华师概率论与数理统计答案6
- 格式:doc
- 大小:1.17 MB
- 文档页数:43
习题11、(1)同时掷两枚骰子,记录点数之和 {2,3,,12}S =;(2)生产产品知道得到5件正品,记录生产产品的总件数 {5,6,}S =; (3)单位圆任取一点,记录它的坐标 22{(,)1,,}S x y x y x R y R =+<∈∈;(4)将单位长线段分3段,观察各段长度{(,,)1,0,0,0}S x y z x y z x y z =++=>>>。
2、(1)A 与B 都发生,C 不发生:ABC ;(2)ABC 至少一个发生:A B C ;(3)ABC 不多于一个发生:ABAC BC 。
3、对事件ABC ,已知P(A)=P(B)=P(C)=1/4,P(AB)=P(BC)=0,P(AC)=1/8,求ABC 至少发生一个的概率?解:依题可知,()0P ABC =,则所求的概率为()()()()()()()()P A B C P A P B P C P AB P AC P BC P ABC ++=++---+1153000488=⨯---+= 4、将10本书任意地放在书架上,其中有一套4卷成套的书,求概率?解:设事件A 表示“成套的书放在一起”,B 表示“成套的书按卷次顺序排好放在一起”,由概率的古典定义可得所求的概率为 (1)成套的书放在一起:7!4!1()10!30P A ⋅==(2)成套的书案卷次顺序排好放在一起:7!11()10!720P B ⋅==5、从5双不同的鞋子中任取4只,问这4只鞋子不能配成一双的概率是多少?解:设事件A 表示“取出的4只鞋子不能配成一双”,由概率的古典定义可得所求的概率为 44541028()21C P A C ⋅== 6、在电话号码簿中任取一个电话号码,求后面4个数全不相同的概率?解:设事件A 表示“电话号码的后面4个数全不相同”,由概率的古典定义可得所求的概率为4104()0.50410A P A ==7、已知P(非A)=0、3,P(B)=0、4,P(A 非B)=1/2,求P(B|AU 非B)? 解:依题可知,()1()0.7P A P A =-=,()1()0.6P B P B =-=,而()0.55()()0.77P AB P B A P A ===则2()1()7P B A P B A =-=,()()()0.2P AB P A P B A ==,故所求的概率为 ()()()()()P BAB P ABBB P B A B P AB P AB ⎡⎤⎣⎦== ()0.20.25()()()0.70.60.5P AB P A P B P AB ===+-+-8、设AB 是随机事件,P(A)=0、7,P(A-B)=0、3,求P (非(AB))?解:由()()()P A B P A P AB -=-,得()()()0.70.30.4P AB P A P A B =--=-=故 ()1()0.6P AB P AB =-=9、半圆内均匀的投掷一随机点Q ,试求事件A={Q于π/4}的概率?解:事件A 所对应的区域D 如下图所示,由概率的几何定义得所求的概率为()()()m D P A m S ==10、10解:设事件A 表示“这对夫妇正好坐在一起”,(91)!22()(101)!9P A -⋅==-11、已知10只晶体管中有2只是次品,在其中任取两只,每次随机取一只作不放回抽取 解:设事件A 表示“两只都是正品”, B 表示“两只都是次品”, C 表示“一只是正品,一只是次品”, D 表示“第二次取出的是次品”, 由概率的古典定义可得所求的概率为(1)两只都是正品2821028()45A P A A == (2)两只都是次品222101()45A P B A ==(3)一直是正品,一只是次品11128221016()45C C C P C A ⋅⋅== (4)第二次取出的是次品11292101()5C C PD A ⋅== 12、某学生接连参加同一课程的两次考试,第一次及格的概率为p ,如果他第一次及格,则x第二次及格的概率也为p ,如果第一次不及格,第二次及格概率为p/2。
概率论与数理统计答案(华东师大魏宗舒版)第一章 事件与概率1.1 写出下列随机试验的样本空间及表示下列事件的样本点集合。
(1)10件产品中有1件是不合格品,从中任取2件得1件不合格品。
(2)一个口袋中有2个白球、3个黑球、4个红球,从中任取一球,(ⅰ)得白球,(ⅱ)得红球。
解 (1)记9个合格品分别为 921,正正正,, ,记不合格为次,则,,,,,,,,,)()()(){(1913121次正正正正正正正 =Ω,,,,,,,,,)()()()(2924232次正正正正正正正 ,,,,,,,)()()(39343次正正正正正 )}()()(9898次正次正正正,,,,,,=A ){(1次正,,,,)(2次正)}(9次正,,(2)记2个白球分别为1ω,2ω,3个黑球分别为1b ,2b ,3b ,4个红球分别为1r ,2r ,3r ,4r 。
则=Ω{1ω,2ω,1b ,2b ,3b ,1r ,2r ,3r ,4r }(ⅰ) =A {1ω,2ω} (ⅱ) =B {1r ,2r ,3r ,4r }1.2 在数学系的学生中任选一名学生,令事件A 表示被选学生是男生,事件B 表示被选学生是三年级学生,事件C 表示该生是运动员。
(1) 叙述C AB 的意义。
(2)在什么条件下C ABC =成立? (3)什么时候关系式B C ⊂是正确的? (4) 什么时候B A =成立?解 (1)事件C AB 表示该是三年级男生,但不是运动员。
(2) C ABC = 等价于AB C ⊂,表示全系运动员都有是三年级的男生。
(3)当全系运动员都是三年级学生时。
(4)当全系女生都在三年级并且三年级学生都是女生时`。
1.3 一个工人生产了n 个零件,以事件i A 表示他生产的第i 个零件是合格品(n i ≤≤1)。
用i A 表示下列事件:(1)没有一个零件是不合格品;(2)至少有一个零件是不合格品; (3)仅仅只有一个零件是不合格品; (4)至少有两个零件是不合格品。
第一章 基本概念1、试对下列随机试验各写出一个样本空间: (1)掷一颗骰子;(2)一个口袋中有5个外形相同的球,编号分别为1、2、3、4、5,从中同时取出3个球; (3)10只产品中有3只是次品,每次从中任取一只(取出后不放回),直到将3只次品全部取出,记录抽取的次数;(4)对某工厂生产的产品进行检查,合格的盖上“正品”,不合格的盖上“次品”,如果查出2件次品就停止检查,或者查满4件也就停止检查,记录检查结果。
解:(1)}6,5,4,3,2,1{=Ω(2))}5,4,3(),5,4,2(),5,3,2(),4,3,2(),5,4,1(),5,3,1(),4,3,1(),5,2,1(),4,2,1(),3,2,1{(=Ω5个球中选3各球进行组合,有1035=C 种。
(3)}109876543{,,,,,,,=Ω最少抽取的次数是每次取出的都是次品;最多抽取的次数是把10只产品全部取出,总能抽出3个是次品。
(4)用数字1代表正品,数字0代表次品;样本空间包括查出2件是次品和查满4件产品这两种情况。
)}1,1,1,0(),1,1,1,1(),1,0,1,1(),1,1,0,1(),0,1,1,1(),0,0,1,1(),0,1,0,1(),0,1,1,0(),0,0,1(),0,1,0(),0,0{(=Ω2、工厂对一批产品作出厂前的最后检查,用抽样检查方法,约定,从这批产品中任意取出4件产品来做检查,若4件产品全合格就允许这批产品正常出厂;若有1件次品就再作进一步检查;若有2件次品则将这批产品降级后出厂;若有2件以上次品就不允许出厂。
试写出这一试验的样本空间,并将“正常出厂”、“再作检查”、“降级出厂”、“不予出厂”这4个事件用样本空间的子集表示。
解:用数字1代表正品,数字0代表次品设=“正常出厂”; =“再作检查”; =“降级出厂”;D =“不予出厂”)}1,1,1,1{(=A)}0,1,1,1(),1,0,1,1(),1,1,0,1(),1,1,1,0{(=B)}0,0,1,1(),0,1,0,1(),1,0,0,1(),1,1,0,0(),1,0,1,0(),0,1,1,0{(=C )}0,0,0,0(),0,0,0,1(),0,0,1,0(),0,1,0,0(),1,0,0,0{(=D)}0,0,0,0(),0,0,0,1(),0,0,1,0(),0,1,0,0(),1,0,0,0(),0,0,1,1(),0,1,0,1(),1,0,0,1(),1,1,0,0(),1,0,1,0(),0,1,1,0(),0,1,1,1(),1,0,1,1(),1,1,0,1(),1,1,1,0(),1,1,1,1{(=⋃⋃⋃=ΩDC B A3、设A 、B 、C 是三个事件,试用A 、B 、C 的运算关系表示下列事件: (1)A 与B 都发生,但C 不发生;(2)A 发生,但B 与C 可能发生也可能不发生; (3)这三个事件都发生; (4)这三个事件都不发生; (5)这三个事件中至少有一个发生; (6)这三个事件中最多有一个发生; (7)这三个事件中至少有两个发生; (8)这三个事件中最多有两个发生; (9)这三个事件中恰有一个发生; (10)这三个事件中恰有两个发生。
华师《概率论与数理统计》在线作业
一、单选题(共15 道试题,共60 分。
)
1. 一部件包括10部分。
每部分的长度是一个随机变量,它们相互独立且具有同一分布。
其数学期望为2mm,均方差为0.05mm,规定总长度为20±0.1mm时产品合格,则产品合格的概率为()。
A. 0.527
B. 0.364
C. 0.636
D. 0.473
正确答案:D
2. 一条自动生产线上产品的一级品率为0.6,现检查了10件,则至少有两件一级品的概率为()。
A. 0.012
B. 0.494
C. 0.506
D. 0.988
正确答案:D
3. 每颗炮弹命中飞机的概率为0.01,则500发炮弹中命中5发的概率为()。
A. 0.1755
B. 0.2344
C. 0.3167
D. 0.4128
正确答案:A
4. 工厂每天从产品中随机地抽查50件产品,已知这种产品的次品率为0.1%,,则在这一年内平均每天抽查到的次品数为()。
A. 0.05
B. 5.01
C. 5
D. 0.5
正确答案:A
5. 炮战中,在距离目标250米,200米,150米处射击的概率分别为0.1, 0.7, 0.2, 而在各处射击时命中目标的概率分别为0.05, 0.1, 0.2。
若已知目标被击毁,则击毁目标的炮弹是由距目标250米处射出的概率为()。
A. 交换行为
B. 投资行为
C. 协议行为。
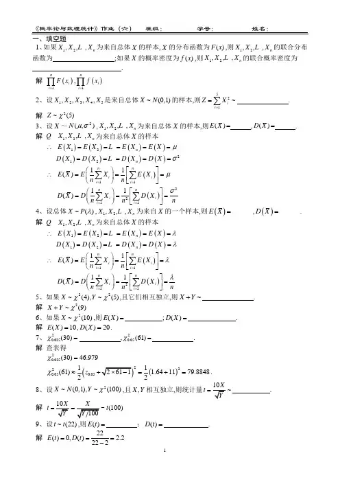
