2019年中国民航飞行学院硕士研究生入学考试
- 格式:doc
- 大小:32.00 KB
- 文档页数:2
历年飞行员招考真题试题库汇总(含答案)一、单选题1.当I1.S系统正常工作,飞机进近下降至DH时还未建立目视参考,则飞机应: A4平飞至跑道头复飞B、平飞至复飞点复飞C、立即复飞答案:C2.关车检查单中“气象雷达................... 关”项目中,机组应该核实:A、气象宙达面板上的气象宙达方式电门在“TEST”位B、ND上无气象雷达工作显示C、EFIS控制面板上气象雷达电门按下答案:B3.当按压货舱灭火按钮后A.飞机主电源将断电B、火警灯将熄灭C、货舱停止通风D、飞机空调停止工作答案:C4,有的飞机飞行手册规定滑跑速度低于一定值时才能使用刹车,主要因为:A、速度较高时刹车装置不工作B'速度低一些刹车装置工作稳定性好Cv速度高,刹车压力大容易产生机轮卡滞答案:C5.在没有GPS、无线电的外部位置更新时,FMC是否还可以继续导航?A、可以Bv不可以答案:A6.琥珀色的o YAWDER"(偏航阻尼器)灯亮,说明偏航阻尼器系统有故障。
A、对B、Ig答案:B7.自动驾驶I1.S进近,在相差多少个点时下滑道截获?As1个点B42/5个点Cx5个点答案:B8.起始进近前,报告的天气实况低于相应进近所对应的公司最低天气标准时,是否可以起始进近:A、可以B4不可以C4可以起始进近,并且只能进近至最后进近点答案:B9.机装迎角直接控制A、作用于机翼上升力Bv作用于机翼上的正负压力分布答案:B10.按压驾驶舱话音记录器测试电门,如果指示器掩在绿区范围,说明:A4测试无法进行,因为绿区为正常工作范围B4测试探测到故障C、测试功能被抑制D4测试没有探测到故障答案:D11.任何7个连续的日历日内不得超过多少飞行小时?A430小时Bs50小时G40小时答案:C12.下面关于防滞保护功能的说法错误的是?A4正常和备用刹车系统,都可以给每个主起落架机轮提供单社的防滞保护B、正常刹车系统可以给每个主起落架机轮提供防滞保护C、备用刹车系统可以给每对主起落架机轮提供防滞保护D、正常和备用刹车系统都提供防滞'机轮锁定、接地和滑水保护功能答案:A13.飞行中,在EGT指示上出现“ENGFAI1."(发动机失效)警告;什么情况下,该警告消失?A、复位主警告系统时B4发动机灭火手柄提起来,或发动机恢复推力,或发动机的起动手柄切断C、发动机的起动电门放到OFF位时答案:B14.谁应负责落实飞机滑行期间机型操作手册中的相关要求?A、副驾B、机长C、放行人员答案:B15.厕所里的热水器,在热水用完后,再加温新水大约需要多长时间?A、1分钟B,2分钟C、3分钟D'4分钟答案:D16.当进近放襟翌时,什么情况下襟翼15的机动速度游标不显示在速度带上?A、襟翼15的机动速度大于飞机当时的速度Bv襟矍15的机动速度大于VREFC4襟翼15的机动速度小于VREF+4D4任何情况下都不显示答案:C17.发动机启动期间,如果过早地将发动机启动手柄提到慢车位,会导致:A、启动悬挂B,启动活门关闭C、“热”启动D4启动中止答案:C18.飞行期间由于B系统失效而将飞行操纵电门放到了备用方向舵位,这之后, 将偏航阻尼器电门重新接通是否可以启用备用偏航阻尼器:A、可以B4不可以答案:B19.在燃烧的三个要素中A、燃料是必要条件,热和氧气是充分条件B4氧气是必要条件,燃料和热是充分条件C、热是必要条件,燃料和氧气是充分条件D、燃料和氧气是必要条件,热是充分条件答案:D20.在航段页面上显示飞航路点"1.ACRE”航段的方向13「,它袤示:A4磁航向B4真航向C4磁航道答案:A21.在HS1.上,飞机偏离VOR径向线的情况通过什么表明A、航道偏离杆Bv下滑道偏离杆C4航向偏离答案:A22.如果在加燃油过程中加油活门不能关断,则在满油后油液将:Ax从加油口溢出B、从放油活门处溢出C4从抽油活门处溢出D4从通气油箱的通气口溢出答案:D23.在增强型的近地警告系统中,地形数据在ND上显示点状琥珀色区域时,表示什么意思?A4地形低于飞机当前高度2000英尺以上B、地形低于飞机当前高度500英尺(起落架放下时为250英尺)到低于飞机当前高度2000英尺之间C、地形低于飞机当前高度500英尺以上D4地形低于飞机当前高度500英尺(起落架放下时为250英尺)到高于飞机当前高度2000英尺之间答案:D24.300米(1000英尺)以下的稳定进近是指:稳定的A4航道跟踪(或若陆航向人下滑道跟踪(或下降率)、油门位置,着陆形态、俯仰姿态、安定面配平B、航道跟踪(或若陆航向)、下滑道跟踪(或下降率)、着陆形态,安定面配平'目标速度,发动机功率C、航道跟踪(或若陆航向)、下滑道跟踪(或下降率)、襟翼位置,油门位置、俯仰姿态、安定面配平答案:B25.积雨云顶部的卷云砧的大小与离高空急流抽的距离有关,离急流轴越,卷云砧越.A x近明显B、远明显C、近不明显答案:A26.某VOR台正在维护时,其依据是A、导肮功能已消除B、用音频播放警戒信号C、识别功能消除答案:A27.显示源面板在:A4后顶板B、前顶板C、中央仪表板上D4中央操纵台上答案:B28A液压系统由什么泵来进行增压的?A'两个相同的电动泵Bv一个由1号发动机驱动的发动机驱动泵和一个交流电动马达泵C4一个由2号发动机驱动的发动机驱动泵和一个交流电动马达泵Dv一个由2号发动机驱动的发动机驱动泵和一个直流电动马达泵答案:B29.自动驾驶配平与安定面配平使用各自独立的马达,该说法是否正确?A、对B、Ig答案:B30.高喊依靠传播信号A4对流层B、平流层Cs电离层答案:C31.下面关于起落架系统的描述哪项不正确?A、起落架的收放以及前轮转弯通常由A液压系统供压B4正常刹车系统由B液压系统提供刹车压力,备用刹车系统由A液压系统提供刹车压力Cv正常和备用刹车系统都具有自动刹车功能答案:C32.飞行中如果FMC的位置不准了,经核实无线电位置是准的,若将FMC的位置更新到无线电位置,应通过哪个页面实现?A4位置基准页面Bv位置偏移负面C、导航状态页面答案:B33.在可见光图上,地表积雪越厚,反射越_________ ,色调越。
