江苏省2008-2016年普通高校招生录取最低控制分数线
- 格式:doc
- 大小:240.00 KB
- 文档页数:21
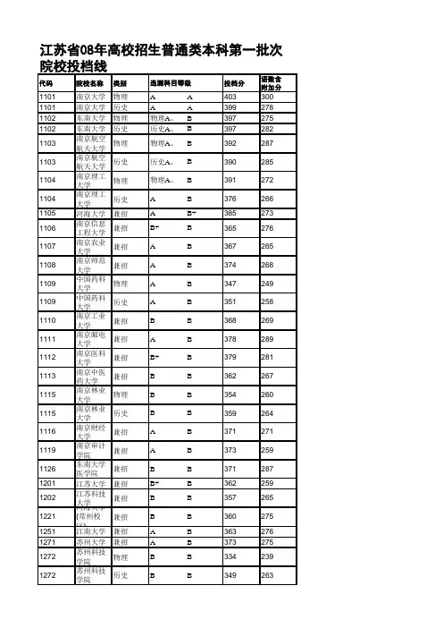
江苏省教育考试院江苏省08年高招普通类本科第一批次院校投档线江苏省08年高校招生普通类本科第一批次院校投档线代码院校名称类别选测科目等级投档分语数含????? 附加分1101 南京大学物理 A? A? 403 3001101 南京大学历史 A? A? 399 2781102 东南大学物理物理A、? B? 397 2751102 东南大学历史历史A、? B? 397 2821103 南京航空航天大学物理物理A、? B? 392 2871103 南京航空航天大学历史历史A、? B? 390 2851104 南京理工大学物理物理A、? B? 391 2721104 南京理工大学历史 A? B? 376 2661105 河海大学兼招 A? B+? 385 2731106 南京信息工程大学兼招 B+? B? 365 2761107 南京农业大学兼招 A? B? 367 2651108 南京师范大学兼招 A? B? 374 2681109 中国药科大学物理 A? B? 347 2491109 中国药科大学历史 A? B? 351 2581110 南京工业大学兼招 B? B? 368 2691111 南京邮电大学兼招 A? B? 378 2891112 南京医科大学兼招 B+? B? 379 2811113 南京中医药大学兼招 B? B? 362 2671115 南京林业大学物理 B? B? 354 2601115 南京林业大学历史 B? B? 359 2641116 南京财经大学兼招 A? B? 371 2711119 南京审计学院兼招 A? B? 373 2591126 东南大学医学院兼招 B? B? 371 2871201 江苏大学兼招 B+? B? 362 2591202 江苏科技大学兼招 B? B? 357 2651221 河海大学(常州校区) 兼招 B? B? 360 275 1251 江南大学兼招 A? B? 363 2761271 苏州大学兼招 A? B? 373 2751272 苏州科技学院物理 B? B? 334 2391272 苏州科技学院历史 B? B? 349 2631291 南通大学物理 B+? B? 341 2641291 南通大学历史 B+? B? 352 2531321 中国矿业大学物理 B+? B+? 345 2571321 中国矿业大学历史 B+? B+? 346 2481323 徐州医学院物理 B+? B? 367 2681361 扬州大学物理 B+? B? 352 2571361 扬州大学历史 B+? B? 362 2741761 扬州大学物理 B? B? 343 2552101 复旦大学物理 A+? A? 418 2962101 复旦大学历史 A+? A? 410 2992102 同济大学物理物理A、? B? 398 2942102 同济大学历史 B? B? 368 2642103 上海交通大学物理 A? A? 415 2952104 华东理工大学兼招 A? A? 384 2802105 东华大学兼招 B? B? 376 2782106 华东师范大学物理 B? B? 390 2812106 华东师范大学历史 B? B? 390 2722107 华东政法大学物理 B? B? 390 2932107 华东政法大学历史 B? B? 390 2762109 上海外国语大学兼招 B? B? 399 2892110 上海财经大学兼招 B? B? 409 2992112 上海大学兼招 B? B? 378 2762113 上海中医药大学物理 B+? B? 354 2582114 上海对外贸易学院物理 B? B? 389 291 2114 上海对外贸易学院历史 B? B? 384 282 2115 上海理工大学物理 B? B? 375 2742117 上海海事大学物理 b+? b? 380 2832117 上海海事大学历史 B+? B? 379 2722139 上海交通大学医学院物理 A? A? 398 285 2201 浙江大学物理 A? A? 410 2932204 浙江工业大学物理 B? B? 370 2732204 浙江工业大学历史 B? B? 347 2582207 浙江工商大学物理 B? B? 372 2792207 浙江工商大学历史 B? B? 370 2782221 宁波大学物理 B? B? 363 2642221 宁波大学历史 B? B? 366 2752301 中国科学技术大学物理 A? A? 410 291 2302 合肥工业大学物理 B+? B+? 343 240 2303 安徽大学物理 B? B? 364 2782303 安徽大学历史 B? B? 364 2622304 安徽医科大学物理 B? B? 378 2722401 福州大学物理 B? B? 362 2692401 福州大学历史 B? B? 364 2652411 厦门大学物理 A? A? 391 2892411 厦门大学历史 A? A? 393 2872501 江西财经大学兼招 A? B? 371 2642505 南昌大学物理 A? B+? 363 2662505 南昌大学历史 A? B+? 366 2632601 山东大学物理 B? B? 387 2932601 山东大学历史 B? B? 380 2762621 中国海洋大学物理 A? B? 367 2732621 中国海洋大学历史 A? B? 363 2572624 青岛大学兼招 B? B? 367 2682641 中国石油大学(华东) 物理物理A、? B? 352 257 2661 山东大学威海分校物理 A? B? 362 2692661 山东大学威海分校历史 A B? 364 2762662 哈尔滨工业大学(威海)物理 A B? 371 2723101 北京大学物理 A+ A+ 424 3073101 北京大学历史 A+ A+ 4153102 中国人民大学物理 A+? A? 413 2943102 中国人民大学历史 A+? A? 403 2853103 清华大学物理物理A+、 A 4253103 清华大学历史 A+ A 4163104 北京师范大学物理 A? A? 367 2663104 北京师范大学历史 A? A? 373 2553105 北京交通大学物理 A? B+? 382 2773106 北京航空航天大学物理物理A+、 A? 398 295 3107 北京理工大学物理物理A、? B+? 386 2883107 北京理工大学历史历史A、? B+? 368 2583108 北京科技大学物理 A? A? 381 2743109 北京化工大学物理 B? B? 340 2443110 中国农业大学物理 A? B? 377 2683111 中国地质大学(北京) 物理 A? B? 361 2683111 中国地质大学(北京) 历史 A? B? 362 2653112 中国政法大学兼招 B+? B+? 390 2813113 北京邮电大学物理 A? A? 391 2913113 北京邮电大学历史 A? A? 366 2613114 北京林业大学物理 B? B? 362 2703114 北京林业大学历史 B? B? 363 2713115 北京大学医学部物理 A? A? 417 3143116 北京外国语大学兼招物理或历史A、? B? 401 294 3117 北京语言大学兼招 B+? B? 388 2823118 中国石油大学(北京) 物理 A? A? 372 2733118 中国石油大学(北京) 历史 A? A? 373 2703119 对外经济贸易大学物理 A? B+? 399 2923119 对外经济贸易大学历史 A? B+? 396 2803120 中央财经大学物理 B+? B+? 402 2953120 中央财经大学历史 B+? B+? 399 2913121 北京中医药大学物理 A? A? 339 2303121 北京中医药大学历史 A? A? 354 2553122 中国矿业大学(北京) 物理 A? B? 363 2713122 中国矿业大学(北京) 历史 A? B? 353 2513123 中国传媒大学物理物理A、? B? 380 2753123 中国传媒大学历史历史A、? B? 383 2793127 北京体育大学物理 B? B? 351 2563127 北京体育大学历史 B? B? 358 2613128 华北电力大学(北京) 物理 A? A? 382 2803128 华北电力大学(北京) 历史 A? A? 370 272 3129 中央民族大学兼招 B? B? 365 2633130 北京协和医学院物理 B? B? 365 2683132 北京第二外国语学院兼招 B? B? 386 282 3133 首都师范大学兼招 A? A? 375 2733134 北京工业大学物理 A? B? 370 2723134 北京工业大学历史 A? B? 360 2563135 首都医科大学物理 B+? B+? 358 2603142 北京工商大学兼招 B+? B+? 376 2803201 南开大学物理 A? B+? 398 2893202 天津大学物理 A? A? 391 2803203 天津医科大学物理 B? B? 370 2763212 天津中医药大学物理 B? B? 363 2653301 石家庄铁道学院物理 B? B? 349 2473301 石家庄铁道学院历史 B? B? 344 2533307 河北工业大学物理 B? B? 357 2603311 华北电力大学(保定) 物理 A? A? 371 283 3311 华北电力大学(保定) 历史 A? A? 354 263 3313 河北医科大学物理 B? B? 377 2843321 燕山大学物理 B+? B+? 340 2373322 东北大学秦皇岛分校物理 B+? B? 338 241 3401 山西大学物理物理A、? B? 348 2513401 山西大学历史历史A、? B? 351 253 3402 中北大学物理 B? B? 353 2723405 太原理工大学物理 B? B? 352 2633501 内蒙古大学历史 B+? B+? 356 2474101 东北大学物理物理A、? B? 356 255 4102 辽宁大学物理物理A、? B? 348 259 4102 辽宁大学历史历史A、? B? 356 266 4103 中国医科大学物理 B+? B+? 348 248 4104 沈阳药科大学物理 A? B? 347 2564105 沈阳农业大学物理 B? B? 342 2494131 大连理工大学物理 A? A? 377 2754132 大连海事大学物理 A? A? 371 2794132 大连海事大学历史 A? A? 372 2784133 东北财经大学兼招 A? A? 385 2684134 大连医科大学物理 B? B? 374 2764161 辽宁工程技术大学兼招 B? B? 342 239 4201 吉林大学物理物理A、? B+? 