1、如果12,,,n X X X 为来自总体X 的样本,X 的分布函数为()F x ,则12,,,n X X X 的联合分布函数为 ;如果X 的概率密度为()f x ,则12,,,n X X X 的联合概率密度为 . 解()1n ii F x =∏,()1nii f x =∏2、设12345,,,,X X X X X 是来自总体(0,1)X N ~的样本,则521i i Z X ==~∑ . 解 2(5)Z χ~3、设X ~),(2σμN ,12,,,n X X X 为来自总体X 的样本,则()E X = ,()D X = . 解 12,,,n X X X 为来自总体X 的样本()()()()()()()()12212n n E X E X E X E X D X D X D X D X μσ∴==========()()11221111()11()n n i i i i n ni i i i E X E X E X n n D X D X D X n n nμσ====⎛⎫⎡⎤∴=== ⎪⎢⎥⎝⎭⎣⎦⎛⎫⎡⎤===⎪⎢⎥⎝⎭⎣⎦∑∑∑∑ 4、设总体()X P λ~,12,,,n X X X 为来自X 的一个样本,则()E X =______,()D X =______. 解 12,,,n X X X 为来自总体X 的样本()()()()()()()()1212n n E X E X E X E X D X D X D X D X λλ∴==========()()1121111()11()n n i i i i n n i i i i E X E X E X n n D X D X D X n n nλλ====⎛⎫⎡⎤∴=== ⎪⎢⎥⎝⎭⎣⎦⎛⎫⎡⎤===⎪⎢⎥⎝⎭⎣⎦∑∑∑∑5、如果22(4),(5)X Y χχ~~,且它们相互独立,则X Y +~ . 解 2(9)X Y χ+~6、如果2(10)X χ~,则()E X = ;()D X = . 解 ()10E X =,()20D X =.7、20.025(30)χ= ,20.05(61)χ= . 解 查表得20.025(30)46.979χ=(()2220.050.0511(61) 1.641179.884822z χ≈+=+=.8、设2(0,1),(100)X N Y χ~~,且,XY 相互独立,则统计量t =~. 解~(100)t t == 9、设(22)t t ~,则()E t = ;()D t = .解 22()0,() 2.2222E t D t ===-0.01 ,0.25 . 解 0.01(20) 2.5280t =,0.250.25(50)0.67t z ≈=.11、设22(20),(30)U V χχ~~,且,U V 相互独立,则统计量32UF V=~ . 解 320~(20,30)230U U F F V V ==. 12、若~(25,40)F F ,则1~F.解 1~(40,25)F F.13、若1~(,12)F F n ,则()E X = .解 ()121.2122E X ==-. 14、0.05(9,12)F = ,则()0.9512,9F = .解 0.050.950.0511(9,12) 2.80,(12,9)0.357(9,12) 2.80F F F ====.15、设12,,,n X X X 相互独立,2(,)i i iX N μσ~,则1n i i i a X η==~∑ .解 22111,nn ni i i i i i i i a X N a a ημσ===⎛⎫=~ ⎪⎝⎭∑∑∑16、设12,,,n X X X 是来自正态总体2~(,)X N μσ的样本,则X ~,X ~ . 解 ()2,X N n μσ~(0,1)X N ~ 17、设12,,,n X X X 相互独立,(0,1)i X N ~,则21~n i i T X ==∑ .解 221~()ni i T X n χ==∑18、设两个随机变量X 与Y 相互独立,并且2(0,1),()X N Y n χ~~,则T =~. 解 ()T t n =~ 二、计算题1、设总体()2~60,15X N ,从总体X 中抽取一个容量为100的样本,求样本均值与总体均值之差的绝对值大于3的概率.解 由已知2260,15,100n μσ===~(0,1)Z N =,即60~(0,1)15/10X Z N -=(|60|3)(||30/15)1(||2)P X P Z P Z ->=>=-<2[1(2)]2(10.9772)0.0456.=-Φ=-=2、从一正态总体中抽取容量为10的样本,假定有2%的样本均值与总体均值之差的绝对值在4以上,求总体的标准差.解 ~(0,1)Z N =,由P (|X -μ|>4)=0.02得P |Z |>4(σ/n )=0.02,故210.02⎡⎤-Φ=⎢⎥⎢⎥⎝⎭⎣⎦,即0.99.Φ=⎝⎭ 查表得2.33σ= 所以5.43.σ==。
概率论与数理统计第六章课后习题及参考答案1.已知总体X ~),(2σμN ,其中2σ已知,而μ未知,设1X ,2X ,3X 是取自总体X 的样本.试问下面哪些是统计量?(1)321X X X ++;(2)μ31-X ;(3)222σ+X ;(4)21σμ++X ;(5)},,max{321X X X ;(6)σ221++X X ;(7)∑=3122i i X σ;(8)2μ-X .解:(1)(3)(4)(5)(6)(7)是,(2)(8)不是.2.求下列各组样本值的平均值和样本差.(1)18,20,19,22,20,21,19,19,20,21;(2)54,67,68,78,70,66,67,70.解:(1)9.19)21201919212022192018(101101101=+++++++++==∑=i i x x ;43.1)(9110122=-=∑=i i x x s .(2)5.67)7067667078686754(1018181=+++++++==∑=i i x x ;018.292)(718122=-=∑=i i x x s .3.(1)设总体X ~)1,0(N ,则2X ~)1(2χ.(2)设随机变量F ~),(21n n F ,则F1~),(12n n F .(3)设总体X ~),(2σμN ,则X ~),(2n N σμ,22)1(S n σ-~)1(2-n χ,nS X /μ-~)1(-n t .(4)设总体X ~)10(2χ,Y ~)15(2χ,且X 与Y 相互独立,则=+)(Y X E 25,=+)(Y X D 50.4.设随机变量X 与Y 都服从标准正态分布,则(C )A .Y X +服从正态分布B .22Y X +服从2χ分布C .2X 与2Y 均服从2χ分布D .22YX 服从F 分布5.在总体X ~)3.6,52(2N 中随机抽取一容量为36的样本,求样本平均值X 落在8.50到8.53之间的概率.解:因为X ~)3.6,52(2N ,即52=μ,223.6=σ,因为36=n ,22205.1363.6==n σ,所以X ~)05.1,52(2N .由此可得)8.538.50(≤≤X P 05.1528.50()05.1528.53(-Φ--Φ=8302.0)1429.1()7143.1(=-Φ-Φ=.6.设总体X ~)1,0(N ,1X ,2X ,…,10X 为总体的一个样本,求:(1))99.15(1012>∑=i i X P ;(2)写出1X ,2X ,…,10X 的联合概率密度函数;(3)写出X 的概率密度.解:(1)由题可知∑==1012i i X X ~)10(2χ,查2χ分布表有99.15)10(210.0=χ,可得10.0=α,即10.0)99.15(1012=>∑=i i X P .(2)1X ,2X ,…,10X 相互独立,则联合概率密度函数为}exp{321}21exp{21),,,(1012510121021∑∏==-=-=i i i i x x x x x f ππ .(3)X Y =~)1.0,0(N ,所以有2251.02)0(e 5e1.021)(y y y f -⋅--==ππ.7.设总体X ~)1,0(N ,1X ,2X ,…,5X 为总体的一个样本.确定常数c ,使25242321)(XX X X X c Y +++=~)3(t .解:因为i X ~)1,0(N ,5,,2,1 =i ,所以21X X +~)2,0(N ,)(2121X X +~)1,0(N ,252423X X X ++~)3(2χ,因为25242321252423212632XX X X X X X X X X +++=+++~)3(t ,所以有23=c .8.设1X ,2X ,3X ,4X 是来自正态总体)4,0(N 的样本.已知243221)43()2(X X b X X a Y -+-=为服从自由度为2的2χ分布,求a ,b 的值.解:由题可知i X ~)4,0(N ,4,3,2,1=i ,故有0)2(21=-X X E ,20)2(21=-X X D ,所以212X X -~)20,0(N .同理4343X X -~)100,0(N .而20)2(221X X -~)1(2χ,100)43(221X X -~)1(2χ,故有100)43(20)2(243221X X X X -+-~)2(2χ,比较可知201=a ,1001=b .9.设总体X ~)3.0,(2μN ,1X ,2X ,…,n X 为总体的一个样本,X 是样本均值,问样本容量n 至少应取多大,才能使95.0)1.0(≥<-μX P .解:易知X ~)3.0,(2nN μ,由题意有95.013(2/3.01.0/3.0()1.0(≥-Φ=<-=<-nnnX P X P μμ,即应有975.0)3(≥Φn,查正态分布表知975.0)96.1(=Φ,所以取96.13≥n,即5744.34≥n ,取35=n .10.设总体X ~)16,(μN ,1X ,2X ,…,10X 为总体的一个样本,2S 为样本方差,已知1.0)(2=>αS P ,求α的值.解:由抽样分布定理知22)1(σS n -~)1(2-n χ,因为10=n ,故有2249S ~)9(2χ,得1.0)169169()(22=>=>ααS P S P ,查2χ分布表得684.14)9(21.0=χ,即684.14169=α,解得105.26=α.11.设(1X ,2X ,…,1+n X )为来自总体X ~),(2σμN 的一个样本,记∑==n i i n X n X 11,∑=--=n i in X X n S 122(11,求证:nn n S X X n n T -⋅+=+11~)1(-n t .证:由题可知n X ~),(2nN σμ,n n X X -+1~)11(,0(2σn N +,标准化得σnX X nn 111+-+~)1,0(N .又因为∑=-=-ni inX XS n 1222)(1)1(σσ~)1(2-n χ,从而有nn nnn S XX n n n S n n X X -+=--+-++122111)1(11σσ~)1(-n t ,即nnn S X X n n T -⋅+=+11~)1(-n t .。