学校简介中国民用航空飞行学院,是以民航为特色,工、理、文、管等多学科、多层次发展,综合实力较强的多科型航空技术大学,被誉为中国民航飞行员的“摇篮”、中国民航管理干部的“黄埔”,民航工程技术人才培养的“基地”。
我校研究生就业前景好,历届研究生一次就业率达到94%以上;学校为全日制硕士研究生提供了丰厚的奖助学金,全日制研究生待遇优于公费待遇。
除国家奖学金、助学金(6000元)外,我校为全日制研究生设有学业奖学金,覆盖面100%,分为特等及一、二、三等奖,名额分别为10%、30%,30%,30%,金额为12000,10000,8000,6000元。
我校隶属于中国民用航空局,位于成都平原的腹地广汉市,距成都34公里,城际高铁15分钟可达,高速公路30分钟可到;学校占地16000亩,设有5个飞行训练分院,9个二级学院,1个社科部,23个本科专业,共有各类在籍学生22000余人,5个训练机场、230余架训练机型、各类先进的全任务模拟机和飞行模拟、空中交通管制等11个专业实验室,国内唯一的省部级“民航飞行技术与飞行安全科研基地”以及世界一流的“中、美、法联合发动机维修培训中心”等,都是进行科学研究和民航高层次人才培养不可或缺的重要科研平台和实践基地。
学校校园优美,师资力量雄厚,科研经费充足。
理论教师中副高职称以上占40%,硕士学位以上占76%,已承担和完成多项“863”和国家自然科学基金项目以及民航科技项目;先后与美、俄、德、法、日、澳等国外大学、研究机构、公司建立了长期稳定的学术交流和科研协作关系。
我校在交通运输工程一级学科下的五个学科方向(学术型)、工程硕士类别下的两个领域(专业学位)招收全日制研究生和非全日制飞行研究生,研究方向涵盖飞行技术、航务管理、空中交通管理、机务维修、机场工程与管理、航空安全、航空信息等民航关键技术岗位。
在交通运输工程一级学科下的五个学科方向中,交通运输规划与管理为四川省省级重点学科,载运工具运用工程和交通运输规划与管理学科方向为四川省特色学科。
中国民航飞行学院航空学基础考试大纲第一篇:中国民航飞行学院航空学基础考试大纲中国民用航空飞行学院高校教师在职攻读硕士学位入学考试《航空学基础》复习大纲第一部分考试说明一、考试性质《航空学基础》是中国民用航空飞行学院高校教师在职攻读硕士学位入学考试科目之一。
它的评价标准是:高等学校工作的优秀本科毕业生能达到及格或及格以上水平,以保证被录取者具有民用航空的基本概念、民用航空器的基本组成和设备系统的工作、民用航空器的活动环境和导航方法及设备、民用航空器的空中交通管理、民航机场的组成及运作和民用航空运输的基础知识和初步的应用能力。
二、考试内容1、民用航空的基本概念,历史和发展;2、民用航空器的基本组成和设备系统的工作;3、民用航空器的活动环境和导航方法及设备;4、民用航空器的空中交通管理;5、民航机场的组成及运作。
6、民用航空运输的相关概念和法规。
三、评价目标该门课程对学生的要求主要有三个方面:即:了解民用航空的发展史及民航的总体情况,以及民航系统内外的联系;熟悉民用航空器的基本知识,即要掌握民用航空器的分类和发展、飞行基本原理、飞机的构造、航空动力装置、飞机的电子仪表及其它设备、民航飞机的性能和直升机的基本理论知识;掌握航空器活动的环境及导航、空中交通管理的程序和方法、民用机场的布局、特点及运作、航空运输的特点及规律等。
四、考试形式与试卷结构(一)答卷方式:闭卷,笔试。
(二)答题时间:180分钟。
(三)各部分内容比例民用航空的基本概念,历史和发展20分民用航空器的基本组成和设备系统的工作60分民用航空器的活动环境和导航方法及设备20分民用航空器的空中交通管理15分民航机场的组成及运作15分民用航空运输的相关概念和法规20分(四)题型比例(满分为150分)选择题或填空题:40-60分;问答、计算及综合应用题:90-110分。
五、参考书民航概论,刘得一,中国民航出版社,2000。
第二部分考查要点一、民用航空的基本概念,历史和发展1、了解民用航空的定义;2、了解航空器的定义和分类;3、理解民用航空的分类;4、熟悉民航系统的组成;5、了解中国民航的四个发展时期;6、熟悉现阶段中国民航的体制。
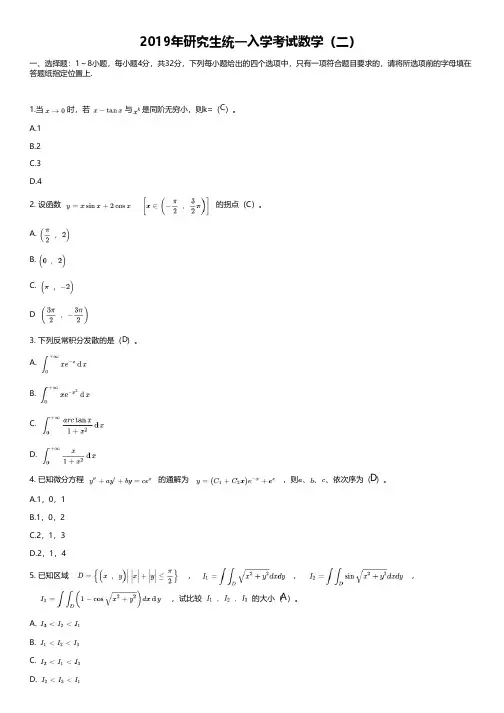
2019年研究生统一入学考试数学(二)一、选择题:1~8小题,每小题4分,共32分,下列每小题给出的四个选项中,只有一项符合题目要求的,请将所选项前的字母填在答题纸指定位置上.1.当时,若与是同阶无穷小,则k=( )。
A.1B.2C.3D.42.设函数的拐点( )。
A.B.C.D 3.下列反常积分发散的是( )。
A.B.C.D.4.已知微分方程的通解为,则、、、依次序为( )。
A.1,0,1B.1,0,2C.2,1,3D.2,1,45.已知区域,,,,试比较的大小( )。
A.B.C.D.CCDDA6.已知是二阶可导且在处连续,请问相切于且曲率相等是的什么条件?A.充分非必要条件B.充分必要条件C.必要非充分条件D.即非充分又非必要条件7.设A是四阶矩阵,是A的伴随矩阵,若线性方程组的基础解系中只有2个向量,则的秩是( )。
A.0B.1C.2D.38.设A是3阶实对称矩阵,E是3阶单位矩阵。
若,且,则规范形为( )。
A.B.C.D.二、填空题:9-14小题,每小题4分,共24分,请将答案写在答题纸指定位置上.9.。
