集合中求参数取值范围
- 格式:doc
- 大小:38.00 KB
- 文档页数:1
第一章 集合和常用逻辑用语(重难点)重点一:已知集合关系求参数1、 已知集合A ={x |ax +2=0} ,B ={x |x 2−5x +6=0} ,且A ⊆ B , 求参数 a 的取值范围。
解:(1)当A =∅时,a =0,满足A ⊆ B ;(2)当A ≠∅ ,即a ≠0时,B ={−2a }, B ={2,3},又∵A ⊆B , ∴−2a =2或3 ;∴a =−1或−23 。
综上,a 的取值范围是{0,−1,−23}。
2、 已知集合M ={x |−3<x <4},N ={2a −1<x <a +3},且N ⊊ M ,求a 的取值范围。
解:(1)当N =∅时,2a −1≥a +3,即a ≥4,满足N ⊊M ;(2)当N ≠∅时,2a −1<a +3,即a <4,因为N ⊊M所以{2a −1<a +32a −1≥−3a +3<4,或{2a −1<a +32a −1>3a +3≤4,解得−1≤a ≤1 。
综上,a 的取值范围是{a|−1≤a ≤1或a ≥4}。
题型分析:1、 集合的包含关系也可以转化成为集合运算问题,以及充分必要问题。
例如A ∩B = A ⟹A ⊆B ,p 是 q 的必要条件⟹q ⊆p 等。
(详见基础知识)2、 忽略 ∅ 的存在,易造成解题的不全面。
3、 对于不等式的边际取等问题,可以采用特殊值方法来处理(见例2)。
不等式的边际取等问题是高中数学中非常常见的问题,一定要熟练掌握。
4、 分类讨论之后需要对每种情况的结果进行并集处理,最后“综上”作答。
5、 范围问题可以采用Venn 图和数轴来帮助我们分析,这样更加直观,便于理解。
重点二:恒成立问题与存在问题1、 已知函数f (x )=x 2−2x +5。
(1)若不等式m +f (x )>0恒成立,求m 的取值范围;(2)若不等式m −f (x )>0有解,求m 的取值范围。
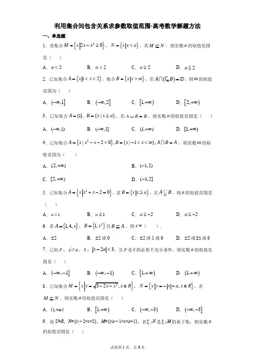
利用集合间包含关系求参数取值范围-高考数学解题方法一、单选题1.设集合{}220M x x x =-≥,{}N x x a =<,若M N ⊆,则实数a 的取值范围是( ) A .2a <B .2a >C .2a ≥D .2a ≤2.已知集合{}12A x x =<<,集合{}B x x m =>,若()A B =∅R,则m 的取值范围为( ) A .(],1-∞B .(],2-∞C .[)1,+∞D .[)2,+∞3.已知集合{1}A =,{|}B x x a =≥,若A B B ⋃=,则实数a 的取值范围是( ) A .(,1)-∞B .(,1]-∞C .(1,)+∞D .[1,)+∞4.已知集合{}2|20,{|1},A x x x B x x m AB A =--<=-<<=,则实数m 的取值范围为( ) A .(2,)+∞ B .(1,2)- C .[2,)+∞D .(1,2]-5.已知集合{}220A x x x =+-=,若{}B x x a =≤,且AB ,则a 的取值范围是( ) A .1a >B .1a ≥C .2a ≥-D .2a ≤-6.若{}1,4,A x =,{}21,B x =且B A ⊆,则x =( ).A .2±B .2±或0C .2±或1或0D .2±或±1或07.已知p :x a ≥,q :23x a +<,且p 是q 的必要不充分条件,则实数a 的取值范围是( )A .(]1-∞-,B .()1-∞-,C .[)1+∞,D .()1+∞,8.已知集合{}M x y x R ==∈,{},N y y x a x R ==-+∈,若M N ⊆,则实数a 的取值范围是( )A .()1,+∞B .[)1,+∞C .(),3-∞-D .(],3-∞- 9.设U =R ,N ={x |-2<x <2},M ={x |a -1<x <a +1},若U N 是U M的真子集,则实数a的取值范围是( )A .-1<a <1B .-1≤a <1C .-1<a ≤1D .-1≤a ≤110.已知集合{}220A x x x =-≤,{}0lg 1B x x =<≤,2a C x x ⎧⎫=<⎨⎬⎩⎭,若{}()03A B C x x =≤<∣,则a 的值为( )A .1B .3C .6D .811.已知{}{},14||A x x a B x x =<=<<,若RA B ⊆,则实数a 的取值范围为( )A .{}|1a a <B .{}4|a a ≤C .{}|1a a ≤D .{}|1a a ≥12.已知集合{}2230A x N x x *=∈--<,{}20B x ax =+=,若AB B =,则实数a 的取值集合为( ) A .{}1,2--B .{}1,0-C .2,0,1D .{}2,1,0--13.