概率论与数理统计教程课后习题答案(魏宗舒第二版)
- 格式:doc
- 大小:2.68 MB
- 文档页数:34
第六章习题1.设是取自总体X的一个样本,在下列情形下,试求总体参数的矩估计与最大似然估计:(1),其中未知,;(2),其中未知,。
2.设是取自总体X的一个样本,其中X服从参数为的泊松分布,其中未知,求3.设是取自总体X的一个样本,其中X服从区间的均匀分布,其中未知,求的矩估计。
4.设是取自总体X的一个样本,X的密度函数为其中未知,求的矩估计。
5.设是取自总体X的一个样本,X的密度函数为其中未知,求的矩估计和最大似然估计。
6.设是取自总体X的一个样本,总体X服从参数为的几何分布,即,其中未知,,求的最大似然估计。
7. 已知某路口车辆经过的时间间隔服从指数分布,其中未知,现在观测到六个时间间隔数据(单位:s):1.8,3.2,4,8,4.5,2.5,试求该路口车辆经过的平均时间间隔的矩估计值与最大似然估计值。
8.设总体X的密度函数为,其中未知,设是取自这个总体的一个样本,试求的最大似然估计。
9. 在第3题中的矩估计是否是的无偏估计?解故的矩估计量是的无偏估计。
10.试证第8题中的最大似然估计是的无偏估计。
11. 设为总体的样本,证明都是总体均值的无偏估计,并进一步判断哪一个估计有效。
12.设是取自总体的一个样本,其中未知,令,试证是的相合估计。
13.某车间生产滚珠,从长期实践中知道,滚珠直径X服从正态分布,从某天生产的产品中随机抽取6个,量得直径如下(单位:mm):14.7,15.0,14.9,14.8,15.2,15.1,求的0.9双侧置信区间和0.99双侧置信区间。
14.假定某商店中一种商品的月销售量服从正态分布,未知。
为了合理的确定对该商品的进货量,需对和作估计,为此随机抽取七个月,其销售量分别为:64,57,49,81,76,70,59,试求的双侧0.95置信区间和方差的双侧0.9置信区间。
15.随机地取某种子弹9发作试验,测得子弹速度的,设子弹速度服从正态分布,求这种子弹速度的标准差和方差的双侧0.95置信区间。
第一章 事件与概率1.1 写出下列随机试验的样本空间及表示下列事件的样本点集合。
(1)10件产品中有1件是不合格品,从中任取2件得1件不合格品。
(2)一个口袋中有2个白球、3个黑球、4个红球,从中任取一球,(ⅰ)得白球,(ⅱ)得红球。
解 (1)记9个合格品分别为 921,正正正,, ,记不合格为次,则,,,,,,,,,)()()(){(1913121次正正正正正正正 ,,,,,,,,,)()()()(2924232次正正正正正正正 ,,,,,,,)()()(39343次正正正正正 )}()()(9898次正次正正正,,,,,,A ){(1次正,,,,)(2次正)}(9次正,,(2)记2个白球分别为1 ,2 ,3个黑球分别为1b ,2b ,3b ,4个红球分别为1r ,2r ,3r ,4r 。
则 {1 ,2 ,1b ,2b ,3b ,1r ,2r ,3r ,4r }(ⅰ) A {1 ,2 } (ⅱ) B {1r ,2r ,3r ,4r }1.2 在数学系的学生中任选一名学生,令事件A 表示被选学生是男生,事件B 表示被选学生是三年级学生,事件C 表示该生是运动员。
(1) 叙述C AB 的意义。
(2)在什么条件下C ABC 成立? (3)什么时候关系式B C 是正确的? (4) 什么时候B A 成立?解 (1)事件C AB 表示该是三年级男生,但不是运动员。
(2) C ABC 等价于AB C ,表示全系运动员都有是三年级的男生。
(3)当全系运动员都是三年级学生时。
(4)当全系女生都在三年级并且三年级学生都是女生时`。
1.3 一个工人生产了n 个零件,以事件i A 表示他生产的第i 个零件是合格品(n i 1)。
用i A 表示下列事件:(1)没有一个零件是不合格品;(2)至少有一个零件是不合格品; (3)仅仅只有一个零件是不合格品; (4)至少有两个零件是不合格品。
解 (1) ni i A 1 ; (2) n i i n i i A A 11 ; (3) n i nij j j i A A 11)]([ ;(4)原事件即“至少有两个零件是合格品”,可表示为 nji j i j i A A 1,;1.4 证明下列各式: (1)A B B A ; (2)A B B A(3) C B A )()(C B A ; (4) C B A )()(C B A (5) C B A )( )(C A )(C B (6)ni ini i A A 11证明 (1)—(4)显然,(5)和(6)的证法分别类似于课文第10—12页(1.5)式和(1.6)式的证法。
概率论与数理统计魏宗舒第二版课后习题答案第一章事件与概率1.1 写出下列随机试验的样本空间及表示下列事件的样本点集合。
(1)10件产品中有1件是不合格品,从中任取2件得1件不合格品。
(2)一个口袋中有2个白球、3个黑球、4个红球,从中任取一球,(ⅰ)得白球,(ⅱ)得红球。
解 (1)记9个合格品分别为921,正正正,,,记不合格为次,则,,,,,,,,,)()()(){(1913121次正正正正正正正=Ω,,,,,,,,,)()()()(2924232次正正正正正正正,,,,,,,)()()(39343次正正正正正)}()()(9898次正次正正正,,,,,,=A ){(1次正,,,,)(2次正)}(9次正,,(2)记2个白球分别为1ω,2ω,3个黑球分别为1b ,2b ,3b ,4个红球分别为1r ,2r ,3r ,4r 。
则=Ω{1ω,2ω,1b ,2b ,3b ,1r ,2r ,3r ,4r }(ⅰ) =A {1ω,2ω} (ⅱ) =B {1r ,2r ,3r ,4r }1.2 在数学系的学生中任选一名学生,令事件A 表示被选学生是男生,事件B 表示被选学生是三年级学生,事件C 表示该生是运动员。
(1) 叙述C AB 的意义。
(2)在什么条件下C ABC =成立? (3)什么时候关系式B C ?是正确的?(4) 什么时候B A =成立?解 (1)事件C AB 表示该是三年级男生,但不是运动员。
(2)C ABC = 等价于AB C ?,表示全系运动员都有是三年级的男生。
(3)当全系运动员都是三年级学生时。
(4)当全系女生都在三年级并且三年级学生都是女生时`。
1.3 一个工人生产了n 个零件,以事件iA 表示他生产的第i 个零件是合格品(n i≤≤1)。
用i A 表示下列事件:(1)没有一个零件是不合格品;(2)至少有一个零件是不合格品;(3)仅仅只有一个零件是不合格品; (4)至少有两个零件是不合格品。
第一章 事件与概率1.1 写出下列随机试验的样本空间及表示下列事件的样本点集合。
(1)10件产品中有1件是不合格品,从中任取2件得1件不合格品。
(2)一个口袋中有2个白球、3个黑球、4个红球,从中任取一球,(ⅰ)得白球,(ⅱ)得红球。
解 (1)记9个合格品分别为 921,正正正,, ,记不合格为次,则,,,,,,,,,)()()(){(1913121次正正正正正正正 =Ω,,,,,,,,,)()()()(2924232次正正正正正正正 ,,,,,,,)()()(39343次正正正正正 )}()()(9898次正次正正正,,,,,, =A ){(1次正,,,,)(2次正)}(9次正,,(2)记2个白球分别为1ω,2ω,3个黑球分别为1b ,2b ,3b ,4个红球分别为1r ,2r ,3r ,4r 。
则=Ω{1ω,2ω,1b ,2b ,3b ,1r ,2r ,3r ,4r }(ⅰ) =A {1ω,2ω} (ⅱ) =B {1r ,2r ,3r ,4r }1.2 在数学系的学生中任选一名学生,令事件A 表示被选学生是男生,事件B 表示被选学生是三年级学生,事件C 表示该生是运动员。
(1) 叙述C AB 的意义。
(2)在什么条件下C ABC =成立?(3)什么时候关系式B C ⊂是正确的?(4) 什么时候B A =成立?解 (1)事件C AB 表示该是三年级男生,但不是运动员。
(2) C ABC = 等价于AB C ⊂,表示全系运动员都有是三年级的男生。
(3)当全系运动员都是三年级学生时。
(4)当全系女生都在三年级并且三年级学生都是女生时`。