10.曲线在对应点处切线在y轴上的截距。
11.设函数可导,,则。
12.已知函数的弧长为。
13.已知函数,则。
14.已知矩阵,表示中元的代数余子式,则。
三、解答题:15—23小题,共94分.请将解答写在答题纸指定位置上.解答应写出文字说明、证明过程或演算步骤.本题为多选,计算步骤符合采分点即可得分。
15.已知求,并求的极值。
当x>0时,当x<0时,AA C故,而在x=0附近时,当x>0,,单调递减;当x<0,,单调递增;故在x=0处取极大值16.求不定积分。
17.是微分方程满足的特解。
(1)求;由于则可以得出,两边同时积分可以得由于,代入得c=0,故(2)设平面区域求D绕x轴旋转一周的体积;由体积公式得18.已知平面区域D满足,,求。
极坐标方程为,由于对称性==19.,是的图像与x轴所围成图形的面积,求,并求。
2019年最新AOPA无人机考试题库500题[含答案]一、单选题1.以下哪一种方法更有利于教员激励后进学生的学习动机A.与学生保持良好关系B.通过许诺或奖励给予积极的鼓励C.要求学生做力所能及的工作,以强化他们的自信答案:C2.以下有关教员对学生操作进行评价的叙述,哪一项是正确的A.为表扬而进行的表扬是极其重要的B.评价具有建设性并且是客观的C.评价应详尽涉及学生操作的每一方面答案:B3.在学生能够集中精力于学习之前,下列哪一项人类的需要应首先得到满足A.社会性的需要B.安全的需要C.生理需要答案:C4.以下哪项学生的需要,是教员最难解决的A.归属及爱的需要B.生理需要C.自我实现的需要答案:C5.一些确切的数据几年后会从有意记忆中消失,这是因为A.没有使用B.时间间隔C.干扰答案:A6.完成直角航线飞行有助于学生对起飞和着陆动作的学习,这一现象可称之为A.水平迁移B.正迁移C.伴随迁移答案:B7.当进行某项练习后,干扰了学生对另一项内容的学习,这种情况属于A.逆向迁移B.正迁移C.负迁移答案:C8.在一张典型的学习曲线图上,表示学习的进步停滞不前甚至稍有下降的曲线部分,称作A.学习逆转区B.学习高原区C.学习稳定区答案:B9.在学习的某一阶段,学生开始逐步能够将所学的东西同其它的学习片断相联系,这个阶段属于A.运用阶段B.联想阶段C.彼此关联阶段答案:C10.在学习的各阶段中,以下哪一种顺序是正确的A.记忆.理解.联系.运用B.记忆.理解.运用.联系C.记忆.运用.理解.联系答案:B11.所有学习的共同基础是A.领悟B.动机C.积极的自我意识答案:B12.促进学生领悟能力是教员的重要责任之一,以下哪一种方法有利于提高学员的领悟能力A.对学生进行分析B.将所教授的知识或技能加以群集,并使之成为有意义的整体C.学生对所学原理的掌握答案:B13.在学习过程中,恐惧或威胁性刺激将会A.激励学生不断进步B.使学生知觉范围缩小C.减少相关反应的比率答案:B14.按“搭积木”学习理论,教员在教学过程中应尽可能做到A.教学内容的整体性和结构性B.教学内容的难度和新颖性C.教学内容的实用性和新颖性答案:A15.当一个学生提出无关的问题或拒绝参加班级活动时,这通常意味着该学生产生了以下哪一种防御机制A.逃避B.攻击C.屈从答案:B16.当教员为地面课程或飞行后的讲评工作作出细致的总结时,可把这种情况视为A.近因律B.首因律C.练习律答案:A17.//教员考题18.由经验的获得引起的行为的改变称之为A.学习B.知识C.理解答案:A19.一切增进学生知识与技能.改变学生思想和行为的活动,称之为A.学习B.教学C.教育答案:C20.教学中,在对教材进行学习的同时,学生还可学到其它的东西,这种额外的学习可称之为A.附加学习B.概念学习C.伴随学习答案:A21.一个人在自己愿意学习时学习效果最佳,这反应了学习的A.练习律B.准备律C.效果律答案:B22.学习的四个基本要素是A.内驱力.线索.反应和强化B.学习条件.职业酬金.生活条件.人际关系C.人际关系.线索.反应和强化答案:C23.完整教学过程基本环节的顺序应该A.确定学生原有水平.明确教学目标.分析任务.教材设计.教学.评定B.分析任务.明确教学目标.确定学生原有水平.教材设计.教学.评定C.明确教学目标.分析任务.确定学生原有水平.教材设计.教学.评定答案:C24.对以下哪一种学生,教员可进行谴责或进行威胁A.消极沮丧的学生B.兴趣不浓的学生C.过于自负的学生答案:C25.下列哪条学习定律表明学习效果会因情绪上的不愉快而被削弱A.效果律B.首因律C.强化律答案:A26.下列哪一个因素对学生的感知范围影响最大A.基本需要B.身体状况C.威胁性刺激答案:C27.知觉的产生是由于A.将各种片断的信息加以分类和综合B.将感觉信息赋予意义C.对看到的暗示作出反应,其次是听到的暗示,然后把这些暗示同以前所学的知识加以联系答案:B28.学生不愿接受新知识,拒绝进行额外练习的现象,主要是由于A.价值观错位造成的B.基本需要未能得到满足造成的C.消极的自我意识造成的答案:C29.下列有关激励价值的阐述,哪一条是正确的A.进行的激励必须十分明确,且是有用的B.激励可以非常细微.并且难以察觉C.消极的激励经常同积极的激励一样会产生作用答案:A30.当学生在完成前阶段的训练后没有掌握好有关知识和技能,从而在训练的高级阶段感到茫然和不知所措时,他们的防御机制通常表现为A.倒退B.放弃C.文饰答案:B31.以学生情绪反应为基础的学习定律叫做A.效果律B.准备律C.强化律答案:A32.在教学过程中,下列哪一种呈现方式对呈现新材料,概括新思想或陈述理论与实践的关系较为适合A.讲座的方式B.整体教学方式C.示范与演示方式答案:A33.在融合空域3,000米以上运行的小型无人机驾驶员,应至少持有飞机或直升机等级的A.航线运输执照B.私照C.