随机事件及其概率1.1 随机事件习题1试说明随机试验应具有的三个特点.习题2将一枚均匀的硬币抛两次,事件A,B,C分别表示“第一次出现正面”,“两次出现同一面”,“至少有一次出现正面”,试写出样本空间及事件A,B,C中的样本点.1.2 随机事件的概率1.3 古典概型与几何概型1.4 条件概率1.5 事件的独立性复习总结与总习题解答习题3. 证明下列等式:习题6.习题7习题9习题10习题12习题13习题14习题15习题16习题18习题20习题21习题23习题24习题26第二章随机变量及其分布2.1 随机变量习题1随机变量的特征是什么?解答:①随机变量是定义在样本空间上的一个实值函数.②随机变量的取值是随机的,事先或试验前不知道取哪个值.③随机变量取特定值的概率大小是确定的.习题2试述随机变量的分类.解答:①若随机变量X的所有可能取值能够一一列举出来,则称X为离散型随机变量;否则称为非离散型随机变量.②若X的可能值不能一一列出,但可在一段连续区间上取值,则称X为连续型随机变量.习题3盒中装有大小相同的球10个,编号为0,1,2,⋯,9, 从中任取1个,观察号码是“小于5”,“等于5”,“大于5”的情况,试定义一个随机变量来表达上述随机试验结果,并写出该随机变量取每一个特定值的概率.解答:分别用ω1,ω2,ω3表示试验的三个结果“小于5”,“等于5”,“大于5”,则样本空间S={ω1,ω2,ω3},定义随机变量X如下:X=X(ω)={0,ω=ω11,ω=ω2,2,ω=ω3则X取每个值的概率为P{X=0}=P{取出球的号码小于5}=5/10,P{X=1}=P{取出球的号码等于5}=1/10,P{X=2}=P{取出球的号码大于5}=4/10.2.2 离散型随机变量及其概率分布习题1设随机变量X服从参数为λ的泊松分布,且P{X=1}=P{X=2}, 求λ.解答:由P{X=1}=P{X=2}, 得λe-λ=λ^2/2e^-λ,解得λ=2.习题2设随机变量X的分布律为P{X=k}=k15,k=1,2,3,4,5,试求(1)P{12<X<52; (2)P{1≤X≤3};(3)P{X>3}.解答:(1)P{12<X<52=P{X=1}+P{X=2}=115+215=15;(2)P{≤X≤3}=P{X=1}+P{X=2}+P{X=3}=115+215+315=25;(3)P{X>3}=P{X=4}+P{X=5}=415+515=35.习题3已知随机变量X只能取-1,0,1,2四个值,相应概率依次为12c,34c,58c,716c, 试确定常数c, 并计算P{X<1∣X≠0}.解答:依题意知,12c+34c+58c+716c=1, 即3716c=1,解得c=3716=2.3125.由条件概率知P{X<1∣X≠0}=P{X<1,X≠0}P{X≠0}=P{X=-1}P{X≠0}=12c1-34c=24c-3=26.25=0.32.习题4一袋中装有5只球,编号为1,2,3,4,5. 在袋中同时取3只,以X表示取出的3只球中的最大号码,写出随机变量X的分布律.解答:随机变量X的可能取值为3,4,5.P{X=3}=C22⋅1C53=110, P{X=4}=C32⋅1C53=310, P{X=5}=C42⋅1C53=35,所以X的分布律为求因代营业务得到的收入大于当天的额外支出费用的概率.解答:因代营业务得到的收入大于当天的额外支出费用的概率为:P{3X>60}, 即P{X>20},P{X>20}=P{X=30}+P{X=40}=0.6.就是说,加油站因代营业务得到的收入大于当天的额外支出费用的概率为0.6.习题6设自动生产线在调整以后出现废品的概率为p=0.1, 当生产过程中出现废品时立即进行调整,X代表在两次调整之间生产的合格品数,试求:(1)X的概率分布;(2)P{X≥5};(3)在两次调整之间能以0.6的概率保证生产的合格品数不少于多少?解答:(1)P{X=k}=(1-p)kp=(0.9)k×0.1,k=0,1,2,⋯;(2)P{X≥5}=∑k=5∞P{X=k}=∑k=5∞(0.9)k×0.1=(0.9)5;(3)设以0.6的概率保证在两次调整之间生产的合格品不少于m件,则m应满足P{X≥m}=0.6,即P{X≤m-1}=0.4. 由于P{X≤m-1}=∑k=0m-1(0.9)k(0.1)=1-(0.9)m,故上式化为1-0.9m=0.4, 解上式得m≈4.85≈5,因此,以0.6的概率保证在两次调整之间的合格品数不少于5.习题7设某运动员投篮命中的概率为0.6, 求他一次投篮时,投篮命中的概率分布.解答:此运动员一次投篮的投中次数是一个随机变量,设为X, 它可能的值只有两个,即0和1.X=0表示未投中,其概率为p1=P{X=0}=1-0.6=0.4,X=1表示投中一次,其概率为p2=P{X=1}=0.6.则随机变量的分布律为设X表示取出3件产品的次品数,则X的所有可能取值为0,1,2,3. 对应概率分布为P{X=0}=C73C103=35120, P{X=1}=C73C31C103=36120,P{X=2}=C71C32C103=21120, P{X=3}=C33C103=1120.X的分布律为2.3 随机变量的分布函数习题1F(X)={0,x<-20.4,-2≤x<01,x≥0,是随机变量X的分布函数,则X是___________型的随机变量.解答:离散.由于F(x)是一个阶梯函数,故知X是一个离散型随机变量.习题2设F(x)={0x<0x20≤1,1x≥1问F(x)是否为某随机变量的分布函数.解答:首先,因为0≤F(x)≤1,∀x∈(-∞,+∞).其次,F(x)单调不减且右连续,即F(0+0)=F(0)=0, F(1+0)=F(1)=1,且F(-∞)=0,F(+∞)=1,(2)P{X<2∣X≠1}=P{X=-1}P{X≠1}=23.习题5设X的分布函数为F(x)={0,x<0x2,0≤x<1x-12,1≤x<1.51,x≥1.5,求P{0.4<X≤1.3},P{X>0.5},P{1.7<X≤2}.解答:P{0.4<X≥1.3}=P{1.3}-F(0.4)=(1.3-0.5)-0.4/2=0.6,P{X>0.5}=1-P{X≤0.5}=1-F(0.5)=1-0.5/2=0.75,P{1.7<X≤2}=F(2)-F(1.7)=1-1=0.习题6设随机变量X的分布函数为F(x)=A+Barctanx(-∞<x<+∞),试求:(1)系数A与B; (2)X落在(-1,1]内的概率.解答:(1)由于F(-∞)=0,F(+∞)=1,可知{A+B(-π2)A+B(π2)=1=0⇒A=12,B=1π,于是F(x)=12+1πarctanx,-∞<x<+∞;(2)P{-1<X≤1}=F(1)-F(-1)=(12+1πarctan1)-[12+1πarctanx(-1)]=12+1π⋅π4-12-1π(-π4)=12.习题7在区间[0,a]上任意投掷一个质点,以X表示这个质点的坐标.设这个质点落在[0,a]中任意小区间内的概率与这个小区间的长度成正比例,试求X的分布函数.解答:F(x)=P{X≤x}={0,x<0xa,0≤x<a.1,x≥a2.4 连续型随机变量及其概率密度习题1设随机变量X的概率密度为f(x)=12πe-(x+3)24(-∞<x<+∞),则Y=¯∼N(0,1).解答:应填3+X2.由正态分布的概率密度知μ=-3,σ=2由Y=X-μσ∼N(0,1), 所以Y=3+X2∼N(0,1).习题2已知X∼f(x)={2x,0<x<10,其它, 求P{X≤0.5};P{X=0.5};F(x).解答:P{X≤0.5}=∫-∞0.5f(x)dx=∫-∞00dx+∫00.52xdx=x2∣00.5=0.25,P{X=0.5}=P{X≤0.5}-P{X<0.5}=∫-∞0.5f(x)dx-∫-∞0.5f(x)dx=0.当X≤0时,F(x)=0;当0<x<1时,F(x)=∫-∞xf(t)dt=∫-∞00dt+∫0x2tdt=t2∣0x=x2;当X≥1时,F(x)=∫-∞xf(t)dt=∫-∞00dt+∫0x2tdt+∫1x0dt=t2∣01=1,故F(x)={0,x≤0x2,0<x<1.1,x≥1习题3设连续型随机变量X的分布函数为F(x)={A+Be-2x,x>00,x≤0,试求:(1)A,B的值;(2)P{-1<X<1}; (3)概率密度函数F(x).解答:(1)\becauseF(+∞)=limx→+∞(A+Be-2x)=1, ∴A=1;又\becauselimx→0+(A+Be-2x)=F(0)=0, ∴B=-1.(2) P{-1<X<1}=F(1)-F(-1)=1-e-2.(3)f(x)=F′(x)={2e-x,x>00,x≤0.习题4服从拉普拉斯分布的随机变量X的概率密度f(x)=Ae-∣x∣, 求系数A及分布函数F(x).解答:由概率密度函数的性质知,∫-∞+∞f(x)dx=1,即∫-∞+∞Ae-∣x∣dx=1,而∫-∞+∞Ae-∣x∣dx=∫-∞0Aexdx+∫0+∞Ae-xdx=Aex∣-∞0+(-Ae-x∣0+∞)=A+A=2A或∫-∞+∞Ae-xdx=2∫0+∞Ae-xdx=-2Ae-x∣0+∞=2A,所以2A=1, 即A=1/2.从而f(x)=12e-∣x∣,-∞<x<+∞,又因为F(x)=∫-∞xf(t)dt,所以当x<0时,F(x)=∫-∞x12e-∣t∣dt=12∫-∞xetdt=12et∣-∞x=12ex;当x≥0时,F(x)=∫-∞x12e-∣x∣dt=∫-∞012etdt+∫0x12e-tdt=12et∣-∞0-12e-t∣0x=12-12e-x+12=1-12e-x,从而F(x)={12ex,x<01-12e-x,x≥0.习题5某型号电子管,其寿命(以小时计)为一随机变量,概率密度f(x)={100x2,x≥1000,其它,某一电子管的使用寿命为X, 则三个电子管使用150小时都不需要更换的概率.解答:设电子管的使用寿命为X, 则电子管使用150小时以上的概率为P{X>150}=∫150+∞f(x)dx=∫150+∞100x2dx=-100x∣150+∞=100150=23,从而三个电子管在使用150小时以上不需要更换的概率为p=(2/3)3=8/27.习题6设一个汽车站上,某路公共汽车每5分钟有一辆车到达,设乘客在5分钟内任一时间到达是等可能的,试计算在车站候车的10位乘客中只有1位等待时间超过4分钟的概率.解答:设X为每位乘客的候车时间,则X服从[0,5]上的均匀分布. 设Y表示车站上10位乘客中等待时间超过4分钟的人数. 由于每人到达时间是相互独立的.这是10重伯努力概型. Y服从二项分布,其参数n=10,p=P{X≥4}=15=0.2,所以P{Y=1}=C101×0.2×0.89≈0.268.习题7设X∼N(3,22).(1)确定C, 使得P{X>c}=P{X≤c};(2)设d满足P{X>d}≥0.9,问d至多为多少?解答:因为X∼N(3,22), 所以X-32=Z∼N(0,1).(1)欲使P{X>c}=P{X≤c},必有1-P{X≤c}=P{X≤c},即P{X≤c}=1/2,亦即Φ(c-32)=12, 所以 c-32=0, 故c=3.(2)由P{X>d}≥0.9可得1-P{X≤d}≥0.9,即P{X≤d}≤0.1.于是Φ(d-32)≤0.1,Φ(3-d2)≥0.9.查表得3-d2≥1.282,所以d≤0.436.习题8设测量误差X∼N(0,102), 先进行100次独立测量,求误差的绝对值超过19.6的次数不小于3的概率. 解答:先求任意误差的绝对值超过19.6的概率p,p=P{∣X∣>19.6}=1-P{∣X∣≤19.6}=1-P{∣X10∣≤1.96=1-[Φ(1.96)-Φ(-1.96)]=1-[2Φ(1.96)-1]=1-[2×0.975-1]=1-0.95=0.05.设Y为100次测量中误差绝对值超过19.6的次数,则Y∼b(100,0.05).因为n很大,p很小,可用泊松分布近似,np=5=λ,所以P{Y≥3}≈1-50e-50!-51e-51!-52e-52!=1-3722-5≈0.87.习题9某玩具厂装配车间准备实行计件超产奖,为此需对生产定额作出规定. 根据以往记录,各工人每月装配产品数服从正态分布N(4000,3600).假定车间主任希望10%的工人获得超产奖,求:工人每月需完成多少件产品才能获奖?解答:用X表示工人每月需装配的产品数,则X∼N(4000,3600).设工人每月需完成x件产品才能获奖,依题意得P{X≥x}=0.1,即1-P{X<x}=0.1,所以1-F(x)=0.1, 即1-Φ(x-400060)=0.1, 所以Φ(x-400060)=0.9.查标准正态人分布表得Φ(1.28)=0.8997,因此x-400060≈1.28,即x=4077件,就是说,想获超产奖的工人,每月必须装配4077件以上.习题10某地区18岁女青年的血压(收缩压,以mm-HG计)服从N(110,122). 在该地区任选一18岁女青年,测量她的血压X.(1)求P{X≤105},P{100<X≤120};(2)确定最小的x, 使P{X>x}≤0.005.解答:已知血压X∼N(110,122).