世界海外华人分布
- 格式:docx
- 大小:17.40 KB
- 文档页数:3
世界华侨华人数量和分布的历史变化世界华侨华人数量和分布的历史变化随着世界的全球化和人口流动的增加,华侨和华人在世界各地的分布和数量也经历了许多变化。
他们是中国的一部分,同时也是全球华人社群的重要组成部分。
在这篇文章中,我们将简要探讨世界华侨华人数量和分布的历史变化。
虽然无法提供准确的数据,但根据历史记载,中国人开始迁徙到世界各地可以追溯到几个世纪以前。
早在商代,中国与亚洲和非洲的贸易就已经有了联系。
这些贸易活动也促进了一些华人移居到了这些地方,建立了社区。
然而,真正大规模的华人移民潮是在19世纪中后期发生的。
这一时期,中国政府内外部、经济和社会的多种因素推动了大量的中国人离开家乡。
其中一个重要的原因是鸦片战争之后,中国政府被迫与西方国家签署了一系列不平等条约,导致中国的领土被侵占,贸易不平衡。
同时,中国内部的农业危机和经济衰退也迫使许多农民寻找新的出路。
这一时期,大量的华人移民搭乘船只到了东南亚、美洲和其他地区。
其中,东南亚国家如马来亚(现马来西亚)、新加坡、印度尼西亚、泰国以及菲律宾成为了华人移民最为集中的地区。
华人在这些地方从事各种不同的行业,例如种植园业、矿业、商业和手工业。
他们为当地经济的发展和繁荣做出了巨大的贡献,并且逐渐形成了独特的华人社区。
与此同时,大批的华人移民也横渡太平洋到达美洲。
19世纪末和20世纪初,许多华人移民前往美国参与金矿和铁路建设。
华人劳工不仅为美国的工业化发展提供了重要的劳动力,也为后来的华人社群发展打下了良好的基础。
然而,他们也面临了严重的歧视和排斥,曾经遭遇过排华法案和暴力事件。
华人迁徙的另一个重要目的地是澳大利亚。
在19世纪末,澳大利亚的黄金矿产资源吸引了大批的华人移民。
然而,他们也遭受了类似于美国的歧视和排斥,被限制在矿产区域居住并禁止与白人婚姻。
随着时间的推移,华人移民的目的地也发生了变化。
20世纪初以后,由于中国内战和共产党掌权,大量的华人移民涌入了东南亚和其他地区,如欧洲、非洲、南美洲等。
世界华侨华人数量和分布的历史变化作者:庄国土(厦门大学教授)发表日期:12-05-17 【内容提要】中国人大规模向海外移民始于 16 世纪末。
到 17 世纪初,世界华人数量约十余万人,主要分布在东南亚各地。
至 19 世纪中期,世界华人数量约 150 万人,仍高度集中于东南亚。
19 世纪中叶以后,大规模华工出国从根本上改变了世界华侨华人分布的状况,北美、拉丁美洲、大洋洲和欧洲都出现数量不等的以华工为主的华人社区。
由于 19 世纪后期东南亚以外的国家和地区均排斥华工,20 世纪初华人的数量仍高度集中于东南亚。
到 20 世纪 50 年代初,世界华侨华人约有 1200 万—1300 万人。
20 世纪 70 年代以来,大规模的中国新移民决定性地改变世界华侨华人高度集中于东南亚的格局。
到 2008 年,世界华侨华人总数超过 4500 万人,而东南亚华侨华人的比例降为 73%,北美、欧洲、澳洲和日本、韩国的华侨华人数量激增。
【关键词】华侨华人数量分布变化华侨华人指中国移民及其后裔。
①中国海外移民历史悠久,可谓有海外贸易,就有因贸易原因而留居海外的商人水手。
大规模的持续性海外移民始于 16 世纪末。
至 21 世纪初,约可分为四个阶段或四次高潮,基本奠定华侨华人分布于世界各地的现状。
