对数的典型例题1
- 格式:wps
- 大小:129.37 KB
- 文档页数:7
4.2对数的运算 测试卷一、单选题1.某科研小组研发一种水稻新品种,如果第1代得到1粒种子,以后各代每粒种子都可以得到下一代15粒种子,则种子数量首次不少于10万粒的是( )(参考数据:lg 20.3≈,lg30.48≈)A .第5代种子B .第6代种子C .第7代种子D .第8代种子2.在不考虑空气阻力的情况下,火箭的最大速度(v 单位:km /s )和燃料的质量M (单位:kg )、火箭(除燃料外)的质量m (单位:kg )的函数关系是lg 1M v a m ⎛⎫=+ ⎪⎝⎭(a 是参数).当质量比Mm比较大时,函数关系中真数部分的1可以忽略不计,按照上述函数关系,将质量比Mm从2000提升至50000,则v 大约增加了(附:lg 20.3010≈)( )A .52%B .42%C .32%D .22%3.神舟十五号载人飞船搭载宇航员费俊龙、邓清明和张陆进入太空,在中国空间站将完成为期6个月的太空驻留任务,期间会进行很多空间科学实验.太空中的水资源极其有限,要通过回收水的方法制造可用水.回收水是将宇航员的尿液、汗液和太空中的水收集起来经过特殊的净水器处理成饮用水,循环使用.净化水的过程中,每增加一次过滤可减少水中杂质20%,要使水中杂质减少到原来的1%以下,则至少需要过滤的次数为( )(参考数据lg20.3010=) A .17B .19C .21D .234.若6log 3m =,则6log 2的值为( ) A .1m - B .3C .1m +D .()6log 1m +5.若31log 5m=,则255m m -+的值为( ) A .283 B .103C .245D .2656.已知0.47710.301103,102≈≈,设1015M =,则M 所在的区间为( )A .()91010,10B .()101110,10C .()111210,10D .()121310,107.已知函数()()e ,0ln ,0x x f x ax x ⎧≥⎪=⎨<⎪⎩,若()()00f f b +=,则ab 的值为( )A .2eB .eC .2e D .1e8.已知ln 20.69≈,设lg82710a =,53.13.12b =,10933c =,则( )A .b a c >>B .a c b >>C .a b c >>D .b c a >>二、多选题9.下列运算正确的是( ) A .lg5lg21+= B .ln πe π= C .42log 32log 3=D .2lg5lg2log 5÷=10.下列指数式与对数式互化正确的是( ) A .0e 1=与ln10=B .2log 42=与242=C .2511log 52=-与121255-= D .133=与3log 31=11.设函数21,2()2log (1),2xx f x x x ⎧⎛⎫<⎪ ⎪=⎨⎝⎭⎪-≥⎩,若()1f x =,则x 的取值可能是( ) A .0 B .3 C .1- D .212.下列说法正确的是( ) A .1.10.9a a ->的充要条件是a <0 B .16的4次方根等于2C .235log 9log 125log 1624⋅⋅= D.函数()f x =()0,∞+三、填空题13.已知2log 3,l 0(og ,1)a a m n a a ==>≠,则m n a +的值为_________. 14.已知5614a =,试用a 表示7log 56为______. 15.已知10,lg 2b a a b =+=,则ab =______.16.()f x 是定义在R 上的奇函数,且满足()()110f x f x --+=,又当(]0,1x ∈时,()31x f x =-,则131log 72f ⎛⎫= ⎪⎝⎭__________. 四、解答题 17.解答下列问题:(1)用ln ,ln ,ln x y z表示(2)已知23x y M ==,且231x yxy+=,求M 的值. 18.计算下列各式的值:(1)0 1.50.53191223481--⎛⎫⎛⎫⎛⎫+⨯- ⎪ ⎪ ⎪⎝⎭⎝⎭⎝⎭; (2)ln 623lg 5log 3?log 4lg 2e +++. 19.(1)计算320log 2111lg 25lg 23292-⎛⎫⎛⎫+++- ⎪ ⎪⎝⎭⎝⎭ (2)已知lg lg 1x y +=, 求12x y+的最小值.20.已知函数()lg 52lg 52x x x xf x a --=-++(a 为常数).(1)当1a =,求12f ⎛⎫- ⎪⎝⎭的值;(参考数据:lg30.5=,lg50.7=)(2)若函数()f x 为偶函数,求()f x 在区间[]2,1--上的值域.21.定义在R 的奇函数()f x 和偶函数()g x 满足()()e xf xg x +=.(1)求()f x 和()g x 的解析式;(2)当()0,x ∈+∞时,()()2g x kf x ≥恒成立,求实数k 的取值范围;22.已知函数()234x x xf x -+=,()2log g x x =.(1)若关于x 的方程()g x n =有两个不等实根α,()βαβ<,求αβ的值; (2)是否存在实数a ,使对任意[]1,2m ∈,关于x 的方程()()()244310g x ag x a f m -+--=在区间1,48⎡⎤⎢⎥⎣⎦上总有3个不等实根1x ,2x ,3x ,若存在;求出实数a 的取值范围;若不存在,说明理由.参考答案1.B【分析】设第x 代种子的数量为115x -,根据题意列出不等式,对不等式化简代入数值即可得到结果.【详解】设第x 代种子的数量为115x -,由题意得151510x -≥,得515log 101x ≥+.因为5515lg1055log 101111 5.2lg15lg 3lg 5lg 31lg 2+=+=+=+≈++-, 故种子数量首次不少于10万粒的是第6代种子. 故选:B. 2.B【分析】质量比Mm提升后的最大速度与提升前的最大速度相除,即可算出增加的百分比. 【详解】当质量比Mm为2000时,最大速度1lg 2000v a =, 当质量比Mm为50000时,最大速度2lg 50000v a =, 21lg 500004lg 55lg 2 1.42lg 20003lg 23lg 2v a v a +-===≈++,()2111.42142%v v v ≈=+, 所以将质量比Mm从2000提升至50000,则v 大约增加了42%. 故选:B 3.C【分析】由指数、对数的运算性质求解即可 【详解】设过滤的次数为n ,原来水中杂质为1, 则由题意得(120%)1%n -<,即10.8100n<, 所以lg0.82n <-, 所以2220.6lg0.813lg2n ->=≈-, 因为*n ∈N ,所以n 的最小值为21, 则至少要过滤21次. 故选:C. 4.A【分析】根据对数的运算性质可得出6log 2的值.【详解】66666log 2log log 6log 313m ==-=-. 故选:A. 5.A【分析】先由换底公式将m 表示为5log 3,再将m 代入255m m -+,再用指数的运算法则写为底数为5的式子,再用对数恒等式计算出结果即可. 【详解】解:由题知31log 5m=, 553511log 3log 5log 5log 3m ∴===,2255155m mm m -=+∴+ 55log 3log 32155=+55log 9log 3155=+193=+283=. 故选:A 6.C【分析】由题知0.4771lg3,lg 20.301≈≈,进而得()()lg 10lg3lg510lg31lg211.761M =+=+-=,故()1111211.7610010,1M ≈∈.【详解】解:因为0.47710.301103,102≈≈,所以0.4771lg3,lg 20.301≈≈, 因为1015M =,所以()10lg lg1510lg1510lg3lg5M ===+.因为lg3lg5lg31lg 20.477110.301 1.1761+=+-=+-=, 所以()lg 10lg3lg511.761M =+=,所以()1111211.7610010,1M ≈∈. 故选:C . 7.D【分析】由()01f =代入()()00f f b +=可知0b <,根据()()ln f b ab =可得()ln 1ab =-,从而求出ab .【详解】由()e ,0ln ,0x x f x ax x ⎧≥=⎨<⎩,得()01f =,又由()()00f f b +=,得()1f b =-,可知0b <,所以()()ln f b ab =,所以()1ln 0ab +=,即()ln 1ab =-,解得1eab =.故选:D. 8.A【分析】根据指数与对数的运算,化简,,a b c 可得出a c >,根据指数函数以及幂函数的单调性即可得出b a >.【详解】由已知可得,lg82727313310883a ===+>+, 1315339.1.. 1.3.1 3.1 3.122b =⨯=.1313.1.93.1 3.13.122⎛⎫⎛⎫=⨯ ⎪ ⎪⎝>⎭⎝⎭333.1322a ⎛⎫⎛⎫>>= ⎪ ⎪⎝⎭⎝⎭, 1091013333333c a ==+<+<. 所以,b a c >>. 故选:A. 9.ABD【分析】根据对数的运算法则及对数恒等式,换底公式即可选出选项. 【详解】解:由题,关于选项A:()lg5lg2lg 52lg101+=⨯==, 故选项A 正确;根据对数恒等式可知,选项B 正确; 关于选项C: 224222log 3log 31log 3log 3log 2lo 422g ===, 故选项C 错误; 根据换底公式可得: 2lg 5log 5lg5lg2lg 2==÷, 故选项D 正确. 故选:ABD 10.ACD【分析】根据指对数的运算即可判断.【详解】根据任何不为0的数的0次方为1,真数为1,对数运算为0,故A 正确,224=,2416=,故B 错误, ()1122212555--==,故C 正确, 133=,故D 正确.故选:ACD. 11.AB【分析】根据分段函数的定义分类讨论求值即可.【详解】若2x <,则1()1,2xf x ⎛⎫== ⎪⎝⎭解得0x =,满足题意;若2x ≥,则2()log (1)1,f x x =-=解得3x =,满足题意; 故选:AB. 12.AC【分析】根据充要条件的定义,幂函数,指数函数的单调性判断A ;由n 次方根的概念、对数运算性质判断B 、C ;由指数函数的单调性可判断D .【详解】对选项A :由1.10.9aa->得9111010a a ⎛⎫>⎪ ⎛⎫⎝⎝⎭⎪⎭ ,即099991100100a ⎛⎫⎛⎫>= ⎪ ⎪⎝⎭⎝⎭,<0a ∴,当0a <时,ay x =在()0,∞+上递减,∴ 101.10.99aa a -⎛⎫>= ⎪⎝⎭,故A 正确;对选项B :16的4次方根为4441622±±±,故B 错误;对选项C :223323545l 391o 25og log log log log g 1652l ⋅⋅=⋅⋅235234log 3log 5log 2=⨯⨯⋅⋅⋅lg 3lg 5lg 224lg 2lg 3lg 5=⋅⋅⋅24=,故C 正确; 对选项D :01()22xf x ≥==,∴ 值域为[)1,+∞,故D 错误.故选:AC . 13.6【分析】由对数的运算法则可得log 6a m n +=,进而可得log 66a m n a a +==. 【详解】解:因为2log 3,l 0(og ,1)a a m n a a ==>≠, 所以log 3log 2log 6a a a m n +=+=, 所以log 66a m n a a +==. 故答案为:6 14.231a - 【分析】指对互化可得a ,由换底公式可得7log 2,由77log 5613log 2=+可得答案.