已知集合{}2230A x x x =--≤,{}22B x m x m =-≤≤+.若R A C B A =,则实数m 的取值范围为( ) A .5m >B .3m <-C .5m >或3m <-D .35m -<<14.已知集合1ln 1x a e a x A x x x --⎧⎫+=-≤⎨⎬⎩⎭,集合{}2021ln 2021B x x x =+≥,若B A ⊆,则实数a 的取值范围为( )A .[],e e -B .[],1e -C .[]1,1-D .[]1,e -15.已知0a >,函数()()21sin cos 2f x a x x x x a =+-+++-,x ∈R .记函数()f x 的值域为M ,函数()()f f x 的值域为N ,若M N ⊆,则a 的最大值是( )A .1B .2C .3D .416.设函数()()()21ln 31f x g x ax x ==-+,若对任意1[0,)x ∈+∞,都存在2x R ∈,使得()()12f x g x =,则实数a 的最大值为( )A .94B .2C .92D .417.若对函数()2sin f x x x =-的图象上任意一点处的切线1l ,函数。
求函数的值域 确定参数的范围
在我们的学习过程中,经常遇到形如20ax bx c ++=在(,)e f 有解的问题,人们往往是用二次函数根的分布有关知识解决,这种方法分类较多,过程繁琐。
下面我介绍一种较方便的方法,就是分离参变量,将问题转化为求函数的值域问题解决。
例1:设集合A=
(){}2,;2x y y x ax =++ (){},;1,02B x y y x x ==+≤≤ A B φ≠ ,求a 的取值范围。
解: A B φ≠ 即221x ax x ++=+在[]0,2内有实数根, 由 方程221x ax x ++=+ 得11,02a x x x ⎛
⎫=-+
≤≤ ⎪⎝⎭ 1x
x
+2≥ 1a ∴≤-∴实数a 的取值范围为(],1-∞-。
评述:本题巧妙地 应用了等价转化的思想,将函数、方程、不等式
有机的结合起来,分离参变数a ,把求参问题转化为求函数的值域问题。
例2:已知关于x 的方程()()242log 1log log 3x a x -=--有实根,求实数a 的 取值范围。
解:由10x ->且30x ->且0a >知13,0x a <<>
原方程可化为2430x x -++=在()1,3内有解
∴()()2
24321x x x =--+=--+ ∴01<≤ 01a ∴<≤
评述:本题将方程转化为一个等价的不等式组,采用分离变量法,将问题转化为求二次函数的最值问题。
求参数的取值范围参数的取值范围可以根据具体的问题和需求来确定。
在以下讨论中,将介绍一些常见参数的取值范围。
1.自然数(N):自然数是大于等于0的整数,可以取到的最小值是0,而最大值则取决于具体需求和计算机系统的限制。
2.整数(Z):整数包含正整数、负整数和0。
正整数的最小值是1,负整数的最小值是负无穷。
最大值也取决于具体需求和计算机系统的限制。
3.实数(R):实数包括所有有理数和无理数(如π和e)。
实数的范围是无限的,没有明确的最大或最小值。
4.百分比(%):百分比是用小数表示的数值,乘以100后加上百分号表示。
一般情况下,百分比的取值范围在0到100之间。
5.时间(T):时间可以表示一天中的一些时刻(小时、分钟、秒)或一些日期。
最小值和最大值取决于具体的时间格式和需求。
6.日期(D):日期由年、月、日组成。
最小值和最大值取决于历法系统,常见的日期范围是公元前4713年1月1日到公元9999年12月31日。
7. 布尔值(Boolean):布尔值只有两个取值,即真(True)和假(False)。
8.字符串:字符串是由字符组成的序列,可以包含字母、数字和符号。
字符串的长度一般没有固定的最大值,但可能受到特定编程语言和计算机系统的限制。
9. 列表(List):列表是一组有序的元素的集合。
元素的类型可以是任意类型。
列表的长度一般没有固定的最大值,但也可能受到特定编程语言和计算机系统的限制。
10. 矩阵(Matrix):矩阵是由行和列组成的二维数组。
矩阵的大小取决于具体需求和计算机系统的限制。
需要注意的是,参数的取值范围应该符合问题的实际背景和约束条件。
在实际应用中,可能需要根据特定需求和具体情况进行进一步的约束和限制。
另外,计算机系统的内存和处理能力也可能对参数的取值范围有一定的限制。
因此,在确定参数的取值范围时,需要综合考虑问题的实际需求、约束条件和计算机系统的限制。
集合中参数问题的解答方法集合中的参数问题主要包括:①集合与集合关系中的参数问题;②集合运算过程中的参数问题;每类问题又涉及到求参数的值和求参数的取值范围两种情况。
那么在实际解答这类问题时,到底应该怎样展开思路,寻求解答方法呢?下面通过对典型例题的解析来回答这个问题。