由于国内外推动移民的因素和环境不同,四个阶段的移民目的地有很大差异,移民数量、结构和在侨居地的境遇也各不相同。
百多年来,尽管国内外学者对中国移民史和华侨华人的研究成果甚丰,但多集中于区域、国别华人史的研究,鲜有对中国移民及其后裔数量的整体估算。
当地国人口统计资料匮缺、民族身份确定标准不同或华人刻意隐瞒身份等诸种因素,都导致各个历史时期对各国华侨华人数量的估计有巨大差异。
例如,对 21 世纪初华侨华人数量的估算,从 3000 万到 8700 万都有①。
导致中国对华侨华人数量大多用“几千万”的含糊提法。
相对而言,发达国家的人口分类和出入境统计资料较完备,而发展中国家则缺乏相关人口及分类统计,需要根据各种资料推算。
国家(地区)华侨华人数量英国200000葡萄牙10000法国300000比利时10000德国40000匈牙利7000梵蒂冈150希腊110挪威2000芬兰1000波兰80保加利亚25马耳他15爱尔兰1000西班牙10000卢森堡6500荷兰60000奥地利20000瑞士13286意大利23000丹麦5000瑞典4000前苏联68000罗马尼亚35捷克斯洛伐克16冰岛100美洲国家(地区)华侨、华人数量加拿大710000墨西哥20000洪都拉斯1500尼加拉瓜800巴拿马140000牙买加25000安的列斯群岛700美国2000000危地马拉14000萨尔瓦多1400哥斯达黎加7000古巴7000海地155多米尼加15000巴巴多斯50哥伦比亚3600委内瑞拉20000秘鲁52000巴拉圭5000智利2000乌拉圭250苏里南10000库腊索(荷属)400卡宴(法属)690特立尼达和多巴哥5000厄瓜多尔16000圭亚那6000玻利维亚1500巴西100000阿根廷3000巴哈马200圭亚那(法属)600阿鲁巴(荷属)300非洲国家(地区)华侨、华人数量毛里求斯30000马达加斯加12000南非30000津巴布韦250安哥拉250扎伊尔200赞比亚40博茨瓦纳40刚果20坦桑尼亚500肯尼亚80加纳320尼日尔15阿尔及利亚2000留尼汪25000塞舌尔2000莱索托250莫桑比克650马拉维33加蓬30利比里亚40喀麦隆20圣多美和普林西比100乌干达80象牙海岸180尼日利亚1500苏丹45利比亚400埃及110埃塞俄比亚55摩洛哥10塞拉利昂14大洋洲国家(地区)华侨、华人数量澳大利亚300000瑙鲁250斐济5500巴布亚新几内亚5000塔希提15000那卢岛1400马绍尔群岛12000关岛2000新西兰30000西萨摩亚10000汤加20塔西提岛20000所罗门群岛5000社会群岛7000圣诞岛2605。
全球海外到底有多少华人?华人最多的十个国家!《西班牙华仁中文网》说起海外华人,不得不承认华人的身影在世界的每一个角落几乎都可以找到。
据统计,海外华侨华人人数已达6000多万,分布在世界198个国家和地区。
世界各地华人人数排行榜TOP10No.1 印度尼西亚华人:超1000万先说说印尼。
印度尼西亚是一个有约17500多个岛屿组成的世界最大群岛国家,也是东南亚最大经济体。
印度尼西亚人口居世界第四位,仅次于中国、印度、美国。
事实上,印尼是公认的华人最多的国家。
据统计,印尼大约有5%的人口是华人,数量超过1000万人,其中90%以上已加入印尼籍。
印尼华人大多来自于中国的南方省份,如福建、海南、广东。
