第2章作业-2 参考答案
- 格式:pdf
- 大小:217.00 KB
- 文档页数:14
第二章作业2、画前驱图4、程序并发执行时为什么会失去封闭性和可再现性?答:程序在并发执行时,是多个程序共享系统中的各种资源,因而这些资源的状态将由多个程序分别来改变,致使程序的运行换去了封闭性,这样,某程序在执行时,必然会受到其它程序的影响。
程序在并发执行时,由于失去了封闭性,也将导致其再失去可再现性。
8、试说明进程在三个基本状态之间转换的典型原因。
答:16. 进程在运行时存在哪两种形式的制约?试举例说明之。
答:同步:直接的相互制约关系,例如A进程向B进程传递数据,B进程接收数据后继续下面的处理;互斥:间接的相互制约关系,例如进程共享打印机。
22、试写出相应的程序来描述P82图2-17所示的前驱图。
图(a)int a1=0,a2=0,a3=0,a4=0,a5=0,a6=0;a7=0;a8=0;parbeginbegin S1;V(a1);V(a2);end;begin P(a1);S2;V(a3);V(a4);end;begin P(a2);S3;V(a5);end;begin P(a3);S4;V(a6);end;begin P(a4);S5;V(a7);end;begin P(a5);S6;V(a8);end;begin P(a6);P(a7);P(a8);S7;end;parend图(b)int a1=0,a2=0,a3=0,a4=0,a5=0,a6=0;a7=0;a8=0;a9=0;a10=0;parbeginbegin S1;V(a1);V(a2);end;begin P(a1);S2;V(a3);V(a4);end;begin P(a2);S3;V(a5);V(a6);end;begin P(a3);S4;V(a7);end;begin P(a4);S5;V(a8);end;begin P(a5);S6;V(a9);end;begin P(a6);S7;V(a10);end;begin P(a7);P(a8);P(a9);P(a10);S8;end;parend28、在测量控制系统中的数据采集任务,把所采集的数据送一单缓冲区;计算任务从该单缓冲中取出数据进行计算。
第2章均相反应动力学作业题答案2-1 一分批进行的均相酶反应,底物的初始浓度为3×10-5mol/L ,Km=1×10-3mol/L ,经过2min 后,底物转化了5%。
假定该反应符合M-M 方程,试问当该反应经过10min 、30min 和60min 时,该底物转化了多少?2-1 答案:。
,;,;,,时,,,),(,而,,,可视为一级反应,785.0X min 60t 537.0X min 30t 236.0X min 10t ,e 1X ,026.0295.0ln k %5X min 2t e 1X t k X 11lnX 1C C t k C C ln dt k C dC C k dtdC C k C K r r ,C K ,C K C r r S S S t 026.0S 1S t k S 1SS 0S S 1S0S t01C C S S S 1SS 1S m max S 0S m Sm Smax S 1S 0S======-==-===-==--===-=-==〉〉+=--⎰⎰2-2 某酶反应,其Km=0.01mol/L 。
为了求其最大反应速率r max 值,现通过实验测得该反应进行5min 时,底物已转化了10%,已知C S0=3.4×10-4mol/L ,并假定该反应可用M-M 方程表示。
试求: (1)最大反应速率r max 为多少?(2)反应15min 后,底物浓度为多少?2-2答案:。