【典例1】解答下列问题:1、含有三个元素的集合可以表示为{a,b a ,1},也可以表示为{2a ,a+b,0}. 求:20092010a b +的值。
2、设A={x|2x -3x+2=0},B={x|x+2>a },如果A ⊆ B,求实数a 的取值范围;3、已知集合A={x|0<ax+1≤5},B={x|-12<x ≤2}. ①若A ⊆ B, 求实数a 的取值范围;②若B ⊆ A, 求实数a 的取值范围;③A 、B 能否相等?若能求出实数a 的值;若不能说明理由。
4、已知集合A={x|a 2x -3x+2=0,a ∈R }.①若A 是空集,求实数a 的取值范围;②若A 中只有一个元素,求a 的值,并把这个元素求出来;③若A 中至多有一个元素,求实数a 的取值 【解析】1、【知识点】①集合相等的定义与性质;②集合元素的定义与特性;③参数值的求法;④代数式的值的意义与求法;【解答思路】根据集合相等的定义与性质,结合结合元素的特性求出参数a ,b 的值,再把求得的值代入代数式通过计算得出结果;【详细解答】Q {a,b a ,1}={2a ,a+b,0},0∈{a,b a ,1},a ≠0,∴b a=0,⇒b=0,2a =1, ⇒a=±1,Q a ≠1,∴a=-1,∴20092010a b +=2009(1)-+20100=-1+0=-1。
2、【知识点】①集合的表示方法;②一元二次方程的定义与解法;③一元一次不等式的定义与解法;④数轴的定义与运用;⑤子集的定义与性质;【解答思路】根据一元二次方程的定义与解法把集合A 用列举法表示出来,由一元一次不等式的定义与解法把集合B 用描述法表示出来,运用A B 结合数轴得到关于a 的不等式,求解不等式就可得出结果;【详细解答】如图,Q A ⊆B ,∴a-2≤1,⇒a ≤3 0 1 2∴当A ⊆B ,实数a 的取值范围是(-∞,3]。
集合求参数的取值范围技巧在数学和物理等学科中,我们经常遇到需要求解参数的取值范围的问题。
这些问题包括方程的解集、不等式的解集等等。
本文将介绍一些集合求参数取值范围的常见技巧,希望对读者有所帮助。
一、方程的解集在求解方程的解集时,我们常常需要确定参数的取值范围。
以一元二次方程为例,假设方程为 ax^2 + bx + c = 0。
其中,a、b、c均为已知常数,x为未知数。
我们可以利用二次函数图像的性质来求解方程的解集。
当且仅当二次函数图像与x轴有交点时,方程才有实数解。
首先,我们可以根据二次函数的开口方向和对称轴的位置来判断方程是否有解。
如果a>0,二次函数图像开口向上,对称轴在图像下方,方程有两个实数解。
如果a<0,二次函数图像开口向下,对称轴在图像上方,方程没有实数解。
其次,如果方程有解,则对称轴必定在x轴的上方或下方。
以二次函数的顶点坐标(h,k)为中心,向上画一条与x轴平行的直线。
如果该直线与二次函数图像有交点,说明方程有解;如果该直线与二次函数图像没有交点,说明方程无解。
因此,我们可以通过求解方程f(x) = k来确定参数的取值范围。
二、不等式的解集当求解不等式的解集时,我们也常常需要确定参数的取值范围。
不同类型的不等式有不同的解法,下面我们以一些常见的不等式类型进行讨论。
1. 一元一次不等式对于一元一次不等式,我们可以通过移项变换和分析函数的正负性来求解。
假设不等式为ax + b > 0。
首先,我们可以通过移项变换将不等式转化为等价的形式,即 ax > -b。
然后,我们根据a的正负来确定解集。
如果a>0,则x > -b/a,解集为(-b/a, +∞);如果a<0,则x < -b/a,解集为(-∞, -b/a)。
2. 一元二次不等式对于一元二次不等式,我们可以通过求解二次函数的解集和分析函数的正负性来求解。
假设不等式为 ax^2 + bx + c > 0。
185神州教育浅谈集合中参数取值范围问题董佳辽宁省实验中学东戴河分校随着新课改进程的加快,教材在内容及结构上也日益变化,以达到素质教育的要求。
高中数学应注重提高学生的数学思维能力,同时也是新课改中重要组成部分。
可是无论怎样变更,对于数学问题而言,解题方法永远是重要的一点,而众多问题中,含参问题的讨论则是高中数学的重中之重,它也是历年考试中的必考内容,并且对最近几年的试题分析情况来看,分值略有上升趋势。
纵观整个中学数学,参数问题是一条贯穿其中的脉络,参数与函数的定义域,值域(最值)相结合;与单调性结合;与方程问题相结合;与恒成立问题相结合。
可谓参数问题在高中数学中无处不在。
含参数问题的讨论,是训练和检查学生逻辑推理能力和分析问题能力的一种综合题型.求解这类问题的方法不复杂,但在一定程度上反映了学生数学素养的高低,因此,一直为人们所重视。
作为中学数学的重要内容,参数问题在课程教学中占有重要地位。