印尼华人大多分布于城市如雅加达、泗水、棉兰、北干巴鲁、三宝珑、坤甸(庞提纳克)、锡江(马卡萨)、巨港、万隆及邦加槟港等。
不过,由于一些特殊的历史原因,当地华人对自己的华族身份比较敏感。
近年来,印尼政府实行民主改革开放政策,承认华族是印尼民族大家庭的一员,华人的地位有所改善。
按照印尼官方人口普查,目前承认华族身份的印尼华人大约有280万。
随着中国的快速崛起以及与印尼的关系逐步改善,越来越多的印尼华人可以理直气壮的声称自己是华人。
No.2 泰国华人:约1000万目前,泰国一共有30多个民族,人口总数达到6000多万。
该国的主要民族是泰族,占据泰国人口40%的比例。
人口第二多的民族是佬族,占据总人口35%的比例。
华族占据总人口的比例是14%,马来族占据总人口的比例是2.3%。
这几个民族在泰国的总人口当中占比最大,其它民族占比较少。
现在泰国的华人数量将近有1000万人,大部分在泰国的华人都来自于我国广东、潮汕、厦门等地区。
泰国华人历史悠久,人数众多,为泰国的发展做出了相当的贡献。
No.3 马来西亚:740万马来西亚华人是马来西亚第二大民族,约有740万人,占马来西亚总人口约23%。
资料显示,马来西亚华人(或华裔)、大马华人是指自明清起数百年来,从中国福建、广东、广西和海南等省迁徙至马来亚的移民及其后代。
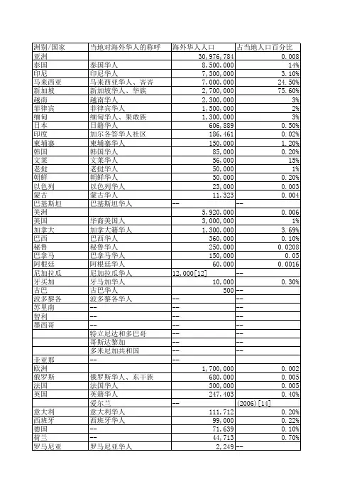
全世界海外华人统计亚洲印度尼西亚650000 泰国6100000马来西亚5200000 新加坡2090000菲律宾1200000 越南1000000缅甸850000 柬埔寨300000印度120000 日本100000汶莱55000 沙特阿拉伯45000朝鲜、韩国40000 土耳其32000老挝10000 巴基斯坦、孟加拉5000斯里兰卡3000 以色列300约旦200 伊朗200阿富汗100 伊拉克100美洲美国13000000 加拿大600000巴西100000 秘鲁60000委内瑞拉50000 墨西哥30000阿根廷30000 巴拿马30000牙买加20000 特立尼达和多巴哥20000厄瓜多尔20000 危地马拉14000玻利维亚12000 苏里南10000圭亚那10000 多米尼加共和国10000巴拉圭10000 哥斯达黎加9000古巴6000 智利5000哥伦比亚4000 尼加拉瓜3000洪都拉斯1500 萨尔瓦多1500阿鲁巴岛(荷) 600 荷属安的列斯群岛600法属圭亚那600 乌拉圭300海地200大洋洲澳大利亚200000 新西兰35000法属玻利尼西亚21000 巴布亚新几内亚 10000西萨摩亚10000 斐济 6000关岛、塞班岛(美) 5000 瑙鲁1000所罗门群岛500非洲毛里求斯33000 留尼汪(法) 25000马达加斯加12000 南非12000尼日利亚2000 莫桑比克700坦桑尼亚600 安哥拉500利比亚500 扎伊尔200埃塞俄比亚100 肯尼亚100乌干达100 埃及100加蓬100 摩洛哥50喀麦隆50欧洲前苏联诸国300000 英国200000法国180000 荷兰70000德国50000 意大利10000比利时10000 瑞典10000卢森堡7000 瑞士6000西班牙5000 葡萄牙4000丹麦4000 奥地利4000爱尔兰2000 挪威900芬兰300 波兰200捷克、斯洛伐克100 希腊100这次海外华人抗议什么的,主要是西欧国家和澳大利亚,美国只是一般,而海外华人最多的亚洲诸国,根本没有多少抗议的.这说明什么呢?西欧国家正好是中国留学生最多的地方,并且是留学生质量最差的地方,是自费留学最多的地方.大使馆或领事馆通过留学生组织海外华人抗议,这是非常明显的事情.海外华人按洲分布统计亚洲地区为,共约2678.8万多人,占77.63%;美洲地区,约有601.3万多人,占17.43%;欧洲有96.8万多人,大洋洲有65.5万多人,非洲有13.2万多人。
