重庆大学高等数学习题1-3
- 格式:docx
- 大小:452.58 KB
- 文档页数:11
习题1-5 A 组1.求参数a 的值,使得函数24,2()2,2x x f x x a x ⎧-≠⎪=-⎨⎪=⎩在点2x =处连续解析:考查分段函数的连续性,函数在某一点连续的充要条件可以总结为00lim ()()x x f x f x →=解:本题中22224lim ()limlim(2)42x x x x f x x x →→→-==+=- 则4a =2.若函数(sin cos ),0()2,0x e x x x f x x a x ⎧+>=⎨+≤⎩是(,)-∞+∞上的连续函数,求a解析:考查函数在定义域内的连续性,本题中,当0x >和0x ≤时,函数()f x 都是初等函数的复合,因此都在连续的,则判断函数在上连续只需判断函数在点0x =处连续,即使00lim ()lim ()(0)x x f x f x f -+→→== 解:已知(0)f a =lim ()lim(2)x x f x x a a --→→=+=,00lim ()lim (sin cos )1x x x f x e x x ++→→=+= 则1a =3.若函数2,0()sin 0a bx x f x bx x x⎧+≤⎪=⎨>⎪⎩在0x =点处连续,求a 与b 的关系解析:考查分段函数在某点上的连续性,和上题类似,只需使0lim ()lim ()(0)x x f x f x f -+→→== 解:已知(0)f a =20lim ()lim()x x f x a bx a --→→=+=,00sin sin lim ()lim lim x x x bx bxf x b b x bx+++→→→===则a b =4.求下列函数的间断点,并指出其类型 (1)2sin ()1x f x x =-(2)1()1x f x x -=-(3)2tan ()1x f x x =+ (4)20,0,01()42,134,3x x x f x x x x x x <⎧⎪≤<⎪=⎨-+-≤<⎪⎪≥⎩ 解析:考查间断点的类型,首先要找出间断点,一般为无定义点、无极限点和函数值不等于该点的极限值的点。
函数的间断点是()。
A、oB、oC、oD、无间断点•收藏该题2、若,则的取值范围是()。
oA、oB、oC、oD、•收藏该题3、设, 当从变到时,函数的增量为( ) 。
•oA、oB、oC、oD、•收藏该题4、( ) 。
•oA、oB、oC、oD、•收藏该题5、曲线所围平面图形的面积为( )。
•oA、oB、oC、oD、•收藏该题6、d( )=•oA、oB、oC、oD、•收藏该题7、函数,则()。
oA、oB、1oC、oD、不存在•收藏该题8、函数在处的导数等于( )。
•oA、1oB、2oC、3oD、4•收藏该题9、是()的一个原函数。
oA、oB、oC、oD、•收藏该题10、当时,下列函数是无穷小是( )。
•oA、oB、oC、oD、•收藏该题11、( )oA、oB、不存在oC、1oD、•收藏该题12、( )。
•oA、-1oB、1oC、oD、不存在•收藏该题13、三次曲线在处取极大值,点是拐点,则()。
oA、oB、oC、oD、全部都错•收藏该题14、若,则()。
•oA、1oB、-1oC、oD、•收藏该题15、若函数f(x)在点x o可导,下列说法错误的是( )。
oA、函数f(x)在点x o左导数存在oB、函数f(x)在点x o右导数存在oC、函数f(x)在点x o左右导数均存在oD、函数f(x)在点x o可导与左右导数是否存在无关•收藏该题16、下列式子中,正确的是()。
•oA、oB、oC、oD、•收藏该题17、无穷多个无穷小量之和,则( )。
•oA、必是无穷小量oB、必是无穷大量oC、必是有界量oD、是无穷小,或是无穷大,或有可能是有界量•收藏该题18、=( )。
•oA、1oB、4oC、2oD、不存在•收藏该题19、下列函数在区间上单调减少的是()。
•oA、oB、oC、oD、•收藏该题20、判断函数的极值点应该判断()。
•oA、一阶导数为0的点和一阶导数不存在的点oB、二阶导数为0的点和二阶导数不存在的点oC、只判断一阶导数为0的点oD、只判断二阶导数为0的点•收藏该题21、区间[0,+∞)表示不等式( )。
重庆大学《高等数学(工学类)》课程试卷 第1页 共1页重庆大学《高等数学(工学类)》课程试卷20 — 20 学年 第 学期开课学院: 数统学院 课程号: 考试日期:考试方式:考试时间: 120 分一、选择题(每小题3分,共18分) 1. 向量a b ⨯与,a b 的位置关系是().(A) 共面 (B) 垂直 (C) 共线 (D) 斜交知识点:向量间的位置关系,难度等级:1. 答案:(B).分析:,a b 的向量积a b ⨯是一个向量,其方向垂直,a b 所确定的平面.2. 微分方程633xy dye e y x y dx=+- 的一个解为().(A)6y = (B)6y x =- (C)y x =- (D)y x =知识点:微分方程的解,难度等级:1. 答案: (D).分析:将(A),(B),(C),(D)所给函数代入所给方程,易知只有y x =满足方程,故应选(D).3. 累次积分⎰⎰=-2022x y dy e dx ().(A))1(212--e (B))1(314--e (C))1(214--e (D))1(312--e 知识点:二重积分交换次序并计算,难度等级:2. 答案:(C).分析: 直接无法计算,交换积分限,可计算得)1(214--e ,只能选(C). 4.设曲线积分⎰--L x ydy x f ydx e x f cos )(sin ])([与路径无关,其中)(x f 具有一阶连续偏导数,且(0)0,f =则=)(x f ().(A)2x x e e -- (B)2xx e e --(C) 12-+-x x e e (D)21xx e e +-- 知识点:积分与路径无关的条件,微分方程,求解,难度等级:3.答案:(B).分析: 由积分与路径无关条件,有[()]cos ()cos x f x e y f x y '-=-命题人:组题人:审题人:命题时间:教务处制学院 专业、班 年级 学号 姓名 考试教室公平竞争、诚实守信、严肃考纪、拒绝作弊封线密()().x f x f x e '⇒-=-由结构看,C,D 不满足方程,代入,B 满足,A 不满足,选B.5. 设直线方程为1111220,0A x B y C z D B y D +++=⎧⎨+=⎩且111122,,,,,0,A B C D B D ≠则直线().(A) 过原点 (B) 平行于z 轴 (C) 垂直于x 轴 (D) 垂直于y 轴 知识点:直线与坐标轴的位置关系,难度等级:1. 答案:(D).分析:方程2220,0B y D D +=≠表示垂直于y 轴且不过原点的平面,11112200A x B y C z D B y D +++=⎧⎨+=⎩表示的直线位于垂直于y 轴且不过原点的平面上,不平行于z 轴,不垂直于x 轴.6. 设∑为球面2224(0)x y z z ++=≥的外侧,则2yzdzdx dxdy∑+⎰⎰().=(A)354(B)354π (C)12 (D)12π知识点:对坐标的曲面积分,高斯公式,难度等级:2. 答案:(D).分析: 添有向平面221:0(4)z x y ∑=+≤取下侧,则124,yzdzdx dxdy zdV π∑+∑Ω+==⎰⎰⎰⎰⎰1228.Dyzdzdx dxdy dxdy π∑+=-=-⎰⎰⎰⎰故有结果为D.二、填空题(每小题3分,共18分)7.121lim(1)sin x y x y →→⎛⎫- ⎪⎝⎭__________.= 知识点:二重极限,难度等级:1. 答案:0. 证明:1(1)sin01x x y--≤- 0,ε∴∀>取,δε=只要0,δ<必有1(1)sin0.x yε--<121lim(1)sin 0.x y x y →→⎛⎫∴-= ⎪⎝⎭ 8. 已知lim6,n n a →∞=则11()n n n a a ∞+=-=∑__________. 知识点:级数和,定义,难度等级:1. 答案:1 6.a - 分析: 部分和数列12231111()()() 6.n n n n s a a a a a a a a a ++=-+-++-=-→-9.2221___________,ds x y z Γ=++⎰其中Γ为曲线cos ,sin ,tttx e t y e t z e ===上相应于t 从0变到2的这段弧.知识点:对弧长的曲线积分,难度等级:2. 答案21).e- 解:弧长的微分为tds dt ==,22222.tx y z e ++=于是2222011).ds x y z e Γ=-++⎰⎰10. 平面3x y z a ++=被球面2222x y z R ++=(0)R <所截得一个圆,则该圆的半径为__________.=知识点:平面,球面,半径,难度等级:1. 答案分析:该圆的中心在平面3x y z a ++=上,且三个坐标相等,中心坐标为(,,),a a a,11.设曲线积分 ,4 L 22⎰++-=yx xdyydx I 其中L 为椭圆,1422=+y x 并取正向,则__________.I =知识点:对坐标的曲线积分,难度等级:2. 答案:.π分析: 可取椭圆的参数方程计算.12. 设∑是球面222x y z R ++=在第一卦限部分,则2__________.x dS ∑=⎰⎰知识点:对面积的曲面积分,对称性,难度等级2. 答案:4.6R π分析:222x dS y dS z dS ∑∑∑==⎰⎰⎰⎰⎰⎰ ()22213x y z dS ∑=++⎰⎰ 224114.386R R R ππ=⋅⋅=三、计算题(每小题6分,共24分) 13. 求微分方程()0y xxe d y x xdy -=+的通解. 知识点:齐次微分方程,通解,难度等级1. 分析:齐次微分方程,作变量代换yu x=化为可分离变量的微分方程.解: 方程两端同除以,x 得()0.y xye dx dy x+-=令,y vx =则.dy vdx xdv =+ 代入上式,得0,ve dx xdv -= 即 0.vdx e dv x--= 积分之,得ln .v x e C -+=故原方程的通解为ln .y xx e C -+=14. 计算2(2)(3),y L x y dx x ye dy -++⎰其中L 由从)0,2(A 到)1,0(B 的直线段22=+y x 及从)1,0(B 到)0,1(-C 的圆弧21y x --=所构成.知识点:对坐标的曲线积分,格林公式,难度等级:2. 分析:补充线段构成闭曲线用格林公式.解 :如图,添加一段定向直线,CA 这样L 与CA 构成闭路.设所围的区域为,D 于是根据格林公式得:2211(2)(3)55(211)24y L CA Dx y dx x ye dy dxdy π+-++==⋅⋅+⋅⎰⎰⎰15(1).4π=+ 则L⎰=.L CACA→+-⎰⎰又2221(2)(3) 3.y CAx y dx x ye dy x dx --++==⎰⎰故25(2)(3)5(1)32.44y L x y dx x ye dy ππ-++=+-=+⎰ 15. 计算22(),x y dS ∑+⎰⎰其中∑为抛物面222z x y =--在xoy 面上方的部分.知识点:对面积的曲面积分,难度等级:2.分析:直接将曲面积分化为二重积分,用极坐标计算二重积分. 解:∑在xoy 的投影为22:2,xy D x y +≤且= 于是22()x y dS ∑+⎰⎰22(xyD x y =+⎰⎰20220112(14(14)84149.30d r r πθππ==⋅+-+=⎰ 16. 计算333,x dydz y dzdxz dxdy ∑++⎰⎰其中∑为球面2222x y z a ++=的外侧.知识点:对坐标的曲面积分,高斯公式,球面坐标,难度等级:2 分析:题设曲面为封闭曲面,高斯公式,再用球面坐标化为三次积分.解:333x dydz y dzdx z dxdy ∑++⎰⎰ 2223()x y z dxdydz Ω=++⎰⎰⎰222053sin 12.5ad d r r dra ππθϕϕπ=⋅=⎰⎰⎰四、解答题(每小题6分,共12分)17.设(,)z f x u =具有连续的二阶偏导数,而,u xy =求22.zx∂∂难度等级:1;知识点:复合函数的偏导数.分析: 按复合函数的偏导数的求法两次对x 求偏导数,即可求出22.z x∂∂ 解:x x u z f y f '''=+ 22.xx xx xu uu z f yf y f ''''''''⇒=++18.利用斯托克斯公式计算222222()()(),y z dx z x dy x y dz Γ-+-+-⎰其中Γ是用平面23=++z y x 截立方体[]⨯1,0[]⨯1,0[]1,0的表面所得的截痕,若从z 轴正向看去,Γ取逆时针方向.知识点:对坐标的曲线积分,斯托克斯公式,难度等级:3 分析: 通过斯托克斯公式将曲线积分转化为对面积的曲面积分,注意积分技巧:可将方程代入被积函数.解: 如图,我们将平面23=++z y x 的上侧被Γ所围的部分取为,∑于是∑的单位法向量.n e =由斯托克斯公式得:dS y x x z z y z y x I ⎰⎰∑---∂∂∂∂∂∂=222222cos coscos γβα ().x y z dS ∑=++ 观察上述积分,由于在∑上有3,2x y z ++=根据第二型曲面积分的计算公式,故396(6)().42xyxyD D I dS S ∑=-=-=-=-=-其中xy D 是∑在xOy 坐标平面的投影区域,而xyD S 为xy D 的面积.五、 证明题(每小题6分,共12分)19.试证:,)(0,0)(,)0, (,)(0,0)x y f x y x y ⎧≠⎪=⎨⎪=⎩在点(0,0)处偏导数存在,但是不可微.知识点:二元函数偏导数、可微,难度等级:1分析:先求出(0,0),(0,0)x y f f 然后说明(0,0)(0,0)x y z f x f y ∆-∆-∆不是比ρ更高阶的无穷小量就可以了.证明 : 0(,0)(0,0)lim 0(0,0);x x f x f f x∆→∆-==∆同理, (0,0)0.y f =则2200limlim.()()x x y y zx yx y ρρ→∆→∆→∆→∆→∆∆∆==∆+∆ 但是此极限不存在,故(,)f x y 在(0,0)处不可微.20. 证明:级数2(!)nn x y n ∞==∑满足方程0.xy y y '''+-= 知识点:幂级数,微分方程,难度等级:2. 分析:直接用幂数代入微分方程验证.