(1)P{X≤105}=P{X-11012≤-512≈1-Φ(0.42)=0.3372,P{100<X≤120}=Φ(120-11012)-Φ(100-11012)=Φ(0.833)-Φ(-0.833)=2Φ(0.833)-1≈0.595.(2)使P{X>x}≤0.05,求x, 即1-P{X≤x}≤0.05, 亦即Φ(x-11012)≥0.95,查表得x-10012≥1.645,从而x≥129.74.习题11设某城市男子身高X∼N(170,36), 问应如何选择公共汽车车门的高度使男子与车门碰头的机会小于0.01.解答:X∼N(170,36), 则X-1706∼N(0,1).设公共汽车门的高度为xcm,由题意P{X>x}<0.01, 而P{X>x}=1-P{X≤x}=1-Φ(x-1706)<0.01,即Φ(x-1706)>0.99, 查标准正态表得x-1706>2.33, 故x>183.98cm.因此,车门的高度超过183.98cm时,男子与车门碰头的机会小于0.01.习题12某人去火车站乘车,有两条路可以走. 第一条路程较短,但交通拥挤,所需时间(单位:分钟)服从正态分布N(40,102); 第二条路程较长,但意外阻塞较少,所需时间服从正态分布N(50,42), 求:(1)若动身时离开车时间只有60分钟,应走哪一条路线?(2)若动身时离开车时间只有45分钟,应走哪一条路线?解答:设X,Y分别为该人走第一、二条路到达火车站所用时间,则X∼N(40,102),Y∼N(50,42).哪一条路线在开车之前到达火车站的可能性大就走哪一条路线.(1)因为P{X<60}=Φ(60-4010)=Φ(2)=0.97725,P{Y<60}=Φ(60-504)=Φ(2.5)=0.99379,所以有60分钟时应走第二条路.(2)因为P{X<45}=Φ(45-4010)=Φ(0.5)=0.6915,P{X<45}=Φ(45-504)=Φ(-1.25)=1-Φ(1.25)=1-0.8925=0.1075所以只有45分钟应走第一条路.2.5 随机变量函数的分布当c>0时,fY(y)={1c(b-a),ca+d≤y≤cb+d0,其它,当c<0时,fY(y)={-1c(b-a),cb+d≤y≤ca+d0,其它.习题4设随机变量X服从[0,1]上的均匀分布,求随机变量函数Y=eX的概率密度fY(y).解答:f(x)={1,0≤x≤10,其它,f=ex,x∈(0,1)是单调可导函数,y∈(1,e), 其反函数为x=lny, 可得f(x)={fX(lny)∣ln′y,1<y<e0,其它={1y,1<y<e0,其它.习题5设X∼N(0,1),求Y=2X2+1的概率密度.解答:因y=2x2+1是非单调函数,故用分布函数法先求FY(y).FY(y)=P{Y≤y}=P{2X2+1≤y}(当y>1时)=P{-y-12≤X≤y-12=∫-y-12y-1212πe-x2dx,所以fY(y)=F′Y(y)=22πe-12⋅y-12⋅122y-1,y>1, 于是fY(y)={12π(y-1)e-y-14,y>10,y≤1.习题6设连续型随机变量X的概率密度为f(x), 分布函数为F(x), 求下列随机变量Y的概率密度:(1)Y=1X; (2)Y=∣X∣.解答:(1)FY(y)=P{Y≤y}=P{1/X≤y}.①当y>0时,FY(y)=P{1/X≤0}+P{0<1/X≤y}=P{X≤0}+P{X≥1/y}=F(0)+1-F(1/y),故这时fY(y)=[-F(1y)]′=1y2f(1y);;②当y<0时,FY(y)=P{1/y≤X<0}=F(0)-F(1/y),故这时fY(y)=1y2f(1y);③当y=0时,FY(y)=P{1/X≤0}=P{X<0}=F(0),故这时取fY(0)=0, 综上所述fY(y)={1y2⋅f(1y),y≠00,y=0.(2)FY(y)=P{Y≤y}=P{∣X∣≤y}.①当y>0时,FY(y)=P{-y≤X≤y}=F(y)-F(-y)这时fY(y)=f(y)+f(-y);②当y<0时,FY(y)=P{∅}=0, 这时fY(y)=0;③当y=0时,FY(y)=P{Y≤0}=P{∣X∣≤0}=P{X=0}=0,故这时取FY(y)=0, 综上所述fY(y)={f(y)+f(-y),y>00,y≤0.习题7某物体的温度T(∘F)是一个随机变量, 且有T∼N(98.6,2), 已知θ=5(T-32)/9, 试求θ(∘F)的概率密度.解答:已知T∼N(98.6,2). θ=59(T-32), 反函数为T=59θ+32,是单调函数,所以fθ(y)=fT(95y+32)⋅95=12π⋅2e-(95y+32-98.6)24⋅95=910πe-81100(y-37)2.习题8设随机变量X在任一区间[a,b]上的概率均大于0, 其分布函数为FY(x), 又Y在[0,1]上服从均匀分布,证明:Z=FX-1(Y)的分布函数与X的分布函数相同.解答:因X在任一有限区间[a,b]上的概率均大于0, 故FX(x)是单调增加函数,其反函数FX-1(y)存在,又Y在[0,1]上服从均匀分布,故Y的分布函数为FY(y)=P{Y≤y}={0,y<0y,0≤y≤11,y>0,于是,Z的分布函数为FZ(z)=P{Z≤z}=P{FX-1(Y)≤z}=P{Y≤FX(z)}={0,FX(z)<0FX(z),0≤FX(z)≤1,1,FX(z)>1由于FX(z)为X的分布函数,故0≤FX(z)≤1.FX(z)<0和FX(z)>1均匀不可能,故上式仅有FZ(z)=FX(z), 因此,Z与X的分布函数相同.总习题解答习题1从1∼20的整数中取一个数,若取到整数k的概率与k成正比,求取到偶数的概率.解答:设Ak为取到整数k, P(Ak)=ck, k=1,2,⋯,20.因为P(⋃K=120Ak)=∑k=120P(Ak)=c∑k=120k=1,所以c=1210,P{取到偶数}=P{A2∪A4∪⋯∪A20} =1210(2+4+⋯+20)=1121.习题2若每次射击中靶的概率为0.7, 求射击10炮,(1)命中3炮的概率;(2)至少命中3炮的概率;(3)最可能命中几炮.解答:若随机变量X表示射击10炮中中靶的次数. 由于各炮是否中靶相互独立,所以是一个10重伯努利概型,X服从二项分布,其参数为n=10,p=0.7, 故(1)P{X=3}=C103(0.7)3(0.3)7≈0.009;(2)P{X≥3}=1-P{X<3}=1-[C100(0.7)0(0.3)10+C101(0.7)1(0.3)9+C102(0.7)2(0.3)8]≈0.998;(3)因X∼b(10,0.7), 而k0=[(n+1)p]=[(10+1)]×0.7=[7.7]=7,故最可能命中7炮.习题3在保险公司里有2500名同一年龄和同社会阶层的人参加了人寿保险,在1年中每个人死亡的概率为0.002,每个参加保险的人在1月1日须交120元保险费,而在死亡时家属可从保险公司里领20000元赔偿金,求:(1)保险公司亏本的概率;(2)保险公司获利分别不少于100000元, 200000元的概率.解答:1)以“年”为单位来考虑,在1年的1月1日,保险公司总收入为2500×120元=30000元.设1年中死亡人数为X, 则X∼b(2500,0.002), 则保险公司在这一年中应付出200000X(元),要使保险公司亏本,则必须200000X>300000即X>15(人).因此,P{保险公司亏本}=P{X>15}=∑k=162500C2500k(0.002)k×(0.998)2500-k≈1-∑k=015e-55kk!≈0.000069,由此可见,在1年里保险公司亏本的概率是很小的.(2)P{保险公司获利不少于100000元}=P{300000-200000X≥100000}=P{X≤10}=∑k=010C2500k(0.002)×(0.998)2500-k≈∑k=010e-55kk!≈0.986305,即保险公司获利不少于100000元的概率在98%以上.试求:(1)q的值;(2)X的分布函数.解答:(1)\because离散型随机变量的概率函数P{X=xi}=pi, 满足∑ipi=1,且0≤pi≤1,∴{1/2+1-2q+q2=10≤1-2q≤1q2≤1,解得q=1-1/2. 从而X的分布律为下表所示:(2)由F(x)=P{X≤x}计算X的分布函数F(x)={0,1/2,2-1/2,1,x<-1-1≤x<00≤x<0x≥1.习题7设随机变量X的分布函数F(x)为F(x)={0,x<0Asinx,0≤x≤π/2,1,x>π/2则A=¯,P{∣X∣<π/6}=¯.解答:应填1;1/2.由分布函数F(x)的右连续性,有F(π2+0)=F(π2)⇒A=1.因F(x)在x=π6处连续,故P{X=π6=12,于是有P{∣X∣<π6=P{-π6<X<π6=P{-π6<X≤π6=F(π6)-F(-π6)=12..习题8使用了x小时的电子管,在以后的Δx小时内损坏的概率等于λΔx+o(Δx),其中λ>0是常数,求电子管在损坏前已使用时数X的分布函数F(x),并求电子管在T小时内损坏的概率.解答:因X的可能取值充满区间(0,+∞),故应分段求F(x)=P{X≤x}.当x≤0时,F(x)=P{X≤x}=P(∅)=0;当x>0时,由题设知P{x<X≤x+Δx/X}=λΔx+o(Δx),而P{x<X≤x+Δx/X}=P{x<X≤x+Δx,X>x}P{X>x}=P{x<X≤x+Δx}1-P{X≤x}=F(x+Δx)-F(x)1-F(x),故F(X+Δx)-F(x)1-F(x)=λΔx+o(Δx),即F(x+Δx)-F(x)Δx=[1-F(x)][λ+o(Δx)Δx],令o(Δx)→0,得F′(x)=λ[1-F(x)].这是关于F(x)的变量可分离微分方程,分离变量dF(x)1-F(x)=λdx,积分之得通解为C[1-F(x)]=e-λx(C为任意常数).注意到初始条件F(0)=0, 故C=1.于是F(x)=1-e-λx,x>0,λ>0,故X的分布函数为F(x)={0,x≤01-e-λx,x>0(λ>0),从而电子管在T小时内损坏的概率为P{X≤T}=F(T)=1-e-λT.习题9设连续型随机变量X的分布密度为f(x)={x,0<x≤12-x,1<x≤20,其它,求其分布函数F(x).解答:当x≤0时,F(x)=∫-∞x0dt=0;当0<x≤1时,F(x)=∫-∞xf(t)dt=∫-∞00tdt+∫0xtdt=12x2;当1<x≤2时,F(x)=∫-∞xf(t)dt=∫-∞00dt+∫01tdt+∫1x(2-t)dt=0+12+(2t-12t2)∣1x=-1+2x-x22;当x>2时,F(x)=∫-∞00dt+∫01tdt+∫12(2-t)dt+∫2x0dt=1,故F(x)={0,x≤212x2,0<x≤1-1+2x-x22,1<x≤21,x>2.习题10某城市饮用水的日消费量X(单位:百万升)是随机变量,其密度函数为:f(x)={19xe-x3,x>00,其它,试求:(1)该城市的水日消费量不低于600万升的概率;(2)水日消费量介于600万升到900万升的概率.解答:先求X的分布函数F(x). 显然,当x<0时,F(x)=0, 当x≥0时有F(x)=∫0x19te-t3dt=1-(1+x3)e-x3故F(x)={1-(1+x3)e-x3,x≥00,x<0,所以P{X≥6}=1-P{X<6}=1-P(X≤6}=1-F(6)=1-[1-(1+x3)e-x3]x=6=3e-2,P{6<X≤9}=F(9)-F(6)=(1-4e-3)-(1-3e-2)=3e-2-4e-3.习题11已知X∼f(x)={cλe-λx,x>a0,其它(λ>0),求常数c及P{a-1<X≤a+1}.