侨务工作报告近年来,随着中国经济的飞速发展和全球化进程的不断推进,海外华侨华人的地位日益提高。
他们在海外具有很高的社会声望和贡献,也是中华文化在海外传播的重要力量。
同时,中国政府也一直重视海外华侨华人的利益和福祉,积极推行侨务工作,为他们提供各种帮助和支持。
本报告将就侨务工作的一些情况进行分析和总结,希望通过这份报告,可以进一步提高侨务工作的效率和质量。
一、侨务基本情况侨居海外的华侨华人数目众多,分布于世界各地,目前已超过6000万。
他们分别来自中国大陆、香港、澳门和台湾,以及东南亚、欧美、澳洲等地区。
侨居地也涵盖了世界上包括一些较小的地方。
在过去的几十年中,随着中国对外开放政策的实施以及经济的快速发展,越来越多的人选择去海外发展和生活。
同时,中国政府也积极推行侨务工作,为他们提供各种帮助和支持。
侨务工作是中央政府机构和地方政府机构、各级侨团、商会、社团、个人以及侨界友人共同开展的一项重要工作。
二、侨务工作的模式侨务工作分为海外机构和国内机构两个层面。
海外机构主要包括在海外的中国驻外使领馆、侨胞组织和中资企业,以及在海外的中国新闻社、中国书画院、文化中心和留学生事务办公室等。
国内机构主要包括侨联、侨办、涉侨机构等,他们的主要职责是协助处理各种涉侨事务,改善和维护华侨华人的利益,推进和开展各种侨务工作。
在海外,中国驻外使领馆是维护海外华侨华人利益的重要力量。
他们的工作范围广泛,包括领事保护、签证审批、经济贸易、文化交流等方面。
侨胞组织是海外华侨华人自发组织的团体,由海外华侨华人建立,向海外华侨华人服务,是联系海外华侨与祖国的纽带。
侨胞组织种类众多,包括侨团、商会、社团等。
中资企业在海外的经济活动中,为中国的高质量发展提供了重要支持。
在涉及到华侨华人利益的方面,这些企业也会提供适当的帮助和支持。
在国内,侨联是各级母国侨民团体的联合组织。
在海外华侨的事务管理和文化、信息交流等方面起到了积极作用。
侨办是由中央政府设立的负责侨务管理的专责机构。
北欧五国华人简介北欧五国指的是丹麦、瑞典、挪威、芬兰和冰岛这五个国家。
这些国家在北欧地区位于斯堪的纳维亚半岛上,因其美丽的自然风光、高福利水平和良好的教育医疗体系而受到世界各地人们的关注。
在北欧五国中,也有一定数量的华人社区。
北欧五国华人社区主要分布在主要城市,并以工作、留学和移民为主要目的而来。
这些华人社区在各自国家中有着不同的规模和背景。
以下是简要介绍:1. 丹麦华人:丹麦是北欧五国中华人人口最多的国家之一。
丹麦华人社区主要集中在首都哥本哈根和奥胡斯等城市。
他们一般从事科技、教育和商业等行业。
丹麦华人社区的规模相对较小,但他们积极参与当地社会和文化活动。
2. 瑞典华人:瑞典是北欧五国中华人人口最多的国家之一。
瑞典华人社区主要分布在斯德哥尔摩、哥德堡和马尔默等城市。
他们来自中国大陆、香港和台湾等地。
瑞典华人社区的规模较大,他们在教育、科技和医疗等领域有着显著贡献。