【详解】因为5614a=,所以775677log 14log 21log 14log 563log 21+===+a ,可得71log 231-=-a a , ()77712log 56log 7813log 2133131-=⨯=+=+⨯=--a a a . 故答案为:231a -. 15.10【分析】对等式10b a =两边取对数可得lg 1b a =,又lg 2a b +=,所以,lg b a 为方程2210x x -+=的解,即可求得,a b ,即可得解.【详解】由10b a =可得lg 1b a =,又lg 2a b +=, 所以,lg b a 为方程2210x x -+=的解, 所以1,lg 1b a ==,10a =, 所以10ab =, 故答案为:1016.18-##0.125-【分析】由()()110f x f x --+=结合()f x 为奇函数,可得()f x 的周期为4,1331log log 7272=,而33log 724<<,则304log 721<-<,然后结合函数解析式求解即可. 【详解】因为()f x 为奇函数,所以()()f x f x -=-, 因为()()110f x f x --+=,所以()()()()1111f x f x f x f x ⎡⎤+=-=---=--⎣⎦, 所以()()2f x f x +=-,所以()()()42f x f x f x +=-+=, 所以()f x 的周期为4, 1113331log log 72log 7272--==, 因为343723<<,所以33log 724<<, 所以34log 723-<-<-, 所以304log 721<-<,因为当(]0,1x ∈时,()31xf x =-,()f x 的周期为4的奇函数,所以()1331log log 7272f f ⎛⎫= ⎪⎝⎭()3log 72f =-- ()34log 72f =--()34log 7231-=--34log 72313⎛⎫=-- ⎪⎝⎭ 8111728⎛⎫=--=- ⎪⎝⎭,故答案为:18-17.(1)11ln 4ln ln 32x y z +-;(2)72.【分析】(1)根据对数的运算公式化简即可;(2)由题意可得23log ,log x M y M ==,再根据换底公式可得11log 2,log 3,M M x y==由231x y xy +=,可得231y x+=,代入计算即可. 【详解】(1)解:因为43443311ln ln 4ln ln 32xy xy z x y z x y z z=-=-+-; (2)解:因为23x y M ==,所以23log ,log x M y M ==, 所以11log 2,log 3,M M x y == 又因为231x yxy+=, 即231y x+=, 所以2log 33log 2log 721M M M +==, 所以72M =. 18.(1)2527(2)9【分析】(1)根据有理数指数幂的运算法则即可求解; (2)利用对数的运算法则和对数的换底公式即可求解.【详解】(1)0 1.50.53191223481--⎛⎫⎛⎫⎛⎫+⨯- ⎪ ⎪⎪⎝⎭⎝⎭⎝⎭31311()829-=+⨯-2527= (2)ln 623lg 5log 3?log 4lg 2e +++lg 3lg 4lg 5lg 26lg 2lg 3=+⨯++ lg5lg 226=+++9=19.(1)4【分析】(1)利用指数幂的运算、对数的运算可得答案;(2)由lg lg 1x y +=可得0,0,10x y xy >>=,再由基本不等式可得答案.【详解】(1)320log 2111lg 25lg 23292-⎛⎫⎛⎫+++- ⎪ ⎪⎝⎭⎝⎭lg5lg 2241=+++-5124=+-=;(2)因为lg lg 1x y +=,所以0,0,10x y xy >>=,所以12+≥x y当且仅当12x y =即==x y 12x y +.20.(1)0.3 (2)999lg ,lg 11101⎡⎤⎢⎥⎣⎦【分析】(1)结合指数和对数运算公式计算;(2)根据偶函数的性质列方程求a ,判断函数的单调性,利用单调性求值域.【详解】(1)当1a =时,()lg 254x x f x -=-,此时1122119lg 254lg 2lg 2lg3lg510.70.3255f -⎛⎫-=-=-==-=-= ⎪⎝⎭(2)函数()lg 52lg 52x x x xf x a --=-++的定义域为()(),00,∞-+∞,()110110lg 52lg 52lg lg 55x xx x x xx x f x a a ---+-=-++=+()lg 110lg5lg 110lg5x x x x a =--++- ()101101lg 52lg 52lg lg 22x x x x x x x xf x a a ---+=-++=+ ()lg 101lg2lg 110lg2x x x x a =--++- 由偶函数的定义得恒有()()=f x f x -即:lg5lg5lg 2lg 2x x x x a a --=--也就是恒有()lg2lg5lg5lg2x x x xa -=-,所以1a =- 当[]2,1x ∈--时,()()()1102lg 25lg 52lg lg 1101101x x x x xx x f x ---⎛⎫=--+==-+ ⎪++⎝⎭, 因为函数101x y =+为[]2,1--上的增函数,所以()f x 在[]2,1--单调递减,∴[]2,1x ∈--,()999lg ,lg 11101f x ⎡⎤∈⎢⎥⎣⎦故()f x 在[]2,1--上值域999lg ,lg 11101⎡⎤⎢⎥⎣⎦. 21.(1)()e e 2x x f x --=,()e e 2x xg x -+=; (2)22k ≤(3)证明见解析,()00ln 2x x -<.【分析】(1)由已知可得()()e x f x g x --+=,与()()e x f x g x +=联立即可解出()f x 和()g x 的解析式;(2)由已知可得()22e e e e x x x x k --+≥-,即()()2e e 2e e x x x x k ---+≥-.令e e x x t -=-,可得只需2min2t k t ⎛⎫+≤ ⎪⎝⎭即可,根据基本不等式即可求出; (3)求出()1e x h x x=-,可知0x >.由函数的单调性以及零点的存在定理可知,即可证明存在唯一零点.由()00h x =可得001e x x =,根据对数运算可得001ln x x =.作差可得()()20000ln 2ln 2x x x x --=-+,由20021x x -+<,即可得出()00ln 2x x -<. 【详解】(1)解:因为()()e x f x g x +=,①所以()()e xf xg x --+-=. 因为()f x 是奇函数,()g x 是偶函数,所以()()e x f x g x --+=,②①-②得()e e 2x xf x --=, ①+②得()e e 2x xg x -+=. (2)解:不等式()()2g x kf x ≥化为()22e e e e x x x x k --+≥-,即()()2e e 2e e x x x x k ---+≥-,令e e x x t -=-,因为()0,x ∈+∞,所以0t >, 故不等式22t kt +≥在()0,t ∈+∞上恒成立,所以2min 2t k t ⎛⎫+≤ ⎪⎝⎭, 因为()0,t ∈+∞,所以222t t t t+=+≥2t t =,即0t =时等号成立,所以k ≤22.(1)1αβ=;(2)1411,53⎛⎤ ⎥⎝⎦. 【分析】(1)根据对数运算求得αβ的值.(2)先求得()f m 的取值范围,设为p ,构造函数()24431h t t at a =-+-,将问题转化为:对任意[]1,2p ∈,关于t 的方程()h t p =在区间[]0,3上总有2个不相等的实数根12,t t (12t t <),且()1t g x =有两个不相等的实数根,()2t g x =只有一个根,由此列不等式组来求得a 的取值范围.【详解】(1)依题意关于x 的方程()2log g x x n ==有两个不等实根α,()βαβ<, 所以22222log log ,log log 0,log 0,1αβαβαβαβ-=+===.(2)()23443m m m m f m m-+==+-,()f m 在[]1,2上递减,所以()()()21f f m f ≤≤, 所以()[]1,2f m ∈,设()p f m =,则[]1,2p ∈.由于()g x 在1,18⎡⎤⎢⎥⎣⎦上递减,在[]1,4上递增,且()()13,10,428g g g ⎛⎫=== ⎪⎝⎭,124g ⎛⎫= ⎪⎝⎭. 令()t x g =,则当(]0,2t ∈时,方程()t x g =有两个不相等的实数根,且两个根的积为1;当(]{}2,30t ∈⋃时, 方程()t x g =有且仅有一个根,且这个根在11,84⎡⎫⎪⎢⎣⎭内或为1. 令()24431h t t at a =-+-,原问题等价于:对任意[]1,2p ∈,关于t 的方程()h t p =在区间[]0,3上总有2个不相等的实数根12,t t (12t t <),且()1t g x =有两个不相等的实数根,()2t g x =只有一个根.则12023t t <≤<≤,所以()()()03122155133592h a h a h a ⎧=->⎪=-<⎨⎪=-≥⎩,解得141153a <≤, 【点睛】若函数()()0k f x x k x =+>,则()f x 在(k 上递减,在),k +∞上递增.。
计算题1、lg 5·lg 8000+06.0lg 61lg )2(lg 23++. 2、 lg 2(x +10)-lg(x +10)3=4.3、23log 1log 66-=x .4、9-x -2×31-x =27.5、x )81(=128. 6、5x+1=123-x . 7、10log 5log )5(lg )2(lg 2233++·.10log 18 8、 (1)lg 25+lg2·lg50; (2)(log 43+log 83)(log 32+log 92).9、求121log 8.0--=x x y 的定义域.10、log 1227=a,求log 616.11、已知f(x)=1322+-x x a ,g(x)=522-+x x a (a >0且a ≠1),确定x 的取值范围,使得f(x)>g(x).12、已知函数f(x)=321121x x ⎪⎭⎫ ⎝⎛+-. (1)求函数的定义域;(2)讨论f(x)的奇偶性;(3)求证f(x)>0.13、求关于x 的方程a x +1=-x 2+2x +2a(a >0且a ≠1)的实数解的个数. 14、求log 927的值.15、设3a =4b =36,求a 2+b1的值. 16、log 2(x -1)+log 2x=117、4x +4-x -2x+2-2-x+2+6=018、24x+1-17×4x +8=019、22)223()223(=-++-x x ±220、01433214111=+⨯------x x21、042342222=-⨯--+-+x x x x22、log 2(x -1)=log 2(2x+1)23、log 2(x 2-5x -2)=224、log 16x+log 4x+log 2x=725、log 2[1+log 3(1+4log 3x)]=126、6x -3×2x -2×3x +6=027、lg(2x -1)2-lg(x -3)2=228、lg(y -1)-lgy=lg(2y -2)-lg(y+2)29、lg(x 2+1)-2lg(x+3)+lg2=030、lg 2x+3lgx -4=0部分答案2、解:原方程为lg 2(x +10)-3lg(x +10)-4=0,∴[lg(x +10)-4][lg(x +10)+1]=0.由lg(x +10)=4,得x +10=10000,∴x=9990.由lg(x +10)=-1,得x +10=0.1,∴x=-9.9.