按照高中数学的教学脉络,这部分知识与集合、简易逻辑、函数思想、微积分应用、立体几何、数列等都有紧密的联系。
其中新课改之后,更是把导数中的参数问题的讨论和解决,变为重中之重。
学生们学习中的思维和视野角度都变宽泛了。
代数方法中关于参数问题解析和讨论,大多运用分离参数方法,多和分类讨论思想相结合。
在运用分类讨论思想的时候,少有著作详细分析常规的步骤。
在代数分析的时候,大多要注意导函数图象的大致形状,导函数对应方程的根,以及要注重根的大小的比较。
教者们在讲解时也因为知识点多,方法多,与其他知识交汇点众多,从而使得学生接受起来困难重重。
关于参数讨论,多和函数思想结合,这方的著作例如白建华[3]的《函数与方程思想在解题中的运用》提出了可以把函数中参数问题转换成方程有解问题来解决。
集合是高中数学的重要基础知识,它贯穿于整个中学数学教学之中,并且作为一种数学语言和工具在其他数学问题中有广泛的运用。
在高考中,它也是年年必考内容之一。
集合中参数问题的解答方法集合中的参数问题主要包括:①集合与集合关系中的参数问题;②集合运算过程中的参数问题;每类问题又涉及到求参数的值和求参数的取值范围两种情况。
那么在实际解答这类问题时,到底应该怎样展开思路,寻求解答方法呢?下面通过对典型例题的解析来回答这个问题。
【典例1】解答下列问题:1、含有三个元素的集合可以表示为{a,b a ,1},也可以表示为{2a ,a+b,0}. 求:20092010a b +的值。
2、设A={x|2x -3x+2=0},B={x|x+2>a },如果A ⊆ B,求实数a 的取值范围;3、已知集合A={x|0<ax+1≤5},B={x|-12<x ≤2}. ①若A ⊆ B, 求实数a 的取值范围;②若B ⊆ A, 求实数a 的取值范围;③A 、B 能否相等?若能求出实数a 的值;若不能说明理由。
4、已知集合A={x|a 2x -3x+2=0,a ∈R }.①若A 是空集,求实数a 的取值范围;②若A 中只有一个元素,求a 的值,并把这个元素求出来;③若A 中至多有一个元素,求实数a 的取值 【解析】1、【知识点】①集合相等的定义与性质;②集合元素的定义与特性;③参数值的求法;④代数式的值的意义与求法;【解答思路】根据集合相等的定义与性质,结合结合元素的特性求出参数a ,b 的值,再把求得的值代入代数式通过计算得出结果;【详细解答】Q {a,b a ,1}={2a ,a+b,0},0∈{a,b a ,1},a ≠0,∴b a=0,⇒b=0,2a =1, ⇒a=±1,Q a ≠1,∴a=-1,∴20092010a b +=2009(1)-+20100=-1+0=-1。
2、【知识点】①集合的表示方法;②一元二次方程的定义与解法;③一元一次不等式的定义与解法;④数轴的定义与运用;⑤子集的定义与性质;【解答思路】根据一元二次方程的定义与解法把集合A 用列举法表示出来,由一元一次不等式的定义与解法把集合B 用描述法表示出来,运用A B 结合数轴得到关于a 的不等式,求解不等式就可得出结果;【详细解答】如图,Q A ⊆B ,∴a-2≤1,⇒a ≤3 ∴当A ⊆B ,实数a 的取值范围是(-∞,3]。
【知识回顾】根据集合关系求参数取值范围的步骤:(1)化简:将给定的集合加以化简,若有不确定因素则需分类讨论; (2)画轴:画出数轴以便明确集合之间的关系; (3)列式:根据数轴及所给集合关系列出不等式(组); (4)求解:对所列出的不等式(组)进行求解。
【例1】已知集合A={y|y>a 2+1或y<a},B={y|2≤y ≤4},若A ∩B ≠φ,求实数a 的取值范围。
点评:应用集合关系求解参数范围的关键及注意点:(1)关键:解答此类问题的关键是利用两集合关系,列出所求参数满足的不等式(组)。
(2)注意点:当题目中含有条件B B A A B A ==Y I ,,注意将关系等价转化,如A B A =I B A ⊆⇔。
【例2】已知集合}3{+≤≤=a x a x A ,1{-<=x x B 或}5>x 。
(1)若∅=B A I ,求实数a 的取值范围;(2)若B B A =Y ,求实数a 的取值范围。
解析:∅≠+≤≤=}3{a x a x A Θ,1{-<=x x B 或}5>x , (1)若∅=B A I ,如图4,则有⎩⎨⎧≤+-≥531a a ,解得21≤≤-a 。
