcsin(x/a)+c16) ∫sec^2 x dx=tanx+c;17) ∫shx dx=chx+c;18) ∫chx dx=shx+c;19) ∫thx dx=ln(chx)+c;1.∫adx = ax+C (a 为常数)2.∫sin(x)dx = -cos(x)+C3.∫cos(x)dx = sin(x)+C4.∫tan(x)dx = -loge |cos(x)|+C = loge|sec(x)|+C5.∫cot(x)dx = loge|sin(x)|+C6.∫sec(x)dx = loge|sec(x)+tan(x)|+C7. ∫sin 2(x)dx= 1 (x-sin(x)cos(x))+C 2= 1 x - 1 sin(2x)+C 2 48. ∫cos 2(x)dx= 1 (x+sin(x)cos(x))+C 2= 1 x + 1 sin(2x)+C 2 49. ∫tan 2(x)dx = tan(x)-x+C10.∫cot 2(x)dx = -cot(x)-x+C11.∫sin(ax)sin(bx)dx= sin((a-b)x) - sin((a+b)x) +C 2(a-b) 2(a+b)12.∫sin(ax)cos(bx)dx= - cos((a-b)x) - cos((a+b)x) +C 2(a-b) 2(a+b)13.∫cos(ax)cos(bx)dx= sin((a-b)x) + sin((a+b)x) +C 2(a-b) 2(a+b)14.∫xsin(x)dx = sin(x)-xcos(x)+C15.∫xcos(x)dx = cos(x)+xsin(x)+C16.∫x 2sin(x)dx = (2-x 2)cos(x)+2xsin(x)+C17.∫x 2cos(x)dx = (x 2-2)sin(x)+2xcos(x)+C18.∫e x dx = e x +C∫ ?a? dx = a log |x| ? (a 为常数) x仅供个人用于学习、研究;不得用于商业用途。
不定积分求导公式运算法则不定积分和求导可是数学里的一对“欢喜冤家”,它们之间有着千丝万缕的联系。
要搞清楚不定积分求导公式的运算法则,咱们得一步步来。
先来说说不定积分。
不定积分呢,就像是在寻找一个函数的“前世今生”。
比如说,给你一个函数的导数,让你去找出原来的那个函数,这就是不定积分要干的事儿。
咱们来举个例子感受一下。
比如说,已知函数 f'(x) = 2x,那它的不定积分就是∫2xdx = x² + C (这里的 C 是常数哦)。
那求导又是什么呢?求导就像是给函数做个“体检”,看看它在每个点的变化快慢。
比如说,函数 f(x) = x²,它的导数就是 f'(x) = 2x 。
不定积分求导公式的运算法则里有一个很重要的性质。
如果 F(x) 是f(x) 的一个原函数,也就是 F'(x) = f(x) ,那么对∫f(x)dx = F(x) + C 求导,结果就是 f(x) 。
还记得我之前教过的一个学生小明吗?有一次在课堂上,我讲不定积分求导公式的运算法则,小明一脸懵。
我就问他:“小明,你是不是没听懂啊?”小明挠挠头说:“老师,我感觉这些公式在我脑子里打架,分不清谁是谁了。
”我笑了笑,给他举了个例子:“你看啊,假如你每天上学的路程和时间有个关系,路程对时间求导就是速度,那速度的不定积分就是路程,是不是很好理解?”小明眼睛一亮,好像有点开窍了。
咱们继续说这运算法则。
如果有两个函数 f(x) 和 g(x) ,它们的不定积分分别是 F(x) 和 G(x) ,那么∫[f(x) ± g(x)]dx = F(x) ± G(x) + C ,对这个式子求导,结果就是 f(x) ± g(x) 。
再复杂一点,如果函数是 f(ax + b) 的形式,那么先做变量代换 u = ax + b ,求出不定积分后再把 u 换回来。
总之啊,不定积分求导公式的运算法则虽然有点复杂,但只要多练习,多琢磨,就一定能掌握。
一、基本求导公式1. ()1x x μμμ-'= ()ln 1x x'= 2. (sin )cos x x '= (c o s )s i nxx '=- 3. 2(tan )sec x x '= 2(c o t )c s cx x '=-4. (sec )tan sec x x x '= (c s c )c o t c sxx x '=- 5. ()ln x x a a a '=,()x xe e '=6. ()2arctan 11x x '+=()a r c s i n x '=()2arccot 11x x '+=-()a r c c o s x '=二、基本积分公式1.1d (111)x x x C μμμμ+=+ =-/ +⎰, 1l n ||+d x x Cx =⎰ 2. d ln xxa a x C a=+⎰,d x x e x e C =+⎰ 3. sin d cos x x x C =-+⎰, cos d sin x x x C =+⎰ 4. 