)(,时,,,),(,而,,,可视为一级反应,L /mol 1048.2)271.01(104.3X 1C C ,271.0e 1e 1X minL /mol 101.201.0021.0K k r ,021.059.0ln k %10X min 5t e 1X t k X 11lnX 1C C t k C C ln dt k C dC C k dtdC C k C K r r ,C K ,C K C r r 44S 0S S 15021.0t 021.0S 4m 1max 1S t k S 1SS 0S S 1S0S t01CC S S S 1SS 1S m max S 0S m Sm Smax S 1S 0S --⨯----⨯=-⨯=-==-=-=⋅⨯=⨯===-===-==--===-=-==〉〉+=⎰⎰2-3试根据下列实验数据确定rmax 、Km和KI值,并说明该酶反应是属于竞争由图可得:(1/r max )×102=1,r max =100μmol/Lmin 。
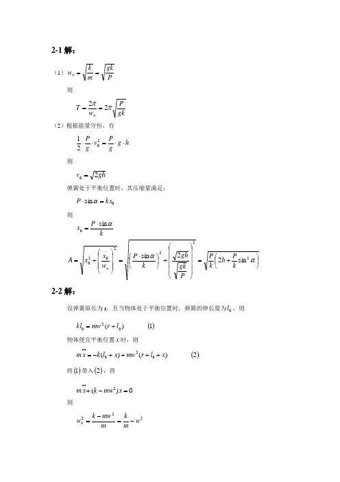
(1)P gk m k w n ==则 gkP w T n ππ22== (2)根据能量守恒,有h g g P v g P ⋅⋅=⋅⋅2021 则 gh v 20=弹簧处于平衡位置时,其压缩量满足:0sin kx P =⋅α 则 kP x αsin 0⋅= ⎪⎭⎫ ⎝⎛+=⎪⎪⎪⎪⎭⎫ ⎝⎛+⎪⎭⎫ ⎝⎛⋅=⎪⎪⎪⎭⎫ ⎝⎛+=αα22.22.020sin 22sin k P h k P P gk gh k P w x x A n 2-2解:设弹簧原长为r ,且当物体处于平衡位置时,弹簧的伸长量为0l ,则 ()1)(020l r mw kl += 物体便宜平衡位置x 时,则()2)()(020x l r mw x l k x m ++++-=∙∙将()1带入()2,得0)(2=-+∙∙x mw k x m 则 222w m k m mw k w n-=-=根据动量矩定理,有l mg kxa ml ⋅-=∙∙θθsin 2 又()()3sin 2θθθ≈=a x 联立()()()321得:22ml ka mgl w n -= 则 222221212121l m kagl m l m ka gl m w w f f n n --==代入Hz f kg m Hz f kg m 75.0,2;5.1,12211====,得:gl ka 32=所以,当系统为不稳定状态时,有2ka gl m s = 即kg m s 3=2-9解:假设物体受一个F 的力,则有Fl l F a F B ==1 即aFl F =1 22221111k F k F x a k Fl k F x ====2121ak Fl a l x x B ==22122k F a k Fl x x x B m +=+= 则 221212212⎪⎭⎫ ⎝⎛+=+==a l k k k k k F a k Fl F x F k m 则 ⎥⎥⎦⎤⎢⎢⎣⎡⎪⎭⎫ ⎝⎛+==22121a l k k m k k m k wn2-19解: a)cm s N cm s N v F c d /21.3/05.38.9∙=∙== b)091.08.998031360210021.322≈⨯⨯⨯===k g W c mk c ζ 3-25解:a )159.08.9392003.3782392220≈⨯⨯====g Wk c mk c c c ζ b )s rad s rad w w s rad s rad W kg m k w n d n 46.31867.31159.011867.313.3788.93920022=⨯-=-==⨯===ζc )012.1159.01159.021222≈-⨯=-=πζπζδd )T i i x x +=ln δ,则75.2012.1===+e e x x Ti i δ 