339 240 4202 东北师范大学物理 A? B? 356 2574202 东北师范大学历史 A? B? 359 2554208 长春理工大学兼招 B? B? 342 2434301 哈尔滨工业大学物理 A? A? 390 285 4302 哈尔滨工程大学物理 A? B+? 371 2654302 哈尔滨工程大学历史 A? B+? 358 2554303 东北林业大学物理 B+? B+? 350 2474303 东北林业大学历史 B+? B+? 352 2574304 东北农业大学物理 A? B? 350 2694305 黑龙江中医药大学物理 B? B? 359 269 4309 哈尔滨医科大学物理 B? B? 372 2744321 大庆石油学院物理 B? B? 345 2544371 延边大学物理 B? B? 349 2594371 延边大学历史 B? B? 345 2535101 郑州大学物理 A? B? 350 2455101 郑州大学历史 A? B? 356 2555201 武汉大学物理 A? B+? 391 2965201 武汉大学历史 A? B+? 391 2805202 华中科技大学物理 A? B+? 388 2835202 华中科技大学历史 A? B+? 371 2775203 华中师范大学物理 A? B? 357 2565203 华中师范大学历史 A? B? 364 2675204 华中农业大学物理 B+? B? 340 2485204 华中农业大学历史 B+? B? 359 2695205 中国地质大学(武汉) 兼招 A? B? 359 255 5206 中南财经政法大学兼招 A? B? 383 278 5207 武汉理工大学物理 A? B? 372 2755207 武汉理工大学历史 A? B? 346 2585209 湖北大学物理 B+? B? 347 2605209 湖北大学历史 B+? B? 357 2655211 湖北中医学院物理 B? B? 355 2545217 武汉科技大学物理 B+? B? 361 2775217 武汉科技大学历史 B+? B? 345 2575301 湖南大学物理 B+? B+? 362 2535301 湖南大学历史 B+? B+? 370 2775302 中南大学物理 A? A? 373 2865303 湖南师范大学物理 B? B+? 348 2635303 湖南师范大学历史 B? B+? 352 2585304 湖南中医药大学物理 B? B? 363 261 5323 湘潭大学物理 B+? B? 340 2545323 湘潭大学历史 B+? B? 358 2515401 中山大学物理 A? A? 386 2765401 中山大学历史 A? A? 387 2865402 华南理工大学物理 A? A? 375 2745403 华南农业大学物理 B? B? 341 2415403 华南农业大学历史 B? B? 358 2605404 广东外语外贸大学物理 A? B? 357 255 5404 广东外语外贸大学历史 A? B? 378 272 5407 暨南大学兼招 A? B? 372 2705420 广州中医药大学物理 A? B+? 357 258 5421 汕头大学兼招 B? B? 349 2495422 南方医科大学兼招 B? B? 367 2755451 深圳大学兼招 B? B? 366 2665501 广西大学物理 B? B? 351 2516101 四川大学物理 A? A? 380 2776101 四川大学历史 A? A? 382 2606102 西南交通大学物理 A? B? 361 2696102 西南交通大学历史 A? B? 353 2626103 西南财经大学物理 A? B? 377 2816103 西南财经大学历史 A? B? 379 2706104 电子科技大学物理 A? A? 374 2796111 成都中医药大学物理 B? B? 357 257 6201 重庆大学物理物理A、? B+? 357 268 6201 重庆大学历史历史A、? B+? 369 261 6202 西南大学物理 B+? B? 351 2616202 西南大学历史 B+? B? 362 2636203 西南政法大学物理 A? B? 352 2476203 西南政法大学历史 A? B? 373 2666205 重庆医科大学物理 B+? B+? 350 255 6209 重庆邮电大学物理 A? B? 362 2676301 贵州大学物理 B? B? 341 2416301 贵州大学历史 B? B? 346 2486401 云南大学物理 B? B? 364 2726401 云南大学历史 B? B? 357 2577101 西北大学物理 B? B? 362 2687101 西北大学历史 B? B? 364 2567102 西北工业大学物理 A? A? 382 2767102 西北工业大学历史 A? A? 352 2347103 陕西师范大学物理 B? B? 356 2717103 陕西师范大学历史 B? B? 353 2597104 西安交通大学物理 A? A? 394 2837104 西安交通大学历史 B? A? 354 2607105 西安电子科技大学物理 A? B? 368 279 7107 长安大学物理 B? B? 354 2657107 长安大学历史 B? B? 350 2477108 西安建筑科技大学物理 B? B? 355 263 7141 西北农林科技大学物理 A? B? 342 246 7141 西北农林科技大学历史 A? B? 351 256 7151 陕西科技大学物理 B? B? 345 2637151 陕西科技大学历史 B? B? 351 2497201 兰州大学物理 B+? B+? 351 2637201 兰州大学历史 B+? B+? 359 2697501 新疆大学物理 B? B? 339 2369001 西交利物浦大学物理 B? B? 343 2439001 西交利物浦大学历史 B? B? 345 2619224 宁波诺丁汉大学物理 B? B+? 355 2519224 宁波诺丁汉大学历史 B? B+? 358 245 说明:在普通类投档过程中对投档分相同的考生,按其内容仅供参考。
注:一、艺术类校考本科专业录取最低控制分数线:
1.29所独立设置本科艺术院校和清华大学等13所院校艺术类本科专业的录取最低控制分数线由各校自行划定。
2.除29所独立设置本科艺术院校和清华大学等13所院校以外的其他院校本科校考专业的省最低控制分数线:公办、民办均为文化188分/专业合格。
其中,取得音乐学、绘画、中国画、美术学、视觉传达设计、环境设计、产品设计、服装与服饰设计专业校考合格考生,还须参加相应专业省统考,且美术省统考成绩须达到150分,音乐省统考成绩须达到115分。
注:体育类、艺术类考生七门必测科目等级中D级不超过3门,体育类文化222分/专业100分以上、美术省统考文化205分/专业160分以上、音乐省统考(声乐、器乐)文化178分/专业130分以上、编导联考文化230分/专业180分以上、艺术校考文化178分/专业合格(报考29所独立设置本科艺术院校和清华大学等13所院校艺术类本科专业不受此限制),方可填报第一阶段高考志愿。
2016年的江苏中考各校录取分数线2016年江苏中考各校录取分数线,分数线查询公布2016年江苏各地市中考成绩及分数线已经公布,江苏中考已经进入录取阶段,小编整理了江苏各地市中考分数线,详情如下:2016年苏州中考录取分数线苏州市区中考提前批次录取分数线苏州中学提前批次录取最低分为670分,苏州幼儿师范学校学前教育和免费男生的录取最低分分别为638分和630分。
苏州市第六中学表演专业的最低分高达678分,音乐和美术专业则分别为624分、631分。
苏州市第四中学空中乘务方向为572分,航空服务方向为596分。
2016年苏州中考自主招生录取分数线为604分。
2016年盐城中考录取分数线学校分数线备注江苏省盐城中学(面向市区)686分(非定向生分数线)三校投档控制线655分675分(录取线)盐城市第一中学(面向市区)655分(第一志愿)655分(第二志愿)655分(服从调剂志愿)亭湖高级中学655分(第一志愿)665分(第二志愿)盐城市高级实验中学(民办)630分国际班587分2016年徐州中考录取分数线学校名称A志愿投档线平行志愿投档线徐州一中655.5641.5徐州三中629.5620徐州高级中学605605.5徐州三十六中588.5586.5侯集中学629618徐州二中582578.5郑集中学602.5郑集高级中学城区学校597.5棠张中学562.5中国矿业大学附属中学实验班576徐州经济技术开发区高级中学启东班584江苏师大附属实验学校(贾汪)570.5徐州京师未来实验学校490 2016年南通中考录取分数线2016年南通市区普通高中录取分数线学校代码 9901 9902 9903 9905 9906 9907 9908学校名称南通中学南通一中田家炳中学南通市二中通大附中小海中学天星湖中学总分 679.5 661.5 613 592 634.5576.5 631.5语数外 395 383 359.5 348.5 375 316 361.5语数 252.5 246 232.5 218 238.5 208 243数学 124 125 116 102.5 119.5 104 131备注最低总分同分的考生需比语数外,语数外仍相同比语数,语数仍相同比数学2016年镇江中考录取分数线2016年镇江市区第一批次(热点普通高中)分数线划定:江苏省镇江中学569分江苏省镇江第一中学573分。
江苏历年高考录取分数线江苏历年高考录取分数线(2008年-2021年)2008年江苏高考录取分数线(文科):一本线:545分二本线:500分2008年江苏高考录取分数线(理科):一本线:561分二本线:510分2009年江苏高考录取分数线(文科):一本线:545分二本线:502分2009年江苏高考录取分数线(理科):一本线:560分二本线:510分2010年江苏高考录取分数线(文科):一本线:547分二本线:506分2010年江苏高考录取分数线(理科):一本线:562分二本线:511分一本线:550分二本线:505分2011年江苏高考录取分数线(理科):一本线:560分二本线:510分2012年江苏高考录取分数线(文科):一本线:547分二本线:502分2012年江苏高考录取分数线(理科):一本线:558分二本线:507分2013年江苏高考录取分数线(文科):一本线:548分二本线:503分2013年江苏高考录取分数线(理科):一本线:561分二本线:506分2014年江苏高考录取分数线(文科):一本线:549分二本线:503分一本线:561分二本线:504分2015年江苏高考录取分数线(文科):一本线:551分二本线:507分2015年江苏高考录取分数线(理科):一本线:562分二本线:509分2016年江苏高考录取分数线(文科):一本线:551分二本线:508分2016年江苏高考录取分数线(理科):一本线:560分二本线:510分2017年江苏高考录取分数线(文科):一本线:550分二本线:506分2017年江苏高考录取分数线(理科):一本线:559分二本线:510分一本线:547分二本线:501分2018年江苏高考录取分数线(理科):一本线:557分二本线:504分2019年江苏高考录取分数线(文科):一本线:551分二本线:507分2019年江苏高考录取分数线(理科):一本线:558分二本线:510分2020年江苏高考录取分数线(文科):一本线:551分二本线:507分2020年江苏高考录取分数线(理科):一本线:558分二本线:510分2021年江苏高考录取分数线(文科):一本线:551分二本线:507分一本线:558分二本线:510分。
