高级中学数学公式定理一览表
- 格式:doc
- 大小:372.65 KB
- 文档页数:8
高中所有数学公式高中数学公式是学习数学的基础,它们在高中数学学科中起着重要的作用。
下面是一些常见的高中数学公式。
1. 代数公式- 二次方程求根公式:对于一般形式的二次方程ax^2+bx+c=0,其根的公式为 x=(-b±√(b^2-4ac))/(2a)。
- 一元二次方程的判别式:对于一元二次方程ax^2+bx+c=0,其判别式为Δ=b^2-4ac。
- 二次函数顶点坐标公式:二次函数y=ax^2+bx+c的顶点坐标为(-b/2a, f(-b/2a))。
- 幂函数:幂函数的基本形式为y=ax^n,其中a是常数,n是正整数。
2. 几何公式- 矩形的面积:矩形的面积等于长乘以宽,即A=长×宽。
- 三角形的面积:三角形的面积等于底边乘以高的一半,即A=(底边×高)/2。
- 直角三角形的勾股定理:直角三角形中,直角边的平方等于两直角边平方和,即a^2+b^2=c^2。
- 正弦定理:对于任意三角形ABC,有sinA/a=sinB/b=sinC/c。
- 余弦定理:对于任意三角形ABC,有c^2=a^2+b^2-2abcosC。
3. 微积分公式- 导数的定义:对于函数f(x),其导数f'(x)表示函数在某一点的瞬时变化率。
- 基本导数公式:对于常数c和幂函数f(x)=x^n,有(d/dx)(c)=0和(d/dx)(x^n)=nx^(n-1)。
- 反函数的导数:若f(x)的导数存在且非零,则其反函数g(x)的导数为g'(x)=1/f'(g(x))。
- 积分的定义:函数F(x)是f(x)在区间[a,b]上的一个原函数,那么∫[a,b]f(x)dx=F(b)-F(a)。
- 基本积分公式:对于常数c和幂函数f(x)=x^n,有∫f(x)dx=(1/(n+1))x^(n+1)+c。
4. 概率统计公式- 排列公式:n个不同元素的全排列数P(n)=n!- 组合公式:从n个不同元素中选取m个元素的组合数C(n,m)=n!/(m!(n-m)!)- 二项式定理:对于任意实数a、b和正整数n,有(a+b)^n=∑[k=0 to n](C(n,k)a^(n-k)b^k)。
1.1 集合的概念与运算(1)元素a 和集合A 之间的关系:a ∈A ,或a ∉A ;(2)常用数集: 自然数集:N 正整数集:*N 或N +整数集:Z 有理数集:Q 实数集:R 1.2 子集(1)定义:A 中的任何元素都属于B ,则A 叫B 的子集 ;记作:A ⊆B ,注意:A ⊆B 时,A 有两种情况:A =φ与A ≠φ (2)性质:①A A A ⊆⊆φ,;②若C B B A ⊆⊆,,则C A ⊆; ③若A B B A ⊆⊆,则A =B ;1.3 真子集 (1)定义:A 是B 的子集 ,且B 中至少有一个元素不属于A ;记作:B A ⊂; (2)性质:①,A A φφ≠⊂;②若,A B B C ⊂⊂,则A C ⊂; 1.4 补集:(1)定义:记作:},|{A x U x x A C U ∉∈=且;(2)性质:A A C C U A C A A C A U U U U ===)(,, φ; 1.5 交集与并集 (1)交集:{|,且}AB x x A x B =∈∈性质:①φφ== A A A A , ②若B B A = ,则A B ⊆ (2)并集:{|,或}AB x x A x B =∈∈性质:①A A A A A ==φ , ②若B B A = ,则B A ⊆ 1.6 集合运算中常用结论 (1)U U AB A A B B A BC B C A =⇔=⇔⊆⇔⊆(2)含n 个元素的集合的所有子集有n2个2.1 二次函数、一元二次方程、一元二次不等式三者之间的关系:3.1 简易逻辑真值表:p 或q ,同假为假,否则为真; p 且q ,同真为真, 否则为假; 非p ,真假相反。
3.2 四种命题(1)命题的四种形式: 原命题:若p 则q ; 逆命题:若q 则p ; 否命题:若⌝p 则⌝q ;逆否命题:若⌝q 则⌝p ; 注意:①互为逆否的两个命题是等价的;②“命题的否定”与“否命题”不同;(2)利用集合之间的包含关系判断命题之间的充要关系 设满足条件p 的元素构成集合A , 满足条件q 的元素构成集合B①若A B ⊆,则p 是q 成立的充分条件; ②若A B =,则p 是q 的充要条件;③若A B ⊂,则p 是q 的充分不必要条件;④若,且A B B A ⊄⊄,则p 是q 的既不充分也不必要条件。
高中必背88个数学公式数学公式是学习数学的基础,掌握数学公式可以帮助我们更好地理解和应用数学知识。
在高中数学学习中,有许多重要的数学公式需要掌握,下面是88个高中数学必背的公式,希望对大家的学习有所帮助。
1. 一次函数的解析式:y=kx+b2. 二次函数的解析式:y=ax^2+bx+c (a≠0)3. 三角函数的正弦定理:a/sinA=b/sinB=c/sinC=2R(R为外接圆半径)4. 三角函数的余弦定理:a^2=b^2+c^2-2bccosA5. 三角函数的正切定理:tanA=(a+b)/(a-b),其中b为切点到直角边的距离6. 直线一般式:Ax+By+C=07. 直线斜截式:y=kx+b8. 直线截距式:y=kx+b9. 圆的标准式:(x-a)^2+(y-b)^2=r^210. 圆的一般式:x^2+y^2+Dx+Ey+F=011. 平移变换:f(x-a)+b12. 对称变换:f(-x)13. 缩放变换:kf(x)14. 一元二次方程:ax^2+bx+c=0 (a≠0)15. 四则运算公式:a+b=b+a,a-b=-(b-a),ab=ba,a/b≠b/a,(a+b)c=ac+bc16. 开平方公式:(a+b)^2=a^2+2ab+b^2,(a-b)^2=a^2-2ab+b^217. 完全平方公式:a^2+2ab+b^2=(a+b)^2,a^2-2ab+b^2=(a-b)^218. 因式分解公式:x^2-y^2=(x+y)(x-y),a^2-b^2=(a+b)(a-b)19. 同底数幂的乘除法:a^m*a^n=a^(m+n),a^m/a^n=a^(m-n)20. 同底数幂的幂次方:(a^m)^n=a^(mn)21. 十进制、二进制、八进制、十六进制:十进制N=(a[n]*10^n)+(a[n-1]*10^(n-1))+...+a[0]*10^0,二进制N=(a[n]*2^n)+(a[n-1]*2^(n-1))+...+a[0]*2^0,八进制N=(a[n]*8^n)+(a[n-1]*8^(n-1))+...+a[0]*8^0,十六进制N=(a[n]*16^n)+(a[n-1]*16^(n-1))+...+a[0]*16^022. 分数通分公式:a/b+c/d=(ad+bc)/bd23. 分数加减法:a/b±c/d=[(ad±bc)/bd]24. 分数乘法:a/b×c/d=(ac/bd)25. 分数除法:a/b÷c/d=(ad/bc)26. 多项式加减法:(a+b)+c=a+(b+c),(a+b)−c=a+(−c+b)27. 多项式乘法:(a+b)(c+d)=ac+ad+bc+bd28. 向量的模:|a|=\sqrt(a[1]^2+a[2]^2+...+a[n]^2)29. 向量的点乘:a·b=|a||b|cosθ (θ为a、b之间的夹角)30. 向量的叉乘:a×b=|a||b|sinθ (θ为a、b之间的夹角)31. 三角函数的倒数关系:sinx/cscx=cosx/secx=tanx/cotx=132. 三角函数的和差化积:sin(a±b)=sinacosb±cosasinb,cos(a±b)=cosacosb∓sinasinb33. 三角函数的倍角公式:sin2x=2sinxcosx,cos2x=cos^2x-sin^2x=2cos^2x-1=1-2sin^2x,tan2x=(2tanx)/(1-tan^2x)34. 三角函数的半角公式:sin(x/2)=±√[(1-cosx)/2],cos(x/2)=±√[(1+cosx)/2],tan(x/2)=±√[(1-cosx)/(1+cosx)]35. 三角函数的和化积公式:sinx+siny=2sin[(x+y)/2]cos[(x-y)/2],sinx-siny=2cos[(x+y)/2]sin[(x-y)/2],cosx+cosy=2cos[(x+y)/2]cos[(x-y)/2],cosx-cosy=-2sin[(x+y)/2]sin[(x-y)/2]36. 反三角函数的定义域和值域:arcsinx∈[-π/2,π/2],arccosx∈[0,π],arctanx∈[-π/2,π/2]37. 常用极限:lim(x→0)[(sinx)/x]=1,lim(x→0)[(1-cosx)/x]=0,lim(x→0)[(e^x-1)/x]=1,lim(x→∞)[(1+1/x)^x]=e38. 对数的性质:loga1=0,logaa=1,loga(ab)=logaa+logab,loga(a/b)=logaa−logab,loga(b^n)=nlogab39. 反比例函数的性质:y=k/x,原点位于直线y=x和y=-x的交点上;当x<0时,y<0;当x>0时,y>0;当x=0时,y不存在40. 一元二次不等式:ax^2+bx+c>0 (a>0)41. 一元二次方程的公式解:x=[-b±√(b^2-4ac)]/2a42. 复数的加减乘除:(a+bi)+(c+di)=(a+c)+(b+d)i,(a+bi)−(c+di)=(a−c)+(b−d)i,(a+bi)(c+di)=(ac−bd)+(ad+bc)i,(a+bi)/(c+di)=[(ac+bd)/(c^2+d^2)]+[(bc−ad)/(c^2+d^2)]i43. 平面直角坐标系中点公式:[(x1+x2)/2,(y1+y2)/2]44. 垂直平分线公式:(x-x1)^2+(y-y1)^2=(x-x2)^2+(y-y2)^245. 线段长度公式:√[(x2-x1)^2+(y2-y1)^2]46. 直线的斜率公式:k=(y2-y1)/(x2-x1)47. 直线的法线斜率公式:k=-1/k48. 直线的斜截式公式:y=kx+b49. 直线的截距式公式:y=kx+b50. 直线的一般式公式:Ax+By+C=051. 点到直线的距离公式:d=|(Ax1+By1+C)/√(A^2+B^2)|52. 圆心坐标公式:(a,b)53. 圆的半径公式:r=√[(x-a)^2+(y-b)^2]54. 圆的标准方程公式:(x-a)^2+(y-b)^2=r^255. 圆的一般方程公式:x^2+y^2+Dx+Ey+F=056. 平移变换公式:f(x-a)+b57. 对称变换公式:f(-x)58. 缩放变换公式:kf(x)59. 函数复合公式:f(g(x))60. 函数的奇偶性判断公式:f(-x)=±f(x)61. 关于y轴对称公式:f(-x)=f(x)62. 关于x轴对称公式:f(x)=-f(-x)63. 虚函数公式:f(x)≠064. 函数单调性判断公式:当f'(x)>0时,f(x)单调递增;当f'(x)<0时,f(x)单调递减65. 平均数公式:(a1+a2+...+an)/n66. 中位数公式:当n为奇数时,中位数为第(n+1)/2个数;当n为偶数时,中位数为第n/2个数和第(n/2+1)个数的平均数67. 众数公式:出现次数最多的数即为众数68. 极差公式:最大值与最小值的差69. 方差公式:[(x1-平均数)^2+(x2-平均数)^2+...+(xn-平均数)^2]/n70. 标准差公式:√[方差]71. 等差数列求和公式:S=(a1+an)n/272. 等差数列通项公式:an=a1+(n-1)d73. 等比数列求和公式:S=a1(1-q^n)/(1-q)74. 等比数列通项公式:an=a1q^(n-1)75. 两点之间的距离公式:√[(x2-x1)^2+(y2-y1)^2]76. 点到直线的距离公式:d=|(Ax1+By1+C)/√(A^2+B^2)|77. 反比例函数公式:y=k/x78. 指数函数公式:y=a^x79. 对数函数公式:y=logax80. 三角函数公式:sinx=opp/hyp,cosx=adj/hyp,tanx=opp/adj81. 正弦函数奇偶性公式:sin(-x)=-sinx82. 余弦函数奇偶性公式:cos(-x)=cosx83. 正切函数奇偶性公式:tan(-x)=-tanx84. 对数函数奇偶性公式:loga(-x)不存在85. 指数函数奇偶性公式:a^(-x)不存在86. 三角函数的区间解:sin^-1x+2kπ∈[-π/2+kπ,π/2+kπ],cos^-1x+2kπ∈[0+kπ,π+kπ],tan^-1x+2kπ∈[-π/2+kπ,π/2+kπ]87. 三角函数的正负解:tanx正角的解为[0,π/2),余角的解为[π/2,π);tanx负角的解为(π/2,π),余角的解为(π,3π/2]88. 一元二次方程的判别式公式:Δ=b^2-4ac,当Δ>0时,方程有两个不相等的实数根;当Δ=0时,方程有两个相等的实数根;当Δ<0时,方程有两个不相等的虚数根。
初中数学公式表实用工具:常用数学公式公式分类公式表达式乘法与因式分 a2-b2=(a+b)(a-b) a3+b3=(a+b)(a2-ab+b2) a3-b3=(a-b(a2+ab+b2) 三角不等式|a+b|≤|a|+|b| |a-b|≤|a|+|b| |a|≤b<=>-b≤a≤b|a-b|≥|a|-|b| -|a|≤a≤|a|一元二次方程的解 -b+√(b2-4ac)/2a -b-√(b2-4ac)/2a根与系数的关系 X1+X2=-b/a X1*X2=c/a 注:韦达定理判别式 b2-4ac=0 注:方程有两个相等的实根b2-4ac>0 注:方程有两个不等的实根b2-4ac<0 注:方程没有实根,有共轭复数根三角函数公式两角和公式sin(A+B)=sinAcosB+cosAsinB sin(A-B)=sinAcosB-sinBcosAcos(A+B)=cosAcosB-sinAsinB cos(A-B)=cosAcosB+sinAsinBtan(A+B)=(tanA+tanB)/(1-tanAtanB) tan(A-B)=(tanA-tanB)/(1+tanAtanB)ctg(A+B)=(ctgActgB-1)/(ctgB+ctgA) ctg(A-B)=(ctgActgB+1)/(ctgB-ctgA)倍角公式tan2A=2tanA/(1-tan2A) ctg2A=(ctg2A-1)/2ctgacos2a=cos2a-sin2a=2cos2a-1=1-2sin2a半角公式sin(A/2)=√((1-cosA)/2) sin(A/2)=-√((1-cosA)/2)cos(A/2)=√((1+cosA)/2) cos(A/2)=-√((1+cosA)/2)tan(A/2)=√((1-cosA)/((1+cosA)) tan(A/2)=-√((1-cosA)/((1+cosA))ctg(A/2)=√((1+cosA)/((1-cosA)) ctg(A/2)=-√((1+cosA)/((1-cosA))和差化积2sinAcosB=sin(A+B)+sin(A-B) 2cosAsinB=sin(A+B)-sin(A-B)2cosAcosB=cos(A+B)-sin(A-B) -2sinAsinB=cos(A+B)-cos(A-B)sinA+sinB=2sin((A+B)/2)cos((A-B)/2 cosA+cosB=2cos((A+B)/2)sin((A-B)/2)tanA+tanB=sin(A+B)/cosAcosB tanA-tanB=sin(A-B)/cosAcosBctgA+ctgBsin(A+B)/sinAsinB -ctgA+ctgBsin(A+B)/sinAsinB某些数列前n项和1+2+3+4+5+6+7+8+9+…+n=n(n+1)/2 1+3+5+7+9+11+13+15+…+(2n-1)=n22+4+6+8+10+12+14+…+(2n)=n(n+1) 12+22+32+42+52+62+72+82+…+n2=n(n+1)(2n+1)/6 13+23+33+43+53+63+…n3=n2(n+1)2/41*2+2*3+3*4+4*5+5*6+6*7+…+n(n+1)=n(n+1)(n+2)/3正弦定理 a/sinA=b/sinB=c/sinC=2R 注:其中 R 表示三角形的外接圆半径余弦定理 b2=a2+c2-2accosB 注:角B是边a和边c的夹角圆的标准方程 (x-a)2+(y-b)2=r2 注:(a,b)是圆心坐标圆的一般方程 x2+y2+Dx+Ey+F=0 注:D2+E2-4F>0抛物线标准方程 y2=2px y2=-2px x2=2py x2=-2py直棱柱侧面积 S=c*h 斜棱柱侧面积 S=c'*h正棱锥侧面积 S=1/2c*h' 正棱台侧面积 S=1/2(c+c')h'圆台侧面积 S=1/2(c+c')l=pi(R+r)l 球的表面积 S=4pi*r2圆柱侧面积 S=c*h=2pi*h 圆锥侧面积 S=1/2*c*l=pi*r*l弧长公式 l=a*r a是圆心角的弧度数r >0 扇形面积公式 s=1/2*l*r锥体体积公式 V=1/3*S*H 圆锥体体积公式 V=1/3*pi*r2h斜棱柱体积 V=S'L 注:其中,S'是直截面面积, L是侧棱长柱体体积公式 V=s*h 圆柱体 V=pi*r2h一、数与代数A:数与式:1:有理数有理数:①整数→正整数/0/负整数②分数→正分数/负分数数轴:①画一条水平直线,在直线上取一点表示0(原点),选取某一长度作为单位长度,规定直线上向右的方向为正方向,就得到数轴②任何一个有理数都可以用数轴上的一个点来表示。
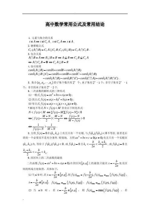
高中数学常用公式及常用结论1. 元素与集合的关系U x A x C A ∈⇔∉,U x C A x A ∈⇔∉. 2.德摩根公式();()U U U U U U C A B C A C B C A B C A C B ==.3.包含关系A B A A B B =⇔=U U A B C B C A ⇔⊆⇔⊆ U A C B ⇔=ΦU C A B R ⇔=4.容斥原理()()card A B cardA cardB card A B =+-()()card A B C cardA cardB cardC card A B =++-()()()()card A B card B C card C A card A B C ---+.5.集合12{,,,}n a a a 的子集个数共有2n 个;真子集有2n –1个;非空子集有2n–1个;非空的真子集有2n–2个.6.二次函数的解析式的三种形式(1)一般式2()(0)f x ax bx c a =++≠; (2)顶点式2()()(0)f x a x h k a =-+≠; (3)零点式12()()()(0)f x a x x x x a =--≠. 7.解连不等式()N f x M <<常有以下转化形式()N f x M <<⇔[()][()]0f x M f x N --<⇔|()|22M N M Nf x +--<⇔()0()f x N M f x ->- ⇔11()f x N M N>--. 8.方程0)(=x f 在),(21k k 上有且只有一个实根,与0)()(21<k f k f 不等价,前者是后者的一个必要而不是充分条件.特别地, 方程)0(02≠=++a c bx ax 有且只有一个实根在),(21k k 内,等价于0)()(21<k f k f ,或0)(1=k f 且22211k k a bk +<-<,或0)(2=k f 且22122k abk k <-<+. 9.闭区间上的二次函数的最值二次函数)0()(2≠++=a c bx ax x f 在闭区间[]q p ,上的最值只能在abx 2-=处及区间的两端点处取得,具体如下:(1)当a>0时,若[]q p a bx ,2∈-=,则{}min max max ()(),()(),()2b f x f f x f p f q a=-=; []q p abx ,2∉-=,{}max max ()(),()f x f p f q =,{}min min ()(),()f x f p f q =. (2)当a<0时,若[]q p a bx ,2∈-=,则{}min ()min (),()f x f p f q =,若[]q p abx ,2∉-=,则{}max ()max (),()f x f p f q =,{}min ()min (),()f x f p f q =. 10.一元二次方程的实根分布依据:若()()0f m f n <,则方程0)(=x f 在区间(,)m n 内至少有一个实根 . 设q px x x f ++=2)(,则(1)方程0)(=x f 在区间),(+∞m 内有根的充要条件为0)(=m f 或2402p q p m ⎧-≥⎪⎨->⎪⎩;(2)方程0)(=x f 在区间(,)m n 内有根的充要条件为()()0f m f n <或2()0()0402f m f n p q p m n >⎧⎪>⎪⎪⎨-≥⎪⎪<-<⎪⎩或()0()0f m af n =⎧⎨>⎩或()0()0f n af m =⎧⎨>⎩; (3)方程0)(=x f 在区间(,)n -∞内有根的充要条件为()0f m <或2402p q p m ⎧-≥⎪⎨-<⎪⎩ .11.定区间上含参数的二次不等式恒成立的条件依据(1)在给定区间),(+∞-∞的子区间L (形如[]βα,,(]β,∞-,[)+∞,α不同)上含参数的二次不等式(,)0f x t ≥(t 为参数)恒成立的充要条件是min (,)0()f x t x L ≥∉.(2)在给定区间),(+∞-∞的子区间上含参数的二次不等式(,)0f x t ≥(t 为参数)恒成立的充要条件是(,)0()man f x t x L ≤∉.(3)0)(24>++=c bx ax x f 恒成立的充要条件是000a b c ≥⎧⎪≥⎨⎪>⎩或2040a b ac <⎧⎨-<⎩.12.13.14.四种命题的相互关系15.充要条件(1)充分条件:若p q ⇒,则p 是q 充分条件.(2)必要条件:若q p ⇒,则p 是q 必要条件.(3)充要条件:若p q ⇒,且q p ⇒,则p 是q 充要条件.注:如果甲是乙的充分条件,则乙是甲的必要条件;反之亦然. 16.函数的单调性(1)设[]2121,,x x b a x x ≠∈⋅那么[]1212()()()0x x f x f x -->⇔[]b a x f x x x f x f ,)(0)()(2121在⇔>--上是增函数;[]1212()()()0x x f x f x --<⇔[]b a x f x x x f x f ,)(0)()(2121在⇔<--上是减函数. (2)设函数)(x f y =在某个区间内可导,如果0)(>'x f ,则)(x f 为增函数;如果0)(<'x f ,则)(x f 为减函数.17.如果函数)(x f 和)(x g 都是减函数,则在公共定义域内,和函数)()(x g x f +也是减函数; 如果函数)(u f y =和)(x g u =在其对应的定义域上都是减函数,则复合函数)]([x g f y =是增函数.18.奇偶函数的图象特征奇函数的图象关于原点对称,偶函数的图象关于y 轴对称;反过来,如果一个函数的图象关于原点对称,那么这个函数是奇函数;如果一个函数的图象关于y 轴对称,那么这个函数是偶函数.19.若函数)(x f y =是偶函数,则)()(a x f a x f --=+;若函数)(a x f y +=是偶函数,则)()(a x f a x f +-=+.20.对于函数)(x f y =(R x ∈),)()(x b f a x f -=+恒成立,则函数)(x f 的对称轴是函数2b a x +=;两个函数)(a x f y +=与)(x b f y -= 的图象关于直线2ba x +=对称. 21.若)()(a x f x f +--=,则函数)(x f y =的图象关于点)0,2(a对称; 若)()(a x f x f +-=,则函数)(x f y =为周期为a 2的周期函数.22.多项式函数110()n n n n P x a x a x a --=+++的奇偶性多项式函数()P x 是奇函数⇔()P x 的偶次项(即奇数项)的系数全为零. 多项式函数()P x 是偶函数⇔()P x 的奇次项(即偶数项)的系数全为零. 23.函数()y f x =的图象的对称性(1)函数()y f x =的图象关于直线x a =对称()()f a x f a x ⇔+=-(2)()f a x f x ⇔-=.(2)函数()y f x =的图象关于直线2a bx +=对称()()f a mx f b mx ⇔+=- ()()f a b mx f mx ⇔+-=.24.两个函数图象的对称性(1)函数()y f x =与函数()y f x =-的图象关于直线0x =(即y 轴)对称. (2)函数()y f mx a =-与函数()y f b mx =-的图象关于直线2a bx m+=对称. (3)函数)(x f y =和)(1x fy -=的图象关于直线y=x 对称.25.若将函数)(x f y =的图象右移a 、上移b 个单位,得到函数b a x f y +-=)(的图象;若将曲线0),(=y x f 的图象右移a 、上移b 个单位,得到曲线0),(=--b y a x f 的图象.26.互为反函数的两个函数的关系a b f b a f =⇔=-)()(1.27.若函数)(b kx f y +=存在反函数,则其反函数为])([11b x f ky -=-,并不是)([1b kx fy +=-,而函数)([1b kx fy +=-是])([1b x f ky -=的反函数. 28.几个常见的函数方程(1)正比例函数()f x cx =,()()(),(1)f x y f x f y f c +=+=.(2)指数函数()xf x a =,()()(),(1)0f x y f x f y f a +==≠.(3)对数函数()log a f x x =,()()(),()1(0,1)f xy f x f y f a a a =+=>≠. (4)幂函数()f x x α=,'()()(),(1)f xy f x f y f α==.(5)余弦函数()cos f x x =,正弦函数()sin g x x =,()()()()()f x y f x f y g x g y -=+,()(0)1,lim1x g x f x→==. 29.