检验知: x=9990和-9.9都是原方程的解.3、解:原方程为36log log 626=x ,∴x 2=2,解得x=2或x=-2. 经检验,x=2是原方程的解, x=-2不合题意,舍去.4、解:原方程为2)3(x --6×3-x -27=0,∴(3-x +3)(3-x -9)=0.∵3-x +3≠0,∴由3-x -9=0得3-x =32.故x=-2是原方程的解.5、 解:原方程为x 32-=27,∴-3x=7,故x=-37为原方程的解. 6、解:方程两边取常用对数,得:(x +1)lg5=(x 2-1)lg3,(x +1)[lg5-(x -1)lg3]=0. ∴x +1=0或lg5-(x -1)lg3=0.故原方程的解为x 1=-1或x 2=1+5log 3. 8、 (1)1;(2)45 9、 函数的定义域应满足:⎪⎩⎪⎨⎧>≥-≠-,0,01log ,0128.0x x x 即⎪⎪⎩⎪⎪⎨⎧>≥≠,0,1log ,218.0x x x解得0<x ≤54且x ≠21,即函数的定义域为{x|0<x ≤54且x ≠21}. 10、 由已知,得a=log 1227=12log 27log 33=2log 2133+,∴log 32=a a 23- 于是log 616=6log 16log 33=2log 12log 433+=a a +-3)3(4. 11、 若a >1,则x <2或x >3;若0<a <1,则2<x <312、 (1)(-∞,0)∪(0,+∞);(2)是偶函数;(3)略.13、 2个14、 设log 927=x,根据对数的定义有9x =27,即32x =33,∴2x=3,x=23,即log 927=23. 15、 对已知条件取以6为底的对数,得a 2=log 63, b 1=log 62, 于是a 2+b 1=log 63+log 62=log 66=1.16、x=2 17、x=0 18、x=-21或x=2319、x=±120、x=37 21、x=2322、x ∈φ23、x=-1或x=6 24、x=16 25、x=3 26、x=1 27、x=829或x=123128、y=2 29、x=-1或x=7 30、x=10或x=10-4。
崂山一中2012--13学年度第一学期高一数学对数函数习题课(1) 2013-10-29一、复习:1.对数函数的图象和性质2.比较下列各组数中两个数的大小(1) log 0.31.8, ______ log 0.32.7 (2) log 0.34, ______log 0.60.5;(3)log a 5.1______,log a 5.9. (4)log 56, ______log 763. 已知1122log log 0m n << 则 ( )(A )n <m <1 (B )m <n <1 (C )1<m <n (D )1<n <m 二、 常见题型 1、方程与不等式:(1)解关于x 的不等式<-)23(log 2x )2(log 2+x(2)已知3log a <1求a 的取值范围。
a >1 0<a <1图 象性 质(1)定义域:_______ (2)值域:____________(3)过点__________,即x =___时,y =______(4)在_____上是单调____函数 (4)在______上是单调____函数练习:已知32log a <1求a 的取值范围.2、求定义域 (1)221log (3)y x =- (2))34(log 2-=x y(3)24log =-y x3、单调性例1:求函数的单调递增.减区间。
(1)22()log (2)f x x =+ (2))2(log )(22-+=x x x f(3)2()|log |f x x =练习:求下列函数及的单调区间:(1))2(log )(221x x x f -=(2)2()log ||f x x =三、课后练习:1. 如图,函数1log a y x =,2log b y x =,3log c y x =,4log d y x =所表示的图象分别为4321,,,c c c c ,则a 、b 、c 、d 与1的大小关系为( )A .d c b a <<<<1B .d c b a >>>>1C .c d a b >>>>1D .d c a b >>>>12.函数()|lg |f x x =的图象是( )A .B .C .D .3.若2log 13a >,则实数a 的取值范围是_________________.4.已知32log 9=a ,3log 8=b ,则a 、b 的大小关系是_______________.5.函数()()log (8)90,1=-+>≠a f x x a a 图像横过定点____________6.设,0.()ln ,0.x e x g x x x ⎧≤=⎨>⎩,则g[g(0.5)]=____________7.计算:21log 6328110.25lg162lg 52722--⎛⎫⎛⎫+--+ ⎪⎪⎝⎭⎝⎭。
高中数学必修一《对数函数》经典习题(含详细解析)一、选择题1.已知f=log3x,则f,f,f(2)的大小是( )A.f>f>f(2)B.f<f<f(2)C.f>f(2)>fD.f(2)>f>f2若log a2<log b2<0,则下列结论正确的是( )A.0<a<b<1B.0<b<a<1C.a>b>1D.b>a>13函数y=2+log2x(x≥1)的值域为( )A.(2,+∞)B.(-∞,2)C.[2,+∞)D.[3,+∞)4函数y=lo x,x∈(0,8]的值域是( )A.[-3,+∞)B.[3,+∞)C.(-∞,-3]D.(-∞,3]5.不等式log2(2x+3)>log2(5x-6)的解集为( )A.(-∞,3)B.C. D.6函数f(x)=lg是( )A.奇函数B.偶函数C.既奇又偶函数D.非奇非偶函数7设a=log32,b=log52,c=log23,则( )A.a>c>bB.b>c>aC.c>b>aD.c>a>b8设a=log54,b=(log53)2,c=log45,则( )A.a<c<bB.b<c<aC.a<b<cD.b<a<c9.函数f(x)=a x+log a(x+1)在[0,1]上的最大值与最小值之和为a,则a的值为( )A. B. C.2 D.410.若log a=log a,且|log b a|=-log b a,则a,b满足的关系式是( )A.a>1,且b>1B.a>1,且0<b<1C.0<a<1,且b>1D.0<a<1,且0<b<1二、填空题11若函数y=log3x的定义域是[1,27],则值域是.12已知实数a,b满足lo a=lo b,下列五个关系式:①a>b>1,②0<b<a<1,③b>a>1,④0<a<b<1,⑤a=b.其中可能成立的关系式序号为.13log a<1,则a的取值范围是.14不等式12log xx<的解集是.15函数y=log0.8(-x2+4x)的递减区间是.三、解答题16.比较下列各组值的大小.(1)log3π,log20.8.(2)1.10.9,log1.10.9,log0.70.8.(3)log53,log63,log73.17已知函数f(x)=+的定义域为A.(1)求集合A.(2)若函数g(x)=(log2x)2-2log2x-1,且x∈A,求函数g(x)的最大值、最小值和对应的x值.18已知函数f=log2(2+x2).(1)判断f的奇偶性.(2)求函数f的值域.19已知函数f(x)=log a(1-x)+log a(x+3),其中0<a<1.(1)求函数f(x)的定义域.(2)若函数f(x)的最小值为-4,求a的值.参考答案与解析1【解析】选 B.由函数f=log3x在(0,+∞)是单调增函数,且<<2,知f()<f()<f(2).2【解析】选B.log a2<log b2<0,如图所示,所以0<b<a<1.6【解析】选A.因为f(-x)=lg=lg=lg=lg=-lg=-f(x),所以f(-x)=-f(x),又函数的定义域为R,故该函数为奇函数.7【解析】选D.因为log32=<1,log52=<1,又log23>1,所以c最大.又1<log23<log25,所以>,即a>b,所以c>a>b.8【解析】选D.a=log54<1,log53<log54<1,b=(log53)2<log53<a,c=log45>1,故b<a<c.9【解析】选 B.无论a>1还是0<a<1,f(x)在[0,1]上都是单调函数,所以a=(a0+log a1)+(a+log a2),所以a=1+a+log a2,所以log a2=-1,所以a=.10【解析】选C.因为log a=log a,所以log a>0,所以0<a<1.因为|log b a|=-log b a,所以log b a<0,b>1.11【解析】因为1≤x≤27,所以log31≤log3x≤log327=3.所以值域为[0,3].答案:[0,3]12【解析】当a=b=1或a=,b=或a=2,b=3时,都有lo a=lo b.故②③⑤均可能成立.答案:②③⑤13【解析】①当a>1时,log a<0,故满足log a<1;②当0<a<1时,log a>0,所以log a<log a a,所以0<a<,综上①②,a∈∪(1,+∞).答案:∪(1,+∞)14【解析】因为<=x-1,且x>0.①当0<x<1时,由原不等式可得,lo x>-1,所以x<2,所以0<x<1;②当x>1时,由原不等式可得,lo x<-1,x>2,综上可得,不等式的解集为{x|0<x<1或x>2}.答案:(0,1)∪(2,+∞)15【解析】因为t=-x2+4x的递增区间为(-∞,2].但当x≤0时,t≤0.故只能取(0,2],即为f(x)的递减区间.答案:(0,2]16【解析】(1)因为log3π>log31=0,log20.8<log21=0,所以log3π>log20.8.(2)因为1.10.9>1.10=1,log1.10.9<log1.11=0,0=log0.71<log0.70.8<log0.70.7=1,所以1.10.9>log0.70.8>log1.10.9.(3)因为0<log35<log36<log37,所以log53>log63>log73.17【解析】(1)所以所以≤x≤4,所以集合A=.(2)设t=log2x,因为x∈,所以t∈[-1,2],所以y=t2-2t-1,t∈[-1,2].因为y=t2-2t-1的对称轴为t=1∈[-1,2],所以当t=1时,y有最小值-2.所以当t=-1时,y有最大值2.所以当x=2时,g(x)的最小值为-2.当x=时,g(x)的最大值为2.18【解析】(1)因为2+x2>0对任意x∈R都成立,所以函数f=log2(2+x2)的定义域是R.因为f(-x)=log2[2+(-x)2]=log2(2+x2)=f(x),所以函数f(x)是偶函数.(2)由x∈R得2+x2≥2,所以log2(2+x2)≥log22=1,即函数f=log2(2+x2)的值域为[1,+∞).19【解析】(1)要使函数有意义,则有解之得-3<x<1,所以函数的定义域为(-3,1).(2)函数可化为:f(x)=log a[(1-x)(x+3)]=log a(-x2-2x+3)=log a[-(x+1)2+4],因为-3<x<1,所以0<-(x+1)2+4≤4.因为0<a<1,所以log a[-(x+1)2+4]≥log a4,即f(x)min=log a4,由log a4=-4得a-4=4,所以a==.3【解析】选C.设y=2+t,t=log2x(x≥1),因为t=log2x在[1,+∞)上是单调增函数,所以t≥log21=0.所以y=2+log2x(x≥1)的值域为[2,+∞).4【解析】选A.因为0<x≤8,所以lo x≥-3,故选A.5【解析】选D.原不等式等价于解得<x<3,所以原不等式的解集为.。