2-31解:s rad s rad m k w n 9.4200048020===m s N m s N mw c n /19600/9.42000220∙=∙⨯⨯==1.01960019600===c c ζ srad s rad w w n d 8754.49.41.01122=⨯-=-=ζ s rad s rad w n 49.09.41.0=⨯=ζ∴系统自由振动时的位移方程为:()()()()()ϕϕϕϕζ+++-=+=+=--∙--t Ae t Ae t x t Ae t w Ae t x t t t d t w n 88.4cos 88.4)88.4sin(49.088.4sin sin 49.049.049.0又∵()()sm A A x A x 03.0cos 88.4sin 49.000sin 0=+-===∙ϕϕϕ∴0,6148.0==ϕcm A∴()t e t x t 88.4sin 6148.049.0-= 当288.4π=t 时,即s t 32.0=时,达到最大振幅,最大振幅为:cm cm e x 526.06148.032.049.0m ax =⨯=⨯-2-40解:a )16.01096.119622.627240=⨯⨯⨯===mk c c c ζ s rad s rad m k w n 101961096.14=⨯== 11010===n w w r m m k F X 3401081096.18.156-⨯=⨯==()()()()125.3116.02111211222222=⨯⨯+-=+-=r r M ζ∵M X X =0∴cm m MX X 5.2108125.330=⨯⨯==- b) πππ====10102n n w f w w r ()()()()112.016.0211211222222=⨯⨯+-=+-=ππζr r Mc) πππ310302====n n w f w w r ()()()[]()0114.0316.02311211222222=⨯⨯+-=+-=ππζr r M2-41解:a )若0=c ,则0=ζ()2211r M -=又s rad w /10=时,1=r∴∞==∞=0MX X Mb )若0=c ,则0=ζ,又π=r()()113.011112222=-=-=πr M c )若0=c ,则0=ζ,又π3=r ()()[]0113.0311112222=-=-=πr M阻尼的影响:阻尼会减小振幅;当激励频率与系统频率接近时,阻尼对振幅影响大;当激励频率与系统频率相差较大时,阻尼对振幅的影响不大。
第2章概念一、用欧拉图表示下列概念的外延关系1.A.苹果 B.苹果树 C. 果树 D.果园2.A.中国 B.亚洲 C.亚洲的国家 D.社会主义国家3.A.高等学校 B.湖南商学院 C. 湖南商学院北津学院 D.北京大学4. A.小说家 B.戏剧家 D.诗人 C. 文学家5.A.公里 B.米 C.厘米 D. 毫米6.A.桃花 B.水仙花 C.水稻 D.植物7.A.大学生 B.北京大学学生 C. 女共产党员 D.共产党员二、说出下列语句中划线部分的概念的种类1.中国北京市成为2008年奥运会的举办城市2.占世界人口四分之一的中国人民是勤劳勇敢的3.西沙群岛的海域内有丰富的资源4.谦虚是人的美德5.不管部长正在紧张地商量对策6.反对派陷入困境7.人贵有自知之明8.群众是真正的英雄,人民才是创造历史的真正动力9.中国是发展中的社会主义国家,属于第三世界。
10.杭州人是爱美的,谁不讲卫生,就不配做个杭州人。
三、下列各组概念是什么关系1.文学作品与抒情诗 2、有线广播与无线广播3. 革命者与反动派4.工业与重工业5. 平行四边形与菱形6. 概念与命题7.西藏高原与世界屋脊 8 教师与文艺理论家9. 研究生与留学生 10.京杭大运河与我国最长的运河四、对下列概念做一次概括和限制:散文鲸历史科学资本主义国家初等数学悲剧经典著作坦克车外交部机电产品五、下列句子作为定义是否正确,如果错误,请指出它违反了哪条规则,犯了什么错误1.所谓“警句”就是人们从生活矿藏中提炼出来的纯金。