商照答案:C.34.当教员对学生进行评价时,应该A.私下进行B.主观而非客观地进行C.在学生操作结束后立即进行答案:C35.下列关于教员讲评工作的叙述,哪一项是正确的A.综合讲评必须详尽地覆盖学生操作的每一方面B.教员应依靠自身所处的地位作出能为学生接受的讲评C.在学生愿意接受教员的讲评之前,他们首先应接纳教员本人答案:A36.在介绍一个课题时,下列哪种方法在所需时间内呈现一定量的材料时最省时A.讲座B.简介C.示范答案:A37.示范与练习教学法的基本步骤是:A.示范.练习.讲评B.解释.学生操作.讲评C.解释.示范.学生操作.教官监督.讲评答案:C38.在采用示范与练习教学法时,哪两项单独的活动应同时进行A.教员的示范和讲评B.学生的操作和教员的监控C.教员的解释和学生的练习答案:B39.在为指导学生讨论而准备问题时,教员应记住这样做的目的应该是A.发展学生的口头表达能力B.对学生的知识进行评价和分级C.讨论的主题有助于加强学生理解教学内容答案:C40.学生在教员指导下讨论力矩问题时,最好从下列哪个问题开始A.力矩会对飞机产生影响吗B.力矩是怎样对飞机产生影响的C.是力矩引起飞机转弯吗答案:A41.在指导学生进行讨论时,最先提出的问题应该是A.为什么B.是什么C.什么时间答案:B42.经过教员的指导,如果学生已对所呈现的内容进行了充分的讨论,那么教员所能使用的一种最有效的手段是A.系列的口头测验B.对所讨论内容进行书面测验C.对学生在此期间所讨论的内容进行概括和总结答案:A43.讲座的优点之一是A.能为学生提供参与的机会B.能在短时间内呈现较多的内容C.教员能对学生的学习行为进行准确的监控答案:B44.在组织教学材料时,以下哪一步骤可把材料的覆盖面同整个教学过程相联系A.概括B.总结C.引入答案:A45.以下有关对学生进行评价的叙述,哪一项是正确的A.对学生的评价只能是客观的B.对学生学习的评价是每一次课不可缺少的部分C.如果学生出现了于本课无关的错误或不足,这些错误与不足可不予重视,稍后再加以改正答案:A46.尽管防御机制对人类有其积极的一面,但它们也可能成为一种消极因素,主要原因在于A.有可能使人产生自负的态度B.有可能掩盖产生问题的原因C.有可能产生自欺性行为和扭曲事实答案:C47.对学生进行指导时,有效交流的条件通常是A.有效的信息传递和被学生接受B.学生能够重复所接收到的信息C.信息以能够改变学生行为的方式进行传递答案:A48.当学生使用“攻击”防御机制时,他们的表现是A.变得脾气不好.富有挑衅性,有时还要寻找“出气筒”,将怒气宣泄到不相干的人或物身上B.可能会拒绝参加班级活动C.企图为在某些方面不能令人接受的行为而辩解答案:A49.下列哪种情况更有可能降低学生的学习积极性A.过于随便地表扬学生B.告诉学生他们的工作不令人满意,并解释原因C.当教员不懂,却又极力掩饰自己的错误或欺骗学生时答案:C50.经常感到无法控制自己命运的学员,在飞行中容易出现A.屈从态度B.冲动性态度C.侥幸心理态度答案:A51.学生的信心往往会因为教员以下哪一种行为而受到打击A.当教员对某些教学内容拿不准却又欺骗学生时B.指出学生的错误或失败时C.指出学生的错误并予以指导时答案:A52.那些仅把思维局限于学生整体,却忽视学生整体中个体差异的教员是在A.采用一种很好的授课技巧B.采用一种极佳的省时手断C.假定所有学生的水平相近答案:C53.为了提高学生进一步学习的动机,教员应该A.始终让学生认识到他自己存在的不足B.不断地激励学生保持一定的学习动机C.确定一个稍高于学生实际能力的学习标准答案:C54.为了师生之间的有效交流,教员必须做到A.具有高度的语言组织能力B.具有使学生注意力集中的威信C.在向学生传递信息时表现出一种积极的,具有信任感的态度答案:C55.在课堂教学中,对学生的表现及完成效果进行评价的依据是A.学生的个人背景及过去经验B.本课涉及的内容及目的C.学生的实际表现与既定标准之间的差异答案:C56.有的学生在与同学交往过程中“口若悬河”,但与教员或领导交往时却显得非常拘谨和紧张,这种现象可称之为A.“微妙失能”B.“性格内向”C.“变态心理”答案:A57.若某个学生集体“一盘散沙”,教员应该A.经常对个别学生进行批评B.想方设法增强集体的凝聚力和团结C.对个别学生进行严厉的处罚答案:B58.教师在教学过程中使用抽象语言的危险在于A.在学生头脑中形成先入为主的印象B.在学生头脑中产生不同的印象和不同的理解C.不能在学生头脑中形成具有条理性的知识框架答案:B59.最有可能影响有效交流的因素是A.教员采用抽象化语言B.使用不准确的描述C.教员与学生之间缺乏共同的经历答案:C60.以下哪一项因素会对教学过程中的有效交流构成不良影响A.对教员的的尊敬程度B.教员和学生之间的个性差异程度C.教员的学识和组织教学内容的能力答案:C61.在装载时,由于飞机重心偏右,可导致在巡航飞行时,飞机的阻力A.增大B.减小C.不变答案:A.62.教员与学生之间交流的效果是由以下哪一种因素来衡量的A.学生所表现出的求知欲程度B.教员所表达的概念与学生所接受到概念之间的相近程度C.课堂上学生对教员注意的程度答案:B63.申请飞行计划通常应当于飞行前一日什么时间向空中交通管制部门提出申请,并通知有关单位A.15时前B.16时前C.17时前答案:A.64.任务规划由______等组成。
外国语学院(学院代码:005)>>外国语学院概况中国民用航空飞行学院外国语学院是学校人文学科的中坚力量,是民航英语教学与研究的重要基地。
学院下设大学英语教研室、民航英语教研室、英语专业教研室、飞行基础英语教研室和ICAO英语教研室等五个教研室,建有民航英语研究所、民航国际教育研究所和同声传译实验室。