证明: 因为20,(!)n n x y n ∞==∑所以122212(1),.(!)(!)n n n n nx n n x y y n n --∞∞==-'''==∑∑ 212222101122222111221(1)(!)(!)(!)(1)11(!)(!)(!)!(2)!!(1)!!!n n n n n n n nn n n n n nn n n n n x nx x xy y y x n n n n n x nx x n n n x x x n n n n n n --∞∞∞===--∞∞∞===--∞∞∞===''-'''+-=+--=++--=+---∑∑∑∑∑∑∑∑∑ 21111(1)!(1)!(1)!!(!)(1)(1)(1)!!0n n nn n n nn x x x n n n n n n n xn n ∞∞∞===∞==+-+-++-+=+=∑∑∑∑∴方程0xy y y '''+-=成立.六、应用题 (每小题8分,共16分)21. 设球在动点(),,P x y z 处的密度与该点到球心距离成正比,求质量为m 的非均匀球体2222x y z R ++≤对于其直径的转动惯量. 知识点:立体的转动惯量,难度等级:2. 分析:利用转动惯量公式,球坐标计算三重积分.解:设球体方程为2222:,x y z R Ω++≤密度函数ρ=则球体的质量为:234(,,)sin Rm x y z dxdydz k k d d r dr k R ππρθϕϕπΩΩ====⎰⎰⎰⎰⎰⎰所以,密度函数为ρ=计算该球体绕z 轴转动的转动惯量:22224235232240()(,,)(24sin sin 39Rm I x y x y z dxdydz xy R m d d r dr mR d mR R πππρπθϕϕϕϕπΩΩ=+=+===⎰⎰⎰⎰⎰⎰⎰⎰⎰⎰22.将质量为m 的物体垂直上抛,假设初始速度为0,v 空气阻力与速度成正比(比例系数为k ),试求在物体上升过程中速度与时间的函数关系.知识点:微分方程的初值问题,难度等级:1 分析: 只需将二阶导数表示出来就可证之.解: 根据条件,空气阻力为.kv 于是物体上升过程中受力为()kv mg -+(其中负号表示力与运动方向相反),而运动加速度为.dva dt=因而得微分方程 .dv m kv mg dt=-- 又知初始速度为0v ,故得初值问题0,(0).dv kv g dt mv v ⎧+=-⎪⎨⎪=⎩ 因此000000(1.)()()ttkkkk k k dtdtt t t t tm m mm m mgm mg v egedt v ee v e v e k m k kg -----⎰⎰=-+=+-+=+⎰。
A 组1.验证拉格朗日中值定理对函数32452y x x x =-+-在区间[0,1]上的正确性 解析:考查拉格朗日中值定理的应用,只需在[0,1]内找出一点使得=0y ',证明:已知函数在[0,1]内连续,在(0,1)内可导,则其满足拉格朗日中值定理的两个条件 令()y y x =,则(1)2y =-,(0)2y =-又因为2()12101y x x x '=-+,令[(1)(0)]()(10)y y y x '-=-,即()0y x '=,解得1,21052412x ±==则存在(0,1)ξ∈,使得(1)(0)()(10)y y y ξ'-=-2.证明方程3220x x C -+=在区间[0,1]上不可能有两个不同的实根,其中C 为任意常数 解析:考查罗尔定理的应用,本题可以利用反证法来证明证明:设32()2f x x x C =-+,假设存在两点1x ,2x (12x x >),使得12()()0f x f x == 则在12[,]x x 内,满足罗尔定理,即存在12(,)x x ξ∈,使得()0f ξ'=2()34f x x x '=-,令()0f x '=,解得0x =,x =(不在所设区间内,舍去) 若0ξ=,则1x ,2x 中必有一个不存在,与所设假设不符 则方程3220x x C -+=在区间[0,1]上不可能有两个不同的实根3.若方程10110n n n a x a x a x --+++=L 有一个正根0x x =,证明:方程12011(1)0n n n a nx a n x a ---+-++=L 必有一个小于0x 的正根解析:考查罗尔定理的应用,判断利用哪个中值定理可以通过所得条件得出,设1011()n n n f x a x a x a x --=+++L ,则由已知条件可得0()(0)0f x f ==,这样满足罗尔定理的第三个条件证明:设1011()n n n f x a x a x a x --=+++L ,0()(0)0f x f == 且12011()(1)n n n f x a nx a n x a ---'=+-++L根据罗尔定理可知,存在一点0(0,)x ξ∈,使得()0f ξ'=即12011(1)0n n n a nxa n x a ---+-++=L 必有一个小于0x 的正根4.设2350a b -<,证明:方程532340x ax bx c +++=有唯一的实根解析:考查连续函数的性质,分析题干所给条件,2350a b -<正是判断函数53()234f x x ax bx c =+++导数根的存在性的依据,而lim ()x f x →-∞=-∞,lim ()x f x →+∞=+∞,则可以判断函数的根的唯一性证明:设53()234f x x ax bx c =+++,42()563f x x ax b '=++令2t x =,2()563f t t at b '=++(0t ≥)而222(6)543366012(35)0a b a b a b -⋅⋅=-=-<则2()5630f t t at b '=++=没有实数解,且lim ()x f x →+∞'=+∞因此可得()0f x '>恒成立,方程532340x ax bx c +++=有唯一的实根 5.设0a b >>。
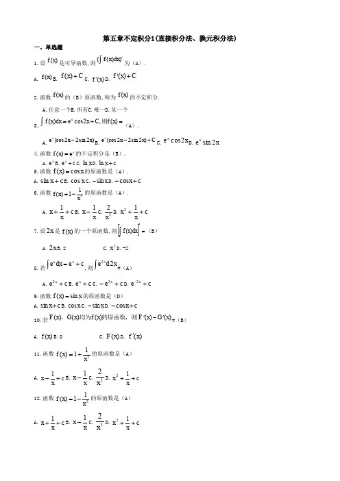
第五章不定积分1(直接积分法、换元积分法)一、单选题1.设)(x f 是可导函数,则⎰'))((dx x f 为(A ).A.)(x fB.C x f +)(C.)(x f 'D.C x f +')(2.函数)(x f 的(B )原函数,称为)(x f 的不定积分.A.任意一个B.所有C.唯一D.某一个3.⎰=+=)(,2cos )(x f C x e dx x f x则(A ).A.)2sin 22(cos x x e x -B.C x x e x +-)2sin 22(cosC.x e x 2cosD.x e x2sin4.函数x e x f =)(的不定积分是(B ). A.x e B.c e x + C.x ln D.c x +ln5.函数x x f cos )(=的原函数是(A ). A.c x +sin B.x cos C.x sin - D.c x +-cos6.函数211)(x x f -=的原函数是(A ).A.c x x ++1 B.x x 1- C.32x D.c xx ++12 7.设x 2是)(x f 的一个原函数,则[]='⎰dx x f )((B )A.x 2B.2C.2x D.-28.若ce dx e xx +=⎰,则⎰xd e x22=(A )A.c ex+2 B.c e x + C.c e x +-2 D.c e x +-29.函数x x f sin )(=的原函数是(D ) A.c x +sin B.x cos C.x sin - D.c x +-cos10.若)()()()()(x G x F x f x G x F '-'的原函数,则均为、=(B )A.)(x fB.0C.)(x FD.)(x f ' 11.函数211)(xx f +=的原函数是(A ) A.c xx +-1B.x x 1-C.32xD.c x x ++1212.函数211)(x x f -=的原函数是(A ) A.c xx ++1 B.x x 1- C.32x D.c x x ++1213.若函数)(x f 、)(x g 在区间),(b a 内可导,且)()(x g x f '=',则(B ) A.)()(x g x f = B.C x g x f +=)()(C.)()(x g x f ≠D.不能确定)(x f 与)(x g 之间的关系 14.若)()(x f x F =',则下列等式成立的是(B ). A.C x f dx x F +='⎰)()( B.⎰+=C x F dx x f )()(C.⎰+=C x f dx x F )()(D.C x F dx x f +='⎰)()(15.经过点)1,0(-,且切线斜率为x 2的曲线方程是(D ). A.2x y = B.2x y -= C.12+=x y D.12-=x y 二.填空题 1.)25ln(2125x d x dx --=-.2.)1(212x d xdx --=.3.C aa dx a xx +=⎰ln .4.设)(x f 是连续函数,则dxx f dx x f d )()(=⎰.5.xx cos 2+的原函数是x x sin 2+.6.]4)3[(21)3(2---=-x d dx x .7.C x xdx +=⎰7sin 717cos .8.)1(ln 3133-=x x a d adx a .9.)3(cos 313sin x d xdx -=.10.C x dx x x +=⎰2ln 21ln .11.C x dx x +=⎰4341.12.)C 41(2222+-=--x x e ddx xe .13.C x xdx x +=⋅⎰2sin 21sin cos .14.C x dx x +=+⎰3arctan 319112. 15.C x x dx x +-=⎰)sin (212sin 2.16.⎰+='C x f dx x f )2(21)2(.17.设⎰+=.)()(C x F dx x f ,若积分曲线通过原点,则常数)0(F C -=.18.)3(arctan 31912x d x dx=+. 19.)(2122x x e d dx xe =.20.已知xx f C x dx x f 2sin )(,sin )(2=+=⎰则.21.设)()()(21x f x F x F 是、的两个不同的原函数,且=-≠)()(,0)(21x F x F x f 则有 C.22.C x x dx x x +-=+-⎰222111 23.Ce dx e xxx +-=⎰1121.24.)1ln(21122-=-x d dx x x .25.若x x f sin )(的导函数是,则)(x f 的原函数为Cx +-sin .26.设)(3x f x 为的一个原函数,则dxx x df 23)(=.27.)2cos 41(812sin x d xdx -=28.x x sin 2+的一个原函数是x x cos 313-.29.)3(cos 33sin x d dx x -=.30.Cx xdx +-=⎰cos ln tan .31.()C x dx x +--=-⎰)21sin(2121cos .32.Cx xdx +=⎰tan sec 2. 33.C x x dx +-=⎰3cot 313sin 2.34.设x 2是)(x f 的一个原函数,则⎰='])([dx x f 2.三.判断题 1.⎰+=cx xdx cos sin (×)2.x x e dx e =⎰(×)3.⎰-=.cos sin x xdx (×)4.⎰+-=cx xdx cos sin (√)5.)21sin()]21[sin(x dx x -=-⎰(×)6.⎰+-=c x xdx sin cos (×)四.计算题1.求不定积分dx x x ⎰+21.解:原式=C x x d x ++=++⎰23222)1(31)1(1212.求不定积分dx x ⎰-31.解:原式=C x +--3ln3.求不定积分⎰+dx e e xx 1.解:原式=C e e d e x x x ++=++⎰)1ln()1(11 4.求不定积分⎰+-dx x x x )3sin 21(.解:原式=C x x x +++ln 3cos 225.求不定积分⎰-dx xe x 2.解:原式=C e x +--221 6.求不定积分dx x x⎰+12.解:原式=C x ++)1ln(2127.求不定积分dx x x ⎰+2)72(.解:原式=C xx x ++⋅+7ln 24914ln 1422ln 24 8.求不定积分⎰+dx x 10)12(.解:原式=C x ++11)12(2219.求不定积分⎰+-dx xx x )1)(1(.解:原式=C x x x x x +-+-221522210.求不定积分⎰xdx 2sin .解:原式=C x x +-2sin 4121 11.求不定积分⎰dx xx 22cos sin1.解:原式=C x x +-cot tan 12.求不定积分dx x ⎰+321.解:原式=C x ++32ln 2113.求不定积分xdx x arctan 112⎰+.解:原式=C x +2)(arctan 21 14.求不定积分⎰-dx x x 4313.解:原式=C x +--41ln 43 15.求不定积分⎰+dx x 2411.解:原式=C x +2arctan 21 16.求不定积分⎰+dx x x)5(3.解:原式=C x x++5ln 5414 17.求不定积分⎰-dx e x5.解:原式=C e x +--551五.应用题1.设一质点作直线运动,已知其加速度为t t a sin 3122-=,如果0=t 时3,500-==s v , 求(1)t v 与的函数关系;(2)t s 与的函数关系.解:32sin 3)(2sin 3)2cos 34()(2cos 34)(cos 34)sin 312()(43,04335,032-++=−−−→−+++=++=++=−−→−++=-=-====⎰⎰t t t t s c t t t dt t t t s t t t v C t t dt t t t v s t v t2.求经过点(0,0),且切线斜率为x 2的曲线方程. 解:20,022x y C x xdx y y x =−−−→−+====⎰3.一物体由静止开始运动,t 秒末的速度是23t (米/秒),问(1)在3秒末物体与出发点之间的距离是多少?(2)物体走完360米需多长时间? 解:设运动方程为:30,032)(3)(t t S C t dt t t S S s t =−−→−+=====⎰(1)当3=t时,27)3(=S (米)(2)当.360360)(33秒=⇒==t t t S4.