3. 挪威华人:挪威是北欧五国中华人人口相对较少的国家之一。
挪威华人社区主要集中在首都奥斯陆和卑尔根等城市。
他们来自中国大陆、香港和台湾等地。
挪威华人社区的规模较小,他们在工程、科技和文化交流等领域发挥作用。
4. 芬兰华人:芬兰是北欧五国中华人人口较少的国家之一。
芬兰华人社区主要分布在首都赫尔辛基和图尔库等地。
他们来自中国大陆、香港和台湾等地。
芬兰华人社区的规模较小,他们在科技、设计和音乐等领域有着一定的影响力。
5. 冰岛华人:冰岛是北欧五国中华人人口相对较少的国家之一。
冰岛华人社区主要集中在首都雷克雅未克等地。
他们来自中国大陆、香港和台湾等地。
冰岛华人社区的规模较小,他们在旅游、教育和科技等领域有着一定的参与度。
需要注意的是,北欧五国的华人社区并非是一个单一的群体,他们来自不同的地方、具有不同的背景和职业。
虽然规模较小,但他们为当地社会和经济发展做出了一定的贡献,并积极融入当地文化。
海外华人哪里最多?NO.1 印度尼西亚华人数量:超1000万华人来源省份:福建、海南、广东等南方省份NO.2 泰国华人数量:约1000万华人来源省份:广东、海南、福建等几个沿海省份NO.3 马来西亚华人数量:740万华人来源省份:福建、广东、广西和海南等省NO.4 美国华人数量:508万华人来源省份:中国福建长乐、连江、福清等地区NO.5 新加坡华人数量:298万华人来源省份:广东、福建、海南等中国东南沿海省份NO.6 加拿大华人数量:177万华人来源省份:东南沿海地区扩展资料:①海外华人又称华裔,指生活在中国国外(中国大陆和台湾地区和香港澳门地区之外)拥有华人血统的人,大部分情况下此词是指没有中国国籍(包括大陆,台湾)的华人,但是有些时候包括海外华侨。
海外华人主要是近现代从中国移民国外的华人及其后裔。
包括从明朝、清朝以来直到中华人民共和国不同时期的移民及后代,主要是汉族但也包括部分如满族之类的中国少数民族。
港澳原则上不承认双重国籍,但实际中有双重国籍现象存在。
由于台澎金马当局承认双重国籍,所以也存在同时拥有中国国籍的海外华人,就是海外中国人。
②海外华人有多种定义,可以是Overseas Chinese的译名,而在不同情形下有着不同认知。
这个词可以代表着来自很多不同国家的公民,例如于印尼、泰国、马来西亚、美国等国家所出生的华人后代。
Overseas Chinese也可以专指具有中国国籍但是定居在海外的中国人,但此时翻译为华侨。
③华人一般指汉民族,在马来西亚和新加坡将峇峇娘惹(早年到当地华人男子与马来族女子所生的后代)归为华人。
有项关于海外华人研究,定义了"非汉民族"海外华人的几项条件:有证据可以证明他们曾在中国或源自中国;他们仍保有华人传统文化;有华人习俗,且并非出身于所在国。
于此定义下,"非汉民族"海外华人大约有七百万,约占海外华人总数的8.4%。
④华人到外国侨居,传说开始于周秦时代,但有史可查的是汉朝。
粤籍华侨华人在海外的分布情况目前海外粤籍华侨华人约有2000万,大体分布如下:亚洲:约1580万(其中东南亚1480万),主要分布在泰国、马来西亚、印度尼西亚、新加坡、柬埔寨、菲律宾、越南等国;欧洲:约50万,主要分布在法国、德国、英国、荷兰等国;北美洲:约200万,主要分布在美国、加拿大;南美洲:约50万,主要分布在巴西、阿根廷以及中美洲各国;大洋洲:约30万,主要分布在澳大利亚、新西兰;非洲:约4.5万,主要分布在南非、马达加斯加、毛里求斯等国另外,粤籍港澳和台湾同胞约1000万。
