小学语文面试入闱人员成绩统计表
- 格式:doc
- 大小:143.50 KB
- 文档页数:4
第一面试组(语文)面试成绩公示面试序号面试科目报考职位面试考场面试成绩备注001语文农村小学第一面试室78.48002语文农村小学第一面试室80.16003语文农村小学第一面试室76.98004语文农村小学第一面试室78.46005语文农村小学第一面试室77.70006语文农村小学第一面试室76.92007语文农村小学第一面试室78.00008语文农村小学第一面试室77.54009语文农村小学第一面试室78.62010语文农村小学第一面试室77.02011语文农村小学第一面试室76.72012语文农村小学第一面试室81.32013语文农村小学第一面试室79.16014语文农村小学第一面试室78.34015语文农村小学第一面试室82.68016语文农村小学第一面试室81.66017语文农村小学第一面试室80.24018语文农村小学第一面试室79.26019语文农村小学第一面试室78.46020语文农村小学第一面试室79.82021语文农村小学第一面试室77.80022语文农村小学第一面试室76.86023语文农村小学第一面试室77.76024语文农村小学第一面试室79.42025语文农村小学第一面试室82.84026语文农村小学第一面试室81.46027语文农村小学第一面试室80.88028语文农村小学第一面试室81.60029语文农村小学第一面试室81.02030语文农村小学第一面试室83.32031语文农村小学第一面试室缺考032语文农村小学第一面试室缺考033初中语文实验中学第一面试室81.68034初中语文实验中学第一面试室82.06035初中语文实验中学第一面试室缺考2014年成武县招聘中小学教师第二面试组(语文、历史、政治、地理)面试成绩公示面试序号面试科目报考职位面试考场面试成绩备注001语文文亭实验学校小学第二面试室79.10002语文文亭实验学校小学第二面试室78.12003语文文亭实验学校小学第二面试室81.60004语文文亭实验学校小学第二面试室79.62005语文文亭实验学校小学第二面试室81.64006语文文亭实验学校小学第二面试室80.14007语文文亭实验学校小学第二面试室81.58008语文文亭实验学校小学第二面试室79.82009语文文亭实验学校小学第二面试室82.40010语文文亭实验学校小学第二面试室79.92011语文文亭实验学校小学第二面试室80.22012语文文亭实验学校小学第二面试室80.66013语文文亭实验学第二面试室80.34校小学014语文文亭实验学校小学第二面试室80.94015语文文亭实验学校小学第二面试室80.76016语文文亭实验学校小学第二面试室80.54017语文文亭实验学校小学第二面试室81.98018语文文亭实验学校小学第二面试室79.34019语文文亭实验学校小学第二面试室82.90020语文文亭实验学校小学第二面试室82.30021初中历史实验中学第二面试室80.44022初中历史实验中学第二面试室80.22023初中政治实验中学第二面试室80.08024初中政治实验中学第二面试室83.14025初中政治实验中学第二面试室82.90026初中政治实验中学第二面试室80.64027初中政治实验中学第二面试室82.58028初中政治实验中学第二面试室缺考029高中地理一中高中第二面试室82.10030高中地理一中高中第二面试室80.92031高中地理一中高中第二面试室缺考032高中地理一中高中第二面试室缺考2014年成武县招聘中小学教师第三面试组(数学)面试成绩公示面试序号面试科目报考职位面试考场面试成绩备注001数学农村小学第三面试室83.10003数学农村小学第三面试室82.60 004数学农村小学第三面试室79.90 005数学农村小学第三面试室81.90 006数学农村小学第三面试室81.00 007数学农村小学第三面试室80.20 008数学农村小学第三面试室82.80 009数学农村小学第三面试室81.70 010数学农村小学第三面试室82.10 