常用积分公式
- 格式:pdf
- 大小:51.47 KB
- 文档页数:4
高等数学积分公式大全高等数学是一门非常重要的学科,在很多领域都有应用。
其中,积分学是高等数学中的一个重要章节。
积分可以理解为求解曲线图形下面的面积,不同类型的积分公式有着不同的概念和应用,下面,就为大家整理了一份高等数学积分公式大全,让大家对这个知识点有一个更全面的认识。
1. 常数积分公式$$\int kdx=kx+C$$2. 幂函数积分公式$$\int x^ndx=\frac{x^{n+1}}{n+1}+C$$3. 指数函数积分公式$$\int e^xdx=e^x+C$$4. 对数函数积分公式$$\int \frac{1}{x}dx=\ln|x|+C$$5. 三角函数积分公式$$\int \sin xdx=-\cos x+C$$$$\int \cos xdx=\sin x+C$$6. 反三角函数积分公式$$\int \frac{1}{\sqrt{1-x^2}}dx=\arcsin x+C$$$$\int \frac{1}{1+x^2}dx=\arctan x+C$$$$\int \frac{1}{\sqrt{x^2-1}}dx=\ln|x+\sqrt{x^2-1}|+C$$7. 换元法积分公式$$\int f(u)du=\int f(u(x))\frac{du}{dx}dx$$8. 分部积分公式$$\int u(x)v'(x)dx=u(x)v(x)-\int v(x)u'(x)dx$$9. 定积分公式$$\int_a^bf(x)dx=F(b)-F(a)$$10. 积分中值定理$$\int_a^bf(x)dx=f(c)(b-a)$$这便是几种高等数学积分公式的介绍,这些公式是数学中不可或缺的知识点,掌握这些公式不仅有助于学生学好数学,还对应用数学的工作有相当多的帮助。
除了这些基本的积分公式之外,高等数学还涉及到一些比较复杂的积分公式,如多重积分、线性代数积分、微积分方程等等。
1. 多重积分公式多重积分是指对多元函数的积分,通常被用于几何问题、概率论问题和物理学问题中。
积分表常用公式积分表是数学中常用的一种工具,它可以将一系列的函数、图像或数据点映射到一个数学结构,从而使其可以高效地表示和分析。
积分表中使用的公式有很多,而最常用的几种就是拉格朗日积分,定积分和累积分。
拉格朗日积分是积分中最为基础的公式。
它的公式定义为:∫a~bf(x) dx = F(b)-F(a)其中,f(x)是在区间[a,b]上的一个函数,F(x)是函数f(x)的积分。
拉格朗日积分可以用于求解一个变量的定积分,也可用于求解一个变量的微分变换的积分。
定积分的公式定义为:∫a~b f(x) dx = F(b)-F(a)其中,f(x)是在区间[a,b]上的一个函数,F(x)是函数f(x)在区间[a,b]上的定积分。
定积分可以用于求解函数在一个固定的区间内的积分。
累积分的公式定义为:∫-∞~∞f(x) dx = F(∞)-F(-∞)其中,f(x)是在区间[-∞,∞]上的一个函数,F(x)是函数f(x)的累积分。
累积分可以用于求解函数在一个无限的区间内的积分。
拉格朗日积分、定积分和累积分是数学中常用的几种积分公式。
它们可以用于求解函数的不同类型的积分,从而方便数学分析。
例如,可以用这些公式来求解在某一特定区域内函数的积分,或者求解数据变换的积分。
对于不同的问题,可以根据需要使用不同的积分公式,从而更好地解决数学问题。
此外,积分表还包括存在的几种不同的变换方法,如傅立叶变换、哈尔变换等,这些变换方法都可以应用于积分表中的数据点,从而更方便地进行数据推断和建模。
总而言之,积分表的用途是无穷无尽的,它为数学研究提供了方便的工具。
上述拉格朗日积分、定积分和累积分是最常用的几种积分公式,它们各有不同的用途,可根据需要使用,从而更好地解决数学问题。
同时,积分表中不仅仅有这三种积分公式,还包括存在的几种变换方法,这些变换方法也可以应用于积分表中的数据点,从而更好地实现数据推断和建模。
因此,积分表是数学中非常有用的工具,是数学研究的基础。
求积分公式大全高等数学在高等数学中,积分是微积分中的重要概念之一,用于求解函数的面积、体积、曲线的长度以及求解微分方程等问题。
常见的积分公式包括原函数的求法、基本积分公式、常用函数的积分公式等。
下面将介绍一些常用的积分公式。
1. 原函数的求法原函数是指对于给定函数f(x),找到一个函数F(x),使得F'(x)=f(x)。
常见的函数对应的原函数公式包括:- 常数函数的原函数:∫kdx = kx + C,其中k是常数,C是常数项。
- 幂函数的原函数:∫x^ndx = 1/(n+1)x^(n+1) + C,其中n不等于-1。
- 正弦函数的原函数:∫sinxdx = -cosx + C。
- 余弦函数的原函数:∫cosxdx = sinx + C。
- 指数函数的原函数:∫e^xdx = e^x + C。
2. 基本积分公式基本积分公式是指对于一些常见函数的积分形式,可以直接根据公式进行求解。
常见的基本积分公式包括:- 幂函数积分公式:∫x^n dx = 1/(n+1)x^(n+1) + C,其中n不等于-1。
- 三角函数积分公式:- ∫sinxdx = -cosx + C。
- ∫cosxdx = sinx + C。
- ∫sec^2xdx = tanx + C。
- ∫csc^2xdx = -cotx + C。
- 指数函数积分公式:∫e^xdx = e^x + C。
- 对数函数积分公式:∫1/xdx = ln|x| + C。
3. 常用函数的积分公式除了基本积分公式外,还有一些常用函数的积分公式:- 三角函数的复合函数积分公式:- ∫sin(ax)dx = -1/as * cos(ax) + C。
- ∫cos(ax)dx = 1/as * sin(ax) + C。
- ∫sec^2(ax)dx = 1/as * tan(ax) + C。
- ∫csc^2(ax)dx = -1/as * cot(ax) + C。