4.3.2 对数的运算1.对数运算性质如果a >0,且a ≠1,M >0,N >0,那么 (1)log a (MN )=log a M +log a N ; (2)log a MN =log a M -log a N ;(3)log a M n =n log a M (n ∈R). 2.换底公式若a >0,且a ≠1,b >0,c >0,且c ≠1, 则有log a b =log c blog c a.1.计算log 84+log 82等于( ) A .log 86 B .8 C .6D .1D 解析:log 84+log 82=log 88=1. 2.计算log 510-log 52等于( ) A .log 58 B .lg 5 C .1D .2 C 解析:log 510-log 52=log 55=1. 3.计算2log 510+log 50.25=( ) A .0 B .1 C .2D .4 C 解析:2log 510+log 50.25=log 5100+log 50.25=log 525=2. 4.计算log 23·log 32=________. 1 解析:log 23·log 32=lg 3lg 2×lg 2lg 3=1. 5.计算log 225·log 322·log 59=________. 6 解析:原式=lg 25lg 2·lg 22lg 3·lg 9lg 5=2lg 5lg 2·32lg 2lg 3·2lg 3lg 5=6.【例1】(1)若lg 2=a ,lg 3=b ,则lg 45lg 12=( ) A.a +2b 2a +b B.1-a +2b 2a +bC.1-b +2a 2a +bD.1-a +2b a +2b(2)计算:lg 52+2lg 2-⎝⎛⎭⎫12-1=________.(1)B (2)-1 解析:(1)lg 45lg 12=lg 5+lg 9lg 3+lg 4=1-lg 2+2lg 3lg 3+2lg 2=1-a +2b2a +b .(2)lg 52+2lg 2-⎝⎛⎭⎫12-1=lg 5-lg 2+2lg 2-2=(lg 5+lg 2)-2=1-2=-1.【例2】计算:(1)log 345-log 35; (2)log 2(23×45);(3)lg 27+lg 8-lg 1 000lg 1.2;(4)log 29·log 38.解:(1)log 345-log 35=log 3455=log 39=log 332=2.(2)log 2(23×45)=log 2(23×210)=log 2(213) =13log 22=13. (3)原式=lg (27×8)-lg 1032lg 1210=lg (332×23÷1032)lg 1210=lg⎝⎛⎭⎫3×41032lg 1210=32lg1210lg 1210=32.(4)log 29·log 38=log 232·log 323 =2log 23·3log 32=6log 23·1log 23=6.利用对数运算性质化简与求值的原则和方法(1)基本原则:①正用或逆用公式,对真数进行处理;②选哪种策略化简,取决于问题的实际情况,一般本着便于化简的原则进行. (2)两种常用的方法:①“收”,将同底的两对数的和(差)收成积(商)的对数; ②“拆”,将积(商)的对数拆成同底的两对数的和(差).提醒:对于对数的运算性质要熟练掌握,并能够灵活运用,在求值过程中,要注意公式的正用和逆用.计算下列各式的值: (1)12lg 3249-43lg 8+lg 245; (2)lg 52+23lg 8+lg 5·lg 20+(lg 2)2;(3)lg 2+lg 3-lg 10lg 1.8.解:(1)原式=12(5lg 2-2lg 7)-43×32lg 2+12(2lg 7+lg 5)=52lg 2-lg 7-2lg 2+lg 7+12lg 5=12lg 2+12lg 5=12(lg 2+lg 5) =12lg 10=12. (2)原式=2lg 5+2lg 2+lg 5(2lg 2+lg 5)+(lg 2)2 =2lg 10+(lg 5+lg 2)2=2+(lg 10)2=2+1=3. (3)原式=12(lg 2+lg 9-lg 10)lg 1.8=lg 18102lg 1.8=lg 1.82lg 1.8=12.【例3】已知log 189=a ,18b =5,求log 3645. 解:因为18b =5,所以log 185=b . (方法一)log 3645=log 1845log 1836=log 18(9×5)log 181829=log 189+log 1852log 1818-log 189=a +b2-a.(方法二)因为lg 9lg 18=log 189=a , 所以lg 9=a lg 18,同理得lg 5=b lg 18, 所以log 3645=lg 45lg 36=lg (9×5)lg 1829=lg 9+lg 52lg 18-lg 9=a lg 18+b lg 182lg 18-a lg 18=a +b2-a.应用换底公式应注意的两个方面(1)化成同底的对数时,要注意换底公式的正用、逆用以及变形应用. (2)题目中有指数式和对数式时,要注意将指数式与对数式统一成一种形式.1.已知2x =3y =a ,且1x +1y =2,则a 的值为( )A .36B .6C .2 6 D. 6D 解析:因为2x =3y =a , 所以x =log 2a ,y =log 3a ,所以1x +1y =1log 2a +1log 3a =log a 2+log a 3=log a 6=2,所以a 2=6,解得a =±6.又a >0,所以a = 6. 2.求值:(1)log 23·log 35·log 516; (2)(log 32+log 92)(log 43+log 83).解:(1)原式=lg 3lg 2·lg 5lg 3·lg 16lg 5=lg 16lg 2=4lg 2lg 2=4.(2)原式=⎝⎛⎭⎫lg 2lg 3+lg 2lg 9⎝⎛⎭⎫lg 3lg 4+lg 3lg 8 =⎝⎛⎭⎫lg 2lg 3+lg 22lg 3⎝⎛⎭⎫lg 32lg 2+lg 33lg 2 =3lg 22lg 3·5lg 36lg 2=54.探究题1 若log 23=a ,log 25=b ,则用a ,b 表示log 415=________. a +b 2 解析:log 415=log 215log 24=log 23+log 252=a +b2.探究题2 已知3a =5b =c ,且1a +1b =2,求c 的值.解:∵3a =5b =c , ∴a =log 3c ,b =log 5c , ∴1a =log c 3,1b=log c 5, ∴1a +1b =logc 3+log c 5=log c 15=2. 得c 2=15, 即c =15.解决对数的运算问题,主要依据是对数的运算性质.常用方法有: (1)将真数化为“底数”;(2)将同底数的对数的和、差、倍合并; (3)利用常用对数中的lg 2+lg 5=1.已知x ,y ,z 为正数,3x =4y =6z ,且2x =py . (1)求p 的值; (2)证明:1z -1x =12y.解析:设3x =4y =6z =k (显然k >0,且k ≠1),则x =log 3k ,y =log 4k ,z =log 6k .(1)由2x =py ,得2log 3k =p log 4k =p ·log 3klog 34,因为log 3k ≠0,所以p =2log 34=4log 32. (2)证明:1z -1x =1log 6k -1log 3k=log k 6-log k 3=log k 2=12log k 4=12y .对数的运算练习(30分钟60分)1.(5分)计算:log153-log62+log155-log63=()A.-2B.0C.1 D.2B解析:原式=log15(3×5)-log6(2×3)=1-1=0.2.(5分)设10a=2,lg 3=b,则log26=()A.baB.a+baC.ab D.a+bB解析:∵10a=2,∴lg 2=a,∴log26=lg 6lg 2=lg 2+lg 3lg 2=a+ba.3.(5分)设a,b,c均为不等于1的正实数,则下列等式中恒成立的是() A.logab•logcb=logcaB.logab•logca=logcbC.loga(bc)=logab•logacD.loga(b+c)=logab+logacB解析:由logab•logcb=lg blg a•lg blg c≠logca,故A错;由logab•logca=lg blg a•lg alg c =lg blg c=logcb;loga(bc)=logab+logac,故C,D错.故选B.4.(5分)如果lg x=lg a+3lg b-5lg c,那么()A.x=ab3c5 B.x=3ab5cC.x=a+3b-5c D.x=a+b3-c3A解析:lg a+3lg b-5lg c=lg a+lg b3-lg c5=lgab3c5,由lg x=lgab3c5,可得x=ab3c5. 5.(5分)log2 4等于()A.12B.14C.2 D.4D解析:log2 4=log2 (2)4=4.6.(5分)已知lg 2=a,lg 3=b,则用a,b表示lg 15为()A.b-a+1B.b(a-1)C.b-a-1D.b(1-a)A解析:lg 15=lg(3×5)=lg 3+lg 5=lg 3+lg 102=lg 3+1-lg 2=b-a+1.7.(5分)方程lg x+lg(x+3)=1的解是x=________.2解析:原方程可化为lg(x2+3x)=1,∴x>0,x+3>0,x2+3x-10=0,解得x=2.8.(5分)若3x=4y=36,则2x+1y=________.1解析:3x=4y=36,两边取以6为底的对数,得xlog63=ylog64=2,∴2x=log63,2y=log64,即1y=log62,故2x+1y=log63+log62=1.9.(5分)已知log23=a,log37=b,则log1456=________(用a,b表示).3+ab1+ab解析:由log23=a,log37=b,得log27=ab,则log1456=log256log214=log28+log27log22+log27=3+log271+log27=3+ab1+ab. 10.(15分)计算.(1)log535-2log573+log57-log51.8;(2)log2748+log212-12log242-1.解:(1)原式=log5(5×7)-2(log57-log53)+log57-log595=log55+log57-2log57+2log53+log57-2log53+log55=2.(2)原式=log2748+log212-log242-log22=log27×1248×42×2=log2122=log22-23=-32.。