一曲线过原点且在曲线上每一点),(y x 处的切线斜率等于3x ,求这曲线的方程. 解:40,0434141x y C x dx x y y x =−−−→−+====⎰ 5.已知物体由静止开始作直线运动,经过t 秒时的速度为180360-t (米/秒),求3秒末物体离开出发点的距离. 解:t t t S C t tdt t S s t 180180)(180180180)-60t 3()(20,02-=−−→−+-====⎰.当3=t时,1080)3(=S (米).6.求经过点)1,(e ,且切线斜率为x 1的曲线方程.解:x y C x dx xy y e x ln ln 11,=−−→−+====⎰.7.求经过点(0,0),且切线斜率为211x+的曲线方程.解:x y C x dx x y y x arctan arctan 110,02=−−−→−+=+===⎰.第五章不定积分2一.单选题1.下列分部积分法中,dv u ,选择正确的是(A ).A.⎰==xdxdv x u xdx x 2sin 2sin ,, B.xdxdv u xdx ln ,1,ln ==⎰C.dxx dv e u dx e x x x22,,==--⎰D.xdx dv e u dx xe xx==⎰,,2.⎰⎰-=)(2arctan d 2arctan Axd x x x x .A.x arctan2B.x arctan4C.x arctan2-D.x arctan4-3.=⎰2-4d x x (A).A.C x +2arcsinB.C x +arcsinC.Cx +2arccos D.C x +arccos二.判断题1.分部积分法u v uv v u d d ⎰-=⎰的关键是恰当的选择u 和v d ,使u v d ⎰应比v u d ⎰容易积分.(√)2.若被积函数中含有22a x ±,则可利用三角函数代换法化原积分为三角函数的积分.(√)三.填空题 1.Cx dx x ++=+⎰1211.2.设)(x f 有一原函数⎰+-='Cx dx x f x x x cos )(,sin 则.3.C x x x xdx x +-=⎰2241ln 21ln .4.)3(arcsin 31912x d xdx =-.5.Cx x e dx e x x x ++-=⎰)22(22.6.⎰++-=C x x x xdx x 3sin 913cos 313sin .四.计算题1.求不定积分⎰-dx x x232.解:原式=Cx x d x +--=---⎰2223231)32(321612.求不定积分⎰dxx ex22.解:原式=C x x e x ++-)21(2122 3.求不定积分⎰++dxx x 11.解:C x x C t t dt t t t x +--+=+-=-=+⎰1)1(3232)22(132232原式4.求不定积分⎰+)1(x x dx.解:cx C t dt t t x +=+=+=⎰arctan 2arctan 21222原式5.求不定积分⎰xdxx 2sin .解:原式=C x x x ++-2sin 412cos 21 6.求不定积分⎰+dx e x x 5)2(.解:原式=C x e x ++)59(515 7.求不定积分dxxex⎰-4.解:原式C x e x ++-=-)16141(48.求不定积分⎰++dxx 111.解:原式[]C x x +++-+=)11ln(129.求不定积分⎰+-dxx 1211.解:原式[]C x x +-+++=112ln12-10.求不定积分dxex⎰+11.解:原式=C e e xx +++-+1111ln11.求不定积分⎰xdxxln 2.解:原式C x x +-=)31(ln 313 12.求不定积分dx x x ⎰-1.解:原式C x x +---=)1arctan 1(213.求不定积分⎰---dxx x 22112.解:原式C x x +-=)(arcsin 214.求不定积分⎰dx a x x 2)1,0(≠>a a .解:原式C aa x a x a x++-=)ln 2ln 2ln (32215.求不定积分dxx⎰-2941.解:原式C x +=23arcsin 31 16.求不定积分dxx ⎰sin .解:原式C x x x ++=sin 2cos -217.求不定积分⎰xdx x 3cos .解:原式C x x x ++=3cos 913sin 31 18.求不定积分dxx x ⎰+2.解:原式C x x ++-+=2123)2(4)2(32五.应用题(增加题)第六章定积分一.单选题 1.)(240Ddx x =-⎰A.⎰⎰-+-4220)2()2(dxx dx x B.⎰⎰-+-422)2()2(dxx dx x C.⎰⎰-+-422)2()2(dxx dx x D.⎰⎰-+-422)2()2(dxx dx x2.=⎰a adx x f )((C)A.大于0B.小于0C.等于0D.不能确定 3.⎰⎰--=+1111)()(dx x f dx x f (C)A.大于0B.小于0C.等于0D.不能确定 4.定积分⎰badxx f )(是(D )A.一个原函数B.()x f 的一个原函数C.一个函数族D.一个常数 5.定积分⎰badxx f )(的值的大小取决于(C)A.)(x fB.区间[]b a ,C.)(x f 和[]b a ,D.都不正确 6.定积分⎰badxx f )(的值的大小取决于(C)A.)(x fB.区间[]b a ,C.)(x f 和[]b a , D.无法确定 7.⎰⎰=-3234)()(dx x f dx x f (A)A.⎰42)(dxx f B.⎰24)(dxx f C.⎰43)(dxx f D.⎰32)(dxx f8.下列命题中正确的是(C )(其中)(),(x g x f 均为连续函数) A.在[]b a ,上若)()(x g x f ≠则dxx g dx x f ba ba⎰⎰≠)()( B.⎰⎰≠babadtt f dx x f )()(C.若)()(x g x f ≠,则⎰⎰≠dxx g dx x f )()( D.⎰=badxx f dx x f d )()(9.=⎰dx x f dxd ba )((B) A.)(x f B.0 C.)(x f ' D.)(x F 10.若1)(=x f ,则⎰=badx x f )((C)A.1B.b a -C.a b -D.0 11.定积分⎰badxx f )(是(B )A.任意的常数B.确定的常数C.)(x f 的一个原函数D.)(x f 的全体原函数 12.若⎰=+12)2(dx k x ,则=k (B)A.-1B.1C.1/2D.0 13.=-⎰dx x 5042(C)A.11B.12C.13D.14 二.判断题1.函数在某区间上连续是该函数在该区间上可定积分的必要条件.(×)2.a b dx ba -=⎰0.(×)3.⎰='badx x f 0))((.(×)4.x xdx dx d ba sin sin ⎰=.(×)三.填空题1.设)(x f '在[]b a ,上连续,则)()()(a f b f dx x f b a-='⎰.2.C dx xxx +=⋅⎰6ln 6321. 3.4111022π-=+⎰dx x x .4.ee dx x e x-=⎰2121.5.设⎰⎰==52515)(,3)(dx x f dx x f ,则2)(21-=⎰dx x f .6..0113=⎰-dx x .7.若)(x f 在[]b a ,上连续,且⎰=ba dx x f 0)(,则[]a b dx x f ba-=+⎰1)(.8.由曲线22+=x y ,直线3,1=-=x x 及x 轴围成曲边梯形的面积352)2(312=+=⎰-dx x A . 9..0sin 12=⎰dx x dx d .10.11ln4141=+-⎰-dx xx.11.1)1sin(212=⎰dx xx ππ. 12.32112=⎰-dx x .13.0cos 11⎰-=xdx x .14.利用定积分的几何意义填写定积分的值π41112=-⎰dx x . 15.22sin sin x dt t dx d x⎰=.16..0sin 222=⎰-xdx x .17..0113=⎰-dx x .18. 的值为积分.21ln 1⎰edx x x 19.2)253(22224⎰⎰=++-dx dx x x .20.11-=⎰e dx e x . 21.431=⎰-dx .22.⎰1212ln xdxx 的值的符号为负.四.计算题 1.求定积分.⎰+411xdx 解:原式)32ln 1(2+=2.求定积分⎰-124x dx.解:原式6arcsin 10π==x3.求定积分⎰-+-01)32)(1(dxx x .解:原式21-=4.求定积分dxx⎰--2121211解:原式3arcsin 2121π==-x5.求定积分⎰-+12511x dx 解:原式=2ln 54)511ln(5112=⎥⎦⎤⎢⎣⎡+-x6.求定积分dx x ⎰+9411解:原式[])2ln 1(2)1ln(232+-=-+-=t t7.求定积分dxex⎰-1.解:原式eex1101-=-=- 8.求定积分dxx ⎰212解:原式3712313==x 9.求定积分θθπd ⎰402tan 解:原式[]4104tan ππθθ-=-=10.求定积分.dx xx ⎰+402sin 12sin π解:原式232ln 04)sin 1ln(=+=πx 11.求定积分dxx x ⎰-ππ23sin .解:原式=012.求定积分()dxxx ⎰--2121221arcsin .解:原式=324)(arcsin 31321213π=-x 13.求定积分dxx x ⎰+911.解:原式2ln 213)1ln(2=+=x14.求定积分dxex x⎰12.解:原式201)22(2-=+-=e x x ex15.求定积分⎰+104)1(x dx 解:原式24701)1(31-3=+=-x 16.求定积分dxxe x ⎰2.解:原式102)1(2+=-=e x ex17.求定积分⎰-1dxxe x .解:原式e x ex2101)1(--=+=-18.求定积分dx x ⎰⎪⎭⎫⎝⎛+πππ33sin .解:原式0)3cos(3=+-=πππx19.已知⎩⎨⎧≤<-≤≤=31,210,)(2x x x x x f ,计算⎰20)(dx x f .解:原式⎰⎰-=-+=2110261)2(dx x dx x 20.求定积分()dx x x +⎰194.解:原式627149)2132(223=+=x x21.求定积分⎰1arctan xdxx .解:原式=214)arctan arctan (21102-=⎥⎦⎤⎢⎣⎡+-πx x x x22.求定积分⎰1arcsin xdx .解:原式1201)1arcsin (2-=-+=πx x x23.求定积分⎰262cos ππudu.解:原式836)2sin 21(2162-=+=πππu u 24.求定积分()dx x x x ⎰+2sin π.解:原式18sin cos 2122+=⎥⎦⎤⎢⎣⎡+-=ππx x x x25.求定积分dx x x ⎰-121221.解:原式[]41cot sin 24πππ-=--=t t t x26.求定积分dx x x 1sin 1212⎰ππ.解:原式11cos12==ππx27.求定积分dx x ⎰+11210.解:原式10ln 4950110ln 21012==+x 28.求定积分xdxx ⎰23cos sin π解:原式410cos 41-24==πx29.求定积分⎰124dx x x .解:原式10ln 710ln 810=⎥⎦⎤⎢⎣⎡=x 30.求定积分dx x x e⎰-1ln 1.解:原式21ln 21ln 12=⎥⎦⎤⎢⎣⎡-=ex x31.求定积分dxx x ⎰+31)1(1.解:原式[]6arctan 2312π==t t x32.求定积分xdxx cos sin 23⎰π.解:原式410sin 4124==πx33.求定积分⎰--1321dx x .解:原式[]5ln 2ln -13=-=-x34.求定积分dx x x x ⎰++21222)1(12解:原式4212arctan 1arctan 21π-+=⎥⎦⎤⎢⎣⎡-=x x 35.求定积分⎰+21ln 1e x x dx.解:原式[])13(2ln 1221-=+=e x36.求定积分dxe x x ⎰22.解:原式)1(21214202-=⎥⎦⎤⎢⎣⎡=e e x37.求定积分dxx ⎰20sin π.解:原式10cos 2=-=πx38.求定积分⎰++10)32)(1(dx x x .解:原式2112521032=⎥⎦⎤⎢⎣⎡++=x x x39.求定积分dttet ⎰-1022.解:原式212112---=⎥⎥⎦⎤⎢⎢⎣⎡-=e e t 40.求定积分dx x x ⎰+102212.解:原式[]22)arctan (210π-=-=x x41.求定积分⎰πsin xdxx .解:原式[]ππ=+-=0sin cos xx x42.求定积分dx x xe⎰12ln .解:原式311ln 313==e x43.求定积分⎰2cos sin 3πxdxx .解:原式230sin 2322==πx44.求定积分()⎰ωπωω20sin 为常数tdt t 解:原式2022sin 1cos 12ωπωωωωωω-=⎥⎦⎤⎢⎣⎡+-=t t t45.求定积分dxx ⎰230cos π.解:原式[][]3sin sin 23220=-=πππx x46.求定积分dxx ⎰--2221.解:原式43131231213113123=⎥⎦⎤⎢⎣⎡-+⎥⎦⎤⎢⎣⎡-+⎥⎦⎤⎢⎣⎡-=---x x x x x x47.求定积分⎰+331211dx x .解:原式[]6arctan 331π==x48.求定积分⎰+161 4x x dx .解:原式23ln 2)1ln(2142124+=⎥⎦⎤⎢⎣⎡++-=t t t t x五.应用题1.已知生产某产品x (百台)时,总收入R 的变化率x R -='8(万元/百台),求产量从从1(百台)增加到3(百台)时,总收入的增加量.解:由已知x R -='8得总收入的增加量为:12218)8(R3131312=⎥⎦⎤⎢⎣⎡-=-='=⎰⎰x x dx x dx R2.试描画出定积分⎰ππ2cos xdx所表示的图形面积,并计算其面积.解:[]1sin cos 22=-=-=⎰ππππx xdx S .(图形略)3.