011数学农村小学第三面试室82.70 012数学农村小学第三面试室79.60 013数学农村小学第三面试室83.90 014数学农村小学第三面试室84.20 015数学农村小学第三面试室81.30 016数学农村小学第三面试室82.20 017数学农村小学第三面试室79.30 018数学农村小学第三面试室81.30 019数学农村小学第三面试室79.70 020数学农村小学第三面试室81.50 021数学农村小学第三面试室79.30 022数学农村小学第三面试室81.90 023数学农村小学第三面试室83.30 024数学农村小学第三面试室81.80 025数学农村小学第三面试室83.30 026数学农村小学第三面试室83.70 027数学农村小学第三面试室83.30 028数学农村小学第三面试室84.00 029数学农村小学第三面试室82.00 030数学农村小学第三面试室82.80 031数学农村小学第三面试室83.30 032数学农村小学第三面试室84.00 033数学农村小学第三面试室82.60 034数学农村小学第三面试室82.40 035数学农村小学第三面试室80.70037数学农村小学第三面试室78.90038数学农村小学第三面试室81.70039数学农村小学第三面试室80.80040数学农村小学第三面试室缺考2014年成武县招聘中小学教师第四面试组(数学、生物、化学)面试成绩公示面试序号面试科目报考职位面试考场面试成绩备注001数学文亭实验学校小学第四面试室77.40002数学文亭实验学校小学第四面试室79.56003数学文亭实验学校小学第四面试室82.70004数学文亭实验学校小学第四面试室77.90005数学文亭实验学校小学第四面试室78.06006数学文亭实验学校小学第四面试室80.00007数学文亭实验学校小学第四面试室76.70008数学文亭实验学校小学第四面试室79.64009数学文亭实验学校小学第四面试室82.92010数学文亭实验学校小学第四面试室缺考011数学文亭实验学校小学第四面试室76.26012数学文亭实验学校小学第四面试室82.40013数学文亭实验学校小学第四面试室80.90014数学文亭实验学校小学第四面试室83.20015数学文亭实验学校小学第四面试室80.00016数学文亭实验学校小学第四面试室81.06017数学文亭实验学校小学第四面试室75.20018数学文亭实验学校小学第四面试室缺考019数学文亭实验学校小学第四面试室缺考020高中数学二中高中第四面试室77.90 021高中数学二中高中第四面试室82.10 022高中数学二中高中第四面试室80.80 023高中生物一中高中第四面试室80.88 024高中生物一中高中第四面试室79.60 025高中生物一中高中第四面试室82.30 026初中生物实验中学第四面试室80.70 027初中生物实验中学第四面试室78.30 028初中生物实验中学第四面试室79.50 029初中生物实验中学第四面试室83.22 030初中生物实验中学第四面试室82.00 031初中生物实验中学第四面试室81.38 032高中化学一中高中第四面试室80.70 033高中化学一中高中第四面试室81.70 034高中化学一中高中第四面试室79.402014年成武县招聘中小学教师第五面试组(幼儿教师)面试成绩公示面试序号面试科目报考职位面试考场面试成绩备注001幼儿教师幼儿教师第五面试室79.10002幼儿教师幼儿教师第五面试室83.10003幼儿教师幼儿教师第五面试室79.00004幼儿教师幼儿教师第五面试室78.20005幼儿教师幼儿教师第五面试室78.70006幼儿教师幼儿教师第五面试室84.00007幼儿教师幼儿教师第五面试室81.20008幼儿教师幼儿教师第五面试室81.90009幼儿教师幼儿教师第五面试室81.50010幼儿教师幼儿教师第五面试室80.60011幼儿教师幼儿教师第五面试室79.30012幼儿教师幼儿教师第五面试室80.70013幼儿教师幼儿教师第五面试室79.90014幼儿教师幼儿教师第五面试室79.80015