(2)若B B A =Y ,如图,则B A ⊆,∴5,45,13>-<-⇒>-<+a a a a 或或 【例3】已知{|||},{||2}43|A x x a B x x <>=-=-.若A ∪B =R ,求实数a 的取值范围. 解:4{|}4A x a x a =<<Q -+,B ={x|x<-1或x>5},且A B R U =, ∴4145a a -<-⎧⎨+>⎩,13a ∴<<,∴实数a 的取值范围是(1,3).针对训练:1.已知集合{}21P x x =≤,{}M a =.若P M P =U ,则a 的取值范围是( )A .(],1-∞-B .[)1,+∞C .[]1,1-D .(][),11,-∞-+∞U 【答案】C考点:集合的运算.2.如果集合=A {}0242=+-x mx x 中只有一个元素,则实数m 的值为( ) A.0 B. C.2 D.0或2 【答案】D【解析】试题分析:因为集合=A {}0242=+-x mx x 中只有一个元素,所以方程2mx 420x -+=只有一个根,当0m =时显然符合题意,当0m ≠时,由0∆=得2m =,因此实数m 的值为0或2,故选D.考点:1、集合的表示;2、方程的根与系数之间的关系.3.已知集合{}{}2|30,1,A x x x B a =-<=,且A B I 有4个子集,则实数a 的取值范围是( )A .(0,3)B .(0,1)(1,3)UC .(0,1)D .(,1)(3,)-∞+∞U 【答案】B.【考点】本题主要考查集合的关系.4.已知集合{}{}{}2310,9140,52A x x B x x x C x m x m =<<=-+<=-<<. (1)求(),A B C A B R IU ;(2)()x C x A B ∈∈⋂若是的充分不必要条件,求实数的取值范围.【答案】(1){}|37A B x x ⋂=<<,(){}710C A B x x x =<≥R U 或 (2)(],2-∞ 【解析】试题分析:(1) 由题问题为求集合的交并补运算,可先解出集合B ,再由集合运算的定义求解,注意求解中可借助数轴进行(数形结合)。
第三讲:根据集合间的基本关系求参量的值及范围本讲主要涉及关于集合的关系来确定含参量的集合中参量的取值及范围的题型,对于此类型的题目解题思路是首先要明确根据集合间的运算关系确定集合的关系即:,A B A A B A B B B A ⋂=⇒⊆⋂=⇒⊆,A B A B A A B B A B ⋃=⇒⊆⋃=⇒⊆,U U U U C A C B B A C B C A A B ⊆⇒⊆⊆⇒⊆其次在确定集合间的关系的情况下,要考虑含参量的集合为空集时是否满足题目已知条件,若满足对其进行分类讨论(分为空集和非空集讨论,防止漏解)最后借助数轴确定参量的取值范围,在确定参量的取值范围时需注意端点值的取舍(可以用代入验证法确定)举例:1已知{}{}|25,|121A x x B x m x m =-≤≤=+≤≤-,若B A ⊆求m 的取值范围分析:此题目A 集合为定集合(端点值确定没有参数)集合B 含有参量,且集合A 与集合B 之间的关系直接给出B A ⊆所以对集合B 分为空集和非空集讨论解:B A ⊆∴(1)当B =∅时,1212m m m +>-⇒<(2)当B ≠∅时,则有1212123m m m m +≤-⎧⎪⇒≤≤⎨+≥-2 已知{}{}|25,|121A x x B x m x m =-<<=+≤≤-,若B A ⊆,求m 的取值范围分析:首先对比这道题和第一题的不同,可以看出集合A 不同,其余不变,那么解这道题时应注意对比端点值的取舍时有什么不同解:B A ⊆∴(1)当B =∅时,1212m m m +>-⇒<121m m +≤-⎧⎪综合(1)(2)可知m 的取值范围为3m <注意:上面给出的两个例子在端点值取舍有不同,最后结果也不同一:例题讲解例1:已知集合{}{}3,5,|90A B x mx ==-=若B A ⊆则实数m 的值为____ 分析:由于集合B 含有参量且B A ⊆所以对集合B 要分类讨论防止漏解解:(1)当B =∅时,则m=0(2)当B ≠∅时,则由B A ⊆得{}{}3,5B or B ==若{}3B =时,3903m m -=⇒=,若{}5B =时95905m m -=⇒=故m 的取值为90,3,5例2:已知集合22{3|}0A x x x ≤=--222|}40{B x x mx m x m ≤∈∈R R =-+-,,.(1)若A ∩B =[0,3],求实数m 的值;(2)若A ⊆∁R B ,求实数m 的取值范围.分析:(1)对于集合A 是定集合,集合B 含参量的集合,先用不等式表示再借助数轴求参量的值(2)由于A ⊆∁R B 而集合A 不是空集所以对集合A 不讨论解:(1){}{}|13,|22A x x B x m x m =-≤≤=-≤≤+ 又[]0,3A B ⋂=20223m m m -=⎧∴⇒=⎨+≥⎩ (2){}{}|22|22R B x m x m B x x m x m =-≤≤+⇒=<->+或 又RA B ⊆,{|R B x x =R B ∉不符合R B ⊆ 的题取不到端点值-1 同理3R B A ∈∉而3不符合R A B ⊆的题设条件所以m-2取不到端点值3。