部分地市侨情中山中山有旅居海外60多个国家和台、港、澳地区的同胞70多万,是著名的侨乡。
江门据不完全统计,江门市旅居海外华侨华人和港澳台同胞有360多万人(其中海外210万,港澳150多万),遍布全世界五大洲100多个国家和地区,约占全国海外同胞的1/10,市内的归侨、侨眷、港澳台同胞家属有二百多万,占人口的53.4%,是全国重点侨乡之一。
广州广州是全国著名的华侨之乡,是华侨较多的大城市之一。
有海外乡亲135万人,其中华侨、外籍华人52万人,港澳同胞83万人。
有归侨、侨眷、港澳同胞亲属100多万人。
佛山佛山是著名的华侨之乡,祖籍佛山的华侨和港澳同胞达130多万人,其中港澳同胞60多万人。
顺德顺德现有旅居港澳台的乡亲及国外华侨40多万人。
东莞东莞市现有港澳台同胞70多万人,海外侨胞20多万人,是著名的侨乡。
汕头汕头有华侨华裔216万,港澳台同胞近80万人,遍布世界40多个国家和地区,其中80%侨居东南亚,是全国著名的侨乡。
梅州旅居海外的梅州侨胞有290多万,分布在世界80多个国家和地区。
汕尾汕尾是广东省侨乡之一,境外华侨和港澳台同胞130多万。
潮州潮州是著名侨乡,旅居海外的潮籍华侨、华人和港澳台同胞共230多万人。
茂名茂名市共有海外华侨、华人54万人,港澳同胞5万余人。
其中下辖的信宜市还是省的重点侨乡市。
华侨工作的基本方针华侨工作的基本方针:保护华侨的正当权益,发扬侨胞爱祖国、爱故乡的传统,促进华侨团结互助,教育华侨遵守住在国法律,尊重当地社会、民族习俗,鼓励华侨根据自愿原则加入住在国国籍,与当地人民友好相处并长期生存发展,为促进住在国的经济繁荣以及祖国和住在国的合作交流发挥积极作用。
全世界哪⾥的华⼈最多?答案你绝对想象不到◎⽂⼁掘⾦⼤师◎版权声明:本⽂⾸发于海外掘⾦(ID:gold1849),为原创作品,其他公众号转载此⽂时,需在正⽂前署作者名、标来源,并同时转载⽂末⼆维码,否则视作侵权。
掘⾦⼤师发现,关注“海外掘⾦(ID:gold1849)”的朋友们经常在群⾥讨论“哪个国家最适合华⼈居住、移民”这类话题。
如果是关注海外动向、海外投资的朋友,有许多都伴随着移民需求。
你知道吗,著名导演徐克、著名演员吕良伟都是越南华⼈,⾹港⼤导演陈可⾟是泰国华侨,帅⽓的吴尊,居然是⽣长于⽂莱的华⼈,华⼈的⾝影遍布全世界。
吴尊(⽂莱华⼈)据国务院侨办主任裘援平2014年披露,海外华侨华⼈最新⼈数已达6000多万,分布在世界198个国家和地区。
华⼈,指⼀定程度上保持中华⽂化(或华⼈⽂化)和中国⼈⾎缘的⾮中国公民。
有些朋友可能会问,海外华⼈与我们有什么关系?他们出国那么久,可能早被同化,与我们还有共同话题吗?然⽽在国外久居过的朋友可能会回答:切勿低估中华⽂化的凝聚⼒和影响⼒,“出国后更爱国”不是没道理的。
当你在国外看到⼀缕中华⽂化的烙印时(中餐馆、华⼈学校、华⼈同乡会等),或许会让你在异乡倍感亲切。
许多华⼈移民三、四代都还说中⽂,或者⾄少保留饮⾷、⽂化、思维上的⼀些中华印记。
掘⾦⼤师就来盘点⼀下哪些国家的华⼈“势⼒”最⼤,分布最⼴,在当地的地位较⾼,为⼤家选择移民⽬的地国提供⼀些信息⽀持,并初步探讨选择移民⽬的地有哪些必须考虑的要素。
最后,借⽤“世界护照指数”,告诉⼤家中国对哪些国家和地区的公民免签,以便移民后回国公务、探亲等。