1.3 一个工人生产了n 个零件,以事件i A 表示他生产的第i 个零件是合格品(n i ≤≤1)。
用i A 表示下列事件:(1)没有一个零件是不合格品;(2)至少有一个零件是不合格品;(3)仅仅只有一个零件是不合格品;(4)至少有两个零件是不合格品。
解 (1)n i iA 1=; (2) n i i n i i A A 11===; (3) n i ni j j ji A A 11)]([=≠=;(4)原事件即“至少有两个零件是合格品”,可表示为 nji j i jiAA ≠=1,;1.4 证明下列各式:(1)A B B A ⋃=⋃;(2)A B B A ⋂=⋂(3)=⋃⋃C B A )()(C B A ⋃⋃;(4)=⋂⋂C B A )()(C B A ⋂⋂ (5)=⋂⋃C B A )(⋃⋂)(C A )(C B ⋂(6)ni in i iA A 11===证明 (1)—(4)显然,(5)和(6)的证法分别类似于课文第10—12页(1.5)式和(1.6)式的证法。
第三章 连续型随机变量3.1 设随机变数ξ的分布函数为)(x F ,试以)(x F 表示下列概率: (1))(a P =ξ;(2))(a P ≤ξ;(3))(a P ≥ξ;(4))(a P >ξ 解:(1))()0()(a F a F a P -+==ξ; (2))0()(+=≤a F a P ξ; (3))(a P ≥ξ=1-)(a F ; (4))0(1)(+-=>a F a P ξ。
3.2 函数211)(x x F +=是否可以作为某一随机变量的分布函数,如果(1)∞<<∞-x π(2)0∞<<x ,在其它场合适当定义; (3)-0<<∞x ,在其它场合适当定义。
解:(1))(x F 在(-∞∞,)内不单调,因而不可能是随机变量的分布函数; (2))(x F 在(0,∞)内单调下降,因而也不可能是随机变量的分布函数; (3))(x F 在(-)0,∞内单调上升、连续且)0,(-∞F ,若定义⎩⎨⎧≥<<∞-=010)()(~x x x F x F则)(~x F 可以是某一随机变量的分布函数。
3.3 函数x sin 是不是某个随机变数ξ的分布密度?如果ξ的取值范围为 (1)]2,0[π;(2)],0[π;(3)]23,0[π。
解:(1)当]2,0[π∈x 时,0sin ≥x 且⎰20sin πxdx =1,所以x sin 可以是某个随机变量的分布密度; (2)因为⎰xxdx 0sin =21≠,所以x sin 不是随机变量的分布密度;(3)当]23,[ππ∈x 时,0sin ≤x ,所以x sin 不是随机变量的分布密度。
3.4 设随机变数ξ具有对称的分布密度函数)(x p ,即),()(x p x p -=证明:对任意的,0>a 有(1)-=-=-21)(1)(a F a F ⎰adx x p 0)(;(2)P (1)(2)-=<a F a ξ; (3)[])(12)(a F a P -=>ξ。
说明:本习题答案是针对魏宗舒编写的《概率论与数理统计教程》(第二版).5.1设(x l ,x 2,···,x n )及(u 1,u 2,···,u n )为两组子样的观测值,它们有如下关系:u i =x i −ab,(b =0,a 为常数)求子样均值¯u 与¯x ,子样方差S 2u 与S 2x 的关系.解:¯u =1n n ∑︁i =1u i =1n n ∑︁i =1x i −a b =1b (︃1n n ∑︁i =1x i −a )︃=1b(¯x −a )S 2u=1n n ∑︁i =1(u i −¯u )2=1n n ∑︁i =1(︂x i −a b −¯x −a b )︂2=1b 2[︃1n n ∑︁i =1(x i −¯x )2]︃=1b2S 2x.5.2若子样观测值x 1,x 2,···,x m 的频数分别为n 1,n 2,···,n m ,试写出计算子样平均数¯x 和子样方差S 2n 的公式(这里n =n 1+n 2+···+n m )解:¯x =1n m∑︁i =1m i x iS 2n=1n m∑︁i =1m i (x i −¯x )2.5.3利用切比雪夫不等式求钱币需抛掷多少次才能使子样均值¯ξ落在0.4到0.6之间的概率至少为0.9?如何才能更精确地计算是概率接近0.9所需要的次数是多少?解:设需要掷n 次,E ¯ξ=0.5,D (¯ξ)=14n.由切比雪夫不等式可得:P (0.4≤¯ξ≤0.6)=P (|¯ξ−0.5|≤0.1)≥1−14n ×(0.1)2=1−25n≥0.9⇒n ≥250.所以由切比雪夫不等式估计,至少需要掷250次才能使样本均值落在0.4到0.6之间的概率至少为0.9.¯ξ−0.5√︀1/(4n )=2√n (¯ξ−0.5)近似服从标准正态分布,所以P (0.4≤¯ξ≤0.6)=P (︀2√n (0.4−0.5)≤2√n (¯ξ−0.5)≤2√n (0.6−0.5))︀=2Φ(2√n ×0.1)−1≥0.9⇒Φ(0.2√n )≥0.95.其中Φ(x )是标准正态分布N (0,1)的分布函数,查表可得Φ(1.645)=0.95.因此0.2√n =1.647⇒n =67.65,因此至少要掷68次硬币.5.4若一母体ξ的方差σ2=4,而¯ξ是容量为100的子样的均值.分别利用切比雪夫不等式和极限定理求出一个下界,使得¯ξ−μ(μ为母体ξ的数学期望Eξ)夹在这界限之间的概率为0.9.解:设P (|¯ξ−μ|≤a )≥0.9.注意到母体的数学期望为μ,方差为σ2.所以E ¯ξ=μ,D ¯ξ=σ2/n =125.由切比雪夫不等式可知:P (|¯ξ−μ|≤a )≥1−D ¯ξa 2=1−125a2≥0.90⇒1/(25a 2)≤0.1⇒a ≥0.4.故由切比雪夫不等式得到的界限是0.4.根据大数定律可知¯ξ−μ√︀1/25=5(¯ξ−μ)近似服从标准正态分布,所以P (|¯ξ−μ|≤a )=P (5(¯ξ−μ)≤5a )=2Φ(5a )−1≥0.9⇒Φ(5a )≥0.95⇒5a ≥1.645⇒a ≥0.329.由大数定律得到的界限是0.329.5.5假定¯ξ1和¯ξ2分别是取自正态总体N(μ,σ2)的容量为n的两个独立子样(ξ11,ξ12,···,ξ1n)和(ξ21,ξ22,···,ξ2n)的均值,确定n使得两个子样均值之差超过σ的概率大约为0.01.解:由题意可知¯ξi∼N(μ,σ2/n),i=1,2,并且¯ξ1,¯ξ2相互独立.因此¯ξ1−¯ξ1∼N(0,2σ2/n),即√n¯ξ1−¯ξ2√2σ∼N(0,1).由P(|¯ξ1−¯ξ2|>σ)=0.01可得:P(√n⃒⃒⃒⃒¯ξ1−¯ξ2√2σ⃒⃒⃒⃒>√nσ√2σ)=0.01⇒P(√n⃒⃒⃒⃒¯ξ1−¯ξ2√2σ⃒⃒⃒⃒>√︂n2)=0.01⇒2(1−Φ(√︀n/2))=0.01⇒√︀n/2=2.576⇒n=13.27.所以当n=13时,可使得两个子样均值之差超过σ个概率大约为0.01.5.6设母体ξ∼N(μ,4),(ξ1,ξ2,···,ξn)是取自此母体的一个子样,¯ξ为子样均值.试问:子样容量n应取多大,才能使(1)E(|¯ξ−μ|2)≤0.1;(2)E(|¯ξ−μ|)≤0.1;(3)P(|¯ξ−μ|≤0.1)≥0.95.解:由题意可知√n2(¯ξ−μ)∼N(0,1).设η∼N(0,1),那么E(|η|2)=∫︁∞−∞1√2π|x|2e−12x2dx=2∫︁∞−∞1√2πx2e−12x2dx=Eη2=Dη+(Eη)2=1;E(|η|)=∫︁∞−∞1√2π|x|e−12x2dx=2∫︁∞1√2πxe−12x2dx=−2√2πe−12x2⃒⃒⃒∞=√︂2π.(1).E(|¯ξ−μ|2)=4nE⃒⃒⃒⃒√n2(¯ξ−μ)⃒⃒⃒⃒2=4n≤0.1⇒n≥40.所以当n取40时,可以使得E(|¯ξ−μ|2)≤0.1.(2).E(|¯ξ−μ|)=2√nE⃒⃒⃒⃒√n2(¯ξ−μ)⃒⃒⃒⃒=2√n√︂2π≤0.1⇒n≥800π.(3).P(|¯ξ−μ|≤0.1)=P(|√n2(¯ξ−μ)|≤0.1√n2)≥0.95⇒2Φ(0.1√n2)−1≥0.95⇒Φ(0.1√n2)≥0.975⇒0.1√n2≥1.96⇒n≥39.22=1536.6.