积分常用公式一.基本不定积分公式:1. C x dx +=⎰2. ) 3.111++=⎰αααx dx x 1(-≠αC x dx x+=⎰ln 14.5.C aa dx a xx+=⎰ln )1,0(≠>a a C e dx e xx+=⎰6. 7.C x xdx +-=⎰cos sin C x xdx +=⎰sin cos 8.9.C x dx x xdx +==⎰⎰tan cos 1sec 22Cx dx x xdx +-==⎰⎰cot sin 1csc 2210. 11.C x xdx x +=⋅⎰sec tan sec Cx xdx x +-=⋅⎰csc cot csc 12.(或)C x dx x+=-⎰arcsin 11212arccos 11C x dx x+-=-⎰13.(或)C x dx x +=+⎰arctan 11212cot 11C x arc dx x +-=+⎰14.15.C x xdx +=⎰cosh sinh Cx xdx +=⎰sinh cosh 二.常用不定积分公式和积分方法:1.2.C x xdx +-=⎰cos ln tan Cx xdx +=⎰sin ln cot 3.4.C axa x a dx +=+⎰arctan 122C a x ax a ax dx ++-=-⎰ln 21225. 6.C x x xdx ++=⎰tan sec ln sec C x x xdx +-=⎰cot csc ln csc 7.8.C axx a dx +=-⎰arcsin22Ca x x a x dx +±+=±⎰2222ln 9.C a x a x a x dx x a ++-=-⎰arcsin 222222210.Ca x x a a x xdx a x +±+±±=±⎰2222222ln 2211.第一类换元积分法(凑微分法):Cx F x t x d x f dx x x f dx x g +=='=⎰⎰⎰)]([)(])([)]([)()]([)(ϕϕϕϕϕϕ为为为为为为为为为为为为12.第二类换元积分法(典型代换:三角代换、倒代换、根式代换):Cx F C t F dt t f dt t t g t x dxx g +=+=='=-⎰⎰⎰)]([)()()()]([)()(1ϕϕϕϕ为注:要求代换单调且有连续的导数,且“换元须还原”)(t ϕ13.分部积分法(典型题特征:被积函数是两类不同函数的乘积,且任何一个函数不能为另一个函数凑微分)⎰⎰-=vduuv udv 14.万能置换公式(针对三角有理函数的积分。
24个基本积分公式24个基本积分公式是数学中常用的工具,它能帮助我们快速解决复杂的积分问题。
1.一个公式:恒积分公式,它是所有积分公式中最基本也是最重要的公式,它表示对某一函数$f(x)$的某一闭区间$[a,b]$进行积分,其公式如下:$$int_a^bf(x)dx=F(b)-F(a)$$其中$F(x)$是$f(x)$的上原函数。
2.二个公式:幂积分公式,它也是一种常用的公式,它描述了当变量$x$的幂次为$n$时,$f(x)$的积分的公式如下:$$int x^nf(x)dx=frac{x^{n+1}}{n+1}f(x)-frac{n}{n+1}int x^{n-1}f(x)dx$$3.三个公式:复合公式,有时候积分可能会变得更加复杂,它描述了一种复合积分形式,其公式如下:$$int int_Rf(x,y)dydx=iint_Rf(x,y)dxdy$$其中$R$表示一个积分区域,$f(x,y)$表示函数。
4.四个公式:变量替代公式,当我们积分时,有时可能会用到变量替代的方法。
此时对于积分$int f(x)dx$,用变量$t$替代$x$,变量$t$的关于$x$的函数表达式为$t=t(x)$,当$x$的范围从$[a,b]$变为$[t_a,t_b]$时,这时需要用到变量替代公式,其公式如下:$$int_a^bf(x)dx=int_{t_a}^{t_b}f(t(x))t(x)dx$$ 其中$t(x)$表示$t$关于$x$的微分。
5.五个公式:指数积分公式,当我们积分某一函数$f(x)$关于$x$的幂为$n$时,能够用到指数积分公式,其公式如下:$$int x^ne^xdx=x^ne^x-nint x^{n-1}e^xdx$$6.六个公式:对数积分公式,当我们积分某一函数$f(x)$的流函数是一个对数函数的时候,可以用到对数积分公式,它的公式如下: $$int frac{1}{x}dx=ln|x|+C$$其中$C$是常量。
常 用 积 分 公 式(一)含有ax b +的积分(0a ≠) 1.d x ax b +⎰=1ln ax b C a ++2.()d ax b x μ+⎰=11()(1)ax b C a μμ++++(1μ≠-)3.d x x ax b +⎰=21(ln )ax b b ax b C a +-++ 4.2d x x ax b +⎰=22311()2()ln 2ax b b ax b b ax b C a ⎡⎤+-++++⎢⎥⎣⎦5.d ()x x ax b +⎰=1ln ax bC b x +-+6.2d ()x x ax b +⎰=21ln a ax b C bx b x+-++ 7.2d ()xx ax b +⎰=21(ln )b ax b C a ax b++++ 8.22d ()x x ax b +⎰=231(2ln )b ax b b ax b C a ax b +-+-++ 9.2d ()x x ax b +⎰=211ln ()ax b C b ax b b x+-++的积分10.x C +11.x ⎰=22(3215ax b C a -12.x x ⎰=22232(15128105a x abx b C a-+13.x⎰=22(23ax b C a -14.2x=22232(34815a x abx b C a -+ 15.