现有教职工90人,其中有海外留学经历的硕士及博士14人,具有高级职称的32人。
>>翻译硕士专业学位点翻译硕士专业学位点是中国民用航空飞行学院唯一人文学科硕士点。
学科点严格按照国务院学位委员会、教育部学位管理与研究生教育司、全国翻译专业学位研究生教育指导委员会等部门的要求进行建设。
学科点依托行业和学校优势,突出翻译硕士专业的民航特色。
翻译硕士点旨在培养具有良好的职业道德、掌握翻译基本理论与操作技能、熟练使用翻译工具、具有广博专业知识、适应民航、航空与区域经济建设需要,具有鲜明民航特色和职业导向的高层次、应用型、专业性口笔译人才,满足我国民航业以及本区域民航相关的运输、维修、制造、培训、管理等多个领域对专门化翻译人才、高级语言服务人才的需求。
>就业方向毕业生可在民航相关领域从事翻译及相关高级语言服务工作。
除此之外,毕业生可从事英语教学、人力资源、行政管理等工作。
>学位类型专业学位硕士研究生完成培养方案中规定的所有环节,成绩合格,达到培养方案规定的学分要求,符合学校相关规定的,可申请学位论文评审与答辩。
学位论文评审与答辩一般在硕士研究生入学后的第六学期进行。
学位论文评审与答辩按照依据《中国民航飞行学院硕士学位论文答辩及学位授予工作细则》和其他有关规定进行。
通过学位论文答辩,符合毕业条件颁发相应学科毕业证书。
达到本学科学位(授予)标准及其他有关要求,符合学位授予条件的,可依据《中国民航飞行学院硕士学位论文答辩及学位授予工作细则》审批,授予“翻译硕士”学位。
>>学科带头人黄德先,上海外国语大学翻译学博士,中国民用航空飞行学院教授,美国肯特州立大学访问学者。
中国民航大学年飞行技术专业招生简章中国民航大学是中国民用航空局直属的一所以培养民航高级工程技术和管理人才为主的高等学府,是中国民用航空局、天津市人民政府、教育部共建高校。
学校的前身是年月日成立的中央人民政府人民革命军事委员会民用航空局第二民用航空学校,由毛泽东主席亲自任命方槐将军为校长,周恩来总理亲自选定校址。
年月日,学校更名为中国民用航空高级航空学校。
年月日,合并组建了中国民用航空机械专科学校,列入普通高校序列。
年月日,学校更名为中国民用航空学院。
年月日,学校更名为中国民航大学。
年月,学校建校周年之际,时任国务院副总理张德江同志来校视察,提出把学校建设成为“享有国际声誉的世界著名的民航类高等学府”的目标。
历经年开拓进取,学校已成为一所民航学科门类齐全的高等学府,被誉为中国民航人才的摇篮,科学技术研究的中心,国际文化交流的窗口。
学校总占地面积万平方米,总建筑面积万平方米。
其中,校本部坐落于天津滨海国际机场旁,分为南北两个校区。
另外建有朝阳飞行学院、内蒙古飞行学院、新疆天翔航空学院个飞行训练学院。
“十三五”期间,学校将在天津市宁河区未来科技城建设占地面积为万平方米的新校区。
中国民航大学对飞行人才的培养与中国民航的成长同步,其教育历史可追溯到上世纪年代。
自年恢复设立飞行技术专业后,基于余年办学历史的积淀,学校飞行技术专业先后被授予“教育部特色专业建设点”、“天津市品牌专业”,加入了教育部“卓越工程师教育培养计划”,年又被教育部列为“本科教学质量与教学改革工程专业综合改革试点单位”。
截止今年,与中国国际航空公司、中国东方航空公司、中国南方航空公司等多家航空公司开展合作,累计为中国民航培养飞行员余人。
一、专业介绍(一)培养目标本专业以工程技术教育为核心,培养具有民航飞行职业所需的政治素质、心理素质和身体素质,系统掌握民用航空器飞行的基础知识、基本理论和基本操作技能,达到符合国际民航标准的英语语言能力水平,初步具备现代民用航空飞行技术应用及管理能力,能够在民用运输航空和通用航空领域从事航空器驾驶工作的高素质专门人才。
飞行学校招生测试题及答案一、选择题(每题2分,共20分)1. 以下哪项不是成为飞行员的基本条件?A. 良好的视力B. 良好的平衡感C. 能够长时间站立D. 喜欢驾驶汽车2. 飞行员在飞行中需要使用哪些设备?A. 导航仪B. 无线电通讯设备C. 飞行模拟器D. 所有以上选项3. 飞行员在起飞前需要进行哪些准备工作?A. 检查飞机的各项指标B. 了解天气预报C. 确认飞行路线D. 所有以上选项4. 以下哪项不是飞行员的职责?A. 确保乘客安全B. 遵守飞行规则C. 维护飞机设备D. 处理乘客投诉5. 飞行员在遇到紧急情况时应该如何做?A. 保持冷静B. 立即通知地面控制中心C. 根据情况采取相应措施D. 所有以上选项6. 飞行员在飞行中需要遵守哪些法规?A. 国际民用航空公约B. 国家航空法规C. 航空公司内部规定D. 所有以上选项7. 飞行员在飞行中遇到恶劣天气应该怎么办?A. 继续飞行B. 改变飞行路线C. 紧急降落D. 根据具体情况决策8. 飞行员在飞行中需要与哪些人员保持沟通?A. 地面控制中心B. 机组成员C. 乘客D. 所有以上选项9. 飞行员在飞行中需要关注哪些飞行参数?A. 飞行高度B. 飞行速度C. 燃料消耗D. 所有以上选项10. 飞行员在飞行结束后需要做哪些工作?A. 填写飞行记录B. 检查飞机状态C. 与地面人员交接D. 所有以上选项二、填空题(每空1分,共10分)1. 飞行员在飞行中需要使用的主要设备包括_______、_______和_______。
2. 飞行员在起飞前需要检查飞机的各项指标,包括_______、_______和_______等。
3. 飞行员在遇到紧急情况时,首先需要_______,然后根据_______采取相应措施。
4. 飞行员在飞行中需要遵守的法规包括_______、_______和_______。
5. 飞行员在飞行结束后需要填写_______,并与_______交接飞机状态。