即当n≥1537时,才能使P(|¯ξ−μ|≤0.1)≥0.95.5.7设母体ξ∼b(1,p)(二点分布),(ξ1,ξ2,···,ξn)为取自此母体的一个子样,¯ξ为子样均值.(1).若p=0.2,子样容量n应取多大,才能使①P(|¯ξ−p|≤0.1)≥0.75;②E(|¯ξ−p|2)≤0.01.(2).若p ∈(0,1)为未知数,则对每个p ,子样容量n 为多大时才能使E (|¯ξ−p |2)≤0.01.解:记q =1−p ,则√n (¯ξ−p )近似服从正态分布N (0,pq ).(1).P (|¯ξ−p |≤0.1)=P (⃒⃒√n (¯ξ−p )/√pq ⃒⃒≤0.1√n √pq )≈2Φ(︂0.1√n √pq)︂−1所以由P (|¯ξ−p |≤0.1)≥0.75可得Φ(︂0.1√n √pq)︂≥0.875.查表得Φ(1.15)=0.875,因此0.1√n/√pq ≥1.15⇒n ≥11.52×pq =21.16,即当n ≥22时,才能保证P (|¯ξ−p |≤0.1)≥0.75.②.E (|¯ξ−p |2)=E (¯ξ−p )2=E (¯ξ−E ¯ξ)2=D ¯ξ=Dξ/n =pq/n =0.16/p .所以要使E (|¯ξ−p |2)≤0.01,只需0.16n≤0.01⇒n ≥0.160.01=16,故只有当n ≥16,才能使E (|¯ξ−p |2)≤0.01.(2).类似于(1)中的②,E (|¯ξ−p |2)=D ¯ξ=p (1−p )n.因此要使E (|¯ξ−p |2)≤0.01,子样容量n 必须≥p (1−p )0.01=100p (1−p ).5.8设母体ξ的k 阶原点矩和中心矩分别为v k =Eξk ,μk =E (ξ−v 1)k ,k =1,2,3,4.ξk ,m k 分别为容量为n 的子样k 阶原点矩和中心矩,求证:∙E (¯ξ−v 1)3=μ3n 2;∙E (¯ξ−v 1)4=3μ2n 2+μ4−3μ22n3.解:令η=ξ−v 1=ξ−Eξ,ηi =ξi −v 1,那么η1,η2,···,ηn 就是来自总体η的子样,并且Eηki =Eηk =E (ξ−v 1)k =μk .令¯η=1n ∑︀n i =1ηi ,那么¯η=¯ξ−v 1.所以(1)E (¯ξ−v 1)3=E ¯η3=1n3∑︁i,j,kEηi ηj ηk =1n 3⎛⎜⎝n ∑︁i =1Eη3i +∑︁i,j,k 不全相等Eηi ηj ηk ⎞⎟⎠=1n 3⎛⎝nμ3+3∑︁i =j,i =kEηi (ηj ηk )⎞⎠=1n 2μ3+3n 3∑︁i =j,i =kEηi E (ηj ηk )=μ3n 2(2)E (¯ξ−v 1)4=E ¯η4=1n4∑︁i,j,k,lEηi ηj ηk ηl=1n 4⎛⎝n ∑︁i =1Eη4i +∑︁i =j =k =lEη2i η2k +∑︁i =k =j =lEη2i η2j +∑︁i =l =k =jEη2i η2j +E∑︁elseηi ηj ηk ηl ⎞⎠=1n 4(︀nμ4+3n (n −1)μ22)︀=3(n −1)μ22n 3+μ4n 3=μ4−3μ22n 3+3μ22n2其中对i,j,k,l 求和时,把这四个下标分成三类,一类是i =j =k =l ,第二类是这四个下标分成两组,在同组中的下标都相等,其余的分在第三类.注意在第三类中,我们肯定可以找到一个下边,它和其余三个下标都不同,此时Eηi ηj ηk ηl =0,这因为,比如i 不等于其余三个下标,那么Eηi ηj ηk ηl =Eηi Eηj ηk ηl ,而Eξi =0.5.9.设母体ξ∼N (μ,σ2),子样方差S 2n =1n ∑︀n i =1(ξi −¯ξ)2.求ES 2n ,DS 2n ,并证明当n 增大时,他们分别为σ2+o (1n )和2σ4n +o (︀1n )︀.解:ES 2n =(n −1)σ2n=σ2−1nσ2=σ2+o (1).(注:习题中有错误,不是o (1n ),1n 的高阶无穷小,而是o (1),即无穷小.)对于后一问,只需利用P 233的定理5.1,我们在这里这需计算μ2,μ4.μ2=Dξ=σ2,μ4=E (ξ−μ)4=∫︁∞−∞(x −μ)4p ξ(x )dx =∫︁∞−∞x 41√2πσexp {︂−12x 2σ2}︂dx =∫︁∞−∞x 31√2πσexp {︂−12x 2σ2}︂dx 22=−x 3σ√2πexp {︂−12x 2σ2}︂⃒⃒⃒∞−∞+3σ2∫︁∞−∞x 21√2πσexp {︂−12x 2σ2}︂dx=3σ4.把μ2,μ4的结果带入定理5.1,可知:DS 2n=σ4[︀2n−2n 2]︀=2σ4n+o (︀1n )︀.实际上,我们也可以这样计算:令随机变量η∼χ2(n ),那么Eη=∫︁∞0x 12n 2Γ(n 2)x n 2−1e −12x dx =2n +22Γ(n +22)2n 2Γ(n 2)=n Eη2=∫︁∞x 212n 2Γ(n 2)x n 2−1e −12x dx =n (n +2).因此Eη=n,Dη=2n .从以上可知:D (S 2n )=σ4n2D (︂nS 2n σ2)︂=2(n −1)σ4n 2=2σ2n+o(︂1n)︂.5.10设(ξ1,ξ2)为取自正态母体ξ∼N (0,σ2)的一个子样,试证:(1).ξ1+ξ2与ξ1−ξ2是相互独立的;(2).(ξ1+ξ2)2(ξ1−ξ2)2服从F (1,1)分布.解:(ξ1,ξ2)是ξ∼N (μ,σ2)的子样,从而ξ*=[︃ξ1ξ2]︃∼N(︃[︃μμ]︃,σ2I 2)︃,其中I 2表示二阶单位矩阵.那么η=[︃η1η2]︃=[︃111−1]︃ξ* Bξ*∼N (︃B [︃μμ]︃,σ2BI 2B ′)︃,即η∼N (︃[2μ,0]′,[︃2002]︃)︃.因此可知η1,η2即ξ1+ξ2,ξ1−ξ2相互独立,且分别有分布N (2μ,2),N (0,2).5.11设母体的分布函数为F (x ),(ξ1,ξ2,···,ξn )是取自该母体的一个字样.若F (x )的二阶矩存在,¯ξ为字样均值,试证(ξi −¯ξ)与(ξj −¯ξ)的相关系数为ρ=−1n −1,i =j =1,2,···,n .解:方法一:由相关系数的定义,我们先计算Cov(ξi −¯ξ,ξj −¯ξ)和D (ξi −¯ξ)=D (ξj −¯ξ).记总体ξ的期望为μ,方差为σ2.令ηi =ξi −μ,i =1,2,···,n ,那么Eηi =0,Eηi ηj =0,i =j,Eη2i=σ2.从而可知:Cov(ξi −¯ξ,ξj −¯ξ)=Cov(ηi −¯η,ηj −¯η)=Cov(ηi ,ηj )−2Cov(ηi ,¯η)+Cov(¯η,¯η)=0−2Cov(ηi ,1n ηi )+σ2/n =−1n σ2.D (ξi −¯ξ)=D (ηi −¯η)=Cov(ηi −¯η,ηi −¯η)=D (ηi )−2Cov(ηi ,¯η)+D ¯η=σ2−2Cov(ηi ,1n ηi )+σ2/n =n −1nσ2.所以ξi −¯ξ,ξj −¯ξ的相关系数为−σ2/n√︂n −1n σ2n −1nσ2=−1n −1,i =j.方法二:首先由ξ1,ξ2,···,ξn 的独立性可知:D (ξ−¯ξ)=D (n −1n ξi −1n∑︁j =iξj )=(︂n −1n )︂2Dξi +1n2∑︁j =iDξj=σ2(︃(︂n −1n )︂2+n −1n 2)︃=n −1nσ2.由对称性可知对任意的i =j ,Cov(ξi ,ξj )=Cov(ξ1,ξ2) c .同时注意到∑︀n i =1(ξi −¯ξ)=0,所以=D (n ∑︁i =1(ξi −¯ξ))=n ∑︁i =1D (ξi −¯ξ)+∑︁i =jCov(ξi −¯ξ,ξj −¯ξ)=(n −1)σ2+n (n −1)c⇒c =−n −1n (n −1)σ2=−1nσ2.因此Cov(ξi −¯ξ,ξj −¯ξ)=−1n σ2n −1nσ2=−1n −1.5.12设¯ξn ,S 2n 分别是子样(ξ1,ξ2,···,ξn )的子样均值和子样方差,现又获得第n +1个观测值,试证:(1).¯ξ=¯ξn +1n +1(ξn +1−¯ξn );(2).S 2n +1=n n +1[︁S 2n +1n +1(ξn +1−¯ξn )2]︁.解:(1).