幼儿教师幼儿教师第五面试室78.10016幼儿教师幼儿教师第五面试室83.30017幼儿教师幼儿教师第五面试室82.70018幼儿教师幼儿教师第五面试室79.10019幼儿教师幼儿教师第五面试室81.70020幼儿教师幼儿教师第五面试室80.60021幼儿教师幼儿教师第五面试室80.50022幼儿教师幼儿教师第五面试室82.40023幼儿教师幼儿教师第五面试室79.40024幼儿教师幼儿教师第五面试室81.30025幼儿教师幼儿教师第五面试室81.00026幼儿教师幼儿教师第五面试室81.50027幼儿教师幼儿教师第五面试室79.30028幼儿教师幼儿教师第五面试室81.80029幼儿教师幼儿教师第五面试室80.90030幼儿教师幼儿教师第五面试室78.60031幼儿教师幼儿教师第五面试室82.90032幼儿教师幼儿教师第五面试室78.90033幼儿教师幼儿教师第五面试室80.80035幼儿教师幼儿教师第五面试室82.80036幼儿教师幼儿教师第五面试室78.70037幼儿教师幼儿教师第五面试室81.10038幼儿教师幼儿教师第五面试室79.80039幼儿教师幼儿教师第五面试室78.60040幼儿教师幼儿教师第五面试室79.10041幼儿教师幼儿教师第五面试室缺考2014年成武县招聘中小学教师第六面试组(幼儿教师)面试成绩公示面试序号面试科目报考职位面试考场面试成绩备注001幼儿教师幼儿教师第六面试室78.40002幼儿教师幼儿教师第六面试室82.40003幼儿教师幼儿教师第六面试室80.80004幼儿教师幼儿教师第六面试室83.30005幼儿教师幼儿教师第六面试室80.60006幼儿教师幼儿教师第六面试室82.10007幼儿教师幼儿教师第六面试室83.10008幼儿教师幼儿教师第六面试室81.90009幼儿教师幼儿教师第六面试室82.80010幼儿教师幼儿教师第六面试室80.50011幼儿教师幼儿教师第六面试室83.30012幼儿教师幼儿教师第六面试室80.30013幼儿教师幼儿教师第六面试室82.20014幼儿教师幼儿教师第六面试室82.90015幼儿教师幼儿教师第六面试室80.90016幼儿教师幼儿教师第六面试室81.20017幼儿教师幼儿教师第六面试室83.70018幼儿教师幼儿教师第六面试室82.50019幼儿教师幼儿教师第六面试室82.90020幼儿教师幼儿教师第六面试室82.10021幼儿教师幼儿教师第六面试室83.60023幼儿教师幼儿教师第六面试室81.40024幼儿教师幼儿教师第六面试室81.00025幼儿教师幼儿教师第六面试室80.70026幼儿教师幼儿教师第六面试室81.30027幼儿教师幼儿教师第六面试室81.90028幼儿教师幼儿教师第六面试室83.00029幼儿教师幼儿教师第六面试室81.50030幼儿教师幼儿教师第六面试室82.40031幼儿教师幼儿教师第六面试室81.80032幼儿教师幼儿教师第六面试室82.90033幼儿教师幼儿教师第六面试室82.30034幼儿教师幼儿教师第六面试室84.30035幼儿教师幼儿教师第六面试室81.90036幼儿教师幼儿教师第六面试室80.80037幼儿教师幼儿教师第六面试室81.60038幼儿教师幼儿教师第六面试室82.20039幼儿教师幼儿教师第六面试室83.80040幼儿教师幼儿教师第六面试室83.30041幼儿教师幼儿教师第六面试室缺考042幼儿教师幼儿教师第六面试室缺考成武县人力资源和社会保障局2014年8月14日。
2010年福清市招考小学教师(毕业生)面试成绩表
语文
2010年福清市招考小学教师(毕业生)面试成绩表
2010年福清市招考小学教师(毕业生)面试成绩表
2010年福清市招考小学教师(毕业生)面试成绩表
2010年福清市招考小学教师(毕业生)面试成绩表
2010年福清市招考小学教师(毕业生)面试成绩表
2010年福清市招考小学教师(毕业生)面试成绩表
2010年福清市招考小学教师(毕业生)面试成绩表
2010年福清市招考小学教师(毕业生)面试成绩表
2010年福清市招考小学教师(毕业生)面试成绩表