2024年中国民航飞行学院选考科目要求2024年中国民航飞行学院选考科目要求2024年中国民航飞行学院各专业选考科目要求序号二级学院专业性别要求考试科类(非改革省份)新高考改革省份(通用版选考科目要求)1飞行技术学院飞行技术只招男生文理兼收物理,化学(2门科目考生均须选考方可报考)应用心理学不限理工类物理(1门科目考生必须选考方可报考)2空中交通管理学院交通运输原则上只招男生理工类物理,化学(2门科目考生均须选考方可报考)智慧交通不限理工类物理,化学(2门科目考生均须选考方可报考)导航工程不限理工类物理,化学(2门科目考生均须选考方可报考)3航空气象学院大气科学不限理工类物理,化学(2门科目考生均须选考方可报考)应用气象学不限理工类物理,化学(2门科目考生均须选考方可报考)4航空工程学院飞行器动力工程原则上只招男生理工类物理,化学(2门科目考生均须选考方可报考)飞行器制造工程不限理工类物理,化学(2门科目考生均须选考方可报考)航空航天工程原则上只招男生理工类物理,化学(2门科目考生均须选考方可报考)飞行器适航技术不限理工类物理,化学(2门科目考生均须选考方可报考)飞机机电设备维修原则上只招男生理工类物理(1门科目考生必须选考方可报考)5航空电子电气学院电子信息工程原则上只招男生理工类物理,化学(2门科目考生均须选考方可报考)电气工程及其自动化原则上只招男生理工类物理,化学(2门科目考生均须选考方可报考)无人驾驶航空器系统工程原则上只招男生理工类物理,化学(2门科目考生均须选考方可报考)6机场学院交通工程不限理工类物理,化学(2门科目考生均须选考方可报考)交通管理不限理工类物理(1门科目考生必须选考方可报考)物流工程不限理工类物理(1门科目考生必须选考方可报考)7经济与管理学院工商管理不限文理兼收不提科目要求市场营销不限文理兼收不提科目要求应急管理不限理工类物理(1门科目考生必须选考方可报考)公共事业管理不限文理兼收不提科目要求8计算机学院计算机科学与技术不限理工类物理,化学(2门科目考生均须选考方可报考)物联网工程不限理工类物理,化学(2门科目考生均须选考方可报考)人工智能不限理工类物理,化学(2门科目考生均须选考方可报考)网络空间安全不限理工类物理,化学(2门科目考生均须选考方可报考)9理学院信息与计算科学不限理工类物理,化学(2门科目考生均须选考方可报考)数据科学与大数据技术不限理工类物理,化学(2门科目考生均须选考方可报考)10外国语学院英语不限文理兼收不提科目要求翻译不限文理兼收不提科目要求11民航安全工程学院安全工程原则上只招男生理工类物理,化学(2门科目考生均须选考方可报考)消防工程原则上只招男生理工类物理,化学(2门科目考生均须选考方可报考)12马克思主义学院思想政治教育不限文理兼收思想政治(1门科目考生必须选考方可报考)13空中乘务学院航空服务艺术与管理不限文理兼收不提科目要求空中乘务不限文理兼收不提科目要求14航空安全空中保卫学院体能训练不限文理兼收不提科目要求民航空中安全保卫只招男生文理兼收不提科目要求2024中国民航飞行学院最终选考科目要求以各省市自治区教育考试院向社会公布的选考科目要求为准。
中国民航大学2019年全日制学术型硕士研究生招生专业目录
备注:[1]以上招生人数为预计招生人数,待教育部2019年招生计划下达后会有调整。
[2]以上招生人数含推免生,考试招生专业目录公布的专业拟招生人数为不含拟招收推免硕士生的人数的拟考试招生人数,后期因正式招生计划下达和实际录取推免硕士生可能产生各专业拟考试招生人数会发生变动。
[3]以上信息如果与研招网报名数据库有出入,以报名库为准。
中国民航大学
2019年全日制专业学位硕士研究生招生专业目录
备注:[1]以上招生人数为预计招生人数,待教育部2019年招生计划下达后会有调整。
[2]以上招生人数含推免生,考试招生专业目录公布的专业拟招生人数为不含拟招收推免硕士生的人数的拟考试招生人数,后期因正式招生计划下达和实际录取推免硕士生可能产生各专业拟考试招生人数会发生变动。
[3]以上信息如果与研招网报名数据库有出入,以报名库为准。
中国民航大学
2019年非全日制工程硕士研究生招生专业目录
备注:[1]以上招生人数为预计招生人数,待教育部2019年招生计划下达后会有调整。
[2]以上招生人数含推免生,考试招生专业目录公布的专业拟招生人数为不含拟招收推免硕士生的人数的拟考试招生人数,后期因正式招生计划下达和实际录取推免硕士生可能产生各专业拟考试招生人数会发生变动。
[3]以上信息如果与研招网报名数据库有出入,以报名库为准。
中国民航大学
2019年非全日制工商管理硕士研究生招生专业目录
备注:[1]以上招生人数为预计招生人数,待教育部2019年招生计划下达后会有调整。
[2]以上招生人数不含推免生
[3]以上信息如果与研招网报名数据库有出入,以报名库为准。
2019中国民用航空飞行学院各专业录取分数线汇总高考填志愿想要报考中国民用航空飞行学院的考生们需要注意了,下文中小编给大家整理了2019年中国民用航空飞行学院在各省各专业的高考录取分数线详情,供参考查阅!2019中国民用航空飞行学院各省各专业分数线汇总年份省份文理科批次专业分数线2019安徽理科本二批电气工程及其自动化(航空电气设备维修)(只招男生;无色盲、色弱)02019安徽理科本二批飞行器动力工程(飞机发动机维修)(只招男生;无色盲、色弱)02019安徽理科本二批计算机科学与技术(无色盲、色弱)02019安徽理科本二批市场营销02019安徽理科本二批应用气象学(机场气象预报、航空公司气象分析)(无色盲、色弱)02019安徽理科本二批应用心理学02019安徽文科本二批工商管理02019北京理科本科批飞行器适航技术(男)(只招男生,无色盲色弱)(办学地点:校本部)02019北京理科本科批航空航天工程(直升机维修工程)(男)(只招男生,无色盲色