几个函数方程的周期(约定a>0)(1))()(a x f x f +=,则)(x f 的周期T=a ; (2)0)()(=+=a x f x f ,或)0)(()(1)(≠=+x f x f a x f , 或1()()f x a f x +=-(()0)f x ≠,或[]1(),(()0,1)2f x a f x +=+∈,则)(x f 的周期T=2a ; (3))0)(()(11)(≠+-=x f a x f x f ,则)(x f 的周期T=3a ; (4))()(1)()()(212121x f x f x f x f x x f -+=+且1212()1(()()1,0||2)f a f x f x x x a =⋅≠<-<,则)(x f 的周期T=4a ;(5)()()(2)(3)(4)f x f x a f x a f x a f x a +++++++()()(2)(3)(4)f x f x a f x a f x a f x a =++++,则)(x f 的周期T=5a ; (6))()()(a x f x f a x f +-=+,则)(x f 的周期T=6a.30.分数指数幂(1)m na =(0,,a m n N *>∈,且1n >). (2)1m nm naa-=(0,,a m n N *>∈,且1n >).31.根式的性质(1)na =.(2)当na =; 当n,0||,0a a a a a ≥⎧==⎨-<⎩.32.有理指数幂的运算性质 (1) (0,,)rsr sa a aa r s Q +⋅=>∈.(2) ()(0,,)r s rs a a a r s Q =>∈. (3)()(0,0,)rr rab a b a b r Q =>>∈.注: 若a >0,p 是一个无理数,则a p 表示一个确定的实数.上述有理指数幂的运算性质,对于无理数指数幂都适用.33.指数式与对数式的互化式log b a N b a N =⇔=(0,1,0)a a N >≠>.34.对数的换底公式log log log m a m NN a=(0a >,且1a ≠,0m >,且1m ≠, 0N >).推论 log log m na a nb b m =(0a >,且1a >,,0m n >,且1m ≠,1n ≠, 0N >).35.对数的四则运算法则若a >0,a ≠1,M >0,N >0,则 (1)log ()log log a a a MN M N =+;(2) log log log aa a MM N N =-; (3)log log ()na a M n M n R =∈.36.设函数)0)((log )(2≠++=a c bx ax x f m ,记ac b 42-=∆.若)(x f 的定义域为R ,则0>a ,且0<∆;若)(x f 的值域为R ,则0>a ,且0≥∆.对于0=a 的情形,需要单独检验.37. 对数换底不等式及其推广若0a >,0b >,0x >,1x a ≠,则函数log ()ax y bx = (1)当a b >时,在1(0,)a 和1(,)a +∞上log ()ax y bx =为增函数., (2)当a b <时,在1(0,)a 和1(,)a+∞上log ()ax y bx =为减函数. 推论:设1n m >>,0p >,0a >,且1a ≠,则 (1)log ()log m p m n p n ++<.(2)2log log log 2a a am nm n +<. 38. 平均增长率的问题如果原来产值的基础数为N ,平均增长率为p ,则对于时间x 的总产值y ,有(1)x y N p =+.39.数列的同项公式与前n 项的和的关系11,1,2n n n s n a s s n -=⎧=⎨-≥⎩( 数列{}n a 的前n 项的和为12n n s a a a =+++).40.等差数列的通项公式*11(1)()n a a n d dn a d n N =+-=+-∈;其前n 项和公式为1()2n n n a a s +=1(1)2n n na d -=+ 211()22d n a d n =+-. 41.等比数列的通项公式1*11()n nn a a a q q n N q-==⋅∈; 其前n 项的和公式为11(1),11,1n n a q q s q na q ⎧-≠⎪=-⎨⎪=⎩或11,11,1n n a a qq q s na q -⎧≠⎪-=⎨⎪=⎩.42.等比差数列{}n a :11,(0)n n a qa d a b q +=+=≠的通项公式为1(1),1(),11n n n b n d q a bq d b q d q q -+-=⎧⎪=+--⎨≠⎪-⎩;其前n 项和公式为(1),(1)1(),(1)111n n nb n n d q s d q db n q q q q +-=⎧⎪=-⎨-+≠⎪---⎩. 43.分期付款(按揭贷款)每次还款(1)(1)1nnab b x b +=+-元(贷款a 元,n 次还清,每期利率为b ). 44.常见三角不等式 (1)若(0,)2x π∈,则sin tan x x x <<.(2) 若(0,)2x π∈,则1sin cos x x <+≤(3) |sin ||cos |1x x +≥.45.同角三角函数的基本关系式22sin cos 1θθ+=,tan θ=θθcos sin ,tan 1cot θθ⋅=. 46.正弦、余弦的诱导公式212(1)sin ,sin()2(1)s ,nn n co απαα-⎧-⎪+=⎨⎪-⎩212(1)s ,s()2(1)sin ,nn co n co απαα+⎧-⎪+=⎨⎪-⎩47.和角与差角公式sin()sin cos cos sin αβαβαβ±=±;cos()cos cos sin sin αβαβαβ±=;tan tan tan()1tan tan αβαβαβ±±=.22sin()sin()sin sin αβαβαβ+-=-(平方正弦公式); 22cos()cos()cos sin αβαβαβ+-=-.sin cos a b αα+=)αϕ+(辅助角ϕ所在象限由点(,)a b 的象限决定,tan baϕ= ).48.二倍角公式sin22sin cos ααα=.2222cos 2cos sin 2cos 112sin ααααα=-=-=-.22tan tan 21tan ααα=-.49. 三倍角公式3sin 33sin 4sin 4sin sin()sin()33ππθθθθθθ=-=-+.3cos34cos 3cos 4cos cos()cos()33ππθθθθθθ=-=-+.323tan tan tan 3tan tan()tan()13tan 33θθππθθθθθ-==-+-.50.三角函数的周期公式函数sin()y x ωϕ=+,x ∈R 及函数cos()y x ωϕ=+,x ∈R(A,ω,ϕ为常数,且A ≠0,ω>0)的周期2T πω=;函数tan()y x ωϕ=+,,2x k k Z ππ≠+∈(A,ω,ϕ为常数,且A≠0,ω>0)的周期T πω=.51.正弦定理2sin sin sin a b cR A B C===. 52.余弦定理2222cos a b c bc A =+-; 2222cos b c a ca B =+-; 2222cos c a b ab C =+-.53.面积定理(1)111222a b c S ah bh ch ===(a b c h h h 、、分别表示a 、b 、c 边上的高). (2)111sin sin sin 222S ab C bc A ca B ===.(3)22(||||)()OAB S OA OB OA OB ∆=⋅-⋅.54.三角形内角和定理在△ABC 中,有()A B C C A B ππ++=⇔=-+222C A B π+⇔=-222()C A B π⇔=-+. 55. 简单的三角方程的通解sin (1)arcsin (,||1)kx a x k a k Z a π=⇔=+-∈≤. s 2arccos (,||1)co x a x k a k Z a π=⇔=±∈≤.tan arctan (,)x a x k a k Z a R π=⇒=+∈∈.特别地,有sin sin (1)()k k k Z αβαπβ=⇔=+-∈.s cos 2()co k k Z αβαπβ=⇔=±∈.tan tan ()k k Z αβαπβ=⇒=+∈.56.最简单的三角不等式及其解集sin (||1)(2arcsin ,2arcsin ),x a a x k a k a k Z πππ>≤⇔∈++-∈.sin (||1)(2arcsin ,2arcsin ),x a a x k a k a k Z πππ<≤⇔∈--+∈. cos (||1)(2arccos ,2arccos ),x a a x k a k a k Z ππ>≤⇔∈-+∈.cos (||1)(2arccos ,22arccos ),x a a x k a k a k Z πππ<≤⇔∈++-∈.tan ()(arctan ,),2x a a R x k a k k Z πππ>∈⇒∈++∈.tan ()(,arctan ),2x a a R x k k a k Z πππ<∈⇒∈-+∈.57.实数与向量的积的运算律 设λ、μ为实数,那么(1) 结合律:λ(μa )=(λμ)a ; (2)第一分配律:(λ+μ)a =λa +μa; (3)第二分配律:λ(a +b )=λa +λb . 58.向量的数量积的运算律: (1) a ·b= b ·a (交换律); (2)(λa )·b= λ(a ·b )=λa ·b = a ·(λb ); (3)(a +b )·c= a ·c +b ·c. 59.平面向量基本定理如果e 1、e 2是同一平面内的两个不共线向量,那么对于这一平面内的任一向量,有且只有一对实数λ1、λ2,使得a=λ1e 1+λ2e 2.不共线的向量e 1、e 2叫做表示这一平面内所有向量的一组基底. 60.向量平行的坐标表示设a =11(,)x y ,b =22(,)x y ,且b ≠0,则a b(b ≠0)12210x y x y ⇔-=. 53. a 与b 的数量积(或内积) a ·b =|a ||b |cos θ. 61. a ·b 的几何意义数量积a ·b 等于a 的长度|a |与b 在a 的方向上的投影|b |cos θ的乘积. 62.平面向量的坐标运算(1)设a =11(,)x y ,b =22(,)x y ,则a+b=1212(,)x x y y ++.(2)设a =11(,)x y ,b =22(,)x y ,则a-b=1212(,)x x y y --. (3)设A 11(,)x y ,B 22(,)x y ,则2121(,)AB OB OA x x y y =-=--.(4)设a =(,),x y R λ∈,则λa=(,)x y λλ.(5)设a =11(,)x y ,b =22(,)x y ,则a ·b=1212()x x y y +. 63.两向量的夹角公式cos θ=(a =11(,)x y ,b =22(,)x y ).64.平面两点间的距离公式 ,A Bd =||AB AB AB =⋅=11(,)x y ,B 22(,)x y ).65.向量的平行与垂直设a =11(,)x y ,b =22(,)x y ,且b ≠0,则 A ||b ⇔b =λa 12210x y x y ⇔-=. a ⊥b(a ≠0)⇔a ·b=012120x x y y ⇔+=. 66.线段的定比分公式设111(,)P x y ,222(,)P x y ,(,)P x y 是线段12P P 的分点,λ是实数,且12PP PP λ=,则121211x x x y y y λλλλ+⎧=⎪⎪+⎨+⎪=⎪+⎩⇔121OP OP OP λλ+=+ ⇔12(1)OP tOP t OP =+-(11t λ=+). 67.三角形的重心坐标公式△ABC 三个顶点的坐标分别为11A(x ,y )、22B(x ,y )、33C(x ,y ),则△ABC 的重心的坐标是123123(,)33x x x y y y G ++++. 68.点的平移公式''''x x h x x h y y k y y k⎧⎧=+=-⎪⎪⇔⎨⎨=+=-⎪⎪⎩⎩''OP OP PP ⇔=+ . 注:图形F 上的任意一点P(x ,y)在平移后图形'F 上的对应点为'''(,)P x y ,且'PP 的坐标为(,)h k .69.“按向量平移”的几个结论(1)点(,)P x y 按向量a =(,)h k 平移后得到点'(,)P x h y k ++.(2) 函数()y f x =的图象C 按向量a =(,)h k 平移后得到图象'C ,则'C 的函数解析式为()y f x h k =-+.(3) 图象'C 按向量a =(,)h k 平移后得到图象C ,若C 的解析式()y f x =,则'C 的函数解析式为()y f x h k =+-.(4)曲线C :(,)0f x y =按向量a =(,)h k 平移后得到图象'C ,则'C 的方程为(,)0f x h y k --=.(5) 向量m =(,)x y 按向量a =(,)h k 平移后得到的向量仍然为m =(,)x y . 70. 三角形五“心”向量形式的充要条件设O 为ABC ∆所在平面上一点,角,,A B C 所对边长分别为,,a b c ,则 (1)O 为ABC ∆的外心222OA OB OC ⇔==. (2)O 为ABC ∆的重心0OA OB OC ⇔++=.(3)O 为ABC ∆的垂心OA OB OB OC OC OA ⇔⋅=⋅=⋅. (4)O 为ABC ∆的内心0aOA bOB cOC ⇔++=. (5)O 为ABC ∆的A ∠的旁心aOA bOB cOC ⇔=+. 71.常用不等式:(1),a b R ∈⇒222a b ab +≥(当且仅当a =b 时取“=”号).(2),a b R +∈⇒2a b+≥(当且仅当a =b 时取“=”号). (3)3333(0,0,0).a b c abc a b c ++≥>>>(4)柯西不等式22222()()(),,,,.a b c d ac bd a b c d R ++≥+∈(5)b a b a b a +≤+≤-. 72.极值定理已知y x ,都是正数,则有(1)若积xy 是定值p ,则当y x =时和y x +有最小值p 2; (2)若和y x +是定值s ,则当y x =时积xy 有最大值241s . 推广 已知R y x ∈,,则有xy y x y x 2)()(22+-=+ (1)若积xy 是定值,则当||y x -最大时,||y x +最大; 当||y x -最小时,||y x +最小.(2)若和||y x +是定值,则当||y x -最大时, ||xy 最小; 当||y x -最小时, ||xy 最大.73.一元二次不等式20(0)ax bx c ++><或2(0,40)a b ac ≠∆=->,如果a 与2ax bx c ++同号,则其解集在两根之外;如果a 与2ax bx c ++异号,则其解集在两根之间.简言之:同号两根之外,异号两根之间.121212()()0()x x x x x x x x x <<⇔--<<; 121212,()()0()x x x x x x x x x x <>⇔--><或.74.含有绝对值的不等式 当a> 0时,有22x a x a a x a <⇔<⇔-<<.22x a x a x a >⇔>⇔>或x a <-.75.无理不等式 (1()0()0()()f x g x f x g x ≥⎧⎪>⇔≥⎨⎪>⎩. (22()0()0()()0()0()[()]f x f x g x g x g x f x g x ≥⎧≥⎧⎪>⇔≥⎨⎨<⎩⎪>⎩或. (32()0()()0()[()]f x g x g x f x g x ≥⎧⎪<⇔>⎨⎪<⎩. 76.指数不等式与对数不等式 (1)当1a >时,()()()()f x g x a a f x g x >⇔>;()0log ()log ()()0()()a a f x f x g x g x f x g x >⎧⎪>⇔>⎨⎪>⎩.(2)当01a <<时,()()()()f x g x a a f x g x >⇔<;()0log ()log ()()0()()a a f x f x g x g x f x g x >⎧⎪>⇔>⎨⎪<⎩77.斜率公式2121y y k x x -=-(111(,)P x y 、222(,)P x y ).78.直线的五种方程(1)点斜式 11()y y k x x -=- (直线l 过点111(,)P x y ,且斜率为k ). (2)斜截式 y kx b =+(b 为直线l 在y 轴上的截距).(3)两点式112121y y x x y y x x --=--(12y y ≠)(111(,)P x y 、222(,)P x y (12x x ≠)).(4)截距式 1x ya b+=(a b 、分别为直线的横、纵截距,0a b ≠、)(5)一般式 0Ax By C ++=(其中A 、B 不同时为0).79.两条直线的平行和垂直(1)若111:l y k x b =+,222:l y k x b =+ ①121212||,l l k k b b ⇔=≠; ②12121l l k k ⊥⇔=-.(2)若1111:0l A x B y C ++=,2222:0l A x B y C ++=,且A 1、A 2、B 1、B 2都不为零, ①11112222||A B C l l A B C ⇔=≠;②1212120l l A A B B ⊥⇔+=; 80.夹角公式(1)2121tan ||1k k k k α-=+.(111:l y k x b =+,222:l y k x b =+,121k k ≠-)(2)12211212tan ||A B A B A A B B α-=+. (1111:0l A x B y C ++=,2222:0l A x B y C ++=,12120A A B B +≠). 直线12l l ⊥时,直线l 1与l 2的夹角是2π. 81. 1l 到2l 的角公式(1)2121tan 1k k k k α-=+.(111:l y k x b =+,222:l y k x b =+,121k k ≠-)(2)12211212tan A B A B A A B B α-=+.(1111:0l A x B y C ++=,2222:0l A x B y C ++=,12120A A B B +≠).直线12l l ⊥时,直线l 1到l 2的角是2π. 82.四种常用直线系方程(1)定点直线系方程:经过定点000(,)P x y 的直线系方程为00()y y k x x -=-(除直线0x x =),其中k 是待定的系数; 经过定点000(,)P x y 的直线系方程为00()()0A x x B y y -+-=,其中,A B 是待定的系数.(2)共点直线系方程:经过两直线1111:0l A x B y C ++=,2222:0l A x B y C ++=的交点的直线系方程为111222()()0A x B y C A x B y C λ+++++=(除2l ),其中λ是待定的系数.(3)平行直线系方程:直线y kx b =+中当斜率k 一定而b 变动时,表示平行直线系方程.与直线0Ax By C ++=平行的直线系方程是0Ax By λ++=(0λ≠),λ是参变量.(4)垂直直线系方程:与直线0Ax By C ++= (A ≠0,B ≠0)垂直的直线系方程是0Bx Ay λ-+=,λ是参变量.83.点到直线的距离d =(点00(,)P x y ,直线l :0Ax By C ++=).84. 0Ax By C ++>或0<所表示的平面区域设直线:0l Ax By C ++=,则0Ax By C ++>或0<所表示的平面区域是: 若0B ≠,当B 与Ax By C ++同号时,表示直线l 的上方的区域;当B 与Ax By C ++异号时,表示直线l 的下方的区域.简言之,同号在上,异号在下. 若0B =,当A 与Ax By C ++同号时,表示直线l 的右方的区域;当A 与Ax By C ++异号时,表示直线l 的左方的区域. 简言之,同号在右,异号在左.85. 111222()()0A x B y C A x B y C ++++>或0<所表示的平面区域设曲线111222:()()0C A x B y C A x B y C ++++=(12120A A B B ≠),则111222()()0A x B y C A x B y C ++++>或0<所表示的平面区域是: 111222()()0A x B y C A x B y C ++++>所表示的平面区域上下两部分; 111222()()0A x B y C A x B y C ++++<所表示的平面区域上下两部分.86. 圆的四种方程(1)圆的标准方程 222()()x a y b r -+-=.(2)圆的一般方程 220x y Dx Ey F ++++=(224D E F +->0).(3)圆的参数方程 cos sin x a r y b r θθ=+⎧⎨=+⎩.(4)圆的直径式方程 1212()()()()0x x x x y y y y --+--=(圆的直径的端点是11(,)A x y 、22(,)B x y ).87. 圆系方程(1)过点11(,)A x y ,22(,)B x y 的圆系方程是1212112112()()()()[()()()()]0x x x x y y y y x x y y y y x x λ--+--+-----= 1212()()()()()0x x x x y y y y ax by c λ⇔--+--+++=,其中0ax by c ++=是直线AB 的方程,λ是待定的系数.(2)过直线l :0Ax By C ++=与圆C :220x y Dx Ey F ++++=的交点的圆系方程是22()0x y Dx Ey F Ax By C λ+++++++=,λ是待定的系数.(3) 过圆1C :221110x y D x E y F ++++=与圆2C :222220x y D x E y F ++++=的交点的圆系方程是2222111222()0x y D x E y F x y D x E y F λ+++++++++=,λ是待定的系数.88.点与圆的位置关系点00(,)P x y 与圆222)()(r b y a x =-+-的位置关系有三种若d =d r >⇔点P 在圆外;d r =⇔点P 在圆上;d r <⇔点P 在圆内.89.直线与圆的位置关系直线0=++C By Ax 与圆222)()(r b y a x =-+-的位置关系有三种:0<∆⇔⇔>相离r d ; 0=∆⇔⇔=相切r d ; 0>∆⇔⇔<相交r d .其中22BA C Bb Aa d +++=.90.两圆位置关系的判定方法设两圆圆心分别为O 1,O 2,半径分别为r 1,r 2,d O O =21条公切线外离421⇔⇔+>r r d ; 条公切线外切321⇔⇔+=r r d ;条公切线相交22121⇔⇔+<<-r r d r r ; 条公切线内切121⇔⇔-=r r d ; 无公切线内含⇔⇔-<<210r r d .91.圆的切线方程(1)已知圆220x y Dx Ey F ++++=.①若已知切点00(,)x y 在圆上,则切线只有一条,其方程是0000()()022D x xE y y x x y yF ++++++=. 当00(,)x y 圆外时, 0000()()022D x xE y y x x y yF ++++++=表示过两个切点的切点弦方程.②过圆外一点的切线方程可设为00()y y k x x -=-,再利用相切条件求k ,这时必有两条切线,注意不要漏掉平行于y 轴的切线.③斜率为k 的切线方程可设为y kx b =+,再利用相切条件求b ,必有两条切线.(2)已知圆222x y r +=.①过圆上的000(,)P x y 点的切线方程为200x x y y r +=;②斜率为k 的圆的切线方程为y kx =±.92.椭圆22221(0)x y a b a b +=>>的参数方程是cos sin x a y b θθ=⎧⎨=⎩.93.椭圆22221(0)x y a b a b+=>>焦半径公式)(21c a x e PF +=,)(22x ca e PF -=.94.椭圆的的内外部(1)点00(,)P x y 在椭圆22221(0)x y a b a b +=>>的内部2200221x y a b ⇔+<. (2)点00(,)P x y 在椭圆22221(0)x y a b a b+=>>的外部2200221x y a b ⇔+>. 95. 椭圆的切线方程(1)椭圆22221(0)x y a b a b +=>>上一点00(,)P x y 处的切线方程是00221x x y ya b +=.(2)过椭圆22221(0)x y a b a b+=>>外一点00(,)P x y 所引两条切线的切点弦方程是00221x x y ya b+=. (3)椭圆22221(0)x y a b a b+=>>与直线0Ax By C ++=相切的条件是22222A a B b c +=.96.双曲线22221(0,0)x y a b a b -=>>的焦半径公式21|()|a PF e x c =+,22|()|a PF e x c=-.97.双曲线的内外部(1)点00(,)P x y 在双曲线22221(0,0)x y a b a b -=>>的内部2200221x y a b ⇔->. (2)点00(,)P x y 在双曲线22221(0,0)x y a b a b-=>>的外部2200221x y a b⇔-<.98.双曲线的方程与渐近线方程的关系(1)若双曲线方程为12222=-b y a x ⇒渐近线方程:22220x y a b -=⇔x aby ±=.(2)若渐近线方程为x aby ±=⇔0=±b y a x ⇒双曲线可设为λ=-2222b y a x .(3)若双曲线与12222=-b y a x 有公共渐近线,可设为λ=-2222by a x (0>λ,焦点在x轴上,0<λ,焦点在y 轴上).99. 双曲线的切线方程(1)双曲线22221(0,0)x y a b a b -=>>上一点00(,)P x y 处的切线方程是00221x x y ya b -=.