代码院校名称类别投档分语数含附加分1101南京大学物理A A 4033001101南京大学历史AA 3992781102东南大学物理物理A 、B 3972751102东南大学历史历史A 、B 3972821103南京航空航天大学物理物理A 、B 3922871103南京航空航天大学历史历史A 、B 3902851104南京理工大学物理物理A 、B 3912721104南京理工大学历史A B 3762661105河海大学兼招A B+3852731106南京信息工程大学兼招B+B 3652761107南京农业大学兼招A B 3672651108南京师范大学兼招A B 3742681109中国药科大学物理A B 3472491109中国药科大学历史A B 3512581110南京工业大学兼招B B 3682691111南京邮电大学兼招A B 3782891112南京医科大学兼招B+B 3792811113南京中医药大学兼招B B 3622671115南京林业大学物理B B 3542601115南京林业大学历史B B 3592641116南京财经大学兼招A B 3712711119南京审计学院兼招A B 3732591126东南大学医学院兼招B B 3712871201江苏大学兼招B+B 3622591202江苏科技大学兼招B B 3572651221河海大学(常州校兼招B B 3602751251江南大学兼招A B 3632761271苏州大学兼招A B 3732751272苏州科技学院物理B B 3342391272苏州科技BB349263江苏省08年高校招生普通类本科第一批次院校投档线选测科目等级1291南通大学物理B+B341264 1291南通大学历史B+B3522531321中国矿业大学物理B+B+3452571321中国矿业大学历史B+B+3462481323徐州医学院物理B+B3672681361扬州大学物理B+B352257 1361扬州大学历史B+B362274 1761扬州大学物理B B343255 2101复旦大学物理A+A418296 2101复旦大学历史A+A410299 2102同济大学物理物理A、B398294 2102同济大学历史B B3682642103上海交通大学物理A A4152952104华东理工大学兼招A A384280 2105东华大学兼招B B3762782106华东师范大学物理B B3902812106华东师范大学历史B B3902722107华东政法大学物理B B3902932107华东政法大学历史B B3902762109上海外国语大学兼招B B3992892110上海财经大学兼招B B409299 2112上海大学兼招B B3782762113上海中医药大学物理B+B3542582114上海对外贸易学院物理B B3892912114上海对外贸易学院历史B B3842822115上海理工大学物理B B3752742117上海海事大学物理B+B3802832117上海海事大学历史B+B3792722139上海交通大学医学物理A A398285 2201浙江大学物理A A4102932204浙江工业大学物理B B3702732204浙江工业大学历史B B3472582207浙江工商大学物理B B3722792207浙江工商大学历史B B370278 2221宁波大学物理B B3632642301中国科学技术大学物理A A4102912302合肥工业大学物理B+B+343240 2303安徽大学物理B B364278 2303安徽大学历史B B3642622304安徽医科大学物理B B378272 2401福州大学物理B B362269 2401福州大学历史B B364265 2411厦门大学物理A A391289 2411厦门大学历史A A3932872501江西财经大学兼招A B371264 2505南昌大学物理A B+363266 2505南昌大学历史A B+366263 2601山东大学物理B B387293 2601山东大学历史B B3802762621中国海洋大学物理A B3672732621中国海洋大学历史A B3632572624青岛大学兼招B B3672682641中国石油大学(华物理物理A、B3522572661山东大学威海分校物理A B3622692661山东大学威海分校历史A B3642762662哈尔滨工业大学(威海)物理A B3712723101北京大学物理A+A+424307 3101北京大学历史A+A+4153102中国人民大学物理A+A4132943102中国人民大学历史A+A403285 3103清华大学物理物理A+、A4253103清华大学历史A+A4163104北京师范大学物理A A3672663104北京师范大学历史A A3732553105北京交通大学物理A B+3822773106北京航空航天大学物理物理A+、A3982953107北京理工大学物理物理A、B+3862883107北京理工大学历史历史A、B+3682583108北京科技大学物理A A381274 3109北京化工物理B B3402443110中国农业大学物理A B3772683111中国地质大学(北物理A B3612683111中国地质大学(北历史A B3622653112中国政法大学兼招B+B+3902813113北京邮电大学物理A A3912913113北京邮电大学历史A A3662613114北京林业大学物理B B3622703114北京林业大学历史B B3632713115北京大学医学部物理A A4173143116北京外国语大学兼招物理或历史A、B4012943117北京语言大学兼招B+B3882823118中国石油大学(北物理A A3722733118中国石油大学(北历史A A3732703119对外经济贸易大学物理A B+3992923119对外经济贸易大学历史A B+3962803120中央财经大学物理B+B+4022953120中央财经大学历史B+B+3992913121北京中医药大学物理A A3392303121北京中医药大学历史A A3542553122中国矿业大学(北物理A B3632713122中国矿业大学(北历史A B3532513123中国传媒大学物理物理A、B3802753123中国传媒大学历史历史A、B3832793127北京体育大学物理B B3512563127北京体育大学历史B B3582613128华北电力大学(北物理A A3822803128华北电力大学(北历史A A3702723129中央民族大学兼招B B365263 3130北京协和物理B B3652683132北京第二外国语学兼招B B3862823133首都师范大学兼招A A3752733134北京工业大学物理A B3702723134北京工业大学历史A B3602563135首都医科大学物理B+B+3582603142北京工商大学兼招B+B+376280 3201南开大学物理A B+398289 3202天津大学物理A A3912803203天津医科大学物理B B3702763212天津中医药大学物理B B3632653301石家庄铁道学院物理B B3492473301石家庄铁道学院历史B B3442533307河北工业大学物理B B3572603311华北电力大学(保物理A A3712833311华北电力大学(保历史A A3542633313河北医科大学物理B B3772843321燕山大学物理B+B+3402373322东北大学秦皇岛分物理B+B338241 3401山西大学物理物理A、B348251 3401山西大学历史历史A、B351253 3402中北大学物理B B3532723405太原理工大学物理B B3522633501内蒙古大学历史B+B+3562474101东北大学物理物理A、B356255 4102辽宁大学物理物理A、B348259 4102辽宁大学历史历史A、B3562664103中国医科大学物理B+B+3482484104沈阳药科大学物理A B3472564105沈阳农业大学物理B B3422494131大连理工大学物理A A3772754132大连海事大学物理A A3712794132大连海事大学历史A A3722784133东北财经大学兼招A A3852684161辽宁工程技术大学兼招B B3422394201吉林大学物理物理A、B+3392404202东北师范大学物理A B3562574202东北师范大学历史A B3592554208长春理工大学兼招B B3422434301哈尔滨工业大学物理A A3902854302哈尔滨工程大学物理A B+3712654302哈尔滨工程大学历史A B+3582554303东北林业大学物理B+B+3502474303东北林业大学历史B+B+3522574304东北农业大学物理A B3502694305黑龙江中医药大学物理B B3592694309哈尔滨医科大学物理B B3722744321大庆石油学院物理B B345254 4371延边大学物理B B349259 4371延边大学历史B B345253 5101郑州大学物理A B350245 5101郑州大学历史A B356255 5201武汉大学物理A B+391296 5201武汉大学历史A B+3912805202华中科技大学物理A B+3882835202华中科技大学历史A B+3712775203华中师范大学物理A B3572565203华中师范大学历史A B3642675204华中农业大学物理B+B3402485204华中农业大学历史B+B3592695205中国地质大学(武兼招A B3592555206中南财经政法大学兼招A B3832785207武汉理工大学物理A B3722755207武汉理工大学历史A B3462585209湖北大学物理B+B347260 5209湖北大学历史B+B357265 