2.概念就是对客观事物的反映。
3.主观主义就是主观地思考和处理问题。
4.整数就是带正号的自然数和带负号的自然数。
5.合同就是契约。
6.建筑是凝固的音乐。
六、下列作为划分是否正确,如果错误,请指出它违反了哪条规则,犯了什么错误?1.燃料工业可分为煤矿工业、石油工业、太阳能利用工业、原子能工业,以及天然气的加工工业等。
2.一年分春、夏、秋、冬四季。
第二章会计处理方法练习题一(一)目的:掌握会计确认的基本方法(1)根据上表中的资料,判断哪些项目分别属于资产要素、负债要素和所有者权益要素。
练习题一参考答案要点(1)资产要素的有:(2);(4);(5);(7);(9);(11);(12);(13);(14);(15);(16);(17);(18) 负债要素的有:(6);(8);(10);(19)所有者权益要素的有:(1);(3);(20)(2)负债表存货项目中。
严格来说,此处是不对的。
因为“生产成本”是费用类账户。
练习题二(二)目的:掌握权责发生制与收付实现制1.资料绿叶公司2005年10月份发生如下经济业务:(1)支付本月的水电费300元。
(2)预付下个月房屋租金2 000元。
(3)支付上月工商部门罚款500元。
(4)销售商品收入20 000元,款项尚未收到。
(5)支付上月购货款38 000元。
(6)采购员报销差旅费2 500元,退回多余现金500元(出差前预借3 000元)。
(7)收到上月销售货款500 000,存入银行。
2.要求分别根据权责发生制和现金收付制,确认和计算本月收入与费用(将结果填入下表)。
练习题二参考答案要点练习题三(三)目的:掌握会计确认的基本方法1.资料上扬公司2005年12月发生如下经济交易与事项:(1)10日,与甲公司签订购货合同,协议购买A材料50万元,约定合同签订之日起10日内预付购货定金10万元。
(2)12日,有一批产品完工验收入库,这批产品的生产成本为20万元。
(3)18日,根据购货合同预付甲公司购货定金10万元。
(4)20日,公司发生失窃事件,丢失现金5万元。
(5)25日,以银行存款预付下年度财产保险费3万元。
(6)28日,以银行存款支付本季度贷款利息费用9万元,其中前两个月已预提6万元。
(7)31日,计算出本月产品销售应缴纳的税金5万元,但尚未实际缴纳。
(8)31日,计算出本月应负担的工资费用15万元,其中管理人员5万元,生产工人10万元,公司每月的工资在下月上旬发放。
《数据库原理与应用》课后习题参考答案第一章作业参考答案1. 单选题 C C D B C2. 判断题对错错错对3填空题网状模型用户商业智能数据挖掘系统设计4简答题1)数据模型是指描述事物对象的数据组成、数据关系、数据约束的抽象结构及其说明。
数据模型是指描述事物对象的数据组成、数据关系、数据约束的抽象结构及其说明。
数据模型是指描述事物对象的数据组成、数据关系、数据约束的抽象结构及其说明。
3)数据约束:用于描述数据结构中数据之间的语义联系、数据之间的制约和依存关系,以及数据动态变化的规则。
主流数据库采用关系图模型。
数据库典型数据模型:层次数据模型网状数据模型关系数据模型其它数据模型(如对象数据模型、键值对数据模型、列式数据模型。
)2)数据库——是一种依照特定数据模型组织、存储和管理数据的文件,数据库文件一般存放在辅助存储器以便长久保存。
数据库具有如下特点:数据不重复存放;提供给多种应用程序访问;数据结构独立于使用它的应用程序;对数据增、删、改、检索由统一软件进行管理和控制。