2010年福清市招考小学教师(毕业生)面试成绩表
2010年福清市招考小学教师(毕业生)面试成绩表
2010年福清市招考小学教师(毕业生)面试成绩表
2010年福清市招考小学教师(毕业生)面试成绩表
2010年福清市招考小学教师(毕业生)面试成绩表
2010年福清市招考小学教师(毕业生)面试成绩表
2010年福清市招考小学教师(毕业生)面试成绩表。
面试一室语文一组上午场面试人员成绩名次面试顺序号报考岗位得分备注13(李晓清)小学语文93.20 拟聘29(王红娜)小学语文91.14 拟聘311(周晓艳)小学语文91.02 拟聘41小学语文90.0056小学语文89.4665小学语文88.1072小学语文86.8288小学语文86.42912小学语文84.48104小学语文80.061110小学语文73.12127小学语文0.00 缺考面试一室语文一组下午场面试人员成绩名次面试顺序号报考岗位得分备注16(吴萍)小学语文92.64 拟聘29(李昕株)小学语文91.18 拟聘38(庄宇涵)小学语文90.74 拟聘410小学语文89.4651小学语文89.2065小学语文89.1273小学语文88.5084小学语文88.2092小学语文83.841011小学语文82.46117小学语文74.90面试二室数学组上午场面试人员成绩名次面试顺序号报考岗位得分备注16(徐泽涛)小学数学94.60 拟聘115(史蒙)小学数学94.60 拟聘35(张仲蕾)小学数学92.40 拟聘411(成笑梅)小学数学91.40 拟聘513(王永杰)小学数学89.00 拟聘616小学数学88.6077小学数学86.6081小学数学83.8092小学数学82.80109小学数学80.60118小学数学80.001212小学数学79.801217小学数学79.801414小学数学79.00153小学数学75.001610小学数学73.80174小学数学73.201818小学数学71.60面试二室数学组下午场面试人员成绩名次面试顺序号报考岗位得分备注117(卢元胜)小学数学94.80 拟聘26(相广丽)小学数学90.40 拟聘314(刘明成)小学数学89.40 拟聘316(陆杰)小学数学89.40 拟聘510(孙英)小学数学87.00 拟聘61小学数学86.00715小学数学85.4088小学数学84.00912小学数学83.40105小学数学80.40117小学数学79.40122小学数学79.20139小学数学78.001311小学数学78.001513小学数学75.20164小学数学74.80173小学数学74.20面试三室语文二组上午场面试人员成绩名次面试顺序号报考岗位得分备注13(周媛媛)小学语文94.60 拟聘210(房庆秀)小学语文90.90 拟聘36(徐燕1988年生)小学语文90.80 拟聘44小学语文90.7058小学语文89.3062小学语文87.2075小学语文86.80811小学语文86.7099小学语文85.80107小学语文85.70111小学语文43.80面试三室语文二组下午场面试人员成绩名次面试顺序号报考岗位得分备注17(陈淑玲)小学语文95.80 拟聘22(李树昕)小学语文94.60 拟聘310(刘真真)小学语文93.80 拟聘41小学语文91.8043小学语文91.8064小学语文91.40711小学语文89.4085小学语文85.6099小学语文85.10106小学语文85.00118小学语文84.80面试四室英语组上午场面试人员成绩名次面试顺序号报考岗位得分备注15(薄路洁)小学英语89.80 拟聘26小学英语89.2032小学英语88.8044小学英语88.6059小学英语87.40613小学英语87.20716小学英语86.8087小学英语83.60815小学英语83.60108小学英语83.401112小学英语82.60123小学英语82.20131小学英语80.401411小学英语79.601514小学英语79.001610小学英语75.801717小学英语74.40面试四室英语组下午场面试人员成绩名次面试顺序号报考岗位得分备注14(王倩)小学英语92.20 