5211湖北中医物理B B3552545217武汉科技物理B+B361277大学5217武汉科技历史B+B345257大学5301湖南大学物理B+B+362253 5301湖南大学历史B+B+370277 5302中南大学物理A A373286 5303湖南师范物理B B+348263大学5303湖南师范历史B B+352258大学5304湖南中医物理B B363261药大学5323湘潭大学物理B+B340254 5323湘潭大学历史B+B358251 5401中山大学物理A A386276 5401中山大学历史A A387286 5402华南理工物理A A375274大学5403华南农业物理B B341241大学5403华南农业历史B B358260大学5404广东外语物理A B357255外贸大学5404广东外语历史A B378272外贸大学5407暨南大学兼招A B372270 5420广州中医物理A B+357258药大学5421汕头大学兼招B B349249 5422南方医科兼招B B367275大学5451深圳大学兼招B B366266 5501广西大学物理B B351251 6101四川大学物理A A380277 6101四川大学历史A A382260 6102西南交通物理A B361269大学6102西南交通历史A B353262大学6103西南财经物理A B377281大学6103西南财经历史A B379270大学6104电子科技物理A A374279大学6111成都中医物理B B357257药大学6201重庆大学物理物理A、B+357268 6201重庆大学历史历史A、B+369261 6202西南大学物理B+B351261 6202西南大学历史B+B362263 6203西南政法物理A B352247大学6205重庆医科物理B+B+350255大学6209重庆邮电物理A B362267大学6301贵州大学物理B B341241 6301贵州大学历史B B346248 6401云南大学物理B B364272 6401云南大学历史B B357257 7101西北大学物理B B362268 7101西北大学历史B B364256 7102西北工业物理A A382276大学7102西北工业历史A A352234大学7103陕西师范物理B B356271大学7103陕西师范历史B B353259大学7104西安交通物理A A394283大学7104西安交通历史B A354260大学7105西安电子物理A B368279科技大学7107长安大学物理B B354265 7107长安大学历史B B350247 7108西安建筑物理B B355263科技大学7141西北农林物理A B342246科技大学7141西北农林历史A B351256科技大学7151陕西科技物理B B345263大学7151陕西科技历史B B351249大学7201兰州大学物理B+B+351263 7201兰州大学历史B+B+359269 7501新疆大学物理B B339236 9001西交利物物理B B343243浦大学9001西交利物历史B B345261浦大学9224宁波诺丁物理B B+355251汉大学9224宁波诺丁历史B B+358245汉大学。
2008年江苏二本投档线(录取分数线)号院校名称类别投档分选测等级语数含附加分0104 解放军理工大学物理369 物理B+、B 277 0306 中国民用航空飞行学院物理345 B+B+ 258 0306 中国民用航空飞行学院历史342 B+B+ 256 1106 南京信息工程大学兼招357 BB 250 1108 南京师范大学兼招356 BB 258 1110 南京工业大学兼招354 BB 256 1111 南京邮电大学兼招360 B+B 258 1112 南京医科大学兼招344 BB 252 1113 南京中医药大学兼招350 BB 241 1114 南京工程学院兼招355 BB 263 1115 南京林业大学历史350 BB 257 1115 南京林业大学物理350 BB 253 1116 南京财经大学兼招358 B+B 270 1117 南京体育学院兼招319 BB 237 1119 南京审计学院兼招356 BB 256 1120 南京晓庄学院兼招342 BB 2551121 南京师范大学浦口校区(与江苏教育学院联合办学)兼招335 BB 2421122 江苏警官学院兼招333 BB 245 1123 南京人口管理干部学院历史336 BB 250 1123 南京人口管理干部学院物理336 BB 246 1125 南京师范大学人民武装学院兼招女327 BB 245 1125 南京师范大学人民武装学院兼招男319 BB 237 1126 东南大学医学院兼招352 BB 262 1128 金陵科技学院兼招348 BB 256 1201 江苏大学兼招349 BB 263 1202 江苏科技大学兼招347 BB 261 1221 河海大学(常州校区) 兼招356 BB 249 1222 江苏工业学院历史343 BB 240 1222 江苏工业学院物理341 BB 250 1223 常州工学院兼招343 BB 2491224 江苏技术师范学院历史338 BB 241 1224 江苏技术师范学院物理335 BB 246 1251 江南大学历史341 BB 240 1251 江南大学物理340 BB 256 1271 苏州大学物理353 BB 273 1271 苏州大学历史355 BB 253 1272 苏州科技学院历史351 BB 253 1272 苏州科技学院物理351 BB 253 1274 常熟理工学院兼招339 BB 2431275 江苏科技大学 (张家港校区)兼招348 BB 2561291 南通大学历史349 BB 257 1291 南通大学物理344 BB 256 1301 盐城工学院历史333 BB 254 1301 盐城工学院物理330 BB 233 1302 盐城师范学院物理319 BB 229 1302 盐城师范学院历史330 BB 231 1311 淮海工学院兼招337 BB 247 1322 徐州师范大学物理335 BB 243 1322 徐州师范大学历史343 BB 252 1323 徐州医学院兼招338 BB 248 1324 徐州工程学院历史332 BB 236 1324 徐州工程学院物理330 BB 245 1341 淮阴师范学院历史333 BB 244 1341 淮阴师范学院物理304 BB 222 1342 淮阴工学院历史330 BB 236 1342 淮阴工学院物理323 BB 241 1361 扬州大学历史348 BB 248 1361 扬州大学物理340 BB 2491423 徐州师范大学南京校区(与江苏城市职业学院联合办学)兼招323 BB 2421701 盐城工学院兼招330 BB 236 1702 江苏科技大学兼招314 BB 227 1708 南京师范大学兼招317 BB 222 1710 南京工业大学物理322 BB 234 1712 南京医科大学兼招324 BB 244 1713 南京中医药大学兼招317 BB 2371714 南京工程学院物理312 BB 224 1714 南京工程学院历史320 BB 236 1716 南京财经大学兼招352 BB 251 1720 南京晓庄学院兼招317 BB 233 1721 南京邮电大学历史334 BB 241 1721 南京邮电大学物理320 BB 239 1722 江苏工业学院历史319 BB 232 1722 江苏工业学院物理318 BB 228 1723 徐州师范大学兼招322 BB 228 1724 江苏技术师范学院兼招318 BB 231 1728 金陵科技学院兼招318 BB 225 1732 常州工学院兼招329 BB 238 1734 徐州工程学院物理312 BB 221 1734 徐州工程学院历史322 BB 235 1741 淮阴师范学院历史334 BB 252 1741 淮阴师范学院物理329 BB 240 1761 扬州大学历史317 BB 230 1791 南通大学兼招315 BB 231 1801 南京大学金陵学院历史330 BB 243 1801 南京大学金陵学院物理317 BB 229 1802 东南大学成贤学院历史308 BB 222 1802 东南大学成贤学院物理307 BB 227 2111 上海师范大学兼招358 BB 263 2112 上海大学兼招361 BB 259 2116 上海海洋大学历史356 BB 258 2116 上海海洋大学物理352 BB 268 2118 上海电力学院历史360 BB 267 2118 上海电力学院物理365 BB 269 2119 上海体育学院兼招340 BB 258 2120 上海工程技术大学物理352 BB 256 2123 上海应用技术学院历史345 BB 252 2123 上海应用技术学院物理340 BB 257 2124 上海第二工业大学兼招345 BB 258 2125 上海政法学院历史365 BB 271 2125 上海政法学院物理344 BB 249 2131 上海海关学院历史女399 BB 291 2131 上海海关学院历史男362 BB 263 2131 上海海关学院物理女386 BB 2862131 上海海关学院物理男385 BB 280 2133 上海金融学院历史367 BB 275 2133 上海金融学院物理360 BB 272 2136 上海电机学院兼招351 BB 259 2137 上海立信会计学院历史371 BB 271 2137 上海立信会计学院物理362 BB 283 2141 上海商学院兼招346 BB 244 2202 中国计量学院物理352 BB 259 2202 中国计量学院历史355 BB 261 2203 浙江理工大学物理359 BB 264 2208 杭州电子科技大学兼招356 BB 265 2211 浙江传媒学院物理337 BB 255 2211 浙江传媒学院历史355 BB 254 2212 浙江科技学院物理338 BB 249 2214 浙江林学院历史346 BB 250 2214 浙江林学院物理338 BB 248 2222 宁波工程学院物理343 B+B+ 248 2223 绍兴文理学院历史325 BB 230 2223 绍兴文理学院物理326 BB 251 2228 温州大学物理312 BB 219 2228 温州大学历史335 BB 239 2231 嘉兴学院历史344 BB 248 2231 嘉兴学院物理335 BB 248 2241 温州医学院物理339 BB 239 2251 浙江海洋学院物理338 BB 243 2251 浙江海洋学院历史330 BB 242 2261 湖州师范学院历史334 BB 241 2261 湖州师范学院物理323 BB 229 2268 丽水学院物理317 BB 