(0)(0)C b C b ⎧+>+<16.2a b - 17.x=b 18.x=2a +(三)含有22x a ±的积分 19.22d x x a +⎰=1arctan xC a a+ 20.22d ()n xx a +⎰=2221222123d 2(1)()2(1)()n n x n x n a x a n a x a ---+-+-+⎰21.22d x x a -⎰=1ln 2x aC a x a-++(四)含有2(0)ax b a +>的积分22.2d x ax b +⎰=(0)(0)C b C b ⎧+>+<23.2d x x ax b +⎰=21ln 2ax b C a++24.22d x x ax b+⎰=2d x b x a a ax b -+⎰ 25.2d ()xx ax b +⎰=221ln 2x C b ax b++ 26.22d ()xx ax b +⎰=21d a x bx b ax b --+⎰27.32d ()x x ax b +⎰=22221ln 22ax b a C b x bx+-+ 28.22d ()xax b +⎰=221d 2()2x x b ax b b ax b +++⎰(五)含有2ax bx c ++(0)a >的积分29.2d x ax bx c ++⎰=22(4)(4)C b ac C b ac +<+> 30.2d x x ax bx c ++⎰=221d ln 22b x ax bx c a a ax bx c++-++⎰(0)a >的积分 31.=1arshxC a+=ln(x C ++ 32.C +33.xC34.x=C +35.2x 2ln(2a x C ++36.2x ⎰=ln(x C +++37.1C a +38.2C a x -+39.x 2ln(2a x C ++40.x =2243(25ln(88x x a a x C +++41.x ⎰C42.xx ⎰=422(2ln(88x a x a x C +++43.x a C +44.2d x x ⎰=ln(x C x-+++(0)a >的积分45.=1arch x xC x a+=ln x C ++ 46.C +47.x C48.x =C +49.2x 2ln 2a x C ++50.2x ⎰=ln x C +++51.1arccos aC a x+52.C +53.x 2ln 2a x C +54.x =2243(25ln 88x x a a x C -++55.x ⎰C56.xx ⎰=422(2ln 88x a x a x C -++57.x arccos a a C x -+58.2d x x ⎰=ln x C x-+++(0)a >的积分 59.=arcsinxC a+ 60.C +61.x =C +62.x C +63.2x =2arcsin 2a x C a + 64.2x ⎰arcsinxC a-+65.1C a +66.C +67.x 2arcsin 2a x C a+68.x =2243(52arcsin 88x x a x a C a -+69.x ⎰=C70.xx ⎰=422(2arcsin 88x a x x a C a-++71.d x x⎰a C72.x =arcsin xC a-+(0)a >的积分73.2ax b C +++74.x2n 2a x b c C++++75.xn 2a x b c C-+++ 76.=C +77.x 2C ++78.x =C +79.x =((x b b a C --+80.x =((x b b a C --81.C()a b <82.x 2()4b a C -()a b < (十一)含有三角函数的积分 83.sin d x x ⎰=cos x C -+84.cos d x x ⎰=sin x C + 85.tan d x x ⎰=ln cos x C -+ 86.cot d x x ⎰=ln sin x C + 87.sec d x x ⎰=ln tan()42xC π++=ln sec tan x x C ++ 88.csc d x x ⎰=ln tan2xC +=ln csc cot x x C -+ 89.2sec d x x ⎰=tan x C + 90.2csc d x x ⎰=cot x C -+ 91.sec tan d x x x ⎰=sec x C + 92.csc cot d x x x ⎰=csc x C -+93.2sin d x x ⎰=1sin 224x x C -+ 94.2cos d x x ⎰=1sin 224x x C ++95.sin d nx x ⎰=1211sin cos sin d n n n x x x x n n----+⎰ 96.cos d nx x ⎰=1211cos sin cos d n n n x x x x n n ---+⎰ 97.d sin n x x ⎰=121cos 2d 1sin 1sin n n x n xn x n x ----⋅+--⎰98.d cos n x x ⎰=121sin 2d 1cos 1cos n n x n xn x n x---⋅+--⎰ 99.cos sin d m nx x x ⎰=11211cos sin cos sin d m n m n m x x x x x m n m n -+--+++⎰ =11211cos sin cos sin d m n m n n x x x x x m n m n+----+++⎰ 100.sin cos d ax bx x ⎰=11cos()cos()2()2()a b x a b x C a b a b -+--++-101.sin sin d ax bx x ⎰=11sin()sin()2()2()a b x a b x C a b a b -++-++-102.cos cos d ax bx x ⎰=11sin()sin()2()2()a b x a b x C a b a b ++-++-103.d sin xa b x +⎰tan xa b C ++22()a b >104.d sin x a b x +⎰C+22()a b <105.d cos x a b x +⎰)2xC +22()a b >106.d cos x a b x +⎰C +22()a b <107.2222d cos sin x a x b x +⎰=1arctan(tan )bx C ab a + 108.2222d cos sin x a x b x -⎰=1tan ln 2tan b x a C ab b x a ++-109.sin d x ax x ⎰=211sin cos ax x ax C a a -+ 110.2sin d x ax x ⎰=223122cos sin cos x ax x ax ax C a a a -+++111.cos d x ax x ⎰=211cos sin ax x ax C a a ++112.2cos d x ax x ⎰=223122sin cos sin x ax x ax ax C a a a+-+(十二)含有反三角函数的积分(其中0a >)113.arcsin d x x a ⎰=arcsin x x C a114.arcsin d x x x a ⎰=22()arcsin 24x a x C a -+115.2arcsin d x x x a ⎰=3221arcsin (239x x x a C a ++116.arccos d x x a ⎰=arccosxx C a-117.arccos d x x x a ⎰=22()arccos 24x a x C a --118.2arccos d x x x a ⎰=3221arccos (239x x x a C a -+119.arctand x x a ⎰=22arctan ln()2x a x a x C a -++ 120.arctan d x x x a ⎰=221()arctan 22x a a x x C a +-+121.2arctan d x x x a ⎰=33222arctan ln()366x x a a x a x C a -+++ (十三)含有指数函数的积分122.d xa x ⎰=1ln xa C a + 123.e d axx ⎰=1e ax C a +124.e d axx x ⎰=21(1)e ax ax C a-+125.e d n axx x ⎰=11e e d n ax n ax n x x x a a--⎰126.d xxa x ⎰=21ln (ln )x x x a a C a a -+ 127.d nxx a x ⎰=11d ln ln n x n xn x a x a x a a --⎰ 128.e sin d axbx x ⎰=221e (sin cos )ax a bx b bx C a b -++ 129.e cos d axbx x ⎰=221e (sin cos )ax b bx a bx C a b+++130.e sin d ax n bx x ⎰=12221e sin (sin cos )ax n bx a bx nb bx a b n--+ 22222(1)e sin d ax n n n b bx x a b n --++⎰131.e cos d ax n bx x ⎰=12221e cos (cos sin )ax n bx a bx nb bx a b n-++ 22222(1)e cos d ax n n n b bx x a b n--++⎰ (十四)含有对数函数的积分132.ln d x x ⎰=ln x x x C -+ 133.d ln x x x ⎰=ln ln x C +134.ln d n x x x ⎰=111(ln )11n x x C n n +-+++ 135.(ln )d n x x ⎰=1(ln )(ln )d n n x x n x x --⎰ 136.(ln )d m n x x x ⎰=111(ln )(ln )d 11m n m n n x x x x x m m +--++⎰(十五)含有双曲函数的积分137.sh d x x ⎰=ch x C +138.ch d x x ⎰=sh x C +139.th d x x ⎰=ln ch x C + 140.2sh d x x ⎰=1sh224x x C -++ 141.2ch d x x ⎰=1sh224x x C ++ (十六)定积分142.cos d nx x π-π⎰=sin d nx x π-π⎰=0 143.cos sin d mx nx x π-π⎰=0 144.cos cos d mx nx x π-π⎰=0,,m n m n≠⎧⎨π=⎩145.sin sin d mx nx x π-π⎰=0,,m n m n ≠⎧⎨π=⎩ 146.0sin sin d mx nx x π⎰=0cos cos d mx nx x π⎰=0,,2m n m n ≠⎧⎪⎨π=⎪⎩ 147. n I =20sin d n x x π⎰=20cos d n x x π⎰ n I =21n n I n-- 1342253n n n I n n --=⋅⋅⋅⋅- (n 为大于1的正奇数),1I =1 13312422n n n I n n --π=⋅⋅⋅⋅⋅- (n 为正偶数),0I =2π。
二十四个基本积分公式积分是微积分的基本概念之一,它是对函数曲线下其中一区间的面积进行求解的操作。
在求解积分时,我们可以利用一些基本的积分公式来简化计算。
下面将介绍二十四个常用的基本积分公式。
1. $\int x^ndx = \frac{1}{n+1}x^{n+1} + C$ (其中$n\neq -1$)这是幂函数的积分公式,对幂函数进行求积分时,指数加一后再乘以系数并且指数要除以新系数。
2. $\int \frac{1}{x}dx = \ln,x, + C$这是倒数函数的积分公式,对倒数函数求积分时,结果是该函数的自然对数的绝对值。
3. $\int e^xdx = e^x + C$这是指数函数的积分公式,对指数函数求积分时,结果是该函数本身。
4. $\int a^xdx = \frac{a^x}{\ln a} + C$ (其中$a>0, a\neq 1$)这是以底数为常数的指数函数的积分公式,对这种函数进行求积分时,结果是该函数除以对数的底数再加上常数。
5. $\int \sin xdx = -\cos x + C$这是正弦函数的积分公式,对正弦函数求积分时,结果是该函数的负余弦。
6. $\int \cos xdx = \sin x + C$弦。
7. $\int \tan xdx = -\ln,\cos x, + C$这是正切函数的积分公式,对正切函数求积分时,结果是该函数的负对数的余弦的绝对值。