¯ξn +1=1n +1n +1∑︁i =1ξi =1n +1ξn +1+n n +11n n∑︁i =1ξi=1n +1ξn +1+n n +1¯ξn =1n +1(ξn +1−¯ξn )+¯ξn .S2n+1=1n+1n+1∑︁i=1ξ2i−¯ξ2n+1=nn+1(1nn∑︁i=1ξ2−¯ξ2n)+nn+1¯ξ2n+1n+1ξ2n+1−(︃¯ξ2n+2n+1¯ξn(ξn+1−¯ξn)+(︂1n+1)︂2(ξn+1−¯ξn)2)︃=nn+1S2n+1n+1[︀ξ2n+1−2ξn+1¯ξn+¯ξn]︀−1(n+1)2(ξn+1−¯ξn)2=nn+1[︂S2n+1n+1(ξn+1−¯ξn)2]︂.5.13从装有一个白球、两个黑球的罐子里有放回地取球.令ξ=0表示取到白球,ξ=1表示取到黑球.求容量为5的子样均值和子样方差的期望值.解:实际上,我们知道E¯ξ=Eξ,ES2n =n−1nDξ,所以我们只需计算出总体的期望和方差.由题意可知总体ξ有分布列ξ01P132 3那么Eξ=23,Dξ=1323=29,因此E¯ξ=23,ES2n=2(n−1)9n.习题5.14设母体ξ服从参数为λ的泊松分布,(ξ1,ξ2,···,ξn)是取自此母体的一个子样.求(1).子样的联合概率分布列;(2).子样均值¯ξ的分布列、E¯ξ、D(¯ξ)和ES2n.解:因为ξ1,ξ2,···,ξn是总体ξ∼P(λ)的子样,所以ξ1,ξ2,···,ξn独立同分布,且均服从参数为λ的泊松分布.故(1)子样的联合分布列为P(ξ1=x1,ξ2=x2,···,ξn=x n)=n∏︁i=1P(ξi=x i)=n∏︁i=1λx ix i!e−λ=λ∑︀ni=1x i e−nλ(︃n∏︁i=1x i!)︃−1.x i=0,1,2,···,i=1,2,···,n.(2).回顾78页例2.12,该例题说明两个相互独立的泊松分布P(λ1),P(λ2)的和服从泊松分布P(λ1+λ2),因此在本题中n∑︁i=1ξi∼P(nλ)所以¯ξ的分布列为:P(¯ξ=kn)=P(n∑︁i=1ξi=k)(nλ)kk!e−nλ.因为总体的期望和方差都是λ,因此E¯ξ=Eξ=λ,D¯ξ=Dξn=λn,ES2n=n−1nDξ=(n−1)λn.5.15设ξ1,ξ2,···,ξn是取自正态母体N(μ,σ2)的子样,求u=k∑︀i=1ξi和v=∑︀ni=rξi,0<k<r<n的联合分布列.解:由于k<r,所以u,v相互独立.又因为ξ1,ξ2,···,ξn独立同分布,均服从N(μ,σ2)分布,而u,v都是ξ1,ξ2,···,ξn的线性组合,故u,v也都服从正态分布.又Eu=k∑︁i=1Eξi=kμ,Du=k∑︁i=1Dξi=kσ2,Ev=n∑︁i=rEξi=(n−r+1)μ,Dv=n∑︁i=rDξi=(n−r+1)σ2,所以u,v 的联合分布为二维正态分布N (kμ,(n −r +1)μ,kσ2,(n −r +1)σ2,0).5.16设母体η=(ξ1,ξ2)∼N (μ1,μ2,σ21,σ22,ρ),(η1,η2,···,ηn )是取自此母体的一个子样,求子样均值¯η=(¯ξ1,¯ξ2)=(︂1nn ∑︀i =1ξ1i ,1n n∑︀i =1ξ2i )︂的分布密度函数.解:首先可知¯η服从二维正态分布.又ηi ∼N (μ1,μ2,σ21,σ22,ρ),所以Eξ1i =μ1,Eξ2=μ2,Dξ1i =σ21,Dξ2i =σ22,Cov(ξ1i ,ξ2i )=ρσ1σ2.又因为当i =j 时,ηi ,ηj 相互独立,故Cov(ξ1i ,ξ2j )=0.这样我们就有如下结果:E ¯ξ1=1n n∑︁i =1Eξ1i =μ1;E ¯ξ2=1n n∑︁i =1Eξ2i =μ2;D ¯ξ1=1n 2n ∑︁i =1Dξ1i=1n σ21;D ¯ξ2=1n 2n ∑︁i =1Dξ2i=1n σ22;Cov(¯ξ1,¯ξ2)=1n 2Cov(n ∑︁i =1ξ1i ,n ∑︁i =1ξ2i )=1n 2∑︁i,jCov(ξ1i ,ξ2j )=1n 2∑︁i Cov(ξ1i ,ξ2i)=ρσ1σ2n.并且¯ξ1,¯ξ2的相关系数为Cov(¯ξ1,¯ξ2√︀[D ¯ξ1][D ¯ξ2]=ρσ1σ2/n √︀(σ21/n )(σ22/n )=ρ.由以上结论可知¯η∼N (μ1,μ2,σ21/n,σ22/n,ρ),其密度函数为:n2πσ1σ2√︀1−ρ2exp {︂−n 2(1−ρ2)[︂(x −μ1)2σ21−2ρ(x −μ1)(y −μ2)σ1σ2+(y −mu 2)2σ22]︂}︂.5.17设母体的分布列为P (ξ=k )=1N ,k =1,2,···,N .现进行不放回抽样,¯ξ¯ξ为子样(ξ1,ξ2,···,ξn )的均值,试求E ¯ξ和D (¯ξ).解:由题意可知,母体中共有N 个个体,且取到每个个体的概率是一样的.从母体中不放回的抽样,第i 次抽到第k 个个体的概率为1/N .故ξi 也有分布列P (ξi =k )=1N ,k =1,2,···,N ,即和母体有相同的分布列.所以Eξi =1N ∑︀N k =1k =N +12,Eξ2i =1N ∑︀N k =1k 2=(N +1)(2N +1)6,Dξi =N 2−112.由于抽样是不放回抽样,所以ξi ,ξj 不是相互独立的.它们有联合分布列P (ξi =k,ξj =l )={︃1N (N −1),k =l,0,k =l 由此可知:Eξi ξj=1N (N −1)∑︁k =lkl =(N +1)(3N +2)12;Cov(ξi ,ξj )=Eξi Eξj −Eξi Eξj =−N +112.所以D(ξ1+ξ2+···+ξn)=n∑︁k=1Dξk+2∑︁1≤k<l≤nCov(ξk,ξl)=n N2−112−n(n−1)N+112=n(N+1)(N−n)12;D(¯ξ)=1n2D(n∑︁i=1ξi)=(N+1)(N−n)12n;E¯ξ=1nn∑︁i=1Eξi=N+12.5.18设母体ξ∼N(0,1),ξ1,ξ2,ξ3为取自该母体的一个子样,在子样空间中求子样到原点的距离小于1个概率.解:由于ξi,i=1,2,3独立同分布,和母体有相同的分布,故ξ1,ξ2,ξ3的联合密度函数为:p(x,y,z)=1(2π)3/2exp{︂−12(x2+y2+z2)}︂.因此子样到原点的距离小于1的概率为p=P(ξ21+ξ22+ξ23<1)=∫︁∫︁∫︁x2+y2+z2<11(2π)3/2exp{︂−12(x2+y2+z2)}︂dxdydz.做变换⎧⎪⎨⎪⎩x=r cosθ1,y=r sinθ1cosθ2, z=r sinθ1sinθ2.变化的雅克比行列式为ð(x,y,z)ð(r,θ1,θ2)=r sinθ1.所以P=(2π)−3/2∫︁π0sinθ1dθ1∫︁2πdθ2∫︁1r2exp{︂−12r2}︂=√︂2π∫︁1r2exp{−r22}dr=√︂2π[︂−r exp{−r22}⃒⃒1+∫︁1exp{−r22}dr]︂=√︂2π[︂∫︁1exp{−r22}dr−e−12]︂=√︂2π[︂√2π∫︁11√2πexp{−r22}dr−e−12]︂=√︂2π[︁√2π(Φ(1)−Φ(0))−e−12]︁=2Φ(1)−1−√︂2πe−12.其中Φ(x)是标准正态分布的分布函数.或者如下计算P.P=(2π)−3/2∫︁1−1[︂e−x22∫︁y2+z2<1−x2e−12(y2+z2)dydz]︂dx=(2π)−3/2∫︁1−1[︃e−x22∫︁2πdθ∫︁√1−x2re−12r2dr]︃dx=(2π)−1/2∫︁1−1[︂e−x22(︂−e−12r2⃒⃒⃒√1−x2)︂]︂dx=(2π)−1/2∫︁1−1e−12x2[1−e−12(1−x2)]dx=∫︁1−11√2πe−12x2dx−1√2π∫︁1−1e−12dx=2Φ(1)−1−√︂2πe−12≈0.1987.又或者利用χ2分布.注意到ξ21+ξ22+ξ23∼χ2(3),所以P =P (ξ21+ξ22+ξ23<1)=∫︁10123/2Γ(32)x 32−1e −x 2dx =1√2π∫︁10x 12e −x 2dx.在上述积分中做变换x =t 2,可以得到和前面相同的结果.5.19设(ξ1,ξ2,···,ξn )为取自正态母体N (μ,σ2)的子样,S 2n 为子样方差,分别求满足下列各式的最小n 值.(1).P (︂S 2nσ2≤1.5)︂≥0.95.