1.log 5b =2,化为指数式是 ( )A .5b =2B .b 5=2C .52=bD .b 2=5 答案:C2.在b =log (a -2)(5-a )中,实数a 的取值范围是 ( )A .a >5或a <2B .2<a <3或3<a <5C .2<a <5D .3<a <4 答案:B3.以下结论正确的选项是 ( )①lg(lg10)=0 ②lg(lne)=0 ③假设10=lg x 那么x =10 ④假设e =ln x ,那么x =e 2A .①③B .②④C .①②D .③④ 答案:C4.假设log 31-2x 9=0,那么x =________.答案:-4 5.假设a >0,a 2=49,那么log 23a =________.答案:1 1.log x 8=3,那么x 的值为 ( )B .2C .3D .4 答案:B2.方程2log 3x =14的解是 ( )A .9 答案:D3.假设log x 7y =z 那么 ( )A .y 7=x zB .y =x 7zC .y =7xD .y =z 7x 答案:B 4.log 5[log 3(log 2x )]=0,那么x 12-等于 ( )答案:C5.log 6[log 4(log 381)]=________. 答案:06.log 23278=________.答案:-3 7.函数f (x )=⎩⎪⎨⎪⎧3x ,x ≤1-x ,x >1,假设f (x )=2,那么x =________.答案:log 32 8.假设log a 2=m ,log a 3=n ,那么a 2m +n =________.答案:129.求x . (1)log 2x =-23; (2)log 5(log 2x )=0. 解:(1)x =223-=(12)23 (2)log 2x =1,x =2. 10.二次函数f (x )=(lg a )x 2+2x +4lg a 的最大值为3,求a 的值. ∴a =1014-.1.假设a >0,且a ≠1,x ∈R ,y ∈R ,且xy >0,那么以下各式不恒成立的是 ( )①log a x 2=2log a x ; ②log a x 2=2log a |x |;③log a (xy )=log a x +log a y ;④log a (xy )=log a |x |+log a |y |.A .②④B .①③C .①④D .②③ 答案:B2计算log 916·log 881的值为 ( )A .18 答案:C3.lg2=a ,lg3=b ,那么log 36= ( )答案:B4.log 23=a,3b =7,那么log 1256=________. 答案:ab +3a +2 5.假设lg x -lg y =a ,那么lg(x 2)3-lg(y 2)3=________. 6.求值.(1)log 2748+log 212-12log 242; (2)log 225·log 34·log 59. 解:(1)-12. (2) 8. 一、1.lg8+3lg5的值为 ( )A .-3B .-1C .1D .3 答案:D2.假设log 34·log 8m =log 416,那么m 等于 ( )A .3B .9C .18D .27 答案:D3.a =log 32,用a 来表示log 38-2log 36 ( )A .a -2B .5a -2C .3a -(1+a )2D .3a -a 2-1 答案:A4.方程x 2+x log 26+log 23=0的两根为α、β,那么(14)α·(14)β= ( ) B .36 C .-6 D .6 答案:B5.2(lg 2)2+lg 2·lg 5+(lg 2)2-lg 2+1=________. 答案:16.设g (x )=⎩⎪⎨⎪⎧e x ,x ≤0ln x ,x >0,那么g (g (12))=________ .答案:12 7.方程log 3(x -1)=log 9(x +5)的解是________ .答案:x =48.x 3=3,那么3log 3x -log x 23=________. 答案:-129.求值(1)log 34log 98; (2)lg2+lg50+31-log 92;解:(1) 43. (2) 2+322. (3) 2. (3)221log 4+(169)12-+lg20-lg2-(log 32)·(log 23)+(2-1)lg1.10.设3x =4y =36,求2x +1y 的值. =1.1.函数f (x )=3x 21-2x+lg(2x +1)的概念域是 ( ) A .(-12,+∞) B .(-12,1) C .(-12,12) D .(-∞,-12答案C 2.函数y =log a x 的图像如以下图,那么实数a 的可能取值是( )A .5答案:A3.设a =log 123,b =(13),c =213,那么a ,b ,c 的大小关系是 ( ) A .a <b <c B .c <b <a C .c <a <b D .b <a <c 答案:A4.函数f (x )=⎩⎪⎨⎪⎧log 2x ,x >0,3x ,x ≤0,那么f (f (14))=________.答案:19 5.(x +2)>(1-x ),那么实数x 的取值范围是________.答案:(-2,-12) 6.函数y =log a (x +b )的图像如以下图,求实数a 与b 的值.b =4,a =2.1.函数f (x )=11-x 的概念域为M ,g (x )=ln(1+x )的概念域为N ,那么M ∩N 等于( )A .{x |x >-1}B .{x |x <1}C .{x |-1<x <1}D .∅ 答案:C2.函数f (x )=log 2(3x +3-x )是 ( )A .奇函数B .偶函数C .既是奇函数又是偶函数D .不是奇函数又不是偶函数答案:B3.如图是三个对数函数的图像,那么a 、b 、c 的大小关系是 ( )A .a >b >cB .c >b >aC .c >a >bD .a >c >b 答案:D4.函数f (x )=|lg x |.假设a ≠b ,且f (a )=f (b ),那么a +b 的取值范围是 ( )A .(1,+∞)B .[1,+∞)C .(2,+∞)D .[2,+∞) 答案:C5.对数函数的图像过点(16,4),那么此函数的解析式为________.答案:f (x )=log 2x6.函数y =3+log a (2x +3)(a >0且a ≠1)的图像必通过定点P ,那么P 点坐标________.答案:(-1,3)7.方程x 2=log 12x 解的个数是________.答案:18.假设实数a 知足log a 2>1,那么a 的取值范围为________.答案:1<a <29.(1)函数y =lg(x 2+2x +a )的概念域为R ,求实数a 的取值范围;(1,+∞).(2)函数f (x )=lg[(a 2-1)x 2+(2a +1)x +1],假设f (x )的概念域为R ,求实数a 的取值范围.a <-54. 10.函数f (x )=log a x +1x -1(a >0,且a ≠1). (1)求f (x )的概念域:此函数的概念域为(-∞,-1)∪(1,+∞),关于原点对称.(2)判定函数的奇偶性.f (x )为奇函数.1.(2021·天津高考)设a =log 54,b =(log 53)2,c =log 45,那么 ( )A .a <c <bB .b <c <aC .a <b <cD .b <a <c解析:由于b =(log 53)2=log 53·log 53<log 53<a =log 54<1<log 45=c ,故b <a <c .答案:D2.函数y =log 3x -3的概念域是 ( )A .(9,+∞)B .[9,+∞)C .[27,+∞)D .(27,+∞) 答案:C3.假设<<0,那么m ,n 知足的条件是 ( )A .m >n >1B .n >m >1C .0<n <m <1D .0<m <n <1 答案:C4.不等式log 13 (5+x )<log 13(1-x )的解集为________.答案:{x |-2<x <1}5.y =(log 12a )x 在R 上为减函数,那么a 的取值范围是________.答案:(12,1) 6.函数f (x )=log a (3-ax ),当x ∈[0,2]时,函数f (x )恒成心义,求实数a 的取值范围. ∴a 的取值范围是(0,1)∪(1,32). 1.与函数y =(14)x 的图像关于直线y =x 对称的函数是 ( ) A .y =4x B .y =4-x C .y =log 14x D .y =log 4x 答案:C2.函数y =2+log 2x (x ≥1)的值域为 ( )A .(2,+∞)B .(-∞,2)C .[2,+∞)D .[3,+∞) 答案:C3.假设log a (a 2+1)<log a 2a <0,那么a 的取值范围是 ( )A .(0,1)B .(12,1)C .(0,12)D .(1,+∞) 答案:B4.函数y =log a (2-ax )在[0,1]上为减函数,那么a 的取值范围为 ( )A .(0,1)B .(1,2)C .(0,2)D .(2,+∞) 答案:B5.函数f (x )=⎩⎪⎨⎪⎧ax +b (x ≤0)log c (x +19)(x >0)的图像如以下图,那么a +b +c =________.答案:133 ∴a =2,b =2.∴c =13. 6.集合A ={x |log 2x ≤2},B =(-∞,a )假设A ⊆B ,那么a 的取值范围是(c ,+∞),其中c =________. 答案:47.函数f (x )=log a x (a >0且a ≠1)在[2,3]上的最大值为1,那么a =________.答案:38.关于函数f (x )=lg x x 2+1有以下结论:①函数f (x )的概念域是(0,+∞);②函数f (x )是奇函数;③函数f (x )的最小值为-lg2;④当0<x <1时,函数f (x )是增函数;当x >1时,函数f (x )是减函数.其中正确结论的序号是________.答案:①④9.对a ,b ∈R 概念运算“*〞为a *b =⎩⎪⎨⎪⎧a (a ≤b )b (a >b ),假设f (x )=[log 12(3x -2)]*(log 2x ),试求f (x )的值域.解:f (x )=⎩⎨⎧ log 12(3x -2) (x ≥1),log 2x (23<x <1) 当x ≥1时,log 12(3x -2)≤0,当23<x <1时,1-log 23<log 2x <0, 故f (x )的值域为(-∞,0].。
经典例题透析类型一、指数式与对数式互化及其应用1.将下列指数式与对数式互化:(1);(2);(3);(4);(5);(6).思路点拨:运用对数的定义进行互化.解:(1);(2);(3);(4);(5);(6).总结升华:对数的定义是对数形式和指数形式互化的依据,而对数形式和指数形式的互化又是解决问题的重要手段.举一反三:【变式1】求下列各式中x的值:(1)(2)(3)lg100=x (4)思路点拨:将对数式化为指数式,再利用指数幂的运算性质求出x.解:(1);(2);(3)10x=100=102,于是x=2;(4)由.类型二、利用对数恒等式化简求值2.求值:解:.总结升华:对数恒等式中要注意格式:①它们是同底的;②指数中含有对数形式;③其值为真数.举一反三:【变式1】求的值(a,b,c∈R+,且不等于1,N>0)思路点拨:将幂指数中的乘积关系转化为幂的幂,再进行运算.解:.类型三、积、商、幂的对数3.已知lg2=a,lg3=b,用a、b表示下列各式.(1)lg9 (2)lg64 (3)lg6 (4)lg12 (5)lg5 (6) lg15解:(1)原式=lg32=2lg3=2b(2)原式=lg26=6lg2=6a(3)原式=lg2+lg3=a+b(4)原式=lg22+lg3=2a+b(5)原式=1-lg2=1-a(6)原式=lg3+lg5=lg3+1-lg2=1+b-a举一反三:【变式1】求值(1)(2)lg2·lg50+(lg5)2 (3)lg25+lg2·lg50+(lg2)2解:(1)(2)原式=lg2(1+lg5)+(lg5)2=lg2+lg2lg5+(lg5)2=lg2+lg5(lg2+lg5)=lg2+lg5=1(3)原式=2lg5+lg2(1+lg5)+(lg2)2=2lg5+lg2+lg2lg5+(lg2)2=1+lg5+lg2(lg5+lg2)=1+lg5+lg2=2.【变式2】已知3a=5b=c,,求c的值.解:由3a=c得:同理可得.【变式3】设a、b、c为正数,且满足a2+b2=c2.求证:.证明:.【变式4】已知:a2+b2=7ab,a>0,b>0. 求证:.证明:∵a2+b2=7ab,∴a2+2ab+b2=9ab,即(a+b)2=9ab,∴lg(a+b)2=lg(9ab),∵a>0,b>0,∴2lg(a+b)=lg9+lga+lgb ∴2[lg(a+b)-lg3]=lga+lgb即.类型四、换底公式的运用4.(1)已知log x y=a,用a表示;(2)已知log a x=m,log b x=n,log c x=p,求log abc x.解:(1)原式=;(2)思路点拨:将条件和结论中的底化为同底.方法一:a m=x,b n=x,c p=x∴,∴;方法二:.