弱)(办学地点:校本部)02019北京理科本科批应用心理学(办学地点:校本部)02019福建理科本二批安全工程(航空油料储运安全)(只招男生无色盲色弱,无嗅觉障碍)02019福建理科本二批电子信息工程(航空电子设备维修)(只招男生,无色盲色弱)02019福建理科本二批飞行器适航技术(只招男生,无色盲色弱)02019福建理科本二批工商管理02019福建理科本二批航空航天工程(直升机维修工程)(只招男生,无色盲色弱)02019福建理科本二批计算机科学与技术(无色盲色弱)02019福建理科本二批交通管理(机场运行管理)(无色盲色弱)02019福建理科本二批物流工程(航空物流)(无色盲色弱)02019福建理科本二批信息与计算科学(无色盲色弱)02019福建文科本二批工商管理02019甘肃理科本二批安全工程(航空油料储运安全)(只招男生。
无色盲色弱,无嗅觉障碍)02019甘肃理科本二批信息与计算科学(无色盲色弱)02019甘肃理科本二批英语(招英语考生,高考英语单科成绩不低于110分)02019甘肃理科本一批电子信息工程(航空电子设备维修)(只招男生,无色盲色弱)02019甘肃理科本一批飞行器制造工程(飞机结构维修)(无色盲色弱)02019甘肃文科本二批工商管理02019广东理科本科批导航工程(不招色盲色弱培养导航应用与规划、空管保障设施人才)02019广东理科本科批飞行器制造工程(不招色盲色弱培养飞机结构维修人才)02019广东理科本科批交通运输(只招男生;不招色盲色弱培养空中交通管制、飞行签派、航行情报人才;请有精神疾病病史的考生慎重报考;根据(民用航空人员体检合格证管理规则)(CCAR67FSR2)规定,报考该专业对考生的身体条件有特殊要求,具体请查询学校招生章程)02019广东理科本科批市场营销02019广东理科本科批物流工程(不招色盲色弱培养航空物流人才)02019广东文科本科批市场营销02019广东文科本科批思想政治教育02019广西理科本二批电气工程及其自动化(航空电气设备维修)(只招男生,无色盲色弱)02019广西理科本二批工商管理02019广西理科本二批计算机科学与技术(考生无色盲色弱)02019广西理科本二批交通运输(空中交通管制、飞行签派、航行情报)(只招男生,肝功正常,每眼矫正或未矫正远视力不低于0.7、双眼远视力不低于1.0(C字表),无色盲色弱,无显斜视,无语言、发音或听力障碍,无精神疾病病史等)02019广西理科本二批消防工程(只招男生,无色盲色弱,无嗅觉障碍)02019广西理科本二批应用气象学(机场气象预报、航空公司气象分析)(考生无色盲色弱)02019广西理科本二批英语(需外语口试,外语口试成绩达“B等级”及以上,英语单科成绩不低于110分)02019贵州理科本二批电气工程及其自动化(航空电气设备维修只招男生,无色盲色弱)02019贵州理科本二批电子信息工程(航空电子设备维修只招男生,无色盲色弱)02019贵州理科本二批飞行器制造工程(飞机结构维修无色盲色弱)02019贵州理科本二批交通工程(机场管理与工程无色盲色弱)02019贵州理科本二批应用气象学(机场气象预报、航空公司气象分析无色盲色弱)02019贵州理科本二批英语(高考英语单科成绩不低于110分,须加试口语)02019贵州文科本二批工商管理02019贵州文科本二批思想政治教育02019海南理科本科A 批安全工程(航空油料储运安全)(只招男生;不招色盲、色弱、嗅觉障碍者)02019海南理科本科A批飞行器动力工程(飞机发动机维修)(只招男生;不招色盲、色弱)02019海南理科本科A批飞行器适航技术(只招男生;不招色盲、色弱)02019海南理科本科A批信息与计算科学(不招色盲、色弱)02019海南理科本科A批应用气象学(机场气象预报、航空公司气象分析)(不招色盲、色弱)02019海南理科本科A批应用心理学02019海南文科本科A批工商管理02019河北理科本二批飞行器制造工程(飞机结构维修)(无色盲色弱)02019河北理科本二批工商管理02019河北理科本二批交通管理(机场运行管理)(无色盲色弱)02019河北理科本二批消防工程(只招男生。
中国民航飞行学院2019年度飞行技术专业招生简章(辽宁)空乘民航招飞频道为大家提供中国民航飞行学院2019年度飞行技术专业招生简章(辽宁),一起来看看吧!更多高考资讯请关注我们网站的更新!中国民航飞行学院2019年度飞行技术专业招生简章(辽宁)随着国家民航事业的迅猛发展,民航各运输企业迫切需要大量飞行技术专业人员。
根据民航2019年招飞计划会议精神和我院发展规划,2019年我院拟在辽宁省招收飞行技术专业学生(部分城市与中国国际航空公司进行校企合作,联合招飞),具体情况如下:一、招飞计划具体招生计划以辽宁省招生考试委员会最终面向社会公布数为准。
飞行技术专业学制四年,本科提前批录取。
二、培养目标1、定向国航飞行员;2、定向我院飞行教师、海航股份公司、四川航空公司、厦门航空公司、成都航空公司、西藏航空公司、深圳航空公司、吉祥航空公司、春秋航空公司、首都航空公司、长龙航空公司、祥鹏航空公司、邮政航空公司等全国30余家大型民航运输企业飞行员。
三、招飞条件1、招飞对象和范围:招收参加2019年辽宁省全国普通高校招生统一考试的男性文、理科应、往届高中毕业生,年龄16—20周岁(1999年9月1日——2003年8月31日),外语语种英语。
2、政治条件:拥护党的路线、方针、政策,热爱社会主义祖国,品德优良,志愿献身民航飞行事业,符合《民用航空背景调查规定》标准。
3、身体条件:身体通过我院指定的民航体检鉴定机构招飞体检。
4、心理品质条件:参加民航局组织的飞行员心理选拔测试,其心理品质应满足民航飞行职业需求。