(2)过双曲线22221(0,0)x y a b a b-=>>外一点00(,)P x y 所引两条切线的切点弦方程是00221x x y ya b-=. (3)双曲线22221(0,0)x y a b a b-=>>与直线0Ax By C ++=相切的条件是22222A a B b c -=.100. 抛物线px y 22=的焦半径公式抛物线22(0)y px p =>焦半径02p CF x =+.过焦点弦长p x x px p x CD ++=+++=212122.101.抛物线px y 22=上的动点可设为P ),2(2 y py 或或)2,2(2pt pt P P (,)x y ,其中22y px =.102.二次函数2224()24b ac b y ax bx c a x a a-=++=++(0)a ≠的图象是抛物线:(1)顶点坐标为24(,)24b ac b a a --;(2)焦点的坐标为241(,)24b ac b a a-+-;(3)准线方程是2414ac b y a--=.103.抛物线的内外部(1)点00(,)P x y 在抛物线22(0)y px p =>的内部22(0)y px p ⇔<>. 点00(,)P x y 在抛物线22(0)y px p =>的外部22(0)y px p ⇔>>. (2)点00(,)P x y 在抛物线22(0)y px p =->的内部22(0)y px p ⇔<->. 点00(,)P x y 在抛物线22(0)y px p =->的外部22(0)y px p ⇔>->. (3)点00(,)P x y 在抛物线22(0)x py p =>的内部22(0)x py p ⇔<>. 点00(,)P x y 在抛物线22(0)x py p =>的外部22(0)x py p ⇔>>. (4) 点00(,)P x y 在抛物线22(0)x py p =>的内部22(0)x py p ⇔<>. 点00(,)P x y 在抛物线22(0)x py p =->的外部22(0)x py p ⇔>->.104. 抛物线的切线方程(1)抛物线px y 22=上一点00(,)P x y 处的切线方程是00()y y p x x =+.(2)过抛物线px y 22=外一点00(,)P x y 所引两条切线的切点弦方程是00()y y p x x =+.(3)抛物线22(0)y px p =>与直线0Ax By C ++=相切的条件是22pB AC =.105.两个常见的曲线系方程(1)过曲线1(,)0f x y =,2(,)0f x y =的交点的曲线系方程是12(,)(,)0f x y f x y λ+=(λ为参数).(2)共焦点的有心圆锥曲线系方程22221x y a k b k+=--,其中22max{,}k a b <.当22min{,}k a b >时,表示椭圆; 当2222min{,}max{,}a b k a b <<时,表示双曲线.106.直线与圆锥曲线相交的弦长公式 AB =1212|||AB x x y y ==-=-(弦端点A ),(),,(2211y xB y x ,由方程⎩⎨⎧=+=0)y ,x (F b kx y 消去y 得到02=++c bx ax ,0∆>,α为直线AB 的倾斜角,k 为直线的斜率).107.圆锥曲线的两类对称问题(1)曲线(,)0F x y =关于点00(,)P x y 成中心对称的曲线是00(2-,2)0F x x y y -=. (2)曲线(,)0F x y =关于直线0Ax By C ++=成轴对称的曲线是22222()2()(,)0A Ax By C B Ax By C F x y A B A B++++--=++. 108.“四线”一方程对于一般的二次曲线220Ax Bxy Cy Dx Ey F +++++=,用0x x 代2x ,用0y y 代2y ,用002x y xy +代xy ,用02x x +代x ,用02y y +代y 即得方程0000000222x y xy x x y yAx x B Cy y D E F ++++⋅++⋅+⋅+=,曲线的切线,切点弦,中点弦,弦中点方程均是此方程得到.109.证明直线与直线的平行的思考途径 (1)转化为判定共面二直线无交点; (2)转化为二直线同与第三条直线平行; (3)转化为线面平行; (4)转化为线面垂直; (5)转化为面面平行.110.证明直线与平面的平行的思考途径 (1)转化为直线与平面无公共点; (2)转化为线线平行; (3)转化为面面平行.111.证明平面与平面平行的思考途径 (1)转化为判定二平面无公共点; (2)转化为线面平行; (3)转化为线面垂直.112.证明直线与直线的垂直的思考途径 (1)转化为相交垂直; (2)转化为线面垂直;(3)转化为线与另一线的射影垂直; (4)转化为线与形成射影的斜线垂直. 113.证明直线与平面垂直的思考途径(1)转化为该直线与平面内任一直线垂直; (2)转化为该直线与平面内相交二直线垂直; (3)转化为该直线与平面的一条垂线平行; (4)转化为该直线垂直于另一个平行平面; (5)转化为该直线与两个垂直平面的交线垂直. 114.证明平面与平面的垂直的思考途径 (1)转化为判断二面角是直二面角; (2)转化为线面垂直.115.空间向量的加法与数乘向量运算的运算律 (1)加法交换律:a +b =b +a .(2)加法结合律:(a +b )+c =a +(b +c ). (3)数乘分配律:λ(a +b )=λa +λb .116.平面向量加法的平行四边形法则向空间的推广 始点相同且不在同一个平面内的三个向量之和,等于以这三个向量为棱的平行六面体的以公共始点为始点的对角线所表示的向量.117.共线向量定理对空间任意两个向量a 、b (b ≠0 ),a ∥b ⇔存在实数λ使a =λb .P A B 、、三点共线⇔||AP AB ⇔AP t AB =⇔(1)OP t OA tOB =-+.||AB CD ⇔AB 、CD 共线且AB CD 、不共线⇔AB tCD =且AB CD 、不共线.118.共面向量定理向量p 与两个不共线的向量a 、b 共面的⇔存在实数对,x y ,使p ax by =+. 推论 空间一点P 位于平面MAB 内的⇔存在有序实数对,x y ,使MP xMA yMB =+, 或对空间任一定点O ,有序实数对,x y ,使OP OM xMA yMB =++.119.对空间任一点O 和不共线的三点A 、B 、C ,满足OP xOA yOB zOC =++(x y z k ++=),则当1k =时,对于空间任一点O ,总有P 、A 、B 、C 四点共面;当1k ≠时,若O ∈平面ABC ,则P 、A 、B 、C 四点共面;若O ∉平面ABC ,则P 、A 、B 、C 四点不共面.C A B 、、、D 四点共面⇔AD 与AB 、AC 共面⇔AD x AB y AC =+⇔(1)OD x y OA xOB yOC =--++(O ∉平面ABC ).120.空间向量基本定理如果三个向量a 、b 、c 不共面,那么对空间任一向量p ,存在一个唯一的有序实数组x ,y ,z ,使p =x a +y b +z c .推论 设O 、A 、B 、C 是不共面的四点,则对空间任一点P ,都存在唯一的三个有序实数x ,y ,z ,使OP xOA yOB zOC =++.121.射影公式已知向量AB =a 和轴l ,e 是l 上与l 同方向的单位向量.作A 点在l 上的射影'A ,作B 点在l 上的射影'B ,则''||cos A B AB =〈a ,e 〉=a ·e122.向量的直角坐标运算设a =123(,,)a a a ,b =123(,,)b b b 则 (1)a +b =112233(,,)a b a b a b +++; (2)a -b =112233(,,)a b a b a b ---;(3)λa =123(,,)a a a λλλ (λ∈R); (4)a ·b =112233a b a b a b ++; 123.设A 111(,,)x y z ,B 222(,,)x y z ,则AB OB OA =-= 212121(,,)x x y y z z ---.124.空间的线线平行或垂直设111(,,)a x y z =,222(,,)b x y z =,则a b ⇔(0)a b b λ=≠⇔121212x x y y z zλλλ=⎧⎪=⎨⎪=⎩;a b ⊥⇔0a b ⋅=⇔1212120x x y y z z ++=.125.夹角公式设a =123(,,)a a a ,b =123(,,)b b b ,则 cos 〈a ,b 〉.推论 2222222112233123123()()()a b a b a b a a a b b b ++≤++++,此即三维柯西不等式.126. 四面体的对棱所成的角四面体ABCD 中, AC 与BD 所成的角为θ,则2222|()()|cos 2AB CD BC DA AC BDθ+-+=⋅.127.异面直线所成角cos |cos ,|a b θ==21||||||a b a b x ⋅=⋅+(其中θ(090θ<≤)为异面直线a b ,所成角,,a b 分别表示异面直线a b ,的方向向量)128.直线AB 与平面所成角sin||||AB marc AB m β⋅=(m 为平面α的法向量).129.若ABC ∆所在平面若β与过若AB 的平面α成的角θ,另两边AC ,BC 与平面α成的角分别是1θ、2θ,A B 、为ABC ∆的两个内角,则2222212sin sin (sin sin )sin A B θθθ+=+.特别地,当90ACB ∠=时,有22212sin sin sin θθθ+=.130.若ABC ∆所在平面若β与过若AB 的平面α成的角θ,另两边AC ,BC 与平面α成的角分别是1θ、2θ,''A B 、为ABO ∆的两个内角,则222'2'212tan tan (sin sin )tan A B θθθ+=+.特别地,当90AOB ∠=时,有22212sin sin sin θθθ+=. 131.二面角l αβ--的平面角cos||||m n arc m n θ⋅=或cos ||||m narc m n π⋅-(m ,n 为平面α,β的法向量).132.三余弦定理设AC 是α内的任一条直线,且BC ⊥AC ,垂足为C ,又设AO 与AB 所成的角为1θ,AB 与AC 所成的角为2θ,AO 与AC 所成的角为θ.则12cos cos cos θθθ=.133. 三射线定理若夹在平面角为ϕ的二面角间的线段与二面角的两个半平面所成的角是1θ,2θ,与二面角的棱所成的角是θ,则有22221212sin sin sin sin 2sin sin cos ϕθθθθθϕ=+- ;1212||180()θθϕθθ-≤≤-+(当且仅当90θ=时等号成立).134.空间两点间的距离公式若A 111(,,)x y z ,B 222(,,)x y z ,则,A B d =||AB AB AB =⋅=135.点Q 到直线l 距离h =(点P 在直线l 上,直线l 的方向向量a =PA ,向量b =PQ ).136.异面直线间的距离||||CD n d n ⋅=(12,l l 是两异面直线,其公垂向量为n ,C D 、分别是12,l l 上任一点,d 为12,l l 间的距离).137.点B 到平面α的距离||||AB n d n ⋅=(n 为平面α的法向量,AB 是经过面α的一条斜线,A α∈). 138.异面直线上两点距离公式2cos d mn θ=.',d EA AF =.d =('E AA F ϕ=--).(两条异面直线a 、b 所成的角为θ,其公垂线段'AA 的长度为h.在直线a 、b 上分别取两点E 、F ,'A E m =,AF n =,EF d =). 139.三个向量和的平方公式2222()222a b c a b c a b b c c a ++=+++⋅+⋅+⋅2222||||cos ,2||||cos ,2||||cos ,a b c a b a b b c b c c a c a =+++⋅+⋅+⋅140. 长度为l 的线段在三条两两互相垂直的直线上的射影长分别为123l l l 、、,夹角分别为123θθθ、、,则有2222123l l l l =++222123cos cos cos 1θθθ⇔++=222123sin sin sin 2θθθ⇔++=.(立体几何中长方体对角线长的公式是其特例).141. 面积射影定理'cos S S θ=.(平面多边形及其射影的面积分别是S 、'S ,它们所在平面所成锐二面角的为θ). 142. 斜棱柱的直截面已知斜棱柱的侧棱长是l ,侧面积和体积分别是S 斜棱柱侧和V 斜棱柱,它的直截面的周长和面积分别是1c 和1S ,则①1S c l =斜棱柱侧. ②1V S l =斜棱柱.143.作截面的依据三个平面两两相交,有三条交线,则这三条交线交于一点或互相平行. 144.棱锥的平行截面的性质如果棱锥被平行于底面的平面所截,那么所得的截面与底面相似,截面面积与底面面积的比等于顶点到截面距离与棱锥高的平方比(对应角相等,对应边对应成比例的多边形是相似多边形,相似多边形面积的比等于对应边的比的平方);相应小棱锥与小棱锥的侧面积的比等于顶点到截面距离与棱锥高的平方比.145.欧拉定理(欧拉公式)2V F E +-=(简单多面体的顶点数V 、棱数E 和面数F).(1)E =各面多边形边数和的一半.特别地,若每个面的边数为n 的多边形,则面数F 与棱数E 的关系:12E nF =; (2)若每个顶点引出的棱数为m ,则顶点数V 与棱数E 的关系:12E mV =. 146.球的半径是R ,则其体积343V R π=, 其表面积24S R π=.147.球的组合体(1)球与长方体的组合体:长方体的外接球的直径是长方体的体对角线长. (2)球与正方体的组合体:正方体的内切球的直径是正方体的棱长, 正方体的棱切球的直径是正方体的面对角线长, 正方体的外接球的直径是正方体的体对角线长. (3) 球与正四面体的组合体:棱长为a ,a . 148.柱体、锥体的体积13V Sh =柱体(S 是柱体的底面积、h 是柱体的高).13V Sh =锥体(S 是锥体的底面积、h 是锥体的高).149.分类计数原理(加法原理) 12n N m m m =+++. 150.分步计数原理(乘法原理) 12n N m m m =⨯⨯⨯. 151.排列数公式m n A =)1()1(+--m n n n =!!)(m n n -.(n ,m ∈N *,且m n ≤).注:规定1!0=.152.排列恒等式(1)1(1)m m n n A n m A -=-+;(2)1mmn n n A A n m -=-; (3)11m m n n A nA --=;(4)11n n nn n n nA A A ++=-;(5)11m m m n n n A A mA -+=+.(6) 1!22!33!!(1)!1n n n +⋅+⋅++⋅=+-.153.组合数公式m nC =m n m mA A =m m n n n ⨯⨯⨯+-- 21)1()1(=!!!)(m n m n -⋅(n ∈N *,m N ∈,且m n ≤).154.组合数的两个性质 (1)mn C =mn nC - ; (2) m n C +1-m nC =mn C 1+.注:规定10=n C .155.组合恒等式(1)11mm n n n m C C m --+=; (2)1m mn n n C C n m -=-;(3)11mm n n n C C m--=;(4)∑=nr r nC0=n2;(5)1121++++=++++r n r n r r r r r rC C C C C . (6)nn n r n n n n C C C C C 2210=++++++ . (7)14205312-+++=+++n n n n n n n C C C C C C . (8)1321232-=++++n n n n n n n nC C C C . (9)rn m r n r m n r m n r m C C C C C C C +-=+++0110 . (10)nn n n n n n C C C C C 22222120)()()()(=++++ .156.排列数与组合数的关系m m n n A m C =⋅! .157.单条件排列以下各条的大前提是从n 个元素中取m 个元素的排列. (1)“在位”与“不在位”①某(特)元必在某位有11--m n A 种;②某(特)元不在某位有11---m n m n A A (补集思想)1111---=m n n A A (着眼位置)11111----+=m n m m n A A A (着眼元素)种.(2)紧贴与插空(即相邻与不相邻)①定位紧贴:)(n m k k ≤≤个元在固定位的排列有km k n k k A A --种.②浮动紧贴:n 个元素的全排列把k 个元排在一起的排法有kk k n k n A A 11+-+-种.注:此类问题常用捆绑法;③插空:两组元素分别有k 、h 个(1+≤h k ),把它们合在一起来作全排列,k 个的一组互不能挨近的所有排列数有kh h h A A 1+种.(3)两组元素各相同的插空m 个大球n 个小球排成一列,小球必分开,问有多少种排法?当1+>m n 时,无解;当1+≤m n 时,有n m n nn m C A A 11++=种排法.(4)两组相同元素的排列:两组元素有m 个和n 个,各组元素分别相同的排列数为nn m C +. 158.分配问题(1)(平均分组有归属问题)将相异的m 、n 个物件等分给m 个人,各得n 件,其分配方法数共有mnn nn nn mn nn mn nmn n mn C C C C C N )!()!(22=⋅⋅⋅⋅⋅=-- . (2)(平均分组无归属问题)将相异的m ·n 个物体等分为无记号或无顺序的m 堆,其分配方法数共有mn nn n n n mn n n mn n mn n m mn m C C C C C N )!(!)!(!...22=⋅⋅⋅⋅=--.(3)(非平均分组有归属问题)将相异的)12m P(P=n +n ++n 个物体分给m 个人,物件必须被分完,分别得到1n ,2n ,…,m n 件,且1n ,2n ,…,m n 这m 个数彼此不相等,则其分配方法数共有!!...!!!! (212)11m n n n n p n p n n n m p m C C C N m m =⋅⋅=-.(4)(非完全平均分组有归属问题)将相异的)12m P(P=n +n ++n 个物体分给m 个人,物件必须被分完,分别得到1n ,2n ,…,m n 件,且1n ,2n ,…,m n 这m 个数中分别有a 、b 、c 、…个相等,则其分配方法数有!...!!!...211c b a m C C C N m m n n n n p n p ⋅⋅=- 12!!!!...!(!!!...)m p m n n n a b c =.(5)(非平均分组无归属问题)将相异的)12m P(P=n +n ++n 个物体分为任意的1n ,2n ,…,m n 件无记号的m 堆,且1n ,2n ,…,m n 这m 个数彼此不相等,则其分配方法数有!!...!!21m n n n p N =.(6)(非完全平均分组无归属问题)将相异的)12m P(P=n +n ++n 个物体分为任意的1n ,2n ,…,m n 件无记号的m 堆,且1n ,2n ,…,m n 这m 个数中分别有a 、b 、c 、…个相等,则其分配方法数有!...)!!(!!...!!21c b a n n n p N m =.(7)(限定分组有归属问题)将相异的p (2m p n n n =1+++)个物体分给甲、乙、丙,……等m 个人,物体必须被分完,如果指定甲得1n 件,乙得2n 件,丙得3n 件,…时,则无论1n ,2n ,…,m n 等m 个数是否全相异或不全相异其分配方法数恒有!!...!!...21211m n n n n p n p n n n p C C C N m m =⋅=-.159.“错位问题”及其推广。
高中数学必备公式汇总高中数学的学习离不开对公式的熟练掌握。
公式是数学知识的精华所在,也是解决数学问题的重要工具。
下面为大家汇总了高中数学中必备的公式,希望能对大家的学习有所帮助。
一、函数1、一次函数:y = kx + b(k 为斜率,b 为截距)2、二次函数:y = ax²+ bx + c(a ≠ 0),顶点坐标为(b/2a,(4ac b²)/4a)3、反比例函数:y = k/x(k 为常数)二、三角函数1、正弦函数:sinα =对边/斜边2、余弦函数:cosα =邻边/斜边3、正切函数:tanα =对边/邻边三角函数的基本关系式:sin²α +cos²α = 1tanα =sinα/cosα诱导公式:sin(π +α) =sinαsin(π α) =sinαcos(π +α) =cosαcos(π α) =cosα两角和与差的三角函数公式:sin(α +β) =sinαcosβ +cosαsinβsin(α β) =sinαcosβ cosαsinβcos(α +β) =cosαcosβ sinαsinβcos(α β) =cosαcosβ +sinαsinβ二倍角公式:sin2α =2sinαcosαcos2α =cos²α sin²α =2cos²α 1 =1 2sin²αtan2α =2tanα/(1 tan²α)三、数列1、等差数列通项公式:an = a1 +(n 1)d(a1 为首项,d 为公差)等差数列前 n 项和公式:Sn = n(a1 + an)/2 = na1 + n(n 1)d/22、等比数列通项公式:an = a1q^(n 1)(a1 为首项,q 为公比)等比数列前 n 项和公式:当q ≠ 1 时,Sn = a1(1 q^n)/(1 q);当q = 1 时,Sn = na1四、不等式1、基本不等式:对于任意正实数 a、b,有 a +b ≥ 2√(ab),当且仅当 a = b 时,等号成立。
高中数学常用公式及常用结论1. 元素与集合的关系U x A x C A ∈⇔∉,U x C A x A ∈⇔∉. 2.德摩根公式();()U U U U U U C A B C A C B C A B C A C B ==.3.包含关系A B A A B B =⇔=U U A B C B C A ⇔⊆⇔⊆ U A C B ⇔=ΦU C A B R ⇔=4.容斥原理()()card A B cardA cardB card A B =+-()()card A B C cardA cardB cardC card A B =++-()()()()card A B card B C card C A card A B C ---+.5.集合12{,,,}n a a a 的子集个数共有2n 个;真子集有2n –1个;非空子集有2n–1个;非空的真子集有2n–2个.6.二次函数的解析式的三种形式(1)一般式2()(0)f x ax bx c a =++≠; (2)顶点式2()()(0)f x a x h k a =-+≠; (3)零点式12()()()(0)f x a x x x x a =--≠. 7.解连不等式()N f x M <<常有以下转化形式()N f x M <<⇔[()][()]0f x M f x N --<⇔|()|22M N M Nf x +--<⇔()0()f x N M f x ->- ⇔11()f x N M N>--. 8.方程0)(=x f 在),(21k k 上有且只有一个实根,与0)()(21<k f k f 不等价,前者是后者的一个必要而不是充分条件.特别地, 方程)0(02≠=++a c bx ax 有且只有一个实根在),(21k k 内,等价于0)()(21<k f k f ,或0)(1=k f 且22211k k a bk +<-<,或0)(2=k f 且22122k abk k <-<+. 9.闭区间上的二次函数的最值二次函数)0()(2≠++=a c bx ax x f 在闭区间[]q p ,上的最值只能在abx 2-=处及区间的两端点处取得,具体如下:(1)当a>0时,若[]q p a bx ,2∈-=,则{}min max max ()(),()(),()2b f x f f x f p f q a=-=; []q p abx ,2∉-=,{}max max ()(),()f x f p f q =,{}min min ()(),()f x f p f q =. (2)当a<0时,若[]q p a bx ,2∈-=,则{}min ()min (),()f x f p f q =,若[]q p abx ,2∉-=,则{}max ()max (),()f x f p f q =,{}min ()min (),()f x f p f q =. 10.一元二次方程的实根分布依据:若()()0f m f n <,则方程0)(=x f 在区间(,)m n 内至少有一个实根 . 设q px x x f ++=2)(,则(1)方程0)(=x f 在区间),(+∞m 内有根的充要条件为0)(=m f 或2402p q p m ⎧-≥⎪⎨->⎪⎩;(2)方程0)(=x f 在区间(,)m n 内有根的充要条件为()()0f m f n <或2()0()0402f m f n p q p m n >⎧⎪>⎪⎪⎨-≥⎪⎪<-<⎪⎩或()0()0f m af n =⎧⎨>⎩或()0()0f n af m =⎧⎨>⎩; (3)方程0)(=x f 在区间(,)n -∞内有根的充要条件为()0f m <或2402p q p m ⎧-≥⎪⎨-<⎪⎩ .11.定区间上含参数的二次不等式恒成立的条件依据(1)在给定区间),(+∞-∞的子区间L (形如[]βα,,(]β,∞-,[)+∞,α不同)上含参数的二次不等式(,)0f x t ≥(t 为参数)恒成立的充要条件是min (,)0()f x t x L ≥∉.(2)在给定区间),(+∞-∞的子区间上含参数的二次不等式(,)0f x t ≥(t 为参数)恒成立的充要条件是(,)0()man f x t x L ≤∉.(3)0)(24>++=c bx ax x f 恒成立的充要条件是000a b c ≥⎧⎪≥⎨⎪>⎩或2040a b ac <⎧⎨-<⎩.12.13.14.四种命题的相互关系15.充要条件(1)充分条件:若p q ⇒,则p 是q 充分条件.(2)必要条件:若q p ⇒,则p 是q 必要条件.(3)充要条件:若p q ⇒,且q p ⇒,则p 是q 充要条件.注:如果甲是乙的充分条件,则乙是甲的必要条件;反之亦然. 16.