8. $\int \sec xdx = \ln,\sec x + \tan x, + C$这是正割函数的积分公式,对正割函数求积分时,结果是该函数的对数的正割加正切的绝对值。
9. $\int \cot xdx = \ln,\sin x, + C$这是余切函数的积分公式,对余切函数求积分时,结果是该函数的对数的正弦的绝对值。
10. $\int \csc xdx = \ln,\csc x - \cot x, + C$这是余割函数的积分公式,对余割函数求积分时,结果是该函数的对数的余割减余切的绝对值。
常见函数的积分公式积分是微积分的一个重要概念,它是求解函数面积、曲线长度、体积等问题的基本工具。
在求解函数的积分时,常用的函数积分公式可以帮助我们简化计算,提高效率。
本文将介绍一些常见的函数积分公式,并解释它们的意义和用途,以帮助读者更好地理解和应用。
1. 常数函数积分公式:常数函数的积分公式非常简单,即∫a dx = ax + C,其中a为常数,C为积分常数。
这个公式表示,对于常数函数来说,其积分结果是函数的系数乘以自变量,并加上一个常数C。
这个常数C表示积分后函数的不确定性,因为对一个函数来说,存在无数个原函数。
2. 幂函数积分公式:幂函数的积分公式是微积分中最基本且常用的公式。
对于幂函数f(x) = x^n,其中n不等于-1,其积分公式为∫x^n dx = (1/(n+1)) x^(n+1) + C。
这个公式表示,对于幂函数来说,其积分结果是函数的指数加一的倒数乘以自变量的指数加一次幂,并加上一个常数C。
这个公式可以帮助我们计算多项式函数的积分,以及求解定积分问题。
3. 正弦函数和余弦函数积分公式:正弦函数的积分公式是∫sin(x) dx = -cos(x) + C,余弦函数的积分公式是∫cos(x) dx = sin(x) + C。
这两个公式表示,对于正弦函数和余弦函数来说,其积分结果是函数的相反函数,并加上一个常数C。
这些公式可以帮助我们求解周期性函数的积分,以及解决与波动、振动相关的问题。
4. 指数函数和对数函数积分公式:指数函数的积分公式是∫e^x dx = e^x + C,对数函数的积分公式是∫1/x dx = ln|x| + C。
这两个公式表示,对于指数函数和对数函数来说,其积分结果是函数本身,并加上一个常数C。
这些公式可以帮助我们求解与增长、衰减、复利等问题相关的函数积分。
除了以上这些常见的函数积分公式外,还有其他一些特殊函数的积分公式,如三角函数的积分、反三角函数的积分、双曲函数的积分等。
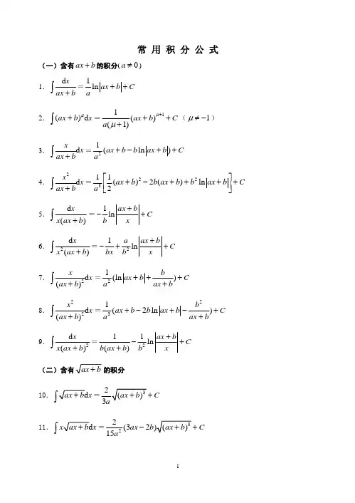
常 用 积 分 公 式(一)含有ax b +的积分(0a ≠) 1.d x ax b +∫=1ln ax b C a ++2.()d ax b x μ+∫=11()(1)ax b C a μμ++++(1μ≠−)3.d x x ax b +∫=21(ln )ax b b ax b C a +−++4.2d x x ax b +∫=22311()2()ln 2ax b b ax b b ax b C a ⎡⎤+−++++⎢⎥⎣⎦5.d ()x x ax b +∫=1ln ax b C b x+−+6.2d ()x x ax b +∫=21ln a ax bC bx b x+−++ 7.2d ()xx ax b +∫=21(ln b ax b C a ax b++++ 8.22d ()x x ax b +∫=231(2ln )b ax b b ax b C a ax b +−+−++ 9.2d ()x x ax b +∫=211ln ()ax b C b ax b b x+−++的积分10.x =C +11.x ∫=22(3215ax b C a −+12.x x ∫=22232(15128105a x abx b C a−+13.x=22(23ax b C a −+14.2x=22232(34815a x abx b C a −++15.=(0)(0)C b C b ⎧+>+<16.2a bx b −− 17.d x x ∫=b +18.2d x x ∫=2a x −+∫(三)含有22x a ±的积分 19.22d x x a +∫=1arctan xC a a+20.22d ()n x x a +∫=2221222123d 2(1)()2(1)()n n x n xn a x a n a x a −−−+−+−+∫21.22d x x a −∫=1ln 2x a C a x a−++(四)含有2(0)ax b a +>的积分22.2d x ax b +∫=(0)(0)x C b Cb +>+<23.2d x x ax b +∫=21ln 2ax b C a ++24.22d x x ax b +∫=2d x b xa a axb −+∫25.2d ()x x ax b +∫=221ln2x C b ax b++ 26.22d ()x x ax b +∫=21d a xbx b ax b −−+∫ 27.32d ()x x ax b +∫=22221ln 22ax b a C bx bx +−+ 28.22d ()x ax b +∫=221d 2()2x xb ax b b ax b +++∫(五)含有2ax bx c ++(0)a >的积分29.2d x ax bx c ++∫=22(4)(4)C b ac C b ac +<+> 30.2d x x ax bx c ++∫=221d ln 22b x ax bx c a a ax bx c++−++∫(0)a >的积分31.=1arshxC a+=ln(x C ++ 32.C +33.xC +34.x=C +35.2x 2ln(2a x C −++36.2x =ln(x C ++37.1ln aC a x −+38.=2C a x −+39.x 2ln(2a x C +++40.x =2243(25ln(88x x a a x C ++++41.x ∫C +42.xx ∫=422(2ln(88x a x a x C +−++43.d x x ∫ln a a C x −++44.2d x x ∫=ln(x C x−+++(0)a >的积分45.