集合间的基本关系例题讲解说明 所选例题题型、难易程度顺序不分先后题型一 根据集合间的基本关系求参数的值或取值范围对于两个集合A 与B ,A 或B 中含有待定的参数(字母),若已知集合A 与B 的关系,求参数的值或取值范围时,常采用分类讨论和数形结合的方法.(1)分类讨论:若,在未指明集合A 非空时,应分为和两种情况B A ⊆∅=A ∅≠A 进行讨论.(2)数形结合:在对这种情况进行参数的确定时,要借助于数轴来完成.将∅≠A 两个集合在数轴上画出来,注意分清端点处的实心和空心,根据两个集合之间的基本关系,列不等式(组)求解.例1. 已知集合,,若,求实数的{}43≤≤-=x x A {}112+≤≤-=m x m x B A B ⊆m 取值范围.分析:需要知道的是由集合间的基本关系可以确定参数的取值范围. 本题在分类讨论时要用到下面的结论:关于集合为空集的重要结论(1)若集合,则;{}∅=≤≤=n x m x A n m >(2)若集合,则≥;{}∅=<<=n x m x A m n (3)若集合或,则≥. {}∅=<≤=n x m x A {}∅=≤<=n x m x A m n 最后,实数的取值范围最好写成集合的形式.m 解:∵,A B ⊆{}112+≤≤-=m x m x B ∴分为两种情况:①当时,,解之得:;∅=B 112+>-m m 2>m ②当时,则有:,解之得:≤≤2.∅≠B ⎪⎩⎪⎨⎧≤+-≥-+≤-41312112m m m m 1-m 综上,实数的取值范围为. m {}1-≥m m例2. 已知集合,,若,求实数⎭⎬⎫⎩⎨⎧⎩⎨⎧<->+=0102063x x x A {}121-≤≤+=m x m x B A B ⊆m 的取值范围.解:解不等式组得: ⎩⎨⎧<->+0102063x x 52<<-x ∴{}52<<-=x x A ∵,∴分为两种情况:A B ⊆①当时,,解之得:;∅=B 121->+m m 2<m ②当时,则有:,解之得:2≤.∅≠B ⎪⎩⎪⎨⎧<-->+-≤+51221121m m m m 3<m 综上,实数的取值范围是. m {}3<m m 例3. 设集合,,若,则实数{}042=+=x x x A (){}011222=-+++=a x a x x B A B ⊆的值取值范围为__________.a 分析:在进行分类讨论时要做到不重不漏,特别注意不能漏掉对的讨论.解∅=B 决本题还要明白以下两点:(1)空集是任何集合的子集;(2)空集是任何非空集合的真子集.解:{}{}4,0042-==+=x x x A ∵,A B ⊆(){}011222=-+++=a x a x x B ∴分为两种情况:(1)当时,方程没有实数根∅=B ()011222=-+++a x a x ∴,解之得:; ()[]()0141222<--+=∆a a 1-<a (2)当时,则有或或∅≠B {}0=B {}4-=B {}4,0-=B ①当或时,方程有两个相等的实数根 {}0=B {}4-=B ()011222=-+++a x a x ∴,解之得: ()[]()0141222=--+=∆a a 1-=a ∴符合题意;{}0=B②当时,由根与系数的关系定理可得: {}4,0-=B ()⎩⎨⎧=--=+-014122a a 解之得:.1=a 综上,实数的值取值范围为. a {}11-≤=a a a 或★例4. 已知集合,.{}52≤≤-=x x A {}121-≤≤+=m x m x B (1)若,求实数的取值范围;A B ≠⊂m (2)若,求实数的取值范围.B A ⊆m 分析:(1)本题中集合A 为非空集合,因为空集是任何非空集合的真子集,所以要对含参集合B 进行分类讨论;(2)由可知集合B 为非空集合.B A ⊆解:(1)∵,A B ≠⊂{}121-≤≤+=m x m x B ∴分为两种情况:①当时,,解之得:;∅=B 121->+m m 2<m ②当时,则有:或∅≠B ⎪⎩⎪⎨⎧<--≥+-≤+51221121m m m m ⎪⎩⎪⎨⎧≤-->+-≤+51221121m m m m 解之得:2≤≤3.m 综上所述,实数的取值范围为; m {}3≤m m (2)∵,且B A ⊆∅≠A ∴,则有:解之得:实数不存在.∅≠B ⎪⎩⎪⎨⎧≥--≤+-<+51221121m m m m m ∴不存在实数,使得.m B A ⊆注意:在第(1)问中,当时,结果是不正确的.如下图的数轴∅≠B ⎪⎩⎪⎨⎧<-->+-≤+51221121m m m m所示,应有:或.这一点雅慧你要特别注意了.⎪⎩⎪⎨⎧<--≥+-≤+51221121m m m m ⎪⎩⎪⎨⎧≤-->+-≤+51221121m m m m m m + 1 22m 1在第(2)问中,虽然得出,但不是,应是,见∅≠B 121-≤+m m 121-<+m m 如下图所示的数轴,应从整体上把握题目.鉴于此题的重要性和代表性,雅慧,建议你整理此题,并尝试独立解决.例5. 