2secd tan x x x C =+⎰ 2csc d cot x x x C =-+⎰5. tan d ln |cos |x x x C =-+⎰ c o t d l n |s i n |xx x C =+⎰ 6.sec d ln |sec tan |x x x x C =++⎰ c s cd l n |c s cc o t x x x x C=-+⎰ 7.21d arctan 1x x C x =++⎰ arcsin x x C =+2211d arctan xx C a x a a=++⎰ arcsinxx C a=+8.ln x x C =+(ln x x C =+9.2211d ln 2x ax C a x a x a-=+-+⎰ 三、常用三角函数关系 1. 倍角公式21cos 2sin 2x x -= 21cos 2cos 2x x +=2. 正余切与正余割正割 1sec cos x x = 22sec 1tan x x =+余割 1csc sin x x= 22csc 1cot x x =+四、常用凑微分类型1.11()d d ()ln ()()()f x x f x f x C f x f x '==+⎰⎰; 2.1()d ()d() (0)f ax b x f ax b ax b a a+=++≠⎰⎰; 3.11()d ()d (0)f x x x f x x μμμμμμ-⋅=≠⎰⎰;4.1()d ()d (0,1)ln x x x x f a a x f a a a a a =>≠⎰⎰; (e )e d (e )de x x x x f x f =⎰⎰; 5. 1(ln )d (ln )d ln f x x f x x x⋅=⎰⎰;6. (sin )cos d (sin )d sin f x x x f x x = ⎰⎰; (cos )sin d (cos )d cos f x x x f x x =-⎰⎰;7.2(tan )sec d (tan )d tan f x x x f x x =⎰⎰;2(cot )cscd (cot )d cot f x x x f x x =-⎰⎰;8.(sec )sec tan d (sec )d sec f x x x x f x x ⋅=⎰⎰; (csc )csc cot d (csc )d csc f x x x x f x x ⋅=- ⎰⎰;9.(arcsin )(arcsin )d arcsin f x x f x x = ⎰⎰;21(arctan )d (arctan )d arctan 1+f x x f x x x ⋅= ⎰⎰. 五、第二类换元法常用的代换方法(1)可作代换t a x sin =;(2) 22x a +,可作代换t a x tan =; (3)22a x -,可作代换t a x sec =;(4) 分母中次数比较高时,常用倒代换代换1x t=;可作代换t =;可作代换t =六、分部积分基本公式 udv uv vdu =-⎰⎰ 基本方法:()f x dx ⎰()()()f x u x v x '=−−−−−→分解()()u x v x d x '⎰−−−→凑微分()()u x d v x⎰ −−−−→分部积分()()()()u x v x v x du x =-⎰使用分部积分法的关键是将()f x dx 恰当地凑成()()u x dv x 的形式,其遵循的一般原则是:(1)()v x 容易求得;(2)()()v x du x ⎰要容易积分;一般地,按“反 对 幂 指 三”的顺序,前者取为)(x u ,后者取为()v x '.反三角函数 对数函数 幂函数 指数函数 三角函数1.()11cos 2d cos 22d cos d()2222x x x x x x x '=⋅=⎰⎰⎰ (1cos d 2u u ⎰) 1sin 22x C =+ 2. ()331(25)d (25)25d 2x x x x x '+=+⋅+⎰⎰31(25)d(25)2x x =++⎰ (31d 2u u ⎰) 41(25)8x C =++ 3.()222222d d d x x x xe x e x x x e '=⋅=⎰⎰⎰(d u u e u e C =+⎰) 2x e C =+类似地, ()344411d 12d 12812x x x x x x'=⋅+++⎰⎰ 444111d(1+2)ln(12)8128x x C x ==+++⎰ 4. sin 1tan d d (cos )d cos cos x x x x x x x x '==-⋅⎰⎰⎰ cos 1d ln |cos |cos x x C x=-=-+⎰5. ()32231sin d sin 1c sin d d co os cos cos .3s x x x x x x x x x C = =-=-+-⎰⎰⎰6. 33421tan tan tan sec d d tan 4x x x C x x x = =+⎰⎰ 7.2524sin cos d sin co cos d s x x x x x x x = ⎰⎰()222sin 1sin dsin x x x =-⎰()246357sin 2sin sin d sin 121sin sin sin .357x x x x x x x C =-+=-++⎰8.22221111d d d arctan 11x x u u C x a a a u x a ⎛⎫⎡⎤= =+ ⎪⎢⎥++⎝⎭⎣⎦⎛⎫+ ⎪⎝⎭⎰⎰⎰利用 1arctan .xC a a=+9. 1cos 1d (sin )d sin sin x x x x x x x x x+'=⋅+ ++⎰⎰1d(sin )sin x x x x =+ +⎰ln sin +C x x =+。