(2).P (︂|S 2n −σ2|≤12Σ)︂≥0.8.解:注意到nS2n σ2∼χ2(n −1).(1).P (︂S 2n σ2≤1.5)︂=P (︂nS 2n σ2≤1.5n )︂≥0.95,故1.5n ≥χ20.95(n −1).1.5×20<χ20.95(19),而1.5×21>χ20.95(20),所以最小的n 是21.(2).P (︂|S 2n −σ2|≤12σ2)︂=P (︁⃒⃒⃒nS 2n σ2−n ⃒⃒⃒≤n 2)︁=P (︁n 2≤ns 2nσ2≤3n 2)︁.所以我们要找的n 为使得P (︂n 2≤ns 2n σ2≤3n 2)︂≥0.8的最小的n .用软件计算可知此最小的n 为13.5.20子样(ξ1,ξ2,ξ3)来自正态母体N (0,1),又η1=0.8ξ1+0.6ξ2,η2=√2(0.3ξ1−0.4ξ2−0.5ξ3),η3=√2(0.3ξ1−0.4ξ2+0.5ξ3),求(η1,η2,η3)的联合分布密度及η1,η2,η3的边际密度.解:ξ1,ξ2,ξ3相互独立,且都服从分布N (0,1),所以(ξ1,ξ2,ξ3)的联合分布是三维正态分布.其期望为(0,0,0),协方差矩阵为三阶单位矩阵I 3.记A =⎛⎜⎝0.80.600.3√2−0.4√2−0.5√20.3√2−0.4√20.5√2⎞⎟⎠,那么可知(η1,η2,η3)′=A (ξ1,ξ2,ξ3)′,即(η1,η2,η3)′是(ξ1,ξ2,ξ3)的线性变换,所以(η1,η2,η3)′也服从正态分布,其期望,协方差矩阵分别为:E ⎛⎜⎝η1η2η3⎞⎟⎠=A ⎛⎜⎝000⎞⎟⎠=0,Cov ⎛⎜⎝η1η2η3⎞⎟⎠AI 3A ′=I 3.由于η1,η2,η3的协方差矩阵是单位矩阵,故可知ηi ,ηj 的相关系数为0,所以η1,η2,η3相互独立.又Eηi =0,Dηi =1,所以ηi sin N (0,1).5.21若ξ1,ξ2,···,ξn 相互独立且服从正态分布,它们的数学期望相等,方差各为σ21,σ22,···,σ2n ,证明:u =∑︀n i =1ξiσ2i∑︀ni =11σ2i与v =n ∑︁i =1(︂ξi −u σi)︂2是相互独立的,且u 服从正态分布,v 服从自由度为n 的χ2分布.解:因为ξi ,i =1,2,···,n 有相同的数学期望,不妨用μ表示其共同的数学期望.令ηi =ξiσi,i =1,2,···,n ,那么η1,η2,···,ηn 相互独立,都服从正态分布,且Dηi =1,Eηi =a/σi ,i =1,···,n ,这样可知η=(η1,η2,···,ηn )′的协方差矩阵为n 阶单位矩阵I n .记C=√︃n∑︀i=11σ2i,令矩阵A是正交矩阵,且其第一行为(1σ1,1σ2,···,1σn)/C.设ζ=⎛⎜⎜⎜⎜⎝ζ1ζ2...ζn⎞⎟⎟⎟⎟⎠=Aη=A⎛⎜⎜⎜⎜⎝η1η2...ηn⎞⎟⎟⎟⎟⎠那么(ζ1,ζ2,···,ζn)′服从多元正态分布,且其协方差矩阵为Cov(ζ)=A Cov(η)A′=AI n A′=AA′=I n.ζ的数学期望为Eζ=AEη=A ⎛⎜⎜⎜⎜⎝aσ1aσ2...aσn⎞⎟⎟⎟⎟⎠=a⎛⎜⎜⎜⎜⎜⎜⎝n∑︀i=11σ2i...⎞⎟⎟⎟⎟⎟⎟⎠=⎛⎜⎜⎜⎜⎝aC2...⎞⎟⎟⎟⎟⎠.这意味着ζ1,ζ2,···,ζn相互独立,且ζ1∼N(aC2,1),ζ2∼N(0,1),i=2,3,···,n.由于矩阵A的第一行为(1σ1,1σ2,···,1σn)/C,所以ζ1=1C(η1/σ1+η2/σ2+···+ηn/σn)=1C(ξ1/σ21+ξ2/σ22+···+ξn/σ2n)=Cu.由此可知u=1C ζ1∼N(a,1C2),即N(a,(︀∑︀ni=1σ2i)︀.又v=n∑︁i=1(︂ξi−uσi)︂2=n∑︁i=1(ηi−uσi)2=n∑︁i=1η2i−2un∑︁i=1ηi/σi+u2n∑︁i=11σ2i=η′η−2u(C2u)+C2u2=η′η−C2u2 =η′η−ζ21.其中利用了∑︀ni=1ηi/σi=∑︀ni=1ξiσ2i=C2u,ζ1=Cu.因为A是正交矩阵,且ζ=Aη,所以ζ′ζ=η′A′Aη=η′η.这样可知v=ζ′ζ−ζ21=ζ22+ζ23+···+ζ2n.综合以上所述,我们已经知道ζ1,ζ2,···,ζn,相互独立,且ζi∼N(0,1),i=2,3,···,n,u∼N(a,1/C2).所以u=Cζ1与v=ζ22+ζ23+···+ζ2n相互独立,且v∼χ2(n−1).注:v的自由度是n−1,不是n.5.22设母体ξ服从正态分布N(μ,σ2),¯ξ,S2n分别为容量为n的子样均值和子样方差,又设ξn+1∼N(μ,σ2)且与ξ1,ξ2,···,ξn相互独立.试求统计量ξn+1−¯ξS n √︂n−1n+1的抽样分布.解:由定理5.4知¯ξ与S2n相互独立,¯ξ∼N(μ,σ2/n),nS2nσ2∼χ2(n−1).ξn+1与ξ1,ξ2,···,ξn相互独立,故¯ξ与¯ξ,S2n独立.且ξn+1−¯ξ∼N(0,σ2+σ2n),即ξn+1−¯ξ∼N(0,n+1nσ2).ξn+1,¯ξ都与S2n相互独立,那么ξn+1−¯ξ与S2n独立,因此ξn+1−¯ξ√n+1n σ2√︂nS2nσ2⧸︁(n−1)∼t(n−1),即ξn+1−¯ξS n√︂n−1n+1∼t(n−1).5.23(ξi,ηi),i=1,2,···,n是取自二元正态分布N(μ1,μ2,σ21,σ22,ρ)的子样.设¯ξ=1nn∑︀i=1ξi,¯η=1nn∑︀i=1ηi,S2ξ=1n∑︀ni=1(ξi−¯ξ)2,S2η=1n∑︀ni=1(ηi−¯η)2和r=∑︀ni=1(ξi−¯ξ)(ηi−¯η)√︁∑︀ni=1(ξi−¯ξ)2∑︀ni=1(ηi−¯η)2.试求统计量¯ξ−¯η−(μ1−μ2)√︁S2ξ+S2η−2rSξSη√n−1.的分布.解:一般的我们称1nn∑︁i=1(ξi−¯ξ)(ηi−¯η)为样本协方差.而把r=∑︀ni=1(ξi−¯ξ)(ηi−¯η)√︁∑︀ni=1(ξi−¯ξ)2∑︀ni=1(ηi−¯η)2=样本协方差√︁S2ξS2η为样本相关系数.设[ξ1,η1]′,[ξ2,η2]′,···,[ξn,ηn]′是从总体[ξ,η]′∼N(μ1,μ2,σ21,σ22,ρ)取到的子样.S2ξ+S2η−2rSξSη=1n(︃n∑︁i=1(ξi−¯ξ)2+n∑︁i=1(ηi−¯η)2−2n∑︁i=1(ξi−¯ξ)(ηi−¯η))︃=1nn∑︁i=1[︀(ξi−ηi)−(¯ξ−¯η)]︀2.令ζi=ξi−ηi,i=1,2,···,n.那么ζ1,ζ2,···,ζn就可以看做是从总体ξ−η∼N(μ1−μ2,σ21+σ22−2ρσ1σ2)的子样.并且这个新子样的子样均值和子样方差分别为:¯ζ=1nn∑︁i=1(ξi−ηi)=¯ξ−¯ηS2=1nn∑︁i=1(ζi−¯ζ)2=1nn∑︁i=1[︀(ξi−ηi)−(¯ξ−¯η)]︀2=S2ξ+S2η−2rSξSη.因此√n−1(¯ξ−¯η)−(μ1−μ2)√︁S2ξ+S2η−2rSξSη∼t(n−1).5.23-2解:(1)因为函数y=√x的反函数为x=y2,且dxdy=2y,所以η=√ξ的密度函数为pξ(y)=2pη(y2)|y|=⎧⎨⎩22n/2Γ(n/2)y×(y2)n2−1e−12y2=12n2−1Γ(n2)y n−1e−y22,y>0 0,y≤0(2).因为z=y√n的反函数为y=√nz,且dydz√n,所以ζ=ξ√n的密度为: pζ(z)=√npξ(√nz)=⎧⎨⎩n n22n/2−1Γ(n/2)z n−1e−nz22,z>00,z≤0(3)Eξ=E √η=∫︁∞√x12n/2Γ(n/2)x n2−1e−12x dx=2n+12Γ(n+12)2n2Γ(n2)=√2Γ(n+12)Γ(n2).Eξ2=Eη=nDξ=Eξ2−(Eξ)2=n−2(︂Γ(n+12Γ(n2))︂25.24设母体ξ以等概率取四个值0,1,2,3,现从中获得一个容量为3的子样,试分别求ξ(1)与ξ(3)的分布.解:(i).先求ξ(1)的分布(分布列).P(ξ(1)≥k)=P(min{ξ1,ξ2,ξ3}≥k)=P(ξi≥k,i=1,2,3)=3∏︁i=1P(ξi≥k)=3∏︁i=14−k4=(︂4−k4)︂3,k=0,1,2,3.P(ξ(1)=k)=P(ξ(1)≥k)−P(ξ(1)≥k+1)=(︂4−k4)︂3−(︂3−k4)︂3,k=0,1,2P(ξ(1)=3)=P(ξ(1)≥3)=(︂14)︂3=164.