3)数据库(Database)是一种依照特定模型组织、存储和管理数据的数据结构。
在数据库中,不仅存放了数据,而且还存放了数据与数据之间的关系。
数据库内部元素:用户表:用户在数据库中创建的数据库表;系统表:数据库中系统自带的数据库表;视图:数据库中用于对数据进行查询的虚拟表;索引:数据库中用于加快数据查询的索引项;约束:数据库中对数据、数据关系施加的规则;存储过程:数据库内部完成特定功能处理的程序;触发器:数据库内部因数据变化自动执行的一类存储过程等等4)数据库系统包括:用户、数据库应用程序、数据库管理系统和数据库四个组成要素。
5)数据库管理系统(Database Manage System,DBMS )——是一种专门用来创建数据库、管理数据库、维护数据库,并提供对数据库访问的系统软件。
数据库管理系统(DBMS)主要功能:创建数据库和表; 创建支持结构,如索引等; 读取数据库数据 ; 修改数据库数据; 维护数据库结构; 执行规则; 并发控制; 提供安全性;执行备份和恢复等等第二章作业参考答案1 单选题 C B D A A2. 判断题对对错对错3填空题全外连接数据约束候选键用户定义完整性4简答题外码键1)在关系模型中,使用“关系”来存储“实体”中的数据。
第⼆章作业参考答案第⼆章1.请分别画出⼆进制⽐特流01001011的NRZ、Manchester和Difference Manchester编码。
约定:对于不归零码低电平代表0,⾼电平代表1;对于曼彻斯特编码由⾼到低电平的跳变代表0,从低到⾼电平的跳变代表1;对于差分曼彻斯特编码每位开始有跳变代表0,反之代表1。
2.数字数据的模拟信号编码中数字调制的三种基本形式。
移幅键控法ASK、移频键控法FSK、移相键控法PSK3.PCM的步骤及⽅法PCM的典型应⽤就是语⾳数字化。
PCM主要包括:采样、量化、编码。
采样:以采样定理为基础,对连续变化的模拟信号进⾏周期性采样,利⽤有限个采样值代替连续变化的模拟信号。
只要采样频率⼤于等于有效信号最⾼频率或其带宽的⼆倍,则采样值便可包含原始信号的全部信息,利⽤低通滤波器可以从这些采样中重新构造出原始信号。
量化:使连续模拟信号变为时间轴上的离散值,将采样样本按照量化级取值。
编码:将离散值变成⼀定位数的⼆进制数码。
量化级越多,量化精度越⾼,需要的⼆进制位数越多。
4.什么是⽐特同步和帧同步?什么是同步通信和异步通信,⼆者的区别是什么?⽐特同步⼜叫位同步,是数据通信中最基本的同步⽅式。
⽐特同步是指接收端将时钟调整到和发送端完全⼀样,当接收到⽐特流后,在正确的时刻对收到的信号根据事先已约定好的规则进⾏判决,从⽽将发送端发送的每⼀个⽐特都正确地接收下来。
(正确时刻:通常就是在每⼀个⽐特的中间位置判决规则:如,电平若超过⼀定数值则为1,否则为0)。
数据通常以帧为单位进⾏发送。
帧同步是指接收端应当能从收到的⽐特流中准确地区分出⼀帧的开始和结束的位置。
帧同步⼜叫帧定界。
同步通信是每发送完⼀个帧进⾏⼀次同步。
这个帧中通常含多个字符、多个字节或不定长的较多的⽐特,即同步通信中⼀次传输的数据量⼀般⽐较⼤。
同步通信要求发送时钟与接收时钟应保持完全⼀致,以免发⽣太⼤时钟误差的积累,从⽽产⽣接收错误。
2-2:51系列单片机引脚中有多少I/O口线?它们与单片机外部地址总线和数据总线有什么关系?地址总线和数据总线各有多少条?答:51系列单片机引脚中有32条I/O口线。
单片机外部地址总线、数据总线与I/O口线是共用引脚的关系。
地址总线有16条,数据总线有8条。
2-3:51系列单片机的EA、ALE、PSEN信号各自的功能是什么?答:EA:EA为片外程序存储器选用端。
该引脚有效(低电平)时,选用片外程序存储器,否则单片机选用片内程序存储器;ALE:地址锁存有效信号输出端。
ALE在每个机器周期内输出两个脉冲。