01四张表看清全球华⼈分布⾸先,掘⾦⼤师整合了⼏张表格,让⼤家了解⼀下哪些国家华⼈绝对⼈数最多、华⼈占⽐最⾼、华⼈⼈数较多的西⽅(移民)国家有哪些、世界华⼈⽐例较⾼的城市有哪些。
(1)海外华⼈⼈⼝绝对数值最多的国家*有些统计认为印尼的华⼈最多,数量接近1000万;此数据为印尼官⽅⼈⼝统计数据。
拥有700万华人国家“人走楼空”,网友:在这里生活不被当人看随着经济发展迅速。
人们生活水平也不断的提高。
很多人有了足够的经济条件,都会享受自己的生活。
旅游便是其中的一个方式。
最近几年来出国旅游更是成为了一股热潮。
中国人的身影也算是卷席全球。
不仅如此。
还有很多人纷纷在国外定居。
如果说起全球拥有华人最多的国家,很多人可能会觉得是美国。
毕竟美国是中国走向世界的第一个国家。
美国的一条唐人街也是最好的证明。
在美国的唐人街。
生活着许多的华人,其实并不是。
世界上要属华人最多的应该就是马来西亚了。
据统计,如今马来西亚生活着700多万的华人。
他们分布在马来西亚各个城市。
马来西亚这里一年无明显四季之分,一年温差变化极小,非常适合人定居,很多人也会选择来这边养老。
马来西亚也算是个华人的聚集地。
当地语言除了英语之外调语言就是汉语。
也是非常的方便。
马来西亚也被称作亚洲最潇洒的地方。
这个国家在2018年的时候。
宣布废除死刑。
而且还允许一夫多妻制。
只不过华人是不允许的。
中国近几年来发展一跃前茅。
中国毕竟是一个人口大国。
我国随着经济发展生活节奏也非常的快。
很多人都顶着巨大的就业压力和家庭压力。
但是在马来西亚就不一样了。
这里需要大量的劳动力。
一心想挣钱的中国人就会来这里。
凭借着自己的努力与聪明才智获得了不错的收入。
久而久之,就在这里安定下来。
但是最近几年不知道大家有没有发现一个现象,在马来西亚地区的华人区却出现了人走楼空的状态。
在马来西亚能够留下的华人也是寥寥无几。
因为有些人在这里奋斗了大半辈子。
就这样离开了这里也是非常的遗憾。
但有人问他们为什么要离开,而生活在马来西亚的华人纷纷表示。
在这里生活真的不把华人当人看。
其实这些华人最开始来到马来西亚的时候生活的很好。
和当地人相处也是非常的融洽。
但是慢慢的就会发现。
越来越多各国的人都来到这边定居。
于是让马来西亚的居民呈现出一种多元化状态,而且这些人来自于不同的国家。
习惯和风俗都是不同。
世界海外华人分布
世界海外华人分布
外籍华人,是指华侨或其后裔中以加入、取得居住国国籍者;华侨(或称“旅外华侨”、“海外华侨”),是指定居海外(即外国)的中国公民二者在法律身份上有着本质区别,也就是国籍问题。
一般说的海外华侨华人,是不包括台港澳同胞的。
如果从生物学和遗传学角度来看,无论是居住在中国大陆、台港澳,还是居住在海外的海外华侨、外籍华人,都可以称为华人。
华人就是中国人,拥有中华血统的人。
但这里的华人,不包括取得中国国籍、在法律上称为中国人的“原外国人”,因此,中国人不都是华人。
还有一点,华人不都是汉人,华人包括56个民族的中国人。
海外华人,就是居住在海外的华人的统称,其国籍并不一致。
海外华人分为三类:外籍华人、旅外华侨、海外学生。
这里的中国,是指大中国。
中国人移居国外,可追溯到2000多年以前的古代。
早在秦汉时期,中国已有“丝绸之路”通往西域,有船舶东航日本,其中就有人留居他乡。
进入唐代,才有较多的中国人定居国外,这可视为华侨史的开端。
纵观1300多年来中国人移民海外的历史,大体可分为四个时期:第一个时期,从唐代到南宋(618-1270年),为海外华侨逐渐出现的时期。