因此ξ(1)有如下分布列:ξ(1)0123P37641964764164(ii).再考虑ξ(3)的分布列.P(ξ(3)≤k)=P(max{ξ1,ξ2,ξ3}≤k)=P(ξi≤k,i=1,2,3)=3∏︁i=1P(ξi≤k)=3∏︁i=1k+14=(︂k+14)︂3,k=0,1,2,3P(ξ(3)=k)=P(ξ(3)≤k)−P(ξ(3)≤k−1)=(︂k+14)︂3−(︂k4)︂3,k=1,2,3P(ξ(3)=0)=P(ξ(3)≤0)=(︂14)︂3=164.因此ξ(3)有如下分布列:ξ(3)0123P164764196437645.25设母体ξ的密度函数为f(x)=3x2,0≤x≤1从中获得一个容量为5的子样ξ1,ξ2,···,ξ5,其次序统计量为ξ(1),ξ(2),···,ξ(5).(1).试分别求ξ(1)与ξ(5)的概率密度函数;(2).试证ξ(2)ξ(4)与ξ(4)相互独立.解:(1).母体有分布函数F(x)=⎧⎪⎨⎪⎩0,x≤0x3,0<x≤1,1,x>1.所以ξ(1)的概率密度函数f(1)(x),ξ(5)的概率密度函数f5(x)分别为:f(1)(x)={︃5[1−x3]4(3x2),0≤x≤1,0,else={︃15x2(1−x3)4,0≤x≤1,0,else.f(5)(x)={︃5(x3)4(3x2),0≤x≤10,else={︃15x14,0≤x≤1,0,else.(2).母体有分布函数F(x)=⎧⎪⎨⎪⎩0,x≤0x3,0<x≤1,1,x>1.因此ξ(2),ξ(4)的联合密度函数为g2,4(y,z)={︃5!9(2−1)!(4−2−1)!(5−4)!(y3)[z3−y3]4−2−1[1−z3]y2z2,0<y<z≤1.0,else={︃1080y5(z3−y3)(1−z3)z2,0<y<z≤1 0,else.令{︃U=ξ(2)/ξ(4)V=ξ(4)其对应的函数为:{︃u=y/z,v=z.其反函数为y=uv,z=v,其雅克比行列式为J=⃒⃒⃒⃒⃒v u01⃒⃒⃒⃒⃒=v.所以U,V的联合密度为pU,V (u,v)={︃1080(uv)5(v3−(uv)3)(1−v3)v2v,0<u<1,0<v<1,0,else.={︃1080v11(1−v3)u5(1−u3),0<u<1,0<v<1,0,else.U,V的联合密度函数是变量可分离的,故U,V相互独立.且U=ξ(2)/ξ(4)的密度函数为PU (u)={︃ku5(1−u3),0<u<10,else计算可知k=18.5.26设母体ξ服从韦布尔分布,其分布函数为F(x)=1−e−(xη)m,x>0,其中m>0为形状参数,η>0为尺度参数.从中获得子样ξ1,ξ2,···,ξn,证明μ=min(ξ1,ξ2,···,ξn)任服从韦布尔分布,并指出其形状参数和尺度参数.解:母体ξ的密度函数p(x)=F′(x)={︃mηmx m−1e−(xη)m,x>0 0,else.所以最小次序统计量μ=ξ(1)=min(ξ1,ξ2,···,ξn)的密度函数为:f(x)=n(1−F(x)]n−1p(x)=nmηmx m−1(︁e−(xη)m)︁n−1e−(xη)m=nmηmx m−1(︁e−n(xη)m)︁=m(cη)mx m−1(︁e−(x cη)m)︁其中c=n−1m.比较f(x)和母体的密度函数p(x)可知μ也服从韦布尔分布,其形状参数仍为m,尺度参数为ηm√n.5.27设某电子元件寿命服从参数为λ=0.0015的指数分布,其分布函数为:F(x)=1−e−λx,x>0.今从中随机抽取6个元件,测得其寿命分别为ξ1,ξ2,···,ξ6,试求下列事件的概率.(1).到800小时没有一个元件失效;(2).到300小时所有元件都失效.解:ξ1,ξ2,···,ξ6是子样,所以ξ1,ξ2,···,ξ6相互独立,且每个ξi都服从参数为λ的指数分布,所以(1).到800小时没有一个元件失效的概率为p1=P(ξ1>800,ξ2>800,···,ξ6>800)=6∏︁i=1P(ξi>800)=6∏︁i=1P(ξ<800)=6∏︁i=1[1−(1−e−800λ)]=[e−800λ]6=e−4800λ=e−7.2≈0.00075.(2).到300小时所有元件都失效的概率p2=P(ξ1<3000,ξ2<3000,···,ξ6<3000)=6∏︁i=1P(ξi<3000)=6∏︁i=1P(ξ<3000)=6∏︁i=1[1−e−3000λ)]=[1−e−3000λ]6=[1−e−4.5]6≈0.93517.5.28设母体ξ的密度函数为f(x)={︃6x(1−x),0<x<10,else由此母体中抽取一个子样(ξ1,ξ2,ξ3,ξ4,ξ5),又ξ(1)<ξ(2)<ξ(3)<ξ(4)<ξ(5)是子样的顺序统计量,求ξ(3)的密度函数.解:ξ的分布函数为F(x)=∫︁x6t(1−t)dt=x2(3−2x),(0<x<1),所以ξ(3)的密度函数为:g3(x)=5!2!2![F(x)]2[1−F(x)]2f(x)=5!2!2![x2(3−2x)]2[1−x2(3−2x)]2[6x(1−x)]=180x5(1−x)(3−2x)2(1−3x2+2x3)2,0<x<1.5.29母体ξ服从[0,1]上的均匀分布,(ξ1,ξ2,···,ξn)为取自该母体的子样,ηi=ξ(i)为次序统计量,求P(ηi> 12),i=1,2,3,4,5.解:ξ服从[,1]上的均匀分布R[0,1],所以ξ的分布函数为:F(x)=⎧⎪⎨⎪⎩x,0<x≤10,x≤01,x>1.因此第i个次序统计量ηi的概率密度函数为:g i(y)=⎧⎨⎩5!(i−1)!(5−i)!x i−1(1−x)5−i,0<y≤1 0,y≤0或者y>1故P(η1>1/2)=∫︁11/25(1−y)4dy=∫︁1/25t4dt=132P(η2>1/2)=∫︁11/220y(1−y)3dy=316P(η3>1/2)=∫︁11/230y2(1−y)2dy=12P(η4>1/2)=∫︁11/220y3(1−y)dy=1316=1−P(η2>1/2)P(η5>1/2)=∫︁11/25y4dy=3132=1−P(η1>1/2).5.30设(ξ1,ξ2)是取自具有指数分布母体的子样,其密度函数为:f(x)={︃e−x,x>00,else(ξ(1)<ξ(2)是次序统计量,求ξ(1)与η=ξ(1)+ξ(2)的联合密度函数.解:母体ξ服从参数为1的指数分布,其分布函数为F(x)=(1−e−x),x>0.因此ξ(1),ξ(2)的联合密度函数为:g1,2(x,y)=2e−x e−y,0<x<y.令U=ξ(1),V=ξ(1)+ξ(2).它对应的函数为u=x,v=x+y,其反函数为x=u,y=v−u,且雅克比行列式J=⃒⃒⃒⃒⃒ðxðuðxðvðyðuðyðv⃒⃒⃒⃒⃒=⃒⃒⃒⃒⃒10−11⃒⃒⃒⃒⃒=1.所以U,V的联合密度函数为pU,V(u,v)=2e−u e−(v−u),0<u<(v−u)=e−v,0<2u<v.5.31设母体ξ的分布函数F(x)是连续的,ξ(1),ξ(2),···,ξ(n)为取自此母体的子样的次序统计量,设ηi= F(ξ(i)),试证(1).η1≤η2≤···≤ηn,且ηi是来自均匀分布U(0,1)母体的次序统计量;(2).Eηi=in+1,D(ηi)=i(n+1−i)(n+1)2(n+2),1≤i≤n.(3).ηi和ηj的协方差矩阵为⎛⎜⎝a1(1−a1)n+2a1(1−a2)n+2a1(1−a2)n+2a2(1−a2)n+2⎞⎟⎠其中a i=in+1,a j=jn+1.证明:因为ξ(1),ξ(2),···,ξ(n)是取自母体ξ的子样的次序统计量,所以ξ(1)≤ξ(2)≤···≤ξ(n).又因为分布函数F(x)是单调不降的,所以F(ξ(1))≤F(ξ(2))≤···≤F(ξ(n))并且可看做是取自母体F(ξ)的子样的次序统计量.令C x=sup{t|F(t)≤t},0<x<1.由于F(x)是连续函数,其闭集的原像仍为闭集.而且F(x)单调不降,故可知F(C x)=x.这样可知:P(F(ξ)≤x)=P(ξ≤C x)=F(C x)=x,0<x<1.所以η=F(ξ)服从(0,1)上的均匀分布,所以η1,···,ηn可看做从(0,1)分布的母体上子样的次序统计量.