在访问片外程序存储器期间,下降沿用于控制锁存P0输出的低8位地址;在不访问片外程序存储器期间,可作为对外输出的时钟脉冲或用于定时目的。
但要注意,在访问片外数据存储器期间,ALE脉冲会跳空一个,此时作为时钟输出就不妥了(详见2.3.3节CPU时序);PSEN:片外程序存储器读选通信号输出端,低电平有效。
当从外部程序存储器读取指令或常数期间,每个机器周期该信号两次有效,以通过数据总线P0口读回指令或常数。
2-5:51系列单片机的程序状态字PSW中存放什么信息?其中的OV标志在什么情况下被置位?置位时表示什么意义?答:PSW的各位定义如下:PSW7PSW6PSW5PSW4PSW3PSW2PSW1PSW0Cy AC F0RS1RS0OV_PCy:进位标志位;AC:辅助进位位;F0:用户标志位;RS1、RS0:寄存器选择位;OV:溢出标志位;P:奇偶标志位(偶校验);PSW1:未定义。
OV在运算结果超出了累加器表示的有符号数的数值范围(以补码形式表示一个有符号数的范围为-128~+127)时被置位。
OV=1反映运算结果超出了累加器表示的有符号数的数值范围,如果运算是有符号数的运算,则计算结果不能用。
2-8:决定程序执行顺序的寄存器是那个?它是多少位寄存器?它是不是特殊功能寄存器?答:决定程序执行顺序的寄存器是PC,它是16位寄存器,它不是特殊功能寄存器。
4题:文法G的产生式集合如下,试给出句子aaabbbccc的一个推导和一个归约S→aBC | aSBCCB→BCaB→abbB→bbbB→bbC→bccC→ccC→cc6题:文法G的产生式集合如下,请给出G中每个语法范畴代表的集合S→aSa|aaSaa|aAaA→bA|bbbA|bBB→cB|cCC→ccC|DDD→dD|d7题: 给定如下文法,请用自然语言描述它们定义的语言(4)S→aB|bAA→a|aS|BAAB→b|bS|ABB8题: 设∑={0,1}, 请给出∑上下列语言的文法(3)所有以11开头, 以11结尾的串;(6)所有长度为偶数的串9题: 设∑={a,b,c}, 构造下列语言的文法(2)L2={a n b m|n,m≥1}(3)L3={a n b n a n|n≥1}(4)L4={a n b m a k|n,m,k≥1}(6)L6={xwx T| x,w∈∑+}(7)L7={w | w = w T, w∈∑+}补充:对给定RGS→abA|baBA →abA|abB →baB|ba构造等价文法,新文法的产生式形如:A→a,A→aB,A,B∈V,a∈T参考答案4、文法G 的产生式集合如下,试给出句子aaabbbccc 的一个推导和一个归约S →aBC | aSBCCB →BCaB →abbB →bbbB →bbC →bccC →ccC →cc答:S ⇒aSBC⇒aaSBCBC⇒aaaBCBCBC⇒aaabCBCBC⇒aaabBCCBC⇒aaabbCCBC⇒aaabbCBCC⇒aaabbBCCC⇒aaabbbCCC⇒aaabbbccC⇒aaabbbccc6、文法G 的产生式集合如下,请给出G 中每个语法范畴代表的集合S →aSa|aaSaa|aAaA →bA|bbbA|bBB →cB|cCC →ccC|DDD →dD|d解:(注意方法)Set(D)= {d m | m ≥1}set(C)= {c 2n d m | n ≥0,m ≥2}(注意:d 只要大于2,不一定是偶数,可以没有c)set(B)= {c n d m | n ≥1,m ≥2}set(A)= {b k c n d m | k ≥1,n ≥1,m ≥2}set(S)= {a p b k c n d m a p | p ≥1,k ≥1,n ≥1,m ≥2}问题:不可写作:S={……}讨论:***** n nn m nn m x n n m x nn m x y nS a Aa a b Ba a b c Ca a b c DDa a b c d a ⇒⇒⇒⇒⇒{|,,1,2}n m x y n S a b c d a n m x y ∴=≥≥ ------06级张言飞7(4)、给定如下文法,请用自然语言描述它们定义的语言S→aB|bAA→a|aS|BAAB→b|bS|ABB解:该文法定义字母表∑={a,b}上的所有a和b的个数相等的字符串构成的语言。