226 2304 安徽医科大学历史341 BB 243 2304 安徽医科大学物理339 BB 247 2305 安徽建筑工业学院兼招321 BB 229 2306 安徽农业大学物理319 BB 239 2307 安徽中医学院物理325 BB 234 2308 安徽工程科技学院物理315 BB 234 2309 安徽师范大学历史338 BB 250 2309 安徽师范大学物理323 BB 236 2310 安徽科技学院历史330 BB 2492310 安徽科技学院物理330 BB 240 2321 安徽财经大学历史355 BB 266 2321 安徽财经大学物理345 BB 253 2327 合肥学院历史329 BB 253 2327 合肥学院物理324 BB 237 2331 阜阳师范学院历史329 BB 247 2332 蚌埠医学院物理332 BB 249 2341 安徽理工大学历史325 BB 225 2341 安徽理工大学物理341 BB 267 2342 宿州学院物理320 BB 236 2343 安庆师范学院兼招326 BB 245 2349 皖南医学院历史334 BB 245 2349 皖南医学院物理337 BB 251 2351 淮北煤炭师范学院历史329 BB 249 2351 淮北煤炭师范学院物理323 BB 229 2361 安徽工业大学兼招345 BB 262 2372 滁州学院历史329 BB 251 2372 滁州学院物理317 BB 238 2402 福建农林大学物理321 BB 243 2405 福建工程学院历史328 BB 243 2405 福建工程学院物理328 BB 245 2406 福建医科大学物理325 BB 238 2407 福建中医学院物理327 BB 242 2412 集美大学历史354 BB 256 2412 集美大学物理347 BB 244 2413 厦门理工学院历史343 BB 257 2413 厦门理工学院物理343 BB 253 2422 华侨大学历史347 BB 267 2422 华侨大学物理330 BB 248 2423 福建警察学院兼招319 BB 232 2502 华东交通大学兼招343 BB 249 2504 江西中医学院兼招331 BB 242 2505 南昌大学物理341 B+B+ 251 2506 南昌航空大学历史330 BB 241 2506 南昌航空大学物理341 BB 264 2507 江西科技师范学院历史329 BB 250 2507 江西科技师范学院物理332 BB 249 2508 江西农业大学历史335 BB 2432508 江西农业大学物理308 BB 222 2510 江西师范大学历史331 BB 249 2510 江西师范大学物理339 BB 251 2511 南昌工程学院物理335 BB 247 2521 江西理工大学历史342 BB 245 2521 江西理工大学物理342 BB 254 2522 赣南医学院物理331 BB 251 2523 赣南师范学院历史323 BB 234 2523 赣南师范学院物理313 BB 219 2531 景德镇陶瓷学院历史330 BB 240 2531 景德镇陶瓷学院物理317 BB 228 2541 东华理工大学历史325 BB 236 2541 东华理工大学物理319 BB 233 2561 九江学院历史333 BB 242 2561 九江学院物理322 BB 238 2602 济南大学历史357 BB 249 2602 济南大学物理350 BB 263 2603 山东财政学院历史352 BB 264 2603 山东财政学院物理314 BB 230 2606 山东经济学院历史352 B+B 256 2606 山东经济学院物理336 B+B 238 2607 山东建筑大学历史329 BB 240 2607 山东建筑大学物理336 BB 237 2609 山东交通学院历史333 BB 266 2609 山东交通学院物理325 BB 237 2610 山东轻工业学院物理331 BB 245 2611 山东理工大学物理344 BB 251 2613 枣庄学院兼招321 BB 216 2614 潍坊医学院物理341 BB 248 2622 青岛理工大学物理355 BB 259 2623 青岛科技大学物理348 BB 249 2631 山东农业大学历史337 BB 238 2631 山东农业大学物理338 BB 243 2633 山东科技大学历史355 BB 254 2633 山东科技大学物理353 BB 262 2635 潍坊学院历史324 BB 237 2635 潍坊学院物理316 BB 228 2642 聊城大学历史328 BB 2432642 聊城大学物理325 BB 250 2643 青岛农业大学历史340 BB 248 2643 青岛农业大学物理341 BB 250 2645 临沂师范学院历史327 BB 241 2645 临沂师范学院物理317 BB 227 2650 滨州学院物理316 BB 234 2651 烟台大学历史348 BB 248 2651 烟台大学物理338 BB 241 2652 山东工商学院历史339 BB 253 2652 山东工商学院物理334 BB 249 2653 鲁东大学历史330 BB 246 2653 鲁东大学物理314 BB 232 2669 菏泽学院物理314 BB 233 2671 曲阜师范大学物理322 BB 244 2681 滨州医学院物理328 BB 250 2691 泰山医学院历史316 BB 226 2691 泰山医学院物理324 BB 247 2695 济宁医学院兼招344 BB 255 3136 北京物资学院历史345 BB 246 3136 北京物资学院物理326 BB 244 3137 北京信息科技大学历史348 B+B 253 3137 北京信息科技大学物理354 B+B 258 3138 北京服装学院物理328 BB 243 3139 北京印刷学院历史347 BB 247 3139 北京印刷学院物理329 BB 245 3141 北京石油化工学院物理349 B+B 256 3144 北京联合大学历史344 BB 256 3144 北京联合大学物理335 BB 242 3145 北京建筑工程学院兼招331 BB 236 3152 中华女子学院历史343 BB 246 3152 中华女子学院物理334 BB 254 3153 华北科技学院历史347 BB 256 3153 华北科技学院物理340 BB 258 3154 首都经济贸易大学物理362 BB 269 3169 中国劳动关系学院历史342 BB 255 3169 中国劳动关系学院物理321 BB 216 3204 天津师范大学历史355 BB 252 3204 天津师范大学物理328 BB 2263205 中国民航大学历史352 BB 250 3205 中国民航大学物理355 BB 260 3206 天津工业大学物理351 BB 259 3207 天津商业大学历史353 BB 266 3207 天津商业大学物理344 BB 257 3208 天津科技大学历史342 BB 251 3208 天津科技大学物理349 BB 260 3209 天津财经大学历史364 BB 267 3209 天津财经大学物理363 BB 266 3210 天津城市建设学院物理328 BB 242 3211 天津外国语学院兼招365 B+B 269 3212 天津中医药大学物理341 BB 258 3213 天津农学院历史339 BB 246 3213 天津农学院物理319 BB 228 3214 天津理工大学物理353 BB 257 3217 天津体育学院历史324 B+B+ 237 3217 天津体育学院物理324 B+B+ 250 3218 天津工程师范学院历史329 BB 239 3218 天津工程师范学院物理323 BB 239 3303 河北建筑工程学院物理311 BB 241 3305 石家庄经济学院历史345 BB 238 3305 石家庄经济学院物理313 BB 226 3310 河北经贸大学历史340 BB 258 3310 河北经贸大学物理332 BB 240 3312 河北大学历史354 B+B+ 252 3312 河北大学物理339 B+B+ 241 3313 河北医科大学物理347 BB 260 3314 河北师范大学历史333 BB 252 3314 河北师范大学物理320 BB 233 3315 河北金融学院历史331 BB 243 3315 河北金融学院物理316 BB 219 3318 防灾科技学院历史333 BB 245 3318 防灾科技学院物理314 BB 227 3331 华北煤炭医学院物理330 BB 251 3332 河北理工大学兼招325 BB 225 3333 衡水学院历史322 BB 224 3333 衡水学院物理330 BB 237 3341 北华航天工业学院历史327 BB 2523341 北华航天工业学院物理329 BB 248 3351 河北工程大学物理337 BB 250 3402 中北大学历史332 BB 244 3402 中北大学物理337 BB 246 3403 山西财经大学兼招352 BB 262 3404 太原科技大学物理328 BB 247 3405 太原理工大学物理320 BB 231 3406 太原工业学院兼招327 BB 254 3408 山西中医学院历史341 BB 255 3408 山西中医学院物理332 BB 242 3410 山西农业大学历史325 BB 240 3410 山西农业大学物理316 BB 227 3415 山西师范大学历史321 BB 237 3415 山西师范大学物理332 BB 249 3416 太原师范学院历史318 BB 223 3416 太原师范学院物理317 BB 233 3417 山西大同大学物理322 BB 246 3418 运城学院兼招320 BB 239 3503 内蒙古农业大学物理322 BB 235 3504 内蒙古工业大学物理316 物理B+、B 229 3511 内蒙古科技大学物理320 BB 221 4107 沈阳化工学院物理314 BB 216 4108 沈阳工业大学历史326 BB 227 4108 沈阳工业大学物理346 BB 255 4109 沈阳理工大学历史338 BB 249 4109 沈阳理工大学物理342 BB 244 4110 沈阳航空工业学院历史332 BB 237 4110 沈阳航空工业学院物理343 BB 243 4111 沈阳建筑大学物理322 BB 241 4112 鞍山师范学院历史330 BB 235 4113 沈阳医学院物理331 BB 235 4114 辽宁中医药大学物理324 BB 227 4115 辽宁工业大学物理338 BB 269 4117 沈阳师范大学历史337 BB 237 4118 