天线理论与技术答案
- 格式:docx
- 大小:12.52 KB
- 文档页数:11
第2章 微波传输线2.1什么是长线?如何区分长线和短线?举例说明。
答 长线是指几何长度大于或接近于相波长的传输线。
工程上常将1.0>l 的传输线视为长线,将1.0<l 的传输线视为短线。
例如,以几何长度为1m 的平行双线为例,当传输50Hz 的交流电时是短线,当传输300MHz 的微波时是长线。
2.2传输线的分布参数有哪些?分布参数分别与哪些因素有关?当无耗传输线的长度或工作频率改变时分布参数是否变化?答 长线的分布参数一般有四个:分布电阻R 1、分布电感L 1、分布电容C 1、分布电导G 1。
分布电容C 1(F/m )决定于导线截面尺寸,线间距及介质的介电常数。
分布电感L 1(H/m )决定于导线截面尺寸,线间距及介质的磁导率。
分布电阻R 1(Ω/m )决定于导线材料及导线的截面尺寸。
分布电导G 1(S/m ) 决定于导线周围介质材料的损耗。
当无耗传输线(R 1= 0,G 1= 0)的长度或工作频率改变时,分布参数不变。
2.3传输线电路如图所示。
问:图(a )中ab 间的阻抗0=ab Z 对吗?图(b )中问ab 间的阻抗∞=ab Z 对吗?为什么?答 都不对。
因为由于分布参数效应,传输线上的电压、电流随空间位置变化,使图(a )中ab 间的电压不一定为零,故ab 间的阻抗ab Z 不一定为零;使图(b )中a 点、b 点处的电流不一定为零,故ab 间的阻抗ab Z 不一定为无穷大。
2.4平行双线的直径为2mm ,间距为10cm ,周围介质为空气,求它的分布电感和分布电容。
解 由表2-1-1,L 1=1.84×10-6(H/m ),C 1=6.03×10-12(F/m )2.5写出长线方程的的解的几种基本形式。
长线方程的解的物理意义是什么? 答(1)复数形式λ/8 aba)λ/8 abb)题2.3图()()()z L L z L L I Z U I Z U z U ββj 0j 0e 21e 21--++= ()()()z L L z L L I Z U Z I Z U Z z I ββj 00j 00e 21e 21---+=(2)三角函数形式()z Z I z U z U L L ββsin j cos 0+=()z I z Z U z I L Lββcos sin j+= (3)瞬时形式()()A z t A t z u ϕβω++=cos , ()B z t B ϕβω+-+cos ()()A z t Z A t z i ϕβω++=cos ,0()B z t Z B ϕβω+--cos 0其中,()L L I Z U A 021+=,()L L I Z U B 021-= 物理意义:传输线上的电压、电流以波动的形式存在,合成波等于入射波与反射波的叠加。
第四章4-1[解]远区场条件:k r >>11/kr >>1/( k r)2>>1/( k r)3 → 只保留1/r0sin 44jkrA jkrA I l E jrI l H jreeθϕωμθπωθπ--==0r E ≈ ( <<E θ,忽略) 0,0E H H ϕθϕ===近区场条件 :k r <<1,r <<λ→r <<λ/2∏ 1/kr <<1/( k r)2<<1/( k r)3∴忽略1/r 项jkre-→13321s in 4 2c o s 4 s in 4A A r A I l E jI l E jI lHr rrθϕθωεπθωεπθπ=-=-=4-2[解]: f=3Mhz, ∴λ=100mr=10km,r >>λ/2π 即A 、B 、C 、D 、E 各点在电基本振子远区场 (1) ∴60s inA jk rI lE jr eθπθλ-=A 点: θ=00, E A =0 v/mB 点: θ=300, | E A |= 9.42 ⨯10-5 v/mC 点: θ=900, | E c |=| E max |=1.884⨯10-4 v/mD 点: θ=1500, |E D |=| E B | =9.42 ⨯10-5 v/m E 点: θ=1800, E E =E A =0 v/m(2)若电流元垂直纸面,则A 、B 、C 、D 、E 各点在H 平面上,则各点场强相同,且为最大值| E max |=1.884⨯10-5 v/m ,极化方向均垂直于纸面。