5、文化条件:高考成绩应达到民航局确定的招飞录取控制分数线(不享受任何政策加分照顾),控制线上考生按计划从高到低择优录取。
四、招飞程序考生通过招飞系统确认的“有效招飞志愿”,将作为考生填报中国民用航空飞行学院飞行技术专业高考志愿的依据,即“有效招飞志愿”。
系统中未确认中国民用航空飞行学院本校志愿的,将视为无效志愿,我校将不予录取。
2010交通运输《领航学》试题B一、选择题(20分)1、领航学所要解决的基本问题是():A〕位置(几点几分飞机在某地的上空〕 B〕方向C〕方向、距离和位置 D〕距离和时间2、在航图上,大圆航线表现为直线的航图有():A〕等角正圆柱投影图 B〕等角正割圆锥投影图C〕高斯—克吕格投影图 D〕极地球心方位投影图3、1nm相当于多少千km和多少sm?():A〕1.852km和1.15sm B〕1.15km和1.852smC〕1.15km和0.54sm D〕1.852km和0.54sm4、磁差是指( ):A〕磁经线偏离真经线的角度 B〕真经线偏离磁经线的角度C〕磁经线偏离罗经线的角度 D〕罗经线偏离磁经线的角度5、比例尺为1∶50万的航图,图上长1cm,相当于地面长( ):A〕0.5km B〕5km C〕50km D〕500km6、东八区和西八区相差几个小时?A〕8小时 B〕16小时 C〕14小时 D〕22小时7、(N31°12′ E121°20′)位于那幅1:100万世界通用航图中?( )A〕7-50 B〕8-51C〕7-51 D〕8-218、飞机上磁罗盘的经线同磁经线常不一致,这是因为( ):A〕罗盘安装到飞机上后没有校准好 B〕磁北极同地理北极不在一处C〕飞机磁场对罗盘磁条的影响 D〕飞机纵轴对正的方向变化°9、飞行高度是指( ):A〕飞机飞行的高度 B〕飞机到某一基准水平面的垂直距离C〕飞机到机场平面的垂直距离 D〕飞机到海平面的垂直距离10、飞机在四转弯过程中,如果飞机偏在转弯航迹的内侧,应如何处置( ):A〕适当减小坡度 B〕适当增大坡度C〕保持原来的坡度不变继续转弯 D〕无法修正11、最后进近规定的下降梯度为5.2%,当最后进近的速度200km/h应保持多大的下降率下降():A〕5.2m/s B〕3.7m/sC〕2.9m/s D〕10.4m/s12、飞机采用被动向台飞行,飞行中受到侧风的影响,飞机的航迹是( ):A〕偏向下风的直线 B〕偏向上风的直线C〕偏向下风的曲线或者折线 D〕偏向上风的曲线或者折线13、预定航线的磁航线角350°,航行风向200°,航线上存在什么侧风?( ):A〕右逆侧风 B〕左顺侧风 C〕左逆侧风 D〕右顺侧风14、飞机在平直匀速飞行中,直读磁罗盘指示的航向是120°,罗差为-2°,磁差为6°E,则真航向、磁航向和罗航向各是多少度?():A〕120°,126°,128° B〕120°,114°,112°C〕128°,122°,120° D〕124°,118°,120°15、VOR/DME为基础的区域导航,连续求解一个区域导航三角形是为了计算出飞往某个确定航路点的( ):A、航线角和航线飞行高度B、航线距离C、航线角和航线距离D、航线角和航线飞行高度16、ADF指示器指示RB270°,说明电台在飞机的( )位置:A〕正右 B〕正东 C〕正西 D〕正左17、飞机保持磁航向230°沿磁航线角220°的航线飞行,已知预定方位线的电台磁方位130°,这时空中测得电台磁方位135°,说明( ):A〕飞机到方位线上 B〕已飞过预定方位线C〕还没有到达预定方位线 D〕无法判定18、能够引导飞机做精密进近的是( ):A、NDBB、VORC、ILSD、VOR/DME19、GPS采用几颗卫星定位():A、3B、4C、2D、520、INS系统属于( ):A、自备式近程导航系统B、他备式近程导航系统C、自备式远程导航系统D、他备式远程导航系统二、填空题(20分)1、地球磁场的三要素包括______________、_________________和________________。
2019年中国民航飞行学院硕士研究生入学考试
管理学考试大纲
一、考试性质
管理学是我校机场工程与运输管理学院硕士生入学考试的综合考试科目之一,它是我校为招收交通运输规划与管理学科硕士研究生而实施的水平考试,其评价标准是普通高等院校优秀本科毕业生能够达到的及格以上水平,以保证被录取者较好地掌握了必备的专业基础知识。
本门课程主要考试内容包括:管理学基础概念、管理学简史、现代管理理论和方法,国内外相关理论成果,注重考察考生是否已经掌握管理学基本的理论知识与方法并具备一定的应用能力。
二、考试形式与试卷结构
1. 答卷方式:闭卷、笔试
2. 答卷时间:180分钟
3. 题型比例:满分150分,基本概念20%,理论及实证分析题80%。
三、考查要点
1.管理活动与管理理论:
管理与管理活动、中外早起管理思想、代表性管理理论
2.道德与社会责任:
概念、代表性道德观、社会责任观、培育管理道德的途径、承担社会责任的途径
3.信息
概念、信息管理原理、原则、信息管理过程与内容
4.决策
原则、程序、方法
5.计划:
计划的分类、要素、编制步骤、战略性计划、计划的组织实施
6.组织设计:
原则、内容、方法、代表性组织架构
7.人力资源管理:
人力资源计划、招聘、培训、绩效考核、薪酬福利
8.组织变革与组织文化:
变革的动因、过程、动力、阻力、阻力管理,变革的内容,组织文化的内容、作用、建设途径
9.领导概论、激励:
领导概念、要素、代表性领导理论,激励原理及理论
10.沟通:
概念、原理、形式、方法、噪音及管理
11.控制:
原理与方法
12.创新:
管理的创新职能、企业技术创新、企业组织创新,培育创新机制的途径。
四、课程涉及相关书目
1.《管理学》,周三多主编,高等教育出版社。
2.《管理学》,哈罗德·孔茨等著,上海人民出版社。