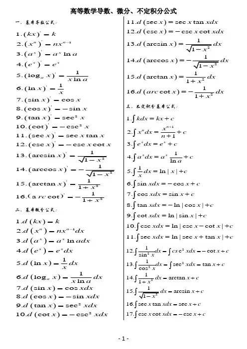
一.基本初等函数求导公式(1) 0)(='C(2) 1)(-='μμμx x(3) x x cos )(sin ='(4) x x sin )(cos -='(5)x x 2sec )(tan =' (6)x x 2csc )(cot -=' (7) x x x tan sec )(sec ='(8) x x x cot csc )(csc -='(9)a a a x x ln )(='(10) (e )e xx '=(11)a x x a ln 1)(log ='(12)x x 1)(ln =',(13)211)(arcsin x x -=' (14)211)(arccos x x --=' (15)21(arctan )1x x '=+(16)21(arccot )1x x '=-+函数的和、差、积、商的求导法则 设)(x u u =,)(x v v =都可导,则(1) v u v u '±'='±)( (2) u C Cu '=')((C 是常数)(3) v u v u uv '+'=')((4) 2v v u v u v u '-'='⎪⎭⎫ ⎝⎛反函数求导法则若函数)(y x ϕ=在某区间y I 内可导、单调且0)(≠'y ϕ,则它的反函数)(x f y =在对应区间xI 内也可导,且)(1)(y x f ϕ'=' 或 dy dx dx dy 1=复合函数求导法则设)(u f y =,而)(x u ϕ=且)(u f 及)(x ϕ都可导,则复合函数)]([x f y ϕ=的导数为dy dy du dx du dx =或()()y f u x ϕ'''=二、基本积分表(1)kdx kx C =+⎰ (k 是常数)(2)1,1x x dx C μμμ+=++⎰ (1)u ≠- (3)1ln ||dx x C x =+⎰(4)2tan 1dxarl x C x=++⎰ (5)arcsin x C =+⎰(6)cos sin xdx x C =+⎰ (7)sin cos xdx x C =-+⎰(8)21tan cos dx x C x =+⎰(9)21cot sin dx x C x=-+⎰(10)sec tan sec x xdx x C =+⎰ (11)csc cot csc x xdx x C =-+⎰ (12)x x e dx e C =+⎰(13)ln xxa a dx C a=+⎰,(0,1)a a >≠且 (14)shxdx chx C =+⎰ (15)chxdx shx C =+⎰(16)2211tan xdx arc C a x a a =++⎰(17)2211ln ||2x adx C x a a x a-=+-+⎰(18)sinxarc C a=+⎰(19)ln(x C =+(20)ln |x C =+⎰(21)tan ln |cos |xdx x C =-+⎰ (22)cot ln |sin |xdx x C =+⎰ (23)sec ln |sec tan |xdx x x C =++⎰(24)csc ln |csc cot |xdx x x C =-+⎰注:1、从导数基本公式可得前15个积分公式,(16)-(24)式后几节证。
常用求导积分公式及不定积分基本方法
HUA system office room 【HUA16H-TTMS2A-HUAS8Q8-HUAH1688】
一、基本求导公式
1. ()1x x μμμ-'= ()ln 1x x
'= 2. (sin )cos x x '= (cos )sin x x '=-
3. 2(tan )sec x x '= 2(cot )csc x x '=-
4. (sec )tan sec x x x '= (csc )cot csc x x x '=-
5. ()ln x x a a a '=,()x x e e '=
6. ()
2arctan 11x x '+= ()arcsin x '= ()
2arccot 11x x '+=- ()arccos x '= 二、基本积分公式 1. 1d (111)x x x C μμμμ+=+ =-/ +⎰, 1ln ||+dx x C x
=⎰ 2. d ln x
x
a a x C a =+⎰,d x x e x e C =+⎰ 3. sin d cos x x x C =-+⎰, cos d sin x x x C =+⎰
4. 2sec d tan x x x C =+⎰ 2csc d cot x x x C =-+⎰
5. tan d ln |cos |x x x C =-+⎰ cot d ln |sin |x x x C =+⎰
6. sec d ln |sec tan |x x x x C =++⎰ csc d ln |csc cot |x x x x C =-+⎰
7.