4-4[解]:2l=λ/2 E面xoz面极值:θ=900,2700,零值:θ=00,18002l=1.5λ六个极值:900,500,1300,2300,2700,3100零值:00,70.50,109.50,1800,250.50,289.502l=2λ四个最大值:θ=600,1200,2100,3300四个零值:θ=00,1800,900,4-6[解]:电流元:F (0)=f (θ)=sin θ半功率波瓣宽度:BW 为F 2(θ0.5)=1/2夹角。
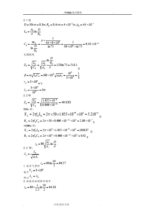
2.1题007030ln 104,1044.0,3.030R D L m cm R m cm D πμπμ=⨯=⨯====--1199001043.675ln 1036175ln 10941ln -⨯=⨯⨯=⨯⨯⨯==πππεR D C无损耗线1.51875ln 120ln000====πεμR DC L Z Ω3110310101008800600=⨯=⨯==εμωβC L8103⨯=p v m/smp 31010388=⨯=λ2.2解Ω=⨯⨯==--85.4910666.010655.1129000C L Z50Hz 时:43900210.51010655.15022--=⨯⨯⨯⨯==ππL f X L Ω7312001009.21010666.05022--⨯=⨯⨯⨯⨯==ππC f B C S100MHz 时:1039.871010655.1102239800=⨯⨯⨯⨯==-ππL f X L Ω0.421010666.010********=⨯⨯⨯⨯==-ππC f B C S2.3 解:d D z r r ln 600εμ=r r p εμλλ0=1.在空气里时57.96210ln600==z由于8103⨯=p V所以0λλ=p2.在高分妇材料介质中38.64210ln 5.11600=⨯=z由于88102125.210⨯=⨯⨯3=p V 所以32λλ=p 2.4 形式上,低频或直流电功率传输线横截面为多连通区域,传送信号的有单连通与多连通。
在内容上,电力传输注重功率容量及传输损耗,信号线要求适应很高的频率,且有频带宽度要求,注重信息速率。
2.5 (1)Ω===Ω==∞==5.3715075'150220113120121L A A A LA A Z z Z Z Z z z z(2)Ω===Ω==∞==1002550252220223121Z Z Z Z Z Z Z B B B L B B2.6 频率为100MHz 时Ω=⨯=Ω====⨯=12075060015015060030031010322088D L DE Z Z Z Z m λ012020====Ω=A BC LCFCD Z Z Z Z Z Z频率为200MHz 时Ω=Ω=Ω==⨯⨯=3003006005.110210388CD D DE Z Z Z m λΩ=Ω=⨯=Ω=Ω=∞=300200900600300300300A B BC C CF Z Z Z Z Z 2.7 解:Ω==Ω=Ω===∞=====Ω==Ω=2525251005000505023202020L A B BELBC C L CF CD Z Z Z Z Z Z Z Z Z Z Z Z Z Z Z2.8 解:无损耗传输线Ω=Ω=2501500L Z Z()()()dj d j d j L L i r e e e Z Z Z Z d U d U d βββ2220025.0400100---==+-==Γ(1)P d λ25.0=时()25.025.05.0222-==Γ=⨯⨯=-ππλλπβj P Pe d d(2)pd λ5.0=时()25.025.025.02222==Γ=⨯⨯=-ππλλπβj P Pe d d2.10 解:由()()d d S Γ-Γ+=11得到()2.05.25.011==+-=ΓS S dm f V pP 3.010110398=⨯⨯==λ()⎪⎭⎫ ⎝⎛-Γ=Γ-=-=-=d j P L ed dd d ππππλππβϕϕ3402.034042在无损耗时,0Z 为纯阻()Ω=+-=+-Z =Γ15010010000000Z Z Z Z Z Z d L L终端最近的电压波腹点处cm m d