辽东学院历史324 BB 247 4122 沈阳工程学院物理326 BB 250 4134 大连医科大学物理352 BB 257 4135 大连外国语学院历史367 BB 2654136 大连大学历史340 BB 253 4136 大连大学物理319 BB 245 4137 大连水产学院兼招318 BB 224 4138 大连工业大学物理324 BB 232 4139 大连交通大学历史333 BB 251 4139 大连交通大学物理345 BB 247 4140 大连民族学院物理319 BB 246 4141 辽宁医学院物理329 BB 236 4152 渤海大学物理326 BB 233 4171 辽宁科技大学物理332 BB 244 4181 辽宁石油化工大学历史317 BB 229 4181 辽宁石油化工大学物理327 BB 245 4203 吉林农业大学历史332 BB 247 4203 吉林农业大学物理318 BB 237 4204 长春大学历史327 BB 234 4204 长春大学物理334 BB 252 4205 长春工业大学历史329 BB 245 4205 长春工业大学物理330 BB 234 4206 长春税务学院历史349 BB 259 4206 长春税务学院物理345 BB 259 4207 长春师范学院历史325 BB 234 4208 长春理工大学物理323 BB 242 4209 长春工程学院历史323 BB 246 4209 长春工程学院物理321 BB 232 4210 吉林建筑工程学院物理317 BB 225 4212 吉林工程技术师范学院兼招323 BB 241 4215 吉林师范大学历史331 历史B+、B 237 4215 吉林师范大学物理315 物理B+、B 227 4225 吉林农业科技学院历史321 BB 234 4228 吉林医药学院物理333 BB 253 4231 东北电力大学物理333 BB 238 4232 北华大学历史323 BB 234 4232 北华大学物理321 BB 238 4241 白城师范学院兼招320 BB 242 4305 黑龙江中医药大学物理328 BB 240 4306 黑龙江工程学院物理311 BB 245 4307 哈尔滨商业大学历史347 BB 247 4307 哈尔滨商业大学物理308 BB 2124308 哈尔滨理工大学物理346 BB 255 4310 黑龙江科技学院物理329 BB 232 4311 黑龙江大学历史343 BB 255 4311 黑龙江大学物理324 BB 246 4312 哈尔滨师范大学历史333 BB 253 4312 哈尔滨师范大学物理348 BB 259 4323 哈尔滨学院历史336 BB 244 4323 哈尔滨学院物理325 BB 244 4331 齐齐哈尔医学院物理327 BB 243 4332 齐齐哈尔大学兼招328 BB 238 4351 佳木斯大学历史313 BB 228 4351 佳木斯大学物理320 BB 233 4352 黑龙江八一农垦大学兼招327 BB 234 4381 牡丹江医学院物理326 BB 230 5102 华北水利水电学院历史317 BB 242 5102 华北水利水电学院物理333 BB 247 5103 中原工学院兼招317 BB 230 5104 河南工业大学兼招319 BB 239 5105 郑州航空工业管理学院历史319 BB 242 5105 郑州航空工业管理学院物理318 BB 232 5106 郑州轻工业学院历史325 BB 230 5106 郑州轻工业学院物理341 BB 248 5110 河南科技学院物理329 BB 249 5114 河南中医学院物理334 BB 258 5117 河南农业大学历史334 BB 243 5117 河南农业大学物理332 BB 249 5119 河南财经学院兼招342 BB 236 5131 洛阳理工学院历史322 BB 231 5131 洛阳理工学院物理328 BB 237 5132 河南科技大学历史335 BB 238 5132 河南科技大学物理316 BB 232 5151 河南理工大学兼招339 BB 260 5161 安阳工学院历史331 BB 255 5162 安阳师范学院历史318 BB 240 5173 新乡学院兼招313 BB 227 5181 南阳师范学院兼招326 BB 234 5182 南阳理工学院历史329 BB 253 5182 南阳理工学院物理315 BB 2325192 新乡医学院物理320 BB 228 5193 平顶山工学院历史320 BB 231 5193 平顶山工学院物理315 BB 227 5208 中南民族大学历史338 BB 238 5208 中南民族大学物理317 BB 228 5211 湖北中医学院历史324 BB 243 5211 湖北中医学院物理323 BB 249 5212 武汉科技学院历史342 BB 253 5212 武汉科技学院物理336 BB 251 5213 武汉体育学院历史319 BB 223 5213 武汉体育学院物理333 BB 245 5215 武汉工程大学历史341 BB 243 5215 武汉工程大学物理343 BB 261 5216 武汉工业学院历史330 BB 231 5216 武汉工业学院物理333 BB 248 5218 江汉大学历史334 BB 247 5218 江汉大学物理331 BB 241 5219 湖北工业大学历史347 BB 244 5219 湖北工业大学物理320 BB 237 5221 湖北经济学院历史341 BB 231 5221 湖北经济学院物理335 BB 239 5243 长江大学历史325 BB 242 5243 长江大学物理324 BB 226 5251 三峡大学历史321 BB 234 5251 三峡大学物理333 BB 239 5255 湖北汽车工业学院物理335 BB 245 5256 郧阳医学院物理314 BB 243 5261 湖北师范学院历史323 BB 234 5304 湖南中医药大学物理328 BB 237 5305 湖南农业大学物理312 BB 235 5306 湖南商学院历史327 BB 243 5306 湖南商学院物理327 BB 238 5307 长沙理工大学历史338 BB 243 5307 长沙理工大学物理349 BB 268 5308 长沙学院历史323 BB 236 5308 长沙学院物理319 BB 244 5321 湖南科技大学历史343 BB 252 5321 湖南科技大学物理340 BB 2485322 湖南工程学院物理317 BB 234 5327 湖南工学院历史322 BB 245 5327 湖南工学院物理335 BB 246 5331 中南林业科技大学历史340 BB 238 5331 中南林业科技大学物理321 BB 232 5332 湖南工业大学历史338 BB 240 5332 湖南工业大学物理324 BB 242 5341 南华大学兼招338 BB 240 5343 湖南文理学院历史319 BB 241 5351 湖南理工学院历史332 BB 245 5351 湖南理工学院物理331 BB 236 5355 湖南城市学院物理316 BB 232 5361 吉首大学历史329 BB 246 5371 邵阳学院物理311 BB 222 5381 湘南学院物理327 BB 258 5385 怀化学院兼招320 BB 242 5391 湖南科技学院历史316 BB 224 5405 广东医学院物理325 BB 236 5410 广东工业大学历史348 BB 243 5410 广东工业大学物理350 BB 256 5412 广东金融学院历史334 BB 244 5412 广东金融学院物理340 BB 241 5414 广东商学院兼招348 BB 261 5419 广州大学物理340 BB 267 5420 广州中医药大学物理329 B+B 234 5423 广州体育学院兼招331 BB 249 5426 广州医学院物理329 BB 233 5427 东莞理工学院历史319 BB 258 5427 东莞理工学院物理335 BB 247 5431 广东海洋大学历史331 BB 246 5431 广东海洋大学物理334 BB 257 5441 茂名学院物理318 BB 234 5502 广西中医学院历史324 BB 245 5502 广西中医学院物理326 BB 237 5503 广西财经学院历史339 BB 254 5503 广西财经学院物理342 BB 246 5511 广西师范大学历史317 BB 232 5512 桂林工学院物理311 BB 2315513 桂林电子科技大学物理336 BB 253 5531 广西工学院物理308 BB 224 5532 广西民族大学历史336 BB 226 5532 广西民族大学物理342 BB 252 5561 梧州学院兼招316 BB 232 5601 海南大学历史343 BB 246 5601 海南大学物理318 BB 239 5602 海南师范大学历史321 BB 232 5602 海南师范大学物理311 BB 224 5603 海南医学院历史335 BB 259 5603 海南医学院物理323 BB 230 5604 琼州学院兼招306 BB 214 6102 西南交通大学历史341 B+B 248 6102 西南交通大学物理358 B+B 269 6105 西南民族大学历史334 BB 244 6105 西南民族大学物理320 BB 220 6106 成都理工大学历史336 BB 248 6106 成都理工大学物理347 BB 262 6107 成都信息工程学院物理340 BB 257 6108 成都体育学院历史325 BB 238 6110 西华大学历史325 BB 253 6110 西华大学物理322 BB 241 6111 成都中医药大学物理338 BB 251 6112 四川师范大学历史344 BB 252 6112 四川师范大学物理320 BB 222 6113 四川农业大学物理319 BB 233 6114 成都学院物理317 BB 225 6116 成都医学院物理337 BB 258 6117 西昌学院历史321 BB 246 6118 内江师范学院历史325 BB 229 6120 四川警察学院兼招312 BB 230 6131 西南科技大学历史328 BB 239 6131 西南科技大学物理329 BB 255 6141 西南石油大学历史329 BB 250 6141 西南石油大学物理342 BB 254 6142 西华师范大学兼招323 BB 236 6143 泸州医学院历史333 BB 237 6143 泸州医学院物理330 BB 2366144 绵阳师范学院历史322 BB 225 6151 乐山师范学院历史320 BB 222 6151 乐山师范学院物理318 