举一反三:【变式1】求值:(1);(2);(3).解:(1)(2);(3)法一:法二:.总结升华:运用换底公式时,理论上换成以大于0不为1任意数为底均可,但具体到每一个题,一般以题中某个对数的底为标准,或都换成以10为底的常用对数也可.类型五、对数运算法则的应用5.求值(1) log89·log2732(2)(3)(4)(log2125+log425+log85)(log1258+log254+log52)解:(1)原式=.(2)原式=(3)原式=(4)原式=(log2125+log425+log85)(log1258+log254+log52)举一反三:【变式1】求值:解:另解:设=m (m>0).∴,∴,∴,∴lg2=lgm,∴2=m,即.【变式2】已知:log23=a,log37=b,求:log4256=?解:∵∴,类型六、函数的定义域、值域求含有对数函数的复合函数的定义域、值域,其方法与一般函数的定义域、值域的求法类似,但要注意对数函数本身的性质(如定义域、值域及单调性)在解题中的重要作用.6. 求下列函数的定义域:(1);(2).思路点拨:由对数函数的定义知:x2>0,4-x>0,解出不等式就可求出定义域.解:(1)因为x2>0,即x≠0,所以函数;(2)因为4-x>0,即x<4,所以函数.举一反三:【变式1】求下列函数的定义域.(1) y=(2) y=ln(a x-k·2x)(a>0且a¹1,kÎR).解:(1)因为,所以,所以函数的定义域为(1,)(,2).(2)因为a x-k·2x>0,所以()x>k.[1]当k≤0时,定义域为R;[2]当k>0时,(i)若a>2,则函数定义域为(k,+∞);(ii)若0<a<2,且a≠1,则函数定义域为(-∞,k);(iii)若a=2,则当0<k<1时,函数定义域为R;当k≥1时,此时不能构成函数,否则定义域为.【变式2】函数y=f(2x)的定义域为[-1,1],求y=f(log2x)的定义域.思路点拨:由-1≤x≤1,可得y=f(x)的定义域为[,2],再由≤log2x≤2得y=f(log2x)的定义域为[,4]. 类型七、函数图象问题7.作出下列函数的图象:(1) y=lgx,y=lg(-x),y=-lgx;(2) y=lg|x|;(3) y=-1+lgx.解:(1)如图(1);(2)如图(2);(3)如图(3).类型八、对数函数的单调性及其应用利用函数的单调性可以:①比较大小;②解不等式;③判断单调性;④求单调区间;⑤求值域和最值.要求同学们:一是牢固掌握对数函数的单调性;二是理解和掌握复合函数的单调性规律;三是树立定义域优先的观念.8. 比较下列各组数中的两个值大小:(1)log23.4,log28.5(2)log0.31.8,log0.32.7(3)log a5.1,log a5.9(a>0且a≠1)思路点拨:由数形结合的方法或利用函数的单调性来完成.(1)解法1:画出对数函数y=log2x的图象,横坐标为3.4的点在横坐标为8.5的点的下方,所以,log23.4<log28.5;解法2:由函数y=log2x在R+上是单调增函数,且3.4<8.5,所以log23.4<log28.5;解法3:直接用计算器计算得:log23.4≈1.8,log28.5≈3.1,所以log23.4<log28.5;(2)与第(1)小题类似,log0.3x在R+上是单调减函数,且1.8<2.7,所以log0.31.8>log0.32.7;(3)注:底数是常数,但要分类讨论a的范围,再由函数单调性判断大小.解法1:当a>1时,y=log a x在(0,+∞)上是增函数,且5.1<5.9,所以,log a5.1<log a5.9当0<a<1时,y=log a x在(0,+∞)上是减函数,且5.1<5.9,所以,log a5.1>log a5.9 解法2:转化为指数函数,再由指数函数的单调性判断大小,令b1=log a5.1,则,令b2=log a5.9,则当a>1时,y=a x在R上是增函数,且5.1<5.9所以,b1<b2,即当0<a<1时,y=a x在R上是减函数,且5.1<5.9所以,b1>b2,即.举一反三:【变式1】(2011 天津理7)已知则()A.B.C.D.解析:另,,,在同一坐标系下作出三个函数图像,由图像可得又∵为单调递增函数,∴故选C.9. 证明函数上是增函数.思路点拨:此题目的在于让学生熟悉函数单调性证明通法,同时熟悉利用对函数单调性比较同底数对数大小的方法.证明:设,且x1<x2 则又∵y=log2x在上是增函数即f(x1)<f(x2)∴函数f(x)=log2(x2+1)在上是增函数.举一反三:【变式1】已知f(log a x)=(a>0且a≠1),试判断函数f(x)的单调性.解:设t=log a x(x∈R+,t∈R).当a>1时,t=log a x为增函数,若t1<t2,则0<x1<x2,∴f(t1)-f(t2)=,∵0<x1<x2,a>1,∴f(t1)<f(t2),∴f(t)在R上为增函数,当0<a<1时,同理可得f(t)在R上为增函数.∴不论a>1或0<a<1,f(x)在R上总是增函数.10.求函数y=(-x2+2x+3)的值域和单调区间.解:设t=-x2+2x+3,则t=-(x-1)2+4.∵y=t为减函数,且0<t≤4,∴y≥=-2,即函数的值域为[-2,+∞.再由:函数y=(-x2+2x+3)的定义域为-x2+2x+3>0,即-1<x<3.∴t=-x2+2x+3在-1,1)上递增而在[1,3)上递减,而y=t为减函数.∴函数y=(-x2+2x+3)的减区间为(-1,1),增区间为[1,3.类型九、函数的奇偶性11. 判断下列函数的奇偶性. (1)(2).(1)思路点拨:首先要注意定义域的考查,然后严格按照证明奇偶性基本步骤进行.解:由所以函数的定义域为:(-1,1)关于原点对称又所以函数是奇函数;总结升华:此题确定定义域即解简单分式不等式,函数解析式恒等变形需利用对数的运算性质.说明判断对数形式的复合函数的奇偶性,不能轻易直接下结论,而应注意对数式的恒等变形.(2)解:由所以函数的定义域为R关于原点对称又即f(-x)=-f(x);所以函数.总结升华:此题定义域的确定可能稍有困难,函数解析式的变形用到了分子有理化的技巧,要求掌握.类型十、对数函数性质的综合应用12.已知函数f(x)=lg(ax2+2x+1).(1)若函数f(x)的定义域为R,求实数a的取值范围;(2)若函数f(x)的值域为R,求实数a的取值范围.思路点拨:与求函数定义域、值域的常规问题相比,本题属非常规问题,关键在于转化成常规问题.f(x)的定义域为R,即关于x的不等式ax2+2x+1>0的解集为R,这是不等式中的常规问题.f(x)的值域为R与ax2+2x+1恒为正值是不等价的,因为这里要求f(x)取遍一切实数,即要求u=ax2+2x+1取遍一切正数,考察此函数的图象的各种情况,如图,我们会发现,使u能取遍一切正数的条件是.解:(1)f(x)的定义域为R,即:关于x的不等式ax2+2x+1>0的解集为R,当a=0时,此不等式变为2x+1>0,其解集不是R;当a≠0时,有a>1.∴a的取值范围为a>1.(2)f(x)的值域为R,即u=ax2+2x+1能取遍一切正数a=0或0≤a≤1,∴a的取值范围为0≤a≤1.13.已知函数h(x)=2x(x∈R),它的反函数记作g(x),A、B、C三点在函数g(x)的图象上,它们的横坐标分别为a,a+4,a+8(a>1),记ΔABC的面积为S.(1)求S=f(a)的表达式;(2)求函数f(a)的值域;(3) 判断函数S=f(a)的单调性,并予以证明;(4)若S>2,求a的取值范围.解:(1)依题意有g(x)=log2x(x>0).并且A、B、C三点的坐标分别为A(a,log2a),B(a+4,log2(a+4)),C(a+8,log2(a+8)) (a>1),如图.∴A,C中点D的纵坐标为〔log2a+log2(a+8)〕∴S=|BD|·4·2=4|BD|=4log2(a+4)-2log2a-2log2(a+8).(2)把S=f(a)变形得:S=f(a)=2〔2log2(a+4)-log2a-log2(a+8)〕=2log2=2log2(1+).由于a>1时,a2+8a>9,∴1<1+<,又函数y=log2x在(0,+∞)上是增函数,∴0<2log2(1+)<2log2,即0<S<2log2.(3)S=f(a)在定义域(1,+∞)上是减函数,证明如下:任取a1,a2,使1<a1<a2<+∞,则:(1+)-(1+)=16()=16·,由a1>1,a2>1,且a2>a1,∴a1+a2+8>0,+8a2>0,+8a1>0,a1-a2<0,∴1<1+<1+,再由函数y=log2x在(0,+∞)上是增函数,于是可得f(a1)>f(a2)∴S=f(a)在(1,+∞)上是减函数.(4)由S>2,即得,解之可得:1<a<4-4.。
对数函数练习题及解答1篇一:对数和对数函数练习题(答案)[1]一、选择题:1.23log89的值是()A.B.1 C.D.232log23 2352.若log2[log1(log2x)]?log3[log1(log3y)]?log5[log1(log5z)]=0,则x、y、z的大小关系是()A.z<x<y B.x<y<zC.y<z<x3D.z<y<x3.已知x=2+1,则log4(x-x-6)等于()A.351 B. C.0 D.242 4.已知lg2=a,lg3=b,则2a?ba?2b2a?ba?2blg12等于()A.B.C.D.1?a?b1?a?b1?a?b1?a?blg15 5.已知2 lg(x-2y)=lgx+lgy,则x的值为( )A.1 B.4C.1或4D.4 或y6.函数y=log1(2x?1)的定义域为()A.(2211,+∞) B.[1,+∞) C.( ,1] D.(-∞,1)227.已知函数y=log1 (ax+2x+1)的值域为R,则实数a的取值范围是()2A.a >1 B.0≤a<1C.0<a<1 D.0≤a≤1 x5 e 8.已知f(e)=x,则f(5)等于()A.e B.5C.ln5D.log5e9.若f(x)?logax(a?0且a?1),且f?1(2)?1,则f(x)的图像是()AB CD10.若y??log2(x2?ax?a)在区间(??,1上是增函数,则a的取值范围是()A.[2? B.?2?2 C.2?2? D.2?2 ?????? 11.设集合A?{x|x?1?0},B?{x|log2x?0|},则A?B等于()A.{x|x?1} B.{x|x?0}C.{x|x??1} D.{x|x??1或x?1}2 12.函数y?lnx?1,x?(1,??)的反函数为()x?1ex?1ex?1ex?1ex?1y?x,x?(0,??)B.y?x,x?(0,??)C.y?x,x?(??,0)D .y?x,x?(??,0) e?1e?1e?1e?1A二、填空题:13.计算:log2.56.25+lg211?log23+lne+2= .10014.函数y=log4(x-1)(x<1=的反函数为.0.90.815.已知m>1,试比较(lgm)与(lgm)的大小.16.函数y =(log1x)-log1x+5 在2≤x≤4时的值域为.4422 三、解答题:17.已知y=loga(2-ax)在区间{0,1}上是x的减函数,求a的取值范围.2218.已知函数f(x)=lg[(a-1)x+(a+1)x+1],若f(x)的定义域为R,求实数a的取值范围.219.已知f(x)=x+(lga+2)x+lgb,f(-1)=-2,当x∈R时f(x)≥2x恒成立,求实数a的值,并求此时f(x)的最小值?20.设0<x<1,a>0且a≠1,试比较|loga(1-x)|与|loga(1+x)|的大小。