d 5.74030340≈==-=Γππϕ2.11 解:由题意得()d S S d L βϕϕ22.05.25.011-===-+=ΓΓ 当m d 01.0=时,()πϕ12+=Γn得()πλπϕ124min ++=n d pL波节点相差50mm 时由上式可知m d P p1.024==λπλπ且将波长和m d 01.0=代入后得到 ()()()ππ6.026.02.002.0j gbd j e e d -+-=Γ=Γ由于()π6.002.00j L L e Z Z Z Z -=+-=Γ()[]()[]5.1641190.0062.1190.0938.0502.012.015001016.06.00j j j e e Z Z j j L -=+-⨯=-+⨯=Γ-Γ+=--ππ2.12 解:令L Z Z 2050=Ω=⨯=10020050*Z()d tg jZ Z d tg jZ Z Z d Z L L in ββ++=000求其实部d tg d tg dtg Z Z dtg Z Z Z Z L L L ββββ22222020040000250010000100001+=+=++211051002575003000022====d tg d tg d tg βββ 21arctgd =β214.7*==d tg mmd β()7550100502520050j j j d Z in -=++=串入()j d X in 75=阻抗短路线 ()cm d d tg jd tg jZ d Z in 56.123750====ββ并入导纳12202200=++d tg Z Z dtg Z Z Z Z L L L ββ018.0107.121.043000075001000010000250040000222=⨯===+=+πββββd d tg d tg d tg d tg()()j j j d Y in 5.1150110020040050501+=⎪⎪⎭⎫⎝⎛++=并入导纳-0.03j 欧化为阻抗100/3j ,d=0.0094m 2.13()d j d d j d d j d d j d djZ d Z d jZ d Z Z d Z L L in ββββββββββββsin 2cos 3sin 3cos 2600sin 400cos 600sin 600cos 400600sin cos sin cos 000++=++=++= AB 段阻抗匹配()Ω==450L in Z d Z3.3 答:微带线导行电磁波的模式:准TEM 模(或者EH 模)、TE 模式、TM 模式 TE 类表面模式;同轴线导行TEM 模、TE 模、TM 模对于微带线准TEM 模式:rC P V V ε0=rC P ελλ0=对于同轴线TEM 模来说:r r p V V εμ0=r r p εμλλ0=3.4 金属波导管的特点:有效防止辐射损耗;解决导体损耗增加的问题。
《微波技术与天线》习题答案章节 微波传输线理路1.1设一特性阻抗为Ω50的均匀传输线终端接负载Ω=1001R ,求负载反射系数1Γ,在离负载λ2.0,λ25.0及λ5.0处的输入阻抗及反射系数分别为多少? 解:31)()(01011=+-=ΓZ Z Z Zπβλ8.02131)2.0(j z j e e --=Γ=Γ31)5.0(=Γλ (二分之一波长重复性)31)25.0(-=ΓλΩ-∠=++= 79.2343.29tan tan )2.0(10010ljZ Z ljZ Z Z Z in ββλΩ==25100/50)25.0(2λin Z (四分之一波长阻抗变换性) Ω=100)5.0(λin Z (二分之一波长重复性)1.2求内外导体直径分别为0.25cm 和0.75cm 的空气同轴线的特性阻抗;若在两导体间填充介电常数25.2=r ε的介质,求其特性阻抗及MHz f 300=时的波长。