函数的单调性(1)设[]2121,,x x b a x x ≠∈⋅那么[]1212()()()0x x f x f x -->⇔[]b a x f x x x f x f ,)(0)()(2121在⇔>--上是增函数;[]1212()()()0x x f x f x --<⇔[]b a x f x x x f x f ,)(0)()(2121在⇔<--上是减函数. (2)设函数)(x f y =在某个区间内可导,如果0)(>'x f ,则)(x f 为增函数;如果0)(<'x f ,则)(x f 为减函数.17.如果函数)(x f 和)(x g 都是减函数,则在公共定义域内,和函数)()(x g x f +也是减函数; 如果函数)(u f y =和)(x g u =在其对应的定义域上都是减函数,则复合函数)]([x g f y =是增函数.18.奇偶函数的图象特征奇函数的图象关于原点对称,偶函数的图象关于y 轴对称;反过来,如果一个函数的图象关于原点对称,那么这个函数是奇函数;如果一个函数的图象关于y 轴对称,那么这个函数是偶函数.19.若函数)(x f y =是偶函数,则)()(a x f a x f --=+;若函数)(a x f y +=是偶函数,则)()(a x f a x f +-=+.20.对于函数)(x f y =(R x ∈),)()(x b f a x f -=+恒成立,则函数)(x f 的对称轴是函数2b a x +=;两个函数)(a x f y +=与)(x b f y -= 的图象关于直线2ba x +=对称. 21.若)()(a x f x f +--=,则函数)(x f y =的图象关于点)0,2(a对称; 若)()(a x f x f +-=,则函数)(x f y =为周期为a 2的周期函数.22.多项式函数110()n n n n P x a x a x a --=+++的奇偶性多项式函数()P x 是奇函数⇔()P x 的偶次项(即奇数项)的系数全为零. 多项式函数()P x 是偶函数⇔()P x 的奇次项(即偶数项)的系数全为零. 23.函数()y f x =的图象的对称性(1)函数()y f x =的图象关于直线x a =对称()()f a x f a x ⇔+=-(2)()f a x f x ⇔-=.(2)函数()y f x =的图象关于直线2a bx +=对称()()f a mx f b mx ⇔+=- ()()f a b mx f mx ⇔+-=.24.两个函数图象的对称性(1)函数()y f x =与函数()y f x =-的图象关于直线0x =(即y 轴)对称. (2)函数()y f mx a =-与函数()y f b mx =-的图象关于直线2a bx m+=对称. (3)函数)(x f y =和)(1x fy -=的图象关于直线y=x 对称.25.若将函数)(x f y =的图象右移a 、上移b 个单位,得到函数b a x f y +-=)(的图象;若将曲线0),(=y x f 的图象右移a 、上移b 个单位,得到曲线0),(=--b y a x f 的图象.26.互为反函数的两个函数的关系a b f b a f =⇔=-)()(1.27.若函数)(b kx f y +=存在反函数,则其反函数为])([11b x f ky -=-,并不是)([1b kx fy +=-,而函数)([1b kx fy +=-是])([1b x f ky -=的反函数. 28.几个常见的函数方程(1)正比例函数()f x cx =,()()(),(1)f x y f x f y f c +=+=.(2)指数函数()xf x a =,()()(),(1)0f x y f x f y f a +==≠.(3)对数函数()log a f x x =,()()(),()1(0,1)f xy f x f y f a a a =+=>≠. (4)幂函数()f x x α=,'()()(),(1)f xy f x f y f α==.(5)余弦函数()cos f x x =,正弦函数()sin g x x =,()()()()()f x y f x f y g x g y -=+,()(0)1,lim1x g x f x→==. 29.几个函数方程的周期(约定a>0)(1))()(a x f x f +=,则)(x f 的周期T=a ; (2)0)()(=+=a x f x f ,或)0)(()(1)(≠=+x f x f a x f , 或1()()f x a f x +=-(()0)f x ≠,或[]1(),(()0,1)2f x a f x +=+∈,则)(x f 的周期T=2a ; (3))0)(()(11)(≠+-=x f a x f x f ,则)(x f 的周期T=3a ; (4))()(1)()()(212121x f x f x f x f x x f -+=+且1212()1(()()1,0||2)f a f x f x x x a =⋅≠<-<,则)(x f 的周期T=4a ;(5)()()(2)(3)(4)f x f x a f x a f x a f x a +++++++()()(2)(3)(4)f x f x a f x a f x a f x a =++++,则)(x f 的周期T=5a ; (6))()()(a x f x f a x f +-=+,则)(x f 的周期T=6a.30.分数指数幂(1)m na =(0,,a m n N *>∈,且1n >). (2)1m nm naa-=(0,,a m n N *>∈,且1n >).31.根式的性质(1)na =.(2)当na =; 当n,0||,0a a a a a ≥⎧==⎨-<⎩.32.有理指数幂的运算性质 (1) (0,,)rsr sa a aa r s Q +⋅=>∈.(2) ()(0,,)r s rs a a a r s Q =>∈. (3)()(0,0,)rr rab a b a b r Q =>>∈.注: 若a >0,p 是一个无理数,则a p 表示一个确定的实数.上述有理指数幂的运算性质,对于无理数指数幂都适用.33.指数式与对数式的互化式log b a N b a N =⇔=(0,1,0)a a N >≠>.34.对数的换底公式log log log m a m NN a=(0a >,且1a ≠,0m >,且1m ≠, 0N >).推论 log log m na a nb b m =(0a >,且1a >,,0m n >,且1m ≠,1n ≠, 0N >).35.对数的四则运算法则若a >0,a ≠1,M >0,N >0,则 (1)log ()log log a a a MN M N =+;(2) log log log aa a MM N N =-; (3)log log ()na a M n M n R =∈.36.设函数)0)((log )(2≠++=a c bx ax x f m ,记ac b 42-=∆.若)(x f 的定义域为R ,则0>a ,且0<∆;若)(x f 的值域为R ,则0>a ,且0≥∆.对于0=a 的情形,需要单独检验.37. 对数换底不等式及其推广若0a >,0b >,0x >,1x a ≠,则函数log ()ax y bx = (1)当a b >时,在1(0,)a 和1(,)a +∞上log ()ax y bx =为增函数., (2)当a b <时,在1(0,)a 和1(,)a+∞上log ()ax y bx =为减函数. 推论:设1n m >>,0p >,0a >,且1a ≠,则 (1)log ()log m p m n p n ++<.(2)2log log log 2a a am nm n +<. 38. 平均增长率的问题如果原来产值的基础数为N ,平均增长率为p ,则对于时间x 的总产值y ,有(1)x y N p =+.39.数列的同项公式与前n 项的和的关系11,1,2n n n s n a s s n -=⎧=⎨-≥⎩( 数列{}n a 的前n 项的和为12n n s a a a =+++).40.等差数列的通项公式*11(1)()n a a n d dn a d n N =+-=+-∈;其前n 项和公式为1()2n n n a a s +=1(1)2n n na d -=+ 211()22d n a d n =+-. 41.等比数列的通项公式1*11()n nn a a a q q n N q-==⋅∈; 其前n 项的和公式为11(1),11,1n n a q q s q na q ⎧-≠⎪=-⎨⎪=⎩或11,11,1n n a a qq q s na q -⎧≠⎪-=⎨⎪=⎩.42.等比差数列{}n a :11,(0)n n a qa d a b q +=+=≠的通项公式为1(1),1(),11n n n b n d q a bq d b q d q q -+-=⎧⎪=+--⎨≠⎪-⎩;其前n 项和公式为(1),(1)1(),(1)111n n nb n n d q s d q db n q q q q +-=⎧⎪=-⎨-+≠⎪---⎩. 43.分期付款(按揭贷款)每次还款(1)(1)1nnab b x b +=+-元(贷款a 元,n 次还清,每期利率为b ). 44.常见三角不等式 (1)若(0,)2x π∈,则sin tan x x x <<.(2) 若(0,)2x π∈,则1sin cos x x <+≤(3) |sin ||cos |1x x +≥.45.同角三角函数的基本关系式22sin cos 1θθ+=,tan θ=θθcos sin ,tan 1cot θθ⋅=. 46.正弦、余弦的诱导公式212(1)sin ,sin()2(1)s ,nn n co απαα-⎧-⎪+=⎨⎪-⎩212(1)s ,s()2(1)sin ,nn co n co απαα+⎧-⎪+=⎨⎪-⎩47.和角与差角公式sin()sin cos cos sin αβαβαβ±=±;cos()cos cos sin sin αβαβαβ±=;tan tan tan()1tan tan αβαβαβ±±=.22sin()sin()sin sin αβαβαβ+-=-(平方正弦公式); 22cos()cos()cos sin αβαβαβ+-=-.sin cos a b αα+=)αϕ+(辅助角ϕ所在象限由点(,)a b 的象限决定,tan baϕ= ).48.二倍角公式sin22sin cos ααα=.2222cos 2cos sin 2cos 112sin ααααα=-=-=-.22tan tan 21tan ααα=-. 49. 三倍角公式3sin 33sin 4sin 4sin sin()sin()33ππθθθθθθ=-=-+.3cos34cos 3cos 4cos cos()cos()33ππθθθθθθ=-=-+.323tan tan tan 3tan tan()tan()13tan 33θθππθθθθθ-==-+-.50.三角函数的周期公式函数sin()y x ωϕ=+,x ∈R 及函数cos()y x ωϕ=+,x ∈R(A,ω,ϕ为常数,且A ≠0,ω>0)的周期2T πω=;函数tan()y x ωϕ=+,,2x k k Z ππ≠+∈(A,ω,ϕ为常数,且A≠0,ω>0)的周期T πω=.51.正弦定理2sin sin sin a b cR A B C===. 52.余弦定理2222cos a b c bc A =+-; 2222cos b c a ca B =+-; 2222cos c a b ab C =+-.53.面积定理(1)111222a b c S ah bh ch ===(a b c h h h 、、分别表示a 、b 、c 边上的高). (2)111sin sin sin 222S ab C bc A ca B ===.(3)22(||||)()OAB S OA OB OA OB ∆=⋅-⋅.54.三角形内角和定理在△ABC 中,有()A B C C A B ππ++=⇔=-+222C A Bπ+⇔=-222()C A B π⇔=-+. 55. 简单的三角方程的通解sin (1)arcsin (,||1)kx a x k a k Z a π=⇔=+-∈≤. s 2arccos (,||1)co x a x k a k Z a π=⇔=±∈≤.tan arctan (,)x a x k a k Z a R π=⇒=+∈∈.特别地,有sin sin (1)()k k k Z αβαπβ=⇔=+-∈.s cos 2()co k k Z αβαπβ=⇔=±∈.tan tan ()k k Z αβαπβ=⇒=+∈.56.最简单的三角不等式及其解集sin (||1)(2arcsin ,2arcsin ),x a a x k a k a k Z πππ>≤⇔∈++-∈.sin (||1)(2arcsin ,2arcsin ),x a a x k a k a k Z πππ<≤⇔∈--+∈. cos (||1)(2arccos ,2arccos ),x a a x k a k a k Z ππ>≤⇔∈-+∈.cos (||1)(2arccos ,22arccos ),x a a x k a k a k Z πππ<≤⇔∈++-∈.tan ()(arctan ,),2x a a R x k a k k Z πππ>∈⇒∈++∈.tan ()(,arctan ),2x a a R x k k a k Z πππ<∈⇒∈-+∈.57.实数与向量的积的运算律 设λ、μ为实数,那么(1) 结合律:λ(μa )=(λμ)a ; (2)第一分配律:(λ+μ)a =λa +μa; (3)第二分配律:λ(a +b )=λa +λb . 58.向量的数量积的运算律: (1) a ·b= b ·a (交换律); (2)(λa )·b= λ(a ·b )=λa ·b = a ·(λb ); (3)(a +b )·c= a ·c +b ·c. 59.平面向量基本定理如果e 1、e 2是同一平面内的两个不共线向量,那么对于这一平面内的任一向量,有且只有一对实数λ1、λ2,使得a=λ1e 1+λ2e 2.不共线的向量e 1、e 2叫做表示这一平面内所有向量的一组基底. 60.向量平行的坐标表示设a =11(,)x y ,b =22(,)x y ,且b ≠0,则a b(b ≠0)12210x y x y ⇔-=. 53. a 与b 的数量积(或内积) a ·b =|a ||b |cos θ. 61. a ·b 的几何意义数量积a ·b 等于a 的长度|a |与b 在a 的方向上的投影|b |cos θ的乘积. 62.平面向量的坐标运算(1)设a =11(,)x y ,b =22(,)x y ,则a+b=1212(,)x x y y ++.(2)设a =11(,)x y ,b =22(,)x y ,则a-b=1212(,)x x y y --. (3)设A 11(,)x y ,B 22(,)x y ,则2121(,)AB OB OA x x y y =-=--.(4)设a =(,),x y R λ∈,则λa=(,)x y λλ.(5)设a =11(,)x y ,b =22(,)x y ,则a ·b=1212()x x y y +. 63.两向量的夹角公式cos θ=(a =11(,)x y ,b =22(,)x y ).64.平面两点间的距离公式 ,A B d=||AB AB AB =⋅=11(,)x y ,B 22(,)x y ).65.向量的平行与垂直设a =11(,)x y ,b =22(,)x y ,且b ≠0,则 A ||b ⇔b =λa 12210x y x y ⇔-=. a ⊥b(a ≠0)⇔a ·b=012120x x y y ⇔+=. 66.线段的定比分公式设111(,)P x y ,222(,)P x y ,(,)P x y 是线段12P P 的分点,λ是实数,且12PP PP λ=,则121211x x x y y y λλλλ+⎧=⎪⎪+⎨+⎪=⎪+⎩⇔121OP OP OP λλ+=+ ⇔12(1)OP tOP t OP =+-(11t λ=+). 67.三角形的重心坐标公式△ABC 三个顶点的坐标分别为11A(x ,y )、22B(x ,y )、33C(x ,y ),则△ABC 的重心的坐标是123123(,)33x x x y y y G ++++. 68.点的平移公式''''x x h x x h y y k y y k⎧⎧=+=-⎪⎪⇔⎨⎨=+=-⎪⎪⎩⎩''OP OP PP ⇔=+ . 注:图形F 上的任意一点P(x ,y)在平移后图形'F 上的对应点为'''(,)P x y ,且'PP 的坐标为(,)h k .69.“按向量平移”的几个结论(1)点(,)P x y 按向量a =(,)h k 平移后得到点'(,)P x h y k ++.(2) 函数()y f x =的图象C 按向量a =(,)h k 平移后得到图象'C ,则'C 的函数解析式为()y f x h k =-+.(3) 图象'C 按向量a =(,)h k 平移后得到图象C ,若C 的解析式()y f x =,则'C 的函数解析式为()y f x h k =+-.(4)曲线C :(,)0f x y =按向量a =(,)h k 平移后得到图象'C ,则'C 的方程为(,)0f x h y k --=.(5) 向量m =(,)x y 按向量a =(,)h k 平移后得到的向量仍然为m =(,)x y .70. 三角形五“心”向量形式的充要条件设O 为ABC ∆所在平面上一点,角,,A B C 所对边长分别为,,a b c ,则 (1)O 为ABC ∆的外心222OA OB OC ⇔==. (2)O 为ABC ∆的重心0OA OB OC ⇔++=.(3)O 为ABC ∆的垂心OA OB OB OC OC OA ⇔⋅=⋅=⋅. (4)O 为ABC ∆的内心0aOA bOB cOC ⇔++=. (5)O 为ABC ∆的A ∠的旁心aOA bOB cOC ⇔=+. 71.常用不等式:(1),a b R ∈⇒222a b ab +≥(当且仅当a =b 时取“=”号).(2),a b R +∈⇒2a b+≥(当且仅当a =b 时取“=”号). (3)3333(0,0,0).a b c abc a b c ++≥>>>(4)柯西不等式22222()()(),,,,.a b c d ac bd a b c d R ++≥+∈(5)b a b a b a +≤+≤-. 72.极值定理已知y x ,都是正数,则有(1)若积xy 是定值p ,则当y x =时和y x +有最小值p 2; (2)若和y x +是定值s ,则当y x =时积xy 有最大值241s . 推广 已知R y x ∈,,则有xy y x y x 2)()(22+-=+ (1)若积xy 是定值,则当||y x -最大时,||y x +最大; 当||y x -最小时,||y x +最小.(2)若和||y x +是定值,则当||y x -最大时, ||xy 最小; 当||y x -最小时, ||xy 最大.73.一元二次不等式20(0)ax bx c ++><或2(0,40)a b ac ≠∆=->,如果a 与2ax bx c ++同号,则其解集在两根之外;如果a 与2ax bx c ++异号,则其解集在两根之间.简言之:同号两根之外,异号两根之间.121212()()0()x x x x x x x x x <<⇔--<<; 121212,()()0()x x x x x x x x x x <>⇔--><或.74.含有绝对值的不等式 当a> 0时,有22x a x a a x a <⇔<⇔-<<.22x a x a x a >⇔>⇔>或x a <-.75.无理不等式 (1()0()0()()f x g x f x g x ≥⎧⎪>⇔≥⎨⎪>⎩. (22()0()0()()0()0()[()]f x f x g x g x g x f x g x ≥⎧≥⎧⎪>⇔≥⎨⎨<⎩⎪>⎩或. (32()0()()0()[()]f x g x g x f x g x ≥⎧⎪<⇔>⎨⎪<⎩. 76.指数不等式与对数不等式 (1)当1a >时,()()()()f x g x a a f x g x >⇔>;()0log ()log ()()0()()a a f x f x g x g x f x g x >⎧⎪>⇔>⎨⎪>⎩.(2)当01a <<时,()()()()f x g x a a f x g x >⇔<;()0log ()log ()()0()()a a f x f x g x g x f x g x >⎧⎪>⇔>⎨⎪<⎩77.斜率公式2121y y k x x -=-(111(,)P x y 、222(,)P x y ).78.直线的五种方程(1)点斜式 11()y y k x x -=- (直线l 过点111(,)P x y ,且斜率为k ). (2)斜截式 y kx b =+(b 为直线l 在y 轴上的截距).(3)两点式112121y y x x y y x x --=--(12y y ≠)(111(,)P x y 、222(,)P x y (12x x ≠)).(4)截距式 1x ya b+=(a b 、分别为直线的横、纵截距,0a b ≠、)(5)一般式 0Ax By C ++=(其中A 、B 不同时为0).79.两条直线的平行和垂直(1)若111:l y k x b =+,222:l y k x b =+ ①121212||,l l k k b b ⇔=≠; ②12121l l k k ⊥⇔=-.(2)若1111:0l A x B y C ++=,2222:0l A x B y C ++=,且A 1、A 2、B 1、B 2都不为零, ①11112222||A B C l l A B C ⇔=≠;②1212120l l A A B B ⊥⇔+=; 80.夹角公式 (1)2121tan ||1k k k k α-=+.(111:l y k x b =+,222:l y k x b =+,121k k ≠-)(2)12211212tan ||A B A B A A B B α-=+.(1111:0l A x B y C ++=,2222:0l A x B y C ++=,12120A A B B +≠).直线12l l ⊥时,直线l 1与l 2的夹角是2π. 81. 1l 到2l 的角公式(1)2121tan 1k k k k α-=+.(111:l y k x b =+,222:l y k x b =+,121k k ≠-)(2)12211212tan A B A B A A B B α-=+.(1111:0l A x B y C ++=,2222:0l A x B y C ++=,12120A A B B +≠).直线12l l ⊥时,直线l 1到l 2的角是2π. 82.四种常用直线系方程(1)定点直线系方程:经过定点000(,)P x y 的直线系方程为00()y y k x x -=-(除直线0x x =),其中k 是待定的系数; 经过定点000(,)P x y 的直线系方程为00()()0A x x B y y -+-=,其中,A B 是待定的系数.(2)共点直线系方程:经过两直线1111:0l A x B y C ++=,2222:0l A x B y C ++=的交点的直线系方程为111222()()0A x B y C A x B y C λ+++++=(除2l ),其中λ是待定的系数.(3)平行直线系方程:直线y kx b =+中当斜率k 一定而b 变动时,表示平行直线系方程.与直线0Ax By C ++=平行的直线系方程是0Ax By λ++=(0λ≠),λ是参变量.(4)垂直直线系方程:与直线0Ax By C ++= (A ≠0,B ≠0)垂直的直线系方程是0Bx Ay λ-+=,λ是参变量.83.点到直线的距离d =(点00(,)P x y ,直线l :0Ax By C ++=).84. 0Ax By C ++>或0<所表示的平面区域设直线:0l Ax By C ++=,则0Ax By C ++>或0<所表示的平面区域是: 若0B ≠,当B 与Ax By C ++同号时,表示直线l 的上方的区域;当B 与Ax By C ++异号时,表示直线l 的下方的区域.简言之,同号在上,异号在下. 若0B =,当A 与Ax By C ++同号时,表示直线l 的右方的区域;当A 与Ax By C ++异号时,表示直线l 的左方的区域. 简言之,同号在右,异号在左.85. 111222()()0A x B y C A x B y C ++++>或0<所表示的平面区域设曲线111222:()()0C A x B y C A x B y C ++++=(12120A A B B ≠),则111222()()0A x B y C A x B y C ++++>或0<所表示的平面区域是: 111222()()0A x B y C A x B y C ++++>所表示的平面区域上下两部分; 111222()()0A x B y C A x B y C ++++<所表示的平面区域上下两部分.86. 圆的四种方程(1)圆的标准方程 222()()x a y b r -+-=.(2)圆的一般方程 220x y Dx Ey F ++++=(224D E F +->0).(3)圆的参数方程 cos sin x a r y b r θθ=+⎧⎨=+⎩.(4)圆的直径式方程 1212()()()()0x x x x y y y y --+--=(圆的直径的端点是11(,)A x y 、22(,)B x y ).87. 圆系方程(1)过点11(,)A x y ,22(,)B x y 的圆系方程是1212112112()()()()[()()()()]0x x x x y y y y x x y y y y x x λ--+--+-----= 1212()()()()()0x x x x y y y y ax by c λ⇔--+--+++=,其中0ax by c ++=是直线AB 的方程,λ是待定的系数.(2)过直线l :0Ax By C ++=与圆C :220x y Dx Ey F ++++=的交点的圆系方程是22()0x y Dx Ey F Ax By C λ+++++++=,λ是待定的系数.(3) 过圆1C :221110x y D x E y F ++++=与圆2C :222220x y D x E y F ++++=的交点的圆系方程是2222111222()0x y D x E y F x y D x E y F λ+++++++++=,λ是待定的系数.88.点与圆的位置关系点00(,)P x y 与圆222)()(r b y a x =-+-的位置关系有三种若d =d r >⇔点P 在圆外;d r =⇔点P 在圆上;d r <⇔点P 在圆内.89.