解答:由概率密度函数的性质知∫-∞+∞f(x)dx=1,而∫-∞+∞f(x)dx=∫-∞a0dx+∫a+∞cλe-λxdx=c∫a+∞e-λxd(λx)=-ce-λx\vlinea+∞=ce-λa,所以ce-λa=1,从而c=eλa.于是P{a-1<X≤a+1}=∫a-1a+1f(x)dx=∫a-1a0dx+∫aa+1λeλae-λxdx=-eλae-λx\vlineaa+1=-eλa(e-λ(a+1)-e-λa)=1 -e-λ.注意,a-1<a, 而当x<a时,f(x)=0.习题12已知X∼f(x)={12x2-12x+3,0<x<10,其它, 计算P{X≤0.2∣0.1<X≤0.5}.解答:根据条件概率;有P{X≤0.2∣0.1<X≤0.5}=P{X≤0.2,0.1<X≤0.5}P{0.1<X≤0.5}=P{0.1<X≤0.2}P{0.1<X≤0.5}=∫0.10.2(12x2-12x+2) dx∫0.10.5(12x2-12x+3)dx=(4x3-6x2+3x)∣0.10.2(4x3-6x2+3x)∣0.10.5=0.1480.256=0.578125.习题13若F1(x),F2(x)为分布函数,(1)判断F1(x)+F2(x)是不是分布函数,为什么?(2)若a1,a2是正常数,且a1+a2=1. 证明:a1F1(x)+a2F2(x)是分布函数.解答:(1)F(+∞)=limx→+∞F(x)=limx→+∞F1(x)+limx→+∞F2(x)=1+1=2≠1故F(x)不是分布函数.(2)由F1(x),F2(x)单调非减,右连续,且F1(-∞)=F2(-∞)=0,F1(+∞)=F2(+∞)=1,可知a1F1(x)+a2F2(x)单调非减,右连续,且a1F1(-∞)+a2F2(-∞)=0,a1F1(+∞)+a2F2(+∞)=1.从而a1F1(x)+a2F2(x)是分布函数.习题14设随机变量X的概率密度ϕ(x)为偶函数,试证对任意的a>0, 分布函数F(x)满足:(1)F(-a)=1-F(a); (2)P{∣X∣>a}=2[1-F(a)].解答:(1)F(-a)=∫-∞-aϕ(x)dx=∫a+∞ϕ(-t)dt=∫a+∞ϕ(x)dx=1-∫-∞aϕ(x)dx=1-F(a).(2)P{∣X∣>a}=P{X<-a}+P{X>a}=F(-a)+P{X≥a}F(-a)+1-F(a)=2[1-F(a)].习题15设K在(0,5)上服从均匀分布,求x的方程4x2+4Kx+K+2=0有实根的概率.解答:因为K∼U(0,5), 所以fK(k)={1/5,0<k<50,其它,方程4x2+4Kx+K+2=0有实根的充要条件为(4K)2-4⋅4(K+2)≥0,即K2-K-2≥0,亦即(k-2)(K+1)≥0,解得K≥2(K≤-1舍去), 所以P{方程有实根}=P{K≥2}=∫2515dx=35.习题16某单位招聘155人,按考试成绩录用,共有526人报名,假设报名者考试成绩X∼N(μ,σ2), 已知90分以上12人,60分以下83人,若从高分到低分依次录取,某人成绩为78分,问此人是否能被录取?解答:要解决此问题首先确定μ,σ2, 因为考试人数很多,可用频率近似概率.根据已知条件P{X>90}=12/526≈0.0228,P{X≤90}=1-P{X>90}≈1-0.0228}=0.9772;又因为P{X≤90}=P{X-μσ≤90-μσ, 所以有Φ(90-μσ)=0.9772, 反查标准正态表得90-μσ=2 ①同理:P{X≤60}=83/526≈0.1578; 又因为P{X≤60}=P{X-μσ≤60-μσ,故Φ(60-μσ)≈0.1578.因为0.1578<0.5,所以60-μσ<0, 故Φ(μ-60σ)≈1-0.1578=0.8422, 反查标准正态表得μ-60σ≈1.0 ②联立①,②解得σ=10,μ=70, 所以,X∼N(70,100).某人是否能被录取,关键看录取率. 已知录取率为155526≈0.2947, 看某人是否能被录取,解法有两种:方法1:P{X>78}=1-P{X≤78}=1-P{x-7010≤78-7010=1-Φ(0.8)≈1-0.7881=0.2119,因为0.2119<0.2947(录取率), 所以此人能被录取.方法2:看录取分数线. 设录取者最低分为x0, 则P{X≥x0}=0.2947(录取率),P{X≤x0}=1-P{X≥x0}=1-0.2947=0.7053,P{X≤x0}=P{x-7010≤x0-7010=Φ{x0-7010=0.7053,反查标准正态表得x0-7010≈0.54, 解得x0≈75. 此人成绩78分高于最低分,所以可以录取.习题17假设某地在任何长为t(年)的时间间隔内发生地震的次数N(t)服从参数为λ=0.1t的泊松分布,X表示连续两次地震之间间隔的时间(单位:年).(1)证明X服从指数分布并求出X的分布函数;(2)求今后3年内再次发生地震的概率;(3)求今后3年到5年内再次发生地震的概率.解答:(1)当t≥0时,P{X>t}=P{N(t)=0}=e-0.1t,∴F(t)=P{X≤t}=1-P{X>t}=1-e-0.1t;当t<0时,F(t)=0,∴F(x)={1-e-0.1t,x≥00,x<0,X服从指数分布(λ=0.1);(2)F(3)=1-e-0.1×3≈0.26;(3)F(5)-F(3)≈0.13.习题18100件产品中,90个一等品,10个二等品,随机取2个安装在一台设备上,若一台设备中有i个(i=0,1,2)二等品,则此设备的使用寿命服从参数为λ=i+1的指数分布.(1)试求设备寿命超过1的概率;(2)已知设备寿命超过1,求安装在设备上的两个零件都是一等品的概率 .解答:(1)设X表示设备寿命. A表示“设备寿命超过1”,Bi表示“取出i个二等品”(i=0,1,2),则X的密度函数为fX(x)={λe-λx,x>00,x≤0 (λ=i+1,i=0,1,2),P(B0)=C902C1002, P(B1)=C901C102C1002, P(B2)=C102C1002,P(A∣B0)=∫1+∞e-xdx=e-1, P(A∣B1)=∫1+∞2e-2xdx=e-2,P(A∣B2)=∫1+∞3e-3xdx=e-3,由全概率公式:P(A)=∑i=02P(Bi)P(A∣Bi)≈0.32.(2)由贝叶斯公式:P(B0∣A)=P(B0)P(A∣B0)P(A)≈0.93.试求Y=X2的分布律.解答:所以注:随机变量的值相同时要合并,对应的概率为它们概率之和.习题20设随机变量X的密度为fX(x)={0,x<02x3e-x2,x≥0,求Y=2X+3的密度函数.解答:由Y=2X+3, 有y=2x+3,x=y-32,x′=12,由定理即得fY(x)={0,y<3(y-32)3e-(y-32),y≥3.习题21设随机变量X的概率密度fX(x)={e-x,x>00,其它,求Y=eX的概率密度.解答:因为α=min{y(0),y(+∞)}=min{1,+∞}=1,β=max{y(0),y(+∞)}=max{1,+∞}=+∞.类似上题可得fY(y)={fX[h(y)]∣h′(y)∣,1<y<+∞0,其它={1/y2,1<y<+∞0,其它.习题22设随便机变量X的密度函数为fX(x)={1-∣x∣,-1<x<10,其它,求随机变量Y=X2+1的分布函数与密度函数.解答:X的取值范围为(-1,1), 则Y的取值范围为[1,2). 当1≤y<2时,FY(y)=P{Y≤y}=P{X2+1≤y}=P{-Y-1≤x≤y-1}=∫-y-1y-1(1-∣x∣)dx=2∫0y-1(1-x)dx=1-(1-y-1)2,从而Y的分布函数为FY(y)={0,y<11-(1-y-1)2,1≤y<2,1,其它Y的概率密度为fY(y)={1y-1-1,1<y<20,其它.第三章多维随机变量及其分布3.1 二维随机变量及其分布求a.解答:由分布律性质∑i⋅jPij=1, 可知1/6+1/9+1/18+1/3+a+1/9=1,解得a=2/9.习题2(1)2.设(X,Y)的分布函数为F(x,y),试用F(x,y)表示:(1)P{a<X≤b,Y≤c};解答:P{a<X≤b,Y≤c}=F(b,c)-F(a,c).习题2(2)2.设(X,Y)的分布函数为F(x,y),试用F(x,y)表示:(2)P{0<Y≤b};解答:P{0<Y≤b}=F(+∞,b)-F(+∞,0).习题2(3)2.设(X,Y)的分布函数为F(x,y),试用F(x,y)表示:(3)P{X>a,Y≤b}.解答:P{X>a,Y≤b}=F(+∞,b)-F(a,b).习题3(1)3.设二维离散型随机变量的联合分布如下表:试求:(1)P{12<X<32,0<Y<4;解答:P{12<X<23,0<Y<4P{X=1,Y=1}+P{X=1,Y=2}+P{X=1,Y=3}=P{X=1,Y=1}+P{X=1,Y=2}+P{X=1,Y=3}=14+0+0=14.习题3(2)3.设二维离散型随机变量的联合分布如下表:试求:(2)P{1≤X≤2,3≤Y≤4};解答:P{1≤X≤2,3≤Y≤4}=P{X=1,Y=3}+P{X=1,Y=4}+P{X=2,Y=3}+P{X=2,Y=4}=0+116+0+14=516.习题3(3)3.设二维离散型随机变量的联合分布如下表:试求:(3)F(2,3).解答:F(2,3)=P(1,1)+P(1,2)+P(1,3)+P(2,1)+P(2,2)+P(2,3)=14+0+0+116+14+0=916.习题4设X,Y为随机变量,且P{X≥0,Y≥0}=37,P{X≥0}=P{Y≥0}=47,求P{max{X,Y}≥0}.解答:P{max{X,Y}≥0}=P{X,Y至少一个大于等于0} =P{X≥0}+P{Y≥0}-P{X≥0,Y≥0}=47+47-37=57.习题5(X,Y)只取下列数值中的值:(0,0),(-1,1),(-1,13),(2,0)且相应概率依次为16,13,112,512, 请列出(X,Y)的概率分布表,并写出关于Y的边缘分布.解答:(1)因为所给的一组概率实数显然均大于零,且有16+13+112+512=1, 故所给的一组实数必是某二维随机变量(X,Y)的联合概率分布. 因(X,Y)只取上述四组可能值,故事件:{X=-1,Y=0}, {X=0,Y=13, {X=0,Y=1},{X=2,Y=13,{X=2,Y=1}均为不可能事件,其概率必为零. 因而得到下表:(2)P{Y=0}=P{X=-1,Y=0}+P{X=0,Y=0}+P{X=2,Y=0} =0+16+512=712,同样可求得P{Y=13=112,P{Y=1}=13,关于的Y边缘分布见下表:Y 01/31pk 7/121/121/3习题6设随机向量(X,Y)服从二维正态分布N(0,0,102,102,0), 其概率密度为f(x,y)=1200πex2+y2200,求P{X≤Y}.解答:由于P{X≤Y}+P{X>Y}=1,且由正态分布图形的对称性,知P{X≤Y}=P{X>Y},故P{X≤Y}=12.习题7设随机变量(X,Y)的概率密度为f(x,y)={k(6-x-y),0<x<2,2<y<40,其它,(1)确定常数k; (2)求P{X<1,Y<3}; (3)求P{X<1.5}; (4)求P{X+Y≤4}.解答:如图所示(1)由∫-∞+∞∫-∞+∞f(x,y)dxdy=1,确定常数k.∫02∫24k(6-x-y)dydx=k∫02(6-2x)dx=8k=1,所以k=18.(2)P{X<1,Y<3}=∫01dx∫2318(6-x-y)dy=38.(3)P{X<1.5}=∫01.5dx∫2418(6-x-y)dy=2732.(4)P{X+Y≤4}=∫02dx∫24-x18(6-x-y)dy=23.