解:同轴线的特性阻抗abZ r ln 600ε= 则空气同轴线Ω==9.65ln 600abZ 当25.2=r ε时,Ω==9.43ln600abZ rε 当MHz f 300=时的波长:m f c rp 67.0==ελ1.3题设特性阻抗为0Z 的无耗传输线的驻波比ρ,第一个电压波节点离负载的距离为1min l ,试证明此时的终端负载应为1min 1min 01tan tan 1l j l j Z Z βρβρ--⨯=证明:1min 1min 010)(1min 101min 010in tan l tan j 1/tan tan 1min 1min l j Z Z Z Z l j Z Z l j Z Z Z Z l in l βρβρρββ--⨯=∴=++⨯=由两式相等推导出:对于无耗传输线而言:)(1.4传输线上的波长为:m fr2cg ==ελ因而,传输线的实际长度为:m l g5.04==λ终端反射系数为: 961.0514901011≈-=+-=ΓZ R Z R输入反射系数为: 961.0514921==Γ=Γ-lj in eβ 根据传输线的4λ的阻抗变换性,输入端的阻抗为:Ω==2500120R ZZ in1.5试证明无耗传输线上任意相距λ/4的两点处的阻抗的乘积等于传输线特性阻抗的平方。
1-1 解: f=9375MHz, / 3.2,/ 3.1251c f cm l λλ===>此传输线为长线1-2解: f=150kHz, 4/2000,/0.5101c f m l λλ-===⨯<<此传输线为短线1-3答: 当频率很高,传输线的长度与所传电磁波的波长相当时,低频时忽略的各种现象与效应,通过沿导体线分布在每一点的损耗电阻,电感,电容和漏电导表现出来,影响传输线上每一点的电磁波传播,故称其为分布参数。
用1111,,,R L C G 表示,分别称其为传输线单位长度的分布电阻,分布电感,分布电容和分布电导。
1-4 解: 特性阻抗050Z ====Ω f=50Hz X 1=ωL 1=2π×50×16.65×10-9Ω/cm=5.23×10-6Ω/cmB 1=ωC 1=2π×50×0.666×10×10-12=2.09×10-9S/cm 1-5 解: ∵ ()22j z j z i r U z U e U e ββ''-'=+ ()()2201j z j z i r I z U e U e Z ββ''-'=- 将 2223320,2,42i r U V U V z πβλπλ'===⋅= 代入 33223420220218j j z Ueej j j V ππλ-'==+=-+=-()3412020.11200z Ij j j A λ'==--=- ()()()34,18cos 2j te z u z t R U z e t V ωλπω'=⎛⎫''⎡⎤==- ⎪⎣⎦⎝⎭ ()()()34,0.11cos 2j t e z i z t R I z e t A ωλπω'=⎛⎫''⎡⎤==- ⎪⎣⎦⎝⎭ 1-6 解: ∵Z L =Z 0 ∴()()220j z i r U z U e U β''==()()()212321100j j z z U z e U z e πβ''-''==()()()()611100,100cos 6jU z e V u z t t V ππω'=⎛⎫=+ ⎪⎝⎭1-7 解:210.20.2130j L e ccm fπρρλ-Γ=-=-==Γ+==由 011L L L Z Z +Γ=-Γ 得 0110.2100150110.2L LL Z Z -Γ+===Ω+Γ- 由 ()()()22max 0.20.2j z j z L z e e z πββ-'-''Γ=Γ==Γ= 得 max1max120,7.54z z cm λπβ''-===1-8 解: (a) ()(),1in in Z z z ''=∞Γ= (b) ()()0100,0in in Z z Z z ''==ΩΓ= (c) ()()00012200,3in in in in Z Z Z z Z z Z Z -''==ΩΓ==+(d) ()()02200,1/3in in Z z Z z ''==ΩΓ= 1-9 解: 1 1.21.510.8ρ+Γ===-Γ 0max 0min 75,33Z Z Z Z ρρ==Ω==Ω1-10 解: min2min124z z cm λ''=-= min1120.2,0.514L z ρππβρλ-'Γ===⨯=+min1min120.2j z z L e β'-'Γ=-=Γ ∴ 2420.20.2j jL eeππ⨯-Γ=-=1-11 解: 短路线输入阻抗 0in Z jZ tg l β= 开路线输入阻抗 0in Z jZ ctg l β=- a) 00252063in