直线与圆的位置关系直线0=++C By Ax 与圆222)()(r b y a x =-+-的位置关系有三种:0<∆⇔⇔>相离r d ; 0=∆⇔⇔=相切r d ; 0>∆⇔⇔<相交r d .其中22BA C Bb Aa d +++=.90.两圆位置关系的判定方法设两圆圆心分别为O 1,O 2,半径分别为r 1,r 2,d O O =21条公切线外离421⇔⇔+>r r d ; 条公切线外切321⇔⇔+=r r d ;条公切线相交22121⇔⇔+<<-r r d r r ; 条公切线内切121⇔⇔-=r r d ; 无公切线内含⇔⇔-<<210r r d .91.圆的切线方程(1)已知圆220x y Dx Ey F ++++=.①若已知切点00(,)x y 在圆上,则切线只有一条,其方程是0000()()022D x xE y y x x y yF ++++++=. 当00(,)x y 圆外时, 0000()()022D x xE y y x x y yF ++++++=表示过两个切点的切点弦方程.②过圆外一点的切线方程可设为00()y y k x x -=-,再利用相切条件求k ,这时必有两条切线,注意不要漏掉平行于y 轴的切线.③斜率为k 的切线方程可设为y kx b =+,再利用相切条件求b ,必有两条切线.(2)已知圆222x y r +=.①过圆上的000(,)P x y 点的切线方程为200x x y y r +=;②斜率为k 的圆的切线方程为y kx =±.92.椭圆22221(0)x y a b a b +=>>的参数方程是cos sin x a y b θθ=⎧⎨=⎩.93.椭圆22221(0)x y a b a b+=>>焦半径公式)(21c a x e PF +=,)(22x ca e PF -=.94.椭圆的的内外部(1)点00(,)P x y 在椭圆22221(0)x y a b a b +=>>的内部2200221x y a b ⇔+<. (2)点00(,)P x y 在椭圆22221(0)x y a b a b+=>>的外部2200221x y a b ⇔+>. 95. 椭圆的切线方程(1)椭圆22221(0)x y a b a b +=>>上一点00(,)P x y 处的切线方程是00221x x y ya b +=.(2)过椭圆22221(0)x y a b a b+=>>外一点00(,)P x y 所引两条切线的切点弦方程是00221x x y ya b+=. (3)椭圆22221(0)x y a b a b+=>>与直线0Ax By C ++=相切的条件是22222A a B b c +=.96.双曲线22221(0,0)x y a b a b -=>>的焦半径公式21|()|a PF e x c =+,22|()|a PF e x c=-.97.双曲线的内外部(1)点00(,)P x y 在双曲线22221(0,0)x y a b a b -=>>的内部2200221x y a b ⇔->. (2)点00(,)P x y 在双曲线22221(0,0)x y a b a b-=>>的外部2200221x y a b⇔-<.98.双曲线的方程与渐近线方程的关系(1)若双曲线方程为12222=-b y a x ⇒渐近线方程:22220x y a b -=⇔x aby ±=.(2)若渐近线方程为x aby ±=⇔0=±b y a x ⇒双曲线可设为λ=-2222b y a x .(3)若双曲线与12222=-b y a x 有公共渐近线,可设为λ=-2222by a x (0>λ,焦点在x轴上,0<λ,焦点在y 轴上).99. 双曲线的切线方程(1)双曲线22221(0,0)x y a b a b -=>>上一点00(,)P x y 处的切线方程是00221x x y ya b -=.(2)过双曲线22221(0,0)x y a b a b-=>>外一点00(,)P x y 所引两条切线的切点弦方程是00221x x y ya b-=. (3)双曲线22221(0,0)x y a b a b-=>>与直线0Ax By C ++=相切的条件是22222A a B b c -=.100. 抛物线px y 22=的焦半径公式抛物线22(0)y px p =>焦半径02p CF x =+.过焦点弦长p x x px p x CD ++=+++=212122.101.抛物线px y 22=上的动点可设为P ),2(2 y py 或或)2,2(2pt pt P P (,)x y ,其中22y px =.102.二次函数2224()24b ac b y ax bx c a x a a-=++=++(0)a ≠的图象是抛物线:(1)顶点坐标为24(,)24b ac b a a --;(2)焦点的坐标为241(,)24b ac b a a-+-;(3)准线方程是2414ac b y a--=.103.抛物线的内外部(1)点00(,)P x y 在抛物线22(0)y px p =>的内部22(0)y px p ⇔<>. 点00(,)P x y 在抛物线22(0)y px p =>的外部22(0)y px p ⇔>>. (2)点00(,)P x y 在抛物线22(0)y px p =->的内部22(0)y px p ⇔<->. 点00(,)P x y 在抛物线22(0)y px p =->的外部22(0)y px p ⇔>->. (3)点00(,)P x y 在抛物线22(0)x py p =>的内部22(0)x py p ⇔<>. 点00(,)P x y 在抛物线22(0)x py p =>的外部22(0)x py p ⇔>>. (4) 点00(,)P x y 在抛物线22(0)x py p =>的内部22(0)x py p ⇔<>. 点00(,)P x y 在抛物线22(0)x py p =->的外部22(0)x py p ⇔>->.104. 抛物线的切线方程(1)抛物线px y 22=上一点00(,)P x y 处的切线方程是00()y y p x x =+.(2)过抛物线px y 22=外一点00(,)P x y 所引两条切线的切点弦方程是00()y y p x x =+.(3)抛物线22(0)y px p =>与直线0Ax By C ++=相切的条件是22pB AC =.105.两个常见的曲线系方程(1)过曲线1(,)0f x y =,2(,)0f x y =的交点的曲线系方程是12(,)(,)0f x y f x y λ+=(λ为参数).(2)共焦点的有心圆锥曲线系方程22221x y a k b k+=--,其中22max{,}k a b <.当22min{,}k a b >时,表示椭圆; 当2222min{,}max{,}a b k a b <<时,表示双曲线.106.直线与圆锥曲线相交的弦长公式 AB =1212|||AB x x y y ==-=-(弦端点A ),(),,(2211y xB y x ,由方程⎩⎨⎧=+=0)y ,x (F b kx y 消去y 得到02=++c bx ax ,0∆>,α为直线AB 的倾斜角,k 为直线的斜率).107.圆锥曲线的两类对称问题(1)曲线(,)0F x y =关于点00(,)P x y 成中心对称的曲线是00(2-,2)0F x x y y -=. (2)曲线(,)0F x y =关于直线0Ax By C ++=成轴对称的曲线是22222()2()(,)0A Ax By C B Ax By C F x y A B A B++++--=++. 108.“四线”一方程对于一般的二次曲线220Ax Bxy Cy Dx Ey F +++++=,用0x x 代2x ,用0y y 代2y ,用002x y xy +代xy ,用02x x +代x ,用02y y+代y 即得方程0000000222x y xy x x y yAx x B Cy y D E F ++++⋅++⋅+⋅+=,曲线的切线,切点弦,中点弦,弦中点方程均是此方程得到.109.证明直线与直线的平行的思考途径 (1)转化为判定共面二直线无交点; (2)转化为二直线同与第三条直线平行; (3)转化为线面平行; (4)转化为线面垂直; (5)转化为面面平行.110.证明直线与平面的平行的思考途径 (1)转化为直线与平面无公共点; (2)转化为线线平行; (3)转化为面面平行.111.证明平面与平面平行的思考途径 (1)转化为判定二平面无公共点; (2)转化为线面平行; (3)转化为线面垂直.112.证明直线与直线的垂直的思考途径 (1)转化为相交垂直; (2)转化为线面垂直;(3)转化为线与另一线的射影垂直; (4)转化为线与形成射影的斜线垂直. 113.证明直线与平面垂直的思考途径(1)转化为该直线与平面内任一直线垂直; (2)转化为该直线与平面内相交二直线垂直; (3)转化为该直线与平面的一条垂线平行; (4)转化为该直线垂直于另一个平行平面; (5)转化为该直线与两个垂直平面的交线垂直. 114.证明平面与平面的垂直的思考途径 (1)转化为判断二面角是直二面角; (2)转化为线面垂直.115.空间向量的加法与数乘向量运算的运算律 (1)加法交换律:a +b =b +a .(2)加法结合律:(a +b )+c =a +(b +c ). (3)数乘分配律:λ(a +b )=λa +λb .116.平面向量加法的平行四边形法则向空间的推广 始点相同且不在同一个平面内的三个向量之和,等于以这三个向量为棱的平行六面体的以公共始点为始点的对角线所表示的向量.117.共线向量定理对空间任意两个向量a 、b (b ≠0 ),a ∥b ⇔存在实数λ使a =λb .P A B 、、三点共线⇔||AP AB ⇔AP t AB =⇔(1)OP t OA tOB =-+.||AB CD ⇔AB 、CD 共线且AB CD 、不共线⇔AB tCD =且AB CD 、不共线.118.共面向量定理向量p 与两个不共线的向量a 、b 共面的⇔存在实数对,x y ,使p ax by =+. 推论 空间一点P 位于平面MAB 内的⇔存在有序实数对,x y ,使MP xMA yMB =+, 或对空间任一定点O ,有序实数对,x y ,使OP OM xMA yMB =++.119.对空间任一点O 和不共线的三点A 、B 、C ,满足OP xOA yOB zOC =++(x y z k ++=),则当1k =时,对于空间任一点O ,总有P 、A 、B 、C 四点共面;当1k ≠时,若O ∈平面ABC ,则P 、A 、B 、C 四点共面;若O ∉平面ABC ,则P 、A 、B 、C 四点不共面.C A B 、、、D 四点共面⇔AD 与AB 、AC 共面⇔AD x AB y AC =+⇔(1)OD x y OA xOB yOC =--++(O ∉平面ABC ).120.空间向量基本定理如果三个向量a 、b 、c 不共面,那么对空间任一向量p ,存在一个唯一的有序实数组x ,y ,z ,使p =x a +y b +z c .推论 设O 、A 、B 、C 是不共面的四点,则对空间任一点P ,都存在唯一的三个有序实数x ,y ,z ,使OP xOA yOB zOC =++.121.射影公式已知向量AB =a 和轴l ,e 是l 上与l 同方向的单位向量.作A 点在l 上的射影'A ,作B 点在l 上的射影'B ,则''||cos A B AB =〈a ,e 〉=a ·e122.向量的直角坐标运算设a =123(,,)a a a ,b =123(,,)b b b 则 (1)a +b =112233(,,)a b a b a b +++; (2)a -b =112233(,,)a b a b a b ---;(3)λa =123(,,)a a a λλλ (λ∈R); (4)a ·b =112233a b a b a b ++; 123.设A 111(,,)x y z ,B 222(,,)x y z ,则AB OB OA =-= 212121(,,)x x y y z z ---.124.空间的线线平行或垂直设111(,,)a x y z =,222(,,)b x y z =,则a b ⇔(0)a b b λ=≠⇔121212x x y y z zλλλ=⎧⎪=⎨⎪=⎩;a b ⊥⇔0a b ⋅=⇔1212120x x y y z z ++=.125.夹角公式设a =123(,,)a a a ,b =123(,,)b b b ,则 cos 〈a ,b 〉.推论 2222222112233123123()()()a b a b a b a a a b b b ++≤++++,此即三维柯西不等式.126. 四面体的对棱所成的角四面体ABCD 中, AC 与BD 所成的角为θ,则2222|()()|cos 2AB CD BC DA AC BDθ+-+=⋅.127.异面直线所成角cos |cos ,|a b θ==21||||||a b a b x ⋅=⋅+(其中θ(090θ<≤)为异面直线a b ,所成角,,a b 分别表示异面直线a b ,的方向向量)128.直线AB 与平面所成角sin||||AB marc AB m β⋅=(m 为平面α的法向量).129.若ABC ∆所在平面若β与过若AB 的平面α成的角θ,另两边AC ,BC 与平面α成的角分别是1θ、2θ,A B 、为ABC ∆的两个内角,则2222212sin sin (sin sin )sin A B θθθ+=+.特别地,当90ACB ∠=时,有22212sin sin sin θθθ+=.130.若ABC ∆所在平面若β与过若AB 的平面α成的角θ,另两边AC ,BC 与平面α成的角分别是1θ、2θ,''A B 、为ABO ∆的两个内角,则222'2'212tan tan (sin sin )tan A B θθθ+=+.特别地,当90AOB ∠=时,有22212sin sin sin θθθ+=. 131.二面角l αβ--的平面角cos||||m n arc m n θ⋅=或cos ||||m narc m n π⋅-(m ,n 为平面α,β的法向量).132.三余弦定理设AC 是α内的任一条直线,且BC ⊥AC ,垂足为C ,又设AO 与AB 所成的角为1θ,AB 与AC 所成的角为2θ,AO 与AC 所成的角为θ.则12cos cos cos θθθ=.133. 三射线定理若夹在平面角为ϕ的二面角间的线段与二面角的两个半平面所成的角是1θ,2θ,与二面角的棱所成的角是θ,则有22221212sin sin sin sin 2sin sin cos ϕθθθθθϕ=+- ;1212||180()θθϕθθ-≤≤-+(当且仅当90θ=时等号成立).134.空间两点间的距离公式若A 111(,,)x y z ,B 222(,,)x y z ,则,A B d =||AB AB AB =⋅=135.点Q 到直线l 距离h =(点P 在直线l 上,直线l 的方向向量a =PA ,向量b =PQ ).136.异面直线间的距离||||CD n d n ⋅=(12,l l 是两异面直线,其公垂向量为n ,C D 、分别是12,l l 上任一点,d 为12,l l 间的距离).137.点B 到平面α的距离||||AB n d n ⋅=(n 为平面α的法向量,AB 是经过面α的一条斜线,A α∈). 138.异面直线上两点距离公式2cos d mn θ=.',d EA AF =.d =('E AA F ϕ=--).(两条异面直线a 、b 所成的角为θ,其公垂线段'AA 的长度为h.在直线a 、b 上分别取两点E 、F ,'A E m =,AF n =,EF d =). 139.三个向量和的平方公式2222()222a b c a b c a b b c c a ++=+++⋅+⋅+⋅2222||||cos ,2||||cos ,2||||cos ,a b c a b a b b c b c c a c a =+++⋅+⋅+⋅140. 长度为l 的线段在三条两两互相垂直的直线上的射影长分别为123l l l 、、,夹角分别为123θθθ、、,则有2222123l l l l =++222123cos cos cos 1θθθ⇔++=222123sin sin sin 2θθθ⇔++=.(立体几何中长方体对角线长的公式是其特例).141. 面积射影定理'cos S S θ=.(平面多边形及其射影的面积分别是S 、'S ,它们所在平面所成锐二面角的为θ). 142. 斜棱柱的直截面已知斜棱柱的侧棱长是l ,侧面积和体积分别是S 斜棱柱侧和V 斜棱柱,它的直截面的周长和面积分别是1c 和1S ,则①1S c l =斜棱柱侧. ②1V S l =斜棱柱.143.作截面的依据三个平面两两相交,有三条交线,则这三条交线交于一点或互相平行. 144.棱锥的平行截面的性质如果棱锥被平行于底面的平面所截,那么所得的截面与底面相似,截面面积与底面面积的比等于顶点到截面距离与棱锥高的平方比(对应角相等,对应边对应成比例的多边形是相似多边形,相似多边形面积的比等于对应边的比的平方);相应小棱锥与小棱锥的侧面积的比等于顶点到截面距离与棱锥高的平方比.145.欧拉定理(欧拉公式)2V F E +-=(简单多面体的顶点数V 、棱数E 和面数F).(1)E =各面多边形边数和的一半.特别地,若每个面的边数为n 的多边形,则面数F 与棱数E 的关系:12E nF =; (2)若每个顶点引出的棱数为m ,则顶点数V 与棱数E 的关系:12E mV =. 146.球的半径是R ,则其体积343V R π=, 其表面积24S R π=.147.球的组合体(1)球与长方体的组合体:长方体的外接球的直径是长方体的体对角线长. (2)球与正方体的组合体:正方体的内切球的直径是正方体的棱长, 正方体的棱切球的直径是正方体的面对角线长, 正方体的外接球的直径是正方体的体对角线长. (3) 球与正四面体的组合体:棱长为a ,. 148.柱体、锥体的体积13V Sh =柱体(S 是柱体的底面积、h 是柱体的高).13V Sh =锥体(S 是锥体的底面积、h 是锥体的高).149.分类计数原理(加法原理) 12n N m m m =+++. 150.分步计数原理(乘法原理) 12n N m m m =⨯⨯⨯. 151.排列数公式m n A =)1()1(+--m n n n =!!)(m n n -.(n ,m ∈N *,且m n ≤).注:规定1!0=.152.排列恒等式(1)1(1)m m n n A n m A -=-+;(2)1mmn n n A A n m -=-; (3)11m m n n A nA --=;(4)11n n nn n n nA A A ++=-; (5)11m m m n n n A A mA -+=+.(6) 1!22!33!!(1)!1n n n +⋅+⋅++⋅=+-.153.组合数公式m nC =m n m mA A =m m n n n ⨯⨯⨯+-- 21)1()1(=!!!)(m n m n -⋅(n ∈N *,m N ∈,且m n ≤).154.组合数的两个性质 (1)mn C =mn nC - ; (2) m n C +1-m nC =mn C 1+.注:规定10=n C .155.组合恒等式(1)11mm n n n m C C m --+=; (2)1m mn n n C C n m -=-;(3)11mm n n n C C m--=;(4)∑=nr r nC0=n2;(5)1121++++=++++r n r n r r r r r rC C C C C . (6)nn n r n n n n C C C C C 2210=++++++ . (7)14205312-+++=+++n n n n n n n C C C C C C . (8)1321232-=++++n n n n n n n nC C C C . (9)rn m r n r m n r m n r m C C C C C C C +-=+++0110 . (10)nn n n n n n C C C C C 22222120)()()()(=++++ .156.排列数与组合数的关系m m n n A m C =⋅! .157.单条件排列以下各条的大前提是从n 个元素中取m 个元素的排列. (1)“在位”与“不在位”①某(特)元必在某位有11--m n A 种;②某(特)元不在某位有11---m n m n A A (补集思想)1111---=m n n A A (着眼位置)11111----+=m n m m n A A A (着眼元素)种.(2)紧贴与插空(即相邻与不相邻)①定位紧贴:)(n m k k ≤≤个元在固定位的排列有km k n k k A A --种.②浮动紧贴:n 个元素的全排列把k 个元排在一起的排法有kk k n k n A A 11+-+-种.注:此类问题常用捆绑法;③插空:两组元素分别有k 、h 个(1+≤h k ),把它们合在一起来作全排列,k 个的一组互不能挨近的所有排列数有kh hh A A 1+种.(3)两组元素各相同的插空m 个大球n 个小球排成一列,小球必分开,问有多少种排法?当1+>m n 时,无解;当1+≤m n 时,有n m n nn m C A A 11++=种排法.(4)两组相同元素的排列:两组元素有m 个和n 个,各组元素分别相同的排列数为nn m C +. 158.分配问题(1)(平均分组有归属问题)将相异的m 、n 个物件等分给m 个人,各得n 件,其分配方法数共有mnn nn nn mn nn mn nmn n mn C C C C C N )!()!(22=⋅⋅⋅⋅⋅=-- . (2)(平均分组无归属问题)将相异的m ·n 个物体等分为无记号或无顺序的m 堆,其分配方法数共有mn nn n n n mn n n mn n mn n m mn m C C C C C N )!(!)!(!...22=⋅⋅⋅⋅=--.(3)(非平均分组有归属问题)将相异的)12m P(P=n +n ++n 个物体分给m 个人,物件必须被分完,分别得到1n ,2n ,…,m n 件,且1n ,2n ,…,m n 这m 个数彼此不相等,则其分配方法数共有!!...!!!! (212)11m n n n n p n p n n n m p m C C C N m m =⋅⋅=-.(4)(非完全平均分组有归属问题)将相异的)12m P(P=n +n ++n 个物体分给m 个人,物件必须被分完,分别得到1n ,2n ,…,m n 件,且1n ,2n ,…,m n 这m 个数中分别有a 、b 、c 、…个相等,则其分配方法数有!...!!!...211c b a m C C C N m m n n n n p n p ⋅⋅=- 12!!!!...!(!!!...)m p m n n n a b c =.(5)(非平均分组无归属问题)将相异的)12m P(P=n +n ++n 个物体分为任意的1n ,2n ,…,m n 件无记号的m 堆,且1n ,2n ,…,m n 这m 个数彼此不相等,则其分配方法数有!!...!!21m n n n p N =.(6)(非完全平均分组无归属问题)将相异的)12m P(P=n +n ++n 个物体分为任意的1n ,2n ,…,m n 件无记号的m 堆,且1n ,2n ,…,m n 这m 个数中分别有a 、b 、c 、…个相等,则其分配方法数有!...)!!(!!...!!21c b a n n n p N m =.(7)(限定分组有归属问题)将相异的p (2m p n n n =1+++)个物体分给甲、乙、丙,……等m 个人,物体必须被分完,如果指定甲得1n 件,乙得2n 件,丙得3n 件,…时,则无论1n ,2n ,…,m n 等m 个数是否全相异或不全相异其分配方法数恒有!!...!!...21211m n n n n p n p n n n p C C C N m m =⋅=-.159.“错位问题”及其推广。
必修四—第一章 三角函数1. ❖终边落在x 轴上的角的集合: .❖ 终边落在y 轴上的角的集合: .❖ 终边落在坐标轴上的角的集合: .2弧长公式: =l,=S .3.同角三角函数的基本关系:①平方关系: ②乘积关系:◆ 诱导公式(一)()()=+=+=+)2tan(2cos 2sin παπαπαk k k◆ 诱导公式(二) ()()()=+=+=+απαπαπtan cos sin◆ 诱导公式(三) ()()()=-=-=-αααtan cos sin◆ 诱导公式(四) ()()()=-=-=-απαπαπtan cos sin◆ 诱导公式(五)=⎪⎭⎫ ⎝⎛-=⎪⎭⎫ ⎝⎛-απαπ2cos 2sin◆ 诱导公式(六)=⎪⎭⎫ ⎝⎛+=⎪⎭⎫⎝⎛+απαπ2cos 2sin4.三角函数(x x x tan ,cos ,sin )的性质5.函数)sin(ϕ+=wx A y 的图像振幅变化:x y sin = x A y sin = 左右伸缩变化 x A y ωsin =左右平移变化)sin(ϕω+=x A y 上下平移变化 k x A y ++=)sin(ϕω第二章:平面向量1.平面向量共线定理: 一般地,对于两个向量 ()如果有,,0,b a a ≠()是共线向量与是共线向量;反之如果与则使得一个实数a b a b a a b ,0,,≠=λλ .,a b λλ=使得那么又且只有一个实数2.向量的一个定理的类似推广①向量共线定理: )0(≠=a a b λ②平面向量基本定理: 2211e e a λλ+=(其中21,e e 为平面内不共线的两向量)3.线段的定比分点点P 分有向线段21P P 所成的比的定义式21PP P P λ=,这时=x ,=y . 4.一般地,设向量()(),0,,,2211≠==a y x b y x a 且 ①那么如果b a // . ②如果b a ⊥,那么 .5.一般地,对于两个非零向量b a , 有 θb a =⋅,其中θ为两向量的夹角。
1. 集合与常用逻辑用语
2. 复数
3. 平面向量
4. 算法、推理与证明
5.不等式、线性规划
6. 计数原理与二项式定理
7. 函数、基本初等函数的图像与性质
8. 函数与方程、函数模型及其应用
9.导数及其应用
10.三角函数的图形与性质
11.三角恒等变化与解三角形
12.等差数列、等比数列
13.数列求和及数列的简单应用
14.空间几何体
15.空间点、直线、平面位置关系
16.空间向量与立体几何
17.直线与圆的方程
18.圆锥曲线的定义、方程与性质
19.圆锥曲线的热点问题
20.概率
21.离散型随机变量及其分布