已知集合,,若,求实数的取{}51<<=x x A {}3423-<<-=a x a x C A C ⊆a 值范围.解:∵,∴分为两种情况:A C ⊆①当时,≥,解之得:≤1;∅=C 23-a 34-a a ②当时,则有:,解之得:≤2.∅≠C ⎪⎩⎪⎨⎧≤-≥--<-5341233423a a a a a <1综上所述,实数的取值范围是.a {}2≤a a 例6. 已知集合.{}52≤≤-=x x A (1)若,,求实数的取值范围;A B ⊆{}121-≤≤+=m x m x B m (2)若,,求实数的取值范围;B A ⊆{}126-≤≤-=m x m x B m (3)若,,求实数的取值范围.B A ={}126-≤≤-=m x m x B m 解:(1)∵,,∴分为两种情况:A B ⊆{}121-≤≤+=m x m x B ①当时,,解之得:;∅=B 121->+m m 2<m ②当时,则有:∅≠B,解之得:2≤≤3. ⎪⎩⎪⎨⎧≤--≥+-≤+51221121m m m m m 综上所述,实数的取值范围是; m {}3≤m m (2)∵,,∴B A ⊆{}52≤≤-=x x A ∅≠B 则有:,解之得:3≤≤4⎪⎩⎪⎨⎧≥--≤--<-51226126m m m m m ∴实数的取值范围是; m {}43≤≤m m (3)∵B A =∴,无解,即不存在实数,使得. ⎩⎨⎧=--=-51226m m m B A =题型二 集合间关系的判断判断集合间关系的常用方法(1)列举观察法当集合中元素较少时,可以列出两个集合中的全部元素,然后通过定义得出两个集合之间的关系.(2)集合元素特征法首先确定集合的代表元素是什么,弄清集合代表元素的特征,再利用集合元素的特征判断关系.一般地,设,: (){}x p x A =(){}x q x B =①若由可推出,则;()x p ()x q B A ⊆②若由可推出,则;()x q ()x p A B ⊆③若与可互相推出,则。
高一数学专题讲解集合问题中求参数的取值范围(一)主编:宁永辉老师主编单位:永辉中学生教育学习中心高考数学研究中心一、第一种题型: 【题型】:已知集合}|{b x a x A ≤≤=(其中a ,b 为实数,在具体题目中a ,b 两个实数的值是已知的),集合)}()(|{m g x m f x B ≤≤=(其中m 为参数,在具体的题目中参数m 是未知的,)(m f 、)(m g 都是关于参数m 的代数式),且满足B A ⊆。
求:参数m 的取值范围。
【解法】:第一步:画出数轴,在数轴上标出集合A 的区间,如下图所示:第二步:解析:B A ⊆:(1)、B A ⊆,表示集合A 中的所有元素都在集合B 中;(2)、B A ⊆,表示在数轴上集合B 的区间包含集合A 的区间,如下图所示:第三步:根据条件:B A ⊆在数轴上画出集合B 的区间,如下图所示:第四步:初步确定关于参数m 的不等式组。
根据数轴中各个数字的大小得到以下两个不等式: a m f <)((1)b m g >)((2)第五步:确定两个不等式是否可以取等号。
(1)、当a m f =)(时:在数轴上画出集合A 和集合B 的区间,如下图所示:如上图可以知道:B A ⊆成立,所以:a m f =)(成立。
(2)、当b m g =)(时:在数轴上画出集合A 和集合B 的区间,如下图所示:如上图可以知道:B A ⊆成立,所以:b m g =)(成立。
第六步:最终确定关于参数m 的两个不等式。
因为:题目已知)}()(|{m g x m f x B ≤≤=; 所以:得到第三个不等式:)()(m g m f ≤。
根据第四步、第五步和第六步的结论得到以上两个不等式:a m f ≤)( (1)b m g ≥)( (2) )()(m g m f ≤(3)第七步:解不等式组,得到参数m 的取值范围。
首先解每一个不等式,然后对三个不等式的解在数轴上求交集。
求参数取值范围一般方法参数取值范围是指其中一变量或参数的取值范围。
它是指该变量能够取到的所有可能的值的范围。
在许多领域中,包括科学、工程、计算机科学等,参数的取值范围是非常重要的。
在这篇文章中,我们将介绍一般的方法来确定参数的取值范围,并探讨一些常见的应用。
首先,确定参数取值范围的一般方法是根据问题的要求和约束条件来确定。
在大多数情况下,参数的取值范围是根据问题的需求来确定的。
例如,如果我们正在解决一个问题,需要找到一个正数解,那么参数的取值范围通常是0到正无穷大。
而如果我们需要找到一个整数解,那么参数的取值范围通常是整数集合。
其次,我们可以使用数学模型来确定参数取值范围。
数学模型是在问题域中对问题进行建模的过程。
通过建立合适的数学模型,可以帮助我们更好地理解问题的性质和要求,并确定参数的取值范围。
例如,在优化问题中,我们可以使用线性规划模型来确定参数的取值范围,以满足线性约束条件。
在模拟和数值计算中,我们可以使用数值分析方法,如有限元法和差分法来确定参数的取值范围。