Z jZ tgjZ tgj πλπλ=⨯=Ω b) 002252033in Z jZ tg jZ tg j πλπλ=⨯=-Ωc) 0173.23in Z jZ ctgj π=-=-Ω d) 02173.23in Z jZ ctg j π=-=Ω1-12 解: 29.7502050100740.6215010013o j L L L Z Z j j e Z Z j -++Γ=Γ====++1-13 解: 表1-41-17 解: 1350.7oj L e Γ= 1-18 解: minmax0.6U K U == min143.2o z β'= 用公式求min1min10min1min111L j tg z K jtg z Z Z Z jtg z jKtg z ρββρββ''--==''-- 0.643.25042.8522.810.643.2oojtg j j tg -==-Ω-⨯ 用圆图求 ()42.522.5L Z j =-Ω短路分支线的接入位置 d=0.016λ时()0.516B =- 最短分支线长度为 l=0.174λ()0.516B =- 1-19 解: 302.6 1.4,0.3,0.30.16100L L lZ j Y j λ=-===+ 由圆图求得 0.360.48in Z j =+ 1824in Z j =+Ω 1.01 1.31in Y j =- ()0.020.026in Y j S =- 1-20 解: 12L Y j =+ 0.5jB j =()()()()0.150.6 1.460.150.60.960.20.320.380.2 1.31 1.54in in in in Y j Y jB j Y j Z j λλλλ=-+=-=+=-∴ 6577in Z j =-Ω 1-21 解: 11 2.5 2.50.20.2L L Y j j Z ===+- 并联支节输入导纳 min 2.5B ctg l β=-=- min 0.061l λ=此时 1/2.5L Z '= 500/2.5200LZ '==Ω(纯电阻) 变换段特性阻抗316Z '===Ω 1-22 解: 1/0.851.34308.66o o L arctg ϕ=-=-=由 max120L z ϕβ'=-= 得 max10.43z λ'= 由 min12L z ϕβπ''=-=- 得 min10.1804L z ϕπλλπ+'== 1-23 解: 原电路的等效电路为由 1in Z j '+= 得 1in Z j '=- 向负载方向等效(沿等Γ图)0.25电长度 得 1in in Z Z ''='则 in in Y Z '''=由in in in Y Y j Z ''''''=+= 得 12in in Y Z j j ''''=-=- 由负载方向等效0.125电长度(沿等Γ图)得 12L Y j =+ 0.20.4L Z j =-1-24 答: 对导行传输模式的求解还可采用横向分量的辅助标位函数法。
《微波技术与天线》习题答案章节 微波传输线理路1.1设一特性阻抗为Ω50的均匀传输线终端接负载Ω=1001R ,求负载反射系数1Γ,在离负载λ2.0,λ25.0及λ5.0处的输入阻抗及反射系数分别为多少解:1))(01011=+-=ΓZ Z Z Zπβλ8.02131)2.0(j z j e e --=Γ=Γ31)5.0(=Γλ (二分之一波长重复性)31)25.0(-=ΓλΩ-∠=++= 79.2343.29tan tan )2.0(10010ljZ Z ljZ Z Z Z in ββλΩ==25100/50)25.0(2λin Z (四分之一波长阻抗变换性)Ω=100)5.0(λin Z (二分之一波长重复性)求内外导体直径分别为和的空气同轴线的特性阻抗;若在两导体间填充介电常数25.2=r ε的介质,求其特性阻抗及MHz f 300=时的波长。