2
1d arctan 1x x C x =++⎰ arcsin x x C =+
2211d arctan x x C a x a a =++⎰ arcsin x x C a =+
8.
ln x x C =+
(
ln x x C =++ 9. 221
1d ln 2x a
x C a x a x a -=+-+⎰
三、常用三角函数关系
1. 倍角公式
21cos 2sin 2x
x -= 21cos 2cos 2x
x +=
2. 正余切与正余割
正割 1
sec cos x x = 22sec 1tan x x =+
余割 1csc sin x x = 22
csc 1cot x x =+
四、常用凑微分类型 1.
1
1
()d d ()ln ()()()f x x f x f x C f x f x '==+⎰⎰;
2.1()d ()d() (0)f ax b x f ax b ax b a a
+=++≠⎰⎰; 3.11()d ()d (0)f x x x f x x μμμμμμ-⋅=≠⎰⎰; 4.1()d ()d (0,1)ln x x x x f a a x f a a a a a
=>≠⎰⎰; (e )e d (e )de x x x x f x f =⎰⎰; 5. 1(ln )d (ln )d ln f x x f x x x
⋅=⎰⎰; 6. (sin )cos d (sin )dsin f x x x f x x = ⎰⎰;
(cos )sin d (cos )dcos f x x x f x x =-⎰⎰;
7. 2(tan )sec d (tan )d tan f x x x f x x =⎰⎰;
2(cot )csc d (cot )dcot f x x x f x x =-⎰⎰;
8.(sec )sec tan d (sec )dsec f x x x x f x x ⋅=⎰⎰;
(csc )csc cot d (csc )dcsc f x x x x f x x ⋅=- ⎰⎰; 9.
(arcsin )(arcsin )d arcsin f x x f x x = ⎰⎰;
21(arctan )d (arctan )d arctan 1+f x x f x x x
⋅= ⎰⎰. 五、第二类换元法常用的代换方法
t a x sin =; (2) 22x a +,可作代换t a x tan =;
(3) 22a x -,可作代换t a x sec =;
(4) 分母中次数比较高时,常用倒代换代换1x t
=;
,可作代换t =
t = 六、分部积分
基本公式 udv uv vdu =-⎰⎰
基本方法: ()f x dx ⎰
()()()f x u x v x '=−−−−−→分解()()u x v x dx '⎰−−−→凑微分()()u x dv x ⎰ −−−−→分部积分()()()()u x v x v x du x =-⎰
使用分部积分法的关键是将()f x dx 恰当地凑成()()u x dv x 的形式,其遵循的一般原则是:
(1)()v x 容易求得;(2)()()v x du x ⎰要容易积分;
一般地,按“反 对 幂 指 三”的顺序,前者取为)(x u ,后者取为()v x '. 反三角函数 对数函数 幂函数 指数函数 三角函数
1. ()11cos 2d cos 22d cos d()2222x x x x x x x '=⋅=⎰⎰⎰ (1cos d 2u u ⎰
) 1sin 22
x C =+ 2. ()331(25)d (25)25d 2
x x x x x '+=+⋅+⎰⎰ 31(25)d(25)2x x =++⎰ (31d 2
u u ⎰) 41(25)8
x C =++ 3. ()22222
2d d d x x x xe x e x x x e '=⋅=⎰⎰⎰ (d u u e u e C =+⎰) 2
x e C =+
类似地, ()344411d 12d 12812x x x x x x
'=⋅+++⎰⎰ 444111d(1+2)ln(12)8128
x x C x ==+++⎰ 4. sin 1tan d d (cos )d cos cos x x x x x x x x
'==-⋅⎰⎰⎰ cos 1d ln |cos |cos x x C x =-=-+⎰
5. ()32231sin d sin 1c sin d d co os cos cos .3
s x x x x x x x x x C = =-=-+-⎰⎰⎰ 6. 33421tan tan tan sec d d tan 4
x x x C x x x = =+⎰⎰ 7. 2524sin cos d sin co cos d s x x x x x x x = ⎰⎰
()2
22sin 1sin dsin x x x =-⎰ ()246357sin 2sin sin d sin 121sin sin sin .357x x x x
x x x C =-+=-++⎰ 8. 2222111
1d d d arctan 11x x u u C x a a a u x a ⎛⎫⎡⎤= =+ ⎪⎢⎥++⎝⎭⎣⎦⎛⎫+ ⎪⎝⎭⎰⎰⎰利用 1arctan .x C a a
=+ 9. 1cos 1d (sin )d sin sin x x x x x x x x x
+'=⋅+ ++⎰⎰1d(sin )sin x x x x =+ +⎰ln sin +C x x =+。