第三,我们可以利用经验和专业知识来确定参数取值范围。
在许多领域,专业人士通常有丰富的经验和专业知识,可以帮助他们确定参数的取值范围。
例如,在医学诊断中,医生通常利用他们的临床经验和专业知识来确定一些指标的正常范围。
在工程设计中,工程师通常根据材料的性质和安全要求来确定参数的取值范围。
最后,我们可以使用计算机模拟和优化方法来确定参数取值范围。
计算机模拟和优化是一种通过计算机模拟和优化算法来确定参数的取值范围的方法。
通过建立合适的数学模型和使用相应的计算机算法,可以帮助我们在大规模和复杂的问题中确定参数的取值范围。
例如,在交通规划中,我们可以使用交通模拟软件来模拟不同的交通情景,并确定最佳的参数取值范围。
总之,确定参数取值范围是一项复杂而重要的任务。
通过运用上述方法,我们可以更好地理解问题,并确定合适的参数取值范围。
无论在哪个领域,确定参数取值范围都是非常重要的,它将直接影响到问题的解决方案和结果。
集合含参问题及解题技巧关于集合含参问题及解题技巧的文章内容如下:一、集合含参问题的定义集合含参问题是指在集合论中,对于给定的集合,引入一个或多个参数,通过参数的取值范围来描述集合的性质或特征。
参数可以是实数、整数、布尔值等,它们可以是固定的,也可以是取值范围内的任意值。
二、解题技巧1. 确定参数的取值范围:首先需要明确参数的取值范围,这个范围可以通过题目给出的条件来确定,也可以是根据实际情况进行假设。
确定参数的取值范围有助于缩小问题的范围,便于分析和解决。
2. 列出参数的取值条件:根据参数的取值范围,列出参数的取值条件。
这些条件可以是等式、不等式、逻辑关系等,用于描述集合中元素的性质或特征。
3. 利用参数的取值条件求解问题:根据参数的取值条件,可以通过代入法、排除法、逻辑推理等方法,求解集合含参问题。
具体的方法取决于参数的取值条件和问题的性质。
4. 分析参数的取值对集合的影响:在解决集合含参问题时,需要分析参数的取值对集合的性质或特征的影响。
通过分析参数的取值范围,可以确定集合的变化趋势,从而得出结论或解决问题。
5. 检验解的合理性:在解决集合含参问题后,需要对解进行检验,确保解的合理性。
检验解的方法可以是代入法、逻辑推理等,通过验证解是否满足参数的取值条件和问题的要求。
三、例题解析例题1:已知集合A={x | x>0},集合B={y | y<2},求集合A∪B的参数取值范围。
解析:集合A的参数取值范围为x>0,集合B的参数取值范围为y<2。
集合A∪B的参数取值范围可以通过将A和B的参数取值范围进行合并得到,即x>0或y<2。
所以集合A∪B的参数取值范围为x>0或y<2。
例题2:已知集合A={x | x>0},集合B={y | y>x},求集合A∩B的参数取值范围。
解析:集合A的参数取值范围为x>0,集合B的参数取值范围为y>x。
集合参数求取值范围技巧集合参数是数学中的一个重要概念,它可以用来描述一组具有共同特征的对象。
在求取值范围时,我们可以运用一些技巧来简化计算过程,提高效率。
本文将介绍一些常用的技巧,帮助读者更好地理解和应用集合参数求取值范围。
一、使用数轴表示集合参数在求取值范围时,我们可以使用数轴来表示集合参数的取值范围。
首先,我们需要确定集合参数的定义域,即参数可以取到的值。
然后,我们可以在数轴上标出这些取值点,并根据集合参数的性质来确定其取值范围。
例如,假设集合参数为x,定义域为实数集。
我们可以在数轴上标出x的取值点,并根据题目给出的条件来确定x的取值范围。
这样,我们就可以清晰地看到x的取值范围在数轴上的位置。
二、利用集合参数的性质进行求解在求取值范围时,我们可以利用集合参数的性质来简化计算过程。
例如,如果集合参数满足某种特定的性质,我们可以根据这个性质来确定其取值范围。
举个例子,假设集合参数为x,定义域为正整数集。
如果题目给出的条件是x是一个偶数,那么我们可以利用偶数的性质来确定x的取值范围。
由于偶数是可以被2整除的数,所以x的取值范围可以表示为{x | x = 2n, n ∈ 正整数}。
三、利用集合参数的关系进行求解在求取值范围时,我们还可以利用集合参数之间的关系来简化计算过程。
例如,如果题目给出了多个集合参数之间的关系,我们可以利用这些关系来确定它们的取值范围。
举个例子,假设集合参数x和y之间满足x > y,且x和y的定义域都是实数集。
那么我们可以根据这个关系来确定x和y的取值范围。
由于x > y,所以x的取值范围应该大于y的取值范围。
四、注意集合参数的边界条件在求取值范围时,我们还需要注意集合参数的边界条件。
边界条件是指集合参数取值范围的最大值和最小值。
我们需要根据题目给出的条件来确定集合参数的边界条件,并在求解过程中加以考虑。
举个例子,假设集合参数x的定义域为[0, 10],且题目给出的条件是x > 5。