福建省长泰一中高考数学一轮复习《对数函数》教案1.对数:⑤ log m na a nb b m = .例1 计算:(1))32(log32-+(2)2(lg 2)2+lg 2·lg5+12lg )2(lg 2+-;基础过关典型例题(3)21lg4932-34lg 8+lg 245. 解:(1)方法一设)32(log32-+=x,(2+3)x=2-3=321+=(2+3)-1,∴x=-1.方法二)32(log 32-+=32log +321+=32log+(2+3)-1=-1.(1)log 2487+log 212-21log 242-1;(2)(lg2)2+lg2·lg50+lg25;(3)(log 32+log 92)·(log 43+log 83).解:(1)原式=log 2487+log 212-log 242-log 22=log 2.232log 221log 242481272322-===⨯⨯⨯-(2)原式=lg2(lg2+lg50)+lg25=2lg2+lg25=lg100=2. (3)原式=(.452lg 63lg 5·3lg 22lg 3)2lg 33lg 2lg 23lg (·)3lg 22lg 3lg 2lg ==++ 例2 比较下列各组数的大小. (1)log 332与log 556;2)log 1.10.7与log 1.20.7;(3)已知log 21b <log 21a <log 21c,比较2b,2a,2c的大小关系.解:(1)∵log 332<log 31=0,log 556>log 51=0,∴log 332<log 556.(2)方法一 ∵0<0.7<1,1.1<1.2,0>2.1log 1.1log 7.00.7>,∴2.1log 11.1log 17.07.0<,即由换底公式可得log 1.10.7<log 1.20.7.方法二 作出y=log 1.1x 与y=log 1.2x 的图象.如图所示两图象与x=0.7相交可知log 1.10.7<log 1.20.7. (3)∵y=x 21log 为减函数,且c a b 212121log log log <<,∴b >a >c,而y=2x 是增函数,∴2b >2a >2c.变式训练2:已知0<a <1,b >1,ab >1,则log a bb bba1log ,log ,1的大小关系是 ( )A.log a bb bba1log log 1<<B.bb b b aa1log 1loglog << C.b b b a ba1log 1loglog << D.b bb a a b log 1log 1log << 解: C例3已知函数f(x)=log a x(a >0,a ≠1),如果对于任意x ∈[3,+∞)都有|f(x)|≥1成立, 试求a 的取值范围.解:当a >1时,对于任意x ∈[3,+∞),都有f(x)>0. 所以,|f(x)|=f(x ),而f(x)=log a x 在[3,+∞)上为增函数, ∴对于任意x ∈[3,+∞),有f(x)≥log a 3.因此,要使|f(x)|≥1对于任意x ∈[3,+∞)都成立. 只要log a 3≥1=log a a 即可,∴1<a ≤3. 当0<a <1时,对于x ∈[3,+∞),有f(x)<0, ∴|f(x)|=-f(x). ∵f (x )=log a x 在[3,+ ∴-f (x )在[3,+∞)上为增函数. ∴对于任意x ∈[3,+ |f(x)|=-f(x)≥-log a 3.因此,要使|f(x)|≥1对于任意x ∈[3,+ 只要-log a 3≥1 ∴log a 3≤-1=log aa1,即a 1≤3,∴31≤a < 1.综上,使|f(x)|≥1对任意x ∈[3,+∞)都成立的a 的取值范围是:(1,3]∪[31,1). 变式训练3:已知函数f (x )=log 2(x 2-ax-a)在区间(-∞,1-3]上是单调递减函数.求实数a的取值范围. 解:令g(x)=x 2-ax-a,则g(x)=(x-2a )2-a-42a ,由以上知g(x )的图象关于直线x=2a对称且此抛物线开口向上.因为函数f(x)=log 2g(x)的底数2>1, 在区间(-∞,1-3]上是减函数,所以g(x)=x 2-ax-a 在区间(-∞,1-3]上也是单调减函数,且g(x)>0.∴⎪⎩⎪⎨⎧>-----≥⎪⎩⎪⎨⎧>-≤-0)31()31(3220)31(2312a a a g a ,即 解得2-23≤a <2.故a 的取值范围是{a|2-23≤a <2}.例4 已知过原点O 的一条直线与函数y=log 8x 的图象交于A 、B 两点,分别过A 、B 作y 轴的平行与函数y=l og 2x 的图象交于C 、D 两点. (1)证明:点C 、D 和原点O (2)当BC 平行于x 轴时,求点A 的坐标. (1)证明 设点A 、B 的横坐标分别为x 1、x 2,由题设知x 1>1,x 2>1,则点A 、B 的纵坐标分别为log 8x 1、log 8x 2. 因为A 、B 在过点O 的直线上,所以228118log log x x x x = 点C 、D 的坐标分别为(x 1,log 2x 1)、(x 2,log 2x 2), 由于log 2x 1=2log log 818x =3log 8x 1,log 2x 2=3log 8x 2,OC 的斜率为k 1=118112log 3log x x x x =,OD 的斜率为,log 3log 2282222x x x x k ==由此可知k 1=k 2,即O 、C 、D 在同一直线上.(2)解: 由于BC 平行于x 轴,知log 2x 1=log 8x 2,即得log 2x 1=31log 2x 2,x 2=x 31, 代入x 2lo g 8x 1=x 1log 8x 2,得x 31log 8x 1=3x 1log 8x 1,由于x 1>1,知log 8x 1≠0,故x 31=3x 1, 又因x 1>1,解得x 1=3,于是点A 的坐标为(3,log 83). 变式训练4:已知函数f(x)=log 211-+x x +log 2(x-1)+log 2(p-x).(1)求f(x)的定义域; (2)求f(x)的值域.解:(1)f(x)有意义时,有⎪⎪⎪⎩⎪⎪⎪⎨⎧>->->-+,③0,②01,①011x p x xx由①、②得x >1,由③得x <p,因为函数的定义域为非空数集,故p >1,f(x)的定义域是(1,p).(2)f(x)=log 2[(x+1)(p-x)]=log 2[-(x-21-p )2+4)1(2+p ] (1<x <p),①当1<21-p <p ,即p >3时, 0<-(x-4)1(4)1()21222+≤++-p p p,∴log 2⎥⎦⎤⎢⎣⎡++---4)1()21(22p p x ≤2log 2(p+1)-2.②当21-p ≤1,即1<p ≤3时,∵0<-(x -),1(24)1()2122-<++-p p p ∴log 2⎥⎦⎤⎢⎣⎡++---4)1()21(22p p x <1+log 2(p-1).综合①②可知:当p>3时,f(x)的值域是(-∞,2log2(p+1)-2];当1<p≤3时,函数f(x)的值域是(-∞,1+log2(p-1)).小结归纳1.处理对数函数的有关问题,要紧密联系函数图象,运用数形结合的思想进行求解. 2.对数函数值的变化特点是解决含对数式问题时使用频繁的关键知识,要达到熟练、运用自如的水平,使用时常常要结合对数的特殊值共同分析.3.含有参数的指对数函数的讨论问题是重点题型,解决这类问题最基本的分类方案是以“底”大于1或小于1分类.4.含有指数、对数的较复杂的函数问题大多数都以综合形式出现,与其它函数(特别是二次函数)形成的函数问题,与方程、不等式、数列等内容形成的各类综合问题等等,因此要注意知识的相互渗透或综合.。
高中数学必修一第四章指数函数与对数函数典型例题单选题1、如图所示,函数y =|2x −2|的图像是( )A .B .C .D .答案:B分析:将原函数变形为分段函数,根据x =1及x ≠1时的函数值即可得解. ∵y =|2x −2|={2x −2,x ≥12−2x ,x <1,∴x =1时,y =0,x ≠1时,y >0. 故选:B.2、函数f(x)=2x −1x 的零点所在的区间可能是( ) A .(1,+∞)B .(12,1)C .(13,12)D .(14,13)答案:B分析:结合函数的单调性,利用零点存在定理求解.因为f(1)=2−11=1>0,f(12)=√2−2<0,f(13)=√23−3<0f(14)=√24−4<0, 所以f(12)⋅f(1)<0,又函数f(x)图象连续且在(0,+∞)单调递增, 所以函数f(x)的零点所在的区间是(12,1), 故选:B .小提示:本题主要考查函数的零点即零点存在定理的应用,属于基础题.3、已知函数f (x )={−2x,x <0−x 2+2x,x ≥0 若关于x 的方程f (x )=12x +m 恰有三个不相等的实数解,则m 的取值范围是( ) A .[0,34]B .(0,34) C .[0,916]D .(0,916) 答案:D分析:根据题意,作出函数f (x )={−2x, x <0,−x 2+2x,x ≥0 与y =12x +m 的图像,然后通过数形结合求出答案.函数f (x )={−2x, x <0,−x 2+2x,x ≥0的图像如下图所示:若关于x 的方程f (x )=12x +m 恰有三个不相等的实数解, 则函数f (x )的图像与直线y =12x +m 有三个交点,若直线y =12x +m 经过原点时,m =0,若直线y =12x +m 与函数f (x )=12x +m 的图像相切,令−x 2+2x =12x +m ⇒x 2−32x +m =0,令Δ=94−4m =0⇒m =916. 故m ∈(0,916). 故选:D .4、函数y =2x −2−x ( )A .是R 上的减函数B .是R 上的增函数C .在(−∞,0)上是减函数,在(0,+∞)上是增函数D .无法判断其单调性 答案:B分析:利用指数函数的单调性结合单调性的性质可得出结论.因为指数函数f (x )=2x 为R 上的增函数,指数函数g (x )=2−x =(12)x为R 上的减函数, 故函数y =2x −2−x 是R 上的增函数. 故选:B.5、若y =log 3a 2−1x 在(0,+∞)内为增函数,且y =a −x 也为增函数,则a 的取值范围是( ) A .(√33,1)B .(0,12)C .(√33,√63)D .(√63,1) 答案:D分析:根据函数单调性,列出不等式组{3a 2−1>10<a <1求解,即可得出结果. 若y =log 3a 2−1x 在(0,+∞)内为增函数,则3a 2−1>1,由y =a −x 为增函数得0<a <1.解不等式组{3a 2−1>10<a <1,得a 的取值范围是(√63,1).故选:D.小提示:本题主要考查由对数函数与指数函数的单调性求参数,涉及不等式的解法,属于基础题型. 6、将进货价为每个80元的商品按90元一个出售时,能卖出400个,每涨价1元,销售量就减少20个,为了使商家利润有所增加,则售价a (元/个)的取值范围应是( ) A .90<a <100B .90<a <110C .100<a <110D .80<a <100 答案:A分析:首先设每个涨价x 元,涨价后的利润与原利润之差为y 元,结合条件列式,根据y >0,求x 的取值范围,即可得到a 的取值范围.设每个涨价x 元,涨价后的利润与原利润之差为y 元,则a =x +90,y =(10+x)⋅(400−20x)−10×400=−20x 2+200x .要使商家利润有所增加,则必须使y >0,即x 2−10x <0,得0<x <10,∴90<x +90<100,所以a 的取值为90<a <100. 故选:A7、已知a =lg2,10b =3,则log 56=( ) A .a+b 1+aB .a+b 1−aC .a−b 1+aD .a−b 1−a答案:B分析:指数式化为对数式求b ,再利用换底公式及对数运算性质变形. ∵a =lg2, 10b =3, ∴b =lg3, ∴log 56=lg6lg5=lg2×3lg 102=lg2+lg31−lg2=a+b 1−a.