=1arch x xC x a+=ln C + 46.C +47.x C48.x =C +49.2x 22a C ++50.2x =C ++51.1arccos aC a x+52.=2C a x +53.x 22a C −+54.x =2243(25ln 88x x a a C −++55.x ∫C +56.xx ∫=422(2ln 88x a x a C −+57.d x x ∫arccos aa C x +58.2d x x ∫=C x−++(0)a >的积分 59.=arcsinxC a + 60.C +61.x =C +62.x C +63.2x =2arcsin 2a x C a ++64.2x C +65.1ln a C a x −+66.=2C a x −+67.x 2arcsin 2a x C a++68.x =2243(52arcsin 88x x a x a C a −++69.x ∫=C +70.xx ∫=422(2arcsin 88x a x x a C a−+71.d x x ∫ln a a C x −++72.2d x x ∫=arcsin xC x a−−+(0)a >的积分73.C +74.x2C ++75.xC −+76.=C +77.x 2C ++78.x =C ++的积分79.x =((x b b a C −+−++80.x =((x b b a C −+−+81.C+()a b <82.x =C ++ ()a b < (十一)含有三角函数的积分 83.sin d x x ∫=cos x C −+84.cos d x x ∫=sin x C + 85.tan d x x ∫=ln cos x C −+ 86.cot d x x ∫=ln sin x C + 87.sec d x x ∫=ln tan()42xC π++=ln sec tan x x C ++ 88.csc d x x ∫=ln tan2xC +=ln csc cot x x C −+ 89.2sec d x x ∫=tan x C + 90.2csc d x x ∫=cot x C −+ 91.sec tan d x x x ∫=sec x C + 92.csc cot d x x x ∫=csc x C −+ 93.2sin d x x ∫=1sin 224x x C −+ 94.2cos d x x ∫=1sin 224x x C ++95.sin d n x x ∫=1211sin cos sin d n n n x x x x n n−−−−+∫ 96.cos d n x x ∫=1211cos sin cos d n n n x x x x n n−−−+∫ 97.d sin n x x ∫=121cos 2d 1sin 1sin n n x n xn x n x −−−−⋅+−−∫ 98.d cos n x x ∫=121sin 2d 1cos 1cos n n x n xn x n x−−−⋅+−−∫ 99.cos sin d m n x x x ∫=11211cos sin cos sin d m n m nm x x x x x m n m n−+−−+++∫ =11211cos sin cos sin d m n m n n x x x x x m n m n+−−−−+++∫ 100.sin cos d ax bx x ∫=11cos()cos()2()2()a b x a b x C a b a b −+−−++−101.sin sin d ax bx x ∫=11sin()sin()2()2()a b x a b x C a b a b −++−++−102.cos cos d ax bx x ∫=11sin()sin()2()2()a b x a b x C a b a b ++−++−103.d sin x a b x +∫tan xa b C ++22()a b >104.d sin x a b x +∫C +22()a b <105.d cos x a b x +∫tan 2xC +22()a b >106.d cos x a b x +∫C +22()a b <107.2222d cos sin x a x b x +∫=1arctan(tan )bx C ab a + 108.2222d cos sin x a x b x −∫=1tan ln 2tan b x aC ab b x a ++−109.sin d x ax x ∫=211sin cos ax x ax C a a −+ 110.2sin d x ax x ∫=223122cos sin cos x ax x ax ax C a a a −+++111.cos d x ax x ∫=211cos sin ax x ax C a a ++112.2cos d x ax x ∫=223122sin cos sin x ax x ax ax C a a a+−+(十二)含有反三角函数的积分(其中0a >)113.arcsin d x x a ∫=arcsin x x C a++114.arcsin d x x x a ∫=C +115.2arcsin d x x x a ∫=3221arcsin (239x x x a C a +++116.arccos d xx a ∫=arccosxx C a−+117.arccos d x x x a ∫=C +118.2arccos d x x x a ∫=3221arccos (239x x x a C a −++119.arctand x x a ∫=22arctan ln()2x a x a x C a −++ 120.arctan d x x x a∫=221()arctan 22x a a x x C a +−+121.2arctan d x x x a ∫=33222arctan ln()366x x a a x a x C a −+++(十三)含有指数函数的积分122.d xa x ∫=1ln xa C a + 123.e d axx ∫=1e ax C a +124.e d ax x x ∫=21(1)e axax C a−+125.e