(2).由(1)可知ηi有密度函数p(i)=⎧⎨⎩n!(i−1)!(n−i)![F(x)]i−1[1−F(x)]n−i,0<x<1, 0,else=⎧⎨⎩n!(i−1)!(n−i)!x i−1(1−x)n−i,0<x<1, 0,else即ηi服从beta分布Beta(i,n−i+1).注意到ηi的密度函数的形式,Eηi=∫︁1n!(i−1)!(n−i)!x i(1−x)n−i dx=n!(i−1)!(n−i)!i!(n−i)!(n+1)!∫︁1(n+1)![(i+1)−1]![(n+1)−(i+1)]!x(i+1)−1(1−x)(n+1)−(i+1)dx=n!(i−1)!(n−i)!i!(n−i)!(n+1)!=in+1.其中我们利用了(n+1)![(i+1)−1]![(n+1)−(i+1)]!x(i+1)−1(1−x)(n+1)−(i+1),0<x<1是子样容量为n+1时ηi+1的密度函数.用同样的方法可得:Eη2i=∫︁1n!(i−1)!(n−i)!x i+1(1−x)n−i dx=n!(i−1)!(n−i)!(i+1)!(n−i)!(n+2)!∫︁1(n+2)![(i+2)−1]![(n+2)−(i+2)]!x(i+2)−1(1−x)(n+2)−(i+2)dx=n!(i−1)!(n−i)!(i+1)!(n−i)!(n+2)!=i(i+1)(n+2)(n+1).其中我们利用了(n+2)![(i+2)−1]![(n+2)−(i+2)]!x(i+1)−1(1−x)(n+1)−(i+1),0<x<1是子样容量为n+2时ηi+2的密度函数.那么Dηi=Eη2i−(Eηi)2=i(n+1−i) (n+1)2(n+2).(3).不妨假定i<j.因为η1,···,ηn可看做(0,1)上均匀分布母体的子样的次序统计量.故ηi,ηj的联合密度函数为:g i,j(x,y)=n!(i−1)!(j−i−1)!(n−j)!x i−1(y−x)j−i−1(1−y)n−j,0<x<y<1.注意到E(ηiηj)=Eηi(ηj−ηi)+Eη2i.Eηi(ηj−ηi)=∫︁10∫︁1xn!(i−1)!(j−i−1)!(n−j)!x i(y−x)j−i(1−y)n−j dxdy=i(j−i)(n+2)(n+1)∫︁1∫︁1x(n+2)![(i+1)−1]![(j+2)−(i+1)−1]![(n+2)−(j+2)]!·x(i+1)−1(y−x)(j+2)−(i+1)−1(1−y)(n+2)−(j+2)dxdy=i(j−i)(n+2)(n+1),其中利用了(n+2)![(i+1)−1]![(j+2)−(i+1)−1]![(n+2)−(j+2)]!x(i+1)−1(y−x)(j+2)−(i+1)−1(1−y)(n+2)−(j+2),0<x<y<1是子样容量为n+2时,ηi+1和ηj+2的联合密度函数.所以进一步的可得Cov(ηi,ηj)=Eηiηj−(Eηi)(Eηj)=Eηi(ηj−ηi)+Eη2i−(Eηi)(Eηj)=i(j−i)(n+2)(n+1)+i(i+1)(n+2)(n+1)−ij(n+1)2=i(n+1−j)(n+2)(n+1)2=a1(1−a2n+2.从而可得ηi,ηj的协方差矩阵为Cov(ηi,ηj)=(︃Dηi Cov(ηi,ηj)Cov(ηj,ηi)Dηj)︃=⎛⎜⎝a1(1−a1)n+2a1(1−a2)n+2a1(1−a2)n+2a2(1−a2)n+2⎞⎟⎠.5.32设母体ξ∼N(0,1),从此母体获得一组子样观测值x1=0,x2=0.2,x3=0.25,x4=−0.3, x5=−0.1,x6=2,x7=0.15,x8=1,x9=−0.7,x10=−1.(1).求子样的经验分布函数F n(x).(2).计算x=0.15(即ξ(6))处E(F(ξ(6))),D(F(ξ(6)))解:(1).子样的经验分布函数为:F n(x)=⎧⎪⎪⎪⎪⎪⎪⎪⎪⎪⎪⎪⎪⎪⎪⎪⎪⎪⎪⎪⎪⎪⎨⎪⎪⎪⎪⎪⎪⎪⎪⎪⎪⎪⎪⎪⎪⎪⎪⎪⎪⎪⎪⎪⎩0,x≤−10.1,−1<x≤−0.70.2,−0.7<x≤−0.30.3,−0.3<x≤−0.10.4,−0.1<x≤00.5,0<x≤0.150.6,0.15<x≤0.20.7,0.2<x≤0.250.8,0.25<x≤10.9,1<x≤21,x>2(2).记F(x)为标准正态分布的分布函数,p(x)为标准正态分布的密度函数,那么ξ(6)的密度函数为:g6(x)=10!5!4!F5(x)[1−F(x)]4p(x),。
第7章 假设检验7-1 设总体,其中参数,为未知,试指出下面统计假设中哪些是简单假设,哪些是复合假设:(1); (2);(3);(4);(5).答:完全决定总体分布的假设称为简单假设,否则称为复合假设.则这5个假设中,只有(1)是简单假设,其余为复合假设.7-2设取自正态总体,其中参数未知,是子样均值,如对检验问题,取检验的拒绝域:,试决定常数,使检验的显著性水平为0.05.答:因为,故在成立的条件下,,所以=1.176.7-3 设子样取自正态总体,已知,对假设检验,取临界域.(1)求此检验犯第一类错误概率为时,犯第二类错误的概率,并讨论它们之间的关系;(2)设=0.05,=0.004,=0.05,n=9,求=0.65时不犯第二类错误的概率.答:(1)在成立的条件下,,此时,所以,,由此式解出;在成立的条件下,,此时:,由此可知,当增加时,减小,从而减小;反之当减少时,则增加.(2)不犯第二类错误的概率为:7-4 设子样取自均匀分布其中未知参数θ>0,又设最大次序统计量为若对检验问题取拒绝域为(1)求第一类错误的概率的最大值;(2)若要(1)中所得的最大值不超过0.05,n 至少应取多大?答:(1)均匀分布最大次序统计量的密度函数为:因而检验犯第一类错误的概率为是的严格递减函数,故其最大值在处达到,即(2)若要,则要求,由此可得出,即得n 至少应取11.7- 5 设是取自二点分布b (1,p )的子样,对检验问题记,取拒绝域为W={T≥8},求该检验犯两类错误的概率.答:因为是取自二点分布b(1,p )的子样,则是服从的二项分布,于是犯两类错误的概率分别为:7-6 设一个单一观测的子样取自分布密度函数为的母体,对考虑统计假设:试求一个检验函数使犯第一,二类错误的概率满足,并求其最小值.答:设检验函数为(c 为检验的拒绝域),要使,当时,;当时,;所以检验函数应取,此时,.7-7 设某产品指标服从正态分布,它的根方差已知为150小时.今由一批产品中随机抽取了26个,测得指标的平均值为1637小时,问在5%的显著性水平下,能否认为该批产品指标为1600小时?答:总体,对假设,采用U 检验法,在为真时,检验统计量:临界值,故接受.7-8 某电器零件的平均电阻一直保持在2.64,根方差保持在0.06,改变加工工艺后,测得100个零件,其平均电阻为 2.62,根方差不变,问新工艺对此零件的电阻有无显著差异?取显著性水平=0.01.答:设改变工艺后电器的电阻为随机变量,则未知,,假设为,统计量由于,故拒绝原假设,即新工艺对电阻有显著差异.7-9 有一种新安眠剂,据说在一定剂量下能比某种旧安眠剂平均增加睡眠时间3h ,根据资料,用某种旧安眠剂时平均睡眠时间为20.8h ,标准差为1.8h ,为了检验新安眠剂的这种说法是否正确,收集到一组使用新安眠剂的睡眠时间(以h 为单位)为:26.7,22.0,24.1,21.0,27.2,25.0,23.4试问:这组数据能否说明新安眠剂已达到新的疗效?答:设新安眠剂疗效为随机变量,则未知,.检验假设从母体中取了容量为7的子样,近似服从正态分布,即:.因而对假设可采用u -检验计算检验统计观察值,所以接受原假设,即新安眠剂未达到新的疗效.7-10 一位校长在报上看到一则报道:“本市初中生平均每周看电视8h”,该校长认为本校学生看电视的时间明显小于该数字,为此随机调查了100名学生,得知每周看电视的平均时间为6.5h,样本标准差为2h ,假定学生每周看电视的时间服从正态分布,根据调查结果,在a=0.05水平下能否支持该校长的看法.答:假设初中生平均每周看电视的时间服从正态分部:未知构造拒绝域,现,故而,由于.所以拒绝即可认为校长的看法是对的.7-11 有甲、乙两个试验员,对同一试验的同一指标进行测定,两人测定的结果如下:表7-1。