试描画出定积分⎰ππ2sin xdx 所表示的面积图形,并计算其面积.解:[]1cos sin 22=-==⎰ππππx xdx S .(图形略)4.计算曲线3x y =,直线3,2=-=x x 及x 轴所围成的曲边梯形面积.解:49741413402433023=⎥⎦⎤⎢⎣⎡+⎥⎦⎤⎢⎣⎡-=+-=--⎰⎰x x dx x dx x S.(图形略) 5.计算抛物线24x y -=与x 轴所围成的图形面积. 解:24x y -=与x 轴的交点为(-2,0),(2,0)6.已知生产某产品x (百台)时,总成本C 的变化率为x C +='2(万元/百台),求产量从1(百台)增加到3(百台)时总成本的增加量.解:.8212)2(31312=⎥⎦⎤⎢⎣⎡+=+=⎰x x dx x C7.计算函数x y sin 2=在⎥⎦⎤⎢⎣⎡2,0π上的平均值.解:[]πππππ4cos 222sin 22020=-==⎰x xdxy8.计算函数x y cos 2=在⎥⎦⎤⎢⎣⎡2,0π上的平均值.解:[]πππππ4sin 222cos 2202===⎰x xdxy第七章定积分的应用一.单选题1.变力使)(x f 物体由],[b a 内的任一闭区间]d ,[x x x +的左端点x 到右端点x x d +所做功的近似值为(C).A.)(x df -B.)(dx fC.dx x f )(D.dx x f )(- 2.一物体受连续的变力)(x F 作用,沿力的方向作直线运动,则物体从a x =运动到b x =,变力所做的功为(A).A.⎰b a x x F d )( B.⎰ab x x F d )( C.⎰-ab x x F d )( D.⎰-ba x x F d )(3.将曲线2x y =与x 轴和直线2=x 所围成的平面图形绕y 轴旋转所得的旋转体的体积可表示为=y V (C ).A.dxx ⎰24π B.⎰4ydyπ C.()dyy ⎰-44π D.()dyy ⎰+44π二.判断题 1.定积分⎰badxx f )(反映在几何意义上是一块[a,b]上的面积.(╳)2.已知边际利润求总利润函数可用定积分方法.(√) 三.填空题 1.计算曲线x y sin =与曲线2π=x 及0=y 所围成的平面图形的面积可用定积分表示为⎰=2sin πdxA .2.抛物线3x y =与x 轴和直线2=x 围成的图形面积为⎰23dxx .3.由曲线2x y =与直线1=x 及x 轴所围成的平面图形,绕x 轴旋转所的旋转体的体积可用定积分表示为⎰=14dxx V x π.四.计算题1.求抛物线3x y =与x 轴和直线3=x 围成的图形面积.2.把抛物线ax y 42=及直线)0(>=b b x 所围成的图形绕x 轴旋转,计算所得旋转体的体积.3.一边长为a m 的正方形薄板垂直放入水中,使该薄板的上边距水面1m ,试求该薄板的一侧所受的水的压力(水的密度为33kg/m 10,g 取2m/s 10).4.计算抛物线2x y =与直线轴和x x x 3,1=-=所围成的平面图形绕x 轴旋转所得到的旋转体体积.5.由22x y x y ==和所围成的图形绕x 轴旋转而成的旋转体体积.6.求由曲线x y 1=与直线x y =及2=x 所围成的图形的面积.7.用定积分求由0,1,0,12===+=x x y x y 所围平面图形绕x 轴旋转一周所得旋转体的体积.8.求曲线22)2(,-==x y x y 与x 轴围成的平面图形的面积.9.用定积分求底圆半径为r ,高为h 的圆锥体的体积.10.计算曲线3x y =和x y =所围成的图形面积.11.计算抛物线24x y -=与x 轴所围成的图形面积.12.求曲线2x y =与x y =所围成的图形的面积。
重庆大学高等数学教材答案在此提供《重庆大学高等数学教材答案》的文章。
重庆大学高等数学教材答案第一章:函数与极限1.1 函数与映射函数是数学中的重要概念之一。
在高等数学教材中,函数被定义为一个一一对应的关系,其中每个自变量对应唯一的一个因变量。
映射是函数的另一个称呼,用来描述函数的输入和输出之间的对应关系。
通过函数和映射的理论,我们可以深入理解数学中的变化规律和性质。
1.2 极限的概念极限是高等数学中的基础概念之一。
在定义中,我们说函数f当自变量趋于某个特定值时,对应的函数值趋于一个确定的常数L,则称函数f在该自变量趋于特定值的情况下有极限L。
通过研究函数的极限,我们可以了解函数的收敛性、趋势以及它们的性质。
第二章:导数与微分2.1 导数的定义与性质导数是函数在某一点上的局部变化率,通过导数可以研究函数的变化趋势以及各点上的斜率。
在高等数学教材中,我们学习了导数的定义以及导数的一些性质,如导数与函数的连续性、导数的四则运算等。
2.2 微分的概念与应用微分是导数的一种形式,通过微分我们可以研究函数的变化率和函数在某一点上的线性逼近。
微分在实际问题中的应用非常广泛,例如在物理学中,通过微分可以描述物体的运动轨迹和速度变化。
第三章:定积分与不定积分3.1 定积分的概念与性质定积分是高等数学中的重要内容之一,它是对函数在一定区间上面积的度量。
通过定义和性质,我们可以计算函数在给定区间上的定积分,并将其应用于求解几何问题、物理问题等。
3.2 不定积分的计算与应用不定积分是定积分的一种逆运算,通过不定积分我们可以找到函数的原函数。
通过学习不定积分的计算方法,我们可以应用于求解一些特定问题,例如计算曲线的长度、求解微分方程等。
第四章:级数4.1 数列极限的概念与性质数列极限是研究函数序列收敛性的一个重要概念。
通过掌握数列极限的定义和性质,我们可以判断函数序列是否收敛,并了解函数序列的收敛趋势。
4.2 级数的概念与性质级数是数列的和的概念,通过级数我们可以了解数列的求和情况。
1、函数,若在处连续,则=______
正确答案是:0
2、设曲线过,且其上任意点的切线斜率为,则该曲线的方程是__________ 正确答案是:
3、设则 __________。
正确答案是:36
4、设,则______
正确答案是:
5、已知在区间上单调递减,则的单调递减区间是______ 。
正确答案是:
6、=______
正确答案是:1
四、计算题(共 2 题、0 / 16 分 )
1、利用基本积分公式及性质求积分。
正确答案是:原式=
2、求。
正确答案是:=ln 1-ln 2=-ln 2.
牛顿-莱布尼兹公式
1、验证拉格朗日定理对函数在区间[0,1]上的正确性.
正确答案是:
因为在[0,1]上连续,在(0,1)内可导,满足拉格朗日定理的条件. 由得
解得,即存在使得拉格朗日定理的结论成立.
六、证明题(共 1 题、0 / 20 分 )
1、利用极限存在准则证明:。
正确答案是:∵
且,,由夹逼定理知
用夹逼准则。
高等数学重庆大学版教材答案第一章:极限与连续1.1 极限的概念与性质1.2 极限存在准则及常用极限第二章:函数与导数2.1 函数的概念与性质2.2 一次函数与多项式函数2.3 指数函数与对数函数2.4 三角函数与反三角函数2.5 导数的概念及其几何意义第三章:微分学应用3.1 微分学中的中值定理3.2 泰勒公式与函数的凹凸性3.3 曲线的渐近线与曲率第四章:不定积分与定积分4.1 不定积分的概念与性质4.2 基本积分公式及其应用4.3 定积分的概念与性质4.4 定积分的计算方法第五章:常微分方程5.1 常微分方程的基本概念与解法5.2 一阶线性常微分方程5.3 高阶常系数线性微分方程第六章:多元函数微分学6.1 多元函数的概念与性质6.2 多元函数的偏导数6.3 多元函数的全微分与全导数第七章:多元函数积分学7.1 二重积分及其计算方法7.2 三重积分及其计算方法7.3 曲线与曲面的面积与曲线积分第八章:无穷级数与幂级数8.1 数项级数的概念与性质8.2 收敛级数判别法8.3 幂级数及其收敛半径第九章:向量代数与空间解析几何9.1 向量的概念与性质9.2 空间几何与平面方程第十章:连续性与一元函数微积分应用10.1 函数连续性与间断点10.2 一元函数微积分应用第十一章:二重积分与曲线积分应用11.1 二重积分应用11.2 曲线积分应用第十二章:无穷级数与多元函数微积分应用12.1 数项级数的应用12.2 多元函数微积分的应用总结:以上为高等数学重庆大学版教材的答案提纲。
希望这个提纲能够帮助你更好地学习和理解高等数学的知识。
在实际讲授过程中,还请参考教材详细内容和课堂教学,确保准确性和全面性。
祝你学习进步!。
高等数学重大版教材答案**注意:本文仅提供高等数学重大版教材答案,不含任何解题思路和详细解释。
**第一章:函数与极限1.1 函数概念及表示法1.2 映射与初等函数1.3 函数的极限与连续第二章:导数与微分2.1 导数的概念2.2 基本微分法与常见初等函数的导数2.3 高阶导数与隐函数及参数方程的导数2.4 微分中值定理与导数的应用第三章:不定积分3.1 不定积分的概念与性质3.2 基本积分公式与常用积分法3.3 有理函数的积分法3.4 特殊函数的积分法第四章:定积分4.1 定积分的概念与性质4.2 牛顿-莱布尼茨公式4.3 定积分的计算方法4.4 定积分的应用第五章:定积分的应用5.1 几何应用5.2 物理应用5.3 统计应用第六章:多元函数微分学6.1 二元函数及其表示6.2 偏导数与全微分6.3 隐函数及参数方程的偏导数6.4 多元函数的极值与最值第七章:多元函数积分学7.1 二重积分的概念与性质7.2 二重积分的计算方法7.3 三重积分的概念与性质7.4 三重积分的计算方法第八章:无穷级数8.1 无穷数列8.2 无穷级数8.3 幂级数8.4 函数项级数第九章:常微分方程9.1 一阶微分方程9.2 高阶微分方程9.3 变量可分离的方程9.4 齐次方程第十章:向量代数与空间解析几何10.1 向量的表示与运算10.2 空间直线与平面的方程10.3 空间曲线与曲面的方程10.4 空间曲线与曲面的切线与法线第十一章:多元函数积分学的应用11.1 二重积分的应用11.2 三重积分的应用第十二章:常系数线性微分方程12.1 齐次线性微分方程12.2 非齐次线性微分方程12.3 常系数高阶线性微分方程第十三章:傅里叶级数13.1 傅里叶级数的定义与性质13.2 傅里叶级数的计算13.3 奇偶函数的傅里叶级数13.4 周期函数的傅里叶级数第十四章:拉普拉斯变换14.1 拉普拉斯变换的定义与性质14.2 拉普拉斯变换的计算14.3 拉普拉斯逆变换与初值问题14.4 拉普拉斯变换的应用第十五章:曲线积分与曲面积分15.1 曲线积分15.2 曲面积分第十六章:无穷级数的收敛与发散16.1 正项级数与一般级数16.2 收敛级数的性质16.3 判别级数敛散的方法总结- 文章连接思路清晰,按照教材章节顺序排布,每章标题精确对应教材内容。
2.若2lim ()x x a x x a xe dx x a
+∞-→+∞-=+⎰,求a 的值。
3、设函数()y y x =由方程322
2221y y xy x -+-=所确定,试求()y y x =的驻点,并判断它是否是极值点。
4. 计算
22(tan 1)x e x dx +⎰。
5. 设12
01()()1x f x xe f x dx x =-+⎰,求(),()f x f x '。
6. 已知1(2),(2)02
f f '==及20()1f x dx =⎰,求120(2)x f x dx ''⎰。
四、证明题(每小题9分,本题共18分)
1、证明方程0ln x x e π=
-⎰在区间(0,)+∞内有且仅有两个不同的实根。
2、设()f x 在[0,]π上连续,在(0,)π内可微,且0()sin 0f x xdx π
=⎰,0()cos 0f x xdx π
=⎰。
证明:在(0,)π内至少存在一点ξ,使得()0f ξ'=。
五、应用题(本题共10分)用自重200N 的抓斗将井深30米内开始时重2000N 的污泥提升到井口,已知铁链每米重50N ,提升速度为每秒3米,提升过程中污泥以每秒20N 的速度从抓斗的漏孔中漏掉,问克服重力作功多少焦耳?。
重大高等数学上教材答案在高等数学教学中,教材答案是学生们学习和掌握数学知识的一种重要辅助工具。
通过查阅教材答案,学生可以及时了解自己的学习进展,并对自己的错题进行复习和纠正。
本文将为大家提供重大高等数学上教材的答案。
第一章:函数及其图像1.1 函数的概念题目1:判断下列是否为函数解答:a) 是函数,因为一个自变量x只对应一个唯一的函数值y。
b) 不是函数,因为一个自变量x对应两个函数值y1和y2。
...第二章:极限与连续2.1 极限的定义题目1:计算极限解答:a) 当x趋于0时,sinx/x的极限是1。
b) 当x趋于正无穷时,e^x/x的极限是正无穷。
...2.2 连续的概念题目2:判断函数在指定点是否连续解答:a) 函数在x=2处连续。
b) 函数在x=0处不连续,因为左极限不等于右极限。
...第三章:导数与微分3.1 导数的概念题目1:求函数的导数解答:a) f(x)的导数为f'(x)=2x。
b) g(x)的导数为g'(x)=3cosx。
...3.2 导数的运算法则题目2:利用导数的运算法则,求函数的导数解答:a) h(x)=3x^2,则h'(x)=6x。
b) f(x)=sinx+2x^3,则f'(x)=cosx+6x^2。
...第四章:定积分4.1 定积分的概念题目1:计算定积分解答:a) ∫[0,1] (2x+1)dx = 2∫[0,1] xdx + ∫[0,1] dx = 2(1/2) + 1 = 2。
b) ∫[-π,π] sinx dx = 0。
...4.2 定积分的计算方法题目2:利用定积分的计算方法,计算定积分解答:a) ∫[0,1] x^2 dx = 1/3。
b) ∫[1,2] (x^3+2x-1) dx = (1/4)x^4 + x^2 - x ∣[1,2] = (1/4)2^4 + 2^2 - 2 - ((1/4)1^4 + 1^2 - 1) = 5.5。
三、填空题(共 7 题、0 / 14 分 )
1、设则 __________。
正确答案是:36
2、设函数在x = 0处连续,则 __________
正确答案是:-1
3、 = ______
正确答案是:2
4、广义积分_________。
正确答案是:1/2
5、当时,求函数的阶Taylor公式为________。
正确答案是:
6、 _______
正确答案是:
Taylor公式
7、函数的极小值是______
正确答案是:0
四、计算题(共 2 题、0 / 24 分 )
1、求幂函数(为任意实数)的导数。
正确答案是:
当,已有. 现在在两边取对数,则有, 即 . 两边对求导数(做中间变量),有 , .