拟聘28小学英语91.6035小学英语89.80314小学英语89.80513小学英语89.20612小学英语89.00717小学英语88.2081小学英语88.0096小学英语86.201015小学英语85.40117小学英语85.201211小学英语84.601316小学英语83.00149小学英语82.001510小学英语81.80163小学英语78.60172小学英语71.60面试五室品德组上午场面试人员成绩名次面试顺序号报考岗位得分备注18(张小芹)小学品德95.40 拟聘27(邓艳玲)小学品德95.20 拟聘33(孟小玲)小学品德94.20 拟聘413(卞林慧)小学品德93.40 拟聘59小学品德92.6064小学品德91.4076小学品德91.0081小学品德90.80911小学品德90.601010小学品德89.20115小学品德88.801212小学品德87.20132小学品德86.401414小学品德0.00 缺考1515小学品德0.00 缺考面试五室体育组下午场面试人员成绩名次面试顺序号报考岗位得分备注17(严凤霞)小学体育92.00 拟聘23(王新国)小学体育88.60 拟聘312(田庆美)小学体育88.00 拟聘411(刘安伟)小学体育87.40 拟聘415(徐传龙)小学体育87.40 拟聘65小学体育87.2079小学体育86.6088小学体育86.40910小学体育86.401014小学体育86.00116小学体育82.60121小学体育82.40134小学体育80.001413小学体育79.40152小学体育79.201616小学体育0.00 缺考面试六室音乐组上午场面试人员成绩名次面试顺序号报考岗位得分备注11(吴仪)小学音乐89.80 拟聘26(徐军田)小学音乐89.60 拟聘39(诸葛晓晨)小学音乐88.40 拟聘43(朱云川)小学音乐86.00 拟聘511(张新荣)小学音乐84.60 拟聘62(王鑫)小学音乐81.80 拟聘712(刘欣)小学音乐81.40 拟聘810小学音乐81.0095小学音乐78.40107小学音乐76.60114小学音乐75.60128小学音乐71.40面试六室科学组下午场面试人员成绩名次面试顺序号报考岗位得分备注19(孙晓丽)小学科学91.10 拟聘212(王玉平)小学科学89.60 拟聘37(王亚萍)小学科学88.40 拟聘45(陈庆龙)小学科学87.80 拟聘54小学科学86.20610小学科学84.8078小学科学84.4083小学科学82.20911小学科学81.40101小学科学81.00116小学科学80.20122小学科学79.70面试七室信息技术组上午场面试人员成绩名次面试顺序号报考岗位得分备注18(文靖)小学信息技术90.80 拟聘211(徐田娜)小学信息技术89.40 拟聘34(顾淑婷)小学信息技术88.20 拟聘43(薄夫凤)小学信息技术88.00 拟聘512(王美荣)小学信息技术87.80 拟聘66(王露露)小学信息技术86.20 拟聘710(付佳文)小学信息技术84.60 拟聘81(陈金凤)小学信息技术83.00 拟聘95小学信息技术82.60107小学信息技术82.20119小学信息技术81.20122小学信息技术79.60面试七室心理健康组上午场面试人员成绩名次面试顺序号报考岗位得分备注113(杨莹)小学心理健康89.00 拟聘面试八室美术组上午场面试人员成绩名次面试顺序号报考岗位得分备注110(刘晓芸)小学美术90.40 拟聘26(厉欣)小学美术88.40 拟聘32小学美术87.2048小学美术86.8054小学美术85.8067小学美术82.0073小学美术80.6089小学美术76.4095小学美术70.00101小学美术68.40面试八室美术组下午场面试人员成绩名次面试顺序号报考岗位得分备注112(王春晓)小学美术89.80 拟聘24(冯庆龙)小学美术89.20 拟聘35(刘子洋)小学美术89.00 拟聘41小学美术87.2058小学美术86.40614小学美术84.6079小学美术84.40713小学美术84.4096小学美术84.00107小学美术83.401111小学美术82.001210小学美术81.801315小学美术80.80143小学美术72.201516小学美术71.80162小学美术57.00。