习题8已知X和Y的联合密度为f(x,y)={cxy,0≤x≤1,0≤y≤10,其它,试求:(1)常数c; (2)X和Y的联合分布函数F(x,y).解答:(1)由于1=∫-∞+∞∫-∞+∞f(x,y)dxdy=c∫01∫01xydxdy=c4,c=4.(2)当x≤0或y≤0时,显然F(x,y)=0;当x≥1,y≥1时,显然F(x,y)=1;设0≤x≤1,0≤y≤1,有F(x,y)=∫-∞x∫-∞yf(u,v)dudv=4∫0xudu∫0yvdv=x2y2.设0≤x≤1,y>1,有F(x,y)=P{X≤1,Y≤y}=4∫0xudu∫01ydy=x2.最后,设x>1,0≤y≤1,有F(x,y)=P{X≤1,Y≤y}=4∫01xdx∫0yvdv=y2.函数F(x,y)在平面各区域的表达式F(x,y)={0,x≤0或y≤0x2,0≤x≤1,y>1x2y2,0≤x≤1,0≤y≤1.y2,x>习题9设二维随机变量(X,Y)的概率密度为f(x,y)={4.8y(2-x),0≤x≤1,x≤y≤10,其它,求边缘概率密度fY(y).解答:fX(x)=∫-∞+∞f(x,y)dy={∫0x4.8y(2-x)dy,0≤x≤10,其它={2.4x2(2-x),0≤x≤10,其它.fY(y)=∫-∞+∞f(x,y)dx={∫0y4.8y(2-x)dx,0≤y≤10,其它={2.4y(4y-y2),0≤y≤10,其它.习题10设(X,Y)在曲线y=x2,y=x所围成的区域G里服从均匀分布,求联合分布密度和边缘分布密度.解答:区域G的面积A=∫01(x-x2)dx=16, 由题设知(X,Y)的联合分布密度为f(x,y)={6,0≤x≤1,x2≤y≤x0,其它,从而fX(x)=∫-∞+∞f(x,y)dy=6∫x2xdy=6(x-x2),0≤x≤1,即fX(x)={6(x-x2),0≤x≤10,其它fY(y)=∫-∞+∞f(x,y)dx=6∫yydx=6(y-y),0≤y≤1,即fY(y)={6(y-y),0≤y≤10,其它.3.2 条件分布与随机变量的独立性对应X的值,将每行的概率相加,可得P{X=i}.对应Y的值(最上边的一行), 将每列的概率相加,可得P{Y=j}.(2)当Y=51时,X的条件分布律为P{X=k∣Y=51}=P{X=k,y=51}P{Y=51}=pk,510.28, k=51,52,53,54,55.列表如下:故(1)在Y=1条件下,X的条件分布律为(2)在X=2的条件下,Y的条件分布律为表(a)表(b)解答:由X与Y相互独立知P{X=xi,Y=yi}=P{X=xi}P{Y=yj),从而(X,Y)的联合概率分布为亦即表P{X+y=1}=P{X=-2,y=3}+P{X=0,Y=1}=116+148=112,P{X+Y≠0}=1-P{X+Y=0}=1-P{X=-1,Y=1}-P{X=12,Y=-12=1-112-16=34.习题6某旅客到达火车站的时间X均匀分布在早上7:55∼8:00, 而火车这段时间开出的时间Y的密度fY(y)={2(5-y)25,0≤y≤50,其它,求此人能及时上火车站的概率.解答:由题意知X的密度函数为fX(x)={15,0≤x≤50,其它, 因为X与Y相互独立,所以X与Y的联合密度为:fXY(x,y)={2(5-y)125,0≤y≤5,0≤x≤50,其它,故此人能及时上火车的概率为P{Y>X}=∫05∫x52(5-y)125dydx=13.习题7设随机变量X与Y都服从N(0,1)分布,且X与Y相互独立,求(X,Y)的联合概率密度函数.解答:由题意知,随机变量X,Y的概率密度函数分别是fX(x)=12πe-x22,fY(y)=12πe-y22因为X与Y相互独立,所以(X,Y)的联合概率密度函数是f(x,y)=12πe-12(x+y)2.习题8设随机变量X的概率密度f(x)=12e-∣x∣(-∞<x<+∞),问:X与∣X∣是否相互独立?解答:若X与∣X∣相互独立,则∀a>0, 各有P{X≤a,∣X∣≤a}=P{X≤a}⋅P{∣X∣≤a},而事件{∣X∣≤a}⊂{X≤a},故由上式有P{∣X∣≤a}==P{X≤a}⋅P{∣X∣≤a},⇒P{∣X∣≤a}(1-P{X≤a})=0⇒P{∣X≤a∣}=0或1=P{X≤a}⋅(∀a>0)但当a>0时,两者均不成立,出现矛盾,故X与∣X∣不独立.习题9设X和Y是两个相互独立的随机变量,X在(0,1)上服从均匀分布,Y的概率密度为fY(y)={12e-y2,y>00,y≤0,(1)求X与Y的联合概率密度;(2)设有a的二次方程a2+2Xa+Y=0, 求它有实根的概率.解答:(1)由题设易知fX(x)={1,0<x<10,其它,又X,Y相互独立,故X与Y的联合概率密度为f(x,y)=fX(x)⋅fY(y)={12e-y2,0<x<1,y>00,其它;(2)因{a有实根}={判别式Δ2=4X2-4Y≥0}={X2≥Y},故如图所示得到:P{a有实根}=P{X2≥Y}=∫∫x2>yf(x,y)dxdy=∫01dx∫0x212e-y2dy=-∫01e-x22dx=1-[∫-∞1e-x22dx-∫-∞0e-x22dx] =1-2π[12π∫-∞1e-x22dx-12π∫-∞0e-x22dx]=1-2π[Φ(1)-Φ(0),又Φ(1)=0.8413,Φ(0)=0.5,于是Φ(1)-Φ(0)=0.3413,所以P{a有实根}=1-2π[Φ(1)-Φ(0)]≈1-2.51×0.3413=0.1433.3.3 二维随机变量函数的分布习题1设随机变量X和Y相互独立,且都等可能地取1,2,3为值,求随机变量U=max{X,Y}和V=min{X,Y}的联合分布.解答:由于U≥V,可见P{U=i,V=j}=0(i<j).此外,有P{U=V=i}=P{X=Y=i}=1/9(i=1,2,3), P{U=i,V=j}=P{X=i,Y=j}+P{X=j,Y=i}=2/9(i>j),于是,随机变量U和V的联合概率分布为试求:(1)Z=X+Y; (2)Z=XY; (3)Z=X/Y; (4)Z=max{X,Y}的分布律.解答:与一维离散型随机变量函数的分布律的计算类型,本质上是利用事件及其概率的运算法则.注意,Z的相同值的概率要合并.于是(1)(2)Z的分布密度为fZ(z)={ze-z22,z>00,z≤0.习题5设随机变量(X,Y)的概率密度为f(x,y)={12(x+y)e-(x+y),x>0,y>00,其它,(1)问X和Y是否相互独立?(2)求Z=X+Y的概率密度.解答:(1)fX(x)=∫-∞+∞f(x,y)dy={∫0+∞12(x+y)e-(x+y)dy,x>00,x≤0\under2line令x+y=t{∫x+∞12te-tdt=12(x+1)e-x,x>00,x≤0,由对称性知fY(y)={12(y+1)e-y,y>00,y≤0,显然f(x,y)≠fX(x)fY(y),x>0,y>0,所以X与Y不独立.(2)用卷积公式求fZ(z)=∫-∞+∞f(x,z-x)dx.当{x>0z-x>0 即{x>0x<z时,f(x,z-x)≠0,所以当z≤0时,fZ(z)=0;当z>0时,fZ(z)=∫0z12xe-xdx=12z2e-z.于是,Z=X+Y的概率密度为fZ(z)={12z2e-z,z>00,z≤0.习题6设随机变量X,Y相互独立,若X服从(0,1)上的均匀分布,Y服从参数1的指数分布,求随机变量Z=X+Y 的概率密度.解答:据题意,X,Y的概率密度分布为fX(x)={1,0<x<10,其它, fY(y)={e-y,y≥00,y<0,由卷积公式得Z=X+Y的概率密度为fZ(z)=∫-∞+∞fX(x)fY(z-x)dx=∫-∞+∞fX(z-y)fY(y)dy =∫0+∞fX(z-y)e-ydy.由0<z-y<1得z-1<y<z,可见:当z≤0时,有fX(z-y)=0, 故fZ(z)=∫0+∞0⋅e-ydy=0;当z>0时,fZ(z)=∫0+∞fX(z-y)e-ydy=∫max(0,z-1)ze-ydy=e-max(0,z-1)-e-z,即fZ(z)={0,z≤01-e-z,0<z≤1e1-z-e-z,z>1.习题7设随机变量(X,Y)的概率密度为f(x,y)={be-(x+y),0<x<1,0<y<+∞,0,其它.(1)试确定常数b;(2)求边缘概率密度fX(x),fY(y);(3)求函数U=max{X,Y}的分布函数.解答:(1)由∫-∞+∞∫-∞+∞f(x,y)dxdy=1,确定常数b. ∫01dx∫0+∞be-xe-ydy=b(1-e-1)=1,所以b=11-e-1,从而f(x,y)={11-e-1e-(x+y),0<x<1,0<y<+∞,0,其它.(2)由边缘概率密度的定义得fX(x)={∫0+∞11-e-1e-(x+y)dy=e-x1-e-x,0<x<1,0,其它,fY(x)={∫0111-e-1e-(x+y)dx=e-y,0<y<+∞,0,其它(3)因为f(x,y)=fX(x)fY(y),所以X与Y独立,故FU(u)=P{max{X,Y}≤u}=P{X≤u,Y≤u}=FX(u)FY(u),其中FX(x)=∫0xe-t1-e-1dt=1-e-x1-e-1,0<x<1,所以FX(x)={0,x≤0,1-e-x1-e-1,0<x<1,1,x≥1.同理FY(y)={∫0ye-tdt=1-e-y,0<y<+∞,0,y≤0,因此FU(u)={0,u<0,(1-e-u)21-e-1,0≤u<1,1-e-u,u≥1.。
作业1.第25题设标准正态分布N(0,1)的分布函数为,则()(A)(B)-(C)1-(D)1+A.;B.;C.;D..标准答案:C您的答案:题目分数:1.0此题得分:0.02.第26题设P(B)>0,则在事件B已发生的条件下,事件A的条件概率定义为P(A│B)=( ) (A)(B)(C)P(A)P(B) (D)P(AB)P(B)A.;B.;C.;D..标准答案:B您的答案:题目分数:1.0此题得分:0.03.第27题设来自总体N(0,1)的简单随机样本,记,则=() (A)n(B)n-1(C)(D)A.见题B.见题C.见题D.见题标准答案:C您的答案:题目分数:1.0此题得分:0.04.第29题设样本X1,X2,...X n,来自正态总体X~N(),其中未知,样本均值为,则下列随机变量不是统计量的为()(A)(B)X1 (C)Min(X1,,...X n) (D)A.;B.;C.;D..标准答案:D您的答案:题目分数:1.0此题得分:0.05.第30题假设样本X1,X2,...X n来自总体X,则样本均值与样本方差S2=2独立的一个充分条件是总体X服从()。
A.二项分布B.几何分布C.正态分布D.指数分布标准答案:A您的答案:题目分数:1.0此题得分:0.06.第31题设A,B是两个随机事件,且,,,则必有()(A)(B)(C)(D)A.见题B.见题C.见题D.见题标准答案:C您的答案:题目分数:0.5此题得分:0.07.第32题设随机变量X~U(0,1),则它的方差为D(X)=()A.1/2B.1/3C.1/4D.1/12标准答案:D您的答案:题目分数:0.5此题得分:0.08.第33题设正态分布X~N(2),则P(│X-│>3)=( ) (A)0.5 (B)0.1 (C)0.05 (D)0.0027A.;B.;C.;D..标准答案:D您的答案:题目分数:0.5此题得分:0.09.第34题设来自总体的简单随机样本,则()(A)(B)(C)(D)A.见题B.见题C.见题D.见题标准答案:D您的答案:题目分数:0.5此题得分:0.010.第35题对于任意两事件A,B()(A)若,则A,B一定独立(B)若,则A,B有可能独立(C)若,则A,B一定独立(D)若,则A,B一定不独立A.见题B.见题C.见题D.见题标准答案:B您的答案:题目分数:0.5此题得分:0.011.第36题如果P(A)=0.5,P(B)=0.4,P(B│A)=0.6,则P(AB)=( )A.0.1B.0.2C.0.24D.0.3标准答案:D您的答案:题目分数:0.5此题得分:0.012.第37题某人向同一目标独立重复射击,每次射击命中目标的概率为,则此人第4次射击恰好第2次命中的概率为()(A)(B)(C)(D)A.见题B.见题C.见题D.见题标准答案:C您的答案:题目分数:0.5此题得分:0.013.第59题概率函数为P(X=k)=p K(1-p)1-K,k=0.1的分布称为( )(A)“0-1”分布(B)几何分布(C)超几何分布(D)泊松分布A.;B.;C.;D.。