即 .
2、求函数的定义域。
正确答案是:
要使函数有意义,必须
即
所以函数的定义域是.
定义域是使得函数有意义的一切实数的集合。
五、综合题(共 1 题、0 / 22 分 )
1、讨论函数在与点处的连续性?正确答案是:
(1)求的表达式:
①当时,
②当时,
③当时,
∴
(2)讨论在点处的连续性:
∴不存在,在点处不连续
(3)讨论在点处的连续性:。
习题1-1 A 组1.确定下列函数的定义域和值域 (1)y =(2)y =(3)1cos y x π=(4)ln(sin )y xπ=解析:本题考查函数定义域和值域的概念,定义域指的是自变量的取值范围,值域指的是函数的取值范围,一般定义域和值域可以用区间或描述法来表示,根据此可以求解 解:(1)因为303x x ->⇒>,则函数的定义域为(3,)+∞,值域为(0,)+∞ (2)因为232021x x x x -+≥⇒≥≤或,则函数的定义域为(,1][2,)-∞+∞U 值域为[0,)+∞(3)因为1cos 02x x n π≠⇒≠+(n 为整数),则函数的定义域为12{,}2nx x n z +≠∈ 值域为(,1][1,)-∞-+∞U(4)因为11sin02(21)1212n n x x xxxn nππππππ>⇒<<<+⇒><<+或或(n 是不为0 的整数) 则函数的定义域为11{,{0}}(1,)212xx n Z n n<<∈-+∞+U ,值域为(,1]-∞ 2.设函数()f x 的定义域为[2,3],求复合函数f 的定义域解析:考查复合函数定义域的求解,本题中可以令u 则本题就是求函数()f u 的定义域,也就是求函数u解:由已知可得[2,3]x ∈,则u =则复合函数f的定义域为3.设函数21,0()2,0x x x f x x ⎧+-∞<≤⎪=⎨<<+∞⎪⎩求(2)f -,(0)f ,(2)f解析:考查分段函数的函数值,注意找对变量所在的区间 解:2(2)1(2)5f -=+-=,2(0)101f =+=,2(2)24f ==4.求函数2,1(),142,4x x x f x x x x -∞<<⎧⎪=≤≤⎨⎪<<+∞⎩的反函数及其定义域解析:考查反函数的概念和性质,对于任意一个函数来说,其定义域就是反函数的值域,其值域就是反函数的定义域解:由已知可得,当1x -∞<<时,函数()f x 的值域为(,1)-∞当14x ≤<时,函数()f x 的值域为[1,16];当4x <<+∞时,函数()f x 的值域为[16,]+∞则函数的反函数为12,1()11616log ,y y x f y x x y --∞<<⎧==≤≤<<+∞⎩ 5.判断下列函数的奇偶性(1)235sin y x x =- (2)2233(1)(1)y x x =-++解析:考查函数奇偶性的概念,对于有对称定义域的函数,若()()f x f x -=,则称该函数为偶函数;若()()f x f x -=-,则称该函数为奇函数解:(1)因为2()35sin y x x x -=+,不满足奇、偶函数的定义,则为非奇非偶函数 (2)因为2233()(1)(1)()y x x x y x -=++-=,则原函数为偶函数 6.判断下列函数是由哪些基本函数复合而成: (1)y =2)3ln cos y x =解析:考查复合函数的概念,最常见的五种基本函数包括指数函数、对数函数、幂函数、三角函数、反三角函数,上述函数就是由基本函数复合而成解:(1)该函数是由反三角函数arctan y v =,指数函数12v u =和幂函数21u x =+组成 (2)该函数是由对数函数ln y v =,三角函数cos v u =和指数函数3u x =组成 7.指出下列函数是否为周期函数;若是,求其小正周期 (1)5sin 6y x = (2)2cos y x =解析:考查周期函数的概念,已知最简单的三角函数的周期,例如sin x ,cos x 的最小正周期为2π,根据函数定义域的概念,可以求上诉函数的最小正周期 解:(1)因为sin x 为周期函数,自然本函数为周期,623x x ππ=⇒=则函数的最小正周期为3π(2)同理,本函数也为周期函数,因为21cos 2cos 2xy x +==22x x ππ=⇒=,则函数的最小正周期为π8.设函数,1(),1x e x f x x x ⎧<=⎨≥⎩,22,0()1,1x x x x x ϕ+<⎧=⎨-≥⎩,求复合函数(())f x ϕ解析:考查复合函数的概念和性质,首先应确定函数()x ϕ的值域在函数()f x 哪个定义域内,然后求出复合函数(())f x ϕ的对应关系解:对于函数()x ϕ来说,当1x <-时,值域为(,1)-∞,此时2(())x f x e ϕ+=;当10x -≤<时,值域为(1,2),(())2f x x ϕ=+;当1x ≤<(0,1),21(())xf x e ϕ-=;x ≤时,值域为[1,)+∞,2(())1f x x ϕ=-综上可知2212,12,10(()),11,x x e x x x f x e x x x ϕ+-⎧<-⎪+-≤<⎪=⎨≤<⎪⎪-≥⎩B 组1.确定下列函数的定义域和值域 (1)2arccos1x y x =+ (2)211y x=-(3)y =(4)y =解析:考查定义域和值域的求解,函数的定义域一般利用函数的一些限制条件,例如:分母不为0、根号下大于等于0;根据定义域就可以求出函数值的取值情况 解:(1)因为2111113x x x -≤≤⇒-≤≤+,则函数的定义域为1[,1]3-,值域为(,)-∞+∞ (2)因为2102012x x x x -≠+≥⇒≠±≥-且且,则函数的定义域为[2,1)(1,1)(1,)---+∞U U ,因为函数211x -的值域为(,)-∞+∞,则原函数的值域也为(,)-∞+∞(3)sin 02(21)x n x n ππ≥⇒≤≤+(n 为整数),则函数的定义域为{2(21),}x n x n n Z ππ≤≤+∈,值域为[0,1](4)254015x x x +-≥⇒-≤≤,则函数的定义域为[1,5]-, 又因为极大值(2)3f =,(1)(5)0f f -==,则值域为[0,3] 2.设(1)cos f x x x +=+,求(8)f 与()f x解析:考查复合函数的概念,本题可以利用换元法或者配方法求解 解:换元法:令1x t +=,则1x t =-,(1)()1cos(1)f x f t t t +==-+-,也即()cos(1)1f x x x =+-- (8)7cos7f =+配方法:(8)(71)7cos7f f =+=+因为(+1)=11cos(11)f x x x +-++-,则()cos(1)1f x x x =+-- 注:熟悉后就可以直接利用配方法求解了 3.设函数()ln(2)f x x =-,求()f x 与(ln )f x 的定义域 解析:考查复合函数定义域的求解,本题可以先求出()f x 的定义域,然后求解函数(ln )f x 的定义域时,即已知lnx 的值域,求其定义域解:因为30x ->且20x ->,则函数()f x 的定义域为(2,3) 即函数lnx 的值域为(2,3),也即 2ln 3x <<,解得23e x e << 则函数(ln )f x 的定义域为23(,)e e4.讨论函数3()f x x =在(,)-∞+∞内的单调性 解析:本题考查函数单调性的定义解:对于函数3()f x x =来说,12,(,)x x ∀∈-∞+∞,当12x x <时12()()f x f x <则函数3()f x x =在(,)-∞+∞内是单调递增的 5.判断下列函数的奇偶性(1)cos(sin )y x = (2)1cosy x x=⋅ (3)11x x a y x a -=+其中0a >解析:考查奇偶性的定义,对于奇偶性的概念这里就不再赘述,本题都可以直接利用其概念求解解:(1)已知所求函数定义域为(,)-∞+∞且()cos[sin()]cos(sin )cos(sin )y x x x x -=-=-=,即()()y x y x -= 则原函数为偶函数(2)已知所求函数定义域为(,0)(0,)-∞+∞U且11()cos cos y x x x x x--=-⋅=-,即()()y x y x -=- 则原函数为奇函数(3)已知所求函数定义域为(,)-∞+∞且111()111x x x x x x a a a y x x x x a a a ------=-=-=+++,即()()y x y x -=则原函数为偶函数6.证明定义于(,)-∞+∞内的任何函数都可以表示为一个奇函数与一个偶函数之和解析:考查奇偶性的应用,本题比较抽象,但可以通过假设一个函数 ()f x ,其满足()()()()()22f x f x f x f x f x +---=+证明:设函数()()()2f x f x g x +-=,()()()2f x f x h x --=因为()()()()2f x f x g x g x -+-==,()()()()()()22f x f x f x f x h x h x -----==-=-则函数()g x 为偶函数,()h x 为奇函数即证结论7.判断下列函数是否为周期函数;若是,求其最小正周期(1)sin cos y x x =+ (2)y =解析:考查周期函数的概念,利用已知函数的周期来确定,例如函数sin x 、cos x 的周期都为2π,即满足sin sin(2)x x π=+,cos cos(2)x x π=+,根据此思路可以求解本题 解:(1)经过上述分析可知,对于函数sin cos y x x =+,满足()(2)y x y x π=+ 则为周期函数,其最小周期为2π(2)函数y =y =()tan 2u x x =组成的因为tan x 的周期为π,则函数()tan 2u x x =的周期为2π则()()2u x u x π=+,即()()2y x y x π=+ 则为周期函数,其最小周期为2π。
第五章 不定积分1(直接积分法、换元积分法)一、单选题1.设)(x f 是可导函数,则⎰'))((dx x f 为( A ).A.)(x fB.C x f +)(C.)(x f 'D.C x f +')(2.函数)(x f 的( B )原函数,称为)(x f 的不定积分.A.任意一个B.所有C.唯一D.某一个 3.⎰=+=)(,2cos )(x f C x e dx x f x则( A ).A.)2sin 22(cos x x e x -B.C x x e x +-)2sin 22(cosC.x e x 2cosD. x e x2sin4.函数x e x f =)(的不定积分是( B ).A.x eB.c e x +C.x lnD.c x +ln 5.函数x x f cos )(=的原函数是 ( A ).A.c x +sinB.x cosC.x sin -D.c x +-cos 6.函数211)(xx f -=的原函数是( A ).A.c x x ++1 B.x x 1- C.32xD.c x x ++12 7.设x 2是)(x f 的一个原函数,则[]='⎰dx x f )(( B )A. x 2B.2C.2x D.-2 8.若c e dx e x x +=⎰, 则⎰xd e x22=( A )A.c ex+2 B.c e x + C.c e x +-2 D.c e x +-29.函数x x f sin )(=的原函数是( D )A.c x +sinB.x cosC.x sin -D.c x +-cos 10.若)()()()()(x G x F x f x G x F '-'的原函数,则均为、=( B )A.)(x fB.0C.)(x FD.)(x f ' 11.函数211)(xx f +=的原函数是( A ) A.c xx +-1B.x x 1-C.32xD.c x x ++1212. 函数211)(xx f -=的原函数是( A ) A.c xx ++1B.x x 1-C.32xD.c x x ++1213.若函数)(x f 、)(x g 在区间),(b a 内可导,且)()(x g x f '=',则( B ) A.)()(x g x f = B.C x g x f +=)()(C.)()(x g x f ≠D. 不能确定)(x f 与)(x g 之间的关系 14.若)()(x f x F =',则下列等式成立的是( B ). A.C x f dx x F +='⎰)()( B.⎰+=C x F dx x f )()( C.⎰+=C x f dx x F )()( D.C x F dx x f +='⎰)()( 15.经过点)1,0(-,且切线斜率为x 2的曲线方程是( D ).A.2x y =B. 2x y -=C. 12+=x yD. 12-=x y 二.填空题1.)25ln(2125x d x dx --=-.2.)1(212x d xdx --=.3.C aa dx a xx+=⎰ln .4.设)(x f 是连续函数,则dx x f dx x f d )()(=⎰.5.xx cos 2+的原函数是x x sin 2+.6.]4)3[(21)3(2---=-x d dx x .7.C x xdx +=⎰7sin 717cos .8.)1(ln 3133-=x x a d adx a .9.)3(cos 313sin x d xdx -=.10.C x dx x x +=⎰2ln 21ln .11.C x dx x +=⎰4341.12.)C 41(2222+-=--x x e ddx xe .13.C x xdx x +=⋅⎰2sin 21sin cos . 14.C x dx x +=+⎰3arctan 319112.15.C x x dx x +-=⎰)sin (212sin 2. 16.⎰+='C x f dx x f )2(21)2(.17.设⎰+=.)()(C x F dx x f ,若积分曲线通过原点,则常数)0(F C -=.18.)3(arctan 31912x d x dx=+. 19.)(2122x x e d dx xe =.20.已知xx f C x dx x f 2sin )(,sin )(2=+=⎰则.21.