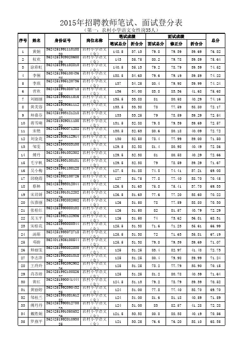
小学语文面试入闱人员成绩统计表
姓名性别笔试成绩试讲成绩最后得分名次备注胡小凤女81 83.1 82.05 1
彭素云女83 78.4 80.70 2
罗冬平女80 80.3 80.15 3
蔡小艳女75 82.5 78.75 4
邓丹丹女73 83.2 78.10 5
刘玲女75 78 76.50 6
黄婷女71 81.4 76.20 7
王宏琪女71 81.2 76.10 8
郭敏女69 81.9 75.45 9
曹晓叶女69 81.4 75.20 10
王玉冬女65 84.8 74.90 11
何曦女71 78.16 74.58 12
邓小川男71 78 74.50 13
郑意婷女68 80.5 74.25 14
郭灵莉女72 76.2 74.10 15
彭小珍女73 75 74.00 16
李振兰女69 78 73.50 17
刘丹女65 82 73.50 17
肖雅璐女72 73.9 72.95 19
谢婴婴女70 74.4 72.20 20
胡丽娟女67 75.6 71.30 21
邱斌洁女70 71.2 70.60 22
胡爱英女68 72.4 70.20 23
范桂丽女65 75.3 70.15 24
喻林女66 73.86 69.93 25
郭静女65 72.34 68.67 26
刘芳女65 70.8 67.90 27
小学数学面试入闱人员成绩统计表
姓名性别笔试成绩试讲成绩最后得分名次备注易雨花女52 87 69.50 1
胡祥然男49.5 87 68.25 2
曾冰珂女42.5 91.4 66.95 3
文栅女52.5 80.6 66.55 4
李建平男41 90.4 65.70 5
温桂花女37.5 92.6 65.05 6
彭丹凤女39.5 86.6 63.05 7
李琳女36 89.4 62.70 8
龙小庆女34 87 60.50 9
张海珍女31 90 60.50 9
陈晶女37.5 83.2 60.35 11
邓美玲女34 86.2 60.10 12
王梅芳女35.5 84.2 59.85 13
罗庆国男34.5 84.8 59.65 14
胡玉美女38 80 59.00 15
龙建明男35.5 82.4 58.95 16
李峰男37.5 80 58.75 17
杨琪女32 84.4 58.20 18
刘彩珍女32.5 83.8 58.15 19
罗兵华男34 82 58.00 20
王康柏男34.5 81.2 57.85 21
颜仁梦女34 79.8 56.90 22
肖春花女32 81.2 56.60 23
小学英语面试入闱人员成绩统计表
姓名性别笔试成绩试讲成绩最后得分名次备注肖云霞女81 90.52 85.76 1
刘旻女77 92.12 84.56 2
李琦女80 88.48 84.24 3
何冬梅女75 93.46 84.23 4
肖芳媛女76 92.02 84.01 5
罗晨露女74 87.7 80.85 6
黄予心女75 86.56 80.78 7
刘芳女74 86.42 80.21 8
李英娇女80 77.48 78.74 9
陈慧珍女75 77.66 76.33 10
小学音乐面试入闱人员成绩统计表
姓名性别笔试成绩面试成绩最后得分名次备注刘梦女65.5 90.2 77.85 1
王瑾女62 86.6 74.30 2
曾艳紫女56.5 71.4 63.95 3
雷芬女38.5 68.8 53.65 4
小学美术面试入闱人员成绩统计表
姓名性别笔试成绩面试成绩最后得分名次备注
吴晓虹女68 93.55 80.78 1
郭金璐女65 83.65 74.33 2
夏冬梅女56.5 87.45 71.98 3
郭云如女53.5 81.4 67.45 4。