d n axx x ∫=11e e d n ax n ax n x x x a a−−∫126.d xxa x ∫=21ln (ln )x x x a a C a a −+ 127.d nxx a x ∫=11d ln ln n x n xn x a x a x a a −−∫ 128.e sin d axbx x ∫=221e (sin cos )ax a bx b bx C a b −++ 129.e cos d ax bx x ∫=221e (sin cos )axb bx a bx C a b+++130.e sin d ax n bx x ∫=12221e sin (sin cos )ax n bx a bx nb bx a b n−−+ 22222(1)e sin d ax n n n b bx x a b n −−++∫131.e cos d ax n bx x ∫=12221e cos (cos sin )ax n bx a bx nb bx a b n−++ 22222(1)e cos d ax n n n b bx x a b n−−++∫ (十四)含有对数函数的积分132.ln d x x ∫=ln x x x C −+ 133.d ln x x x ∫=ln ln x C +134.ln d n x x x ∫=111(ln )11n x x C n n +−+++ 135.(ln )d n x x ∫=1(ln )(ln )d n n x x n x x −−∫ 136.(ln )d m n x x x ∫=111(ln )(ln )d 11m n m n n x x x x x m m +−−++∫ (十五)含有双曲函数的积分137.sh d x x ∫=ch x C +138.ch d x x ∫=sh x C +139.th d x x ∫=ln ch x C + 140.2sh d x x ∫=1sh224x x C −++ 141.2ch d x x ∫=1sh224x x C ++ (十六)定积分142.cos d nx x π−π∫=sin d nx x π−π∫=0 143.cos sin d mx nx x π−π∫=0144.cos cos d mx nx x π−π∫=0,,m n m n ≠⎧⎨π=⎩145.sin sin d mx nx x π−π∫=0,,m n m n ≠⎧⎨π=⎩ 146.0sin sin d mx nx x π∫=0cos cos d mx nx x π∫=0,,2m n m n ≠⎧⎪⎨π=⎪⎩ 147. n I =20sin d n x x π∫=20cos d n x x π∫ n I =21n n I n−− 1342253n n n I n n −−=⋅⋅⋅⋅−" (n 为大于1的正奇数),1I =1 13312422n n n I n n −−π=⋅⋅⋅⋅⋅−"(n 为正偶数),0I =2π。
常用的24个不定积分公式及证明一、基本积分公式。
1. ∫ kdx = kx + C(k为常数)- 证明:根据求导公式(kx + C)'=k,所以∫ kdx = kx + C。
2. ∫ x^n dx=frac{x^n + 1}{n+1}+C(n≠ - 1)- 证明:对frac{x^n + 1}{n+1}+C求导,根据求导公式(x^m)'=mx^m - 1,可得(frac{x^n+1}{n + 1}+C)'=frac{(n + 1)x^n+1-1}{n+1}=x^n,所以∫ x^n dx=frac{x^n +1}{n+1}+C(n≠ - 1)。
3. ∫(1)/(x)dx=lnx+C- 证明:当x>0时,(ln x)'=(1)/(x);当x < 0时,[ln(-x)]'=(1)/(-x)×(-1)=(1)/(x)。
所以∫(1)/(x)dx=lnx+C。
4. ∫ e^x dx=e^x+C- 证明:因为(e^x)' = e^x,所以∫ e^x dx=e^x+C。
5. ∫ a^x dx=(a^x)/(ln a)+C(a>0,a≠1)- 证明:设y = a^x,则ln y=xln a,y = e^xln a。
对y=(a^x)/(ln a)+C求导,((a^x)/(ln a)+C)'=(1)/(ln a)× a^xln a=a^x,所以∫ a^x dx=(a^x)/(ln a)+C(a>0,a≠1)。
6. ∫sin xdx=-cos x + C- 证明:因为(-cos x)'=sin x,所以∫sin xdx =-cos x+C。
7. ∫cos xdx=sin x + C- 证明:因为(sin x)'=cos x,所以∫cos xdx=sin x + C。
8. ∫(1)/(cos^2)xdx=tan x + C- 证明:因为(tan x)'=sec^2x=(1)/(cos^2)x,所以∫(1)/(cos^2)xdx=tan x + C。
高数积分公式大全24个数学中积分公式是学习数学的基石,是求解问题的重要工具。
下面总结了数学高级积分中的24个公式:1. 加法法则:∫u(x)+v(x)dx=∫u(x)dx+∫v(x)dx2. 乘法法则:∫c(x)u(x)dx=c∫u(x)dx3. 幂函数:∫xαdx=xα+1/(α+1)+C4. 指数函数:∫exdx=ex+C5. 根号函数:∫√axdx=2/3√ax3/2+C6. 三角函数:∫sinxdx=−cosx+c7. 反三角函数:∫arcsinxdx=xarcsinx−sinx+C8. 双曲函数:∫sinx/cdx=−ln|cscx+cotx|+C9. 二次函数:∫ax2+bx+cdx=1/3ax3+1/2bx2+cxdx+C10. 指标函数:∫axdx=axlnax−x+C11. 阶乘函数:∫x(n)(dx)=x(n+1)/(n+1)+C12. 拉格朗日积分:∫xn/aeaxdx=xn+1/(an+1)+C13. 对数函数:∫lnxdx=xlnx−x+C14. 锐曲线积分:∫1/(1+a2x2)dx=arctan(ax)+C15. 椭圆积分:∫(dx/a2−dy/b2)dx=b2ln|x/a|+C16. 余切函数:∫cotxdx=ln|sinx|+C17. 正弦函数:∫cosxdx=sinx+C18. 逆正弦函数:∫arccosxdx=xarccosx−sinx+C19. 双曲函数:∫sec2x dx=tanx+C20. 余弦函数:∫−sin(2x)dx=−1/2cos2x+C21. 逆余弦函数:∫arccos(2x)dx=1/2x arccos(2x)+1/2sin(2x)+C22. 零余弦函数:∫acos2x2dx=xacos2x2+1/2sinx+C23. 正切函数:∫tanxdx=ln|secx|+C24. 逆正切函数:∫arctanxdx=xarctanx−1/2ln|x2+1|+C以上就是积分公式的24种,有了这些公式,可以有效地解决复杂的问题。