设)()()(21x f x F x F 是、的两个不同的原函数,且=-≠)()(,0)(21x F x F x f 则有 C .22.C x x dx x x +-=+-⎰222111 23.Ce dx e xxx +-=⎰1121.24.)1ln(21122-=-x d dx x x .25.若x x f sin )(的导函数是,则)(x f 的原函数为Cx +-sin .26.设)(3x f x 为的一个原函数,则dxx x df 23)(=.27.)2cos 41(812sin x d xdx -=28.x x sin 2+的一个原函数是x x cos 313-.29.)3(cos 33sin x d dx x -=.30.Cx xdx +-=⎰cos ln tan .31.()C x dx x +--=-⎰)21sin(2121cos .32.Cx xdx +=⎰tan sec 2. 33.C x x dx +-=⎰3cot 313sin 2.34.设x 2是)(x f 的一个原函数,则⎰='])([dx x f 2 . 三.判断题 1.⎰+=cx xdx cos sin ( × ) 2.xx edx e =⎰( × )3.⎰-=.cos sin x xdx ( × ) 4.⎰+-=cx xdx cos sin ( √ ) 5.)21sin()]21[sin(x dx x -=-⎰( × ) 6.⎰+-=cx xdx sin cos ( × )四.计算题1.求不定积分dx x x ⎰+21. 解:原式=C x x d x ++=++⎰23222)1(31)1(1212.求不定积分dx x ⎰-31. 解: 原式=C x +--3ln3.求不定积分⎰+dx e e x x 1. 解:原式=C e e d exx x++=++⎰)1ln()1(11 4.求不定积分⎰+-dx xx x)3sin 21(. 解: 原式=C x x x +++ln 3cos 22 5.求不定积分⎰-dx xe x 2. 解: 原式=C e x +--2216.求不定积分dx x x⎰+12. 解: 原式=C x ++)1ln(2127.求不定积分dx x x ⎰+2)72(. 解: 原式=C x x x ++⋅+7ln 24914ln 1422ln 24 8.求不定积分⎰+dx x 10)12(. 解: 原式=C x ++11)12(2219.求不定积分⎰+-dx xx x )1)(1(. 解: 原式=C x x x x x +-+-221522210.求不定积分⎰xdx 2sin . 解: 原式=C x x +-2sin 4121 11.求不定积分⎰dx xx 22cos sin1. 解: 原式=C x x +-cot tan 12.求不定积分dx x ⎰+321. 解: 原式=C x ++32ln2113.求不定积分xdx xarctan 112⎰+. 解: 原式=C x +2)(arctan 21 14.求不定积分⎰-dx x x 4313. 解: 原式=C x +--41ln 43 15.求不定积分⎰+dx x 2411. 解: 原式=C x +2arctan 21 16.求不定积分⎰+dx x x)5(3. 解: 原式=C x x++5ln 5414 17.求不定积分⎰-dx e x 5. 解: 原式=C e x+--551五.应用题1.设一质点作直线运动,已知其加速度为t t a sin 3122-=,如果0=t 时3,500-==s v , 求(1)t v 与的函数关系; (2)t s 与的函数关系. 解:32sin 3)(2sin 3)2cos 34()(2cos 34)(cos 34)sin 312()(43,04335,032-++=−−−→−+++=++=++=−−→−++=-=-====⎰⎰t t t t s c t t t dt t t t s t t t v C t t dt t t t v s t v t2.求经过点(0,0),且切线斜率为x 2的曲线方程.解:20,022x y C x xdx y y x =−−−→−+====⎰3.一物体由静止开始运动,t 秒末的速度是23t (米/秒),问(1)在3秒末物体与出发点之间的距离是多少? (2)物体走完360米需多长时间?解:设运动方程为:30,032)(3)(t t S C t dt t t S S s t =−−→−+=====⎰(1)当3=t 时,27)3(=S (米)(2)当.360360)(33秒=⇒==t t t S4.一曲线过原点且在曲线上每一点),(y x 处的切线斜率等于3x ,求这曲线的方程. 解:40,0434141x y C x dx x y y x =−−−→−+====⎰ 5.已知物体由静止开始作直线运动,经过t 秒时的速度为180360-t (米/秒),求3秒末物体离开出发点的距离.解: t t t S C t t dt t S s t 180180)(180180180)-60t 3()(20,02-=−−→−+-====⎰.当3=t 时,1080)3(=S (米).6.求经过点)1,(e ,且切线斜率为x 1的曲线方程.解:x y C x dx xy y e x ln ln 11,=−−→−+====⎰. 7.求经过点(0,0),且切线斜率为211x+的曲线方程.解:x y C x dx x y y x arctan arctan 110,02=−−−→−+=+===⎰. 第五章 不定积分2一.单选题1.下列分部积分法中, dv u ,选择正确的是( A ). A.⎰==xdxdv x u xdx x 2sin 2sin ,, B.xdxdv u xdx ln ,1,ln ==⎰C.dxx dv e u dx e x x x22,,==--⎰D.xdxdv e u dx xe xx==⎰,,2.⎰⎰-=)(2arctan d 2arctan Axd x x x x .A.x arctan2B.x arctan4C.x arctan2-D.x arctan4- 3.=⎰2-4d xx ( A ).A.C x +2arcsinB.C x +arcsinC.Cx +2arccos D.C x +arccos二.判断题1.分部积分法u v uv v u d d ⎰-=⎰的关键是恰当的选择u 和v d ,使u v d ⎰应比v u d ⎰容易积分.( √ )2.若被积函数中含有22a x ±,则可利用三角函数代换法化原积分为三角函数的积分.( √ ) 三.填空题1.Cx dx x ++=+⎰1211.2.设)(x f 有一原函数⎰+-='Cx dx x f x xx cos )(,sin 则.3.C x x x xdx x +-=⎰2241ln 21ln .4.)3(arcsin 31912x d xdx =-.5.Cx x e dx e x x x ++-=⎰)22(22.6.⎰++-=C x x x xdx x 3sin 913cos 313sin .四.计算题1.求不定积分⎰-dx x x232. 解:原式=Cx x d x +--=---⎰2223231)32(321612.求不定积分⎰dxx e x 22. 解:原式=C x x e x ++-)21(2122 3.求不定积分⎰++dxx x 11. 解:C x x C t t dtt t t x +--+=+-=-=+⎰1)1(3232)22(132232原式4.求不定积分⎰+)1(x x dx. 解:cx C t dt t t x +=+=+=⎰arctan 2arctan 21222原式5.求不定积分⎰xdxx 2sin . 解:原式=C x x x ++-2sin 412cos 21 6.求不定积分⎰+dx e x x 5)2(. 解:原式=C x e x ++)59(515 7.求不定积分dxxex⎰-4. 解:原式C x ex++-=-)16141(4 8. 求不定积分⎰++dxx 111. 解:原式[]C x x +++-+=)11ln(129.求不定积分⎰+-dxx 1211. 解:原式[]C x x +-+++=112ln12- 10.求不定积分dxex⎰+11. 解:原式=C e e xx +++-+1111ln11.求不定积分⎰xdxxln 2. 解:原式C x x +-=)31(ln 313 12.求不定积分dx x x ⎰-1. 解:原式C x x +---=)1arctan 1(213.求不定积分⎰---dxx x 22112. 解:原式C x x +-=)(arcsin 214.求不定积分⎰dx a x x 2 )1,0(≠>a a . 解:原式C aa x a x a x++-=)ln 2ln 2ln (32215.求不定积分dxx⎰-2941. 解:原式C x +=23arcsin 31 16.求不定积分dxx ⎰sin . 解:原式C x x x ++=sin 2cos -217.求不定积分⎰xdx x 3cos . 解:原式C x x x ++=3cos 913sin 31 18.求不定积分dxx x ⎰+2. 解:原式C x x ++-+=2123)2(4)2(32五.应用题 (增加题)第六章 定积分一.单选题 1.)(240Ddx x =-⎰A.⎰⎰-+-4220)2()2(dxx dx x B.⎰⎰-+-422)2()2(dxx dx x C.⎰⎰-+-422)2()2(dxx dx x D.⎰⎰-+-422)2()2(dxx dx x2.=⎰a adx x f )(( C ) A.大于0 B.小于0 C.等于0 D.不能确定 3.⎰⎰--=+1111)()(dx x f dx x f ( C )A.大于0B.小于0C.等于0D.不能确定 4.定积分⎰badxx f )(是( D )A.一个原函数B.()x f 的一个原函数C.一个函数族D.一个常数 5.定积分⎰badxx f )(的值的大小取决于( C )A.)(x fB.区间 []b a ,C.)(x f 和[]b a ,D.都不正确 6.定积分⎰badxx f )(的值的大小取决于( C )A.)(x fB.区间 []b a ,C.)(x f 和[]b a , D.无法确定 7.⎰⎰=-3234)()(dx x f dx x f ( A )A.⎰42)(dxx f B.⎰24)(dxx f C.⎰43)(dxx f D.⎰32)(dxx f8.下列命题中正确的是( C )(其中)(),(x g x f 均为连续函数) A.在[]b a ,上若)()(x g x f ≠则dxx g dx x f ba ba⎰⎰≠)()( B.⎰⎰≠babadtt f dx x f )()( C.若)()(x g x f ≠,则⎰⎰≠dxx g dx x f )()( D.⎰=badxx f dx x f d )()(9.=⎰dx x f dx d ba)(( B ) A.)(x f B.0 C.)(x f ' D.)(x F 10. 若1)(=x f ,则⎰=ba dx x f )(( C )A.1B.b a -C. a b -D.0 11.定积分⎰badxx f )(是( B )A.任意的常数B.确定的常数C.)(x f 的一个原函数D.)(x f 的全体原函数 12.若⎰=+12)2(dx k x ,则=k ( B )A.-1B.1C.1/2D.0 13.=-⎰dx x 5042( C )A.11B.12C.13D.14 二.判断题1.函数在某区间上连续是该函数在该区间上可定积分的必要条件. ( × )2.a b dx ba -=⎰0 . ( × )3.⎰='badx x f 0))(( . ( × )4.x xdx dx d ba sin sin ⎰=. ( × )三.填空题1.设)(x f '在[]b a ,上连续,则)()()(a f b f dx x f b a-='⎰.2.C dx xxx +=⋅⎰6ln 6321. 3.4111022π-=+⎰dx x x .4.ee dx x e x-=⎰2121.5.设⎰⎰==52515)(,3)(dx x f dx x f ,则2)(21-=⎰dx x f .6..0113=⎰-dx x .7.若)(x f 在[]b a ,上连续,且⎰=ba dx x f 0)(,则[]ab dx x f ba-=+⎰1)(.8.由曲线22+=x y ,直线3,1=-=x x 及x 轴围成曲边梯形的面积352)2(312=+=⎰-dx x A .9..0sin 12=⎰dx xdx d .10.11ln4141=+-⎰-dx xx.11.1)1sin(212=⎰dx xx ππ. 12.32112=⎰-dx x .13.0cos 11⎰-=xdx x .14.利用定积分的几何意义填写定积分的值π41112=-⎰dx x .15.22sin sin x dt t dx d x⎰=.16..0sin 222=⎰-xdx x .17..0113=⎰-dx x .18. 的值为积分.21ln 1⎰edx x x 19.2)253(22224⎰⎰=++-dx dx x x .20.11-=⎰e dx e x . 21.431=⎰-dx .22.⎰1212ln xdxx 的值的符号为 负 .四.计算题 1.求定积分.⎰+411xdx 解:原式)32ln 1(2+=2.求定积分⎰-124x dx. 解:原式6arcsin 10π==x3.求定积分⎰-+-01)32)(1(dxx x . 解:原式21-= 4.求定积分dxx⎰--2121211 解:原式3arcsin 2121π==-x5.求定积分⎰-+12511x dx 解:原式=2ln 54)511ln(5112=⎥⎦⎤⎢⎣⎡+-x6.求定积分dx x ⎰+9411解:原式[])2ln 1(2)1ln(232+-=-+-=t t7.求定积分dxe x⎰-1. 解:原式eex1101-=-=- 8.求定积分dxx ⎰212 解:原式3712313==x9.求定积分θθπd ⎰402tan 解:原式[]4104tan ππθθ-=-=10.求定积分.dx xx ⎰+402sin 12sin π解:原式232ln 04)sin 1ln(=+=πx 11.求定积分dxx x ⎰-ππ23sin . 解:原式=012.求定积分()dxxx ⎰--2121221arcsin . 解:原式=324)(arcsin 31321213π=-x 13.