22.统计与统计案例
23.函数与方程思想,数学结合思想
24.分类与整合思想,化归与转化思想
25.几何证明选讲
26.坐标系与参数方程。
(高考必备!)高中数学常用公式及结论1 元素与集合的关系:U x A x C A ∈⇔∉,U x C A x A ∈⇔∉.A A ∅⇔≠∅2 集合12{,,,}n a a a 的子集个数共有2n 个;真子集有21n -个;非空子集有21n -个;非空的真子集有22n -个.3 二次函数的解析式的三种形式:(1) 一般式2()(0)f x ax bx c a =++≠;(2) 顶点式2()()(0)h f x a a k x =-+≠;(当已知抛物线的顶点坐标(,)h k 时,设为此式) (3) 零点式12()()()(0)f x a x x x a x =--≠;(当已知抛物线与x 轴的交点坐标为12(,0),(,0)x x 时,设为此式)(4)切线式:02()()(()),0x kx d f x a x a =-+≠+。
(当已知抛物线与直线y kx d =+相切且切点的横坐标为0x 时,设为此式)4 真值表: 同真且真,同假或假 56 )充要条件: (1)、p q ⇒,则P 是q 的充分条件,反之,q 是p 的必要条件;(2)、p q ⇒,且q ≠> p ,则P 是q 的充分不必要条件; (3)、p ≠> p ,且q p ⇒,则P 是q 的必要不充分条件;4、p ≠> p ,且q ≠> p ,则P 是q 的既不充分又不必要条件。
7 函数单调性:增函数:(1)、文字描述是:y 随x 的增大而增大。
(2)、数学符号表述是:设f (x )在x ∈D 上有定义,若对任意的1212,,x x D x x ∈<且,都有12()()f x f x <成立,则就叫f (x )在x ∈D 上是增函数。
D 则就是f (x )的递增区间。
减函数:(1)、文字描述是:y 随x 的增大而减小。
(2)、数学符号表述是:设f (x )在x ∈D 上有定义,若对任意的1212,,x x D x x ∈<且,都有12()()f x f x >成立,则就叫f (x )在x ∈D 上是减函数。
高中数学常用公式及常用结论1. 元素与集合的关系U x A x C A ∈⇔∉,U x C A x A ∈⇔∉.2.德摩根公式();()U U U U U U C A B C A C B C A B C A C B ==.3.包含关系A B A A B B =⇔=U U A B C B C A ⇔⊆⇔⊆ U A C B ⇔=ΦU C A B R ⇔=4.容斥原理()()card A B cardA cardB card A B =+-()()card A B C cardA cardB cardC card A B =++-()()()()card A B card B C card CA card ABC ---+.5.集合12{,,,}n a a a 的子集个数共有2n 个;真子集有2n –1个;非空子集有2n –1个;非空的真子集有2n–2个.6.二次函数的解析式的三种形式 (1)一般式2()(0)f x ax bx c a =++≠; (2)顶点式2()()(0)f x a x h k a =-+≠; (3)零点式12()()()(0)f x a x x x x a =--≠. 7.解连不等式()N f x M <<常有以下转化形式()N f x M <<⇔[()][()]0f x M f x N --<⇔|()|22M N M Nf x +--<⇔()0()f x N M f x ->- ⇔11()f x N M N>--. 8.方程0)(=x f 在),(21k k 上有且只有一个实根,与0)()(21<k f k f 不等价,前者是后者的一个必要而不是充分条件.特别地, 方程)0(02≠=++a c bx ax 有且只有一个实根在),(21k k 内,等价于0)()(21<k f k f ,或0)(1=k f 且22211k k a bk +<-<,或0)(2=k f 且22122k abk k <-<+. 9.闭区间上的二次函数的最值二次函数)0()(2≠++=a c bx ax x f 在闭区间[]q p ,上的最值只能在abx 2-=处及区间的两端点处取得,具体如下:(1)当a>0时,若[]q p a bx ,2∈-=,则{}min max max ()(),()(),()2b f x f f x f p f q a=-=; []q p abx ,2∉-=,{}max max ()(),()f x f p f q =,{}min min ()(),()f x f p f q =. (2)当a<0时,若[]q p abx ,2∈-=,则{}min ()min (),()f x f p f q =,若[]q p abx ,2∉-=,则{}max ()max (),()f x f p f q =,{}min ()min (),()f x f p f q =.10.一元二次方程的实根分布依据:若()()0f m f n <,则方程0)(=x f 在区间(,)m n 内至少有一个实根 . 设q px x x f ++=2)(,则(1)方程0)(=x f 在区间),(+∞m 内有根的充要条件为0)(=m f 或2402p q p m ⎧-≥⎪⎨->⎪⎩;(2)方程0)(=x f 在区间(,)m n 内有根的充要条件为()()0f m f n <或2()0()0402f m f n p q p m n >⎧⎪>⎪⎪⎨-≥⎪⎪<-<⎪⎩或()0()0f m af n =⎧⎨>⎩或()0()0f n af m =⎧⎨>⎩;(3)方程0)(=x f 在区间(,)n -∞内有根的充要条件为()0f m <或2402p q p m ⎧-≥⎪⎨-<⎪⎩ .11.定区间上含参数的二次不等式恒成立的条件依据(1)在给定区间),(+∞-∞的子区间L (形如[]βα,,(]β,∞-,[)+∞,α不同)上含参数的二次不等式(,)0f x t ≥(t 为参数)恒成立的充要条件是min (,)0()f x t x L ≥∉.(2)在给定区间),(+∞-∞的子区间上含参数的二次不等式(,)0f x t ≥(t 为参数)恒成立的充要条件是(,)0()man f x t x L ≤∉.(3)0)(24>++=c bx ax x f 恒成立的充要条件是000a b c ≥⎧⎪≥⎨⎪>⎩或2040a b ac <⎧⎨-<⎩.12.13.14.四种命题的相互关系15.充要条件(1)充分条件:若p q ⇒,则p 是q 充分条件.(2)必要条件:若q p ⇒,则p 是q 必要条件.(3)充要条件:若p q ⇒,且q p ⇒,则p 是q 充要条件. 注:如果甲是乙的充分条件,则乙是甲的必要条件;反之亦然. 16.函数的单调性(1)设[]2121,,x x b a x x ≠∈⋅那么[]1212()()()0x x f x f x -->⇔[]b a x f x x x f x f ,)(0)()(2121在⇔>--上是增函数;[]1212()()()0x x f x f x --<⇔[]b a x f x x x f x f ,)(0)()(2121在⇔<--上是减函数. (2)设函数)(x f y =在某个区间内可导,如果0)(>'x f ,则)(x f 为增函数;如果0)(<'x f ,则)(x f 为减函数.17.如果函数)(x f 和)(x g 都是减函数,则在公共定义域内,和函数)()(x g x f +也是减函数; 如果函数)(u f y =和)(x g u =在其对应的定义域上都是减函数,则复合函数)]([x g f y =是增函数.18.奇偶函数的图象特征奇函数的图象关于原点对称,偶函数的图象关于y 轴对称;反过来,如果一个函数的图象关于原点对称,那么这个函数是奇函数;如果一个函数的图象关于y 轴对称,那么这个函数是偶函数.19.若函数)(x f y =是偶函数,则)()(a x f a x f --=+;若函数)(a x f y +=是偶函数,则)()(a x f a x f +-=+.20.对于函数)(x f y =(R x ∈),)()(x b f a x f -=+恒成立,则函数)(x f 的对称轴是函数2b a x +=;两个函数)(a x f y +=与)(x b f y -= 的图象关于直线2ba x +=对称. 21.若)()(a x f x f +--=,则函数)(x f y =的图象关于点)0,2(a对称; 若)()(a x f x f +-=,则函数)(x f y =为周期为a 2的周期函数.22.多项式函数110()n n n n P x a x a x a --=+++的奇偶性多项式函数()P x 是奇函数⇔()P x 的偶次项(即奇数项)的系数全为零. 多项式函数()P x 是偶函数⇔()P x 的奇次项(即偶数项)的系数全为零. 23.函数()y f x =的图象的对称性(1)函数()y f x =的图象关于直线x a =对称()()f a x f a x ⇔+=-(2)()f a x f x ⇔-=.(2)函数()y f x =的图象关于直线2a bx +=对称()()f a mx f b mx ⇔+=- ()()f a b mx f mx ⇔+-=.24.两个函数图象的对称性(1)函数()y f x =与函数()y f x =-的图象关于直线0x =(即y 轴)对称. (2)函数()y f mx a =-与函数()y f b mx =-的图象关于直线2a bx m+=对称. (3)函数)(x f y =和)(1x fy -=的图象关于直线y=x 对称.25.若将函数)(x f y =的图象右移a 、上移b 个单位,得到函数b a x f y +-=)(的图象;若将曲线0),(=y x f 的图象右移a 、上移b 个单位,得到曲线0),(=--b y a x f 的图象.26.互为反函数的两个函数的关系a b f b a f =⇔=-)()(1.27.若函数)(b kx f y +=存在反函数,则其反函数为])([11b x f ky -=-,并不是)([1b kx fy +=-,而函数)([1b kx fy +=-是])([1b x f ky -=的反函数. 28.几个常见的函数方程(1)正比例函数()f x cx =,()()(),(1)f x y f x f y f c +=+=.(2)指数函数()xf x a =,()()(),(1)0f x y f x f y f a +==≠.(3)对数函数()log a f x x =,()()(),()1(0,1)f xy f x f y f a a a =+=>≠.(4)幂函数()f x x α=,'()()(),(1)f xy f x f y f α==.(5)余弦函数()cos f x x =,正弦函数()sin g x x =,()()()()()f x y f x f y g x g y -=+,()(0)1,lim1x g x f x→==. 29.几个函数方程的周期(约定a>0)(1))()(a x f x f +=,则)(x f 的周期T=a ; (2)0)()(=+=a x f x f ,或)0)(()(1)(≠=+x f x f a x f , 或1()()f x a f x +=-(()0)f x ≠,或[]1(),(()0,1)2f x a f x +=+∈,则)(x f 的周期T=2a ; (3))0)(()(11)(≠+-=x f a x f x f ,则)(x f 的周期T=3a ; (4))()(1)()()(212121x f x f x f x f x x f -+=+且1212()1(()()1,0||2)f a f x f x x x a =⋅≠<-<,则)(x f 的周期T=4a ;(5)()()(2)(3)(4)f x f x a f x a f x a f x a +++++++()()(2)(3)(4)f x f x a f x a f x a f x a =++++,则)(x f 的周期T=5a ;(6))()()(a x f x f a x f +-=+,则)(x f 的周期T=6a. 30.分数指数幂(1)m na =(0,,a m n N *>∈,且1n >). (2)1m nm naa-=(0,,a m n N *>∈,且1n >).31.根式的性质(1)na =.(2)当na =; 当n,0||,0a a a a a ≥⎧==⎨-<⎩.32.有理指数幂的运算性质 (1) (0,,)rsr sa a aa r s Q +⋅=>∈.(2) ()(0,,)r s rs a a a r s Q =>∈. (3)()(0,0,)rr rab a b a b r Q =>>∈.注: 若a >0,p 是一个无理数,则a p 表示一个确定的实数.上述有理指数幂的运算性质,对于无理数指数幂都适用.33.指数式与对数式的互化式log b a N b a N =⇔=(0,1,0)a a N >≠>.34.对数的换底公式log log log m a m NN a=(0a >,且1a ≠,0m >,且1m ≠, 0N >).推论 log log m na a nb b m =(0a >,且1a >,,0m n >,且1m ≠,1n ≠, 0N >).35.对数的四则运算法则若a >0,a ≠1,M >0,N >0,则 (1)log ()log log a a a MN M N =+;(2) log log log aa a MM N N =-; (3)log log ()na a M n M n R =∈.36.设函数)0)((log )(2≠++=a c bx ax x f m ,记ac b 42-=∆.若)(x f 的定义域为R ,则0>a ,且0<∆;若)(x f 的值域为R ,则0>a ,且0≥∆.对于0=a 的情形,需要单独检验.37. 对数换底不等式及其推广若0a >,0b >,0x >,1x a ≠,则函数log ()ax y bx = (1)当a b >时,在1(0,)a 和1(,)a +∞上log ()ax y bx =为增函数., (2)当a b <时,在1(0,)a 和1(,)a+∞上log ()ax y bx =为减函数.推论:设1n m >>,0p >,0a >,且1a ≠,则 (1)log ()log m p m n p n ++<. (2)2log log log 2a a a m nm n +<. 38. 平均增长率的问题如果原来产值的基础数为N ,平均增长率为p ,则对于时间x 的总产值y ,有(1)x y N p =+.39.数列的同项公式与前n 项的和的关系11,1,2n n n s n a s s n -=⎧=⎨-≥⎩( 数列{}n a 的前n 项的和为12n n s a a a =+++).40.等差数列的通项公式*11(1)()n a a n d dn a d n N =+-=+-∈;其前n 项和公式为1()2n n n a a s +=1(1)2n n na d -=+211()22d n a d n =+-. 41.等比数列的通项公式1*11()n nn a a a q q n N q-==⋅∈; 其前n 项的和公式为11(1),11,1n n a q q s q na q ⎧-≠⎪=-⎨⎪=⎩或11,11,1n n a a qq q s na q -⎧≠⎪-=⎨⎪=⎩.42.等比差数列{}n a :11,(0)n n a qa d a b q +=+=≠的通项公式为1(1),1(),11n n n b n d q a bq d b q d q q -+-=⎧⎪=+--⎨≠⎪-⎩;其前n 项和公式为(1),(1)1(),(1)111n n nb n n d q s d q db n q q q q +-=⎧⎪=-⎨-+≠⎪---⎩. 43.分期付款(按揭贷款)每次还款(1)(1)1nn ab b x b +=+-元(贷款a 元,n 次还清,每期利率为b ).44.常见三角不等式 (1)若(0,)2x π∈,则sin tan x x x <<.(2) 若(0,)2x π∈,则1sin cos x x <+≤(3) |sin ||cos |1x x +≥.45.同角三角函数的基本关系式22sin cos 1θθ+=,tan θ=θθcos sin ,tan 1cot θθ⋅=. 46.正弦、余弦的诱导公式212(1)sin ,sin()2(1)s ,nn n co απαα-⎧-⎪+=⎨⎪-⎩212(1)s ,s()2(1)sin ,nn co n co απαα+⎧-⎪+=⎨⎪-⎩47.和角与差角公式sin()sin cos cos sin αβαβαβ±=±;cos()cos cos sin sin αβαβαβ±=;tan tan tan()1tan tan αβαβαβ±±=.22sin()sin()sin sin αβαβαβ+-=-(平方正弦公式); 22cos()cos()cos sin αβαβαβ+-=-.sin cos a b αα+=)αϕ+(辅助角ϕ所在象限由点(,)a b 的象限决定,tan baϕ= ).48.二倍角公式sin22sin cos ααα=.2222cos 2cos sin 2cos 112sin ααααα=-=-=-.22tan tan 21tan ααα=-. 49. 三倍角公式3sin 33sin 4sin 4sin sin()sin()33ππθθθθθθ=-=-+.3cos34cos 3cos 4cos cos()cos()33ππθθθθθθ=-=-+.323tan tan tan 3tan tan()tan()13tan 33θθππθθθθθ-==-+-. 50.三角函数的周期公式函数sin()y x ωϕ=+,x ∈R 及函数cos()y x ωϕ=+,x ∈R(A,ω,ϕ为常数,且A ≠0,ω>0)的周期2T πω=;函数tan()y x ωϕ=+,,2x k k Z ππ≠+∈(A,ω,ϕ为常数,且A ≠0,ω>0)的周期T πω=. 51.正弦定理2sin sin sin a b cR A B C===. 52.余弦定理2222cos a b c bc A =+-; 2222cos b c a ca B =+-; 2222cos c a b ab C =+-.53.面积定理(1)111222a b c S ah bh ch ===(a b c h h h 、、分别表示a 、b 、c 边上的高). (2)111sin sin sin 222S ab C bc A ca B ===.(3)22(||||)()OAB S OA OB OA OB ∆=⋅-⋅.54.三角形内角和定理在△ABC 中,有()A B C C A B ππ++=⇔=-+222C A B π+⇔=-222()C A B π⇔=-+. 55. 简单的三角方程的通解sin (1)arcsin (,||1)kx a x k a k Z a π=⇔=+-∈≤.s 2arccos (,||1)co x a x k a k Z a π=⇔=±∈≤.tan arctan (,)x a x k a k Z a R π=⇒=+∈∈.特别地,有sin sin (1)()k k k Z αβαπβ=⇔=+-∈.s cos 2()co k k Z αβαπβ=⇔=±∈.tan tan ()k k Z αβαπβ=⇒=+∈.56.最简单的三角不等式及其解集sin (||1)(2arcsin ,2arcsin ),x a a x k a k a k Z πππ>≤⇔∈++-∈.sin (||1)(2arcsin ,2arcsin ),x a a x k a k a k Z πππ<≤⇔∈--+∈.cos (||1)(2arccos ,2arccos ),x a a x k a k a k Z ππ>≤⇔∈-+∈. cos (||1)(2arccos ,22arccos ),x a a x k a k a k Z πππ<≤⇔∈++-∈. tan ()(arctan ,),2x a a R x k a k k Z πππ>∈⇒∈++∈.tan ()(,arctan ),2x a a R x k k a k Z πππ<∈⇒∈-+∈.57.实数与向量的积的运算律 设λ、μ为实数,那么 (1) 结合律:λ(μa )=(λμ)a ;(2)第一分配律:(λ+μ)a =λa +μa; (3)第二分配律:λ(a +b )=λa +λb . 58.向量的数量积的运算律: (1) a ·b= b ·a (交换律); (2)(λa )·b=λ(a ·b )=λa ·b = a ·(λb );(3)(a +b )·c= a ·c +b ·c. 59.平面向量基本定理如果e 1、e 2是同一平面内的两个不共线向量,那么对于这一平面内的任一向量,有且只有一对实数λ1、λ2,使得a=λ1e 1+λ2e 2.不共线的向量e 1、e 2叫做表示这一平面内所有向量的一组基底. 60.向量平行的坐标表示设a =11(,)x y ,b =22(,)x y ,且b ≠0,则a b(b ≠0)12210x y x y ⇔-=.53. a 与b 的数量积(或内积)a ·b =|a ||b |cos θ.61. a ·b 的几何意义数量积a ·b 等于a 的长度|a |与b 在a 的方向上的投影|b |cos θ的乘积. 62.平面向量的坐标运算(1)设a =11(,)x y ,b =22(,)x y ,则a+b=1212(,)x x y y ++. (2)设a =11(,)x y ,b =22(,)x y ,则a-b=1212(,)x x y y --. (3)设A 11(,)x y ,B 22(,)x y ,则2121(,)AB OB OA x x y y =-=--.(4)设a =(,),x y R λ∈,则λa=(,)x y λλ.(5)设a =11(,)x y ,b =22(,)x y ,则a ·b=1212()x x y y +. 63.两向量的夹角公式cos θ=(a =11(,)x y ,b =22(,)x y ).64.平面两点间的距离公式 ,A B d=||AB AB AB =⋅=11(,)x y ,B 22(,)x y ).65.向量的平行与垂直设a =11(,)x y ,b =22(,)x y ,且b ≠0,则 A ||b ⇔b =λa 12210x y x y ⇔-=. a ⊥b(a ≠0)⇔a ·b=012120x x y y ⇔+=. 66.线段的定比分公式设111(,)P x y ,222(,)P x y ,(,)P x y 是线段12P P 的分点,λ是实数,且12PP PP λ=,则121211x x x y y y λλλλ+⎧=⎪⎪+⎨+⎪=⎪+⎩⇔121OP OP OP λλ+=+ ⇔12(1)OP tOP t OP =+-(11t λ=+). 67.三角形的重心坐标公式△ABC 三个顶点的坐标分别为11A(x ,y )、22B(x ,y )、33C(x ,y ),则△ABC 的重心的坐标是123123(,)33x x x y y y G ++++. 68.点的平移公式''''x x h x x h y y k y y k⎧⎧=+=-⎪⎪⇔⎨⎨=+=-⎪⎪⎩⎩''OP OP PP ⇔=+ .注:图形F 上的任意一点P(x ,y)在平移后图形'F 上的对应点为'''(,)P x y ,且'PP 的坐标为(,)h k .69.“按向量平移”的几个结论(1)点(,)P x y 按向量a =(,)h k 平移后得到点'(,)P x h y k ++.(2) 函数()y f x =的图象C 按向量a =(,)h k 平移后得到图象'C ,则'C 的函数解析式为()y f x h k =-+.(3) 图象'C 按向量a =(,)h k 平移后得到图象C ,若C 的解析式()y f x =,则'C 的函数解析式为()y f x h k =+-.(4)曲线C :(,)0f x y =按向量a =(,)h k 平移后得到图象'C ,则'C 的方程为(,)0f x h y k --=.(5) 向量m =(,)x y 按向量a =(,)h k 平移后得到的向量仍然为m =(,)x y . 70. 三角形五“心”向量形式的充要条件设O 为ABC ∆所在平面上一点,角,,A B C 所对边长分别为,,a b c ,则 (1)O 为ABC ∆的外心222OA OB OC ⇔==. (2)O 为ABC ∆的重心0OA OB OC ⇔++=.(3)O 为ABC ∆的垂心OA OB OB OC OC OA ⇔⋅=⋅=⋅. (4)O 为ABC ∆的内心0aOA bOB cOC ⇔++=. (5)O 为ABC ∆的A ∠的旁心aOA bOB cOC ⇔=+. 71.常用不等式:(1),a b R ∈⇒222a b ab +≥(当且仅当a =b 时取“=”号).(2),a b R +∈⇒2a b+≥当且仅当a =b 时取“=”号). (3)3333(0,0,0).a b c abc a b c ++≥>>>(4)柯西不等式22222()()(),,,,.a b c d ac bd a b c d R ++≥+∈(5)b a b a b a +≤+≤-. 72.极值定理已知y x ,都是正数,则有(1)若积xy 是定值p ,则当y x =时和y x +有最小值p 2; (2)若和y x +是定值s ,则当y x =时积xy 有最大值241s . 推广 已知R y x ∈,,则有xy y x y x 2)()(22+-=+(1)若积xy 是定值,则当||y x -最大时,||y x +最大; 当||y x -最小时,||y x +最小.(2)若和||y x +是定值,则当||y x -最大时, ||xy 最小; 当||y x -最小时, ||xy 最大.73.一元二次不等式20(0)ax bx c ++><或2(0,40)a b ac ≠∆=->,如果a 与2ax bx c ++同号,则其解集在两根之外;如果a 与2ax bx c ++异号,则其解集在两根之间.简言之:同号两根之外,异号两根之间.121212()()0()x x x x x x x x x <<⇔--<<; 121212,()()0()x x x x x x x x x x <>⇔--><或.74.含有绝对值的不等式 当a> 0时,有22x a x a a x a <⇔<⇔-<<.22x a x a x a >⇔>⇔>或x a <-.75.