常用积分公式表·例题和点评
⑴d k x kx c (k 为常数) ⑵1
1d (1)1x x x
c 特别,
211dx c x x ,
3
22d 3
x x
x c ,
1d 2x x c
x
⑶
1d ln ||x
x c x ⑷d ln x x a a x c a
,特别,e d e x x
x
c
⑸sin d cos x x
x c ⑹cos d sin x x x
c
⑺2
2
1d csc d cot sin x x x x c x ⑻221d sec d tan cos x x x x c
x
⑼221d arcsin (0)x x
c a a a x ,特别,21
d arcsin 1x
x c
x ⑽22
11d arctan
(0)x x c a a x
a
a
,特别,21
d arctan 1x x
c x
⑾2
2
1
1d ln (0)2a x x c a a x a a x 或22
11d ln (0)
2x a x
c a
x
a
a x
a ⑿
tan d ln cos x x x c ⒀cot d ln sin x x
x
c
⒁ln csc cot 1csc d d ln tan
sin 2x x c
x x
x
x c x
⒂ln sec tan 1sec d d πln tan
cos 2
4
x x c x x
x
x c x
⒃(0)
2
2
2
2
1d ===ln a x x
x
a c x a
⒄2
(0)
2
2
2
2
d ===
arcsin
22a a
x x a
x x a
x
c
a
⒅
2
(0)
2
2
2
2
2
2
d ===
ln 2
2
a x a
x
a x x
a
x x
a
c
⒆
2
2
22sin cos e sin d e
sin cos e cos d e
ax
ax
ax
ax
a bx
b bx bx x
c a b
b bx
a bx bx x
c
a
b
⒇
1
222
2
21
2
123
d ()
2(1)()
2(1)n
n n
n x
n x
c a
x n a a
x n a
(递推公式)
跟我做练习
(一般情形下,都是先做恒等变换或用某一个积分法,最后套用某一个积分公式)
例24含根式2
ax
bx
c 的积分
⑴2
2
45d (2)1d(2)x
x
x
x x [套用公式⒅]⑵
2
2
145d (24)
4
45d 2
x x x x x
x
x x
(请你写出答案) ⑶
2
2
1
1d d(2)
45
(2)
1
x
x x
x x
2
ln 2(2)
1
x x [套用公式⒃]
⑷
2
2
1(24)
4d d 2
4545
x x x
x
x x
x x 2
2
2
1d(45)12
d 2
45
45x x x
x x
x x
(请你写出答案) ⑸
2
2
2
5
4d 3
(2)d(2)
x
x x
x x
2
2
2
3
22
arcsin
3
(2)
2
3
2
x x x [套用公式⒄]
⑹
2
2
154d (42)454d 2
x x
x x
x x x x
(请你写出答案) ⑺
2
2
2
d d(2)5
43(2)x x
x x
x 2
arcsin 3x [套用公式⑼]
⑻
2
2
(4
2)4d d 12
5
45
4x x x x x
x
x
x
2
22
1d(54)d 2
2
5
45
4x x x x
x
x
x
(请你写出答案)
例25求原函数4
1d 1x x
.
解因为所以令
从恒等式1)
12)(()12)((2
2
x x D x C x x
B Ax (两端分子相等),可得方程组
解这个方程组(在草纸上做),得2
1,2
21,2
1,2
21D
C B A .因此,
右端的第一个积分为
22
2
2
1d(21)11
d 4
42
21
212
2
x x x x
x x
(套用积分
公式)
类似地,右端的第二个积分为所以
22
2
12112ln arctan
1
42
21
22
x x x x
x
x (见下注)
【注】根据tan
tan tan()
1tan
tan
,则
因此,
例26求d (0
1)1cos x x
.【关于
d (0
1)1
cos x x
,见例17】
解令tan
2x t (半角替换),则
于是,
【点评】求初等函数的原函数的方法虽然也有一定的规律,但
不像求它们的微分或导数那样规范化.这是因为从根本上说,函数()y y x 的导数或微分可以用一个“构造性”的公式
()()
()
lim
h
y x h y x y x h
或d ()d y
y x x
确定下来,可是在原函数的定义中并没有给出求原函数的方法.积分法作为微分法的逆运算,其运算结果有可能越出被积函数所属的函数类.譬如,有理函数的原函数可能不再是有理函数,初等函数的原函数可能是非初等函数(这就像正数的差有可能是负数、整数的商有可能是分数一样).有的初等函数尽管很简单,可是它的原函数不能表示成初等函数,譬如
2
1e
sin e
d ,
d ,
d ,
d ln x
x
x x x x x x
x
x
等
都不能表示成初等函数.因此,一般说来求初等函数的原函数要比求它们的微分或导数困难得多.我们用上面那些方法能够求出原函数的函数,只是初等函数中的很小一部分.尽管如此,我们毕竟可以求出足够多函数的原函数,而这些正好是应用中经常遇到的函数.因此,读者能够看懂前面那些例题并能够基本完成各节后的练习就足够了.。