求定积分dxx x ⎰+911. 解:原式2ln 213)1ln(2=+=x14.求定积分dxex x⎰12. 解:原式201)22(2-=+-=e x x e x15.求定积分⎰+104)1(x dx 解:原式24701)1(31-3=+=-x 16.求定积分dxxe x ⎰2. 解:原式102)1(2+=-=e x e x 17.求定积分⎰-1dxxe x . 解:原式ex e x2101)1(--=+=- 18.求定积分dx x ⎰⎪⎭⎫ ⎝⎛+πππ33sin . 解:原式0)3cos(3=+-=πππx19.已知⎩⎨⎧≤<-≤≤=31,210,)(2x x x x x f ,计算⎰20)(dx x f . 解:原式⎰⎰-=-+=2110261)2(dx x dx x 20.求定积分()d x x x +⎰194. 解:原式627149)2132(223=+=x x21.求定积分⎰1arctan xdxx . 解:原式=214)arctan arctan (21102-=⎥⎦⎤⎢⎣⎡+-πx x x x22.求定积分⎰10arcsin xdx . 解:原式1201)1arcsin (2-=-+=πx x x23.求定积分⎰262cos ππudu . 解: 原式836)2sin 21(2162-=+=πππu u24.求定积分()dx x x x ⎰+2sin π. 解: 原式18sin cos 21202+=⎥⎦⎤⎢⎣⎡+-=ππxx x x 25.求定积分dx x x ⎰-121221. 解: 原式[]41cot sin 24πππ-=--=t t t x26.求定积分dx x x1sin 1212⎰ππ. 解: 原式11cos12==ππx27.求定积分dxx ⎰+101210. 解: 原式10ln 4950110ln 21012==+x 28.求定积分xdxx ⎰23cos sin π解: 原式410cos 41-24==πx29.求定积分⎰1024dx xx . 解: 原式10ln 710ln 81=⎥⎦⎤⎢⎣⎡=x 30.求定积分dx x x e⎰-1ln 1. 解: 原式21ln 21ln 12=⎥⎦⎤⎢⎣⎡-=ex x31.求定积分dxx x ⎰+31)1(1. 解: 原式[]6arctan 2312π==t t x32.求定积分xdxx cos sin 23⎰π. 解: 原式410sin 4124==πx33.求定积分⎰--1321dx x . 解: 原式[]5ln 2ln -13=-=-x34.求定积分dx x x x ⎰++21222)1(12 解: 原式4212arctan 1arctan 21π-+=⎥⎦⎤⎢⎣⎡-=x x 35.求定积分⎰+21ln 1e x x dx. 解: 原式[])13(2ln 1221-=+=e x36.求定积分dxe x x ⎰22. 解: 原式)1(21214202-=⎥⎦⎤⎢⎣⎡=e e x37.求定积分dxx ⎰20sin π. 解: 原式10cos 2=-=πx38.求定积分⎰++10)32)(1(dx x x . 解: 原式211252132=⎥⎦⎤⎢⎣⎡++=x x x39.求定积分dttet ⎰-1022. 解: 原式212112---=⎥⎥⎦⎤⎢⎢⎣⎡-=e e t 40.求定积分dx x x ⎰+102212. 解: 原式[]22)arctan (210π-=-=x x41.求定积分⎰πsin xdxx . 解: 原式[]ππ=+-=0sin cos x x x42.求定积分dx x xe⎰12ln . 解: 原式311ln 313==e x43.求定积分⎰2cos sin 3πxdxx . 解: 原式230sin 2322==πx44.求定积分()⎰ωπωω20sin 为常数tdt t 解: 原式2022sin 1cos 12ωπωωωωωω-=⎥⎦⎤⎢⎣⎡+-=t t t45.求定积分dxx ⎰230cos π. 解: 原式[][]3sin sin 2322=-=πππx x 46.求定积分dxx ⎰--2221. 解:原式43131231213113123=⎥⎦⎤⎢⎣⎡-+⎥⎦⎤⎢⎣⎡-+⎥⎦⎤⎢⎣⎡-=---x x x x x x47.求定积分⎰+331211dx x. 解:原式[]6arctan 331π==x48.求定积分⎰+161 4x x dx . 解:原式23ln 2)1ln(2142124+=⎥⎦⎤⎢⎣⎡++-=t t t t x 五.应用题1.已知生产某产品x (百台)时,总收入R 的变化率x R -='8 (万元/百台),求产量从从1(百台)增加到3(百台)时,总收入的增加量. 解:由已知x R -='8得总收入的增加量为:12218)8(R 3131312=⎥⎦⎤⎢⎣⎡-=-='=⎰⎰x x dx x dx R2.试描画出定积分⎰ππ2cos xdx所表示的图形面积,并计算其面积.解:[]1sin cos 22=-=-=⎰ππππx xdx S . (图形略)3.试描画出定积分⎰ππ2sin xdx 所表示的面积图形,并计算其面积.解:[]1cos sin 22=-==⎰ππππx xdx S . (图形略)4.计算曲线3x y =,直线3,2=-=x x 及x 轴所围成的曲边梯形面积.解:49741413402433023=⎥⎦⎤⎢⎣⎡+⎥⎦⎤⎢⎣⎡-=+-=--⎰⎰x x dx x dx x S .(图形略) 5.计算抛物线24x y -=与x 轴所围成的图形面积. 解: 24x y -=与x 轴的交点为(-2,0),(2,0)6.已知生产某产品x (百台)时,总成本C 的变化率为x C +='2(万元/百台),求产量从1(百台)增加到3(百台)时总成本的增加量.解:.8212)2(31312=⎥⎦⎤⎢⎣⎡+=+=⎰x x dx x C7.计算函数x y sin 2=在⎥⎦⎤⎢⎣⎡2,0π上的平均值.解:[]πππππ4cos 222sin 22020=-==⎰x xdxy8.计算函数x y cos 2=在⎥⎦⎤⎢⎣⎡2,0π上的平均值.解:[]πππππ4sin 222cos 2202===⎰x xdxy第七章 定积分的应用一.单选题1.变力使)(x f 物体由],[b a 内的任一闭区间]d ,[x x x +的左端点x 到右端点x x d +所做功的近似值为( C ).A.)(x df -B.)(dx fC.dx x f )(D.dx x f )(-2.一物体受连续的变力)(x F 作用, 沿力的方向作直线运动,则物体从a x =运动到b x =, 变力所做的功为( A ). A.⎰b a x x F d )( B.⎰a b x x F d )( C.⎰-ab x x F d )( D.⎰-ba x x F d )(3.将曲线2x y =与x 轴和直线2=x 所围成的平面图形绕y 轴旋转所得的旋转体的体积可表示为=y V ( C ).A.dx x ⎰204π B.⎰4ydyπ C.()dyy ⎰-44π D.()dyy ⎰+44π二.判断题 1.定积分⎰b adxx f )(反映在几何意义上是一块[a,b]上的面积. ( ╳ )2.已知边际利润求总利润函数可用定积分方法. ( √ ) 三.填空题1.计算曲线x y sin =与曲线2π=x 及0=y 所围成的平面图形的面积可用定积分表示为⎰=20sin πdxA .2.抛物线3x y =与x 轴和直线2=x 围成的图形面积为⎰23dxx .3.由曲线2x y =与直线1=x 及x 轴所围成的平面图形,绕x 轴旋转所的旋转体的体积可用定积分表示为⎰=14dxx V x π.四.计算题1.求抛物线3x y =与x 轴和直线3=x 围成的图形面积.2.把抛物线ax y 42=及直线)0(>=b b x 所围成的图形绕x 轴旋转,计算所得旋转体的体积. 3.一边长为a m 的正方形薄板垂直放入水中,使该薄板的上边距水面1m ,试求该薄板的一侧所受的水的压力(水的密度为33kg/m 10, g 取2m/s 10).4.计算抛物线2x y =与直线轴和x x x 3,1=-=所围成的平面图形绕x 轴旋转所得到的旋转体体积.5.由22x y x y ==和所围成的图形绕x 轴旋转而成的旋转体体积.6.求由曲线x y 1=与直线x y =及2=x 所围成的图形的面积.7.用定积分求由0,1,0,12===+=x x y x y 所围平面图形绕x 轴旋转一周所得旋转体的体积.8.求曲线22)2(,-==x y x y 与x 轴围成的平面图形的面积.9.用定积分求底圆半径为r ,高为h 的圆锥体的体积.10.计算曲线3x y =和x y =所围成的图形面积.11.计算抛物线24x y -=与x 轴所围成的图形面积.12.求曲线2x y =与x y =所围成的图形的面积。
习题1-3 A 组1.试用“εδ-”语言证明(1)2365lim 45x x x x →--+=--(2)33lim 27x x →= (3)4lim12x x x →∞+=+解析:考查函数极限的证明,“εδ-”语言和数列中的“N ε-”语言有类似的地方,不同的是自变量的趋势不同,同样关键在于找到自变量的取值范围,即δ的值证明:(1)要使265435x x x x ε-++=+<-,则可以取δε=0ε∀>,δε∃=,当0(3)x δ<--<时,恒有26545x x x ε-++<-成立 则2365lim45x x x x →--+=--成立 (2)要使3227(3)(39)273x x x x x ε-=-++=-<,则可以取27εδ=0ε∀>,27εδ∃=,当03x δ<-<时,恒有327x ε-<成立则33lim 27x x →=成立(3)由42122x x x ε+-=<++,得22x ε<+,则可以取22X ε=+ 0ε∀>,22X ε∃=+,当x X >时,恒有412x x ε+-<+成立 则4lim12x x x →∞+=+成立2.设函数223,1(),1222,2x x x f x x x x x ⎧+-≤⎪=<<⎨⎪-≥⎩,求5lim ()x f x →-,1lim ()x f x →,2lim ()x f x →,3lim ()x f x →解析:考查分段函数极限的求解,在连续函数上某点的极限即为该点的函数值,而对于在某点上无定义,但在其去心领域内有定义,若0lim ()lim ()x x x x f x f x A -+→→==,则0lim x x A →=解:51-≤Q ,25lim ()(5)2(5)312x f x →-=-+⋅--=()f x Q 在1x =,2x =上无定义但是211lim ()lim(23)0x x f x x x --→→=+-=,11lim ()lim 1x x f x x ++→→==,则1lim ()x f x →不存在 22lim ()lim 2x x f x x --→→==,22lim ()lim(22)2x x f x x ++→→=-=,则2lim ()2x f x →= 32≥Q ,3lim ()2324x f x →=⋅-=3.设函数1sin ,0()1sin ,0x x xf x x x ⎧-∞<≤⎪⎪=⎨⎪<<+∞⎪⎩求0lim ()x f x -→,并利用海涅归结原则说明0lim ()x f x +→不存在解析:考查海涅归结原则的应用,即将函数的极限转化为数列的极限来求解 解:01lim ()lim sin x x f x x x--→→=,0lim 0x x -→=Q ,01lim sin x a x -→=([1,1]a ∈-) 则0lim ()0x f x -→= 01lim ()lim sin x x f x x++→→=,取1,1,2,,2n x n n π==L 则lim ()limsin 20n n n f x n π→∞→∞== 取1,1,2,,22n y n n ππ==+L 则lim ()limsin(2)12n n n f y n ππ→∞→∞=+=从而可得0lim ()x f x +→不存在 4.求下列极限(1)220()lim h x h x h →+-(2)2222lim (1)x x x x →∞--(3)x →(4)0(1)(12)(13)1lim 3x x x x x →+++-(5)121(1)lim (1)n x x n x nx +→-++-(6)322lim()2121x x x x x →∞--+ (7)20cos3lim x cosx x x →- (8)20(3)9lim h h h →+-(9)224lim 34x x x x →∞--+(10)32323lim 42x x x x→--+-(11)1lim()1xx x x →∞+-(12)111lim x x x -→(13)arctan limx x x→∞(14)0tan 2lim sin 5x xx →(15)312cos lim sin()3x xx ππ→--(16)212arcsin(12)lim 41x x x →-- (17)222sin lim(tan )cos x x x x π→-(18)211lim(2)x x x +→-+(19)2lim()xx x a x a→∞+-(20)2limx +→(21)limx 22)22cot 0lim(sec )x x x →解析:考查函数极限的求解,本节所学的求极限的方法包括夹逼准则、两个重要极限还有极限的定义,在实际解题的过程中,需要把握被求极限函数的形式,适用于哪种求极限方法,对于函数中包含幂函数和三角函数,可以考虑重要极限一,而对于存在指数的复合函数中。