故选:B .8、已知2a =5,log 83=b ,则4a−3b =( ) A .25B .5C .259D .53 答案:C分析:根据指数式与对数式的互化,幂的运算性质以及对数的运算性质即可解出. 因为2a =5,b =log 83=13log 23,即23b =3,所以4a−3b =4a 43b=(2a )2(23b )2=5232=259.故选:C. 多选题9、已知函数f (x )={e x −1,x ≥a,−(x +1)2,x <a (a ∈R ) ,则( ) A .任意a ∈R ,函数f (x )的值域为R B .任意a ∈R ,函数f (x )都有零点C .任意a ∈R ,存在函数g (x )满足g (−|x |)=f (x )D .当a ∈(−∞,−4]时,任意x 1≠x 2,(x 1−x 2)(f (x 1)−f (x 2))>0答案:BD分析:画出分段函数图像,根据图像逐项分析即可得到结果设函数y=e x−1和y=−(x+1)2的左右两交点坐标为(x1,y1),(x2,y2)对于选项A,由图像可知,当a<x1时,f(x)的值域不为R,故A错误对于选项B,由图像可知,无论a取何值,函数f(x)都有零点,故B正确对于选项C,当x>0时g(−|x|)=g(−x),g(−|−x|)=g(−x)由图像可知f(−x)≠f(x)所以不存在函数g(x)满足g(−|x|)=f(x)对于选项D,若x1<a,x2<a,因为y=−(x+1)2为增函数,所以对于任意x1≠x2,(x1−x2)(f(x1)−f(x2))>0成立若x1>a,x2>a因为y=e x−1为增函数,所以对于任意x1≠x2,(x1−x2)(f(x1)−f(x2))>0成立当x1,x2不在同一区间时,因为a∈(−∞,−4],所以y=e x−1(x>a)的图像在y=−(x+1)2(x<a)的图像的上方,所以也满足对于任意x1≠x2,(x1−x2)(f(x1)−f(x2))>0成立故D正确故选:BD10、已知实数a,b满足等式2a=3b,下列五个关系式:①0<b<a;②a<b<0;③0<a<b;④b<a<0;⑤a=b=0其中有可能成立的关系式有()A.①B.②⑤C.②③D.④答案:AB分析:画出指数函数y=2x,y=3x的图象,利用单调生即可得出答案.如图所示,数y=2x,y=3x的图象,由图象可知:( 1 ) 当时x>0,若2a=3b,则a>b;( 2 ) 当x=0时,若2a=3b,则a=b=0;( 3 ) 当x<0时,若2a=3b,则a<b.综上可知,有可能成立的关系式是①②⑤ .故选:AB11、某杂志以每册2元的价格发行时,发行量为10万册.经过调查,若单册价格每提高0.2元,则发行量就减少5000册.要该杂志销售收入不少于22.4万元,每册杂志可以定价为()A.2.5元B.3元C.3.2元D.3.5元答案:BC分析:设每册杂志定价为x(x>2)元,根据题意由(10−x−2×0.5)x≥22.4,解得x的范围,可得答案.0.2依题意可知,要使该杂志销售收入不少于22.4万元,只能提高销售价,×0.5万册,设每册杂志定价为x(x>2)元,则发行量为10−x−20.2则该杂志销售收入为(10−x−2×0.5)x万元,0.2所以(10−x−2×0.5)x≥22.4,化简得x2−6x+8.96≤0,解得2.8≤x≤3.2,0.2故选:BC小提示:关键点点睛:理解题意并求出每册杂志定价为x (x >2)元时的发行量是解题关键. 填空题 12、化简:(1+1232)(1+1216)(1+128)(1+124)(1+122)(1+12)=________.答案:2−1263分析:分析式子可以发现,若在结尾乘以一个(1−12),则可以从后到前逐步使用平方差公式进行计算,为保证恒等计算,在原式末尾乘以(1−12)×2即可﹒ 原式=(1+1232)(1+1216)(1+128)(1+124)(1+122)(1+12)×(1−12)×2=(1+1232)(1+1216)(1+128)(1+124)(1+122)×(1−122)×2 =(1+1232)(1+1216)(1+128)(1+124)×(1−124)×2 =(1+1232)(1+1216)(1+128)×(1−128)×2 =(1+1232)(1+1216)×(1−1216)×2 =(1+1232)×(1−1232)×2 =(1−1264)×2 =2−1263所以答案是:2−1263﹒13、√a ⋅√a ⋅√a 3的分数指数幂表示为____________答案:a 34分析:本题可通过根式与分数指数幂的互化得出结果.√a ⋅√a ⋅√a 3=√a ⋅√a ⋅a 123=√a ⋅√a 323=√a ⋅a 12=√a 32=a 34, 所以答案是:a 34.14、写出一个同时具有下列性质①②③的函数f(x)=________.①定义域为R;②值域为(−∞,1);③对任意x1,x2∈(0,+∞)且x1≠x2,均有f(x1)−f(x2)x1−x2>0.答案:f(x)=1−12x(答案不唯一)分析:直接按要求写出一个函数即可.f(x)=1−12x ,定义域为R;12x>0,f(x)=1−12x<1,值域为(−∞,1);是增函数,满足对任意x1,x2∈(0,+∞)且x1≠x2,均有f(x1)−f(x2)x1−x2>0.所以答案是:f(x)=1−12x(答案不唯一).解答题15、已知函数f(x)=1−2a|x|+1(a>0,a≠1).(1)判断f(x)的奇偶性并证明;(2)若f(x)在[−1,1]上的最大值为13,求a的值.答案:(1)偶函数;证明见解析;(2)a=2.解析:(1)利用奇偶函数的定义证明;(2)讨论去绝对值,并分a>1和0<a<1两种情况讨论函数的单调性,求函数的最大值,建立方程,求a的值.解:(1)f(x)的定义域为R,又f(−x)=1−2a|−x|+1=1−2a|x|+1=f(x)⇒f(−x)=f(x),所以f(x)为偶函数;(2)因为f(x)为偶函数,当0≤x≤1时,f(x)=1−2a|x|+1=1−2a x+1,若a∈(0,1),f(x)=1−2a x+1,函数单调递减,f(x)max=f(0)=0,若a∈(1,+∞),f(x)=1−2a x+1,函数单调递增,f(x)max=f(1)=1−2a+1=13⇒a=2,当−1≤x<0,f(x)=1−2a|x|+1=1−2a−x+1,若a∈(0,1),f(x)=1−2a−x+1,函数单调递增,f(x)max=f(0)=0,若a∈(1,+∞),f(x)=1−2a−x+1,函数单调递减,f(x)max=f(−1)=1−2a+1=13⇒a=2,综上,a=2.小提示:关键点点睛:本题考查指数型复合函数证明奇偶性以及根据函数的最值,求参数的取值范围,本题的关键是求函数的单调性,关键是利用函数是偶函数,先去绝对值,再利用复合函数的单调性求函数的单调性,从而确定函数的最值.。
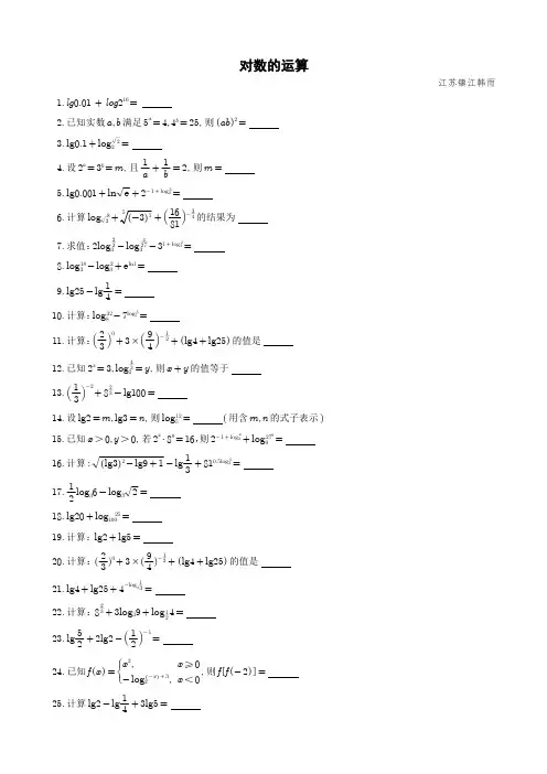
对数的典型例题
类型一、指数式与对数式互化及其应用
1.将下列指数式与对数式互化:
(1);(2);(3);(4);(5);
(6).
思路点拨:运用对数的定义进行互化.
解:(1);(2);(3);
(4);(5);(6).
总结升华:对数的定义是对数形式和指数形式互化的依据,而对数形式和指数形式的互化又是解决问题的重要手段.
举一反三:
【变式1】求下列各式中x的值:
(1) (2) (3)lg100=x (4)
思路点拨:将对数式化为指数式,再利用指数幂的运算性质求出x.
解:(1);
(2);
(3)10x=100=102,于是x=2;
(4)由.
类型二、利用对数恒等式化简求值
2.求值:
解:.
总结升华:对数恒等式中要注意格式:①它们是同底的;②指数中含有对数形式;③其值为真数.
举一反三:
【变式1】求的值(a,b,c∈R+,且不等于1,N>0)
思路点拨:将幂指数中的乘积关系转化为幂的幂,再进行运算.
解:.
类型三、积、商、幂的对数
3.已知lg2=a,lg3=b,用a、b表示下列各式.
(1)lg9 (2)lg64 (3)lg6 (4)lg12 (5)lg5 (6) lg15
解:(1)原式=lg32=2lg3=2b
(2)原式=lg26=6lg2=6a
(3)原式=lg2+lg3=a+b
(4)原式=lg22+lg3=2a+b
(5)原式=1-lg2=1-a
(6)原式=lg3+lg5=lg3+1-lg2=1+b-a
举一反三:
【变式1】求值
(1)(2)lg2·lg50+(lg5)2
(3)lg25+lg2·lg50+(lg2)2
解:(1)
(2)原式=lg2(1+lg5)+(lg5)2=lg2+lg2lg5+(lg5)2=lg2+lg5(lg2+lg5)=lg2+lg5=1
(3)原式=2lg5+lg2(1+lg5)+(lg2)2
=2lg5+lg2+lg2lg5+(lg2)2=1+lg5+lg2(lg5+lg2)=1+lg5+lg2=2.
【变式2】已知3a=5b=c,,求c的值.
解:由3a=c得:
同理可得
.
【变式3】设a、b、c为正数,且满足a2+b2=c2.求证:.
证明:
.
【变式4】已知:a2+b2=7ab,a>0,b>0. 求证:.
证明:∵ a2+b2=7ab,∴ a2+2ab+b2=9ab,即 (a+b)2=9ab,∴ lg(a+b)2=lg(9ab),∵ a>0,b>0,∴ 2lg(a+b)=lg9+lga+lgb ∴2[lg(a+b)-lg3]=lga+lgb
即.
类型四、换底公式的运用
4.(1)已知logxy=a,用a表示;
(2)已知logax=m, logbx=n, logcx=p,求logabcx.
解:(1)原式=;
(2)思路点拨:将条件和结论中的底化为同底.
方法一:am=x, bn=x, cp=x
∴,
∴
;
方法二:.
举一反三:
【变式1】求值:(1);(2);(3).
解:(1)
;
(2);
(3)法一:
法二:.
总结升华:运用换底公式时,理论上换成以大于0不为1任意数为底均可,但具体到每一个题,一般以题中某个对数的底为标准,或都换成以10为底的常用对数也可.
类型五、对数运算法则的应用
5.求值
(1) log89·log2732
(2)
(3)
(4)(log2125+log425+log85)(log1258+log254+log52)
解:(1)原式=.
(2)原式=
(3)原式=
(4)原式=(log2125+log425+log85)(log1258+log254+log52)
举一反三:
【变式1】求值:
解:
另解:设=m (m>0).∴ ,
∴ ,∴ ,∴ lg2=lgm,∴ 2=m,即.
【变式2】已知:log23=a, log37=b,求:log4256=?
解:∵ ∴,
类型六、函数的定义域、值域
求含有对数函数的复合函数的定义域、值域,其方法与一般函数的定义域、值域的求法类似,但要注意对数函数本身的性质(如定义域、值域及单调性)在解题中的重要作用.
6. 求下列函数的定义域:
(1); (2).
思路点拨:由对数函数的定义知:x2>0,4-x>0,解出不等式就可求出定义域.
解:(1)因为x2>0,即x≠0,所以函数;
(2)因为4-x>0,即x<4,所以函数.
举一反三:
【变式1】求下列函数的定义域.
(1) y= (2) y=ln(ax-k·2x)(a>0且a≠1,k∈R).
解:(1)因为,所以,
所以函数的定义域为(1,)(,2).
(2)因为 ax-k·2x>0,所以()x>k.
[1]当k≤0时,定义域为R;
[2]当k>0时,
(i)若a>2,则函数定义域为(k,+∞);
(ii)若0<a<2,且a≠1,则函数定义域为(-∞,k);
(iii)若a=2,则当0<k<1时,函数定义域为R;当k≥1时,此时不能构成函数,否则定义域为.
【变式2】函数y=f(2x)的定义域为[-1,1],求y=f(log2x)的定义域.
思路点拨:由-1≤x≤1,可得y=f(x)的定义域为[,2],再由≤log2x≤2得y=f(log2x)的定义域为[,4].。