第一章思 考 题1.事件的和或者差的运算的等式两端能“移项”吗?为什么?2.医生在检查完病人的时候摇摇头“你的病很重,在十个得这种病的人中只有一个能救活. ”当病人被这个消息吓得够呛时,医生继续说“但你是幸运的.因为你找到了我,我已经看过九个病人了,他们都死于此病,所以你不会死” ,医生的说法对吗?为什么?3.圆周率 1415926.3=π是一个无限不循环小数, 我国数学家祖冲之第一次把它计算到小数点后七位, 这个记录保持了1000多年! 以后有人不断把它算得更精确. 1873年, 英国学者沈克士公布了一个π的数值, 它的数目在小数点后一共有707位之多! 但几十年后, 曼彻斯特的费林生对它产生了怀疑. 他统计了π的608位小数, 得到了下表:675844625664686762609876543210出现次数数字 你能说出他产生怀疑的理由吗?答:因为π是一个无限不循环小数,所以,理论上每个数字出现的次数应近似相等,或它们出现的频率应都接近于0.1,但7出现的频率过小.这就是费林产生怀疑的理由.4.你能用概率证明“三个臭皮匠胜过一个诸葛亮”吗?5.两事件A 、B 相互独立与A 、B 互不相容这两个概念有何关系?对立事件与互不相容事件又有何区别和联系?6.条件概率是否是概率?为什么?习 题1.写出下列试验下的样本空间:(1)将一枚硬币抛掷两次答:样本空间由如下4个样本点组成{(,)(,)(,)(,)Ω=正正,正反,反正,反反 (2)将两枚骰子抛掷一次答:样本空间由如下36个样本点组成{(,),1,2,3,4,5,6}i j i j Ω==(3)调查城市居民(以户为单位)烟、酒的年支出答:结果可以用(x ,y )表示,x ,y 分别是烟、酒年支出的元数.这时,样本空间由坐标平面第一象限内一切点构成 .{(,)0,0}x y x y Ω=≥≥2.甲,乙,丙三人各射一次靶,记-A “甲中靶” -B “乙中靶” -C “丙中靶” 则可用上述三个事件的运算来分别表示下列各事件:(1) “甲未中靶”: ;A(2) “甲中靶而乙未中靶”: ;B A(3) “三人中只有丙未中靶”: ;C AB(4) “三人中恰好有一人中靶”: ;C B A C B A C B A(5)“ 三人中至少有一人中靶”: ;C B A(6)“三人中至少有一人未中靶”: ;C B A 或;ABC(7)“三人中恰有两人中靶”: ;BC A C B A C AB(8)“三人中至少两人中靶”: ;BC AC AB(9)“三人均未中靶”: ;C B A(10)“三人中至多一人中靶”: ;C B A C B A C B A C B A(11)“三人中至多两人中靶”: ;ABC 或;C B A3 .设,A B 是两随机事件,化简事件 (1)()()A B A B (2) ()()A B A B 解:(1)()()A B AB AB AB B B ==, (2) ()()A B A B ()A B A B B A A B B ==Ω=.4.某城市的电话号码由5个数字组成,每个数字可能是从0-9这十个数字中的任一个,求电话号码由五个不同数字组成的概率. 解:51050.302410P P ==. 5.n 张奖券中含有m 张有奖的,k 个人购买,每人一张,求其中至少有一人中奖的概率。
概率论与数理统计课后习题答案1. 引言概率论与数理统计是统计学的基础课程之一,通过学习这门课程,我们可以理解和运用概率和统计的概念和方法,从而分析和解决实际问题。
本文档将提供《概率论与数理统计》课后习题的详细答案。
2. 习题答案第一章:概率论的基本概念和基本原理1.1 选择题a.概率是以【答案】】D.形式结果给出的。
b.从一副有 52 张牌的扑克牌中,任意取一张牌,其点数是 7 的概率是【答案】】C.$\\frac{4}{52}$。
1.2 计算题a.设 A, B 是两个事件,已知 P(A) = 0.5,P(B) = 0.4,且P(A ∪ B) = 0.7,求P(A ∩ B)。
【解答】根据概率的加法定理可知,P(P∪P)=P(P)+P(P)−P(P∩P)代入已知数据,得到:0.7=0.5+0.4−P(P∩P)解上式得到P(A ∩ B) = 0.2。
所以,P(A ∩ B) = 【答案】0.2。
b.有两个相互独立的事件 A 和 B,且 P(A) = 0.3,P(A∪ B) = 0.5,求 P(B)。
【解答】由于事件 A 和 B 是相互独立的,所以根据概率的乘法定理可知,P(P∪P)=P(P)×P(P)代入已知数据,得到:0.5=0.3×P(P)解上式得到 P(B) = 0.5 ÷ 0.3 = 1.67。
所以,P(B) = 【答案】1.67。
第二章:随机变量及其分布2.1 选择题a.设 X 是一个随机变量,其概率密度函数为:$$ f(x) = \\begin{cases} \\frac{1}{2}x & 0 < x < 2 \\\\ 0 &其他 \\end{cases} $$则 P(X < 1) = 【答案】】C. 0.25。
b.对 X 的分布函数 F(x) = 1 - e^{-x}, 其中x ≥ 0,下列说法中错误的是【答案】】B. F(x) 是一个概率密度函数。
第六章 数理统计基本概念与抽样分布第一节 数理统计基本概念Page2031、 设总体ξ分布为下述情形(1)(,)B k p ξ;(2)ξ服从参数为λ的指数分布;(3)(,1)N ξμ,14,ξξ为取自总体4n =的样本,分别写出它们的样本空间和样本的联合分布律(或联合密度)。
解答:(1)因(,)B k p ξ,所以{}(1),0,1,l l k l k P l C p p l k ξ-==-=,故样本空间为1414{(,,)|,,0,1,,}X k k k k k ==,11441144{,,}{}{}P k k P k P k ξξξξ=====111444(1)(1)k k k k k k k k k k C p p C p p --=-⋅⋅-,14,,0,1,,k k k =;(2)因()ξπλ,所以{},0,1,!kP k e k k λλξ-===,故样本空间1414{(,,)|0,1,}X k k k k ==,11441144{,,}{}{}P k k P k P k ξξξξ=====141414,,,0,1,!!kke e k k k k λλλλ--=⋅⋅=;(3)因(,1)N ξμ,所以2()()ex p ()2x f x μ-=-()x -∞<<∞,故样本空间1414{(,,)|,,}X k k k k R =∈,2114()(,,)exp()22x f x x μπ-=-⋅⋅24())2x μ--14(,,)x x -∞<<∞。
2、 设样本观察值12,,,n x x x 中有些值是相同的,把它们按小到大排列,分别取值为(1)(2)()k x x x <<<,取(1)(2)(),,,k x x x 得频数分别为12,,k n n n ,1()ki i n n ==∑,显然有样本均值_()11k i i i x n x n ==∑,样本方差_22()11()1k i i i S n x x n ==--∑。
第六章 样本及抽样分布1.[一] 在总体N (52,6.32)中随机抽一容量为36的样本,求样本均值X 落在50.8到53.8之间的概率。
解: 8293.0)78()712(}63.68.163.65263.62.1{}8.538.50{),363.6,52(~2=-Φ-Φ=<-<-=<<X P X P N X2.[二] 在总体N (12,4)中随机抽一容量为5的样本X 1,X 2,X 3,X 4,X 5. (1)求样本均值与总体平均值之差的绝对值大于1的概率。
(2)求概率P {max (X 1,X 2,X 3,X 4,X 5)>15}. (3)求概率P {min (X 1,X 2,X 3,X 4,X 5)>10}.解:(1)⎪⎪⎭⎪⎪⎬⎫⎪⎪⎩⎪⎪⎨⎧>-=⎪⎪⎭⎪⎪⎬⎫⎪⎪⎩⎪⎪⎨⎧>-=>-25541225415412}112{|X P X P X P =2628.0)]25(1[2=Φ-(2)P {max (X 1,X 2,X 3,X 4,X 5)>15}=1-P {max (X 1,X 2,X 3,X 4,X 5)≤15}=.2923.0)]21215([1}15{1551=-Φ-=≤-∏=i i X P (3)P {min (X 1,X 2,X 3,X 4,X 5)<10}=1- P {min (X 1,X 2,X 3,X 4,X 5)≥10}=.5785.0)]1([1)]21210(1[1}10{15551=Φ-=-Φ--=≥-∏=i i X P 4.[四] 设X 1,X 2…,X 10为N (0,0.32)的一个样本,求}.44.1{1012>∑=i i X P解:)5(1.0}163.0{}44.1{),10(~3.0101221012221012查表=>=>∑∑∑===i ii ii iX P XP χX7.设X 1,X 2,…,X n 是来自泊松分布π (λ )的一个样本,X ,S 2分别为样本均值和样本方差,求E (X ), D (X ), E (S 2).解:由X ~π (λ )知E (X )= λ ,λ=)(X D∴E (X )=E (X )= λ, D (X )=.)()(,)(2λX D S E nλnX D ===[六] 设总体X~b (1,p),X 1,X 2,…,X n 是来自X 的样本。
概率论与数理统计课后习题答案概率论与数理统计课后习题答案概率论与数理统计是一门重要的数学学科,它研究的是随机事件的规律性和统计现象的规律性。
在学习这门课程时,课后习题是巩固知识和提高能力的重要方式。
下面将给出一些概率论与数理统计课后习题的答案,希望对大家的学习有所帮助。
1. 掷一枚硬币,出现正面的概率是多少?答:硬币只有两面,正面和反面。
所以出现正面的概率是1/2。
2. 从一副扑克牌中随机抽取一张牌,抽到红桃的概率是多少?答:一副扑克牌共有52张牌,其中有26张红桃牌。
所以抽到红桃的概率是26/52,即1/2。
3. 一枚骰子有六个面,每个面上的数字分别是1、2、3、4、5、6。
投掷一次,出现奇数的概率是多少?答:一共有六个可能的结果,其中有三个是奇数(1、3、5)。
所以出现奇数的概率是3/6,即1/2。
4. 一家超市每天卖出的苹果数量服从正态分布,均值为100,标准差为10。
如果随机选取一天,卖出的苹果数量大于110的概率是多少?答:根据正态分布的性质,若随机变量X服从正态分布N(μ, σ^2),则P(X > a) = 1 - P(X ≤ a),其中a为某个实数。
根据题目给出的均值和标准差,可以计算出标准化后的分数为(110-100)/10=1。
查正态分布表可知,标准正态分布Z的分位数为0.8413。
所以P(X > 110) = 1 - P(X ≤ 110) = 1 - 0.8413 = 0.1587。
5. 一批产品的质量服从正态分布,均值为μ,标准差为σ。