第一章 事件与概率1.1 写出下列随机试验的样本空间及表示下列事件的样本点集合。
(1)10件产品中有1件是不合格品,从中任取2件得1件不合格品。
(2)一个口袋中有2个白球、3个黑球、4个红球,从中任取一球,(ⅰ)得白球,(ⅱ)得红球。
解 (1)记9个合格品分别为 921,正正正,, ,记不合格为次,则,,,,,,,,,)()()(){(1913121次正正正正正正正 =Ω,,,,,,,,,)()()()(2924232次正正正正正正正 ,,,,,,,)()()(39343次正正正正正 )}()()(9898次正次正正正,,,,,,=A ){(1次正,,,,)(2次正)}(9次正,,(2)记2个白球分别为1ω,2ω,3个黑球分别为1b ,2b ,3b ,4个红球分别为1r ,2r ,3r ,4r 。
则=Ω{1ω,2ω,1b ,2b ,3b ,1r ,2r ,3r ,4r }(ⅰ) =A {1ω,2ω} (ⅱ) =B {1r ,2r ,3r ,4r }1.2 在数学系的学生中任选一名学生,令事件A 表示被选学生是男生,事件B 表示被选学生是三年级学生,事件C 表示该生是运动员。
(1) 叙述C AB 的意义。
(2)在什么条件下C ABC =成立?(3)什么时候关系式B C ⊂是正确的?(4) 什么时候B A =成立?解 (1)事件C AB 表示该是三年级男生,但不是运动员。
(2) C ABC = 等价于AB C ⊂,表示全系运动员都有是三年级的男生。
(3)当全系运动员都是三年级学生时。
(4)当全系女生都在三年级并且三年级学生都是女生时`。
1.3 一个工人生产了n 个零件,以事件i A 表示他生产的第i 个零件是合格品(n i ≤≤1)。
用i A 表示下列事件:(1)没有一个零件是不合格品;(2)至少有一个零件是不合格品;(3)仅仅只有一个零件是不合格品;(4)至少有两个零件是不合格品。
解 (1) n i i A 1=; (2) n i i n i i A A 11===; (3) n i n ij j ji A A 11)]([=≠=; (4)原事件即“至少有两个零件是合格品”,可表示为n j i j i j i A A ≠=1,;1.4 证明下列各式: (1)A B B A ⋃=⋃;(2)A B B A ⋂=⋂(3)=⋃⋃C B A )()(C B A ⋃⋃;(4)=⋂⋂C B A )()(C B A ⋂⋂(5)=⋂⋃C B A )(⋃⋂)(C A )(C B ⋂(6) ni i n i i A A 11===证明 (1)—(4)显然,(5)和(6)的证法分别类似于课文第10—12页(1.5)式和(1.6)式的证法。
第一章 事件与概率1.1 写出下列随机试验的样本空间及表示下列事件的样本点集合。
(1)10件产品中有1件是不合格品,从中任取2件得1件不合格品。
(2)一个口袋中有2个白球、3个黑球、4个红球,从中任取一球,(ⅰ)得白球,(ⅱ)得红球。
(3) 甲、乙两人从装有a 个白球与b 个黑球的口袋中轮流摸取一球,甲先取,乙后取,每次取后都有不放回,直到两人中有一人取到白球时停止,甲先取到白球。
解 (1)记9个合格品分别为 921,正正正,, ,记不合格为次,则,,,,,,,,,)()()(){(1913121次正正正正正正正 =Ω,,,,,,,,,)()()()(2924232次正正正正正正正 ,,,,,,,)()()(39343次正正正正正 )}()()(9898次正次正正正,,,,,,=A ){(1次正,,,,)(2次正)}(9次正,,(2)记2个白球分别为1ω,2ω,3个黑球分别为1b ,2b ,3b ,4个红球分别为1r ,2r ,3r ,4r 。
则=Ω{1ω,2ω,1b ,2b ,3b ,1r ,2r ,3r ,4r }(ⅰ) =A {1ω,2ω} (ⅱ) =B {1r ,2r ,3r ,4r }(3)1ω表示白,2ω表示黑白,3ω表示黑黑白,…白黑黑表示个b b 1+ω,则样本空间=Ω{1ω,2ω,…,1+b ω}, 当b 被奇数时:1135{,,,,}b A ωωωω= 当b 为偶数时:21351{,,,,}b A ωωωω+=1.2 在数学系的学生中任选一名学生,令事件A 表示被选学生是男生,事件B 表示被选学生是三年级学生,事件C 表示该生是运动员。
(1) 叙述C AB 的意义。
(2)在什么条件下C ABC =成立? (3)什么时候关系式B C ⊂是正确的?(4) 什么时候B A =成立? 解 (1)事件C AB 表示该是三年级男生,但不是运动员。
(2) C ABC = 等价于AB C ⊂,表示全系运动员都有是三年级的男生。
第一章 事件与概率1.1 写出下列随机试验的样本空间及表示下列事件的样本点集合。
(1)10件产品中有1件是不合格品,从中任取2件得1件不合格品。
(2)一个口袋中有2个白球、3个黑球、4个红球,从中任取一球,(ⅰ)得白球,(ⅱ)得红球。
(3) 甲、乙两人从装有a 个白球与b 个黑球的口袋中轮流摸取一球,甲先取,乙后取,每次取后都有不放回,直到两人中有一人取到白球时停止,甲先取到白球。
解 (1)记9个合格品分别为 921,正正正,, ,记不合格为次,则,,,,,,,,,)()()(){(1913121次正正正正正正正 =Ω,,,,,,,,,)()()()(2924232次正正正正正正正 ,,,,,,,)()()(39343次正正正正正 )}()()(9898次正次正正正,,,,,,=A ){(1次正,,,,)(2次正)}(9次正,,(2)记2个白球分别为1ω,2ω,3个黑球分别为1b ,2b ,3b ,4个红球分别为1r ,2r ,3r ,4r 。
则=Ω{1ω,2ω,1b ,2b ,3b ,1r ,2r ,3r ,4r }(ⅰ) =A {1ω,2ω} (ⅱ) =B {1r ,2r ,3r ,4r }(3)1ω表示白,2ω表示黑白,3ω表示黑黑白,…白黑黑表示个b b 1+ω,则样本空间=Ω{1ω,2ω,…,1+b ω}, 当b 被奇数时:1135{,,,,}b A ωωωω= 当b 为偶数时:21351{,,,,}b A ωωωω+=1.2 在数学系的学生中任选一名学生,令事件A 表示被选学生是男生,事件B 表示被选学生是三年级学生,事件C 表示该生是运动员。
(1) 叙述C AB 的意义。
(2)在什么条件下C ABC =成立? (3)什么时候关系式B C ⊂是正确的?(4) 什么时候B A =成立? 解 (1)事件C AB 表示该是三年级男生,但不是运动员。
(2) C ABC = 等价于AB C ⊂,表示全系运动员都有是三年级的男生。
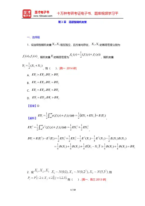
第1章 事件与概率1、选择题1.设事件A ,B 相互独立,则( ).[数一、数三2014研]A .0.1B .0.2C .0.3D.0.4【答案】B【解析】,故,。
2.设事件A 与事件B 互不相容,则()。
[数三 2009研]A.B .C .D.【答案】D【解析】由题意可知,P (AB )=0P ()=1,即。
2、填空题1.设A,B,C是随机事件,A与C互不相容,P(AB)=,P=,则P(AB|)=__________.[数一、数三2012研]【答案】【解析】由条件概率的定义知,P(AB︱)=,其中P()=1-P(C)=1-=,P(AB)=P(AB)-P(ABC)=-P(ABC),由于A,C互不相容,即AC=Ø,ABC AC,得P(ABC)=0,代人得P(AB)=,故P(AB︱)=.3、解答题1.袋中有1个红球,2个黑球与3个白球,现有放回地从袋中取两次,每次取一个球.以X,Y,Z分别表示两次取球所取得的红球、黑球与白球的个数.(Ⅰ)求P{X=1︱Z=0};(Ⅱ)求二维随机变量(x,y)的概率分布.[数一、数三2009研]【分析】(Ⅰ)求条件概率,直接利用计算;(Ⅱ)先确定X,y的可能取值,然后逐个计算X,y取每一对值的概率.解:由于本题是有放回地取球,则基本事件总数为.(Ⅰ).(Ⅱ)X,Y的可能取值均为0,1,2,且.所以二维随机变量f(x,y)的概率分布为表1-1【评注】本题为基础题型.古典概型概率计算公式如下:.。