则需考虑重要极限二解:(1)222000()2lim=lim lim(2)2h h h x h x xh h x h x h h→→→+-+=+=,本体需注意h 为函数的自变量,那么x 就可以看作为一个常数(2)222222(1)22limlim lim lim 21(1)(1)11x x x x x x x x x x x x x→∞→∞→∞→∞--====---- (3)1lim 4x x x →→→===(4)232000(1)(12)(13)1611611limlim lim(22)2333x x x x x x x x x x x x x →→→+++-++==++= (5)11222111(1)(1)(1)limlim lim (1)(1)(1)n n n x x x x n x n x nx x n x x n x x x x ++→→→-++--+---==--- 因为1111n n x x x x --=+++-L ,则上式可以转化为 12211122111(1)(1)(1)lim lim lim (1)11111lim lim[1(1)(1)(1)]1(1)122n n n x x x n n x x x x n x x x x n x x x n x x x x x x x x x x x n n n -→→→-→→---+++-+++-==----+-++-==+++++++++-+=+++=L L L L L L即121(1)(1)lim (1)2n x x n x n n n x +→-+++=-(6)32322322232(21)(21)1lim()lim lim 2121(21)(21)42214x x x x x x x x x x x x x x x x x x →∞→∞→∞+--+-===-+-++-- 对于分子分母都趋于无穷大,且分子分母最大幂相等,则其极限为分子分母最大幂系数之比即10101020lim n n n n x a x a x a b x b x b --→∞++=++L L (7)2220000cos cos3cos(2)cos(2)2sin 2sin limlim limsin 2sin 4lim 42x x x x x x x x x x x xx x x x x x x→→→→---+===⋅= (8)2200(3)96limlim 6h h h h h h h →→+-+== (9)22224124lim lim 3434x x x x x x x x x→∞→∞----==∞++ (10)32323232(3)(3)3lim64242(3)x x x x →--+⋅---+==---⋅- 注:分子分母的极限都为常数,直接带入求解即可(11)2121121222lim2111222lim()lim(1)lim(1)lim(1)1111lim x xx x x x x x x x x x x xx x x x x x x x x eee→∞---⋅-→∞→∞→∞→∞--→∞⎡⎤+=+=+=+⎢⎥----⎣⎦===注:对于类似于上题的式子求极限,都可以考虑重要极限二求解,在后面的学习中,我们称类似上题的式子为1∞型极限 (12)本题也是1∞型极限,则111(1)1111111111lim lim(11)lim(1)lim 11xxx x x x x xx e e x ⋅------→→→→=+-=+==- (13)tan 2arctan limlim 0tan arc x t x t x tx t π=→∞→−−−−→=注:这里用到了换元的思想 (14)0000tan 2sin 21212lim lim lim lim sin 5sin 5cos 25cos 25x x x x x x x x x x x x →→→→=⋅=⋅=(15)333223312cos[()]1cos())12cos 3333lim lim lim sin()sin()sin()333332sin )2()232limlim sin()33x x x x x x x x x x x x x x x x x πππππππππππππππππ→→→→→--+--+--==-----+-⋅===--(16)2111222arcsin(12)0arcsin(12)arcsin(12)1arcsin(12)limlim lim41(21)(21)21211lim 2sin 2x x x x t t x x x x x x x t t →→→-=→---==---+-−−−−−→-=-(17)22222222sin sin sin sin (1sin )sin 1lim(tan )lim lim lim cos cos (1sin )(1sin )1sin 2x x x x x x x x x x x x x x x xππππ→→→→---====-++(18)21221111lim(2)lim(11)x x x x x x e ⋅++→-→-+=++=(19)333323lim()lim(1)lim x a ax axx a a xax a x x x x a a e e x a x a -⋅--→∞→∞→∞+=+==--(20)222222lim lim lim lim lim 11lim 22x x x x x x ++++++→→→→→→=+=+=+=(21)limlim lim 1x x x =====(22)2212cot 2tanlim(sec )lim(1tan )lim xxx x x x x e e →→→=+==5.求函数()f x =解析:考查函数水平渐近线的求解,根据定义3.5,当lim ()x f x →+∞和lim ()x f x →-∞有一个存在时,假设lim ()x f x c →+∞=(c 为常数),则函数有水平渐近线y c =,因此求解水平渐近线只需求lim ()x f x →+∞或lim ()x f x →-∞解:因为lim ()limlim1x x x f x →+∞===,lim ()limlim1x x x f x →-∞===-则函数的水平渐近线为1y =± B 组1. 试用“εδ-”语言证明(1)3lim(31)8x x →-= (2)21214lim 221x x x →--=+(3)2441lim345x x x x →-=--解析:考查函数极限的证明,“εδ-”语言证明的关键在于找到δ的值, 解:(1)要使31833x x ε--=-<,则可以取3εδ=0ε∀>,3εδ∃=,当03x δ<-<时,恒有318x ε--<成立则3lim(31)8x x →-=成立(2)要使21412212()212x x x x ε--=+=--<+,则可以取2εδ= 0ε∀>,2εδ∃=,当102x δ<+<时,恒有214221x x ε--<+成立 则21214lim 221x x x →--=+成立(3)当4x →时,只需考虑在点4x =的局部领域内的x ,可以取041x <-<,则35x <<要使2411144345155(1)20x x x x x x x ε----=-=<<--++,则可以取20δε=0ε∀>,20δε∃=,当04x δ<-<时,恒有241345x x x ε--<--成立 则2441lim345x x x x →-=--成立 2.求下列极限(1)330()lim h x h x h →+-(2)342lim 31x x xx x →∞+-+ (3)20lim 1cos x x x →-(4)20(1)(13)1lim x x x x→++-(5))x x →∞(6)1101lim1x x xa a→-+(0a >)(7)01lim x x→(8)22252lim 327x x x x x →∞--+-(9)229lim 631x x x x x →∞--+-(10)0sin lim sin x mx nx →(0n ≠)(11)1sin 3sin 2limx x x x →-(12)2lim[(1)tan ]2x xx ππ→-(13)2221sin (1)lim (1)x x x →--(14)lim )x x x →-∞ (15)lim )x x x →+∞(16)lim()1nn n x n →∞+- (17)1sin lim()sin x a x a x a -→(18)10lim ()2x x n x a b+→+(,0a b >) 解析:考查函数极限的求解,一般求解的步骤为先判断什么类型的极限,然后分析使用什么方法求解更为合适,现在所学的求解方法主要为化简直接求解和两个重要极限,要熟练掌握各种方法的适用范围 解:(1)本题为型极限的求解,分析题干发现可以直接化简求解3332233222000()33lim lim lim(33)3h h h x h x x xh x h h x xh x h x h h →→→+-+++-=++=(2)本题为∞∞型极限的求解,分析题干,分子分母都为多项式,且分母的最高幂指数大于分子的最高幂指数,则可以直接得出结论,该结果以后可以直接当作结论342lim 031x x x x x →∞+=-+ (3)本题为型极限的求解,且分子中含有三角函数,可以考虑重要极限一 22200022lim lim 2lim 21cos 2sin sin 22x x x x x xx x x →→→⎛⎫⎪=== ⎪- ⎪⎝⎭(4)本题为型极限的求解,可以直接化简求解 2232000(1)(13)115731lim lim lim(573)5x x x x x x x x x x x x→→→++-+++-==++= (5)本题为∞-∞型极限的求解,可以化简为∞∞型极限的求解)0x x x →∞==(6)本题并不能看出是什么类型的极限,可以先分析当1a >时,10lim 0xx a -→=,10lim xx a +→=∞,则10lim xx a →不存在 同理当01a <<时,10lim xx a →也不存在当1a =时,10lim 1xx a →=,此时1101lim01x x xa a→-=+综上可得,当1a =时,1101lim01x x xa a→-=+;当1a ≠时,极限不存在(7)本题为型极限的求解,可直接化简求解0011lim2x x x x →→→==(8)本题为∞∞型极限的求解,分子分母都为多项式,且分子分母多项式最高次幂相等,则该极限等于最高次幂系数的比值222522lim 3273x x x x x →∞--=+-(9)本题为∞∞型极限的求解,和上题类似 2291lim 6316x x x x x →∞--=+-(10)本题为型极限的求解,可直接利用重要极限一 00sin sin 1lim lim sin sin x x mx mx m m nx nx mx n nnx→→=⋅⋅= (11)本题为ab型极限的求解(a ,b 都为常数),直接带入求解1sin 3sin 2lim sin 3sin 2x x x x →-=-(12)本题为ab 型极限的求解(a ,b 都为常数),直接带入求解22lim[(1)tan](1)tan 224x xx ππππ→-=-(13)本题为型极限的求解,可以利用重要极限一求解 2222211sin (1)sin(1)11lim lim (1)1(1)4x x x x x x x →→--⎛⎫=⋅= ⎪--+⎝⎭ (14)本题为∞⋅∞型极限,即lim x x →-∞=-∞,)limx x →-∞=∞,由此可得lim )x x x →-∞=-∞(15)本题为0∞⋅型极限,可先化简为分子分母式再判断1lim )limlim2x x x x x →+∞=== (16)本题为1∞型极限,可以利用重要极限二1(1)(1)11111lim()lim(1)lim 11nn x n x n x x n n n n n n x x e e n n -++⋅++++→∞→∞→∞++=+==-- (17)和上题类似,本题也为1∞型极限,可以利用重要极限二sin sin sin sin sin 1sin sin sin ()sin ()sin sin 1sin()sin 1sin()cos cos limlim lim c sin ()sin sin sin sin sin sin lim()lim(1)lim sin sin x a x a x a ax ax ax a a x a a x a x ax a x a x a x ax a a a x a aaa x a a x aa x aax x a e a aeeeee→→→--⋅----→→→--+------=+======ot a(18)和上题类似,本题也为1∞型极限,同样可以利用重要极限二0112212lim222220002lim()lim(1)lim 22x x x x x x x x x a b a b a b x xx xx x x xa b xx x x a b a b e e+→+++--+-+-+⋅+-→→→++-=+==令1xa t -=,(当0t +→时,0x +→),ln(1)ln t x a+=,则100001ln ln 1ln 1ln lim lim lim ln(1)22ln(1)222lim ln(1)x x t t tt a t a a a a t x t t t ++++→→→→-==⋅=⋅=+++ 同理01ln lim 22x x b bx +→-=则1ln ln 220lim()2a bx x x x a b e ++→+==3.求函数()x f x x=在0x →时的左、右极限,并说明它在0x →时的极限是否存在解析:考查函数的左右极限,已知函数在某点上极限存在的充要条件为其左右极限存在且相等,则可以根据左右吉极限判断极限在否存在解:左极限:00lim ()lim lim 1x x x x xf x x x---→→→-===- 右极限:00lim ()lim lim 1x x x x xf x x x+++→→→=== 因为0lim ()lim ()x x f x f x -+→→≠,则函数在0x →时的极限不存在 4.求曲线1siny x x=的水平渐近线 解析:考查函数曲线的水平渐近线,若存在lim x y c →∞=,则称y c =为曲线的水平渐近线,其中lim x y →∞可以从lim x y →-∞和lim x y →+∞这两个方向考虑解:因为1sinlim lim lim11x x x x y y x→-∞→+∞→+∞===则曲线的水平渐近线为1y =5.当2x →时,24y x =→,问δ等于多少,使得2x δ-<时,40.001y -<?解析:本题考查函数极限的定义,根据已知条件可知0.001ε=,要求δ的值,只需求出ε和δ的关系解:当2x →时,只需考虑x 的一个局部区域,假设21x -<,则13x << 要使24(2)(2)52x x x x ε-=+-<-<,则可以取5εδ=0ε∀>,δε∃=,当02x δ<-<时,恒有40.001y -<成立 则0.00025εδ==。