无理不等式 (1()0()0()()f x g x f x g x ≥⎧⎪>⇔≥⎨⎪>⎩. (22()0()0()()0()0()[()]f x f x g x g x g x f x g x ≥⎧≥⎧⎪>⇔≥⎨⎨<⎩⎪>⎩或. (32()0()()0()[()]f x g x g x f x g x ≥⎧⎪<⇔>⎨⎪<⎩. 76.指数不等式与对数不等式 (1)当1a >时,()()()()f x g x a a f x g x >⇔>;()0log ()log ()()0()()a a f x f x g x g x f x g x >⎧⎪>⇔>⎨⎪>⎩.(2)当01a <<时,()()()()f x g x a a f x g x >⇔<;()0log ()log ()()0()()a a f x f x g x g x f x g x >⎧⎪>⇔>⎨⎪<⎩77.斜率公式2121y y k x x -=-(111(,)P x y 、222(,)P x y ).78.直线的五种方程(1)点斜式 11()y y k x x -=- (直线l 过点111(,)P x y ,且斜率为k ). (2)斜截式 y kx b =+(b 为直线l 在y 轴上的截距). (3)两点式112121y y x x y y x x --=--(12y y ≠)(111(,)P x y 、222(,)P x y (12x x ≠)).(4)截距式 1x ya b+=(a b 、分别为直线的横、纵截距,0a b ≠、)(5)一般式 0Ax By C ++=(其中A 、B 不同时为0). 79.两条直线的平行和垂直(1)若111:l y k x b =+,222:l y k x b =+ ①121212||,l l k k b b ⇔=≠; ②12121l l k k ⊥⇔=-.(2)若1111:0l A x B y C ++=,2222:0l A x B y C ++=,且A 1、A 2、B 1、B 2都不为零, ①11112222||A B C l l A B C ⇔=≠; ②1212120l l A A B B ⊥⇔+=; 80.夹角公式 (1)2121tan ||1k k k k α-=+.(111:l y k x b =+,222:l y k x b =+,121k k ≠-) (2)12211212tan ||A B A B A A B B α-=+.(1111:0l A x B y C ++=,2222:0l A x B y C ++=,12120A A B B +≠). 直线12l l ⊥时,直线l 1与l 2的夹角是2π. 81. 1l 到2l 的角公式 (1)2121tan 1k k k k α-=+.(111:l y k x b =+,222:l y k x b =+,121k k ≠-) (2)12211212tan A B A B A A B B α-=+.(1111:0l A x B y C ++=,2222:0l A x B y C ++=,12120A A B B +≠). 直线12l l ⊥时,直线l 1到l 2的角是2π. 82.四种常用直线系方程(1)定点直线系方程:经过定点000(,)P x y 的直线系方程为00()y y k x x -=-(除直线0x x =),其中k 是待定的系数; 经过定点000(,)P x y 的直线系方程为00()()0A x x B y y -+-=,其中,A B 是待定的系数.(2)共点直线系方程:经过两直线1111:0l A x B y C ++=,2222:0l A x B y C ++=的交点的直线系方程为111222()()0A x B y C A x B y C λ+++++=(除2l ),其中λ是待定的系数.(3)平行直线系方程:直线y kx b =+中当斜率k 一定而b 变动时,表示平行直线系方程.与直线0Ax By C ++=平行的直线系方程是0Ax By λ++=(0λ≠),λ是参变量.(4)垂直直线系方程:与直线0Ax By C ++= (A ≠0,B ≠0)垂直的直线系方程是0Bx Ay λ-+=,λ是参变量.83.点到直线的距离d =(点00(,)P x y ,直线l :0Ax By C ++=).84. 0Ax By C ++>或0<所表示的平面区域设直线:0l Ax By C ++=,则0Ax By C ++>或0<所表示的平面区域是: 若0B ≠,当B 与Ax By C ++同号时,表示直线l 的上方的区域;当B 与Ax By C ++异号时,表示直线l 的下方的区域.简言之,同号在上,异号在下.若0B =,当A 与Ax By C ++同号时,表示直线l 的右方的区域;当A 与Ax By C ++异号时,表示直线l 的左方的区域. 简言之,同号在右,异号在左.85. 111222()()0A x B y C A x B y C ++++>或0<所表示的平面区域 设曲线111222:()()0C A x B y C A x B y C ++++=(12120A A B B ≠),则111222()()0A x B y C A x B y C ++++>或0<所表示的平面区域是: 111222()()0A x B y C A x B y C ++++>所表示的平面区域上下两部分; 111222()()0A x B y C A x B y C ++++<所表示的平面区域上下两部分.86. 圆的四种方程(1)圆的标准方程 222()()x a y b r -+-=.(2)圆的一般方程 220x y Dx Ey F ++++=(224D E F +->0).(3)圆的参数方程 cos sin x a r y b r θθ=+⎧⎨=+⎩.(4)圆的直径式方程 1212()()()()0x x x x y y y y --+--=(圆的直径的端点是11(,)A x y 、22(,)B x y ).87. 圆系方程(1)过点11(,)A x y ,22(,)B x y 的圆系方程是1212112112()()()()[()()()()]0x x x x y y y y x x y y y y x x λ--+--+-----= 1212()()()()()0x x x x y y y y ax by c λ⇔--+--+++=,其中0ax by c ++=是直线AB的方程,λ是待定的系数.(2)过直线l :0Ax By C ++=与圆C :220x y Dx Ey F ++++=的交点的圆系方程是22()0x y Dx Ey F Ax By C λ+++++++=,λ是待定的系数.(3) 过圆1C :221110x y D x E y F ++++=与圆2C :222220x y D x E y F ++++=的交点的圆系方程是2222111222()0x y D x E y F x y D x E y F λ+++++++++=,λ是待定的系数.88.点与圆的位置关系点00(,)P x y 与圆222)()(r b y a x =-+-的位置关系有三种若d =d r >⇔点P 在圆外;d r =⇔点P 在圆上;d r <⇔点P 在圆内.89.直线与圆的位置关系直线0=++C By Ax 与圆222)()(r b y a x =-+-的位置关系有三种:0<∆⇔⇔>相离r d ; 0=∆⇔⇔=相切r d ; 0>∆⇔⇔<相交r d .其中22BA C Bb Aa d +++=.90.两圆位置关系的判定方法设两圆圆心分别为O 1,O 2,半径分别为r 1,r 2,d O O =21条公切线外离421⇔⇔+>r r d ;条公切线外切321⇔⇔+=r r d ;条公切线相交22121⇔⇔+<<-r r d r r ; 条公切线内切121⇔⇔-=r r d ; 无公切线内含⇔⇔-<<210r r d .91.圆的切线方程(1)已知圆220x y Dx Ey F ++++=.①若已知切点00(,)x y 在圆上,则切线只有一条,其方程是0000()()022D x xE y y x x y yF ++++++=. 当00(,)x y 圆外时, 0000()()022D x xE y y x x y yF ++++++=表示过两个切点的切点弦方程.②过圆外一点的切线方程可设为00()y y k x x -=-,再利用相切条件求k ,这时必有两条切线,注意不要漏掉平行于y 轴的切线.③斜率为k 的切线方程可设为y kx b =+,再利用相切条件求b ,必有两条切线. (2)已知圆222x y r +=.①过圆上的000(,)P x y 点的切线方程为200x x y y r +=;②斜率为k的圆的切线方程为y kx =±.92.椭圆22221(0)x y a b a b +=>>的参数方程是cos sin x a y b θθ=⎧⎨=⎩.93.椭圆22221(0)x y a b a b+=>>焦半径公式)(21c a x e PF +=,)(22x ca e PF -=.94.椭圆的的内外部(1)点00(,)P x y 在椭圆22221(0)x y a b a b +=>>的内部2200221x y a b ⇔+<. (2)点00(,)P x y 在椭圆22221(0)x y a b a b+=>>的外部2200221x y a b⇔+>. 95. 椭圆的切线方程(1)椭圆22221(0)x y a b a b +=>>上一点00(,)P x y 处的切线方程是00221x x y ya b+=.(2)过椭圆22221(0)x y a b a b+=>>外一点00(,)P x y 所引两条切线的切点弦方程是00221x x y ya b+=. (3)椭圆22221(0)x y a b a b+=>>与直线0Ax By C ++=相切的条件是22222A a B b c +=.96.双曲线22221(0,0)x y a b a b -=>>的焦半径公式21|()|a PF e x c =+,22|()|a PF e x c=-.97.双曲线的内外部(1)点00(,)P x y 在双曲线22221(0,0)x y a b a b -=>>的内部2200221x y a b ⇔->. (2)点00(,)P x y 在双曲线22221(0,0)x y a b a b-=>>的外部2200221x y a b ⇔-<. 98.双曲线的方程与渐近线方程的关系(1)若双曲线方程为12222=-b y a x ⇒渐近线方程:22220x y a b -=⇔x aby ±=.(2)若渐近线方程为x aby ±=⇔0=±b y a x ⇒双曲线可设为λ=-2222b y a x .(3)若双曲线与12222=-b y a x 有公共渐近线,可设为λ=-2222by a x (0>λ,焦点在x 轴上,0<λ,焦点在y 轴上).99. 双曲线的切线方程(1)双曲线22221(0,0)x y a b a b -=>>上一点00(,)P x y 处的切线方程是00221x x y y a b-=.(2)过双曲线22221(0,0)x y a b a b-=>>外一点00(,)P x y 所引两条切线的切点弦方程是00221x x y ya b-=. (3)双曲线22221(0,0)x y a b a b-=>>与直线0Ax By C ++=相切的条件是22222A a B b c -=.100. 抛物线px y 22=的焦半径公式抛物线22(0)y px p =>焦半径02p CF x =+.过焦点弦长p x x px p x CD ++=+++=212122.101.抛物线px y 22=上的动点可设为P ),2(2y py 或或)2,2(2pt pt P P (,)x y ,其中22y px =.102.二次函数2224()24b ac b y ax bx c a x a a-=++=++(0)a ≠的图象是抛物线:(1)顶点坐标为24(,)24b ac b a a --;(2)焦点的坐标为241(,)24b ac b a a-+-;(3)准线方程是2414ac b y a--=.103.抛物线的内外部(1)点00(,)P x y 在抛物线22(0)y px p =>的内部22(0)y px p ⇔<>. 点00(,)P x y 在抛物线22(0)y px p =>的外部22(0)y px p ⇔>>. (2)点00(,)P x y 在抛物线22(0)y px p =->的内部22(0)y px p ⇔<->. 点00(,)P x y 在抛物线22(0)y px p =->的外部22(0)y px p ⇔>->. (3)点00(,)P x y 在抛物线22(0)x py p =>的内部22(0)x py p ⇔<>. 点00(,)P x y 在抛物线22(0)x py p =>的外部22(0)x py p ⇔>>. (4) 点00(,)P x y 在抛物线22(0)x py p =>的内部22(0)x py p ⇔<>. 点00(,)P x y 在抛物线22(0)x py p =->的外部22(0)x py p ⇔>->. 104. 抛物线的切线方程(1)抛物线px y 22=上一点00(,)P x y 处的切线方程是00()y y p x x =+.(2)过抛物线px y 22=外一点00(,)P x y 所引两条切线的切点弦方程是00()y y p x x =+.(3)抛物线22(0)y px p =>与直线0Ax By C ++=相切的条件是22pB AC =.105.两个常见的曲线系方程(1)过曲线1(,)0f x y =,2(,)0f x y =的交点的曲线系方程是12(,)(,)0f x y f x y λ+=(λ为参数).(2)共焦点的有心圆锥曲线系方程22221x y a k b k+=--,其中22max{,}k a b <.当22min{,}k a b >时,表示椭圆; 当2222min{,}max{,}a b k a b <<时,表示双曲线.106.直线与圆锥曲线相交的弦长公式 AB =1212|||AB x x y y ==-=-(弦端点A ),(),,(2211y xB y x ,由方程⎩⎨⎧=+=0)y ,x (F b kx y 消去y 得到02=++c bx ax ,0∆>,α为直线AB 的倾斜角,k 为直线的斜率).107.圆锥曲线的两类对称问题(1)曲线(,)0F x y =关于点00(,)P x y 成中心对称的曲线是00(2-,2)0F x x y y -=. (2)曲线(,)0F x y =关于直线0Ax By C ++=成轴对称的曲线是22222()2()(,)0A Ax By C B Ax By C F x y A B A B++++--=++.108.“四线”一方程对于一般的二次曲线220Ax Bxy Cy Dx Ey F +++++=,用0x x 代2x ,用0y y 代2y ,用002x y xy +代xy ,用02x x +代x ,用02y y+代y 即得方程0000000222x y xy x x y yAx x B Cy y D E F ++++⋅++⋅+⋅+=,曲线的切线,切点弦,中点弦,弦中点方程均是此方程得到.109.证明直线与直线的平行的思考途径 (1)转化为判定共面二直线无交点; (2)转化为二直线同与第三条直线平行; (3)转化为线面平行; (4)转化为线面垂直; (5)转化为面面平行.110.证明直线与平面的平行的思考途径 (1)转化为直线与平面无公共点; (2)转化为线线平行; (3)转化为面面平行.111.证明平面与平面平行的思考途径 (1)转化为判定二平面无公共点; (2)转化为线面平行; (3)转化为线面垂直.112.证明直线与直线的垂直的思考途径 (1)转化为相交垂直; (2)转化为线面垂直;(3)转化为线与另一线的射影垂直; (4)转化为线与形成射影的斜线垂直. 113.证明直线与平面垂直的思考途径 (1)转化为该直线与平面内任一直线垂直; (2)转化为该直线与平面内相交二直线垂直; (3)转化为该直线与平面的一条垂线平行; (4)转化为该直线垂直于另一个平行平面; (5)转化为该直线与两个垂直平面的交线垂直. 114.证明平面与平面的垂直的思考途径 (1)转化为判断二面角是直二面角; (2)转化为线面垂直.115.空间向量的加法与数乘向量运算的运算律 (1)加法交换律:a +b =b +a .(2)加法结合律:(a +b )+c =a +(b +c ). (3)数乘分配律:λ(a +b )=λa +λb .116.平面向量加法的平行四边形法则向空间的推广始点相同且不在同一个平面内的三个向量之和,等于以这三个向量为棱的平行六面体的以公共始点为始点的对角线所表示的向量.117.共线向量定理对空间任意两个向量a 、b (b ≠0 ),a ∥b ⇔存在实数λ使a =λb .P A B 、、三点共线⇔||AP AB ⇔AP t AB =⇔(1)OP t OA tOB =-+.||AB CD ⇔AB 、CD 共线且AB CD 、不共线⇔AB tCD =且AB CD 、不共线.118.共面向量定理向量p 与两个不共线的向量a 、b 共面的⇔存在实数对,x y ,使p ax by =+. 推论 空间一点P 位于平面MAB 内的⇔存在有序实数对,x y ,使MP xMA yMB =+,或对空间任一定点O ,有序实数对,x y ,使OP OM xMA yMB =++.119.对空间任一点O 和不共线的三点A 、B 、C ,满足OP xOA yOB zOC =++(x y z k ++=),则当1k =时,对于空间任一点O ,总有P 、A 、B 、C 四点共面;当1k ≠时,若O ∈平面ABC ,则P 、A 、B 、C 四点共面;若O ∉平面ABC ,则P 、A 、B 、C 四点不共面.C A B 、、、D 四点共面⇔AD 与AB 、AC 共面⇔AD x AB y AC =+⇔(1)OD x y OA xOB yOC =--++(O ∉平面ABC ).120.空间向量基本定理如果三个向量a 、b 、c 不共面,那么对空间任一向量p ,存在一个唯一的有序实数组x ,y ,z ,使p =x a +y b +z c .推论 设O 、A 、B 、C 是不共面的四点,则对空间任一点P ,都存在唯一的三个有序实数x ,y ,z ,使OP xOA yOB zOC =++.121.射影公式已知向量AB =a 和轴l ,e 是l 上与l 同方向的单位向量.作A 点在l 上的射影'A ,作B点在l 上的射影'B ,则''||cos A B AB =〈a ,e 〉=a ·e122.向量的直角坐标运算设a =123(,,)a a a ,b =123(,,)b b b 则 (1)a +b =112233(,,)a b a b a b +++; (2)a -b =112233(,,)a b a b a b ---; (3)λa =123(,,)a a a λλλ (λ∈R); (4)a ·b =112233a b a b a b ++;123.设A 111(,,)x y z ,B 222(,,)x y z ,则AB OB OA =-= 212121(,,)x x y y z z ---.124.空间的线线平行或垂直设111(,,)a x y z =,222(,,)b x y z =,则a b ⇔(0)a b b λ=≠⇔121212x x y y z zλλλ=⎧⎪=⎨⎪=⎩;a b ⊥⇔0a b ⋅=⇔1212120x x y y z z ++=.125.夹角公式设a =123(,,)a a a ,b =123(,,)b b b ,则 cos 〈a ,b 〉.推论 2222222112233123123()()()a b a b a b a a a b b b ++≤++++,此即三维柯西不等式.126. 四面体的对棱所成的角四面体ABCD 中, AC 与BD 所成的角为θ,则2222|()()|cos 2AB CD BC DA AC BDθ+-+=⋅.127.异面直线所成角cos |cos ,|a b θ==21||||||a b a b x ⋅=⋅+(其中θ(090θ<≤)为异面直线a b ,所成角,,a b 分别表示异面直线a b ,的方向向量)128.直线AB 与平面所成角sin||||AB marc AB m β⋅=(m 为平面α的法向量).129.若ABC ∆所在平面若β与过若AB 的平面α成的角θ,另两边AC ,BC 与平面α成的角分别是1θ、2θ,A B 、为ABC ∆的两个内角,则2222212sin sin (sin sin )sin A B θθθ+=+.特别地,当90ACB ∠=时,有22212sin sin sin θθθ+=.130.若ABC ∆所在平面若β与过若AB 的平面α成的角θ,另两边AC ,BC 与平面α成的角分别是1θ、2θ,''A B 、为ABO ∆的两个内角,则222'2'212tan tan (sin sin )tan A B θθθ+=+.特别地,当90AOB ∠=时,有22212sin sin sin θθθ+=.131.二面角l αβ--的平面角cos||||m n arc m n θ⋅=或cos ||||m narc m n π⋅-(m ,n 为平面α,β的法向量).132.三余弦定理设AC 是α内的任一条直线,且BC ⊥AC ,垂足为C ,又设AO 与AB 所成的角为1θ,AB 与AC 所成的角为2θ,AO 与AC 所成的角为θ.则12cos cos cos θθθ=.133. 三射线定理若夹在平面角为ϕ的二面角间的线段与二面角的两个半平面所成的角是1θ,2θ,与二面角的棱所成的角是θ,则有22221212sin sin sin sin 2sin sin cos ϕθθθθθϕ=+- ;1212||180()θθϕθθ-≤≤-+(当且仅当90θ=时等号成立).134.空间两点间的距离公式 若A 111(,,)x y z ,B 222(,,)x y z ,则,A B d =||AB AB AB =⋅=.135.点Q 到直线l 距离h =(点P 在直线l 上,直线l 的方向向量a =PA ,向量b =PQ ).136.异面直线间的距离||||CD n d n ⋅=(12,l l 是两异面直线,其公垂向量为n ,C D 、分别是12,l l 上任一点,d 为12,l l 间的距离).137.点B 到平面α的距离||||AB n d n ⋅=(n 为平面α的法向量,AB 是经过面α的一条斜线,A α∈). 138.异面直线上两点距离公式2cos d mn θ=.',d EA AF =.d =('E AA F ϕ=--).(两条异面直线a 、b 所成的角为θ,其公垂线段'AA 的长度为h.在直线a 、b 上分别取两点E 、F ,'A E m =,AF n =,EF d =). 139.三个向量和的平方公式2222()222a b c a b c a b b c c a ++=+++⋅+⋅+⋅2222||||cos ,2||||cos ,2||||cos ,a b c a b a b b c b c c a c a =+++⋅+⋅+⋅140. 长度为l 的线段在三条两两互相垂直的直线上的射影长分别为123l l l 、、,夹角分别为123θθθ、、,则有2222123l l l l =++222123cos cos cos 1θθθ⇔++=222123sin sin sin 2θθθ⇔++=.(立体几何中长方体对角线长的公式是其特例).141. 面积射影定理'cos S S θ=.(平面多边形及其射影的面积分别是S 、'S ,它们所在平面所成锐二面角的为θ).142. 斜棱柱的直截面已知斜棱柱的侧棱长是l ,侧面积和体积分别是S 斜棱柱侧和V 斜棱柱,它的直截面的周长和面积分别是1c 和1S ,则①1S c l =斜棱柱侧. ②1V S l =斜棱柱. 143.作截面的依据三个平面两两相交,有三条交线,则这三条交线交于一点或互相平行. 144.棱锥的平行截面的性质如果棱锥被平行于底面的平面所截,那么所得的截面与底面相似,截面面积与底面面积的比等于顶点到截面距离与棱锥高的平方比(对应角相等,对应边对应成比例的多边形是相似多边形,相似多边形面积的比等于对应边的比的平方);相应小棱锥与小棱锥的侧面积的比等于顶点到截面距离与棱锥高的平方比.145.欧拉定理(欧拉公式)2V F E +-=(简单多面体的顶点数V 、棱数E 和面数F).(1)E =各面多边形边数和的一半.特别地,若每个面的边数为n 的多边形,则面数F 与棱数E 的关系:12E nF =; (2)若每个顶点引出的棱数为m ,则顶点数V 与棱数E 的关系:12E mV =. 146.球的半径是R ,则其体积343V R π=, 其表面积24S R π=.147.球的组合体 (1)球与长方体的组合体:长方体的外接球的直径是长方体的体对角线长. (2)球与正方体的组合体:正方体的内切球的直径是正方体的棱长, 正方体的棱切球的直径是正方体的面对角线长, 正方体的外接球的直径是正方体的体对角线长. (3) 球与正四面体的组合体:棱长为a 的正四面体的内切球的半径为12a ,外接球的半径为4a . 148.柱体、锥体的体积13V Sh =柱体(S 是柱体的底面积、h 是柱体的高).13V Sh =锥体(S 是锥体的底面积、h 是锥体的高).149.分类计数原理(加法原理)12n N m m m =+++. 150.分步计数原理(乘法原理) 12n N m m m =⨯⨯⨯.151.排列数公式m n A =)1()1(+--m n n n =!!)(m n n -.(n ,m ∈N *,且m n ≤).注:规定1!0=. 152.排列恒等式(1)1(1)m m n n A n m A -=-+;(2)1mmn n n A A n m -=-; (3)11m m n n A nA --=;(4)11n n nn n n nA A A ++=-; (5)11m m m n n n A A mA -+=+.(6) 1!22!33!!(1)!1n n n +⋅+⋅++⋅=+-.153.组合数公式mnC =m n m mA A =m m n n n ⨯⨯⨯+-- 21)1()1(=!!!)(m n m n -⋅(n ∈N *,m N ∈,且m n ≤).154.组合数的两个性质 (1)mn C =mn nC - ;(2) m n C +1-m n C =mn C 1+. 注:规定10=n C .155.组合恒等式(1)11mm n n n m C C m --+=; (2)1m mn n n C C n m -=-;(3)11mm n n n C C m--=;(4)∑=nr r nC0=n2;(5)1121++++=++++r n r n r r r r r rC C C C C . (6)nn n r n n n n C C C C C 2210=++++++ . (7)14205312-+++=+++n n n n n n n C C C C C C .(8)1321232-=++++n n n n n n n nC C C C . (9)rn m r n r m n r m n r m C C C C C C C +-=+++0110 . (10)nn n n n n n C C C C C 22222120)()()()(=++++ .156.排列数与组合数的关系m m n n A m C =⋅! .157.单条件排列以下各条的大前提是从n 个元素中取m 个元素的排列. (1)“在位”与“不在位”①某(特)元必在某位有11--m n A 种;②某(特)元不在某位有11---m n m n A A (补集思想)1111---=m n n A A (着眼位置)11111----+=m n m m n A A A (着眼元素)种.(2)紧贴与插空(即相邻与不相邻)①定位紧贴:)(n m k k ≤≤个元在固定位的排列有km k n kk A A --种.②浮动紧贴:n 个元素的全排列把k 个元排在一起的排法有kk k n k n A A 11+-+-种.注:此类问题常用捆绑法;③插空:两组元素分别有k 、h 个(1+≤h k ),把它们合在一起来作全排列,k 个的一组互不能挨近的所有排列数有kh hh A A 1+种.(3)两组元素各相同的插空m 个大球n 个小球排成一列,小球必分开,问有多少种排法?当1+>m n 时,无解;当1+≤m n 时,有n m n nnm C A A 11++=种排法.(4)两组相同元素的排列:两组元素有m 个和n 个,各组元素分别相同的排列数为n n m C +.158.分配问题(1)(平均分组有归属问题)将相异的m 、n 个物件等分给m 个人,各得n 件,其分配方法数共有mnn nn nn mn nn mn nmn n mn C C C C C N )!()!(22=⋅⋅⋅⋅⋅=-- . (2)(平均分组无归属问题)将相异的m ·n 个物体等分为无记号或无顺序的m 堆,其分配方法数共有mn nn n n n mn n n mn n mn n m mn m C C C C C N )!(!)!(!...22=⋅⋅⋅⋅=--.(3)(非平均分组有归属问题)将相异的)12m P(P=n +n ++n 个物体分给m 个人,物件必须被分完,分别得到1n ,2n ,…,m n 件,且1n ,2n ,…,m n 这m 个数彼此不相等,则其分配方法数共有!!...!!!! (212)11m n n n n p n p n n n m p m C C C N m m =⋅⋅=-.(4)(非完全平均分组有归属问题)将相异的)12m P(P=n +n ++n 个物体分给m 个人,物件必须被分完,分别得到1n ,2n ,…,m n 件,且1n ,2n ,…,m n 这m 个数中分别有a 、。