解:同轴线的特性阻抗abZ rln600ε= 则空气同轴线Ω==9.65ln 600abZ 当25.2=r ε时,Ω==9.43ln600abZ rε 当MHz f 300=时的波长:m f c rp 67.0==ελ题设特性阻抗为0Z 的无耗传输线的驻波比ρ,第一个电压波节点离负载的距离为1m in l ,试证明此时的终端负载应为1min 1min 01tan tan 1l j l j Z Z βρβρ--⨯=证明:1min 1min 010)(1min 101min 010in tan l tan j 1/tan tan 1min 1min l j Z Z Z Z l j Z Z l j Z Z Z Z l in l βρβρρββ--⨯=∴=++⨯=由两式相等推导出:对于无耗传输线而言:)(传输线上的波长为:m fr2cg ==ελ因而,传输线的实际长度为:m l g5.04==λ终端反射系数为: 961.0514901011≈-=+-=ΓZ R Z R输入反射系数为: 961.0514921==Γ=Γ-lj in eβ 根据传输线的4λ的阻抗变换性,输入端的阻抗为:Ω==2500120R ZZ in试证明无耗传输线上任意相距λ/4的两点处的阻抗的乘积等于传输线特性阻抗的平方。
《微波技术与天线》习题答案章节微波传输线理路1.1设一特性阻抗为 50 的均匀传输线终端接负载 R 1100 ,求负载反射系数1 ,在离负载 0.2 , 0.25 及 0.5处的输入阻抗及反射系数分别为多少解: 1 ( Z 1Z 0 ) (Z 1 Z 0 ) 1 3(0.2) 1e j 2 z1 e j 0 .813(0.5)(二分之一波长重复性)3 (0.25 )13Z in (0.2 )Z 1jZ 0 tan l 29.4323.79Z 0jZ 1 tan lZ 0Z in (0.25 ) 502 /100 25(四分之一波长阻抗变换性)Z in (0.5) 100(二分之一波长重复性)求内外导体直径分别为和的空气同轴线的特性阻抗; 若在两导体间填充介电常数 r 2.25的介质,求其特性阻抗及 f300MHz 时的波长。
解:同轴线的特性阻抗 Z 060blnra则空气同轴线 Z 060 lnb65.9a当 r 2.25 时, Z 0 60b 43.9lnra当 f 300MHz 时的波长:cp0.67mfr题设特性阻抗为Z 0 的无耗传输线的驻波比,第一个电压波节点离负载的距离为l m in1,试证明此时的终端负载应为Z1 Z01j tan lmin 1j tan lmin 1证明:对于无耗传输线而言:Zin (l min 1)Z1Z 0 j tanlmin 1 Z 0Z1 j tanlmin 1 Z 0Zin (l min 1 )Z0/由两式相等推导出:Z1Z 0 1 j tan lmin 1j tan lmin 1传输线上的波长为:cfg2mr因而,传输线的实际长度为:gl0.5m4终端反射系数为:R1Z0490.9611Z 051R1输入反射系数为:in1e j 2 l490.96151根据传输线的 4 的阻抗变换性,输入端的阻抗为:2Z0Z in2500R1试证明无耗传输线上任意相距λ/4 的两点处的阻抗的乘积等于传输线特性阻抗的平方。
GPS天线基础知识单选题100道及答案解析1. GPS 天线的主要作用是()A. 接收卫星信号B. 发送卫星信号C. 处理卫星信号D. 存储卫星信号答案:A解析:GPS 天线的主要作用是接收来自卫星的信号。
2. 以下哪种材料常用于制造GPS 天线()A. 塑料B. 金属C. 陶瓷D. 玻璃答案:C解析:陶瓷材料具有较好的电性能,常用于制造GPS 天线。
3. GPS 天线的工作频率通常在()A. 100 MHz 以下B. 100 - 200 MHzC. 1575.42 MHz 和1227.60 MHzD. 5 GHz 以上答案:C解析:GPS 天线的工作频率通常在1575.42 MHz 和1227.60 MHz。
4. GPS 天线的极化方式一般为()A. 水平极化B. 垂直极化C. 圆极化D. 椭圆极化答案:C解析:GPS 天线的极化方式一般为圆极化,以更好地接收卫星信号。
5. 影响GPS 天线性能的主要因素不包括()A. 天线增益B. 天线尺寸C. 天线颜色D. 工作频率答案:C解析:天线颜色对其性能没有直接影响,天线增益、尺寸和工作频率都会影响性能。
6. 以下哪种GPS 天线适用于车载导航系统()A. 内置天线B. 外置天线C. 平板天线D. 螺旋天线答案:B解析:外置天线在车载导航系统中通常能获得更好的信号接收效果。
7. GPS 天线的安装位置应尽量()A. 靠近金属物体B. 靠近电子设备C. 开阔无遮挡D. 隐藏在角落里答案:C解析:为了保证良好的信号接收,GPS 天线的安装位置应尽量开阔无遮挡。