《计算机网络》课程作业参考答案(计算机网络(2),吴功宜)第一章作业参考答案第二章作业参考答案2.计算机网络采用层次结构的模型有什么好处?答:采用层次结构模型的好处有:1)各层之间相互独立2)灵活性好3)各层都可采用最合适的技术来实现,各层实现技术的改变不影响其他层4)易于实现和维护5)有利于促进标准化3.ISO在制定OSI参考模型时对层次划分的主要原则是什么?答:制定OSI参考模型时对层次划分的主要原则是:1)网络中各结点都具有相同的层次2)不同结点的同等层具有相同的功能3)不同结点的同等层通过协议来实现对等层之间的通信4)同一结点内相邻层之间通过接口通信5)每个层可以使用下层提供的服务,并向其上层提供服务5.请描述OSI参考模型中数据传输的基本过程答:1)应用进程A的数据传送到应用层时,加上应用层控制报头,组织成应用层的服务数据单元,然后传输到表示层2)表示层接收后,加上本层控制报头,组织成表示层的服务数据单元,然后传输到会话层。
依此类推,数据传输到传输层3)传输层接收后,加上本层的控制报头,构成了报文,然后传输到网络层4)网络层接收后,加上本层的控制报头,构成了分组,然后传输到数据链路层5)数据链路层接收后,加上本层的控制信息,构成了帧,然后传输到物理层6)物理层接收后,以透明比特流的形式通过传输介质传输出去6.试说明报头在网络数据传输中的作用报头包含了控制信息,例如序列号,使得该层以下即使没有维护顺序关系,目标机器的对应层也仍然可以按照正确的顺序递交信息,在有的层上,头部还可以包含信息大小、时间和其他控制字段7.试比较面向连接服务和无连接服务的异同点相同点:1)两者对实现服务的协议的复杂性与传输的可靠性有很大的影响2)在网络数据传输的各层都会涉及这两者的问题不同点:1)面向连接服务的数据传输过程必须经过连接建立、连接维护与释放连接的3个过程,而无连接服务不需要2)面向连接服务在数据传输过程中,各分组不需要携带目的结点的地址,而无连接服务要携带完整的目的结点的地址3)面向连接服务传输的收发数据顺序不变,传输可靠性好,但通信效率不高,而无连接服务目的结点接受数据分组可能乱序、重复与丢失的现象,传输可靠性不好,但通信效率较高9.请比较OSI参考模型与TCP/IP参考模型的异同点相同点:1)都是分层的2)在同层确定协议栈的概念3)以传输层为分界,其上层都是传输服务的用户不同点:1)在物理层和数据链路层,TCP/IP未做规定2)OSI先有分层模型后有协议规范,不偏向任何特定协议,具有通用性,TCP/IP先有协议后有模型,对非TCP/IP网络并不适用3)在通信上,OSI非常重视连接通信,而TCP/IP一开始就重视数据报通信4)在网络互联上,OSI提出以标准的公用数据网为主干网,而TCP/IP专门建立了互联网协议IP,用于各种异构网的互联第三章作业参考答案2.通过比较说明双绞线、同轴电缆与光缆3种常用传输介质的特点。
第⼆章习题答案(作业)第⼆章习题答案2(1)为什么计算机内部采⽤⼆进制表⽰信息?既然计算机内部所有信息都⽤⼆进制表⽰,为什么还要⽤到⼗六进制和⼋进制数?参考答案:(略)2(7)为什么计算机处理汉字时会涉及到不同的编码(如,输⼊码、内码、字模码)?说明这些编码中哪些是⽤⼆进制编码,哪些不是⽤⼆进制编码,为什么?参考答案:(略)3.实现下列各数的转换。