BB 236 6161 川北医学院物理332 BB 247 6206 重庆工商大学历史343 BB 253 6206 重庆工商大学物理327 BB 243 6207 重庆交通大学兼招349 B+B 245 6208 重庆工学院兼招332 BB 248 6210 重庆师范大学历史335 B+B 236 6210 重庆师范大学物理325 B+B 233 6212 四川外语学院历史357 BB 252 6212 四川外语学院物理333 BB 247 6213 重庆三峡学院历史323 BB 238 6213 重庆三峡学院物理314 BB 239 6221 重庆科技学院历史324 BB 236 6221 重庆科技学院物理316 BB 230 6302 贵阳中医学院历史334 BB 236 6302 贵阳中医学院物理307 BB 210 6303 贵阳医学院物理332 BB 251 6304 贵州财经学院历史326 BB 242 6305 贵州民族学院历史318 BB 234 6314 遵义医学院物理327 BB 237 6402 云南师范大学物理329 BB 240 6404 昆明理工大学物理337 BB 256 6405 云南农业大学物理328 BB 247 6408 云南财经大学历史338 BB 248 6408 云南财经大学物理312 BB 232 6411 大理学院历史331 BB 232 6411 大理学院物理331 BB 236 6413 红河学院物理330 BB 247 6414 云南民族大学历史324 BB 243 7109 西北政法大学历史355 B+B+ 263 7109 西北政法大学物理349 B+B+ 258 7110 西安工程大学兼招339 BB 262 7111 西安财经学院历史339 BB 241 7111 西安财经学院物理326 BB 243 7112 西安理工大学历史338 BB 245 7112 西安理工大学物理353 BB 2627113 西安石油大学兼招334 BB 254 7114 西安医学院物理338 BB 243 7115 西安工业大学历史319 BB 227 7115 西安工业大学物理343 BB 275 7116 西安邮电学院历史338 BB 246 7116 西安邮电学院物理345 BB 257 7117 西安外国语大学历史361 BB 268 7117 西安外国语大学物理357 BB 260 7118 西安科技大学历史326 BB 239 7118 西安科技大学物理345 BB 255 7122 西安文理学院历史330 BB 238 7138 陕西中医学院物理324 BB 231 7142 延安大学历史318 BB 230 7202 兰州理工大学历史327 BB 230 7202 兰州理工大学物理335 BB 241 7203 兰州商学院历史338 BB 260 7203 兰州商学院物理327 BB 235 7204 兰州交通大学历史325 BB 242 7204 兰州交通大学物理337 BB 245 7205 西北民族大学历史326 BB 251 7205 西北民族大学物理312 BB 235 7206 甘肃农业大学兼招328 BB 230 7209 甘肃中医学院兼招337 BB 249 7302 青海民族学院历史321 BB 230 7302 青海民族学院物理319 BB 245 7401 北方民族大学历史329 BB 237 7401 北方民族大学物理307 BB 225 7402 宁夏大学物理321 BB 224 7403 宁夏医学院物理327 BB 237 7503 新疆农业大学物理321 BB 227 7505 新疆财经大学历史332 BB 236 7511 石河子大学历史323 BB 241 7511 石河子大学物理310 BB 221 7521 伊犁师范学院兼招322 BB 2358570 北京师范大学(香港浸会大学联合国际学院)历史334 BB 2348570 北京师范大物理330 BB 239学(香港浸会大学联合国际学院)。
2016年全国一本大学在江苏理科录取分数线
2016年江苏高考本科第一批院校理科投档分数线排名
注:辅助排序分为:语数两门原始分(含附加分)之和—数学(不含附加分)—语文—外语,即指在投档过程中对总分相同的考生,按语、数两门原始分与附加分之和从高到低排序投档,
注:辅助排序分为:语数两门原始分(含附加分)之和—数学(不含附加分)—语文—外语,即指在投档过程中对总分相同的考生,按语、数两门原始分与附加分之和从高到低排序投档,如仍相同,再依次按数学(不含附加分)、语文、外语分数从高到低进行排序投档。
211
上海市(9所)
上海外国语大学复旦大学华东师范大学上海大学东华大学上海财经大学华东理工大学同济大学上海交通大学与上海第二医科大学合并
江苏(11所)
南京大学东南大学苏州大学南京师范大学中国矿业大学中国药科大学河海大学南京理工大学江南大学南京农业大学南京航空航天大学。
江苏省历年年普通高校招生录取分数线江苏省2006年普通高校招生录取分数线江苏省2007年普通高校招生录取分数线江苏2008年高考录取分数线江苏省2009年普通高校招生录取江苏省2007年高招录取最低控制分数线确定普通类本科第一批588分;本科第二批559分;提前专科549分;体育类男女生均为460/78分;艺术类公办本科省统考音乐360/220分,美术 430/170分;民办本科省统考音乐350/215分,美术410/150分;报考专业校考院校公办民办均为文化300分,专业成绩合格。
江苏省2007年普通高校招生录取分数线江苏2008年高考录取分数线注:一、第一阶段填报志愿资格线:1.普通类考生填报志愿必测科目的要求为4C1合格。
其中,填报本二志愿考生的资格要求为选测等级达到2B且特征分为285分及以上,或选测等级达到1BlC 且特征分300分及以上;填报提前专科志愿考生的资格要求为特征分285分及以上。
报考高水平运动队、飞行学院、民族预科班和华侨大学“侨台生”预科班的除外。
2.体育类、艺术类考生填报志愿的要求为必测科目等级中D级不超过3门。
其中,体育类230分/60分;艺术类150分/省统考138分或校考合格。
报考31所独立设置艺术本科院校和清华大学等8所院校不受此限制。
二、体育类:民办本科计划为104名,预计公办本科落榜生数已能够满足民办院校的招生计划数,不再单独划线。
三、艺术类:1.招生院校专业校考的省最低录取控制分数线,公办、民办均为165分/专业合格。
2.根据教育部和我省相关文件精神,凡报考省外院校校考,取得音乐学(音乐教育)、绘画(中国画、油画、版画、壁画)、美术学(美术教育)和艺术设计其中之一的专业校考合格考生,还须参加上述相应专业的省专业统考,且省专业统考成绩须达到138分。
3.3l所独立设置艺术本科院校和清华大学等8所院校艺术类本科专业的文化、专业录取控制分数线由各校自行划定并公布。
目录2008 (2)江苏省2008年普通高校统一招生考试分段成绩统计表 (2)江苏省2008年分段成绩统计表(第二阶段参考) (3)2009 (5)江苏省2009年分段成绩统计表(第二阶段参考) (5)江苏省2009年分段成绩(第一阶段参考) (6)2010 (7)江苏省2010年文科理科(第一阶段参考) (7)2010年文科(第二阶段参考) (8)2010年理科(第二阶段参考) (10)2011 (12)2011年理科(填报第二阶段高考志愿参考) (12)2011年文科(第二阶段高考志愿参考) (14)2011年文、理科(第一阶段参考) (17)2012 (18)2012年理科(第二阶段高考志愿参考) (18)2012年文、理科(第一阶段参考) (20)2012年文科(第二阶段高考志愿参考) (21)2013 (23)2013年普通高考文理科(第一阶段参考) (23)2013年文科(第二阶段高考志愿参考) (24)2013年理科(第二阶段高考志愿参考) (26)2014 (29)2014年文理科(第一阶段参考) (29)2014年文科(第二阶段参考) (30)2014年理科(第二阶段参考) (33)2015 (36)2015年文理科(第一阶段参考) (36)2015年理科(第二阶段参考) (37)2015年文科(第二阶段参考) (40)2015年音乐科(第二阶段参考) (43)2015年美术科(第二阶段参考) (44)2015年体育科(第二阶段参考) (46)2016 (47)2016年文理科(第一阶段参考) (47)2016年体育(第一阶段参考) (48)2016年美术(第一阶段参考) (49)2016年声乐(第一阶段参考) (51)2016年器乐(第一阶段参考) (52)2016年编导(第一阶段参考) (53)2008江苏省2008年普通高校统一招生考试分段成绩统计表(总表)江苏省2008年分段成绩统计表(第二阶段参考)备注:本表统计考生均为必测科目等级4C1合格及以上2009江苏省2009年分段成绩统计表(第二阶段参考)江苏省2009年分段成绩(第一阶段参考)注:上述统计对象为选测科目等级达到1B1C及以上考生2010江苏省2010年文科理科(第一阶段参考)注:上述统计对象为选测科目等级达到1B1C及以上考生2010年文科(第二阶段参考)2010年理科(第二阶段参考)20112011年理科(填报第二阶段高考志愿参考)备注:本表统计考生均为必测科目等级4C1合格及以上江苏省教育考试院二○一一年七月二十六日2011年文科(第二阶段高考志愿参考)备注:本表统计考生均为必测科目等级4C1合格及以上江苏省教育考试院二○一一年七月二十六日2011年文、理科(第一阶段参考)注:上述统计对象为选测科目等级达到1B1C及以上考生20122012年理科(第二阶段高考志愿参考)备注:本表统计考生均为必测科目等级4C1合格及以上江苏省教育考试院二○一二年七月二十四日2012年文、理科(第一阶段参考)注:上述统计对象为选测科目等级达到1B1C及以上且必测符合4C1合格考生2012年文科(第二阶段高考志愿参考)备注:本表统计考生均为必测科目等级4C1合格及以上江苏省教育考试院二○一二年七月二十四日20132013年普通高考文理科(第一阶段参考)注:上述统计对象为选测科目等级达到1B1C及以上且必测符合4C1合格考生2013年文科(第二阶段高考志愿参考)2013年理科(第二阶段高考志愿参考)备注:本表统计考生(含兼报考生)均为必测科目等级4C1合格及以上江苏省教育考试院二〇一三年七月二十四日20142014年文理科(第一阶段参考)江苏省2014年普通高考文理科五分段统计表注:上述统计对象为选测科目等级达到1B1C及以上且必测符合4C1合格考生2014年文科(第二阶段参考)江苏省2014年普通高校统一招生考试分段成绩统计表(文科5分段填报第二阶段高考志愿参考)备注:本表统计考生(含兼报考生)均为必测科目等级4C1合格及以上江苏省教育考试院二○一四年七月二十五日2014年理科(第二阶段参考)江苏省2014年普通高校统一招生考试分段成绩统计表(理科5分段填报第二阶段高考志愿参考)备注:本表统计考生(含兼报考生)均为必测科目等级4C1合格及以上江苏省教育考试院二○一四年七月二十五日20152015年文理科(第一阶段参考)江苏省2015年普通高考文理科五分段统计表注:满足1B1C及4C1合格。