高中的数学公式定理大集合三角函数公式表同角三角函数的基本关系式倒数关系: 商的关系:平方关系:tanα ·cotα=1sinα ·cscα=1cosα ·secα=1 sinα/cosα=tanα=secα/cscαcosα/sinα=cotα=cscα/secα sin2α+cos2α=11+tan2α=sec2α1+cot2α=csc2α(六边形记忆法:图形结构“上弦中切下割,左正右余中间1”;记忆方法“对角线上两个函数的积为1;阴影三角形上两顶点的三角函数值的平方和等于下顶点的三角函数值的平方;任意一顶点的三角函数值等于相邻两个顶点的三角函数值的乘积。
”)诱导公式(口诀:奇变偶不变,符号看象限。
)sin(-α)=-sinαcos(-α)=cosα tan(-α)=-tanαcot(-α)=-cotαsin(π/2-α)=cosαcos(π/2-α)=sinαtan(π/2-α)=cotαcot(π/2-α)=tanαsin(π/2+α)=cosαcos(π/2+α)=-sinαtan(π/2+α)=-cotαcot(π/2+α)=-tanαsin(π-α)=sinαcos(π-α)=-cosαtan(π-α)=-tanαcot(π-α)=-cotαsin(π+α)=-sinαcos(π+α)=-cosαtan(π+α)=tanαcot(π+α)=cotαsin(3π/2-α)=-cosαcos(3π/2-α)=-sinαtan(3π/2-α)=cotαcot(3π/2-α)=tanαsin(3π/2+α)=-cosαcos(3π/2+α)=sinαtan(3π/2+α)=-cotαcot(3π/2+α)=-tanαsin(2π-α)=-sinαcos(2π-α)=cosαtan(2π-α)=-tanαcot(2π-α)=-cotαsin(2kπ+α)=sinαcos(2kπ+α)=cosαtan(2kπ+α)=tanαcot(2kπ+α)=cotα(其中k∈Z)两角和与差的三角函数公式万能公式sin(α+β)=sinαcosβ+cosαsinβsin(α-β)=sinαcosβ-cosαsinβcos(α+β)=cosαcosβ-sinαsinβcos(α-β)=cosαcosβ+sinαsinβtanα+tanβtan(α+β)=——————1-tanα ·tanβtanα-tanβtan(α-β)=——————1+tanα ·tanβ2tan(α/2)sinα=——————1+tan2(α/2)1-tan2(α/2)cosα=——————1+tan2(α/2)2tan(α/2)tanα=——————1-tan2(α/2)半角的正弦、余弦和正切公式三角函数的降幂公式二倍角的正弦、余弦和正切公式三倍角的正弦、余弦和正切公式sin2α=2sinαcosαcos2α=cos2α-sin2α=2cos2α-1=1-2sin2α2tanαtan2α=—————1-tan2αsin3α=3sinα-4sin3αcos3α=4cos3α-3cosα3tanα-tan3αtan3α=——————1-3tan2α三角函数的和差化积公式三角函数的积化和差公式α+β α-βsinα+sinβ=2sin———·cos———2 2α+β α-βsinα-sinβ=2cos———·sin———2 2α+β α-βcosα+cosβ=2cos———·cos———2 2α+β α-βcosα-cosβ=-2sin———·sin———2 2 1sinα ·cosβ=-[sin(α+β)+sin(α-β)]21cosα ·sinβ=-[sin(α+β)-sin(α-β)]21cosα ·cosβ=-[cos(α+β)+cos(α-β)]21sinα ·sinβ=— -[cos(α+β)-cos(α-β)]2化asinα ±bcosα为一个角的一个三角函数的形式(辅助角的三角函数的公式集合、函数集合简单逻辑任一x∈A x∈B,记作A BA B,B A A=BA B={x|x∈A,且x∈B}A B={x|x∈A,或x∈B}card(A B)=card(A)+card(B)-card(A B)(1)命题原命题若p则q逆命题若q则p否命题若p则q逆否命题若q,则p(2)四种命题的关系(3)A B,A是B成立的充分条件B A,A是B成立的必要条件A B,A是B成立的充要条件函数的性质指数和对数(1)定义域、值域、对应法则(2)单调性对于任意x1,x2∈D若x1<x2 f(x1)<f(x2),称f(x)在D上是增函数若x1<x2 f(x1)>f(x2),称f(x)在D上是减函数(3)奇偶性对于函数f(x)的定义域内的任一x,若f(-x)=f(x),称f(x)是偶函数若f(-x)=-f(x),称f(x)是奇函数(4)周期性对于函数f(x)的定义域内的任一x,若存在常数T,使得f(x+T)=f(x),则称f(x)是周期函数(1)分数指数幂正分数指数幂的意义是负分数指数幂的意义是(2)对数的性质和运算法则loga(MN)=logaM+logaNlogaMn=nlogaM(n∈R)指数函数对数函数(1)y=ax(a>0,a≠1)叫指数函数(2)x∈R,y>0图象经过(0,1)a>1时,x>0,y>1;x<0,0<y<10<a<1时,x>0,0<y<1;x<0,y>1a>1时,y=ax是增函数0<a<1时,y=ax是减函数(1)y=logax(a>0,a≠1)叫对数函数(2)x>0,y∈R图象经过(1,0)a>1时,x>1,y>0;0<x<1,y<00<a<1时,x>1,y<0;0<x<1,y>0a>1时,y=logax是增函数0<a<1时,y=logax是减函数指数方程和对数方程基本型logaf(x)=b f(x)=ab(a>0,a≠1)同底型logaf(x)=logag(x)f(x)=g(x)>0(a>0,a≠1)换元型f(ax)=0或f (logax)=0数列数列的基本概念等差数列(1)数列的通项公式an=f(n)(2)数列的递推公式(3)数列的通项公式与前n项和的关系an+1-an=dan=a1+(n-1)da,A,b成等差2A=a+bm+n=k+l am+an=ak+al等比数列常用求和公式an=a1qn_1a,G,b成等比G2=abm+n=k+l aman=akal不等式不等式的基本性质重要不等式a>b b<aa>b,b>c a>ca>b a+c>b+ca+b>c a>c-ba>b,c>d a+c>b+da>b,c>0 ac>bca>b,c<0 ac<bca>b>0,c>d>0 ac<bda>b>0 dn>bn(n∈Z,n>1)a>b>0 >(n∈Z,n>1)(a-b)2≥0a,b∈R a2+b2≥2ab|a|-|b|≤|a±b|≤|a|+|b|证明不等式的基本方法比较法(1)要证明不等式a>b(或a<b),只需证明a-b>0(或a-b<0=即可(2)若b>0,要证a>b,只需证明,要证a<b,只需证明综合法综合法就是从已知或已证明过的不等式出发,根据不等式的性质推导出欲证的不等式(由因导果)的方法。
高中必背88个数学公式数学公式是数学知识的重要组成部分,对于高中学生来说,掌握数学公式是提高数学能力和应对考试的重要手段。
下面是88个高中必背的数学公式,帮助学生系统地了解并掌握数学知识。
1.两点之间的距离公式:d=√((x2-x1)²+(y2-y1)²)2.两点之间的中点公式:((x1+x2)/2,(y1+y2)/2)3. 一元二次方程的根公式:x = (-b±√(b²-4ac))/2a4.直线的斜率公式:m=(y2-y1)/(x2-x1)5.直线的点斜式公式:y-y1=m(x-x1)6.直线的一般式公式:Ax+By+C=07. 平面直角坐标系中两直线的夹角公式:tanθ = ,(m1-m2)/(1+m1m2)8.点到直线的距离公式:d=,Ax+By+C,/√(A²+B²)9. 解三角形的余弦定理:c² = a² + b² - 2abcosC10. 解三角形的正弦定理:a/sinA = b/sinB = c/sinC11.正弦函数的周期:T=2π/ω12. 船头相对于岸的速度:v = vw + vb13.波速公式:v=λf14.频率公式:f=1/T15. 倍角公式:si n2θ = 2sinθcosθ16.三角形内角和公式:A+B+C=180°17.弧长公式:s=rθ18.扇形面积公式:A=1/2r²θ19.圆柱体积公式:V=πr²h20. 圆柱体表面积公式:S = 2πr² + 2πrh21.球体积公式:V=4/3πr³22.球体表面积公式:S=4πr²23.二次函数的顶点公式:(h,k)24.两个集合的交集公式:A∩B25.两个集合的并集公式:A∪B26.两个集合的补集公式:A'=U-A27.两个集合的差集公式:A-B=A∩B'28.同位角公式:∠a°=∠b°29.异位角公式:∠a°+∠b°=180°30.子午线长度公式:s=2πR31.等周角公式:∠A°=∠B°=∠C°=∠D°32.相邻角公式:∠a°+∠b°=180°33.平行线之间的角公式:∠1=∠234.对顶角公式:∠1=∠335.余角公式:∠a°=90°-∠b°36.同行角公式:∠a=∠b37.一个点关于原点的对称点公式:(-x,-y)38. 两圆相交面积公式:A = r²arccos((d²+r²-R²)/(2dr)) +R²arccos((d²+R²-r²)/(2dR)) - √(s(s-d)(s-r)(s-R))39.在方程中求极值的一般方法40.二项式展开公式:(a+b)ⁿ=Cⁿ₀aⁿb⁰+Cⁿ₁aⁿ⁻¹b¹+Cⁿ₂aⁿ⁻²b²+...+Cⁿⁿa⁰bⁿ41. 对数运算公式:(a^x)^y = a^(xy)42. 对数运算公式:log(a^m) = mloga43.指数函数的斜率公式:y=a^x44.速度的平均值公式:v=Δx/Δt45.加速度的平均值公式:a=Δv/Δt46. 速度的瞬时值公式:v = ds/dt47. 加速度的瞬时值公式:a = dv/dt48. 速度的平均值与瞬时值之间的关系:v = lim(Δt→0) Δs/Δt49. 加速度的平均值与瞬时值之间的关系:a = lim(Δt→0)Δv/Δt50. 一维随机运动的位移公式:x = v₀t + 1/2at²51. 一维随机运动的速度公式:v = v₀ + at52. 一维随机运动的加速度公式:v² = v₀² + 2ax53. 二维随机运动的位移公式:x = v₀xt + 1/2at²54. 二维随机运动的速度公式:v = v₀ + at55. 二维随机运动的加速度公式:v² = v₀² + 2ax56.匀速圆周运动的角度公式:θ=ωt57.匀速圆周运动的角速度公式:ω=Δθ/Δt58.匀速圆周运动的线速度公式:v=ωr59.匀速圆周运动的加速度公式:a=v²/r60.匀速圆周运动的周期公式:T=2π/ω61. 平抛运动的位移公式:x = v₀xt62. 平抛运动的速度公式:v = v₀ + gt63. 平抛运动的加速度公式:v² = v₀² + 2gx64.平抛运动的竖直上升时间公式:t=v₀/g65. 平抛运动的竖直上升高度公式:h = v₀t - 1/2gt²66. 平抛运动的最大高度公式:h_max = v₀²/2g67. 圆锥曲线的焦距公式:f = ae68.圆锥曲线的离心率公式:e=c/a69.圆锥曲线的短轴长度公式:b=a√(1-e²)70. 均匀变速运动的位移公式:s = v₀t + 1/2at²71. 均匀变速运动的速度公式:v = v₀ + at72. 均匀变速运动的加速度公式:v² = v₀² + 2as73.均匀变速运动的时间公式:t=(v-v₀)/a74. 斜抛运动的水平位移公式:x = v₀xt75.斜抛运动的水平速度公式:v_x=v₀x76. 斜抛运动的竖直位移公式:y = v₀yt - 1/2gt²77. 斜抛运动的竖直速度公式:v_y = v₀t - gt78. 斜抛运动的参数方程:x = v₀xt, y = v₀yt - 1/2gt²79. 阻力的特征速度公式:v = mg/k80. 阻力的质量与时间的关系:m = (v₀/g)(k - kv₀/g)81. 阻尼振动的运动方程公式:mx'' + bx' + kx = 082.声音强度的公式:I=P/A83. 声音强度的分贝公式:L = 10log(I/I₀)84. 牛顿第二定律公式:F = ma85.牛顿万有引力公式:F=G(m₁m₂/r²)86.功的计算公式:W=Fs87.功的机械功率公式:P=W/t88.功的势能转换公式:W=ΔPE+ΔKE以上是88个高中必背的数学公式,学生们可以通过反复背诵和练习,掌握这些公式,并应用于解题中,提高数学能力。
高中数学公式大全必背一、集合1. 集合的基本运算- 交集:A∩ B = {x|x∈ A且x∈ B}- 并集:A∪ B={x|x∈ A或x∈ B}- 补集:∁_U A={x|x∈ U且x∉ A}(U为全集)2. 集合元素个数关系(容斥原理)- n(A∪ B)=n(A)+n(B)-n(A∩ B)二、函数1. 函数的定义域- 分式函数y = (f(x))/(g(x)),g(x)≠0。
- 偶次根式函数y=sqrt[n]{f(x)}(n为偶数),f(x)≥slant0。
2. 函数的单调性- 设x_1,x_2∈[a,b],x_1≠ x_2- 对于函数y = f(x),若f(x_1)-f(x_2)<0(当x_1 < x_2时),则y = f(x)在[a,b]上单调递增。
- 若f(x_1)-f(x_2)>0(当x_1 < x_2时),则y = f(x)在[a,b]上单调递减。
3. 函数的奇偶性- 对于函数y = f(x)定义域内任意x- 若f(-x)=f(x),则y = f(x)是偶函数。
- 若f(-x)= - f(x),则y = f(x)是奇函数。
4. 一次函数- 表达式y = kx + b(k≠0),斜率k=(y_2 - y_1)/(x_2 - x_1)。
5. 二次函数- 表达式y=ax^2+bx + c(a≠0)- 对称轴x =-(b)/(2a)- 顶点坐标(-(b)/(2a),frac{4ac - b^2}{4a})6. 指数函数- 表达式y = a^x(a>0,a≠1)- 当a > 1时,函数在R上单调递增;当0 < a < 1时,函数在R上单调递减。
7. 对数函数- 表达式y=log_{a}x(a > 0,a≠1,x>0)- 当a > 1时,函数在(0,+∞)上单调递增;当0 < a < 1时,函数在(0,+∞)上单调递减。
高中数学所有公式汇总总结高中数学是学生学习的一门重要学科,其中涵盖了许多基本概念、定理和公式。
掌握并熟练运用这些公式是高中数学学习的关键。
在本文中,我们将对高中数学中的所有公式进行汇总总结,帮助学生更好地复习和掌握这些知识。
一、代数1. 二次函数的一般式:y=ax^2+bx+c2. 一元二次方程的解法:x=\frac{-b\pm\sqrt{b^2-4ac}}{2a}3. 平方差公式:(a+b)^2=a^2+2ab+b^24. 定比分点公式:\frac{m}{n}=\frac{x_2-x}{x-x_1}5. 三角函数的基本关系:\sin^2\theta+\cos^2\theta=16. 余切的定义:\cot\theta=\frac{1}{\tan\theta}7. 对数运算规律:\log_ab=\frac{\log_cb}{\log_ca}8. 等比数列通项公式:a_n=a_1\cdot q^{n-1}9. 二项式定理:(a+b)^n=\sum_{k=0}^{n}\binom{n}{k}a^{n-k}b^k10. 质因数分解:n=p_1^{a_1}p_2^{a_2}...p_k^{a_k}二、几何1. 三角形的面积公式:S=\frac{1}{2}bh2. 圆的面积公式:S=\pi r^23. 圆锥的体积公式:V=\frac{1}{3}\pi r^2h4. 锥台的体积公式:V=\frac{1}{3}\pi(R^2+r^2+Rr)h5. 二面角余角关系:\alpha+\beta=180^\circ6. 直角三角形三边关系:a^2+b^2=c^27. 多边形内角和公式:S=(n-2)\cdot180^\circ8. 圆心角与弦的关系:\theta=\frac{1}{2}m\alpha9. 角平分线定理:\frac{a}{b}=\frac{c}{d}10. 高度定理:h=\frac{2S}{a}三、概率1. 概率加法:P(A\cup B)=P(A)+P(B)-P(A\cap B)2. 条件概率公式:P(A|B)=\frac{P(A\cap B)}{P(B)}3. 互斥事件概率:P(A\cap B)=04. 独立事件概率:P(A\cap B)=P(A)\cdot P(B)5. 全概率公式:P(A)=\sum_{i=1}^{n}P(A|B_i)P(B_i)6. 二项分布概率:P(X=k)=\binom{n}{k}p^k(1-p)^{n-k}7. 正态分布概率密度函数:f(x)=\frac{1}{\sqrt{2\pi}\sigma}e^{-\frac{(x-\mu)^2}{2\sigma^2}}8. 期望的线性性质:E(aX+b)=aE(X)+b9. 二项分布的期望和方差:E(X)=np,Var(X)=np(1-p)10. 正态分布的期望和方差:E(X)=\mu,Var(X)=\sigma^2四、微积分1. 极限定义:\lim_{x\to a}f(x)=L2. 导数定义:f'(x)=\lim_{h\to0}\frac{f(x+h)-f(x)}{h}3. 导数基本法则:(Cf(x))'=Cf'(x)4. 高阶导数:f^{(n)}(x)5. 极大极小值判定法则:f'(x_0)=0\Rightarrow f(x_0)6. 不定积分线性性质:\int(kf(x)+g(x))dx=k\int f(x)dx+\int g(x)dx7. 分部积分法:\int u dv=uv-\int v du8. 定积分定义:\int_{a}^{b}f(x)dx=F(b)-F(a)9. 牛顿-莱布尼茨公式:\int_{a}^{b}f(x)dx=F(b)-F(a)10. 参数方程的曲线面积:S=\int_{\alpha}^{\beta}f(\theta)g'(\theta)d\theta五、线性代数1. 行列式定义:D=\begin{vmatrix}a & b\\c & d\end{vmatrix}=ad-bc2. 矩阵乘法:C=AB3. 矩阵转置:A^T4. 逆矩阵定义:AA^{-1}=A^{-1}A=I5. 矩阵行列式性质:|A^T|=|A|6. 向量叉乘定义:A\times B=|A|\cdot|B|\sin\theta n7. 点到直线距离公式:d=\frac{|ax_0+by_0+c|}{\sqrt{a^2+b^2}}8. 埃尔米特矩阵:A=A^*9. 特征值与特征向量:Ax=\lambda x10. 正交矩阵性质:A^TA=AA^T=I以上便是高中数学中所有公式的汇总总结,希朋对您有所帮助。
高中所用重点公式汇总
公式口诀:
一、《集合与函数》
内容子交并补集,还有幂指对函数。
性质奇偶与增减,观察图象最明显。
复合函数式出现,性质乘法法则辨,若要详细证明它,还须将那定义抓。
指数与对数函数,两者互为反函数。
底数非1的正数,1两边增减变故。
函数定义域好求。
分母不能等于0,偶次方根须非负,零和负数无对数;正切函数角不直,余切函数角不平;其余函数实数集,多种情况求交集。
两个互为反函数,单调性质都相同;图象互为轴对称,Y=X是对称轴;求解非常有规律,反解换元定义域;反函数的定义域,原来函数的值域。
幂函数性质易记,指数化既约分数;函数性质看指数,奇母奇子奇函数,奇母偶子偶函数,偶母非奇偶函数;图象第一象限内,函数增减看正负。
二、《三角函数》
三角函数是函数,象限符号坐标注。
函数图象单位圆,周期奇偶增减现。
同角关系很重要,化简证明都需要。
正六边形顶点处,从上到下弦切割;中心记上数字1,连结顶点三角形;向下三角平方和,倒数关系是对角,顶点任意一函数,等于后面两根除。
诱导公式就是好,负化正后大化小,变成锐角好查表,化简证明少不了。
二的一半整数倍,奇数化余偶不变,将其后者视锐角,符号原来函数判。
两角和的余弦值,化为单角好求值,余弦积减正弦积,换角变形众公式。
和差化积须同名,互余角度变名称。
计算证明角先行,注意结构函数名,保持基本量不变,繁难向着简易变。
逆反原则作指导,升幂降次和差积。
条件等式的证明,方程思想指路明。
万能公式不一般,化为有理式居先。
公式顺用和逆用,变形运用加巧用;1加余弦想余弦,1 减余弦想正弦,幂升一次角减半,升幂降次它为范;三角函数反函数,实质就是求角度,先求三角函数值,再判角取值范围;利用直角三角形,形象直观好换名,简单三角的方程,化为最简求解集;
三、《不等式》
解不等式的途径,利用函数的性质。
对指无理不等式,化为有理不等式。
高次向着低次代,步步转化要等价。
数形之间互转化,帮助解答作用大。
证不等式的方法,实数性质威力大。
求差与0比大小,作商和1争高下。
直接困难分析好,思路清晰综合法。
非负常用基本式,正面难则反证法。
还有重要不等式,以及数学归纳法。
图形函数来帮助,画图建模构造法。
四、《数列》
等差等比两数列,通项公式N项和。
两个有限求极限,四则运算顺序换。
数列问题多变幻,方程化归整体算,数列求和比较难,错位相消巧转换。
取长补短高斯法,裂项求和公式算。
归纳思想非常好,编个程序好思考:一算二看三联想,猜测证明不可少。
还有数学归纳法,证明步骤程序化:首先验证再假定,从K向着K加1,推论过程须详尽,归纳原理来肯定。
五、《复数》
虚数单位i一出,数集扩大到复数。
一个复数一对数,横纵坐标实虚部。
对应复平面上点,原点与它连成箭。
箭杆与X轴正向,所成便是辐角度。
箭杆的长即是模,常将数形来结合。
代数几何三角式,相互转化试一试。
代数运算的实质,有i多项式运算。
i的正整数次慕,四个数值周期现。
一些重要的结论,熟记巧用得结果。
虚实互化本领大,复数相等来转化。
利用方程思想解,注意整体代换术。
几何运算图上看,加法平行四边形,减法三角法则判;乘法除法的运算,逆向顺向做旋转,伸缩全年模长短。
三角形式的运算,须将辐角和模辨。
利用棣莫弗公式,乘方开方极方便。
辐角运算很奇特,和差是由积商得。
四条性质离不得,相等和模与共轭,两个不会为实数,比较大小要不得。
复数实数很密切,须注意本质区别。
六、《排列、组合、二项式定理》
加法乘法两原理,贯穿始终的法则。
与序无关是组合,要求有序是排列。
两个公式两性质,两种思想和方法。
归纳出排列组合,应用问题须转化。
排列组合在一起,先选后排是常理。
特殊元素和位置,首先注意多考虑。
不重不漏多思考,捆绑插空是技巧。
排列组合恒等式,定义证明建模试。
关于二项式定理,中国杨辉三角形。
两条性质两公式,函数赋值变换式。
七、《立体几何》
点线面三位一体,柱锥台球为代表。
距离都从点出发,角度皆为线线成。
垂直平行是重点,证明须弄清概念。
线线线面和面面、三对之间循环现。
方程思想整体求,化归意识动割补。
计算之前须证明,画好移出的图形。
体几何辅助线,常用垂线和平面。
射影概念很重要,对于解题最关键。
异面直线二面角,体积射影公式活。
公理性质三垂线,解决问题一大片。
八、《平面解析几何》
有向线段直线圆,椭圆双曲抛物线,参数方程极坐标,数形结合称典范。
笛卡尔的观点对,点和有序实数对,两者—一来对应,开创几何新途径。
两种思想相辉映,化归思想打前阵;都说待定系数法,实为方程组思想。
三种类型集大成,画出曲线求方程,给了方程作曲线,曲线位置关系判。
四件工具是法宝,坐标思想参数好;平面几何不能丢,旋转变换复数求。
解析几何是几何,得意忘形学不活。
图形直观数入微,数学本是数形学。