如果从中随机抽取一件产品,其质量在μ-σ和μ+σ之间的概率是多少?答:根据正态分布的性质,P(μ-σ < X < μ+σ) = P((X-μ)/σ < (μ+σ-μ)/σ < (X-μ)/σ) = P(-1 < Z < 1),其中Z为标准正态分布的随机变量。
查正态分布表可知,P(-1 < Z < 1) = 0.6826。
作业1.第25题设标准正态分布N(0,1)的分布函数为,则()(A)(B)-(C)1-(D)1+A.;B.;C.;D..标准答案:C您的答案:题目分数:1.0此题得分:0.02.第26题设P(B)>0,则在事件B已发生的条件下,事件A的条件概率定义为P(A│B)=( ) (A)(B)(C)P(A)P(B) (D)P(AB)P(B)A.;B.;C.;D..标准答案:B您的答案:题目分数:1.0此题得分:0.03.第27题设来自总体N(0,1)的简单随机样本,记,则=() (A)n(B)n-1(C)(D)A.见题B.见题C.见题D.见题标准答案:C您的答案:题目分数:1.0此题得分:0.04.第29题设样本X1,X2,...X n,来自正态总体X~N(),其中未知,样本均值为,则下列随机变量不是统计量的为()(A)(B)X1 (C)Min(X1,,...X n) (D)A.;B.;C.;D..标准答案:D您的答案:题目分数:1.0此题得分:0.05.第30题假设样本X1,X2,...X n来自总体X,则样本均值与样本方差S2=2独立的一个充分条件是总体X服从()。
A.二项分布B.几何分布C.正态分布D.指数分布标准答案:A您的答案:题目分数:1.0此题得分:0.06.第31题设A,B是两个随机事件,且,,,则必有()(A)(B)(C)(D)A.见题B.见题C.见题D.见题标准答案:C您的答案:题目分数:0.5此题得分:0.07.第32题设随机变量X~U(0,1),则它的方差为D(X)=()A.1/2B.1/3C.1/4D.1/12标准答案:D您的答案:题目分数:0.5此题得分:0.08.第33题设正态分布X~N(2),则P(│X-│>3)=( ) (A)0.5 (B)0.1 (C)0.05 (D)0.0027A.;B.;C.;D..标准答案:D您的答案:题目分数:0.5此题得分:0.09.第34题设来自总体的简单随机样本,则()(A)(B)(C)(D)A.见题B.见题C.见题D.见题标准答案:D您的答案:题目分数:0.5此题得分:0.010.第35题对于任意两事件A,B()(A)若,则A,B一定独立(B)若,则A,B有可能独立(C)若,则A,B一定独立(D)若,则A,B一定不独立A.见题B.见题C.见题D.见题标准答案:B您的答案:题目分数:0.5此题得分:0.011.第36题如果P(A)=0.5,P(B)=0.4,P(B│A)=0.6,则P(AB)=( )A.0.1B.0.2C.0.24D.0.3标准答案:D您的答案:题目分数:0.5此题得分:0.012.第37题某人向同一目标独立重复射击,每次射击命中目标的概率为,则此人第4次射击恰好第2次命中的概率为()(A)(B)(C)(D)A.见题B.见题C.见题D.见题标准答案:C您的答案:题目分数:0.5此题得分:0.013.第59题概率函数为P(X=k)=p K(1-p)1-K,k=0.1的分布称为( )(A)“0-1”分布(B)几何分布(C)超几何分布(D)泊松分布A.;B.;C.;D.。
标准答案:A您的答案:题目分数:1.0此题得分:0.014.第60题概率函数P(X=K)=,K=0,1,2....的分布称为()A.“0-1”分布B.几何分布C.二项分布D.泊松分布标准答案:D您的答案:题目分数:1.0此题得分:0.015.第61题设随机变量X的分布函数为,随机变量Y的分布函数为。
若X与Y独立,则最小值Z=min(X,Y)的分布函数是=()A.;B.;C.;D..标准答案:D题目分数:1.0此题得分:0.016.第62题设正态分布X~N(2),则P(│X-│>3)=( ) (A)0.5 (B)0.1 (C)0.05 (D)0.0027A.;B.;C.;D..标准答案:D您的答案:题目分数:1.0此题得分:0.017.第65题设随机变量X的概率密度为,则必有()(A)(B)(C)(D)A.见题B.见题C.见题D.见题标准答案:B您的答案:题目分数:0.518.第66题设随机变量X的分布函数为,随机变量Y的分布函数为。
若X与Y独立,则最小值Z=min(X,Y)的分布函数是=()A.;B.;C.;D..标准答案:D您的答案:题目分数:0.5此题得分:0.019.第67题概率函数为P(X=k)=p K(1-p)1-K,k=0.1的分布称为( )(A)“0-1”分布(B)几何分布(C)超几何分布(D)泊松分布A.;B.;C.;D..标准答案:A您的答案:题目分数:1.0此题得分:0.020.第68题设随机变量X~e(1),Y~e(2),且X与Y相互独立。
令Z的方差为D(Z)=( )A.5/4B.3/4C.5D.3/2标准答案:A您的答案:题目分数:1.0此题得分:0.021.第69题假设样本X1,X2,...X n来自总体X~U(0,),则样本均值的数学期望等于()(A)(B)/2 (C)2/3 (D)3/4A.;B.;C.;D..标准答案:B您的答案:题目分数:0.5此题得分:0.022.第70题设A,B是两随机事件,且,则下列结论中正确的是( )(A).(B).(C).(D).A.见题B.见题C.见题D.见题标准答案:A您的答案:题目分数:0.5此题得分:0.023.第71题概率函数P(X=K)=,K=0,1,2....的分布称为()A.“0-1”分布B.几何分布C.二项分布D.泊松分布标准答案:D您的答案:题目分数:0.5此题得分:0.024.第72题设样本X1,X2,...X n,来自正态总体X~N(),其中未知,样本均值为,则下列随机变量不是统计量的为()(A)(B)X1 (C)Min(X1,,...X n) (D)A.;B.;C.;D..标准答案:A您的答案:题目分数:0.5此题得分:0.025.第73题如果样本空间只包含有限个不同的基本事件,并且每个基本事件出现的可能性相等,那么这样的概率模型称为()A.古典概型B.几何概型C.伯努利概型D.统计概型标准答案:A您的答案:题目分数:0.5此题得分:0.026.第39题如果X与Y 线性无关,那么X与Y 相互独立。
标准答案:0您的答案:题目分数:0.5此题得分:0.027.第40题如果二维随机变量(X,Y)~N(2x,2y,r),则X与Y相互独立的充分必要条件是r=0,即X与Y线性无关。
标准答案:1您的答案:题目分数:0.5此题得分:0.028.第41题设简单随机样本X1,X2,...X n来自总体X,则样本均值与样本方差S2=2相互独立。
标准答案:0您的答案:题目分数:0.5此题得分:0.029.第42题概率的一般加法公式为:P(A B)=P(A)+P(B)-P(AB)标准答案:1您的答案:题目分数:0.5此题得分:0.030.第43题概率论研究随机现象的统计规律性。
标准答案:1您的答案:题目分数:0.5此题得分:0.031.第44题离散随机变量的方差一定存在。
标准答案:0您的答案:题目分数:0.5此题得分:0.032.第45题设连续随机变量X的概率密度为,则随机变量函数Y=g(X)的数学期望为E(Y)=标准答案:0您的答案:题目分数:0.5此题得分:0.033.第46题设随机变量X与Y独立,且X~N(),Y~N(),则他们的差Z=X-Y~N()标准答案:0您的答案:题目分数:0.5此题得分:0.034.第47题概率论研究随机现象的统计规律性。
标准答案:1您的答案:题目分数:0.5此题得分:0.035.第48题概率的乘法公式为P(AB)=P(B)P(A│B)标准答案:0您的答案:题目分数:0.5此题得分:0.036.第49题如果X与Y 线性无关,那么X与Y 相互独立。
标准答案:0您的答案:题目分数:0.5此题得分:0.037.第50题设二维连续随机变量(X,Y)的联合概率密度为f(,y),X,Y的边缘概率密度分别为f(,y)=f X()f Y(y), <,y<,则X与Y独立。
标准答案:1您的答案:题目分数:0.5此题得分:0.038.第74题设连续随机变量X的概率密度为f(x),则随机变量X的数学期望为E(X)=标准答案:0您的答案:题目分数:0.5此题得分:0.039.第75题概率的一般加法公式为:P(A B)=P(A)+P(B)-P(AB)标准答案:1您的答案:题目分数:0.5此题得分:0.040.第76题简单随机样本X1,X2,...X n,是指样本X1,X2,...X n相互独立,并与总体X同分布。
标准答案:1您的答案:题目分数:0.5此题得分:0.041.第77题设连续随机变量X的概率密度为,则随机变量函数Y=g(X)的数学期望为E(Y)=标准答案:0您的答案:题目分数:0.5此题得分:0.042.第78题二维连续随机变量(X,Y)的联合概率密度为f(x,y),则Y 的边缘概率密度为标准答案:1您的答案:题目分数:0.5此题得分:0.043.第85题设简单随机样本X1,X2,...X n来自总体X,则样本均值与样本方差S2=2相互独立。
标准答案:0您的答案:题目分数:0.5此题得分:0.044.第86题设连续随机变量X的概率密度为f(x),则随机变量X的数学期望为E(X)=标准答案:0您的答案:题目分数:0.5此题得分:0.045.第87题设随机变量X~N(),Y~N( ),则他们的和Z=X+Y~N()。
标准答案:0您的答案:题目分数:0.5此题得分:0.046.第88题统计量就是不含任何未知量的样本的函数。
标准答案:1您的答案:题目分数:0.5此题得分:0.047.第91题如果事件B与事件A独立,那么B的对立事件也与A独立。
标准答案:0您的答案:题目分数:0.5此题得分:0.048.第92题设二维连续随机变量(X,Y)的联合概率密度为f(x,y),则(X,Y)落在平面某可测区域R 的概率为。
标准答案:1您的答案:题目分数:0.5此题得分:0.049.第93题设二维连续随机变量(X,Y)的联合概率密度为,则随机变量函数Z=g(X,Y)的数学期望是标准答案:0您的答案:题目分数:0.5此题得分:0.050.第94题设离散随机变量X的概率函数为P(X=)=,则随机变量X的数学期望为标准答案:0您的答案:题目分数:0.5此题得分:0.051.第13题如果P(A)=0.1,则P()=( )标准答案:0.9您的答案:题目分数:1.0此题得分:0.052.第14题在N个产品中有M个次品,则在有放回抽样的条件下,任取n个产品有有m个次品的概率为()标准答案:您的答案:题目分数:1.0此题得分:0.053.第15题设连续随机变量X的概率密度为f(x),则对( )标准答案:您的答案:题目分数:1.0此题得分:0.054.第16题设样本X1,X2,...X n,来自正态总体X~N(2),,样本均值为,样本方差为S2=2,则服从的分布是()标准答案:您的答案:题目分数:1.0此题得分:0.055.第17题设,且,则=______.标准答案:0.3您的答案:题目分数:1.0此题得分:0.056.第18题假设总体X~N(2),抽取样本X1,X2,...X n,则样本均值的方差等于()标准答案:您的答案:题目分数:1.0此题得分:0.057.第19题设离散随机变量X的概率函数为P(X=x i)=p i,i=1,...变量函数Y=g(X)的数学期望为E(Y)=( )标准答案:您的答案:题目分数:1.0此题得分:0.058.第20题设随机变量X~e(1),Y~e(2)。