注:一、艺术类校考本科专业录取最低控制分数线:1.29所独立设置本科艺术院校和清华大学等13所院校艺术类本科专业的录取最低控制分数线由各校自行划定。
2.除29所独立设置本科艺术院校和清华大学等13所院校以外的其他院校本科校考专业的省最低控制分数线:公办、民办均为文化188分/专业合格。
其中,取得音乐学、绘画、中国画、美术学、视觉传达设计、环境设计、产品设计、服装与服饰设计专业校考合格考生,还须参加相应专业省统考,且美术省统考成绩须达到150分,音乐省统考成绩须达到115分。
二、第一阶段填报志愿资格线:1.文科类、理科类考生必测科目要求为4C1合格,选测科目等级符合院校的要求,文科类总分在315分以上、理科类总分在305分以上,方可填报第一阶段高考志愿(报考高水平运动队考生、飞行学员、少数民族预科班除外)。
2.体育类、艺术类考生七门必测科目等级中D级不超过3门,体育类文化222分/专业100分以上、美术省统考文化205分/专业160分以上、音乐省统考(声乐、器乐)文化178分/专业130分以上、编导联考文化230分/专业180分以上、艺术校考文化178分/专业合格(报考29所独立设置本科艺术院校和清华大学等13所院校艺术类本科专业不受此限制),方可填报第一阶段高考志愿。
注:一、艺术类校考本科专业录取最低控制分数线:1.29所独立设置本科艺术院校和清华大学等13所院校艺术类本科专业的录取最低控制分数线由各校自行划定。
2.除29所独立设置本科艺术院校和清华大学等13所院校以外的其他院校本科校考专业的省最低控制分数线:公办、民办均为文化188分/专业合格。
其中,取得音乐学、绘画、中国画、美术学、视觉传达设计、环境设计、产品设计、服装与服饰设计专业校考合格考生,还须参加相应专业省统考,且美术省统考成绩须达到150分,音乐省统考成绩须达到115分。
二、第一阶段填报志愿资格线:1.文科类、理科类考生必测科目要求为4C1合格,选测科目等级符合院校的要求,文科类总分在315分以上、理科类总分在305分以上,方可填报第一阶段高考志愿(报考高水平运动队考生、飞行学员、少数民族预科班除外)。
2.体育类、艺术类考生七门必测科目等级中D级不超过3门,体育类文化222分/专业100分以上、美术省统考文化205分/专业160分以上、音乐省统考(声乐、器乐)文化178分/专业130分以上、编导联考文化230分/专业180分以上、艺术校考文化178分/专业合格(报考29所独立设置本科艺术院校和清华大学等13所院校艺术类本科专业不受此限制),方可填报第一阶段高考志愿。
江苏省2015年普通高校招生录取最低控制分数线注:一、艺术类校考本科专业录取最低控制分数线:1.31所独立设置本科艺术院校和清华大学等13所院校艺术类本科专业的录取最低控制分数线由各校自行划定。
2.除31所独立设置本科艺术院校和清华大学等13所院校以外的其他院校本科校考专业的省最低控制分数线:公办、民办均为文化180分/专业合格。
其中,取得音乐学(音乐教育)、绘画(油画、版画、壁画)、中国画、美术学(美术教育)、视觉传达设计、环境设计、产品设计、服装与服饰设计专业校考合格考生,还须参加相应专业省统考,且美术省统考成绩须达到150分,音乐省统考成绩须达到115分。
二、第一阶段填报志愿资格线:1.文科类、理科类考生必测科目要求为4C1合格,选测科目等级符合院校的要求,文科类总分在303分以上、理科类总分在300分以上,方可填报第一阶段高考志愿(报考高水平运动队考生、飞行学员、定向培养直招士官、少数民族预科班除外)。
2.体育类、艺术类考生七门必测科目等级中D级不超过3门,体育类文化216分/专业100分以上、美术省统考文化215分/专业160分以上、音乐省统考文化175分/专业135分以上、艺术校考文化170分/专业合格(报考31所独立设置本科艺术院校和清华大学等13所院校艺术类本科专业不受此限制),方可填报第一阶段高考志愿。
我省2015年普通高校招生第二阶段录取各批次省控线日前划定。
根据考生成绩分布、志愿填报情况以及第二阶段各批次招生计划数,各批次省录取最低控制分数线确定如下:一、本科第三批:文科288分,理科278分。
二、文理类高职(专科):文科215分,理科215分。
三、体育、艺术类高职(专科):体育类:文化215分,专业省统考成绩90分;艺术类:文化165分,专业省统考成绩美术150分、音乐115分或艺术校考合格。
考生的文化分和相关专业考试成绩除达到上述要求外,其学业水平测试成绩还须符合省及拟报考高校填报志愿的有关规定。
第二阶段各批次录取工作将从8月2日开始。
具体录取日程安排为:第三批本科院校,8月2日至6日录取;体育类、艺术类高职(专科)院校,8月6日至10日录取(其中艺术类分为2小批);文理类高职(专科)院校,8月10日至14日录取;高职(专科)注册入学院校,8月16日至22日录取。
江苏省2014年普通高校招生录取最低控制分数线注:一、艺术类校考本科专业录取最低控制分数线:1.31所独立设置本科艺术院校和清华大学等13所院校艺术类本科专业的录取最低控制分数线由各校自行划定。
2.除31所独立设置本科艺术院校和清华大学等13所院校以外的其他本科院校校考专业的省最低控制分数线:公办、民办均为文化175分/专业合格。
其中,取得音乐学(音乐教育)、绘画(油画、版画、壁画)、中国画、美术学(美术教育)、视觉传达设计、环境设计、产品设计、服装与服饰设计专业校考合格考生,还须参加省专业统考,且省专业统考成绩须达到155分。
二、第一阶段填报志愿资格线:1.文科类、理科类考生必测科目要求为4C1合格,选测科目等级符合院校的要求,文科类总分在291分以上、理科类总分在302分以上,方可填报第一阶段高考志愿(报考高水平运动员、飞行学员、定向培养直招士官、少数民族预科班和华侨大学“侨台生”预科班的除外)。
2.体育类、艺术类考生七门必测科目等级中D级不超过3门,体育类文化209分/专业97分以上、美术省统考文化210分/专业160分以上、音乐省统考文化170分/专业200分以上、艺术校考文化165分/专业合格(报考31所独立设置本科艺术院校和清华大学等13所院校艺术类本科专业不受此限制),方可填报第一阶段高考志愿。
2014年普通高校招生第二阶段录取各批次省控线日前划定。
根据考生成绩分布、志愿填报情况以及第二阶段各批次招生计划数,各批次省录取最低控制分数线确定如下:一、本科第三批:文科272分,理科279分。
二、文理类高职(专科):文科190分,理科190分。
三、体育、艺术类高职(专科):体育类:文化190分,体育专业成绩90分;艺术类(音乐、美术):文化160分,专业省统考成绩155分或校考合格。
考生的文化分和相关专业考试成绩除达到上述要求外,其学业水平测试成绩还须符合省及拟报考高校填报志愿的有关规定。
第二阶段各批次录取工作将从8月2日开始。
具体录取日程安排为:第三批本科院校,8月2日至6日录取;体育类、艺术类高职(专科)院校,8月6日至10日录取(其中艺术类分为2小批);文理类高职(专科)院校,8月10日至14日录取;高职(专科)注册入学院校,8月16日至22日录取。
江苏省2013年普通高校招生录取最低控制分数线注:一、艺术类校考本科专业录取最低控制分数线:1.31所独立设置本科艺术院校和清华大学等13所院校艺术类本科专业的录取最低控制分数线由各校自行划定。
2.除31所独立设置本科艺术院校和清华大学等13所院校以外的其他本科院校校考专业的省最低控制分数线:公办、民办均为文化170分/专业合格。
其中,取得音乐学(音乐教育)、绘画(油画、版画、壁画)、中国画、美术学(美术教育)、视觉传达设计、环境设计、产品设计、服装与服饰设计专业校考合格考生,还须参加省专业统考,且省专业统考成绩须达到155分。
二、第一阶段填报志愿资格线:1.文科类、理科类考生必测科目要求为4C1合格,选测科目等级符合院校的要求,文科类总分在289分以上、理科类总分在302分以上,方可填报第一阶段高考志愿(报考高水平运动员、飞行学员、少数民族预科班和华侨大学“侨台生”预科班的除外)。
2.体育类、艺术类考生七门必测科目等级中D级不超过3门,体育类文化206分/专业90分以上、美术省统考文化214分/专业160分以上、音乐省统考文化170分/专业195分以上、艺术校考文化160分/专业合格(报考31所独立设置本科艺术院校和清华大学等13所院校艺术类本科专业不受此限制),方可填报第一阶段高考志愿。
我省普通高校招生第二阶段录取各批次省控线划定我省2013年普通高校招生第二阶段录取各批次省控线日前划定。
根据考生成绩分布、志愿填报情况以及第二阶段各批次招生计划数,各批次省录取最低控制分数线确定如下:一、本科第三批:文科266分,理科288分。
二、文理类高职(专科):文科185分,理科185分。
三、体育、艺术类高职(专科):体育类:文化185分,体育专业成绩90分;艺术类(音乐、美术):文化155分,专业省统考成绩155分或校考合格。
考生的文化分和相关专业考试成绩除达到上述要求外,其学业水平测试成绩还须符合省及拟报考高校填报志愿的有关规定。
第二阶段各批次录取工作将从8月3日开始。
具体录取日程安排为:第三批本科院校,8月3日至7日录取;体育类、艺术类高职(专科)院校,8月7日至11日录取(其中艺术类分为3小批);文理类高职(专科)院校,8月11日至15日录取;高职(专科)注册入学院校,8月17日至23日录取。
江苏省2012年普通高校招生录取最低控制分数线注:一、艺术类校考本科专业录取最低控制分数线:1.31所独立设置本科艺术院校和清华大学等13所院校艺术类本科专业的录取最低控制分数线由各校自行划定。
2.除31所独立设置本科艺术院校和清华大学等13所院校以外的其他本科院校校考专业的省最低控制分数线:公办、民办均为文化155分/专业合格。
其中,报考省外院校校考,取得音乐学(音乐教育)或绘画(中国画、油画、版画、壁画)或美术学(美术教育)或艺术设计专业校考合格考生,还须参加省专业统考,且省专业统考成绩须达到155分。
二、第一阶段填报志愿资格线:1.文科类、理科类考生必测科目要求为4C1合格,选测科目等级符合院校的要求,文科类总分在296分以上、理科类总分在297分以上,方可填报第一阶段高考志愿(报考高水平运动员、飞行学员、少数民族预科班和华侨大学“侨台生”预科班的除外)。
2.体育类、艺术类考生七门必测科目等级中D级不超过3门,体育类文化191分/专业90分以上、美术省统考文化196分/专业155分以上、音乐省统考文化148分/专业155分以上、艺术校考文化140分/专业合格(报考31所独立设置本科艺术院校和清华大学等13所院校艺术类本科专业不受此限制),方可填报第一阶段高考志愿。