这个时期,人数大约为10万多人。
第二个时期,从元代至清代中叶(1271-1840年),为华侨出国大量增加和华侨在所在国的社会经济基础逐渐确立的时期。
这个时期,人口已达100万以上。
第三个时期,从鸦片战争到解放前夕(1841-1949年)。
为华侨大规模移民高潮时期。
这个时期,华侨人数已达1200多万人。
第四个时期,从1949年中华人民共和国成立到90年代。
这个时期,估计已有3000万人。
其中90%已加入当地国籍,华侨大约只有300万人。
目前华侨华人广泛分布在世界五大洲的160多个国家和地区。
关于华侨华人的人口数量,向无精确、科学的统计数字,只有大略上的估计而已。
由于不少华侨华人与当地各民族通婚,华裔血统关系较为复杂,人们对华人概念所涵盖的范围没有统一的标准;此外,受种种条件的限制,人们无法对散居世界各国的华侨华人进行全面、详尽的人口调查。
从本世纪初的统计分布来看,亚洲为2125万人,占83.7%;美洲245万人,占9.9%;欧洲125万人,占4.9%;大洋洲32万人,占1.2%;非洲9万人,占0.3%。
现在世界上居住华侨华人100万以上的有印尼、泰国、马来西亚、新加坡、菲律宾、美国等6国;居住华侨华人10-100万人的有越南、缅甸、柬埔寨、印度、日本、英国、法国、独联体、加拿大、巴西、澳大利亚等11国;居住华侨华人1-10万人的有文莱、老挝、朝鲜、韩国、尼泊尔、土耳其、沙特阿拉伯、荷兰、德国、比利时、意大利、毛里求斯、留尼汪、马达加斯加、南非、墨西哥、巴拿马、危地马拉、牙买加、特立尼达和多巴哥、多米尼加、秘鲁、阿根廷、厄瓜多尔、委内瑞拉、玻利维亚、巴拉圭、圭亚那、苏里南、新西兰、塔希提、西萨摩亚等32个国家和地区;居住华侨华人1000-10000人的有26个国家和地区;居住华侨华人100人以上,不足1000人的有29个国家和地区。
以上共104个国家和地区。
其余50多个国家和地区的华侨华人合计起来不过2000多人,多则几十人,少则三五人。
按华侨华人的祖籍划分,广东籍占54%,福建籍占25%,海南籍占6%,其他省、市、自治区共占15%(其中以台湾、广西、山东、新疆、云南为主)。
在东南亚,粤籍、闽籍和其他省市之比为5:3:2;而在亚洲以外,粤籍占绝大多数。
若以方言划分,使用闽南(泉州)、广府(广州)、潮州、客家四种方言的人。
占海外华侨华人总数的80%左右。
使用前三种方言的,每一种都超过500万人,后一种则约300万人。
按2003年第七届世界华商大会文献资料,分布在全球各地区的华人共计4106万,其中在东南亚地区10国的华人有3247万,占79%的绝大比例。
按比例来说,新加坡最多,华人占总人口76%;按数量来说,印度尼西亚,华人共有731万(1994)。
如果按每年移民国外的华人有100万人计算,2009年估计全球的华人为4700万。
美国是全球第4大华人聚居地,有近300万华人,占海外华人总人数的7%;加拿大的华人约有100万人。
美国和加拿大的华人不但有从中国大陆、香港、台湾、澳门两岸四地直接来的,也有经东南亚地区,以及欧洲、中、南美洲,非洲,澳洲等近50个国家移民过来的。
美国和加拿大华人来源地广泛这一特点,是在其它国家的华人社会所不具备的,此外,美国和加拿大华人也常常相互变更地址,也就是说美国的华人移居到加拿大,加拿大的华人移居到美国,主要是工作和学习原因,总的而言还是在北美。