(1)(25.8125)10= (?)2= (?) 8= (?) 16(2)(101101.011)2 = (?)10= (?) 8= (?) 16= (?) 8421(3)(0101 1001 0110.0011)8421 = (?)10= (?) 2= (?) 16(4)(4E.C)16 = (?)10= (?) 2参考答案:(1)(25.8125)10 = (1 1001.1101)2 = (31.64) 8 = (19.D) 16(2)(101101.011)2 = (45.375)10 = (55.3) 8 = (2D.6) 16 = (0100 0101.0011 0111 0101) 8421(3)(0101 1001 0110.0011)8421 = (596.3)10 = (1001010100.01001100110011…) 2 = (254.4CCC…) 16 (4)(4E.C)16 = (78.75)10 = (0100 1110.11) 24.假定机器数为8位(1位符号,7位数值),写出下列各⼆进制数的原码和补码表⽰。
+0.1001,–0.1001,+1.0,–1.0,+0.010100,–0.010100,+0,–0参考答案:(后⾯添0)原码补码+0.1001:0.1001000 0.1001000–0.1001: 1.1001000 1.0111000+1.0:溢出溢出–1.0:溢出 1.0000000+0.010100:0.0101000 0.0101000–0.010100: 1.0101000 1.1011000+0:0.0000000 0.0000000–0: 1.0000000 0.00000005.假定机器数为8位(1位符号,7位数值),写出下列各⼆进制数的补码和移码表⽰。
材料加工第2章作业参考答案第2章作业参考答案1.液态金属成形的一般过程是什么?结合其工艺特点,分析了该工艺的优缺点及适用范围。
液态金属成形是将液态金属注入铸型中使之冷却、凝固而形成零件的方法,一般工艺过程包括模样制造、铸型制造、金属熔化与充型、凝固等关键步骤。
铸造为液体成形具有不受零件大小/薄厚/复杂程度限制、可制造各种合金铸件、相对焊接和塑性成形而言尺寸精度高、成本低等优点;但需要造型、浇注等步骤,工艺相对繁琐,工件承载能力不如锻件,同时工作环境差,粉尘多。
铸造适用于绝大部分零件,适用范围广。
(工艺过程三点明确。
明确分析优点、缺点和适用范围,同时结合其工艺特点)2.铸造合金流动性差对铸件质量有什么影响?当浇注过程中熔融金属的过热温度和其他工艺条件相同时,初步判断ht350和HT200合金中哪个具有良好的流动性,为什么?液态金属的填充性能如何?它与哪些因素有关?流动性差,金属充型能力差,铸件成形质量降低;液态金属中的气体夹杂物不易浮出,易产生气孔、夹杂;对缩孔和裂纹的充填和愈合作用减弱,易产生缩孔、裂纹等缺陷。
HT200具有良好的流动性。
HT200和ht350的碳含量分别为3.0~3.6%和2.7~3.2%。
由于HT200的成分更接近共晶点,固液范围小,熔点低,流动性好(固液两相区越大,结晶温度范围越大,枝晶越发达,流动性越差)。
(流动性的影响、判断和原因)充型能力:指液态金属填充型腔,获得形状完整、轮廓清晰、完好的铸件的能力。
充模能力首先取决于合金的流动性,还受模具性能(如模具储热系数、模具温度、模具中气体)、浇注条件(如浇注温度、充模头、浇注系统结构)和铸件结构(如模量、复杂度等)的影响。
(填充能力定义,四个影响因素)3收缩率和孔隙度之间的区别是什么?哪种合金容易出现气孔缺陷?如何采取措施防止生产中出现缩孔缺陷?缩孔缩松的区别在形态,而取决于凝固方式,当铸件以逐层凝固方式凝固时,液态金属的流动使收缩集中到铸件最后凝固部分形成集中孔,即缩孔;而铸件以体积凝固方式凝固时,枝晶间隙的液体得不到补缩而形成小的孔洞,即缩松。