8. 提高GPS 天线精度的方法不包括()A. 增加天线数量B. 优化天线设计C. 降低工作频率D. 采用高性能放大器答案:C解析:降低工作频率并不能提高GPS 天线的精度,其他选项都可能有助于提高精度。
9. GPS 天线的防水性能通常用()来衡量A. 防水等级B. 密封材料C. 外壳材质D. 重量答案:A解析:防水性能通常用防水等级来表示。
绪论1、天线辐射的能量存在的形式是A:交变电磁场B:传导电流C:恒定磁场D:恒定电场正确答案:交变电磁场2、关于发射机与天线的阻抗问题的描述,错误的是A:匹配的好坏可以用阻抗的模值来衡量B:二者之间必须阻抗匹配C:匹配的好坏将影响功率的传输效率D:工作频带之外可以不管阻抗是否匹配正确答案:匹配的好坏可以用阻抗的模值来衡量3、下列关于天线的描述错误的是A:只要是空间电磁波均能被天线完全接收B:天线必须是一个电磁开放系统C:发射天线必须和源匹配D:天线对接收电磁波的频率是有选择的正确答案:只要是空间电磁波均能被天线完全接收4、接收天线与发射天线的作用是一个(①)的过程,同一副天线用作发射和用作接收的特性参数是(②)的。
接收天线特性参数的定义与发射天线是(③)的。
上述三处空白应依次填入A:①可逆、②相同、③不同B:①互易、②不同、③相同C:①互易、②相同、③相同D:①可逆、②不同、③不同正确答案:①可逆、②相同、③不同5、下列天线分类法不一致的是A:全向天线、螺旋天线、行波天线B:长波天线、短波天线、中波天线C:电视天线、广播天线、遥测天线D:半波振子、短振子、全波振子正确答案:全向天线、螺旋天线、行波天线第一章1、全向天线的固定底座上平面应与天线支架的顶端平行,允许误差()A:±15cmB:±10cmC:±11cmD:±12cm正确答案:±12cm2、轴线为z轴的电基本振子,中心位于原点O;法矢量方向为z轴的小电流环,中心也位于原点O,则关于它们的E面和H面的叙述正确的是A:电基本振子E面为yoz,小电流环H面为xozB:电基本振子E面为yoz,小电流环H面为xoyC:电基本振子H面为xoy,小电流环E面为xozxoy面为E,小电流环xoz面为H电基本振子D:正确答案:电基本振子E面为yoz,小电流环H面为xoz3、电基本振子的辐射功率为PΣ=(①),辐射电阻RΣ=(②)。
《电磁场微波技术与天线》习题及参考答案一、填空题:1、静止电荷所产生的电场,称之为_静电场_;电场强度的方向与正电荷在电场中受力的方向__相同_。
2、电荷之间的相互作用力是通过电场发生的,电流与电流之间的相互作用力是通过磁场发生的。
3、矢量场基本方程的微分形式是:A V和AJ;说明矢量场的散度和旋度可以描述矢量场在空间中的分布和变化规律。
4、矢量场基本方程的积分形式是:SAdSV V dV和l AdlsJdS;说明矢量场的环量和通量可以描述矢量场在空间中的分布和变化规律。
5、矢量分析中的两个重要定理分别是高斯定理和斯托克斯定理,它们的表达式分别是:v和lAdl s rotAdS。
AdV S AdS6、静电系统在真空中的基本方程的积分形式是:∮Ds·d S=q和E·d=0。
7、静电系统在真空中的基本方程的微分形式是:D V和E0。
8、镜象法的理论依据是静电场的唯一性定理。
基本方法是在所求场域的外部放置镜像电荷以等效的取代边界表面的感应电荷或极化电荷。
9、在两种媒质分界面的两侧,电场E的切向分量E1t-E2t=_0__;而磁场B的法向分量B1n-B2n=__0__。
10、法拉弟电磁感应定律的方程式为En=- ddt,当dφ/dt>0时,其感应电流产生的磁场将阻止原磁场增加。
11、在空间通信中,为了克服信号通过电离层后产生的法拉第旋转效应,其发射和接收天线都采用圆极化天线。
12、长度为2h=λ/2的半波振子发射天线,其电流分布为:I (z)=Im sink(h-|z|)。
13、在介电常数为e的均匀各向同性介质中,电位函数为1122xy5z,则电场强22度E=xeye5e。
xyz14、要提高天线效率,应尽可能提高其辐射电阻,降低损耗电阻。
15、GPS接收机采用圆极化天线,以保证接收效果。
二、选择题:1、电荷只能在分子或原子范围内作微小位移的物质称为(D)。
A.导体B.固体C.液体D.2、相同的场源条件下,真空中的电场强度是电介质中的(D)倍。